Abstract
Widespread latent herpes viral infections within a population can lead to the development of co-infections in HIV-infected patients. These infections are not particularly dangerous for healthy individuals and often occur with minimal symptoms, but for those who are immunocompromised, these infections can accelerate the acute phase of HIV infection and AIDS. Thus, the idea of designing compounds that could combine activity against HIV and co-infections would seem promising. In that regard, eleven compounds were synthesized that represent conjugates of non-nucleoside HIV reverse transcriptase inhibitors and nucleoside inhibitors of the herpes family viruses with the hope that these novel heterodimers will result in dual activity against HIV and concomitant herpes virus infections.
1. Introduction
According to the WHO, there are more than 38 million people currently living with human immunodeficiency virus (HIV) and of those, about 3 million HIV-infected people die each year. Thus, HIV infection and the AIDS pandemic are not only a serious threat to human health, but can also have significant social and economic consequences. Currently used highly active antiretroviral therapy (HAART) is not a panacea, since long-term side effects, the development of drug resistance, the emergence of resistant strains of the virus, as well as intolerance by some patients for these drugs have been problematic [1]. An additional problem is the simultaneous infection of other viruses, such as hepatitis, cytomegalovirus, and herpes viruses among others.
Herpes simplex virus type 2 (HSV-2) is one of the most common sexually transmitted infections worldwide and 50–90% of HIV-infected people are co-infected with this virus [2]. HSV-2 is a DNA virus belonging to the herpes virus family, which includes more than 120 viruses that infect many animal species. Primary infection with herpes viruses in immunocompetent hosts is often asymptomatic or with minimal symptoms, but morbidity and mortality can be high in the case of a person who is immunodeficient, especially in the case of cytomegalovirus (CMV), herpes simplex viruses and Varicella-Zoster virus (VZV) [3]. The immunological effect of viral co-infections contributes to the acceleration of virus replication, viral genotypic heterogeneity and a decrease in CD4+ T-lymphocytes, which leads to a weakening of the immune system, reduced survival and significantly increases the risk of HIV-1 transmission [4,5,6]. Long-term epidemiological and molecular studies have shown a strong and synergistic relationship between HSV-2 and HIV-1 infections [6,7]. Thus, there is obvious need to create an effective antiviral drug against both viruses.
Previously, we have synthesized heterodimers of 2′,3′-dideoxy-3′-azidothymidine, a classical nucleoside inhibitor (NI) of DNA biosynthesis catalyzed by HIV reverse transcriptase, and 1-[ω-(4-bromophenoxy)alkyl] uracil derivatives which are non-nucleoside inhibitors of HCMV replication [8]. We have shown that such heterodimers are able to release active antiviral components under the action of hydrolyzing enzymes (esterases). The obtained compounds demonstrated antiviral activity in vitro against CMV (ID50 3–12 μM) and HIV-1 (ID50 0.19–0.83 μM) without cytotoxicity (CD50 170–600 μM in a culture of human lung embryo diploid fibroblasts, CD50 > 100 µM on MT-4 cells). Experiments on the human tissue system ex vivo simultaneously infected with HIV-1 (LAI.04) and CMV confirmed the ability of the compounds to completely suppress the replication of both viruses in concentration of 10 μM, with a complete absence of cytotoxicity at this concentration [9].
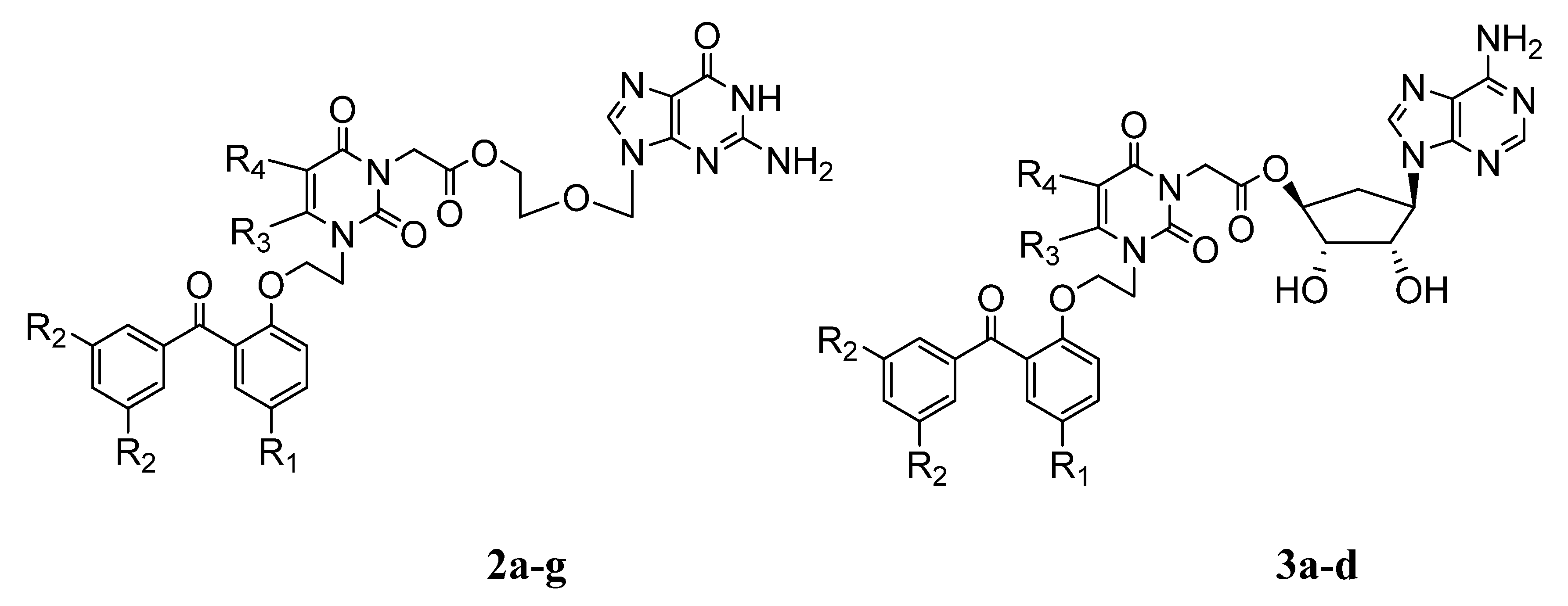
Here we present the synthesis and activity of two new groups of heterodimers. These heterodimers consist of a non-nucleoside HIV reverse transcriptase inhibitor (HIV NNRTI), containing the substituted benzophenone residue attached to the N-1 position of uracil by an oxyethyl linker [10,11,12] with nucleoside analogues (NIs) that have significant activity against herpes viruses (CMV, VZV, HSV-2), acyclovir (ACV) or 5′-noraristeromycin (Figure 1).
Figure 1.
Lead antiviral agents.
A study of the biological activity of N1-alkylated uracil derivatives 1 containing the benzophenone fragment showed potent antiviral activity against HIV-1 (EC50 0.016–0.51 μM on MT-4 cells) [10,12]. A structure-activity relationship study revealed that the R1 substituent plays a crucial role in modulating biological activity. The R2 substituents also have positive influence on the activity of the compounds. Thus, the most active uracil derivatives with R1 = H, Cl or Br and R2 = H, Me or Cl were selected to design heterodimers.
The first group of heterodimers (2a-2g) was based on ACV, which is an FDA-approved drug for the treatment of HSV, and also has some activity against Varicella-Zoster virus (Figure 2). ACV is an acyclic analogue of guanosine, which, after intracellular conversion to the corresponding triphosphate, becomes a chain terminator substrate of the virus DNA polymerase [13]. There are three stages of ACV phosphorylation. The first stage is catalyzed by herpes virus thymidine kinase (HSV-TK), which recognizes ACV as a substrate much more efficiently than cell thymidine kinase. Differences in substrate specificity of cell and viral thymidine kinases provide high selectivity for ACV to the virus. VZV thymidine kinase can also phosphorylate ACV [13]. Phosphorylation of ACV monophosphate to diphosphate by the cell enzyme guanylate kinase proceeds at a lower rate than the conversion of GMP to GDP, however, the reaction proceeds quite efficiently, and most of the monophosphate is converted to the diphosphate. The last phosphorylation step can be carried out by several different cellular enzymes, including phosphoglycerate kinase, nucleoside diphosphate kinase and phosphoenolpyruvate kinase [13]. The final ACV triphosphate is the actual active form of the compound. Viral DNA polymerase incorporates it into viral DNA instead of 2’-deoxyguanosine triphosphate, which then causes chain termination. Interestingly, treatment of HIV-1/HSV-2 co-infected people with ACV reduces the viral load of both viruses, although suppression of HIV-1 by ACV is not particularly effective [14].
Figure 2.
New heterodimers.
The second group of heterodimers (3a-3d) incorporates 5′-noraristeromycin, which is a carbocyclic analogue of adenosine (Figure 2). 5′-Noraristeromycin doesn’t have the methylene group at the 5′-position and, as a consequence, cannot be phosphorylated by intracellular enzymes. As it is an effective inhibitor of the cellular enzyme S-adenosylhomocysteine hydrolase, 5′-noraristeromycin has a wide spectrum of antiviral activity against DNA and RNA viruses, including herpes viruses [15]. Racemic (±)-5′-noraristeromycin showed potent antiviral activity against CMV (HEL cells, MIC50 1.5 μM for both strains AD-169 and Davis) [16]. It was later shown that the active molecule is the (-) enantiomer (HEL cells, MIC50 0.04–0.2 μM for strain AD-169 and MIC50 0.1–0.3 μM for strain Davis), while the (+) enantiomer of 5′-noraristeromycin was three orders of magnitude weaker [17].
Based on previous work [9], we choose acetic acid as the linker connecting the HIV NNRTI and the NI of the heterodimers.
2. Results and Discussion
2.1. Chemistry
The 1-[2-(2-benzoyl-4(R)-phenoxy)ethyl] derivatives of uracil 1a–1g were treated with ethyl bromoacetate in a DMF solution in the presence of K2CO3 at room temperature to introduce the acetic acid moiety at the C3 position of the pyrimidine ring. The corresponding ethyl esters of [2,6-dioxo-3-[(2-benzoylphenoxy)ethyl)]-3,6-dihydropyrimidin-1(2H)-yl]acetic acids 4a–4g were thus formed as crystals in 77–90% yield. One exception was the 6-methyluracil derivative 4e, which was isolated as a viscous oil. Subsequent hydrolysis of esters 4a–4g with LiOH in an aqueous-alcoholic medium at room temperature led to the formation of the desired [2,6-dioxo-3-[(2-benzoylphenoxy)ethyl)]-3,6-dihydropyrimidin-1(2H)-yl]acetic acids 5a–5g in 80–94% yield (Scheme 1).
Scheme 1.
Synthesis of [2,6-dioxo-3-[(2-benzoylphenoxy)ethyl)]-3,6-dihydropyrimidin-1(2H)-yl]acetic acids 5a–5g. Reagents and conditions: (a) BrCH2COOEt, K2CO3, DMF; (b) LiOH, H2O/EtOH.
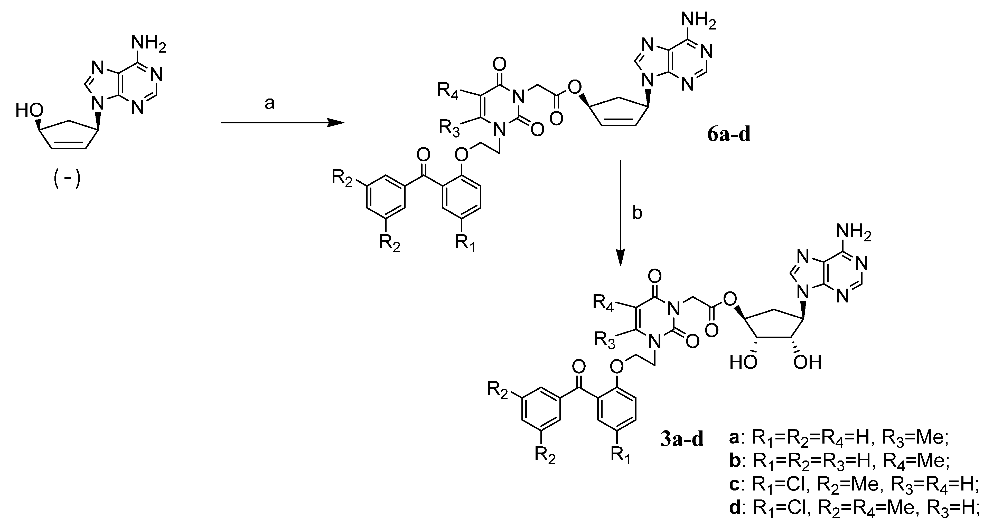
Nucleoside analogues ACV or 5′-noraristeromycin [13,17], were used as the second component of the heterodimers. ACV was kindly provided by the AZT Association. The synthesis, isolation and purification of the 5′-noraristeromycin precursor (−)-9-(4′-hydroxy-2′-cyclopenten-1′-yl)adenine were carried out by the methods previously described [15].
The synthesis of compounds 2a–2g, condensation of derivatives of [2,6-dioxo-3-[(2-benzoylphenoxy)ethyl)]-3,6-dihydropyrimidin-1(2H)-yl]acetic acids 5a–5g with ACV was carried out in the presence of 1-ethyl-3-(3-dimethylaminopropyl)carbodiimide (EDC) and dimethyl-aminopyridine (DMAP) in dimethylformamide (DMF) (Scheme 2). The yields after isolation and purification ranged between 12.5–38.3%.
Scheme 2.
Synthesis of heterodimers 2a–2g. Reagents and conditions: (a) 5a–5g, EDC, DMAP, DMF.
Since the active compound is (−)-5′-noraristeromycin, for the synthesis of the second group of conjugates of [2,6-dioxo-3-[(2-benzoylphenoxy)ethyl)]-3,6-dihydropyrimidine-1(2H)-yl]acetic acids with 5′-noraristeromycin, we used (−)-9-(4′-hydroxy-2′-cyclopenten-1′-yl)adenine obtained in two stages according to the published procedure [15]. The (−)-isomer was condensed with the corresponding acids 5a–5d as described above and the subsequent oxidation of the double bond of compounds 6a–6d in the presence of osmium tetroxide gave targets 3a–3d (Scheme 3). It should be noted that the product yields at the condensation stage in this case were significantly higher (52−76%) than in reactions with ACV (12.5–38.3%). The yields of the heterodimers based on (−)-9-(4′-hydroxy-2′-cyclopenten-1′-yl)adenine were 23.7−37.4%.
Scheme 3.
Synthesis of heterodimers 3a–3d. Reagents and conditions: (a) 5a−5g, EDCI, DMAP, DMF; (b) OsO4, NMMO, 1,4-dioxane; H2O (10:1).
2.2. Hydrolysis of Compounds by Esterase from Porcine Liver
We assumed that the compounds 2a–2g and 3a–3d could be hydrolyzed enzymatically and generate biologically active components. We choose porcine esterase as one of the enzymes which could be involved in hydrolysis of synthesized compounds. The compounds 2d and 3d were taken as examples. T1/2 for compounds was about 9 h and hydrolysis was completed in 30 h. Reaction of 2d with esterase gave two main products, identified by TLC as acyclovir and 1-[ω-(4-bromophenoxy)alkyl]uracil acetic acid (5d), respectively. Reaction of 3d with esterase gave two main products identified by TLC as 5′-noraristeromycine and 5d. Not even traces of the parental compound 1d were found in both cases. Thymidine diacetate was used as a positive control; its hydrolysis was totally completed after 4 h under the same conditions.
2.3. Biological Activity
Using a prodrug is a very well-known and effective way to overcome potential shortcomings of a drug [18]. Usually a prodrug consists of the drug and an inactive “carrier” moiety, which, after hydrolysis in vivo, releases the drug inside the cell [18]. The concept of our heterodimer approach was to achieve dual action against HIV and herpes viruses, so by combining two drugs, it essentially gave a “mutual” prodrug, codrug where one drug serves as the carrier for the other and vice versa [19]. In our case, we combined two well-known nucleoside inhibitors of herpes family viruses ACV and 5′-noraristeromycin with nonnucleoside HIV RT inhibitors, substituted 2,6-dioxo-3-[(2-benzoylphenoxy)ethyl)]-3,6-dihydropyrimidines [10].
When creating dual-acting heterodimers however, it is very important to choose the right linker. The optimal linker should be non-toxic, able to sequentially cross-link with the given functional groups of both antiviral agents and give the heterodimer molecule the ability to release active components at the desired rate as a result of hydrolysis (chemical and/or enzymatic) in the body. The choice of a linker essentially determines the rate of release of the active components and, as a result, the level of activity of the individual compounds. We have previously shown that the acetic acid moiety was a successful linker in heterodimers consisting of 2′,3′-dideoxy-3′-azidothymidine and 1-[ω-(4-bromophenoxy)alkyl]uracil derivatives [9], thus we selected it for this investigation.
We obtained seven ACV-containing heterodimers 2a–2g and four derivatives of 5′-noraristeromycin 3a–3d. Compounds 2a–2g and 3a showed a lack of cytotoxicity on CEM (human lymphocytic) and HEL (human embryonic lung fibroblasts) cell cultures. After testing the heterodimers on a CEM cells infected with HIV-1 (strain IIIb) it was found that compounds 2a, 2c–2g, 3a–3d had anti-HIV activity, but significantly lower than both the original NNRTIs 1a–1g and antiviral drugs used as controls (Table 1). This is likely due to the ineffective release of the NNRTIs 1a−1g in the conditions for the cell experiments.
Table 1.
Cytotoxicity and antiviral activity against HIV (strain IIIB, SEM cells).
ACV-containing heterodimers 2a–2g were then tested in HEL cells infected with HSV-1 or HSV-2 (Table 2). None of the compounds showed significant inhibition of HSV-1 (data not shown), and while all derivatives were active against HSV-2, but less effective then ACV ranging from five (for 2e) to 25 times worse (for 2a and 2g). Such a decrease in activity would seem to indicate a slow release of the ACV in cellular experiments.
Table 2.
Cytotoxicity and antiviral activity against Herpes simplex virus type 2 in HEL cell cultures.
Heterodimers 2a–2g were also tested in HEL cells infected with VZV and CMV viruses (Table 3). The derivatives of ACV did not exhibit significant anti-CMV activity, but compounds 2b, 2f and 2g showed moderate activity against VZV.
Table 3.
Cytotoxicity and antiviral activity against varicella-zoster virus (VZV) and human cytomegalovirus (CMV) in HEL cells.
In addition, heterodimers containing 5′-noraristeromycin 3a–3d did not show activity against HSV-1 and HSV-2 (data not shown). Slight inhibition of VZV was detected for compounds 3c and 3d (Table 3). CMV was moderately inhibited by compounds 3b–3d (Table 3). It should be noted that for 3d, the EC50 and CC50 values were almost the same. Derivatives of 5′-noraristeromycin, which is a known VV inhibitor, were additionally tested against this virus (Table 4). Compounds 3b and 3d showed anti-VV activity lower than the parent analogue by 14- and 8-fold less, respectively. Interestingly, compound 2f, an ACV derivative, also showed weak activity against VV.
Table 4.
Cytotoxicity and antiviral activity against Vaccinia virus in HEL cells.
Thus, the lack of significant antiviral activity for the heterodimers suggests that the hydrolysis of the ester linkage and the release of nucleoside analogues under cellular experiment conditions goes too slowly to effectively deliver the drugs in a timely fashion. A significant drop in anti-HIV activity is most likely due to the lack of hydrolysis of the acetic acid residue from uracil fragment. Instead of compounds 1a–1g, low active acetic acids 5a–5g were obtained. Thus, the use of acetic acid as the linker, which proved successful in previously studied and structurally similar heterodimers [9], did not give the desired results in this current study. Optimization of the linker to achieve more efficient hydrolysis for obtaining a higher inhibitory effect is currently underway and the results will be published as they become available.
3. Materials and Methods
3.1. General Information
All reagents (highest grade available) were obtained from Sigma (St. Louis, MO, USA) and Acros Organics (Geelcity, Belgium) and used without further purification unless otherwise noted. Anhydrous DMF and isopropanol were purchased from Sigma-Aldrich (Madison, WI, USA). Anhydrous 1,2-dichloroethane, and ethyl acetate were obtained by distillation over P2O5.
Column chromatography was performed on Silica Gel 60 0.040−0.063 mm (Merck, Darmstadt, Germany), and systems for elution are indicated in the text. Thin layer chromatography (TLC) was performed on TLC Silica gel 60 F254 plates (Merck). Preparative layer chromatography (PLC) was performed on PLC Silica gel 60 F254 plates (Merck). Flash chromatography was performed on Kieselgel 60−200 micron, 60A (Acros Organics). 1H- and 13C-nuclear magnetic resonance (NMR) spectra were registered on a Bruker Avance 400 (400 MHz for 1H and 100 MHz for 13C) spectrometer and Bruker Avance 300 (300 MHz for 1H and 100 MHz for 13C) spectrometer (Bruker, Newark, Germany) using tetramethylsilane (TMS) in CDCl3, CD3OD, CDCl3/CD3OD mixture, or DMSO-d6 as internal standard. Chemical shifts are given in ppm, and the letter “J” indicates normal 3JHH couplings and all J values are given in Hz. High-resolution mass spectra (HRMS) were registered on a Bruker Daltonics micrOTOF-Q II instrument using electrospray ionization (ESI). The measurements were acquired in a negative ion mode with the following parameters: interface capillary voltage-3700 V; mass range from m/z 50 to 3000; external calibration (Electrospray Calibrant Solution, Fluka, Newark, NH, USA); nebulizer pressure 0.3 Bar; flow rate- 3 L/min; dry gas nitrogen (4.0 L/min); interface temperature was set at 180 or 190 °C. A syringe injection was used. Melting points were determined using a Mel-Temp 3.0 apparatus (Laboratory Devices Inc., Auburn, CA, USA).
3.2. Chemistry
Starting benzophenone analogues of uracil and thymine 1b, 1c, 1e and 1f were synthesized according to the published protocol [10], and benzophenone derivatives of 6-methyluracil as described earlier [20].
3.2.1. General Method for the Synthesis of Ethyl Ester of [2,6-dioxo-3-[(2-benzoylphenoxy)ethyl]-3,6-dihydropyrimidine-1(2H)-yl]carboxylic acids 4a–4g
A mixture of the 1-[2-(2-benzoylphenoxy)ethyl]uracil derivative 1 (1.69 mmol) and K2CO3 (0.3 g; 2.17 mmol) was stirred in DMF (10 mL) at 80 °C during 1 h. and then cooled to room temperature. Then ethyl bromoacetate was added (0.2 mL; 1.80 mmol). The resulting mixture was stirred for 20 h at room temperature. Then the reaction mixture was evaporated in vacuo, the residue was treated with 50 mL of cold water and extracted with 1,2-dichloroethane (5 × 20 mL). The extract was evaporated under reduced pressure and the residue was purified by flash chromatography on silica gel eluting with ethyl acetate. The fractions containing the product were crystallized from ethyl acetate-hexane. The yield of target esters 4a–4g was in the range of 77–89%. Compound 4e was obtained as a viscous oil with a yield of 74%.
Ethyl ester of [2,6-dioxo-3-[(2-benzoylphenoxy)ethyl]-6-methyl-3,6-dihydropyrimidine-1(2H)-yl]carboxylic acid (4a). Purified by crystallization from an ethyl acetate-hexane (2:1) mixture in 90% yield. Mp 150–151 °C, Rf 0.68 (ethyl acetate:1,2-dichloroethane, 1:1). 1H-NMR (DMSO-d6): 1.15 (3H, t, J = 7.0 Hz, CH3), 1.89 (3H, s, CH3), 3.94 (2H, t, J = 5.0 Hz, CH2-N), 4.09 (2H, qd, J = 7.1 Hz, CH2), 4.19 (2H, t, J = 5.0 Hz, CH2-O), 4.45 (2H, s, CH2CO), 5.29 (1H, s, H5Ura), 7.10 (1H, s, J = 7.5 Hz, HPh2CO), 7.20 (1H, t, J = 8.4 Hz, HPh2CO), 7.28 (1H, dd, J = 7.4 and 1.7 Hz, HPh2CO), 7.34–7.47 (2H, m, HPh2CO), 7.51 (1H, dt, J = 8.0 and 1.7 Hz, HPh2CO), 7.58 (1H, t, J = 7.3 Hz, HPh2CO), 7.64–7.66 (2H, m, HPh2CO). 13C-NMR (DMSO-d6): 14.0, 19.4, 41.56, 44.2, 60.9, 65.7, 100.2, 112.7, 121.3, 128.5, 128.6, 128.8, 129.2, 131.2, 133.6, 136.5, 151.2, 153.4, 155.2, 160.5, 167.8, 195.5 (see Supplementary Materials).
Ethyl ester of [2,6-dioxo-3-[(2-benzoylphenoxy)ethyl]-5-methyl-3,6-dihydropyrimidine-1(2H)-yl]carboxylic acid (4b). Purified by crystallization from an ethyl acetate-hexane mixture (2:1) in 77% yield. Mp 118–119 °C, Rf 0.57 (ethyl acetate:1,2-dichloroethane, 1:1).1H-NMR (DMSO-d6): 1.16 (3H, t, J = 7.1 Hz, CH3), 1.63 (3H, s, CH3), 3.86 (2H, t, J = 5 Hz, CH2), 4.10 (2H, t, J = 7.1 Hz, CH2), 4.19 (2H, qd, J = 5.0 Hz, CH2), 4.46 (2H, s, CH2CO), 6.98 (1H, d, J = 1.1 Hz, H6Thy), 7.10 (1H, t, J = 7.5 Hz, HPh2CO), 7.21 (1H, t, J = 8.4 Hz, HPh2CO), 7.30 (1H, dd, J = 7.5 and 1.7 Hz, HPh2CO), 7.45–7.49 (2H, m, HPh2CO), 7.52 (1H, dt, J = 8.0 and 1.7 Hz, HPh2CO), 7.59 (1H, t, J = 7.4 Hz, HPh2CO), 7.65–7.67 (2H, m, HPh2CO). 13C-NMR (DMSO-d6): 12.4, 14.0, 41.8, 48.0, 60.9, 65.6, 107.1, 112.9, 121.2, 128.5, 128.9, 129.1, 132.0, 133.4, 136.8, 140.8, 150.4, 155.3, 162.4, 167.8, 195.3.
Ethyl ester of [2,6-dioxo-3-[(2-[2-(3,5-dimethylbenzoyl)-4-chlorophenophenoxy]ethyl]-3,6-dihydropyrimidine-1(2H)-yl]carboxylic acid (4c). Purified by crystallization from an ethyl acetate-hexane mixture (2:1) in 84% yield. Mp 152–153 °C, Rf 0.67 (ethyl acetate:1,2-dichloroethane, 1:1).1H-NMR (DMSO-d6): 1.16 (3H, t, J = 7.0 Hz, CH3), 2.28 (6H, t, CH3), 3.72 (2H, t, J = 4.9 Hz, N-CH2), 4.09 (2H, t, J = 7.0 Hz, O-CH2), 4.18 (2H, qd, J = 5.1 Hz, CH2), 4.43 (2H, s, CH2CO), 5.32 (1H, d, J = 7.9 Hz, H5Ura), 6.94 (1H, d, J = 8.0 Hz, H-3”), 7.22–7.34 (4H, m, H-5”, H-2‘, H-4‘, H-6′), 7.55 (1H, dd, J = 8.9 and 2.7 Hz, H-6”). 13C-NMR (DMSO-d6): 14.0, 20.7, 41.5, 48.1, 61.0, 66.1, 99.4, 114.9, 125.1, 127.0, 128.1, 130.6, 131.3, 125.2, 136.5, 138.0, 144.4, 150.6, 154.0, 161.5, 167.6, 193.9.
Ethyl ester of [2,6-dioxo-3-[(2-[2-(3,5-dimethylbenzoyl)-4-chlorophenophenoxy]ethyl]-5-methyl-3,6-dihydropyrimidine-1(2H)-yl]carboxylic acid (4d). Purified by crystallization from an ethyl acetate-hexane mixture (2:1) in 87% yield. Mp 153-154 °C, Rf 0.73 (ethyl acetate:1,2-dichloroethane, 1:1).1H- NMR (DMSO-d6): 1.16 (3H, t, J = 5.0 Hz, CH3), 2.27 (3H, s, CH3), 2.29 (6H, s, CH3), 3.86 (2H, t, J = 5.0 Hz, N–CH2), 4.09 (2H, qd, J = 7.2 Hz, CH2), 4.20 (2H, t, J = 5.0 Hz, O–CH2), 4.44 (2H, s, CH2CO), 6.98 (1H, s, H-3”), 7.24–7.31 (5H, m, H-5”, H-2′, H-4′, H-6′, H6Ura), 7.54 (1H, dd, J = 8.9 и 2.6 Hz, H-6”). 13C-NMR (DMSO-d6): 12.2, 13.9, 20.6, 41.6, 47.9, 60.9, 66.1, 107.0, 115.1, 125.0, 126.9, 128.0, 130.6, 131.2, 135.1, 136.2, 137.9, 140.7, 150.3, 154.0, 162.2, 167.6, 193.7.
Ethyl ester of [2,6-dioxo-3-[(2-[2-(3,5-dimethylbenzoyl)-4-chlorophenophenoxy]ethyl]-6-methyl-3,6-dihydropyrimidine-1(2H)-yl]carboxylic acid (4e). Was obtain as an oil in 74% yield and used in the subsequent hydrolysis without further purification. Rf 0.64 (ethyl acetate:1,2-dichloroethan, 1:1).
Ethyl ester of [2,6-dioxo-3-[(2-[2-(3,5-dimethylbenzoyl)-4-bromophenophenoxy]ethyl]-3,6-dihydropyrimidine-1(2H)-yl]carboxylic acid (4f). Purified by crystallization from an ethyl acetate-hexane mixture (2:1) in 89% yield. Mp 152–153 °C, Rf 0.66 (ethyl acetate:1,2-dichloroethanw, 1:1).1H-NMR (DMSO-d6): 1.16 (3H, t, J = 7.1 Hz, CH3), 2.23 (6H, s, CH3), 3.87 (2H, t, J = 4.8 Hz, N-CH2), 4.09 (2H, qd, J = 7.1 Hz, CH2), 4.20 (2H, t, J = 5.0 Hz, O–CH2), 4.42 (2H, s, CH2CO), 5.31 (1H, d, J = 8.0 Hz, H5Ura), 6.93 (1H, d, J = 7.9 Hz, H-3”), 7.18 (1H, d, J = 8.0 Hz, H6Ura), 7.26 (1H, s, H-4′), 7.27 (2H, s, H-2′, H-6′), 7.44 (1H, d, J = 2.5 Hz, H-3′), 7.67 (1H, dd, J = 8.9 and 2.6 Hz, H-6”); 13C-NMR (DMSO-d6): 14.0, 20.7, 41.5, 48.1, 61.0, 66.0, 99.4, 112.7, 115.4, 127.0, 130.9, 131.0, 134.2, 135.2, 136.5, 138.0, 144.4, 150.6, 154.5, 161.5, 167.6, 193.8.
Ethyl ester of [2,6-dioxo-3-[(2-[2-(3,5-dichlorobenzoyl)-4-bromophenophenoxy]ethyl]-3,6-dihydropyrimidine-1(2H)-yl]carboxylic acid (4g). Purified by crystallization from an ethyl acetate-hexane mixture (2:1) in 86% yield. Mp 162.5–165.5 °C, Rf 0.70 (ethyl acetate:1,2-dichloroethane, 1:1).1H-NMR (DMSO-d6): 1.16 (3H, t, J = 7.1 Hz, CH3), 3.92 (2H, t, J = 4.9 Hz, N-CH2), 4.10 (2H, qd, J = 7.2 Hz, CH2), 4.22 (2H, t, J = 5.0 Hz, O–CH2), 4.46 (2H, s, CH2CO), 5.41 (1H, d, J = 7.9 Hz, H5Ura), 7.18 (1H, d, J = 7.9 Hz, H6Ura), 7.21 (1H, d, J = 9.0 Hz, H-5”), 7.55 (1H, d, J = 2.4 Hz, H-4′), 7.57 (2H, d, J = 1.9 Hz, H-2′, H-6′), 7.73 (1H, dd, J = 8.9 and 2.6 Hz, H-6”), 7.85 (1H, t, J = 1.7 Hz, H-3”). 13C-NMR (DMSO-d6): 13.9, 41.4, 47.9, 60.9, 65.9, 99.3, 112.7, 115.4, 127.4, 128.9, 131.4, 132.8, 134.6, 135.1, 139.3, 144.4, 150.5, 154.6, 161.3, 167.5, 191.2.
3.2.2. General Method for the Synthesis of [2,6-dioxo-3-[(2-benzoylphenoxy)ethyl]-3,6-dihydropyrimidine-1(2H)-yl]carboxylic acids 5a–5g
The corresponding ethyl ester of [2,6-dioxo-3-[(2-benzoylphenoxy)ethyl)]-3,6-dihydro-pyrimidin-1(2H)-yl]acetic acid 4a–4g (1.75 mmol) was dissolved in ethanol (50 mL) then LiOH (0.25 g; 10.44 mmol) and water (30 mL) were added. The resulting mixture was stirred at room temperature for 24 h. Ethanol was evaporated under reduced pressure, 50 mL of water was added to the residue, acidified with 6% aqueous hydrochloric acid, and refrigerated overnight. The precipitate was filtered off, washed on the filter with a large amount of water and dried. After crystallization from an ethyl acetate-hexane mixture, the yield of the desired acids 5a–5g was in the range of 80–94%.
[2,6-Dioxo-3-[(2-benzoylphenoxy)ethyl]-6-methyl-3,6-dihydropyrimidine-1(2H)-yl]carboxylic acid (5a). Purified by crystallization from an ethyl acetate-hexane mixture (3:1) in 90% yield. Mp 194.5–196 °C, Rf 0.63 (ethyl acetate: isopropanol: 40% aq. NH4OH, 6:9:5).1H-NMR (DMSO-d6): 1.89 (3H, s, CH3), 3.93 (2H, t, J = 5.0 Hz, CH2), 4.20 (2H, t, J = 5.1 Hz, CH2), 4.36 (2H, s, CH2CO), 5.30 (1H, d, J = 0.7 Hz, H5Ura), 7.10 (9H, dt, J = 7.5 and 0.8 Hz, HPh2CO), 7.20 (1H, d, J = 8.4 Hz, HPh2CO), 7.28 (1H, dd, J = 7.4 and 1.6 Hz, HPh2CO), 7.43–7.47 (2H, m, HPh2CO), 7.49–7.54 (1H, m, HPh2CO), 7.58 (1H, dt, J = 7.3 and 1.3 Hz, HPh2CO), 7.64–7.66 (1H, m, HPh2CO), 12.86 (1H, bs, COOH). 13C-NMR (DMSO-d6): 19.3, 41.5, 44.1, 65.7, 100.2, 112.8, 121.2, 128.4, 128.6, 128.8, 129.1, 131.7, 133.5, 136.5, 151.2, 155.2, 157.1, 160.5, 169.0, 195.5.
[2,6-Dioxo-3-[(2-benzoylphenoxy)ethyl]-6-methyl-3,6-dihydropyrimidine-1(2H)-yl]carboxylic acid (5b). Purified by crystallization from an ethyl acetate-hexane mixture (3:1) in 87% yield. Mp 195.5–196.5 °C, Rf 0.6 (ethyl acetate: isopropanol: 40% aq. NH4OH, 6:9:5).1H-NMR (DMSO-d6): 1.63 (3H, d, J = 0.8 Hz, CH3), 3.85 (2H, t, J = 5.0 Hz, CH2-N), 4.19 (2H, t, J = 5.0 Hz, CH2-O), 4.37 (2H, s, CH2CO), 6.97 (1H, d, J = 1.1 Hz, HPh2CO), 7.10 (1H, t, J = 7.4 Hz, HPh2CO), 7.21 (1H, d, J = 8.4 Hz, HPh2CO), 7.30 (1H, dd, J = 7.5 and 1.7 Hz, HPh2CO), 7.47 (2H, t, J = 7.5 Hz, HPh2CO), 7.52 (1H, dt, J = 8.0 and 1.7 Hz, HPh2CO), 7.60 (1H, t, J = 7.4 Hz, HPh2CO), 7.65–7.67 (1H, t, HPh2CO, H6Ura), 12.86 (1H, bs, COOH). 13C-NMR (DMSO-d6): 12.3, 41.7, 47.9, 65.6, 107.0, 112.9, 121.1, 128.4, 128.8, 129.0, 132.0, 133.3, 136.7, 140.5, 150.4, 155.3, 162.3, 169.0, 195.2.
[2,6-Dioxo-3-[(2-[2-(3,5-dimethylbenzoyl)-4-chlorophenophenoxy]ethyl]-3,6-dihydropyrimidine-1(2H)-yl]carboxylic acid (5c). Purified by crystallization from an ethyl acetate-hexane (3:1) mixture in 85% yield. Mp 215–216 °C, Rf 0.57 (ethyl acetate: isopropanol: 40% aq. NH4OH, 6:9:5).1H-NMR (DMSO-d6): 2.28 (6H, s, CH3), 3.87 (2H, t, J = 4.9 Hz, N-CH2), 4.18 (2H, t, J = 5.1 Hz, O-CH2), 4.34 (2H, s, CH2CO), 5.32 (1H, d, J = 7.9 Hz, H5Ura), 6.94 (1H, d, J = 7.9 Hz, H-5”), 7.22–7.27 (4H, m, H-2′, H-4′, H-6′, H6Ura), 7.34 (1H, d, J = 2.6 Hz, H-3”), 7.55 (1H, dd, J = 8.9 and 2.8 Hz, H-6”), 12.88 (1H, bs, COOH). 13C-NMR (DMSO-d6): 20.6, 41.3, 48.0, 66.0, 99.3, 114.9, 125.0, 126.9, 128.0, 130.5, 131.2, 135.1, 136.4, 137.9, 144.2, 150.5, 153.9, 161.5, 168.9, 193.8.
[2,6-Dioxo-3-[(2-[2-(3,5-dimethylbenzoyl)-4-chlorophenophenoxy]ethyl]-5-methyl-3,6-dihydropyrimidine-1(2H)-yl]carboxylic acid (5d). Purified by crystallization from an ethyl acetate-hexane mixture (3:1) in 94% yield. Mp 238–239 °C, Rf 0.6 (ethyl acetate: isopropanol: 40% aq. NH4OH, 6:9:5).1H-NMR (DMSO-d6): 1.62 (3H, s, CH3), 2.28 (6H, s, CH3), 3.86 (2H, t, J = 5.0 Hz, N–CH2), 4.20 (2H, t, J = 5.0 Hz, O–CH2), 4.35 (2H, s, CH2CO), 6.97 (1H, d, J = 7.9 Hz, H-5”), 7.22–7.27 (4H, m, H-2′, H-4′, H-6′, H6Ura), 7.31 (1H, d, J = 2.7 Hz, H-3”), 7.55 (1H, dd, J = 8.9 and 2.7 Hz, H-6), 12.87 (1H, bs, COOH). 13C-NMR (DMSO-d6): 12.2, 20.6, 41.6, 47.8, 66.1, 107.0, 115.1, 125.0, 126.9, 127.9, 130.5, 131.1, 135.1, 136.2, 137.8, 140.5, 150.4, 153.9, 162.2, 169.0, 193.7.
[2,6-Dioxo-3-[(2-[2-(3,5-dimethylbenzoyl)-4-chlorophenophenoxy]ethyl]-6-methyl-3,6-dihydropyrimidine-1(2H)-yl]carboxylic acid (5e). Purified by crystallization from an ethyl acetate-hexane mixture (3:1) in 80% yield. Mp 213–214.5 °C, Rf 0.56 (ethyl acetate: isopropanol: 40% aq. NH4OH, 6:9:5).1H-NMR (DMSO-d6): 1.87 (3H, s, CH3), 2.26 (6H, c, CH3), 3.94 (2H, t, J = 4.9 Hz, N–CH2), 4.20 (2H, t, J = 5.0 Hz, O–CH2), 4.36 (2H, s, CH2CO), 5.25 (1H, s, H5Ura), 7.22 (1H, s, H-4′), 7.25 (3H, s, H-2′, H-6′), 7.32 (1H, d, J = 2.6 Hz, H-3”), 7.54 (1H, dd, J = 8.9 and 2.7 Hz, H-6”), 12.87 (1H, bs, COOH). 13C-NMR (DMSO-d6): 19.3, 20.6, 41.4, 44.0, 66.2, 100.0, 114.8, 125.1, 126.9, 127.7, 130.7, 131.0, 135.3, 136.0, 138.0, 151.2, 153.0, 153.9, 160.4, 168.9, 194.0.
[2,6-Dioxo-3-[(2-[2-(3,5-dimethylbenzoyl)-4-bromophenophenoxy]ethyl]-3,6-dihydropyrimidine-1(2H)-yl]carboxylic acid (5f). Purified by crystallization from an ethyl acetate-hexane mixture (3:1) in 81% yield. Mp 224.5–225.5 °C, Rf 0.47 (ethyl acetate: isopropanol: 40% aq. NH4OH, 6:9:5).1H-NMR (DMSO-d6): 2.28 (6H, s, CH3), 3.87 (2H, t, J = 5.0 Hz, N-CH2), 4.18 (2H, t, J = 5.0 Hz, O-CH2), 4.34 (2H, s, CH2CO), 5.31 (1H, d, J = 7.8 Hz, H5Ura), 6.93 (1H, d, J = 8.0 Hz, H-5”), 7.18 (1H, d, J = 9.0 Hz, H6Ura), 7.27 (3H, м, H-2′, H-4′, H-6′), 7.45 (1H, d, J = 2.6 Hz, H-3”), 7.67 (1H, dd, J = 8.9 and 2.6 Hz, H-6”), 12.89 (1H, bs, COOH). 13C-NMR (DMSO-d6): 20.6, 41.3, 48.0, 66.0, 99.3, 112.6, 115.3, 126.9, 130.8, 130.9, 134.1, 135.1, 136.4, 137.9, 144.2, 150.5, 154.4, 161.5, 168.9, 193.7.
[2,6-Dioxo-3-[(2-[2-(3,5-dichlorobenzoyl)-4-bromophenophenoxy]ethyl]-3,6-dihydropyrimidine-1(2H)-yl]carboxylic acid (5g). Purified by crystallization from an ethyl acetate-hexane mixture (3:1) in 86% yield. Mp 212–213 °C, Rf 0.51 (ethyl acetate: isopropanol: 40% aq. NH4OH, 6:9:5).1H-NMR (DMSO-d6): 3.92 (2H, t, J = 5.0 Hz, N-CH2), 4.18 (2H, t, J = 5.0 Hz, O-CH2), 4.38 (2H, s, CH2CO), 5.40 (1H, d, J = 7.8 Hz, H5Ura), 7.16 (1H, d, J = 7.8 Hz, H-5”), 7.21 (1H, d, J = 8.9 Hz, H6Ura), 7.55 (1H, d, J = 2.6 Hz, H-4′), 7.57 (2H, d, J = 2.0 Hz, H-2′, H-6′), 7.73 (1H, dd, J = 8.9 and 2.6 Hz, H-6”), 7.85 (1H, t, J = 2.0 Hz, H-3”), 12.89 (1H, bs, COOH). 13C-NMR (DMSO-d6): 41.4, 47.9, 65.9, 99.3, 112.7, 115.4, 127.4, 128.9, 131.4, 132.8, 134.6, 135.1, 139.3, 144.2, 150.5, 154.6, 161.4, 168.8, 191.2.
3.2.3. General Method for the Synthesis of ACV Derivatives
A mixture of the corresponding [2,6-dioxo-3-[(2-benzoylphenoxy)ethyl)]-3,6-dihydropyrimidin-1(2H)-yl]acetic acid (0.5 mmol) and ACV (0.5 mmol) was twice evaporated in DMF, then dissolved in DMF (5 mL) and 1-ethyl-3-(3-dimethylaminopropyl)carbodiimide (1.2 eq) and dimethyl-aminopyridine (0.5 eq) were added. The reaction mixture was allowed to mix for 16 h at room temperature. The progress of the reaction was monitored by TLC. The solvent was then evaporated and the residue was purified by column chromatography on silica gel eluting with a 9:1 chloroform-methanol mixture. The yield of the target products was 26–39%.
[2,6-Dioxo-3-[(2-benzoylphenoxy)ethyl]-6-methyl-3,6-dihydropyrimidine-1(2H)-yl]acetate of ACV (2a). Purified on a silica gel column using chloroform:methanol (9:1) as eluent in 33% yield. Rf 0.57 (chloroform:methanol, 95:5). 1H-NMR (CD3OD:CDCl3): 1.97 (3H, s, CH3), 3.88-3.91 (2H, m, CH2O), 4.04–4.07 (2H, m, CH2N), 4.24–4.37 (4H, m, 2 × CH2CH2C=O), 4.58 (2H, s, NCH2C=O), 5.29 (1H, d, H5Ura), 5.64 (2H, s, OCH2N), 7.06–7.12 (2H, m, Ph), 7.24–7.28 (1H, d, Ph), 7.40–7.52 (3H, m, Ph), 7.54–7.60 (1H, m, Ph), 7.73–7.76 (2H, d, Ph), 9.02 (1H, s, H8). 13C-NMR (DMSO-d6): 19.9, 41.9, 44.6, 64.3, 66.1, 66.7, 72.3, 100.6, 113.25, 117.0, 121.7, 129.0, 129.1, 129.2, 129.7, 132.3, 134.1, 136.9, 138.0, 151.6, 151.9, 153.9, 154.6, 155.6, 155.6, 157.2, 161.0, 168.3, 196. HRMS: m/z [M + H]+ calcd for C30H29N7O8: 616.2150, found: 616.2136.
[2,6-Dioxo-3-[(2-benzoylphenoxy)ethyl]-5-methyl-3,6-dihydropyrimidine-1(2H)-yl]acetate of ACV (2b). Purified on a silica gel column using chloroform:methanol (9:1) as eluent in 23% yield. Rf 0.62 (chloroform:methanol, 95:5). 1H-NMR (CD3OD:CDCl3): 1.72 (3H, s, CH3), 3.70–3.78 (2H, m, CH2O), 3.91–3.94 (2H, m, CH2N), 4.20–4.30 (4H, m, 2 × CH2CH2C=O), 4.61 (2H, s, NCH2C=O), 5.49 (2H, s, OCH2N), 6.80–6.81 (1H, s, H6Ura), 7.03-7.10 (2H, m, Ph), 7.30–7.33 (1H, d, J = 12Hz, Ph), 7.44–7.50 (3H, m, Ph), 7.57–7.60 (1H, m, Ph), 7.76-7.79 (2H, d, Ph), 8.17 (1H, s, H8). 13C-NMR (DMSO-d6): 19.9, 41.9, 44.6, 64.3, 66.1, 66.8, 72.3, 100.6, 113.3, 117.0, 121.7, 129.0, 129.1, 129.2, 129.7, 132.3, 134.1, 136.9, 138.0, 151.6, 151.9, 153.9, 154.5, 155.6, 157.2, 160.9, 168.3, 196.0 HRMS: m/z [M + H]+ calcd for C30H29N7O8: 616.2150, found: 616.2128.
[2,6-Dioxo-3-[(2-[2-(3,5-dimethylbenzoyl)-4-chlorophenophenoxy]ethyl]-3,6-dihydropyrimidine-1(2H)-yl]-acetate of ACV (2c). Purified on a silica gel column using chloroform:methanol (9:1) as eluent in 19% yield. Rf 0.65 (chloroform:methanol, 95:5). 1H-NMR (CD3OD): 2.29 (6H, s, 2 × CH3), 3.77-3.78 (2H, m, CH2O), 3.90–3.91 (2H, m, CH2N), 4.16–4.22 (4H, m, 2 × CH2CH2C=O), 4.50 (2H, s, NCH2C=O), 5.26–5.28 (1H, d, J = 8Hz, H5Ura), 5.47 (2H, s, OCH2N), 6.79–6.82 (1H, d, J = 12Hz, H6Ura), 7.07–7.10 (1H, d, J = 12Hz, Ph), 7.21–7.24 (2H, m, Ph), 7.30 (2H, m, Ph), 7.45–7.42 (1H, m, Ph), 8.23 (1H, s, H8). 13C-NMR (CD3OD): 19.9, 31.6, 41.4, 60.9, 63.9, 66.2, 67.3, 70.2, 72.3, 72.9, 99.5, 114.3, 126.2, 127.2, 128.3, 130.8, 131.8, 135.3, 136.5, 144.7, 151.0, 154.3, 154.9, 156.7, 162.9, 168.0, 195.1. HRMS: m/z [M − H]− calcd for C31H30ClN7O8: 662.1761, found: 662.1763.
[2,6-Dioxo-3-[(2-[2-(3,5-dimethylbenzoyl)-4-chlorophenophenoxy]ethyl]-5-methyl-3,6-dihydropyrimidine-1(2H)-yl]acetate of ACV (2d). Purified on a silica gel column using chloroform:methanol (9:1) as eluent in 38% yield. Rf 0.59 (chloroform:methanol, 95:5). 1H-NMR (DMSO-d6): 1.88 (3H, s, CH3), 2.26 (6H, s, 2 × CH3), 3.66–3.69 (2H, m, CH2O), 3.94–3.96 (2H, m, CH2N), 4.15–4.22 (4H, m, 2 × CH2CH2C=O), 4.25 (2H, s, NCH2C=O), 5.36 (2H, s, OCH2N), 6.58 (2H, s, NH2), 7.03 (1H, d, H6 Ura), 7.20–7.37 (5H, m, Ph), 7.53–7.57 (1H, m, Ph), 7.85 (1H, s, H8), 10.70 (1H, s, NH). 13C-NMR (DMSO-d6): 19.9, 21.1, 41.8, 44.6, 64.3, 66.6, 66.8, 70.3, 72.3, 100.5, 115.3, 116.8, 125.6, 127.5, 128.2, 131.2, 135.9, 136.5, 138.1, 138.6, 151.6, 151.9, 153.9, 154.4, 157.2, 160.9, 168.2, 194.5. HRMS: m/z [M + H]+ calcd for C32H32ClN7O8: 678.2074, found: 678.2073.
[2,6-Dioxo-3-[(2-[2-(3,5-dimethylbenzoyl)-4-chlorophenophenoxy]ethyl]-6-methyl-3,6-dihydropyrimidine-1(2H)-yl]acetate of ACV (2e). Purified on a silica gel column using chloroform:methanol (9:1) as eluent in 14% yield. Rf 0.6 (chloroform:methanol, 95:5). 1H-NMR (DMSO-d6): 1.83 (3H, s, CH3), 2.21 (6H, s, 2 × CH3), 3.66–3.67 (2H, m, CH2O), 3.88–3.91 (2H, m, CH2N), 4.12–4.17 (4H, m, 2 × CH2CH2C=O), 4.40 (2H, m, NCH2C=O), 5.22 (1H, d, H5Ura), 5.36 (2H, s, OCH2N), 6.75 (2H, s, NH2), 7.19–7.22 (5H, m, Ph), 7.48–7.52 (1H, m, Ph), 8.17 (1H, s, H8), 10.94 (1H, s, NH). 13C-NMR (DMSO-d6): 12.7, 21.2, 42.0, 48.3, 64.3, 66.6, 66.8, 70.3, 72.4, 107.5, 115.6, 125.6, 127.4, 128.5, 131.1, 131.7, 135.7, 136.7, 138.4, 141.3, 150.8, 154.5, 162.7, 168.2, 194.2. HRMS: m/z [M + H]+ calcd for C32H32ClN7O8: 678.2074, found: 678.2076.
[2,6-Dioxo-3-[(2-[2-(3,5-dimethylbenzoyl)-4-bromophenophenoxy]ethyl]-3,6-dihydropyrimidine-1(2H)-yl]acetate of ACV (2f). Purified on a silica gel column using chloroform:methanol (9:1) as eluent in 22% yield. Rf 0.64 (chloroform:methanol, 95:5). 1H-NMR (CD3OD): 2.34 (6H, s, 2 × CH3), 3.76–3.79 (2H, m, CH2O), 3.95–3.97 (2H, m, CH2N), 4.23–4.26 (4H, m, 2 × CH2CH2C=O), 4.55 (2H, s, NCH2C=O), 5.30-5.33 (1H, d, J = 12 Hz, H5Ura), 5.45 (2H, s, OCH2N), 6.85-6.88 (1H, d, J = 12 Hz, H-6), 7.07–7.10 (1H, d, J = 12Hz, Ph), 7.36 (1H, m, Ph), 7.39–7.40 (3H, m, Ph), 7.61-7.65 (1H, m, Ph), 7.82 (1H, s, H8). 13C-NMR (DMSO-d6): 21.1, 41.8, 48.6, 64.4, 66.5, 66.8, 70,3, 72.3, 99.8, 113.2, 115.9, 117.0, 127.4, 131.3, 131.4, 134.7, 135.7, 136.9, 138.1, 138.5, 144.9, 151.0, 151.9, 154.5, 154.9, 157.2, 161.9, 168.2, 194.3. HRMS: m/z [M − H]− calcd for C31H30BrN7O8: 706.1255, found: 706.1261.
[2,6-Dioxo-3-[(2-[2-(3,5-dichlorobenzoyl)-4-bromophenophenoxy]ethyl]-3,6-dihydropyrimidine-1(2H)-yl]acetate of ACV (2g). Purified on a silica gel column using chloroform:methanol (9:1) as eluent in 13% yield. Rf 0.56 (chloroform:methanol, 95:5). 1H-NMR (CD3OD): 3.75–3.78 (2H, m, CH2O), 3.94–3.96 (2H, m, CH2N), 4.22–4.24 (4H, m, 2xCH2CH2C=O), 4.55 (2H, s, NCH2C=O), 5.40–5.43 (1H, d, J=12Hz, H5Ura), 5.45 (2H, s, OCH2N), 7.00–7.02 (1H, d, J = 8Hz, H6Ura), 7.07–7.10 (1H, d, J=12Hz, Ph), 7.45 (1H, m, Ph), 7.57–7.58 (2H, m, Ph), 7.63–7.64 (2H, m, Ph), 7.82 (1H, s, H8). 13C-NMR (DMSO-d6): 14.4, 22.5, 23.1, 41.8, 64.4, 66.4, 72.3, 79.65, 99.8, 113.2, 115.6, 116.9, 128.0, 129.4, 132.0, 133.4, 135.2, 135.7, 138.0, 139.8, 145.0, 151.0, 151.9, 154.7, 155.09, 157.4, 161.9, 168.1, 191.8. HRMS: m/z [M − H]− calcd for C29H24BrCl2N7O8: 746.0163, found: 746.0177.
3.2.4. General Method for the Synthesis of 9-(4′-hydroxy-2′cyclopenten-1′-yl)adenine Derivatives 6a–6d
A mixture of 9-(4′-hydroxy-2′-cyclopenten-1′-yl)adenine (0.5 mmol) and the corresponding [2,6-dioxo-3-[(2-benzoylphenoxy)ethyl)]-3,6-dihydropyrimidine-1(2H)-yl]acetic acid 5a–5d (0.5 mmol) was twice evaporated from DMF, then again dissolved in DMF (5 mL) and 1-ethyl-3-(3-dimethylaminopropyl)carbodiimide (0.6 mmol) and dimethylaminopyridine (0.25 mmol) were added. The mixture was stirred for 16 h at room temperature. The solvent was evaporated in vacuo, the residue was purified by silica gel column chromatography, eluting with the chloroform: methanol system (95:5). The yield of the desired esters 6a–6g was in the range of 56–84%.
9-(4′-[2,6-Dioxo-3-[(2-benzoylphenoxy)ethyl]-6-methyl-3,6-dihydropyrimidine-1(2H)-yl]acetyl-2′cyclo-penten-1′-yl)adenine (6a). Purified on a silica gel column using chloroform: methanol (98:2) as eluent in 62% yield. Rf 0.53 (chloroform:methanol, 95:5). 1H-NMR (CDCl3): 1.94 (3H, s, CH3), 1.98–2.02 (1H, m, H5′a), 3.04–3.14 (1H, m, 5′Hb), 4.01–4.04 (2H, m, CH2-N), 4.24–4.26 (2H, m, CH2-O), 4.57–4.69 (2H, d, J = 3.2 Hz, CH2CO), 5.25 (1H, s, H5Ura), 5.68–5.71 (1H, m, H4′), 5.81–5.83 (1H, m, H1′), 5.96 (2H, s, NH2), 6.18–6.21 (1H, m, H3′), 6.32–6.36 (1H, m, H2′), 6.96–6.98 (1H, d, J = 8.1 Hz, HPh2CO), 7.08–7.11 (1H, t, J = 7.9 Hz, HPh2CO), 7.31 (1H, m, HPh2CO), 7.40–7.45 (3H, m, HPh2CO), 7.58–7.60 (1H, m, HPh2CO), 7.77–7.79 (2H, d, J = 7.1 Hz, HPh2CO), 7.84 (1H, s, H8), 8.38 (1H, s, H2). 13C-NMR (CDCl3): 20.3, 38.4, 42.0, 44.8, 56.7, 66.0, 70.6, 78.2, 101.5, 112.3, 121.6, 128.5, 129.1, 129.9, 131.6, 133.6, 134.8, 135.0, 138.7, 152.7, 155.4, 161.1, 167.4.
9-(4′-[2,6-Dioxo-3-[(2-benzoylphenoxy)ethyl]-5-methyl-3,6-dihydropyrimidine-1(2H)-yl]acetyl-2′cyclo-penten-1′-yl)adenine (6b). Purified on a silica gel column using chloroform:methanol (98:2) as eluent in 84% yield. Rf 0.55 (chloroform:methanol, 95:5). 1H-NMR (CDCl3): 1.74 (3H, s, CH3), 1.97–2.03 (1H, m, H5′a), 3.07–3.12 (1H, m, 5′Hb), 3.91–3.96 (2H, m, CH2-N), 4.19–4.21 (2H, m, CH2-O), 4.60–4.72 (2H, d, J = 1.3 Hz, CH2CO), 5.68–5.70 (1H, m, H4′), 5.80–5.82 (1H, m, H1′), 5.86 (2H, s, NH2), 6.18–6.21 (1H, m, H3′), 6.33–6.35 (1H, m, H2′), 6.75 (1H, s, H6Ura), 6.94–6.96 (1H, d, J = 8.3 Hz, HPh2CO), 7.08–7.11 (1H, t, J = 7.4 Hz, HPh2CO), 7.35 (1H, m, HPh2CO), 7.44–7.50 (3H, m, HPh2CO), 7.57–7.60 (1H, m, HPh2CO), 7.82–7.84 (3H, m, HPh2CO,H8), 8.39 (1H, s, H2). 13C-NMR (CDCl3): 12.6, 38.4, 42.2, 48.9, 56.7, 66.3, 70.6, 78.2, 109.2, 112.3, 119.7, 121.3, 128.4, 129.9, 129.9, 132.2, 133.3, 135.1, 149.7, 151.0, 152.7, 155.3, 155.8, 163.0, 167.4, 195.4.
9-(4′-[2,6-Dioxo-3-[(2-[2-(3,5-dimethylbenzoyl)-4-chlorophenophenoxy]ethyl]-3,6-dihydropyrimidine-1(2H)-yl]acetyl-2′cyclopenten-1′-yl)adenine (6c). Purified on a silica gel column using chloroform:methanol (98:2) as eluent in 58% yield. Rf 0.61 (chloroform: methanol, 95:5). 1H-NMR (CDCl3): 1.99–2.02 (1H, m, H5′a), 2.37 (6H, s, 2 × CH3), 3.05–3.12 (1H, m, 5′Hb), 3.92–3.95 (2H, m, CH2-N), 4.15–4.18 (2H, m, CH2-O), 4.58–4.70 (2H, d, J = 3.0 Hz, CH2CO), 5.33–5.35 (1H, d, 7.9 Hz, H5Ura), 5.70–5.72 (1H, m, H4′), 5.80–5.83 (1H, m, H1′), 5.85 (2H, s, NH2), 6.21–6.22 (1H, m, H3′), 6.35 (1H, m, H2′), 6.60–6.63 (1H, d, 7.9 Hz, H6Ura), 6.87–6.90 (1H, d, J = 8.8 Hz, HPh2CO), 7.27–7.33 (3H, m, HPh2CO), 7.34–7.40 (3H, m, HPh2CO), 7.84 (1H, s, HPh2CO) 7.82–7.84 (3H, m, HPh2CO,H8), 8.39 (1H, s, H2). 13C-NMR (CDCl3): 21.2, 38.4, 41.9, 49.0, 56.7, 66.8, 70.6, 78.3, 100.8, 113.7, 126.8, 127.5, 129.4, 131.5, 134.8, 135.0, 135.5, 137.2, 138.5, 138.7, 143.8, 151.1, 152.8, 154.1, 155.2, 161.9, 167.2, 194.4.
9-(4′-[2,6-Dioxo-3-[(2-[2-(3,5-dimethylbenzoyl)-4-chlorophenophenoxy]ethyl]-6-methyl-3,6-dihydro-pyrimidine-1(2H)-yl]acetyl-2′cyclopenten-1′-yl)adenine (6d). Purified on a silica gel column using chloroform:methanol (98:2) as eluent with 56% yield. Rf 0.58 (chloroform:methanol, 95:5). 1H-NMR (CDCl3): 1.74 (3H, s, CH3), 2.01–2.06 (1H, m, H5′a), 2.37 (6H, s, 2 × CH3), 3.05–3.08 (1H, m, 5′Hb), 3.94–3.96 (2H, m, CH2-N), 4.18–4.19 (2H, m, CH2-O), 4.65–4.68 (2H, d, J = 7.4 Hz, CH2CO), 5.70–5.72 (1H, m, H4′), 5.80–5.82 (1H, m, H1′), 6.20–6.23 (1H, m, H3′), 6.38–6.40 (1H, m, H2′), 6.76 (2H, s, NH2), 6.89–6.92 (1H, d, J = 8.8 Hz, H6Ura), 7.26–7.29 (3H, m, HPh2CO), 7.40–7.41 (3H, m, HPh2CO), 7.94 (1H, s, H8), 8.37 (1H, s, H2). 13C-NMR (CDCl3): 12.5, 21.2, 38.4, 42.2, 48.8, 57.1, 66.9, 70.6, 78.1, 109.3, 113.9, 119.3, 126.5, 127.7, 129.3, 131.5, 134.4, 135.5 x 2, 138.4, 139.7, 140.4, 149.3, 149.6, 151.1, 153.9, 154.3, 163.0, 167.4, 194.5.
3.2.5. General Method for the Synthesis of 5′-noraristeromycin Derivatives 3a–3d
To a solution of the corresponding 9-(4′-hydroxy-2′-cyclopenten-1′-yl)adenine derivative 6a–3d (0.3 mmol) in a (10:1) dioxane:water mixture (10 mL), osmium tetroxide (0.01 mmol) and N-methylmorpholine oxide (2 mmol) were added. The reaction mixture was stirred/ for 3 h at the room temperature. The progress of the reaction was monitored by TLC. Then the solvents were evaporated in vacuo, the residue was purified by silica gel column chromatography, eluting with the chloroform: methanol system (95: 5). The yields of target esters 3a–3g were in the range of 43–65%.
[2,6-Dioxo-3-[(2-benzoylphenoxy)ethyl]-6-methyl-3,6-dihydropyrimidine-1(2H)-yl]acetate of 5′-nor-aristeromycin (3a). Purified on a silica gel column using chloroform:methanol (95:5) as eluent in 60% yield. Rf 0.52 (chloroform: methanol, 9:1). 1H-NMR (CDCl3:CD3OD): 1.91 (3H, s, CH3), 2.16–2.24 (1H, m, H5′a), 2.92–3.03 (1H, m, 5Hb), 3.99–4.02 (2H, m, CH2-N), 4.14–4.15 (1H, m, H4′), 4.20–4.23 (2H, m, CH2-O), 4.46–4.50 (1H, m, H1′), 4.56–4.61(2H, m, CH2CO), 4.79–4.82 (1H, m, H3′), 5.06–5.09 (1H, m, H2′), 5.24 (1H, s, H5Ura), 6.96–6.99 (1H, m, HPh2CO), 7.03–7.08 (1H, m, HPh2CO), 7.25–7.36 (1H, d, J = 5.8 Hz, HPh2CO), 7.40–7.43 (3H, d, J = 7.9 Hz, HPh2CO), 7.52–7.55 (1H, m, HPh2CO) 7.73–7.75 (2H, d, J = 7.2 Hz, HPh2CO), 7.99 (1H, s, H8), 8.25 (1H, s, H2). 13C-NMR (CDCl3:CD3OD): 20.1, 33.1, 42.0, 44.8, 59.1, 65.7, 74.3, 75.6, 100.9, 112.3, 121.3, 128.5, 129.0, 129.9, 131.6, 131.8, 133.8, 136.7, 139.6, 151.6, 152.0, 152.1, 155.5, 161.8, 167.3. HRMS: m/z [M + nH]+ calcd for C32H31N7O8: 642.2307, found: 642.2292; m/z[M + nNa]+ calcd for C32H31N7O8: 664.2126, found: 664.2112.
[2,6-Dioxo-3-[(2-benzoylphenoxy)ethyl]-5-methyl-3,6-dihydropyrimidine-1(2H)-yl]acetate of 5′-nor-aristeromycin (3b). Purified on a silica gel column using chloroform:methanol (95:5) as eluent in 43% yield. Rf 0.56 (chloroform:methanol, 9:1). 1H-NMR (CDCl3:CD3OD): 1.65 (3H, s, CH3), 2.05–2.12 (1H, m, H5′a), 2.69–2.78 (1H, m, 5′Hb), 3.85–3.88 (2H, m, CH2-N), 3.95-3.96 (1H, m, H4′), 4.19–4.22 (2H, t, J = 4.9 Hz, CH2-O), 4.49–4.52 (1H, m, H3′), 4.55–4.59 (2H, m, CH2CO),4.73–4.76 (1H, m, H2′), 4.84–4.86 (1H, m, H1′), 5.20–5.22 (1H, d, J = 6.6 Hz, OH), 5.31–5.33 (1H, d, J = 4.2 Hz, OH), 7.02 (1H, s, H5Ura), 7.10–7.18 (1H, m, HPh2CO), 7.02–7.07 (1H, m, HPh2CO), 7.30–7.33 (1H, m, HPh2CO), 7.42–7.47 (3H, m, HPh2CO), 7.61–7.68 (3H, m, HPh2CO), 8.13–8.15 (2H, d, J = 5.6 Hz, H8 and H2). 13C-NMR (CDCl3:CD3OD): 12.3, 33.1, 42.2, 59.1, 65.1, 70.3, 74.2, 109.0, 112.4, 121.3, 128.4, 129.9, 132.3, 133.5, 137.4, 139.8, 140.9, 151.1, 152.0, 155.4, 155.8, 163.4, 167.4, 196.4. HRMS: m/z [M + nH]+ calcd for C32H31N7O8: 642.2307, found: 642.2304; m/z [M + nNa]+ calcd for C32H31N7O8: 664.2126, found: 664.2126.
[2,6-Dioxo-3-[(2-[2-(3,5-dimethylbenzoyl)-4-chlorophenophenoxy]ethyl]-3,6-dihydropyrimidine-1(2H)-yl]-acetate of 5′-noraristeromycin (3c). Purified on a silica gel column using chloroform:methanol (95:5) as eluent in 65% yield. Rf 0.49 (chloroform: methanol, 9:1). 1H-NMR (DMSO-d6): 2.07–2.12 (1H, m, H5′a), 2.30 (6H, s, 2 × CH3), 2.69–2.74 (1H, m, 5′Hb), 3.87–3.90 (2H, m, CH2-N), 3.93–3.97 (1H, m, H4′), 4.17–4.19 (2H, m, CH2-O), 4.47–4.56 (3H, m, CH2CO and H3′), 4.73–4.76 (1H, m, H2′), 4.84–4.88 (1H, m, H1′), 5.20–5.23 (1H, m, OH), 5.32–5.36 (2H, m, OH and H5Ura), 6.96–6.99 (1H, d, J = 7.9 Hz, H6Ura), 7.17 (2H, s, NH2), 7.22–7.29 (4H, m, HPh2CO), 7.35 (1H, m, HPh2CO), 7.53–7.57 (1H, m, HPh2CO), 8.13–8.15 (2H, d, J = 6.5, H2 and H8). 13C-NMR (DMSO-d6): 21.2, 33.1, 48.6, 58.4, 66.5, 70.3, 74.1, 74.6, 77.7, 79.6, 99.8, 115.4, 119.9, 125.6, 127.4, 128.6, 131.0, 131.7, 135.7, 136.9, 138.5, 140.6, 144.9, 150.1, 151.0, 152.7, 154.4, 156.5, 162.0, 167.7, 194.4. HRMS: m/z [M + nH]+ calcd for C33H32ClN7O8: 690.2074, found: 690.2053.
[2,6-Dioxo-3-[(2-[2-(3,5-dimethylbenzoyl)-4-chlorophenophenoxy]ethyl]-5-methyl-3,6-dihydropyrimidine-1(2H)-yl]acetate of 5′-noraristeromycin (3d). Purified on a silica gel column using chloroform:methanol (95:5) as eluent with 57% yield. Rf 0.48 (chloroform: methanol, 9:1). 1H-NMR (DMSO-d6): 1.64 (3H, s, CH3), 2.06–2.11 (1H, m, H5′a), 2.29 (6H, s, 2 × CH3), 2.66–2.73 (1H, m, 5′Hb), 3.88–3.89 (2H, m, CH2-N), 3.95–3.97 (1H, m, H4′), 4.20–4.21 (2H, d, J = 4.8 Hz, CH2-O), 4.48–4.53 (3H, m, CH2CO and H3′), 4.73–4.76 (1H, m, H2′), 4.84–4.88 (1H, m, H1′), 5.21–5.23 (1H, d, J = 6.6 Hz, OH), 5.32–5.33 (1H, d, J = 4.3, OH), 7.02 (1H, s, H6Ura), 7.18 (2H, s, NH2), 7.24–7.28 (4H, m, HPh2CO), 7.32–7.33 (1H, d, J = 2.7 Hz, HPh2CO), 7.53–7.57 (1H, m, HPh2CO), 8.13-8.15 (2H, d, J = 7.1 Hz, H2 and H8). 13C-NMR (DMSO-d6): 12.7, 21.2, 33.1, 42.3, 48.4, 58.4, 66.6, 70.3, 74.1, 74.7, 77.7, 107.5, 115.6, 119.7, 125.6, 127.4, 128.5, 131.1, 131.7, 135.7, 136.8, 138.4, 140.6, 141.2, 150.2, 150.9, 152.7, 154.5, 156.5, 162.8, 167.8, 194.2. HRMS: m/z [M + nH]+ calcd for C34H34ClN7O8: 704.2230, found: 704.2217.
3.3. Hydrolysis of the Compounds by Esterase from Porcine Liver
Hydrolysis of the compounds was assayed in 40 µL 50 mM Tris-HCl buffer pH 8.2 containing NaCl 250 mM, CaCI2 6 mM, esterase 8 units/test, 2 mM of compound 2d or 3d in methanol. The reactions were proceeded at 37 °C for 0–30 h. Reaction mixture was analyzed by TLC; in chloroform-ethanol 4:1 for 2d (Rf of hydrolysis products: -0.8 (2d), 0.2 (5d), 0.29 (ACV)) or chloroform-ethanol 9:1 for 3d (Rf of hydrolysis products: 0.5 (3d), 0.12 (5d), 0.14 (5′-noraristeromycine)). The compounds 1d, 5d, 5′-noraristeromycine and ACV were used as references.
3.4. Biological Assays
3.4.1. Anti-HIV Activity Assays
Inhibition of HIV-1(IIIB)- and HIV-2(ROD)-induced cytopathicity in CEM cell cultures was measured in microtiter 96-well plates containing ~3 × 105 CEM cells/mL infected with 100 CCID50 of HIV per milliliter and containing appropriate dilutions of the test compounds. After 4–5 days of incubation at 37 °C in a CO2-controlled humidified atmosphere, CEM giant (syncytium) cell formation was examined microscopically. The EC50 (50% effective concentration) was defined as the compound concentration required to inhibit HIV-induced giant cell formation by 50%.
3.4.2. Antiviral Activity Assays other than HIV
The compounds were evaluated against the following viruses: herpes simplex virus type 1 (HSV-1) strain KOS, thymidine kinase-deficient (TK−) HSV-1 KOS strain resistant to ACV (ACVr), herpes simplex virus type 2 (HSV-2) strains Lyons and G, human cytomegalovirus (HCMV) (strains AD-169 and Davis), varicella-zoster virus (strains OKA and YS), vaccinia virus Lederle strain. The antiviral assays were based on inhibition of virus-induced cytopathicity or plaque formation in human embryonic lung (HEL) fibroblasts. Confluent cell cultures in microtiter 96-well plates were inoculated with 100 CCID50 of virus (1 CCID50 being the virus dose to infect 50% of the cell cultures) or 10 or 100 plaque forming units (PFU) (for VZV and HCMV) in the presence of varying concentrations of the test compounds. Viral cytopathicity or plaque formation was recorded as soon as it reached completion in the control virus-infected cell cultures that were not treated with the test compounds. Antiviral activity was expressed as the EC50 or compound concentration required to reduce virus-induced cytopathogenicity or viral plaque formation by 50%.
3.4.3. Cytostatic Activity Assays
All assays were performed in 96-well microtiter plates. To each well were added (5–7.5) × 104 tumor cells and a given amount of the test compound. The cells were allowed to proliferate for 72 h at 37 °C in a humidified CO2-controlled atmosphere. At the end of the incubation period, the cells were counted in a Coulter counter. The IC50 (50% inhibitory concentration) was defined as the concentration of the compound that inhibited cell proliferation by 50%.
Supplementary Materials
The Supplementary Materials are available online.
Author Contributions
Author Contributions: A.A.M., E.S.M. and M.S.N. conceived, designed and performed the chemical synthesis; R.S. and G.A. designed and performed cell assays and evaluated biological properties of the compounds; A.L.K analyzed the data; S.N.K. contributed reagents/materials/analysis tools; A.A.M., E.S.M., M.S.N. and A.L.K. wrote the paper. All authors have read and agreed to the published version of the manuscript.
Funding
This research was supported by the Russian Foundation for Basic Research (RFBR, grant No. 17-54-30016).
Conflicts of Interest
The authors declare no conflict of interest.
References
- De Castro, S.; Camarasa, M.J. Polypharmacology in HIV inhibition: Can a drug with simultaneous action against two relevant targets be an alternative to combination therapy? Eur. J. Med. Chem. 2018, 150, 206–227. [Google Scholar] [CrossRef] [PubMed]
- Delany, S.; Mlaba, N.; Clayton, T.; Akpomiemie, G.; Capovilla, A.; Legoff, J.; Belec, L.; Stevens, W.; Rees, H.; Mayaud, P. Impact of aciclovir on genital and plasma HIV-1 RNA in HSV-2/HIV-1 co-infected women: A randomised placebo-controlled trial in South Africa. AIDS 2009, 23, 461–469. [Google Scholar] [CrossRef] [PubMed]
- Van de Perre, P.; Segondy, M.; Foulongne, V.; Ouedraogo, A.; Konate, I.; Huraux, J.M.; Mayaud, P.; Nagot, N. Herpes simplex virus and HIV-1: Deciphering viral synergy. Lancet Infect. Dis. 2008, 8, 490–497. [Google Scholar] [CrossRef]
- Gianella, S.; Massanella, M.; Wertheim, J.O.; Smith, D.M. M. The sordid affair between human herpesvirus and HIV. J. Infect. Dis. 2015, 212, 845–852. [Google Scholar] [CrossRef] [PubMed]
- Schiffer, J.T.; Gottlieb, S.L. Biologic interactions between HSV-2 and HIV-1 and possible implications for HSV vaccine development. Vaccine 2019, 37, 7363–7371. [Google Scholar] [CrossRef] [PubMed]
- Duff, P. Prevention of Opportunistic Infections in Women With HIV Infection. Clin. Obs. Gynecol. 2019, 62, 816–822. [Google Scholar] [CrossRef] [PubMed]
- Munawwar, A.; Singh, S. Human herpesviruses as copathogens of HIV infection, their role in HIV transmission, and disease progression. J. Lab. Physicians 2016, 8, 5–18. [Google Scholar] [CrossRef] [PubMed]
- Novikov, M.S.; Babkov, D.A.; Paramonova, M.P.; Khandazhinskaya, A.L.; Ozerov, A.A.; Chizhov, A.O.; Andrei, G.; Snoeck, R.; Balzarini, J.; Seley-Radtke, K.L. Synthesis and anti-HCMV activity of 1-[omega-(phenoxy)alkyl]uracil derivatives and analogues thereof. Bioorg Med Chem. 2013, 21, 4151–4157. [Google Scholar] [CrossRef] [PubMed]
- Khandazhinskaya, A.L.; Mercurio, V.; Maslova, A.A.; Alberto, R.; Palomino, Ñ.; Novikov, M.S.; Matyugina, E.S.; Paramonova, M.P.; Kukhanova, M.K.; Fedorova, N.E.; et al. Dual-targeted anti-CMV/anti-HIV heterodimers. Antiviral Res. 2020, in press. [Google Scholar]
- Novikov, M.S.; Ivanova, O.N.; Ivanov, A.V.; Ozerov, A.A.; Valuev-Elliston, V.T.; Temburnikar, K.; Gurskaya, G.V.; Kochetkov, S.N.; Pannecouque, C.; Balzarini, J.; et al. 1-[2-(2-Benzoyl-and 2-benzylphenoxy) ethyl] uracils as potent anti-HIV-1 agents. Bioorg Med Chem. 2011, 19, 5794–5802. [Google Scholar] [CrossRef] [PubMed]
- Prokofjieva, M.M.; Valuev-Elliston, V.T.; Ivanov, A.V.; Kochetkov, S.N.; Novikov, M.S.; Prassolov, V.S. Benzophenone derivatives of pyrimidines as effective non-nucleoside inhibitors of wild-type and drug-resistant HIV-1 reverse transcriptase. Doklady Biochem. Biophys. 2012, 447, 280–281. [Google Scholar] [CrossRef] [PubMed]
- Leporati, A.; Novikov, M.S.; Valuev-Elliston, V.T.; Korolev, S.P.; Khandazhinskaya, A.L.; Kochetkov, S.N.; Gupta, S.; Goding, J.; Bolotin, E.; Gottikh, M.B.; et al. Hydrophobic-core PEGylated graft copolymer-stabilized nanoparticles composed of insoluble non-nucleoside reverse transcriptase inhibitors exhibit strong anti-HIV activity. Nanomed: Nanotechnol. Biol. Med. 2016, 12, 2405–2413. [Google Scholar] [CrossRef] [PubMed]
- Elion, G.B. ACV: Discovery, mechanism of action, and selectivity. J. Med Virol. 1993, 41, 2–6. [Google Scholar] [CrossRef] [PubMed]
- Nagot, N.; Ouedraogo, A.; Foulongne, V.; Konaté, I.; Weiss, H.A.; Vergne, L.; Defer, M.C.; Djagbaré, D.; Sanon, A.; Andonaba, J.B.; et al. Reduction of HIV-1 RNA levels with therapy to suppress herpes simplex virus. N. Engl. J. Med. 2007, 356, 790–799. [Google Scholar] [CrossRef] [PubMed]
- Matyugina, E.S.; Khandazhinskaya, A.L. 5′-Norcarbocyclic nucleoside analogs. Russ. Chem. Bull. 2014, 63, 1069–1080. [Google Scholar] [CrossRef]
- Patil, S.D.; Sheller, S.W.; Hosoya, M.; Snoeck, R.; Andrei, G.; Balzarini, J.; De Clercq, E. Synthesis and Antiviral Properties of (-)-5′-Noraristeromycin and Related Purine Carbocyclic Nucleosides. A New Lead for Anti-Human Cytomegalovirus Agent Design. J. Med. Chem. 1992, 35, 3372–3377. [Google Scholar] [CrossRef]
- Siddiqi, S.M.; Chen, X.; Schneller, S.W.; Ikeda, S.; Snoeck, R.; Andrei, G.; Balzarini, J.; De Clercq, E. Antiviral Enantiomeric Preference for 5’-noraristeromycin. J. Med. Chem. 1994, 37, 551–554. [Google Scholar] [CrossRef]
- Rautio, J.; Meanwell, N.A.; Di, L.; Hageman, M.J. The expanding role of prodrugs in contemporary drug design and development. Nat. Rev. Drug Discov. 2018, 17, 559–587. [Google Scholar] [CrossRef]
- Aljuffali, I.A.; Lin, C.F.; Chen, C.H.; Fang, J.Y. The codrug approach for facilitating drug delivery and bioactivity. Expert Opin Drug Deliv. 2016, 13, 1311–1325. [Google Scholar] [CrossRef] [PubMed]
- Ozerov, A.; Novikov, M.; Khandazhinskaya, A.; Solyev, P. Selective N¹-alkylation of 1, 3-dibenzoyluracils: One-pot way to N¹-monosubstituted uracil derivatives. Heterocycles 2017, 94, 912–922. [Google Scholar] [CrossRef]
Sample Availability: Samples of the compounds are not available from the authors. |
© 2020 by the authors. Licensee MDPI, Basel, Switzerland. This article is an open access article distributed under the terms and conditions of the Creative Commons Attribution (CC BY) license (http://creativecommons.org/licenses/by/4.0/).




