Advances in Saponin Diversity of Panax ginseng
Abstract
1. Introduction
2. History of Saponins Isolated from P. ginseng
3. Classification of Saponins Identified from P. ginseng
4. Spatial Distribution of Ginsenosides in Different Parts
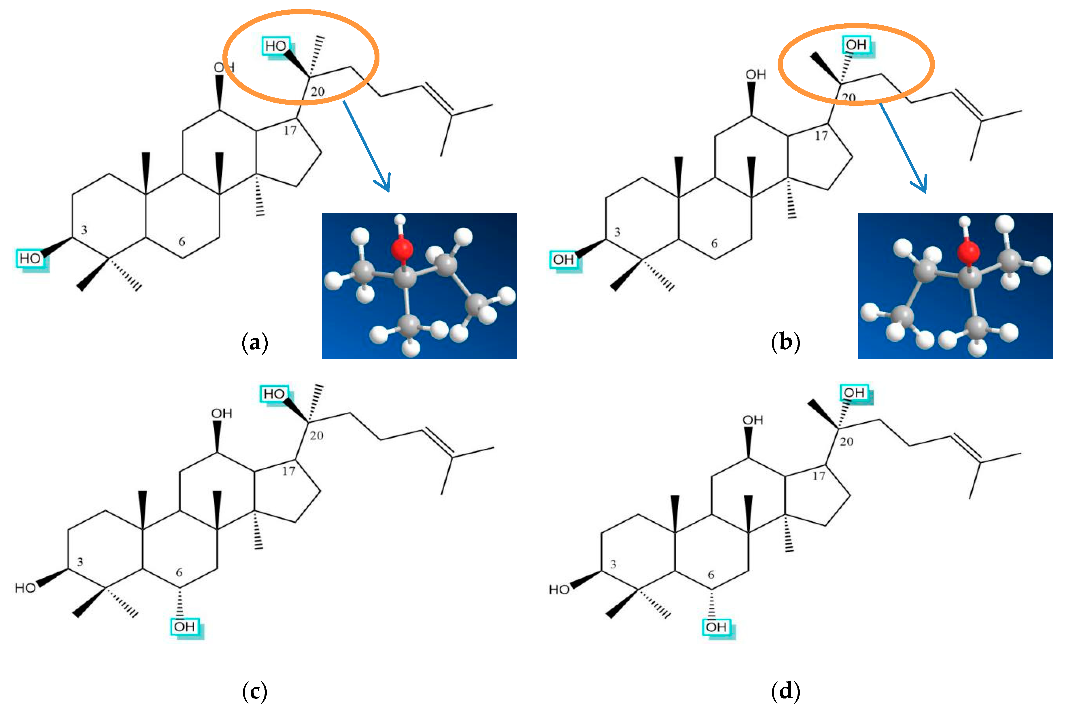
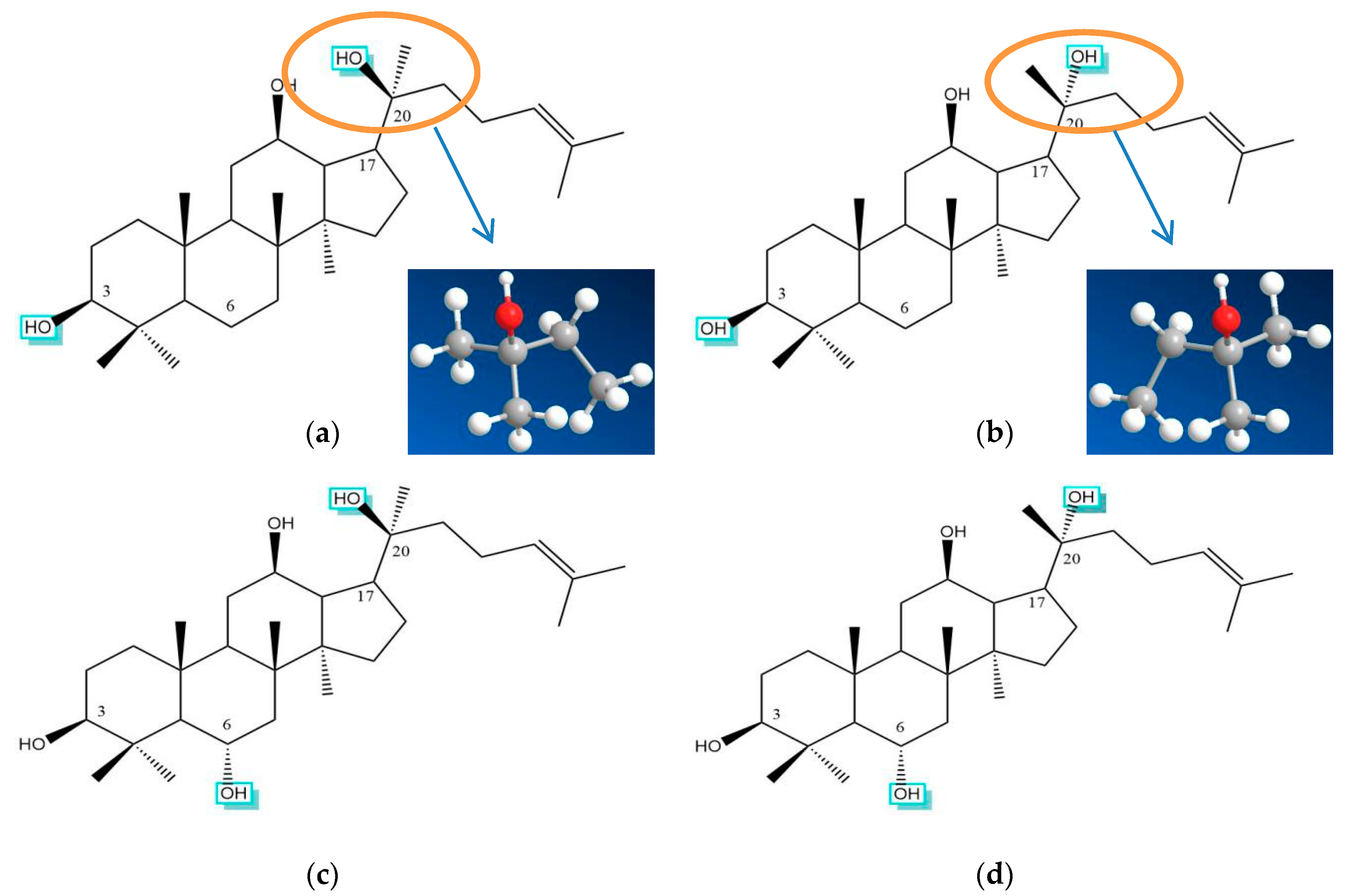
5. Isomers of Ginsenosides
6. Mass Spectrometry-Based Metabolomics Analysis on P. ginseng
7. Conclusions
Funding
Conflicts of Interest
References
- Wang, H.P.; Zhang, Y.B.; Yang, X.W.; Yang, X.B.; Xu, W.; Xu, F.; Cai, S.Q.; Wang, Y.P.; Xu, Y.H.; Zang, L.X. High-performance liquid chromatography with diode array detector and electrospray ionization ion trap time-of-flight tandem mass spectrometry to evaluate ginseng roots and rhizomes from different regions. Molecules 2016, 21, 603. [Google Scholar] [CrossRef] [PubMed]
- Yang, W.Z.; Hu, Y.; Wu, W.Y.; Ye, M.; Guo, D.A. Saponins in the genus Panax L. (Araliaceae): A systematic review of their chemical diversity. Phytochemistry 2014, 106, 7–24. [Google Scholar] [CrossRef] [PubMed]
- Qi, L.W.; Wang, C.Z.; Yuan, C.S. ChemInform abstract: Isolation and analysis of ginseng: Advances and challenges. Nat. Prod. Rep. 2011, 28, 467–495. [Google Scholar] [CrossRef] [PubMed]
- Shin, B.H.; Kwon, S.W.; Jeong Hill Park, J.H. Chemical diversity of ginseng saponins from Panax ginseng. J. Ginseng Res. 2015, 37, 287–298. [Google Scholar] [CrossRef]
- Shi, Z.Y.; Zeng, J.Z.; Wong, A.S.T. Chemical structures and pharmacological profiles of ginseng saponins. Molecules 2019, 24, 2443. [Google Scholar] [CrossRef]
- Lim, K.H.; Cho, J.Y.; Kim, B.; Bae, B.S.; Kim, J.H. Red ginseng (panax ginseng) decreases isoproterenol-induced cardiac injury via antioxidant properties in porcine. J. Med. Food 2014, 17, 111. [Google Scholar] [CrossRef]
- Chung, S.I.; Kang, M.Y.; Lee, S.C. In vitro and in vivo antioxidant activity of aged ginseng (panax ginseng). Prev. Nutr. Food Sci. 2016, 21, 24–30. [Google Scholar] [CrossRef][Green Version]
- Angelova, N.; Kong, H.W.; Heijden, R.; Yang, S.Y.; Choi, Y.; Kim, H.; Wang, M.; Hankemeier, T.; van der Greef, J.; Xu, G.; et al. Recent methodology in the phytochemical analysis of ginseng. Phytochem. Anal. 2008, 19, 2–16. [Google Scholar] [CrossRef]
- Woo, H.C.; Shin, B.K.; Cho, I.; Koo, H.; Kim, M.; Han, J. Anti-obesity Effect of Carbon Dioxide Supercritical Fluid Extracts of Panax Ginseng C. A. Meyer. J. Korean Soc. Appl. BI. 2011, 54, 738–743. [Google Scholar] [CrossRef]
- Kim, Y.J.; Zhang, D.Z.; Yang, D.C. Biosynthesis and biotechnological production of ginsenosides. Biotechnol. Adv. 2015, 33, 717–735. [Google Scholar] [CrossRef]
- Lü, J.M.; Yao, Q.; Chen, C. Ginseng compounds: An update on their molecular mechanisms and medical applications. Curr. Vasc. Pharmacol. 2009, 7, 293–302. [Google Scholar] [CrossRef] [PubMed]
- Chen, X.P.; Lin, Y.; Hu, Y.; Liu, C.X.; Lan, K.; Jia, W. Phytochemistry, Metabolism, and Metabolomics of Ginseng. Chin. Herb. Med. 2015, 7, 98–108. [Google Scholar] [CrossRef]
- Yang, X.W. Triterpenoids in Panax ginseng. Mod. Chin. Med. 2016, 18, 7–15. [Google Scholar] [CrossRef]
- Wang, H.P.; Zhang, Y.B.; Yang, X.W.; Zhao, D.Q.; Wang, Y.P. Rapid characterization of ginsenosides in the roots and rhizomes of panax ginseng by UPLC-DAD-QTOF-MS/MS and simultaneous determination of 19 ginsenosides by HPLC-ESI-MS. J. Ginseng Res. 2015, 40, 382–394. [Google Scholar] [CrossRef]
- Mao, Q.; Bai, M.; Xu, J.D.; Kong, M.; Zhu, L.Y.; Zhu, H.; Wang, Q.; Li, S.L. Discrimination of leaves of Panax ginseng and P. quinquefolius by ultra high performance liquid chromatography quadrupole/time-of-flight mass spectrometry based metabolomics approach. J. Pharm. Biomed. Anal. 2014, 97C, 129–140. [Google Scholar] [CrossRef]
- Lee, J.W.; Choi, B.R.; Kim, Y.C.; Choi, D.; Lee, Y.S.; Kim, G.S.; Baek, N.I.; Kim, S.Y.; Lee, D.Y. Comprehensive profiling and quantification of ginsenosides in the root, stem, leaf, and berry of Panax ginseng by UPLC-QTOF/MS. Molecules 2017, 22, 2147. [Google Scholar] [CrossRef] [PubMed]
- Chu, S.F.; Zhang, J.T. New achievements in ginseng research and its future prospects. Chin. J. Integr. Med. 2009, 15, 403–408. [Google Scholar] [CrossRef]
- Jia, L.; Zhao, Y.; Liang, X.J. Current evaluation of the millennium phytomedicine-ginseng (II): Collected chemical entities, modern pharmacology, and clinical applications emanated from traditional chinese medicine. Curr. Med. Chem. 2009, 16, 2924–2942. [Google Scholar] [CrossRef]
- Garriques, S.S. On panaquilon, a new vegetable substance. Am. J. Pharm. 1854, 90, 231–234. [Google Scholar]
- Shibata, S.; Tanaka, O.; Sado, M.; Tsushima, S. On genuine sapogenin of ginseng. Tetrahedron Lett. 1963, 4, 795–800. [Google Scholar] [CrossRef]
- Sanada, S.; Kondo, N.; Shoji, J.; Tanaka, O.; Shibata, S. Studies on the saponins of ginseng. I. structures of Ginsenoside-Ro, -Rb1, -Rb2, -Rc and -Rd. Chem. Pharm. Bull. 1974, 22, 421–428. [Google Scholar] [CrossRef]
- Sanada, S.; Kondo, N.; Shoji, J.; Tanaka, O.; Shibata, S. Studies on the saponins of ginseng. II. Structures of ginsenoside Re, -Rf and -Rg2. Chem. Pharm. Bull. 1974, 22, 2407–2412. [Google Scholar] [CrossRef]
- Nagai, Y.; Tanaka, O.; Shibata, S. Chemical studies on the oriental plant drugs—XXIV: Structure of ginsenoside-Rg1, a neutral saponin of ginseng root. Tetrahedron 1971, 27, 881–892. [Google Scholar] [CrossRef]
- Shibata, Y.; Nozaki, T.; Higashi, T.; Sanada, S.; Shoji, J. Saponins of leaves of Panax ginseng C.A. Meyer. Chem. Pharm. Bull. 1976, 24, 2204–2209. [Google Scholar]
- Yahara, S. Sapinins of bads and flowers of Panax ginseng C. A. Meyer isolation of ginsenside Rd, Re, Rg1. Chem. Pharm. Bull. 1976, 27, 3212. [Google Scholar] [CrossRef][Green Version]
- Sanada, S.; Shoji, J. Studies on the Saponins of ginseng III, Structures of ginsenoside-Rb3 and 20-Glucoginsenoside-Rf. Chem. Pharm. Bull. 1978, 26, 1694–1697. [Google Scholar] [CrossRef]
- Cai, P. Isolation and identification of ginsenosides in ginseng leaves of Jilin Province. Chinese Pharm. Bull. 1982, 17, 500–502. [Google Scholar]
- Shao, C.J.; Xu, J.D.; Jiang, X.K.; Cheng, G.R. Studies on the chemical constituents of flower-buds of Panax ginseng C.A. Meyer in Jilin(I). J. Jilin Univ. Med. Ed. 1984, 4, 21–24. [Google Scholar]
- Shao, C.J.; Xu, J.D. Chemical studies on the tetracyclic tirterpenic saponins in flower-buds of Panax ginseng C.A. Meyer. Chem. J. Chinese Unvi. 1984, 5, 20–23. [Google Scholar]
- Xu, S.X.; Wang, N.L.; Shen, M.; Lu, X.K. Chemical constituents of saponins of stems and leaves of Panax ginseng C.A. Meyer. Acta Bot. Sin. 1986, 28, 95–101. [Google Scholar]
- Chen, Y.J.; Xu, S.X.; Ma, Q.F. Study on the new minor new constituents of ginseng leaves. Acta Pharm. Sin. 1987, 22, 685–688. [Google Scholar]
- Zhang, S.; Chen, Y.; Cui, C.; He, G.; Xu, S.; Pei, Y.; Yao, X.; Zhu, T. A new minor saponin from the leaves of Panax ginseng C. A. Meyer. Acta Pharm. Sin. 1989, 24, 877–879. [Google Scholar]
- Chen, Y.; Zhang, S.; Wang, Z.; Lu, Y.; Xu, S.; Yao, X.; Cui, C.; Tezuka, Y.; Kikuchi, T.; Ogihara, Y. Isolation and elucidation of a new minor saponin from the leaves of Panax ginseng C.A. Meyer. Acta Pharm. Sin. 1990, 25, 379–381. [Google Scholar]
- Kim, D.S.; Chang, Y.J.; Zedk, U.; Zhao, P.; Lin, Y.Q.; Yang, C.R. Dammarane saponins from Panax ginseng. Phytochemistry 1995, 40, 1493–1497. [Google Scholar] [CrossRef] [PubMed]
- Dou, D.; Wen, Y.; Weng, M.; Pei, Y.; Chen, Y. Studies on the Minor Saponins from Leaves of Panax ginseng C.A.Meyer. China J. Chin. Mat. Med. 1997, 22, 35–37. [Google Scholar]
- Dou, D.Q.; Hou, W.B.; Chen, Y.J. Studies of the Characteristic Constituents of Chinese Ginseng and American Ginseng. Planta Med. 1998, 64, 555–560. [Google Scholar] [CrossRef]
- Dou, D.Q.; Chen, Y.J.; Liang, L.H.; Pang, F.G.; Shimizu, N.; Takeda, T. Six New Dammarane-type Triterpene Saponins from the Leaves of Panax ginseng. Chem. Pharm. Bull. 2001, 49, 442–446. [Google Scholar] [CrossRef]
- Dou, D.Q.; Ren, J.; Chen, Y.; Pei, Y.P.; Chen, Y.J. Study on the chemical constituents of the roots of commercial ginseng. China J. Chin. Mater. Med. 2003, 28, 522–524. [Google Scholar]
- Liu, C.X.; Xiao, P.G. Recent advances on ginseng research in China. J. Ethnopharmacol. 1992, 36, 27–38. [Google Scholar] [CrossRef]
- Nagasawa, T.; Oura, H.; Choi, J.H.; Bae, J.W. Application of high-per-formance liquid chromatography to the isolation of ginsenosides from ginseng saponins. In Proceedings of the Ginseng society Conference, Seoul, Korea, September 1980; pp. 207–215. [Google Scholar]
- Shibata, S.; Tanaka, O.; Ando, T.; Sado, M.; Tsushima, S.; Ohsawa, T. chemical studies on oriental plant drugs. XIV. Protopanaxadiol, a genuine sapogenin of ginseng saponins. Chem. Pharm. Bull. 1966, 14, 595–600. [Google Scholar] [CrossRef]
- Liu, F.F.; Zhang, A.H.; Lei, F.J.; Xiu, Y.H.; Zhang, L.X. Inhibiting effects of total ginsenosides of ginseng stems and leaves against Fusarium solani and their antibacterial mechanism. J. Jilin Agric. Univ. 2018, 40, 85–91. (In Chinese) [Google Scholar] [CrossRef]
- Zhang, A.H.; Tan, S.Q.; Zhao, Y.; Feng, J.L.; Zhang, L.X. Effects of total ginsenosides on the feeding behavior and two enzymes activities of Mythimna separata (Walker) Larvae. Evid. Based Complementary Altern. Med. 2015, 10, 1–6. [Google Scholar] [CrossRef]
- Zhang, H.; Lu, Z.; Tan, G.T.; Qiu, S.; Farnsworth, N.R.; Pezzuto, J.M.; Fong, H.H.S. Polyacetylene ginsenoside-Ro, a novel triterpene saponin from Panax ginseng. Tetrahedron Lett. 2002, 43, 973–977. [Google Scholar] [CrossRef]
- Zhou, Q.L.; Xu, W.; Yang, X.W. Chemical constituents of Chinese red ginseng. China J. Chin. Mater. Med. 2016, 41, 233–249. [Google Scholar] [CrossRef]
- Lee, D.G.; Lee, J.; Yang, S.; Kim, K.T.; Lee, S. Identification of dammarane-type triterpenoid saponins from the root of Panax ginseng. Nat. Prod. Sci. 2015, 21, 111–121. [Google Scholar]
- Yang, W.Z.; Ye, M.; Qiao, X.; Liu, C.F.; Miao, W.J.; Bo, T.; Tao, H.Y.; Guo, D.A. A strategy for efficient discovery of new natural compounds by integrating orthogonal column chromatography and liquid chromatography/mass spectrometry analysis: Its application in Panax ginseng, Panax quinquefolium and Panax notoginseng to characterize 437 potential new ginsenosides. Anal. Chim. Acta 2012, 739, 56–66. [Google Scholar] [CrossRef]
- Besso, H.; Kasai, R.; Saruwatari, Y.; Fuwa, T.; Tanaka, O. Ginsenoside-Ra1 and ginsenoside-Ra2, new dammarane-saponins of ginseng roots. Chem. Pharm. Bull. 1982, 30, 2380–2385. [Google Scholar] [CrossRef]
- Matsuura, H.; Kasai, R.; Tanaka, O.; Saruwatari, Y.; Kunihiro, K.; Fuwa, T. Further studies on dammarane-saponins of ginseng roots. Chem. Pharm. Bull. 1984, 32, 1188–1192. [Google Scholar] [CrossRef]
- Kasai, R.; Besso, H.; Tanaka, O.; Saruwatari, Y.; Fuwa, T. Saponins of red ginseng. Chem. Pharm. Bull. 1983, 31, 2120–2125. [Google Scholar] [CrossRef]
- Ruan, C.C.; Liu, Z.; Li, X.; Liu, X.; Wang, L.J.; Pan, H.Y.; Zheng, Y.N.; Sun, G.Z.; Zhang, Y.; Zhang, L.X. Isolation and Characterization of a New Ginsenoside from the Fresh Root of Panax Ginseng. Molecules 2010, 15, 2319–2325. [Google Scholar] [CrossRef]
- Sun, G.Z.; Li, X.G.; Liu, Z.; Wang, J.Y.; Zheng, Y.N.; Yang, X.W. Isolation and structure characterization of malonylnotoginsenoside-R4 from the root of Panax ginseng. Chem. J. Chin. Univ. 2007, 28, 1316–1318. [Google Scholar]
- Zhu, G.Y.; Li, Y.W.; Hau, D.; Jiang, Z.H.; Yu, Z.L.; Fong, W.F. Acylated Protopanaxadiol-Type Ginsenosides from the Root of Panax ginseng. Chem. Biodivers. 2011, 8, 1853–1863. [Google Scholar] [CrossRef] [PubMed]
- Kaku, T.; Kawashima, Y. Isolation and characterization of ginsenoside Rg2, 20R-prosapogenin, 20S-prosapogenin and D20 -prosapogenin. Chemical studies on saponins of Panax ginseng C.A. Meyer. Third report. Arzneimittelforschung 1980, 30, 936–943. [Google Scholar] [PubMed]
- Baek, N.I.; Kim, J.M.; Park, J.H.; Ryu, J.H.; Kim, D.S.; Lee, Y.H.; Park, J.D.; Kim, S.I. Ginsenoside Rs3, a genuine dammarane-glycoside from Korean red ginseng. Arch. Pharm. Res. 1997, 20, 280–282. [Google Scholar] [CrossRef] [PubMed]
- Chen, W.; Balan, P.; Popovich, D. Ginsenosides analysis of New Zealand grown forest Panax ginseng using LC-QTOF-MS/MS. J. Ginseng Res. 2020, 44, 552–562. [Google Scholar] [CrossRef] [PubMed]
- Tao, L.; Li, K.; Li, D.; Gong, X. Saponin Constituents from Fruits of Panax ginseng. Mod. Chin. Med. 2018, 20, 928–952. [Google Scholar] [CrossRef]
- Wang, W.; Rayburn, E.; Hill, D.; Wang, H.; Zhang, R. In vitro anti-cancer activity and structure-activity relationships of natural products isolated from fruits of Panax ginseng. Cancer Chemother. Pharmacol. 2007, 59, 589–601. [Google Scholar] [CrossRef]
- Xu, M.; Zhan, Z.J.; Zhang, X.Y. Study on the chemical constituents of ginseng fruit. Zhong Cao Yao 2007, 38, 667–669. [Google Scholar]
- Lee, M.; Seo, H.; Singh, D.; Lee, S.J.; Lee, C. Unraveling dynamic metabolomes underlying different maturation stages of berries harvested from Panax ginseng. J. Ginseng Res. 2019, 2019. 44, 413–423. [Google Scholar] [CrossRef]
- Dou, D.Q.; Chen, Y.J.; Meng, Z.Y.; Wen, Y.; Pei, Y.P.; Xu, S.X.; Yao, X.S.; Kawai, H.; Fukushima, H.; Murkami, Y. Two Minor Saponins from Leaves of Panax ginseng C. A. Meyer. J. Chin. Pharm. Sci. 1996, 5, 195–199. [Google Scholar]
- Siddiqi, M.; Siddiqi, M.Z.; Sungeun, A.; Kang, S.; Kim, Y.J.; Natarajan, S.; Yang, D.U.; Yang, D.C. Ginseng saponins and the treatment of osteoporosis: Mini literature review. J. Ginseng Res. 2013, 37, 261–268. [Google Scholar] [CrossRef] [PubMed]
- Kang, K.; Ham, J.; Kim, Y.J.; Park, J.; Cho, E.J.; Yamabe, N. Heat-processed Panax ginseng and diabetic renal damage: Active components and action mechanism. J. Ginseng Res. 2013, 37, 379–388. [Google Scholar] [CrossRef] [PubMed]
- Lee, S.; Kim, M.G.; Ko, S.; Kim, H.K.; Leem, K.; Kim, Y.J. Protective effect of ginsenoside Re on acute gastric mucosal lesion induced by compound 48/80. J. Ginseng Res. 2014, 38, 89–96. [Google Scholar] [CrossRef] [PubMed]
- Lee, C.; Kim, J.H. A review on the medicinal potentials of ginseng and ginsenosides on cardiovascular diseases. J. Ginseng Res. 2014, 38, 161–166. [Google Scholar] [CrossRef]
- Sun, M.; Che, Y.; Liu, Z. A tractable method for the preparation of the ginsenoside compounds O and Mc1. Anal. Methods 2015, 7, 4757–4762. [Google Scholar] [CrossRef]
- Li, F.; Li, Q.; Wang, J.; Lv, C.; Song, D.; Liu, P.; Zhang, D.; Lu, J. Chemical and bioactive comparison of flowers of Panax ginseng Meyer, Panax quinquefolius L. and Panax notoginseng Burk. J. Ginseng Res. 2016, 41, 487–495. [Google Scholar] [CrossRef]
- Qiu, S.; Yang, W.Z.; Yao, C.; Shi, X.J.; Li, J.Y.; Lou, Y.; Duan, Y.N.; Wu, W.Y.; Guo, D.A. Malonylginsenosides with potential antidiabetic activities from the flower buds of Panax ginseng. J. Nat. Prod. 2017, 80, 899–908. [Google Scholar] [CrossRef]
- Kitagawa, I.; Yoshikawa, M.; Yoshihara, M.; Hayashi, T.; Taniyama, T. Chemical Studies on Crude Drug Precession. I. On the Constituents of Ginseng Radix Rubra (1). Yakugaku Zasshi. 1983, 103, 612–622. [Google Scholar] [CrossRef]
- Zhu, G.Y.; Li, Y.W.; Hau, D.; Jiang, Z.H.; Yu, Z.L.; Fong, W.F. Protopanaxatriol-Type ginsenosides from the root of Panax ginseng. J. Agric. Food Chem. 2011, 59, 200–205. [Google Scholar] [CrossRef]
- Dou, D.Q.; Wen, Y.E.; Pei, Y.; Yao, X.S.; Chen, Y.; Kawai, H.; Fukushima, H. Ginsenoside-Ia: A Novel Minor Saponin from the Leaves of Panax ginseng. Planta Med. 1996, 62, 179–181. [Google Scholar] [CrossRef]
- Ma, H.Y.; Gao, H.; Huang, J.; Sun, B.H.; Yang, B. Three new triterpenoids from Panax ginseng exhibit cytotoxicity against human A549 and Hep-3B cell lines. J. Nat. Med. 2012, 66, 576–582. [Google Scholar] [CrossRef] [PubMed]
- Yoshikawa, M.; Sugimoto, S.; Nakamura, S.; Sakumae, H.; Matsuda, H. Medicinal Flowers. XVI. New Dammarane-Type Triterpene Tetraglycosides and Gastroprotective Principles from Flower Buds of Panax ginseng. Chem. Pharm. Bull. 2007, 55, 1034–1038. [Google Scholar] [CrossRef] [PubMed]
- Yoshikawa, M.; Sugimoto, S.; Nakamura, S.; Matsuda, H. Medicinal Flowers. XI. Structures of new dammarane-type triterpene diglycosides with hydroperoxide group from flower buds of Panax ginseng. Chem. Pharm. Bull. 2007, 55, 571–576. [Google Scholar] [CrossRef] [PubMed]
- Park, I.; Han, S.; Kim, J.; Piao, L.; Kwon, S.; Kim, N.; Kang, T.; Park, M.; Park, J. Four new acetylated ginsenosides from processed ginseng (sun ginseng). Arch. Pharm. Res. 2002, 25, 837–841. [Google Scholar] [CrossRef]
- Park, I.; Kim, N.; Han, S.; Kim, J.; Kwon, S.; Kim, H.J.; Park, M.; Park, J. Three new dammarane glycosides from heat processed ginseng. Arch. Pharm. Res. 2002, 25, 428–432. [Google Scholar] [CrossRef]
- Lee, S.; Shon, H.; Choi, C.-S.; Tran Manh, H.; Min, B.; Bae, K. Ginsenosides from Heat Processed Ginseng. Chem. Pharm. Bull. 2009, 57, 92–94. [Google Scholar] [CrossRef]
- Ryu, J.; Park, J.-H.; Eun, J.-H.; Jung, J.-H.; Sohn, D. A dammarane glycoside from Korean red ginseng. Phytochemistry 1997, 44, 931–933. [Google Scholar] [CrossRef]
- Lee, S.; Oh, J.; Na, M. Updating chemical profiling of red ginseng via the elucidation of two geometric isomers of ginsenosides Rg9 and Rg10. Food Chem. 2013, 141, 3920–3924. [Google Scholar] [CrossRef]
- Cho, J.G.; Lee, D.Y.; Shrestha, S.; Lee, S.K.; Kang, H.M.; Son, S.H.; Yang, D.C.; Baek, N.I. Three New Ginsenosides from the Heat-Processed Roots of Panax ginseng. Chem. Nat. Compd. 2013, 49, 882–887. [Google Scholar] [CrossRef]
- Wang, J.Y.; Li, X.G.; Zheng, Y.N.; Yang, X. Isoginsenoside-Rh3, a new triterpenoid saponin from the fruits of Panax ginseng C. A. Mey. J. Asian Nat. Prod. Res. 2005, 6, 289–293. [Google Scholar] [CrossRef]
- Yu, M.; Zhao, Y.Q. Chemical Study on triterpenoids in ginseng fruit. Zhong Cao Yao 2004, 35, 1221–1223. [Google Scholar]
- Han, W.; Lu, S.; Wen, H.; Xu, L.; Jin, J.; Tang, S. Chemical constituents from fruit pedicels of Panax ginseng. Zhong Cao Yao 2018, 49, 1751–1760. [Google Scholar] [CrossRef]
- Nguyen, H.; Song, G.; Kim, J.A.; Hyun, J.H.; Kang, H.K.; Kim, Y.H. Dammarane-type saponins from the flower buds of Panax ginseng and their effects on human leukemia cells. Bioorganic Med. Chem. Lett. 2009, 20, 309–314. [Google Scholar] [CrossRef]
- Wang, L.; Wu, Z.; Gao, H.; Huang, J.; Sun, B.; Wu, L. A new compound with cytotoxic activities from the leaves of Panax ginseng C.A. Meyer. Chin. Chem. Lett 2008, 19, 837–840. [Google Scholar] [CrossRef]
- Wu, L.J.; Wang, L.B.; Gao, H.; Wu, B.; Song, X.M.; Tang, Z.S. A new compound from the leaves of Panax ginseng. Fitoterapia 2008, 78, 556–560. [Google Scholar] [CrossRef]
- Lee, D.Y.; Lee, J.; Jeong, Y.T.; Byun, G.H.; Kim, J.H. Melanogenesis inhibition activity of floralginsenoside A from panax ginseng berry. J. Ginseng Res. 2017, 41, 602–607. [Google Scholar] [CrossRef]
- Nakamura, S.; Sugimoto, S.; Matsuda, H.; Yoshikawa, M. Structures of dammarane type triterpene triglycosides from the flower buds of Panax ginseng. Heterocycles 2007, 71, 577–588. [Google Scholar]
- Tung, N.H.; Song, G.Y.; Woo, S.H.; Hyun, J.W.; Koh, Y.S.; Kang, H.K. Ginsenosides from the leaves and flower buds of panax ginseng and their pharmacological effects. Curr. Bioact. Compd. 2012, 8, 159–166. [Google Scholar] [CrossRef]
- Qiu, F.; Ma, Z.; Xu, S.X.; Yao, X.S.; Che, C.T.; Chen, Y.J. A Pair of 24-hydroperoxyl Epimeric Dammarane Saponins from Flower-buds of Panax Ginseng. J. Asian Nat. Prod. Res. 2001, 3, 235–240. [Google Scholar] [CrossRef]
- Nguyen, H.T.; Song, G.Y.; Nhiem, N.X.; Ding, Y.; Tai, B.H.; Jin, L.G.; Lim, C.M.; Hyun, J.W.; Park, C.J.; Kang, H.K.; et al. Dammarane-type saponins from the flower buds of Panax ginseng and their intracellular radical scavenging capacity. J. Agric. Food chem. 2010, 58, 868–874. [Google Scholar] [CrossRef]
- Qiu, F.; Ma, Z.; Xu, S.; Yao, X.S.; Chen, Y.; Che, Z. Studies on Dammarane-Type Saponins in the Flower-Buds of Panax ginseng C.A. Meyer. J. Asian Nat. Prod. Res. 1998, 1, 119–123. [Google Scholar] [CrossRef]
- Fuzzati, N. Analysis methods of ginsenosides. J. Chromatogr. B 2005, 812, 119–133. [Google Scholar] [CrossRef]
- Baek, S.H.; Bae, O.N.; Park, J. Recent Methodology in Ginseng Analysis. J. Ginseng Res. 2012, 36, 119–134. [Google Scholar] [CrossRef]
- Cui, J.; Björkhem, I.; Eneroth, P. Gas chromatographic-mass spectrometric determination of 20(S)-protopanaxadiol and 20(S)-protopanaxatriol for study on human urinary excretion of ginsenosides after ingestion of ginseng preparations. J. Chromatogr. B 1997, 689, 349–355. [Google Scholar] [CrossRef]
- Kim, B.Y.; Lee, M.; Cho, K.; Park, J.; Park, M. Analysis of ginseng saponins by HPLC with photoreduction fluorescence detection. Arch. Pharmacol. Res. 1992, 15, 328–332. [Google Scholar] [CrossRef]
- Van Breemen, R.; Huang, C.-R.; Lu, Z.-Z.; Rimando, A.; Fong, H.; Fitzloff, J. Electrospray Liquid Chromatography/Mass Spectrometry of Ginsenosides. Anal. Chem. 1995, 67, 3985–3989. [Google Scholar] [CrossRef]
- Wang, X.; Sakuma, T.; Asafu-Adjaye, E.; Shiu, G. Determination of ginsenosides in plant extracts from panax ginseng and Panax quinquefolius L. by LC/MS/MS. Anal. Chem. 1999, 71, 1579–1584. [Google Scholar] [CrossRef]
- Chan, D.; But, P.P.H.; Cheng, S.W.; Kwok, I.M.Y.; Lau, F.W.; Xu, H.X. Differentiation and authentication of Panax ginseng, Panax quinquefolius, and ginseng products by using HPLC/MS. Anal. Chem. 2000, 72, 1281–1287. [Google Scholar] [CrossRef]
- Sloley, B.; Lin, Y.C.; Ridgway, D.; Semple, H.; Tam, Y.; Coutts, R.; Löbenberg, R.; Tam-Zaman, N. A method for the analysis of ginsenosides, malonyl ginsenosides, and hydrolyzed ginsenosides using high-performance liquid chromatography with ultraviolet and positive mode electrospray ionization mass spectrometric detection. J. AOAC Int. 2006, 89, 16–21. [Google Scholar] [CrossRef]
- Park, H.W.; In, G.; Kim, J.H.; Cho, B.G.; Han, G.H.; Chang, I.M. Metabolomic approach for discrimination of processed ginseng genus (Panax ginseng and Panax quinquefolius) using UPLC-QTOF MS. J. Ginseng Res. 2014, 38, 59–65. [Google Scholar] [CrossRef]
- Popovich, D.; Kitts, D. Generation of ginsenosides Rg3 and Rh2 from North American ginseng. Phytochemistry 2004, 65, 337–344. [Google Scholar] [CrossRef]
- Sun, B.S.; Xu, M.Y.; Li, Z.; Wang, Y.B.; Sung, C.K. UPLC-Q-TOF-MS/MS Analysis for steaming times-dependent profiling of steamed Panax quinquefolius and its ginsenosides transformations induced by repetitious steaming. J. Ginseng Res. 2012, 36, 277–290. [Google Scholar] [CrossRef]
- Pascoe, R.; Foley, J.; Gusev, A. Reduction in Matrix-Related Signal Suppression Effects in Electrospray Ionization Mass Spectrometry Using On-Line Two-Dimensional Liquid Chromatography. Anal. Chem. 2002, 73, 6014–6023. [Google Scholar] [CrossRef]
- Ma, X.; Xiao, H.; Liang, X. Identification of Ginsenosides in Panax quinquefolium by LC-MS. Chromatographia 2006, 64, 31–36. [Google Scholar] [CrossRef]
- Xu, W.; Qiu, X.-H.; Zhang, J.; Zhu, D.Y.; Yang, Y.M.; Lu, C.J. Analysis of saponins in Panax notoginseng by UPLC-LTQ-Orbitrap MS/MS. Acta Pharm. Sin. 2012, 47, 773–778. [Google Scholar] [CrossRef]
- Li, W.; Gu, C.; Zhang, H.; Awang, D.V.C.; Breemen, R.B.V. Use of High-Performance Liquid Chromatography−Tandem Mass Spectrometry To Distinguish Panax ginseng C.A. Meyer (Asian Ginseng) and Panax quinquefolius L. (North American Ginseng). Anal. Chem. 2000, 72, 5417–5422. [Google Scholar] [CrossRef]
- Xü, Z.X.; Xiao, H.B.; Wang, J.N.; Liang, X.M. Analysis of ginsenosides by high performance liquid chromatography/mass spectrometry/mass spectrometry (lc/ms/ms). Se Pu 2000, 18, 521–524. [Google Scholar]
- Chen, Y.; Zhao, Z.; Chen, H.; Qin, M.; Liang, Z. Chemical Differentiation and Quality Evaluation of Commercial Asian and American Ginsengs based on a UHPLC–QTOF/MS/MS Metabolomics Approach. Phytochem. Anal. 2014, 26, 145–160. [Google Scholar] [CrossRef]
- Zhang, H.M.; Li, S.L.; Zhang, H.; Wang, Y.; Zhao, Z.L.; Chen, S.L.; Xu, H.X. Holistic quality evaluation of commercial white and red ginseng using a UPLC-QTOF-MS/MS-based metabolomics approach. J. Pharm. Biomed. Anal. 2012, 62, 258–273. [Google Scholar] [CrossRef]
- Zhang, X.X.; Wang, H.P.; Yang, Y.; Du, M.B.; Mao, S.; Chen, C.; Liu, Y.X.; Li, S.J. Rapid analysis of ginsenosides in dried fresh Ginseng by ultra -performance liquid chromatography with quadrupole time-of-flight mass spectrometry. China Medical Herald. 2015, 12, 130–136. [Google Scholar]
- Shi, X.J.; Yang, W.Z.; Qiu, S.; Yao, C.; Shen, Y.; Pan, H.Q.; Bi, Q.R.; Yang, M.; Wu, W.Y.; Guo, D.A. An in-source multiple collision-neutral loss filtering based nontargeted metabolomics approach for the comprehensive analysis of malonyl-ginsenosides from Panax ginseng, P. quinquefolius, and P. notoginseng. Anal. Chim. Acta 2016, 952, 59–70. [Google Scholar] [CrossRef]
- Shi, X.; Yang, W.; Huang, Y.; Hou, J.; Qiu, S.; Yao, C.; Feng, Z.; Wei, W.; Wu, W.; Guo, D. Direct screening of malonylginsenosides from nine Ginseng extracts by an untargeted profiling strategy incorporating in-source collision-induced dissociation, mass tag, and neutral loss scan on a hybrid linear ion-trap/Orbitrap mass spectrometer coupled to ultra-high performance liquid chromatography. J. Chromatogr. A 2018, 1571, 213–222. [Google Scholar] [CrossRef] [PubMed]
- Zhong, W.; Dai, Y.L.; Li, X.Y.; Wang, Y.B.; Liu, S.Y. Analysis of chemical differences in red ginseng by Uplc-Q-Orbitrap mass spectrometry. J. Chin. Mass Spectrom. Soc. 2015, 36, 529–536. [Google Scholar] [CrossRef]






| No. | Subtype | Saponins | Formula | Molecular Mass | Plant Part | Refs | 
|---|---|---|---|---|---|---|
| 1 | OA 1 | Polyacetylene ginsenoside Ro | C65H100O21 | 1216.6757 | Root | [44] | 
| 2 | OA | Ginsenoside Ro methyl ester | C49H78O19 | 970.5137 | Root(steamed) | [45] | 
| 3 | OA | Calenduloside B | C48H78O18 | 942.5188 | Root | [46] | 
| 4 | OA | Ginsenoside Ro | C49H80O18 | 956.5345 | Root, flower, fruit, leaf | [16,47] | 
| 5 | PPD | Ginsenoside Ra1 | C58H98O26 | 1210.6346 | Root | [48] | 
| 6 | PPD | Ginsenoside Ra2 | C58H98O26 | 1210.6346 | Root | [49] | 
| 7 | PPD | Ginsenoside Ra3 | C59H100O27 | 1240.6452 | Root | [50] | 
| 8 | PPD | Ginsenoside Rs1 | C55H92O23 | 1120.6029 | Root(steamed) | [51] | 
| 9 | PPD | Ginsenoside Rs2 | C55H92O23 | 1120.6029 | Root(steamed) | [51] | 
| 10 | PPD | Malonyl-ginsenoside Ra3 | C62H102O30 | 1326.6456 | Root(fresh) | [52] | 
| 11 | PPD | Malonyl-notoginsenoside R4 | C62H102O30 | 1326.6456 | Root | [52] | 
| 12 | PPD | Ginsenoside Ra4 | C62H102O27 | 1278.6608 | Root | [53] | 
| 13 | PPD | Ginsenoside Ra5 | C60H99O27 | 1251.6373 | Root | [53] | 
| 14 | PPD | Ginsenoside Ra6 | C58H96O24 | 1176.6292 | Root | [53] | 
| 15 | PPD | Ginsenoside Ra7 | C57H93O23 | 1145.6108 | Root | [53] | 
| 16 | PPD | Ginsenoside Ra8 | C57H94O23 | 1146.6186 | Root | [53] | 
| 17 | PPD | Ginsenoside Ra9 | C57H94O23 | 1146.6186 | Root | [53] | 
| 18 | PPD | 20(S)-ginsenoside Rg3 | C42H72O13 | 784.4973 | Root(steamed), fruit, leaf | [54] | 
| 19 | PPD | Ginsenoside Rs3 | C44H74O14 | 826.5079 | Root(steamed) | [55] | 
| 20 | PPD | Ginsenoside IV | C58H96O24 | 1176.6292 | Root | [47] | 
| 21 | PPD | Ginsenoside V | C54H92O24 | 1124.5979 | Root | [47] | 
| 22 | PPD | Gypenoside-V | C54H92O22 | 1092.6080 | Root | [46] | 
| 23 | PPD | 20(R)-ginsenoside Rs3 | C44H74O14 | 826.5079 | Root(steamed) | [45] | 
| 24 | PPD | Acetyl-ginsenoside Rd | C50H84O19 | 988.5607 | Root(mountain ginseng) | [56] | 
| 25 | PPD | Ginsenoside F2 | C42H72O13 | 784.4973 | Root, fruit, leaf | [57] | 
| 26 | PPD | Pseudoginsenoside Rc1 | C50H84O19 | 988.5607 | Fruit | [57] | 
| 27 | PPD | Gypenoside XVII | C48H82O18 | 946.5501 | Fruit, leaf | [57] | 
| 28 | PPD | Gypenoside IX | C47H80O17 | 916.5396 | Fruit, leaf | [57] | 
| 29 | PPD | Quinquenoside L10 | C47H80O17 | 916.5396 | Fruit | [57] | 
| 30 | PPD | 25-Hydroxyprotopanaxadiol | C30H54O4 | 478.4022 | Fruit | [58] | 
| 31 | PPD | 20(S)-protopanaxadiol | C30H52O3 | 460.3916 | Fruit, leaf | [41,59] | 
| 32 | PPD | 20(R)-protopanaxadiol | C30H52O3 | 460.3916 | Fruit | [59] | 
| 33 | PPD | Notoginsenoside Fd | C47H80O17 | 916.5396 | Fruit | [60] | 
| 34 | PPD | Ginsenoside Rd2 | C47H80O17 | 916.5396 | Leaf | [61] | 
| 35 | PPD | 20(R)-ginsenoside Rg3 | C42H72O13 | 784.4973 | Root(steamed), fruit, leaf | [62,63] | 
| 36 | PPD | 20(S)-ginsenoside Rh2 | C36H62O8 | 622.4445 | Root(steamed), fruit, leaf | [64] | 
| 37 | PPD | 20(R)-ginsenoside Rh2 | C36H62O8 | 622.4445 | Fruit, leaf | [65] | 
| 38 | PPD | Notoginsenoside Fe | C47H80O17 | 916.5396 | Fruit, leaf | [61] | 
| 39 | PPD | Acetyl-ginsenoside Rb1 | C56H96O24 | 1152.6292 | Root(mountain ginseng), leaf | [56] | 
| 40 | PPD | Acetyl-ginsenoside Rc | C55H92O23 | 1120.6029 | Root(mountain ginseng), leaf | [56] | 
| 41 | PPD | Acetyl-ginsenoside Rb3 | C55H92O23 | 1120.6029 | Root(mountain ginseng), leaf | [56] | 
| 42 | PPD | Ginsenoside compound O | C47H80O17 | 916.5396 | Root, fruit, leaf | [16,66] | 
| 43 | PPD | Malonyl-ginsenoside Rb2 | C56H92O25 | 1164.5928 | Root, flower, fruit, leaf | [16] | 
| 44 | PPD | Ginsenoside Mc | C41H70O12 | 754.4867 | Leaf | [16,66] | 
| 45 | PPD | Ginsenoside compound Y | C41H70O12 | 754.4867 | Leaf | [16] | 
| 46 | PPD | Ginsenoside compound K | C36H62O8 | 622.4445 | Root, fruit, leaf | [16] | 
| 47 | PPD | Ginsenoside Rb1 | C54H92O23 | 1108.6029 | Root, flower, fruit, leaf | [16,67] | 
| 48 | PPD | Malonyl-ginsenoside Rb1 | C57H94O25 | 1178.6084 | Root, flower, fruit, leaf | [16,67] | 
| 49 | PPD | Ginsenoside Rc | C53H90O22 | 1078.5924 | Root, flower, fruit, leaf | [16,67] | 
| 50 | PPD | Malonyl-ginsenoside Rc | C56H92O25 | 1164.5928 | Root, flower, fruit, leaf | [16,67] | 
| 51 | PPD | Ginsenoside Rb2 | C53H90O22 | 1078.5924 | Root, flower, fruit, leaf | [16,67] | 
| 52 | PPD | Ginsenoside Rb3 | C53H90O22 | 1078.5924 | Root, flower, fruit, leaf | [16,67] | 
| 53 | PPD | Malonyl-ginsenoside Rb3 | C56H92O25 | 1164.5928 | Root, flower, leaf | [16,67] | 
| 54 | PPD | Ginsenoside Rd | C48H82O18 | 946.5501 | Root, flower, fruit, leaf | [16,67] | 
| 55 | PPD | Malonyl-ginsenoside Rd | C51H84O21 | 1032.5505 | Root, flower, fruit, leaf | [16,67] | 
| 56 | PPD | Malonyl-floralginsenoside Rd2 | C51H84O21 | 1032.5505 | Flower | [68] | 
| 57 | PPD | Malonyl-floralginsenoside Rd3 | C51H84O21 | 1032.5505 | Flower | [68] | 
| 58 | PPD | Malonyl-floralginsenoside Rd4 | C51H84O21 | 1032.5505 | Flower | [68] | 
| 59 | PPD | Malonyl-floralginsenoside Rd5 | C51H84O21 | 1032.5505 | Flower | [68] | 
| 60 | PPD | Malonyl-floralginsenoside Rd6 | C54H87O24 | 1119.5587 | Flower | [68] | 
| 61 | PPD | Malonyl-floralginsenoside Rc2 | C56H92O25 | 1164.5928 | Flower | [68] | 
| 62 | PPD | Malonyl-floralginsenoside Rc3 | C56H92O25 | 1164.5928 | Flower | [68] | 
| 63 | PPD | Malonyl-floralginsenoside Rc4 | C56H92O25 | 1164.5928 | Flower | [68] | 
| 64 | PPT | 20(S)-ginsenoside Rg2 | C42H72O13 | 784.4973 | Root, fruit, leaf | [54,69] | 
| 65 | PPT | Koryoginsenoside R1 | C46H76O15 | 868.5184 | Root | [36] | 
| 66 | PPT | Ginsenoside Re6 | C46H76O15 | 868.5184 | Root | [70] | 
| 67 | PPT | Ginsenoside Re2 | C48H82O19 | 962.5450 | Root | [70] | 
| 68 | PPT | Ginsenoside Re3 | C48H82O19 | 962.5450 | Root | [70] | 
| 69 | PPT | Ginsenoside Re4 | C47H80O18 | 932.5345 | Root | [70] | 
| 70 | PPT | Notoginsenoside Rt | C44H74O15 | 842.5028 | Root | [46] | 
| 71 | PPT | Majoroside F6 | C48H82O19 | 962.5450 | Root | [46] | 
| 72 | PPT | Pseudoginsenoside Rt3 | C42H70O13 | 782.4816 | Root | [46] | 
| 73 | PPT | Vinaginsenoside R15 | C42H72O15 | 816.4871 | Root | [46] | 
| 74 | PPT | 20(R)-ginsenoside Rf | C42H72O14 | 800.4922 | Root | [45] | 
| 75 | PPT | 20(R)-notoginsenoside R2 | C41H70O13 | 770.4816 | Root | [45] | 
| 76 | PPT | Ginsenoside Ia | C42H72O14 | 800.4922 | Fruit | [71] | 
| 77 | PPT | Chikusetsusaponin LM1 | C41H70O13 | 770.4816 | Fruit | [57] | 
| 78 | PPT | 25-Hydroxyprotopanaxatriol | C30H54O5 | 494.3971 | Fruit | [58] | 
| 79 | PPT | 20(S)-protopanaxatriol | C30H52O4 | 476.3866 | Fruit, leaf | [59] | 
| 80 | PPT | 20(R)-protopanaxatriol | C30H52O4 | 476.3866 | Fruit | [59] | 
| 81 | PPT | Notoginsenoside R3 | C48H82O19 | 962.5450 | Fruit | [60] | 
| 82 | PPT | 20-glucoginsenoside Rf | C48H82O19 | 962.5450 | Root, flower, leaf | [16] | 
| 83 | PPT | Saponin IIb | C36H62O9 | 638.4394 | Leaf | [72] | 
| 84 | PPT | Saponin IIIc | C37H62O10 | 666.4343 | Leaf | [72] | 
| 85 | PPT | 20(S)-ginsenoside Rh1 | C36H62O9 | 638.4394 | Leaf | [62] | 
| 86 | PPT | 20(R)-ginsenoside Rh1 | C36H62O9 | 638.4394 | Root(steamed), leaf | [21] | 
| 87 | PPT | Acetyl-ginsenoside Rg1 | C44H74O15 | 842.5028 | Root(mountain ginseng), leaf | [56] | 
| 88 | PPT | Acetyl-ginsenoside Re | C50H84O19 | 988.5607 | Root(mountain ginseng), leaf | [56] | 
| 89 | PPT | Notoginsenoside R2 | C41H70O13 | 770.4816 | Root, fruit, leaf | [16] | 
| 90 | PPT | Notoginsenoside R1 | C47H80O18 | 932.5345 | Root, flower, fruit, leaf | [16,67] | 
| 91 | PPT | Ginsenoside Rg1 | C42H72O14 | 800.4922 | Root, flower, fruit, leaf | [16,67] | 
| 92 | PPT | Ginsenoside Re | C48H82O18 | 946.5501 | Root, flower, fruit, leaf | [16,67] | 
| 93 | PPT | Malonyl-ginsenoside Rg1 | C45H74O17 | 886.4926 | Root, flower, leaf | [16,67] | 
| 94 | PPT | Malonyl-ginsenoside Re | C51H84O21 | 1032.5505 | Root, flower, fruit, leaf | [16,67] | 
| 95 | PPT | Ginsenoside Rf | C42H72O14 | 800.4922 | Root, flower, fruit, leaf | [16,67] | 
| 96 | PPT | 20(R)-ginsenoside Rg2 | C42H72O13 | 784.4973 | Root(steamed), flower, fruit, leaf | [16,67] | 
| 97 | PPT | Ginsenoside Rf3 | C41H70O13 | 770.4816 | Flower | [67] | 
| 98 | PPT | Floralginsenoside M | C53H90O22 | 1078.5924 | Flower, leaf | [73] | 
| 99 | PPT | Floralginsenoside N | C53H90O22 | 1078.5924 | Flower, leaf | [73] | 
| 100 | PPT | Floralginsenoside P | C53H90O23 | 1094.5873 | Flower | [73] | 
| 101 | PPT | Ginsenoside F1 | C36H62O9 | 638.4394 | Flower, fruit, leaf | [74] | 
| 102 | PPT | Ginsenoside F3 | C41H70O13 | 770.4816 | Flower, fruit, leaf | [74] | 
| 103 | PPT | Ginsenoside F5 | C41H70O13 | 770.4816 | Flower, fruit, leaf | [74] | 
| 104 | PPT | Malonyl-floralginsenoside Re2 | C51H84O21 | 1032.5505 | Flower | [68] | 
| 105 | PPT | Malonyl-floralginsenoside Re3 | C51H84O21 | 1032.5505 | Flower | [68] | 
| 106 | C17SCV | Koryoginsenoside R2 | C54H92O24 | 1124.5979 | Root | [36] | 
| 107 | C17SCV | Ginsenoside Re5 | C42H72O15 | 816.4871 | Root | [70] | 
| 108 | C17SCV | Ginsenoside Rs4 | C44H72O13 | 808.4973 | Root(sun cured) | [75] | 
| 109 | C17SCV | Dehydroprotopanaxadiol I | C30H50O2 | 442.3811 | Root(steamed) | [2] | 
| 110 | C17SCV | Ginsenoside Rg5 | C42H70O12 | 766.4867 | Root(steamed) | [76] | 
| 111 | C17SCV | Dehydroprotopanaxatriol I | C30H50O3 | 458.3760 | Root(steamed) | [2] | 
| 112 | C17SCV | Ginsenoside Rs6 | C38H62O9 | 662.4394 | Root(sun cured) | [75] | 
| 113 | C17SCV | Ginsenoside Rz1 | C42H70O12 | 766.4867 | Root(steamed) | [77] | 
| 114 | C17SCV | Dehydroprotopanaxadiol II | C30H50O2 | 442.3811 | Root(steamed) | [2] | 
| 115 | C17SCV | Ginsenoside Rs5 | C44H72O13 | 808.4973 | Root(sun cured) | [75] | 
| 116 | C17SCV | Dehydroprotopanaxatriol II | C30H50O3 | 458.3760 | Root(steamed) | [2] | 
| 117 | C17SCV | Ginsenoside Rg6 | C42H70O12 | 766.4867 | Root(steamed) | [78] | 
| 118 | C17SCV | Ginsenoside Rk3 | C36H60O8 | 620.4288 | Root(steamed) | [76] | 
| 119 | C17SCV | Ginsenoside Rs7 | C38H62O9 | 662.4394 | Root(sun cured) | [75] | 
| 120 | C17SCV | Ginsenoside Rg9 | C42H70O13 | 782.4816 | Root(steamed) | [79] | 
| 121 | C17SCV | 12-O-glucoginsenoside Rh4 | C42H70O13 | 782.4816 | Root(steamed) | [80] | 
| 122 | C17SCV | Ginsenoside Rg10 | C42H69O13 | 781.4738 | Root(steamed) | [79] | 
| 123 | C17SCV | Ginsenoside Rh10 | C36H62O8 | 622.4445 | Root(steamed) | [80] | 
| 124 | C17SCV | Ginsenoside Rg11 | C42H70O14 | 798.4766 | Root(steamed) | [80] | 
| 125 | C17SCV | Vinaginsenoside R8 | C48H82O19 | 962.5450 | Fruit | [57] | 
| 126 | C17SCV | Ginsenoside Rh4 | C36H60O8 | 620.4288 | Root(steamed), fruit | [4,57] | 
| 127 | C17SCV | Ginsenoside Rh5 | C36H60O9 | 636.4237 | Root(steamed), fruit | [4,57] | 
| 128 | C17SCV | Isoginsenoside-Rh3 | C36H60O7 | 604.4339 | Fruit | [81] | 
| 129 | C17SCV | Ginsenoside Rf2 | C42H72O14 | 800.4922 | Fruit | [82] | 
| 130 | C17SCV | Ginsenoside Rk2 | C36H60O7 | 604.4339 | Root(steamed), fruit | [76,83] | 
| 131 | C17SCV | Pseudoginsenoside RT5 | C36H62O10 | 654.4343 | Fruit | [83] | 
| 132 | C17SCV | Ginsenoside Rh3 | C36H60O7 | 604.4339 | Root(steamed), fruit | [76,83] | 
| 133 | C17SCV | Ginsenoside Rg4 | C42H70O12 | 766.4867 | Root, fruit | [16] | 
| 134 | C17SCV | Ginsenoside F4 | C42H70O12 | 766.4867 | Root, fruit, leaf | [16] | 
| 135 | C17SCV | Ginsenoside Rg7 | C36H60O9 | 636.4237 | Leaf | [39] | 
| 136 | C17SCV | Ginsenoside Rh6 | C36H62O11 | 670.4292 | Fruit, leaf | [39] | 
| 137 | C17SCV | Ginsenoside Ki | C36H62O10 | 654.4343 | Leaf | [39] | 
| 138 | C17SCV | Ginsenoside Km | C36H62O10 | 654.4343 | Leaf | [84] | 
| 139 | C17SCV | Ginsenoside Rh9 | C36H60O9 | 636.4237 | Leaf | [39] | 
| 140 | C17SCV | 12,23-Epoxyginsenoside Rg1 | C42H70O14 | 798.4766 | Leaf | [85] | 
| 141 | C17SCV | Ginsenoside Rh7 | C36H60O9 | 636.4237 | Leaf | [39] | 
| 142 | C17SCV | Ginsenoside Rh8 | C36H60O9 | 636.4237 | Leaf | [39] | 
| 143 | C17SCV | Hexanordammaran | C24H40O4 | 392.2927 | Leaf | [86] | 
| 144 | C17SCV | Floralginsenoside A | C42H72O16 | 832.4820 | Flower | [87] | 
| 145 | C17SCV | Ginsenoside La | C42H70O13 | 782.4816 | Leaf | [35] | 
| 146 | C17SCV | Vinaginsenoside R4 | C48H82O19 | 962.5450 | Root, fruit, leaf | [16] | 
| 147 | C17SCV | Ginsenoside Rk1 | C42H70O12 | 766.4867 | Root(steamed), fruit, leaf | [16] | 
| 148 | C17SCV | Floralginsenoside H | C50H84O21 | 1020.5505 | Flower | [88] | 
| 149 | C17SCV | Floralginsenoside Tc | C53H90O24 | 1110.5822 | Flower | [89] | 
| 150 | C17SCV | Floralginsenoside Td | C53H90O24 | 1110.5822 | Flower | [84] | 
| 151 | C17SCV | Ginsenoside I | C48H82O20 | 978.5400 | Flower | [90] | 
| 152 | C17SCV | Ginsenoside II | C48H82O20 | 978.5400 | Flower | [90] | 
| 153 | C17SCV | Floralginsenoside C | C41H70O15 | 802.4715 | Flower | [74] | 
| 154 | C17SCV | Floralginsenoside J | C48H82O20 | 978.5400 | Flower | [88] | 
| 155 | C17SCV | Floralginsenoside Ka | C36H62O11 | 670.4292 | Flower | [91] | 
| 156 | C17SCV | Floralginsenoside La | C48H82O19 | 962.5450 | Flower | [88] | 
| 157 | C17SCV | Floralginsenoside Lb | C48H82O19 | 962.5450 | Flower | [88] | 
| 158 | C17SCV | Floralginsenoside Ta | C36H60O10 | 652.4187 | Flower | [89] | 
| 159 | C17SCV | Floralginsenoside E | C42H72O15 | 816.4871 | Flower | [74] | 
| 160 | C17SCV | Floralginsenoside F | C42H72O15 | 816.4871 | Flower | [74] | 
| 161 | C17SCV | Floralginsenoside G | C50H84O21 | 1020.5505 | Flower | [88] | 
| 162 | C17SCV | Floralginsenoside K | C48H82O21 | 994.5349 | Flower | [88] | 
| 163 | C17SCV | Floralginsenoside O | C53H90O22 | 1078.5924 | Flower | [73] | 
| 164 | C17SCV | Floralginsenoside B | C42H72O16 | 832.4820 | Flower | [74] | 
| 165 | C17SCV | Floralginsenoside D | C41H70O15 | 802.4715 | Flower | [74] | 
| 166 | C17SCV | Floralginsenoside I | C48H82O20 | 978.5400 | Flower | [88] | 
| 167 | C17SCV | Floralginsenoside Kb | C45H76O19 | 920.4981 | Flower | [91] | 
| 168 | C17SCV | Floralginsenoside Kc | C45H76O20 | 936.4930 | Flower | [91] | 
| 169 | C17SCV | Floralginsenoside Tb | C35H62O11 | 658.4292 | Flower | [89] | 
| 170 | C17SCV | Ginsenoside III | C48H80O19 | 960.5294 | Flower | [92] | 
| No. | Formula | Molecular Mass | No. of Isomers | No. | Formula | Molecular Mass | No. of Isomers | 
|---|---|---|---|---|---|---|---|
| 1 | C24H40O4 | 392.2927 | 1 | 36 | C46H76O15 | 868.5184 | 2 | 
| 2 | C30H50O2 | 442.3811 | 2 | 37 | C47H80O17 | 916.5396 | 6 | 
| 3 | C30H50O3 | 458.3760 | 2 | 38 | C47H80O18 | 932.5345 | 2 | 
| 4 | C30H52O3 | 460.3916 | 2 | 39 | C48H78O18 | 942.5188 | 1 | 
| 5 | C30H52O4 | 476.3866 | 2 | 40 | C48H80O19 | 960.5294 | 1 | 
| 6 | C30H54O4 | 478.4022 | 1 | 41 | C48H82O18 | 946.5501 | 3 | 
| 7 | C30H54O5 | 494.3971 | 1 | 42 | C48H82O19 | 962.5450 | 9 | 
| 8 | C35H62O11 | 658.4292 | 1 | 43 | C48H82O20 | 978.5400 | 4 | 
| 9 | C36H60O10 | 652.4187 | 1 | 44 | C48H82O21 | 994.5349 | 1 | 
| 10 | C36H60O7 | 604.4339 | 3 | 45 | C49H78O19 | 970.5137 | 1 | 
| 11 | C36H60O8 | 620.4288 | 2 | 46 | C49H80O18 | 956.5345 | 1 | 
| 12 | C36H60O9 | 636.4237 | 5 | 47 | C50H84O19 | 988.5607 | 3 | 
| 13 | C36H62O10 | 654.4343 | 3 | 48 | C50H84O21 | 1020.5505 | 2 | 
| 14 | C36H62O11 | 670.4292 | 2 | 49 | C51H84O21 | 1032.5505 | 8 | 
| 15 | C36H62O8 | 622.4445 | 4 | 50 | C53H90O22 | 1078.5924 | 6 | 
| 16 | C36H62O9 | 638.4394 | 4 | 51 | C53H90O23 | 1094.5873 | 1 | 
| 17 | C37H62O10 | 666.4343 | 1 | 52 | C53H90O24 | 1110.5822 | 2 | 
| 18 | C38H62O9 | 662.4394 | 2 | 53 | C54H87O24 | 1119.5587 | 1 | 
| 19 | C41H70O12 | 754.4867 | 2 | 54 | C54H92O22 | 1092.6080 | 1 | 
| 20 | C41H70O13 | 770.4816 | 7 | 55 | C54H92O23 | 1108.6029 | 1 | 
| 21 | C41H70O15 | 802.4715 | 2 | 56 | C54H92O24 | 1124.5979 | 2 | 
| 22 | C42H69O13 | 781.4738 | 1 | 57 | C55H92O23 | 1120.6029 | 4 | 
| 23 | C42H70O12 | 766.4867 | 6 | 58 | C56H92O25 | 1164.5928 | 6 | 
| 24 | C42H70O13 | 782.4816 | 4 | 59 | C56H96O24 | 1152.6292 | 1 | 
| 25 | C42H70O14 | 798.4766 | 2 | 60 | C57H93O23 | 1145.6108 | 1 | 
| 26 | C42H72O13 | 784.4973 | 5 | 61 | C57H94O23 | 1146.6186 | 2 | 
| 27 | C42H72O14 | 800.4922 | 5 | 62 | C57H94O25 | 1178.6084 | 1 | 
| 28 | C42H72O15 | 816.4871 | 4 | 63 | C58H96O24 | 1176.6292 | 2 | 
| 29 | C42H72O16 | 832.4820 | 2 | 64 | C58H98O26 | 1210.6346 | 2 | 
| 30 | C44H72O13 | 808.4973 | 2 | 65 | C59H100O27 | 1240.6452 | 1 | 
| 31 | C44H74O14 | 826.5079 | 2 | 66 | C60H99O27 | 1251.6373 | 1 | 
| 32 | C44H74O15 | 842.5028 | 2 | 67 | C62H102O27 | 1278.6608 | 1 | 
| 33 | C45H74O17 | 886.4926 | 1 | 68 | C62H102O30 | 1326.6456 | 2 | 
| 34 | C45H76O19 | 920.4981 | 1 | 69 | C65H100O21 | 1216.6757 | 1 | 
| 35 | C45H76O20 | 936.4930 | 1 | 
© 2020 by the authors. Licensee MDPI, Basel, Switzerland. This article is an open access article distributed under the terms and conditions of the Creative Commons Attribution (CC BY) license (http://creativecommons.org/licenses/by/4.0/).
Share and Cite
Piao, X.; Zhang, H.; Kang, J.P.; Yang, D.U.; Li, Y.; Pang, S.; Jin, Y.; Yang, D.C.; Wang, Y. Advances in Saponin Diversity of Panax ginseng. Molecules 2020, 25, 3452. https://doi.org/10.3390/molecules25153452
Piao X, Zhang H, Kang JP, Yang DU, Li Y, Pang S, Jin Y, Yang DC, Wang Y. Advances in Saponin Diversity of Panax ginseng. Molecules. 2020; 25(15):3452. https://doi.org/10.3390/molecules25153452
Chicago/Turabian StylePiao, Xiangmin, Hao Zhang, Jong Pyo Kang, Dong Uk Yang, Yali Li, Shifeng Pang, Yinping Jin, Deok Chun Yang, and Yingping Wang. 2020. "Advances in Saponin Diversity of Panax ginseng" Molecules 25, no. 15: 3452. https://doi.org/10.3390/molecules25153452
APA StylePiao, X., Zhang, H., Kang, J. P., Yang, D. U., Li, Y., Pang, S., Jin, Y., Yang, D. C., & Wang, Y. (2020). Advances in Saponin Diversity of Panax ginseng. Molecules, 25(15), 3452. https://doi.org/10.3390/molecules25153452
 
         
                                                


 
       