Stepwise Ethanol-Water Fractionation of Enzymatic Hydrolysis Lignin to Improve Its Performance as a Cationic Dye Adsorbent
Abstract
1. Introduction
2. Results and Discussion
2.1. Lignin Fractionation by Stepwise Dissolution
2.2. Adsorption Capacities of Lignin Subdivisions
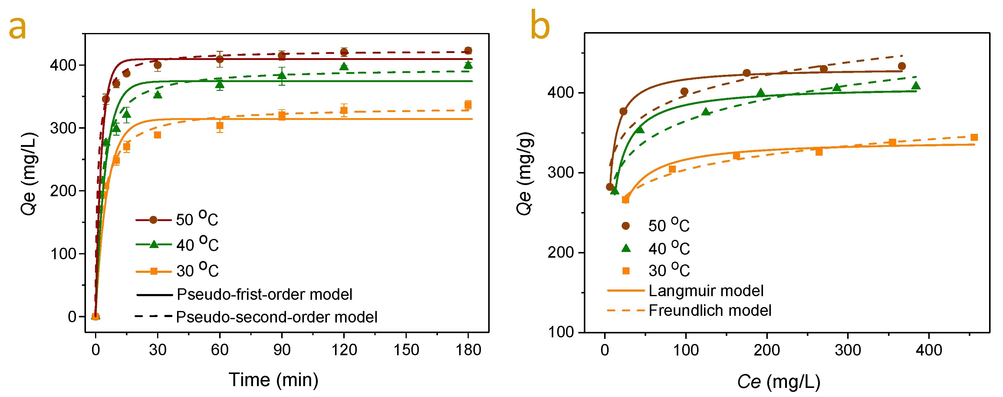
2.3. Adsorption Kinetics and Isotherms Studies
2.4. Recycling Studies
3. Materials and Methods
3.1. Material
3.2. Isolation of Enzymatic Hydrolysis Lignin from Enzymatic Hydrolysis Residue
3.3. Fractionation of Enzymatic Hydrolysis Lignin
3.4. Characterization of EHL and Lignin Subdivisions
3.5. Batch experiments for Methylene Blue Adsorption
3.6. Adsorption Kinetics and Isotherms
3.7. Lignin Recycling
4. Conclusions
Supplementary Materials
Author Contributions
Funding
Acknowledgments
Conflicts of Interest
References
- Forgacs, E.; Cserháti, T.; Oros, G. Removal of synthetic dyes from wastewaters: A review. Environ. Int. 2004, 30, 953–971. [Google Scholar] [CrossRef] [PubMed]
- Jin, X.-C.; Liu, G.-Q.; Xu, Z.-H.; Tao, W.-Y. Decolorization of a dye industry effluent by Aspergillus fumigatus XC6. Appl. Microbiol. Biotechnol. 2007, 74, 239–243. [Google Scholar] [CrossRef] [PubMed]
- Brown, D.; Hitz, H.R.; Schäfer, L. The assessment of the possible inhibitory effect of dyestuffs on aerobic waste-water bacteria experience with a screening test. Chemosphere 1981, 10, 245. [Google Scholar] [CrossRef]
- Yagub, M.T.; Sen, T.K.; Afroze, S.; Ang, H.M. Dye and its removal from aqueous solution by adsorption: A review. Adv. Colloid Interface Sci. 2014, 209, 172–184. [Google Scholar] [CrossRef]
- Hu, L.; Guang, C.; Liu, Y.; Su, Z.; Gong, S.; Yao, Y.; Wang, Y. Adsorption behavior of dyes from an aqueous solution onto composite magnetic lignin adsorbent. Chemosphere 2020, 246, 125757. [Google Scholar] [CrossRef]
- Verma, A.K.; Dash, R.R.; Bhunia, P. A review on chemical coagulation/flocculation technologies for removal of colour from textile wastewaters. J. Environ. Manage. 2012, 93, 154–168. [Google Scholar] [CrossRef]
- Al-Kdasi, A.; Idris, A.; Saed, K.; Guan, C.T. Treatment of textile wastewater by advanced oxidation processes-a review. Global nest: The Int. J. 2004, 6, 222–230. [Google Scholar]
- Akpan, U.G.; Hameed, B.H. Parameters affecting the photocatalytic degradation of dyes using TiO2-based photocatalysts: A review. J. Hazard. Mater. 2009, 170, 520–529. [Google Scholar] [CrossRef]
- Salleh, M.A.M.; Mahmoud, D.K.; Karim, W.A.W.A.; Idris, A. Cationic and anionic dye adsorption by agricultural solid wastes: A comprehensive review. Desalination 2011, 280, 1–13. [Google Scholar] [CrossRef]
- You, X.; Li, E.; Liu, J.; Li, S. Using Natural Biomacromolecules for Adsorptive and Enzymatic Removal of Aniline Blue from Water. Molecules 2018, 23, 1606. [Google Scholar] [CrossRef]
- Chen, F.; Hu, X.; Tu, X.; Chen, L.; Liu, X.; Tan, L.; Mao, Y.; Shi, J.; Teng, X.; He, S.; et al. High-Yield Production of Lignin-Derived Functional Carbon Nanosheet for Dye Adsorption. Polymers 2020, 12, 797. [Google Scholar] [CrossRef]
- Tahir, S.; Rauf, N. Removal of a cationic dye from aqueous solutions by adsorption onto bentonite clay. Chemosphere 2006, 63, 1842–1848. [Google Scholar] [CrossRef] [PubMed]
- Abbasian, M.; Jaymand, M.; Niroomand, P.; Farnoudian-Habibi, A.; Karaj-Abad, S.G. Grafting of aniline derivatives onto chitosan and their applications for removal of reactive dyes from industrial effluents. Int. J. Biol. Macromol. 2017, 95, 393–403. [Google Scholar] [CrossRef] [PubMed]
- Srinivasan, A.; Viraraghavan, T. Decolorization of dye wastewaters by biosorbents: A review. J. Environ. Manage. 2010, 91, 1915–1929. [Google Scholar] [CrossRef] [PubMed]
- Li, Z.; Kong, Y.; Ge, Y. Synthesis of porous lignin xanthate resin for Pb2+ removal from aqueous solution. Chem. Eng. J. 2015, 270, 229–234. [Google Scholar] [CrossRef]
- Supanchaiyamat, N.; Jetsrisuparb, K.; Knijnenburg, J.T.N.; Tsang, D.C.W.; Hunt, A.J. Lignin materials for adsorption: Current trend, perspectives and opportunities. Bioresour. Technol. 2019, 272, 570–581. [Google Scholar] [CrossRef] [PubMed]
- González-López, M.E.; Robledo-Ortíz, J.R.; Rodrigue, D.; Pérez-Fonseca, A.A. Highly porous lignin composites for dye removal in batch and continuous-flow systems. Mater. Lett. 2020, 263. [Google Scholar] [CrossRef]
- Wang, G.; Qi, S.; Xia, Y.; Parvez, A.M.; Si, C.; Ni, Y. Mild One-Pot Lignocellulose Fractionation Based on Acid-Catalyzed Biphasic Water/Phenol System to Enhance Components’ Processability. ACS Sustain. Chem. Eng. 2020, 8, 2772–2782. [Google Scholar] [CrossRef]
- Carrott, P.J.M.; Carrott, M.R. Lignin–from natural adsorbent to activated carbon: A review. Bioresour. Technol. 2007, 98, 2301–2312. [Google Scholar] [CrossRef]
- Sipponen, M.H.; Pihlajaniemi, V.; Littunen, K.; Pastinen, O.; Laakso, S. Determination of surface-accessible acidic hydroxyls and surface area of lignin by cationic dye adsorption. Bioresour. Technol. 2014, 169, 80–87. [Google Scholar] [CrossRef]
- Feng, Q.; Cheng, H.; Li, J.; Wang, P.; Xie, Y. Adsorption behavior of basic dye from aqueous solution onto alkali extracted lignin. BioResources 2014, 9, 3602–3612. [Google Scholar] [CrossRef]
- Feng, Q.; Cheng, H.; Chen, F.; Zhou, X.; Wang, P.; Xie, Y. Investigation of cationic dye adsorption from water onto acetic acid lignin. J. Wood Chem. Technol. 2016, 36, 173–181. [Google Scholar] [CrossRef]
- Zhang, S.; Wang, Z.; Zhang, Y.; Pan, H.; Tao, L. Adsorption of methylene blue on organosolv lignin from rice straw. Procedia Environ. Sci. 2016, 31, 3–11. [Google Scholar] [CrossRef]
- Menkiti, M.; Aniagor, C.; Agu, C.; Ugonabo, V. Effective adsorption of crystal violet dye from an aqueous solution using lignin-rich isolate from elephant grass. Water Conserv. Sci. Eng. 2018, 3, 33–46. [Google Scholar] [CrossRef]
- Wang, G.; Chen, H. Fractionation and characterization of lignin from steam-exploded corn stalk by sequential dissolution in ethanol–water solvent. Sep. Purif. Technol. 2013, 120, 402–409. [Google Scholar] [CrossRef]
- Jiang, P.; Li, Q.; Gao, C.; Lu, J.; Cheng, Y.; Zhai, S.; An, Q.; Wang, H. Fractionation of alkali lignin by organic solvents for biodegradable microsphere through self-assembly. Bioresour. Technol. 2019, 289, 121640. [Google Scholar] [CrossRef]
- Prado, R.; Erdocia, X.; Labidi, J. Lignin extraction and purification with ionic liquids. J. Chem. Technol. Biotechnol. 2013, 88, 1248–1257. [Google Scholar] [CrossRef]
- Liu, C.; Si, C.; Wang, G.; Jia, H.; Ma, L. A novel and efficient process for lignin fractionation in biomass-derived glycerol-ethanol solvent system. Ind. Crop. Prod. 2018, 111, 201–211. [Google Scholar] [CrossRef]
- Yuan, T.-Q.; Sun, S.-N.; Xu, F.; Sun, R.-C. Characterization of lignin structures and lignin–carbohydrate complex (LCC) linkages by quantitative 13C and 2D HSQC NMR spectroscopy. J. Agric. Food Chem. 2011, 59, 10604–10614. [Google Scholar] [CrossRef]
- An, L.; Si, C.; Wang, G.; Sui, W.; Tao, Z. Enhancing the solubility and antioxidant activity of high-molecular-weight lignin by moderate depolymerization via in situ ethanol/acid catalysis. Ind. Crop. Prod. 2019, 128, 177–185. [Google Scholar] [CrossRef]
- Maniet, G.; Schmetz, Q.; Jacquet, N.; Temmerman, M.; Gofflot, S.; Richel, A. Effect of steam explosion treatment on chemical composition and characteristic of organosolv fescue lignin. Ind. Crop. Prod. 2017, 99, 79–85. [Google Scholar] [CrossRef]
- Wang, G.; Chen, H. Enhanced lignin extraction process from steam exploded corn stalk. Sep. Purif. Technol. 2016, 157, 93–101. [Google Scholar] [CrossRef]
- Wen, J.L.; Sun, S.L.; Xue, B.L.; Sun, R.C. Recent Advances in Characterization of Lignin Polymer by Solution-State Nuclear Magnetic Resonance (NMR) Methodology. Materials 2013, 6, 359–391. [Google Scholar] [CrossRef] [PubMed]
- Min, D.; Jameel, H.; Chang, H.; Lucia, L.; Wang, Z.; Jin, Y. The structural changes of lignin and lignin–carbohydrate complexes in corn stover induced by mild sodium hydroxide treatment. RSC Adv. 2014, 4, 10845–10850. [Google Scholar] [CrossRef]
- Nair, V.; Panigrahy, A.; Vinu, R. Development of novel chitosan–lignin composites for adsorption of dyes and metal ions from wastewater. Chem. Eng. J. 2014, 254, 491–502. [Google Scholar] [CrossRef]
- Sciban, M.; Klasnja, M. Study of the adsorption of copper (II) ions from water onto wood sawdust, pulp and lignin. Adsorpt. Sci. Technol. 2004, 22, 195–206. [Google Scholar] [CrossRef]
- Amer, F.; Mahmoud, A.A.; Sabet, V. Zeta Potential and Surface Area of Calcium Carbonate as Related to Phosphate Sorption1. Soil Sci. Soc. Am. J. 1985, 49, 1137–1142. [Google Scholar] [CrossRef]
- Singh, S.; Barick, K.C.; Bahadur, D. Surface engineered magnetic nanoparticles for removal of toxic metal ions and bacterial pathogens. J. Hazard. Mater. 2011, 192, 1539–1547. [Google Scholar] [CrossRef]
- Bayat, M.; Javanbakht, V.; Esmaili, J. Synthesis of zeolite/nickel ferrite/sodium alginate bionanocomposite via a co-precipitation technique for efficient removal of water-soluble methylene blue dye. Int. J. Biol. Macromol. 2018, 116, 607–619. [Google Scholar] [CrossRef] [PubMed]
- Novais, R.M.; Caetano, A.P.F.; Seabra, M.P.; Labrincha, J.A.; Pullar, R.C. Extremely fast and efficient methylene blue adsorption using eco-friendly cork and paper waste-based activated carbon adsorbents. J. Clean. Prod. 2018, 197, 1137–1147. [Google Scholar] [CrossRef]
- Tan, I.; Ahmad, A.; Hameed, B. Adsorption of basic dye on high-surface-area activated carbon prepared from coconut husk: Equilibrium, kinetic and thermodynamic studies. J. Hazard. Mater. 2008, 154, 337–346. [Google Scholar] [CrossRef]
- Consolin Filho, N.; Venancio, E.; Barriquello, M.; Hechenleitner, A.; Pineda, E. Methylene blue adsorption onto modified lignin from sugar cane bagasse. Eclética Química 2007, 32, 63–70. [Google Scholar] [CrossRef][Green Version]
- Wang, G.; Liu, Q.; Chang, M.; Jang, J.; Sui, W.; Si, C.; Ni, Y. Novel Fe3O4@ lignosulfonate/phenolic core-shell microspheres for highly efficient removal of cationic dyes from aqueous solution. Ind. Crop. Prod. 2019, 127, 110–118. [Google Scholar] [CrossRef]
- Zhang, W.; Yan, H.; Li, H.; Jiang, Z.; Dong, L.; Kan, X.; Yang, H.; Li, A.; Cheng, R. Removal of dyes from aqueous solutions by straw based adsorbents: Batch and column studies. Chem. Eng. J. 2011, 168, 1120–1127. [Google Scholar] [CrossRef]
- Feng, Y.; Zhou, H.; Liu, G.; Qiao, J.; Wang, J.; Lu, H.; Yang, L.; Wu, Y. Methylene blue adsorption onto swede rape straw (Brassica napus L.) modified by tartaric acid: Equilibrium, kinetic and adsorption mechanisms. Bioresour. Technol. 2012, 125, 138–144. [Google Scholar] [CrossRef] [PubMed]
- Hameed, B.; Din, A.M.; Ahmad, A. Adsorption of methylene blue onto bamboo-based activated carbon: Kinetics and equilibrium studies. J. Hazard. Mater. 2007, 141, 819–825. [Google Scholar] [CrossRef] [PubMed]
- Hsu, D.; Lu, C.; Pang, T.; Wang, Y.; Wang, G. Adsorption of Ammonium Nitrogen from Aqueous Solution on Chemically Activated Biochar Prepared from Sorghum Distillers Grain. Appl. Sci. 2019, 9, 5249. [Google Scholar] [CrossRef]
- Li, J.; Li, H.; Yuan, Z.; Fang, J.; Chang, L.; Zhang, H.; Li, C. Role of sulfonation in lignin-based material for adsorption removal of cationic dyes. Int. J. Biol. Macromol. 2019, 135, 1171–1181. [Google Scholar] [CrossRef]
- Yang, Y.; Wei, X.; Sun, P.; Wan, J. Preparation, Characterization and Adsorption Performance of a Novel Anionic Starch Microsphere. Molecules 2010, 15, 2872–2885. [Google Scholar] [CrossRef]
- Ai, L.; Jiang, J. Removal of methylene blue from aqueous solution with self-assembled cylindrical graphene–carbon nanotube hybrid. Chem. Eng. J. 2012, 192, 156–163. [Google Scholar] [CrossRef]
- Zhao, M.; Tang, Z.; Liu, P. Removal of methylene blue from aqueous solution with silica nano-sheets derived from vermiculite. J. Hazard. Mater. 2008, 158, 43–51. [Google Scholar] [CrossRef] [PubMed]
Sample Availability: Not available |






| S1 | S2 | S3 | EHL (S1 + S2 + S3) | |
|---|---|---|---|---|
| Yield (%) | 22.87 | 27.80 | 45.34 | - |
| Mw | 4050 | 6270 | 12230 | 7280 |
| Mn | 2238 | 3800 | 7194 | 3569 |
| Polydispersity | 1.81 | 1.65 | 1.70 | 2.04 |
| Specific surface area | 2.44 | 4.06 | 4.84 | 2.89 |
| Zeta potential 1 | −19.31 ± 1.63 | −28.69 ± 2.29 | −35.24 ± 3.08 | −24.71 ± 1.77 |
| Kinetic parameters | T (°C) | Qe (mg/g) | Pseudo-First-Order Kinetics | Pseudo-Second-Order Kinetics | ||||
| K1 (min−1) | Q1 (mg/g) | R2 | K2*10−4 (g*mg−1*min−1) | Q2 (mg/g) | R2 | |||
| 30 | 337.7 | 0.18 | 312.5 | 0.966 | 9.3 | 331.1 | 0.994 | |
| 40 | 395.1 | 0.21 | 372.0 | 0.952 | 9.7 | 392.5 | 0.989 | |
| 50 | 418.9 | 0.35 | 406.9 | 0.987 | 20.2 | 420.1 | 0.999 | |
| Isotherm parameters | T (°C) | Freundlich Constant | Langmuir Constant | |||||
| n | KF | R2 | b (L/mg) | Qm (mg/g) | R2 | |||
| 30 | 11.8 | 205.4 | 0.972 | 0.13 | 341.0 | 0.931 | ||
| 40 | 9.5 | 225.6 | 0.916 | 0.16 | 408.5 | 0.969 | ||
| 50 | 11.0 | 260.8 | 0.858 | 0.29 | 431.1 | 0.979 | ||
| Adsorbents | Adsorption Capacity (mg/g) | References |
|---|---|---|
| 80% insoluble subdivision of EHL (corn stalk) | 431.1 | This work |
| Deacetylated acetic acid lignin (eucalyptus) | 63.3 | [22] |
| Organosolv lignin (rice straw) | 40.0 | [23] |
| Formic lignin (sugar cane bagasse) | 34.2 | [42] |
| Fe3O4@lignosulfonate/phenolic microsphere | 292.6 | [43] |
| Straw based adsorbents | 274.7 | [44] |
| Swede rape straw | 246.4 | [45] |
| Bamboo-based activated carbon | 454.2 | [46] |
| cork waste-based activated carbon | 350.0 | [40] |
| Coconut husk-based activated carbon | 434.8 | [41] |
© 2020 by the authors. Licensee MDPI, Basel, Switzerland. This article is an open access article distributed under the terms and conditions of the Creative Commons Attribution (CC BY) license (http://creativecommons.org/licenses/by/4.0/).
Share and Cite
Sui, W.; Pang, T.; Wang, G.; Liu, C.; Parvez, A.M.; Si, C.; Li, C. Stepwise Ethanol-Water Fractionation of Enzymatic Hydrolysis Lignin to Improve Its Performance as a Cationic Dye Adsorbent. Molecules 2020, 25, 2603. https://doi.org/10.3390/molecules25112603
Sui W, Pang T, Wang G, Liu C, Parvez AM, Si C, Li C. Stepwise Ethanol-Water Fractionation of Enzymatic Hydrolysis Lignin to Improve Its Performance as a Cationic Dye Adsorbent. Molecules. 2020; 25(11):2603. https://doi.org/10.3390/molecules25112603
Chicago/Turabian StyleSui, Wenjie, Tairan Pang, Guanhua Wang, Cuiyun Liu, Ashak Mahmud Parvez, Chuanling Si, and Chao Li. 2020. "Stepwise Ethanol-Water Fractionation of Enzymatic Hydrolysis Lignin to Improve Its Performance as a Cationic Dye Adsorbent" Molecules 25, no. 11: 2603. https://doi.org/10.3390/molecules25112603
APA StyleSui, W., Pang, T., Wang, G., Liu, C., Parvez, A. M., Si, C., & Li, C. (2020). Stepwise Ethanol-Water Fractionation of Enzymatic Hydrolysis Lignin to Improve Its Performance as a Cationic Dye Adsorbent. Molecules, 25(11), 2603. https://doi.org/10.3390/molecules25112603
