Abstract
The objective of this study was to determine the best operational conditions for obtaining red propolis extract with high antioxidant potential through supercritical fluid extraction (SFE) technology, using carbon dioxide (CO2) as the supercritical fluid and ethanol as the cosolvent. The following parameters were studied: overall extraction curve, S/F (mass of CO2/mass of sample), cosolvent percentage (0, 1, 2 and 4%) and global yield isotherms as a function of different pressures (250, 350 and 450 bar) and temperatures (31.7, 40 and 50 °C). Within the investigated parameters, the best conditions found were an S/F of 131 and the use of ethanol at the highest concentration (4% w/w), which resulted in higher extract yields and higher content of antioxidant compounds. Formononetin, the main biomarker of red propolis, was the compound found at the highest amounts in the extracts. As expected, the temperature and pressure conditions also influenced the process yield, with 350 bar and 40 °C being the best conditions for obtaining bioactive compounds from a sample of red propolis. The novel results for red propolis found in this study show that it is possible to obtain extracts with high antioxidant potential using a clean technology under the defined conditions.
1. Introduction
Propolis is a natural compound defined as a complex resin matrix produced by bees from a mixture of exudates from different plants, wax and salivary secretions; it has major applications in the food, pharmaceutical and cosmetic industries [1,2]. Numerous studies have demonstrated its antioxidant [3,4], antimicrobial [5,6], anti-inflammatory [7,8] and antitumor [7,8] activities, among others [9,10,11,12]. These activities are attributed to the bioactive chemical compounds in propolis, such as phenolic acids, flavonoids, terpenes and sesquiterpenes [13,14,15]. Given this context, research has intensified on different extracts from natural matrices that have a wide variety of compounds with beneficial effects on health, such as propolis [16,17,18,19]. Among the various types of propolis, classified according to their physicochemical properties and geographical location, red propolis has gained prominence due to its composition and pharmacological properties [20,21,22]. Originating in Northeast Brazil, red propolis has biologically active flavonoids as its major compounds and may also contain cinnamic acid derivatives, esters and some terpenes [14,22,23]. Flavonoids are the most common and most varied group among the phenolic compounds of red propolis, play a role in different physiological processes and perform different functions, including beehive protection [13,14,22].
In natural matrices, the extraction method plays a critical role in the types of components obtained and extraction yield, and methods that involve the use of organic solvents such as ethanol, ethyl ether, methanol and chloroform are the most commonly employed. Much of the work involving propolis is performed using the conventional extraction process (hydroalcoholic) to obtain its extracts [20,24,25]. However, despite being commonly employed, conventional extraction has some disadvantages, mainly because it is a slow process that presents solvent residues in the final product. Due to increasingly restrictive environmental regulations and new trends related to “green chemistry principles”, extraction with supercritical fluids (SFE) has gained special interest among extraction techniques and is also considered a differentiated route for the extraction of compounds/substances from natural matrices [26]. This technology has been disseminated in multiple industrial areas due to its unique advantages and to the characteristics of supercritical fluids, such as diffusivity and viscosity close to those of a gas, a density similar to that of a liquid, low extraction temperatures, selective extraction, simplicity and recovery of the solvent-free product, and generating products with high added value at the end of the process [21,27]. In addition, SFE presents good yields and preserves the physico-chemical characteristics of the components to be extracted, presenting numerous advantages over conventional extractions, mainly considering the greater selectivity of the process [27,28,29]. Important aspects that should be considered in SFE are the choice of operational conditions in the extraction process for each studied matrix [27,29,30], i.e., the use of optimized values for the different conditions (pressure, temperature, solvent flow rate and volume, cosolvent type and concentration, among others) can significantly improve the yield and recovery of the compound or class of compounds of interest [31,32].
Despite being considered a promising alternative, few studies have used SFE to obtain propolis extracts, especially with regard to the evaluation of process conditions [20,33,34]. A previous study by our group determined the process conditions for the extraction of artepillin C and p-coumaric acid from green propolis [33]. Fachri et al. [34] also demonstrated the influence of pressure, temperature and CO2 mass flow rate on the extraction yield of Indonesian propolis, while Biscaia et al. [35] performed a comparative study of different extraction methods for green propolis. In addition, different studies and patents have shown that SFE has a high potential to improve the quality of the propolis extract and to increase the aggregate value of this matrix [36,37,38,39,40]. This novel study is an investigation of the best process conditions for obtaining compounds of interest from red propolis by SFE. It is important to highlight that red propolis possesses distinct biological properties and chemical compositions from the other types of propolis. For example, red propolis is mainly composed of active flavonoids and may also contain cinnamic acid derivatives, esters and some terpenes [23], while green propolis is well characterized by the presence of prenylated phenylpropanoids (e.g., artepillin C) and caffeoylquinic acids [41]. This characterizes each propolis as two different samples and, therefore, each one should present a different extraction profile and should be analyzed differently, once the molecular structure of the compound contributes to the difference in extraction behavior in SFE [42].
Given this context, the objective of this study was to determine the best extraction conditions for obtaining red propolis extract with high antioxidant potential using carbon dioxide (CO2) as a supercritical fluid and ethanol as a cosolvent. For this purpose, the overall extraction yield (X0) and extraction kinetics, determined from the overall extraction curves (OECs), were obtained, different cosolvent percentages were investigated and the global yield isotherms (GYIs) were obtained for total phenolic compounds, antioxidant activity and for the main compounds of interest present in red propolis (formononetin, naringenin and kaempferol).
2. Results and Discussion
2.1. Extraction Kinetic Curve and S/F
The first study step involved the determination of the supercritical extraction kinetic curve of propolis using CO2 as a solvent for the purpose of determining the amount of CO2 required for the diffusion period of the process to be reached and for the process time to be estimated. The literature shows that extraction kinetic curves can be divided into three phases. The first is related to the constant extraction rate (CER) phase, when the solute is easily accessible on the surface of matrix particles; the second represents the falling extraction rate (FER) phase, when the mass transfer rate decreases rapidly as a result of the decrease in the effective mass transfer area; and last, the diffusional period (DP), characterized by the absence of an easily accessible solute in the third phase [43]. Thus, and as evidenced in different studies, obtaining the diffusional period is of great importance to ensure that the global yield tests present results close to the real exhaustion of the extraction bed [44].
To obtain the diffusional period in the present study, the bed was filled with 7.5 g of red propolis sample, and the extraction was performed under temperature and pressure conditions that were milder than those studied (40 °C and 100 bar, solvent density of 1.8204 kg/m3). A total of 13 experiments were obtained for each assay used. Table 1 shows the results obtained for each experiment in relation to the S/F ratio, the mass yield of extract, the accumulated yield percentage and the mass of extract (g), and the yield for the content of total phenolic compounds and antioxidant activity. The total yield under the conditions used was 5.89% after a period of 5 h and 42 min of extraction using 0.81 m3 CO2. With the increase in the dynamic extraction time at constant pressure and temperature, an increase in the efficiency of the whole process was observed, and therefore, an increase in the yield of extracted compounds was expected [45].
Table 1.
Determination of pilot extraction kinetics for red propolis using supercritical fluid extraction by CO2 with the results for S/F; mass yield of extract ± standard deviation (SD); mass yield of accumulated extract ± SD; total phenolic compounds in mg/GAE/g ± SD; and antioxidant activity (%) ± SD (parameters: 7.5 g of sample; 40 °C; 100 bar; CO2 flow rate 6.0 g/min).
In studies on the extraction of compounds from the herbs Plantago major and Plantago lanceolata, Mazzuti et al. [44] obtained fully developed kinetic curves, reaching the diffusional period at 240 min, using 15 g of crude extract from the samples defined for a pressure condition of 240 bar and a temperature of 50 °C. The same kinetic curve profile was found by Teixeira et al. [46] when analyzing the impact of temperature and pressure on SFE tests using 15 g of pracaxi seed oil (Pentaclethra macroloba), reaching the diffusional period at 240 min under the conditions of 40 °C and 250 bar.
Figure 1 shows the kinetic curve obtained for the mean accumulated extract mass versus the total extraction time of the propolis sample. According to different studies, extraction kinetics experimental data are fundamental for scaling up studies of the supercritical technology applied to obtain extracts of solid matrices [44,46,47]. Using the SFE technology in natural matrices, different studies have shown that the kinetic curve is not a linear function of time, and its shape is an indicator that different mechanisms control the mass transfer in the different extraction stages [44,48,49]. In the curve obtained for red propolis (Figure 1), a classical pattern that occurs in SFE was observed, that is, the presence of a period of constant extraction rate in the first hours. This is related to the extraction of substrates that are easily accessible to supercritical CO2 (process solvent). Subsequently, there is a progressive reduction in the extraction rate over time, which represents the extraction of substrates that are difficult to access by the supercritical solvent [42,50].
Figure 1.
Kinetic curve obtained for the mean accumulated extract mass versus the total extraction time of the propolis sample.
The extraction kinetics of red propolis using CO2 as a supercritical fluid are also represented by the overall extraction curves (Figure 2). Figure 2a shows the yield of accumulated extract (accumulated mass) during the process as a function of S/F, while Figure 2b shows the global yield of phenolic compounds and antioxidant activity versus S/F considering the total extraction time.
Figure 2.
Results obtained for the overall extraction curves for (a) yield in mass (g) of accumulated extract versus S/F and (b) yield of phenolic compounds (%) and antioxidant activity (%) versus S/F (mass of CO2/mass of sample) (cumulative values).
Based on the results presented for study step 1 and after analyzing the extraction results and behavior using CO2 as a supercritical fluid under the extraction conditions defined, an S/F of 131 was determined because more than 80% of the phenolic compounds were extracted, representing 63% of the global yield in mass of the extraction. At this point of the relationship between the solvent mass and sample mass, an accumulated yield of 4.88% (63% of the total mass extracted) was obtained, where a total CO2 volume of 0.540 m3 with an approximate extraction time of 240 min was obtained. Albuquerque et al. [43] obtained extracts rich in tocotrienols and defatted bixin-rich seeds from annatto and determined an S/F ratio of 35. Similar behavior was observed by Machado et al. (2012) [33], who determined the extraction kinetics curve for green propolis with a total extraction time of 150 min and an S/F ratio of 110. In the study by Krakowska-Sieprawska et al. [26], the highest yields were obtained at 60 and 120 min of the process and reached 6.42% for extracts from yerba mate and 9.60% for extracts from yellow lupine, respectively.
The low mass yield of propolis extract by SFE has been demonstrated in other studies, which may be related to the fact that propolis is not very soluble in supercritical CO2 but can be much more soluble in a mixture containing CO2 and ethanol [51,52,53]. SFE is considered a very efficient technique in terms of selectivity for the extraction of target compounds, as well as for the separation and fractionation of different classes of compounds; however, depending on the polarity of these compounds, it is necessary to add small amounts of a modifier or cosolvent to the system to improve process yield [54]. For this reason, the influence of ethanol as a cosolvent at different concentrations in obtaining red propolis extracts by SFE with high antioxidant capacity was also evaluated in this study.
2.2. Determination of the Cosolvent Concentration
Although CO2 is the most commonly used solvent in SFE, one of the main limitations of its use is the reduced capacity to dissolve polar molecules, as is the case for the compounds present in red propolis, even at high densities [55]. Phenolic compounds and flavonoids are the bioactive components of propolis of major importance from a biological significance standpoint due to their pharmacological activities and their applicability in different areas [56]. It is well documented that the total content of phenolic compounds present in propolis varies according to several factors, including the extraction method and conditions used [57]. Regarding red propolis, previously studies have reported the presence of more than 300 components, which are representatives of terpenes, flavonoids, aromatic acids and fatty acids [22]. Flavonoids, are the most common and widely distributed group of phenolics in red propolis, being the most active compound in this natural matrix, with formononetin as the most relevant chemical marker of this type of propolis [58].
Due to the hydrophilic properties of phenolic compounds, to increase the extraction capacity of these compounds using SFE, soluble polar solvent (e.g., methanol, ethanol, and water) can be added to supercritical CO2 to modify its properties during extraction. In the present study, the SFE conditions using ethanol as a cosolvent were also evaluated. Table 2 presents the results for the yields of phenolic compounds, flavonoids, antioxidant activity (IC50-DPPH●), and concentrations of the formononetin and kaempferol compounds using 1, 2 and 4% ethanol (cosolvent) in relation to the mass of CO2 (w/w) and without the presence of a cosolvent.
Table 2.
Results of the yields of total phenolic compounds (mg GAE/g), flavonoids (mg QE/g), IC50 (DPPH.) (μg/g), and the biomarkers formononetin (mg/g) and kaempferol (mg/g) using 1, 2 and 4% ethanol (cosolvent) in relation to the mass of CO2 (w/w) and without the presence of cosolvent (mean ± SD) (50 °C; 250 bar; CO2 flow rate of 6 g/min; S/F 131).
Based on these data, it was observed that the best extraction conditions to obtain a higher yield of the compounds of interest—formononetin and kaempferol—as well as the highest content of total phenolics and antioxidant activity (represented by the lowest IC50) were achieved when 4% cosolvent was used (highest concentration investigated in this study). The extraction yields of total phenolics from red propolis can be increased by up to 57% with the presence of ethanol in the system as a cosolvent to supercritical CO2. Furthermore, the antioxidant capacity of the extracts was increased by 70%, thus demonstrating that it is possible to increase the solubility of antioxidant compounds in supercritical CO2 by adding ethanol. This may be related to the increased polarity of the solvent together with the ability of ethanol to improve the extraction surface area in a natural solid matrix [59]. The expansion of the material, generated by the interactions between solids and solvents, and the affinity between the liquid solvent and the associative compounds in the raw material leads to greater miscibility of the gas in the sample, resulting in greater extraction efficiency, as reported in previous studies [59,60].
Previous studies with various types of propolis have also shown that ethanol is an important system modifier [35,61]. In a comparative study of extraction methods to obtain extracts from green propolis by SFE, Monroy et al. [36] found that when using 32% of the solution containing 80% ethanol and water as a cosolvent, a 43% increase in yield was obtained compared to SFE without the cosolvent, in addition to 220 mg GAE/g of phenolic compounds (extraction conditions 50 °C and 250 bar). Paviani et al. [53], when adding 15% ethanol as a cosolvent to obtain extracts of green propolis (extraction conditions 50 °C and 250 bar), obtained an increase of 43.7% compared to the same process without the use of a cosolvent. The influence of the addition and concentration of cosolvent on supercritical CO2 extraction was also shown for other natural matrices [62], demonstrating the importance of these modifiers to improve the extraction capacity of polar compounds. Cruz et al. [63] showed that the presence of hydrated ethanol (1/1, v/v) significantly increased the extraction yield of yacon leaves, obtaining extracts with higher antioxidant activity compared to extraction without the use of cosolvent, leading to higher yields. In a recent study, Guedes et al. [60] showed that as the concentration of ethanol added to the process was increased (0.5/1, 1.1/1 and 1.5/1, w/w), the yield and efficiency of SFE extraction in samples of Synadenium grantii increased.
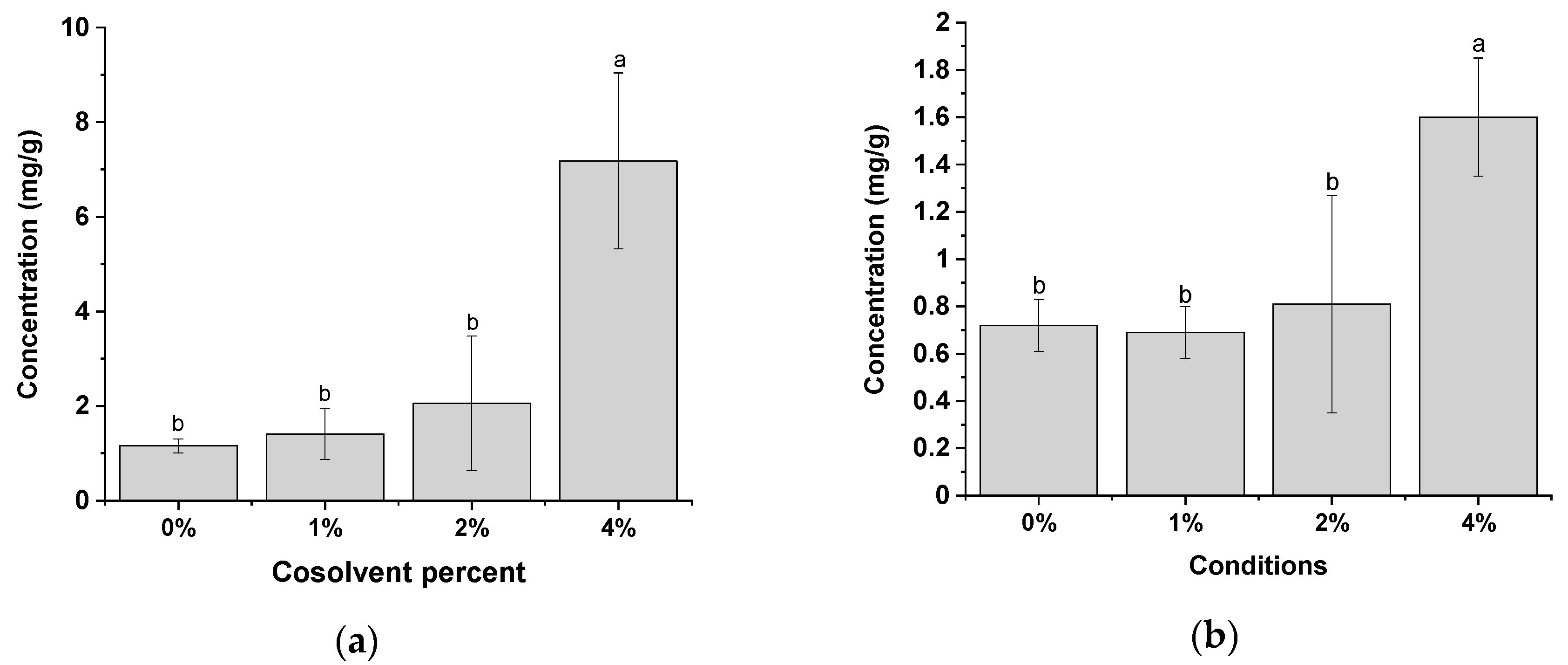
The compound mainly found in the red propolis extract analyzed in this study was formononetin in the concentration range of 1 ± 0.2 mg/g (control 0%) to 7 ± 2 mg/g (extract with 4% of cosolvent), followed by kaempferol (from 1 ± 0.1 to 2 ± 0.3) (Figure 3). A 518% increase in the extraction capacity of formononetin was observed in the presence of 4% cosolvent in the system. For kaempferol an increase of 122% was observed.
Figure 3.
Determination of the levels of (a) Formononetin (mg/g); and (b) Kaempferol (mg/g) by HPLC-DAD in the extracts of red propolis obtained with the presence of different cosolvent percentages and using CO2 as a supercritical fluid (50 °C; 250 bar; CO2 flow rate of 6 g/min; S/F 131). Bars with the same letter are not significantly different (p < 0.05) according to Tukey’s test at the 95% confidence level.
Previous studies have also reported higher concentrations of phenolic compounds, such as formononetin, in extracts of red propolis, which is identified as its major component [4,15,22]. López et al. [64], when evaluating samples of red propolis from different regions by mass spectrometry, identified the presence of formononetin (m/z 267.06, retention time, rt 4.5 min) in all analyzed samples. Hanski et al. [65] demonstrated the antimicrobial effect of formononetin on Chlamydia pneumoniae, while Li et al. [66] demonstrated the protective effect of formononetin in vitro, decreasing the levels of TNF-α and IL-6. Thus, the pharmacological activities of red propolis may be closely related to their phenolic compounds due to their antioxidant, anti-inflammatory and microorganism proliferation inhibition capacity. Batista et al. [67] also associated the antioxidant and anti-inflammatory effects of red propolis with the involvement of polyphenols in the photoprotective activity observed in their study. These studies show the importance of obtaining extracts rich in formononetin for a greater biological capacity of the obtained product.
Despite the knowledge that the chemical composition of propolis depends on the biodiversity, type and geographical location of the beehives [22] and that the extraction method influences the extract composition [20,33], the identification of ideal conditions, especially regarding the use of clean technologies with the presence of adequate concentrations of system modifiers, given the polar nature of the compounds present in red propolis, is of great importance to obtain extracts with high antioxidant capacity, especially with high levels of formononetin. Formononetin has been associated with the antioxidant [68], antitumor [66], antimicrobial [22] and anti-inflammatory [8] effects of red propolis extracts. Lower contents of formononetin (6.15 and 6.54 mg/g) and kaempferol (0.43 and 0.65 mg/g) were identified by Reis et al. [23] in ethanolic extracts (ultrasound-assisted or not) of red propolis from the same geographical origin (Barra de Sto. Antonio, Porto Calvo, Alagoas, Brazil). Bueno-Silva et al. [69] evaluated the effect of season on chemical composition and found lower formononetin contents (78.76 to 112.78 μg/g) than those found in this study for ethanolic extract of red propolis of the same origin. This may demonstrate that SFE (CO2 as the solvent and ethanol as the cosolvent) may be an important and promising technology for obtaining red propolis extracts with potential for nutraceutical and cosmetic applications [70]. In the present study, it was possible to demonstrate that ethanol (as a cosolvent) played a role by causing an increase in the polarity and eluting power of supercritical CO2, maintaining the same process parameters without significantly changing selectivity.
2.3. Global Yield Isotherms (GYI)
Figure 4 shows the global yield isotherms for total yield, total phenolic compound content, flavonoid content and antioxidant activity (IC50) determined for the red propolis extracts obtained under the different temperature (31.7, 40 and 50 °C) and pressure (250, 350 and 450 bar) conditions used (S/F 131-step 1; 4% ethanol-step 2).
Figure 4.
Global yield isotherms for (a) total yield percentage (%); (b) content of total phenolic compounds (mg EGA/g); (c) content of total flavonoids (mg EGA/g); and (d) antioxidant activity (IC50) (μg/mL) for the red propolis extracts using CO2 as supercritical fluid, ethanol as cosolvent (4% w/w) at temperatures of 31.7, 40 and 50 °C and pressures of 250, 350 and 450 bar (CO2 flow rate of 6 g/min and S/F of 131). Points with the same letter are not significantly different (p < 0.05) according to Tukey’s test at the 95% confidence level.
Regarding yield, a higher extraction percentage (63.46%) was obtained at a pressure of 450 bar at 40 °C, while the highest content of phenolic compounds (380 mgEAG/g) and flavonoids (10 mg EQ/g) and higher antioxidant capacity (110 μg/mL) were obtained under 450 bar and 50 °C. Figure 4a shows that at constant pressures of 350 and 450 bar the increase in temperature significantly favors the extraction capacity, and consequently, the global yield of the process.
In general, the solubility of solutes in supercritical fluids increases with temperature at constant pressure [71]. When keeping the temperature constant at 31.7 and 40 °C, increasing the pressure from 350 to 450 bar also favors the process yield. The lowest yields at constant pressure were observed at the highest temperature (50 °C). It is known that the effect of temperature on SFE is complex due to the increase in the solute vapor pressure and reduction in the density of the supercritical solvent [72]. Increased temperature increases the vapor pressure of the solute, promoting an increase in its solubility in supercritical CO2; however, the temperature increase also promotes a reduction in the density of supercritical CO2, thus reducing the solubility of the solute in the solvent [73]. In this case, the effect of reduced supercritical CO2 density was favored in relation to the increased solvent density (Figure 4a).
In general, at a constant pressure of 250 bar, temperature had no effect on the extraction of phenolic compounds and total flavonoids or on the antioxidant activity (without significant differences). At the intermediate pressure studied (350 bar), variations in temperature promoted an increase in the extraction of these compounds in a sample of red propolis. For example, for phenols (40 and 50 °C), total flavonoids (50 °C) and antioxidant activity (50 °C), higher temperatures contributed to a higher extraction yield of these compounds. The positive effect of the temperature increase at a constant pressure of 450 bar (highest studied pressure) was clearly evident. Thus, the effect of temperature increase had a positive influence on the vapor pressure of the solutes [74] and, therefore, the temperature of 50 °C was the most efficient for obtaining extracts with high antioxidant capacity.
It is noteworthy that at constant pressure, the influence of temperature cannot be treated in such a simple way [75]. When evaluating the behavior of pressure in the 31.7 and 40 °C isotherms, it was observed that the increase in pressure from 250 to 350 bar contributes significantly to the increase in the extraction of phenolic compounds, flavonoids and antioxidant activity. However, a reduction in the levels of phenolic compounds and flavonoids, and consequently antioxidant capacity, was observed when the pressure increased from 350 to 450 bar in the 31.7 and 40 °C isotherms. Thus, at these temperatures, intermediate pressures (350 bar) may be more efficient for the extraction of phenolic compounds from red propolis.
The best phenolic and flavonoid yields, as well as antioxidant activity, were observed in the 50 °C isotherm at a pressure of 450 bar. In the 50 °C isotherm, the increase in pressure significantly accelerated the mass transfer in the supercritical extractor bed and contributed to increasing the extraction yield of phenolic compounds from red propolis. As demonstrated by Barroso et al. [76] and Fujii et al. [77], the density of supercritical CO2 is dependent on the pressure used in the extraction process; therefore, at higher pressures, supercritical CO2 will have a higher density, and consequently, its solvation power will be higher.
It is important to note that the isotherms crossed between 400 and 450 bar for total phenols (Figure 4b) and between 350 and 400 bar for antioxidant activity (Figure 4d). Below this pressure level, known as the crossover pressure, the solubility of the antioxidant compounds of red propolis decreases with increasing temperature. A crossover is observed near the critical region [78,79]; in these regions, the effect of temperature on the increase in vapor pressure compensates for the effect of temperature on decreasing solvent density [27]. Due to the existence of this point, the lowest and highest concentrations of phenolic compounds occurred in the same isotherm (50 °C). Azevedo et al. [80] evaluated the extraction of caffeine using SFE and found that near the critical point, below the crossover pressure, small increases in temperature result in a drastic decrease in the density of the solvent and, consequently, in its extraction capacity. For the extraction of artemisinin from Artemisia annua L., Rodrigues et al. [81] found a crossover pressure of 200 bar, whereas Cadena-Carrera et al. [82] evaluated the bioactive properties of the extracts from guayusa leaves (Ilex guayusa Loes.) and found a crossover pressure close to 200 bar.
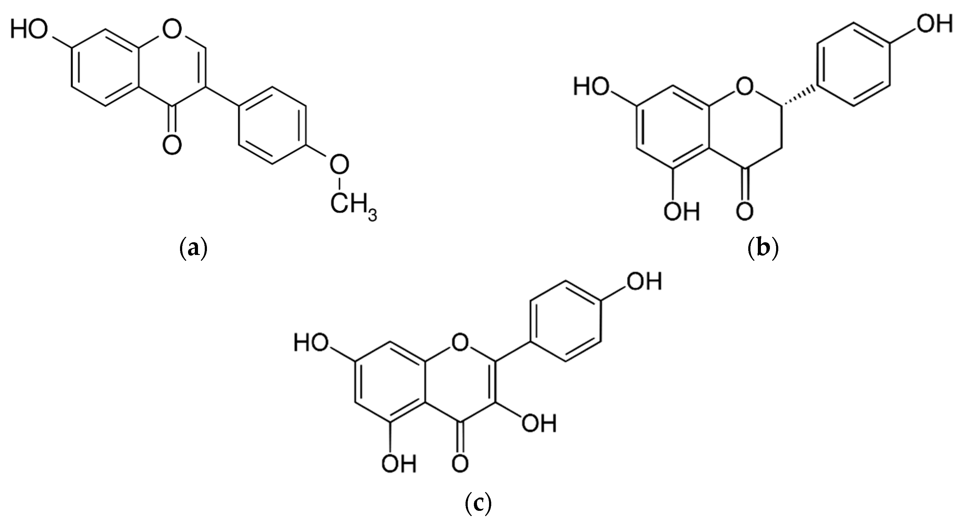
Figure 5 shows the global yield isotherms for the three compounds identified and quantified by HPLC-DAD ((a) formononetin; (b) naringenin; and (d) kaempferol)) in the red propolis extracts under the different temperature (31.7, 40 and 50 °C) and pressure (250, 350 and 450 bar) conditions employed (S/F 131-step 1; 4% ethanol-step 2) in this study. Figure 6 shows the chemical structure of each phenolic compound analyzed in this study.
Figure 5.
Isotherms for the concentration of: (a) formononetin; (b) naringenin; and (c) kaempferol for the extraction of red propolis using CO2 as the supercritical fluid, ethanol as the cosolvent (4%, w/w) at temperatures of 31.7, 40 and 50 °C and pressures of 250, 350 and 450 bar (CO2 flow rate of 6 g/min and S/F 131). Values that show the same letter in the same graph are not significantly different (p < 0.05) by the Tukey test at a confidence level of 95%.
Figure 6.
Chemical structures of phenolic compounds (a) Formononetin; (b) Narigenin; and (c) Kaempferol.
Formononetin (Figure 5a) was obtained at higher concentrations (13 mg/g) at a pressure of 350 bar and a temperature of 40 °C (intermediate conditions). It is possible to observe that at constant pressures of 250 and 350 bar, there is an increase in the concentration of formononetin extracted when the temperature increases from 31.7 °C (2 mg/g and 6 mg/g) to 40 °C (5 mg/g and 10 mg/g), but there was a reduction at 50 °C (3 mg/g and 9 mg/g). In this case, the increase in temperature increased the vapor pressure of the solute, positively favoring the extraction process. However, at high temperatures, the effect of solvent density reduction may favor both the degradation of formononetin and the decrease in extraction efficiency for this compound [83,84]. In addition to solubility, the effect of temperature on the conversion or degradation of formononetin should also be taken into consideration. At a constant pressure of 450 bar, the highest concentration was observed at the highest and lowest temperatures employed, with concentrations of 9 mg/g and 7 mg/g, respectively. Thus, the effect of the supercritical CO2 solubility at 450 bar should be more strongly considered than the effect of conversion or degradation of formononetin in terms of extraction yield.
In addition, a crossover pressure close to 400 bar was also observed. When evaluating the pressure behavior at a constant temperature of 40 °C, an extraction profile similar to the extraction of total phenolic compounds, flavonoids and antioxidant activity was observed (Figure 5): when increasing the pressure from 250 to 350 bar, there is an increase in extraction, but when increasing the pressure from 350 to 450, extraction is reduced. Theoretically, the higher the pressure, the greater the density and solubility of the supercritical fluid, increasing the extraction efficiency [85]. However, the concentration of some of the target compounds may be reduced because at high pressures, other compounds can also be extracted, and thus, there is a reduction in specificity [86]. In general, high pressures may not be efficient for the extraction of formononetin because the effect of decreased diffusivity overlaps the effect of increased density, thus decreasing the extraction yield of this compound at 450 bar. A similar effect was found by Saito et al. [61] when obtaining phenolic compounds from green and red propolis, with higher yields (14%) observed at 60 °C and 200 bar and the lower yields (3.6%) under 40 °C and 300 bar.
Regarding the compound naringenin (Figure 5b), when analyzing the behavior of the isotherms at a constant pressure of 250 bar, it was observed that the temperature did not influence the extraction process. However, when the pressure increased to 350 bar, the effect of temperature is evident because by raising the temperature from 31.7 to 40 °C, an increase of 114% in extraction is obtained, and when raising the temperature from 40 to 50 °C, a reduction of 27.3% is observed. For this compound, crossing of the temperature curves was also observed at a pressure close to 400 bar, and a higher concentration (2 mg/g) at 40 °C and 350 bar. This behavior is in agreement with that observed for total phenolic compounds, flavonoids and antioxidant activity (Figure 5). When analyzing the behavior of pressure at constant temperature, it is noted that for the temperatures of 31.7 and 50 °C, the pressure has a positive effect on the extraction process. Under these conditions, the increase in pressure increases the density of the supercritical fluid and the solvation power of the solute, consequently increasing the extraction yield. At a temperature of 40 °C, extraction was only significant at a pressure of 350 bar. Majdoub et al. [87] found similar effects when raising the pressure from 100 to 300 bar at a constant temperature of 50 °C for obtaining extracts of Daucus carota.
Similar to what occurred for the compound naringenin, the temperature variation also did not influence the kaempferol extraction process (Figure 5c) at a constant pressure of 250 bar, and this compound may have its extraction reduced or become nonextractable under these conditions. However, at the pressure of 350 bar, there is an increase in extraction when the temperature increases from 31.7 to 40 and 50 °C (1 mg/g and 1.078 mg/g, respectively), but with no significant differences between the concentrations obtained at the higher temperatures. The isotherms cross at approximately 400 bar, and the influence of the crossover pressure on the extraction profile was evident because up to 400 bar pressure, the extraction is more effective at the lowest and highest temperatures studied, with no significant difference, and below this value, the extraction is more effective at 40 °C. Higher concentrations were obtained at a pressure of 450 bar and 50 °C (1 mg/g). Zordi et al. [51], in a study on SFE to obtain propolis extracts, also observed that the chemical composition of an extract is significantly influenced by pressure and temperature in both a linear and quadratic way, obtaining optimal operating conditions of highest yield (14.3%) in the isotherms of 317 bar and 45 °C.
Therefore, the present study shows that the conditions of global yield isotherms in SFE affect the composition of the extract obtained and should be analyzed and defined according to the extraction objective. In general, the best yields of bioactive compounds isolated from red propolis were observed at the intermediate isotherms of 40 °C and pressure of 350 bar.
3. Materials and Methods
3.1. Materials and Reagents
DMSO (dimethyl sulfoxide) and methanol were from Sigma-Aldrich Chemical Co., St. Louis, MO, USA, and acetic acid (standard HPLC) and ethyl alcohol (standard HPLC) were from EMSURE®, Merck, Darmstadt, Germany. A regenerated cellulose membrane filter, 0.45 μm (SLCR025NS, Millipore Co., Bedford, MA, USA) was used. Rutin hydrate (CAS number 207671-50-9), kaempferol (CAS number 520-18-3), formononetin (CAS number 485-72-3), gallic acid (CAS number 149-91-7), quercetin (CAS number 117-39-5), p-coumaric acid (CAS number 501-98-4), epicatechin (CAS number 490-46-0), caffeic acid (CAS number 331-39-5), catechin (CAS number 7295-85-4-4) and 2,2-diphenyl-1-picrylhydrazyl (DPPH●) (CAS number 1898-66-4) were purchased from Sigma-Aldrich Chemical Co. (St. Louis, MO, USA) and trans-ferulic acid (CAS number 537-98-4) was purchased from Fluka (St. Louis, MO, USA).
3.2. Study Sample
The sample of red propolis used in this study was kindly donated by the company Bee Product Natural (Barra de Sto. Antonio, Porto Calvo, Alagoas, Brazil) with “Mangroves of Alagoas” denomination of origin (IG201101) [88]. Approximately 1 kg of red propolis was ground (Cadence-Brazil) and sieved (270–325 μm diameter) to allow the homogenization of the sample in the extraction bed. Samples of 200 g of red propolis were kept at −30 °C in vacuum-sealed packaging away from light.
3.3. Process Parameters for Red Propolis Extraction by SFE
The process parameters used to obtain the extracts of red propolis was performed as previously described by Machado et al. [33] with modifications and using a SFT-110 Supercritical Fluid Extractor (Supercritical Fluid Technologies, Inc., Newark, NJ, USA) under the different conditions used in the study. The CO2 flow rate in the system was 6.0 g/min in all experiments (Figure 7).
Figure 7.
Schematic of the supercritical extraction system used in this study. 1—CO2 cylinder with dip tube; 2—CO2 pump; 3—Cosolvent cylinder; 4—Cosolvent pump; 5—Extraction cell; 6—Glass beads; 7—Sample (raw material); 8—Dynamic/static valve; 9—Restrictor valve; 10—Sample collection vial; 11—Flow meter; 12—Totalizer.
The extraction bed was packed to avoid the formation of preferential paths by the solvent (CO2), and for this purpose, glass wool and beads were used to fully fill the bed (Figure 8). In this work, it 7.5 g of red propolis was used, as reported in previous optimization studies [33,53], mainly to avoid very long extraction times. The best extraction operational condition was determined in three steps. Figure 8 presents an illustrative summary of the process used with all parameters studied at each step, as well as the number of experiments and analyses performed. The results for the parameters evaluated and determined in this study were expressed as the mean ± standard deviation (n = 3), and all analyses were performed in triplicate.
Figure 8.
Illustrative summary of the steps, parameters used, total experiments and analyses performed at each step of the present study to obtain red propolis extract with high antioxidant capacity by SFE. 1—First step: determination of the overall extraction curve and S/F (mass of CO2/mass of sample); 2—Second step: influence of the cosolvent percentage; 3—Third step: determination of the global yield isotherms. In A, the packing of the extraction bed to avoid the formation of preferential CO2 paths is shown.
3.3.1. First Step: Overall Extraction Curve and S/F (Mass of CO2/Mass of Sample)
In the present study, to obtain the overall extraction curve, a temperature and pressure of 100 bar and 40 °C were used, respectively, with the objective of guaranteeing the worst extraction scenario (under mild extraction conditions), a sample of 7.5 g propolis and 6 g/min CO2 flow rate [33,49]. The experiment was performed as follows: the extracts were collected at predetermined periods in vials of previously known weight. The S/F value was calculated according to Equation (1).
where:
MCO2 = total mass (g) of CO2 used in the system at each extraction point (considering the volume and density of CO2 in the system)
Msample = total mass (g) of propolis used to feed the system
The overall yield (X0) was calculated in accordance with Equation (2).
where:
Mextract is the mass (g) of extract obtained in each extraction
Msample is the mass (g) of propolis used to compose the extraction bed
For the extracts obtained at the predetermined times (in each collection vial), the yield, total phenolic content and antioxidant activity were determined. A total of 13 experiments were obtained for each assay.
3.3.2. Second Step: Influence of Cosolvent Percentage
In this step, 80% ethanol was used as a cosolvent to obtain the extracts in relation to the yield (in mass), content of total phenolic compounds, antioxidant activity and concentration of the compounds of interest (formononetin, naringenin and kaempferol). The extracts were obtained under the following conditions: S/F of 131 (calculated in the previous step), temperature of 50 °C and pressure of 250 bar (CO2 flow rate of 6 g/min) [33]. The extractions were performed using 0, 1, 2 and 4% of the cosolvent, calculated in relation to the mass of CO2 used (S/F), totaling 4 experiments for this step. Ethanol (80%) was diffused in the system using a cosolvent pump with a flow rate of 0.05 (1%), 0.1 (2%) and 0.2 (4%) mL/min for a total time of approximately 140 min of extraction (considering S/F = 131).
3.3.3. Third Step: Global Yield Isotherms
The yield isotherms were studied using three temperatures (31.7, 40 and 50 °C) and three pressures (250, 350 and 450 bar). The S/F value used was obtained in the first step (131), and the percentage of cosolvent (80% ethanol) was determined in the previous step (4% w/w) (CO2 flow rate of 6 g/min). The extracts obtained under the different conditions were evaluated for yield (mass), content of total phenolics, flavonoids, antioxidant activity (EC50) and concentration of the compounds of interest (formononetin, naringenin and kaempferol). For this step, a total of 9 experiments were obtained for each test performed.
3.4. Total Phenolic Compounds, Flavonoids Content and Antioxidant Activity by DPPH● (2,2-Diphenyl-1-picrylhydrazyl)
The content of total phenolic compounds of the red propolis extracts was determined from the reaction with the Folin–Ciocalteu method [89,90]. The reaction was prepared as previously described by Devequi-Nunes et al. [20]. The results are expressed as milligram of gallic acid equivalent (GAE) per gram of sample (mg GAE/g). For this, a calibration curve (y = 0.0104x + 0.0688, R2 = 0.9976) was determined using standard solutions of the gallic acid (concentrations 0 and from 10 to 200 μg/mL).
The content of flavonoids of the extracts was determined using the method proposed by Meda et al. [91] with adaptations, as previously described by Machado et al. [21]. The same procedure was performed using standard solutions of quercetin (0 and from 1 to 75 μg/mL) to obtain a standard curve (y = 0.0311x + 0.0259, R2 = 0.9987). The content of total flavonoids was expressed as milligram of quercetin equivalent (QE) per gram of sample (mg QE/g).
To evaluate the antioxidant activity, the 2,2-diphenyl-1-picrylryrazine-reactive method (DPPH●) was applied [92,93], as previous described by Reis et al. [23]. The extracts were diluted to five concentrations (50, 100, 150, 200, 250 and 300 μg/mL) in triplicates. The free radical sequestration capacity was expressed as the percentage of radical oxidation inhibition (Equation (3)) (extracts obtained in the first and second study steps).
where:
AA % = antioxidant activity in percentage
Absample = absorbance of the extract sample
Abblank = absorbance of the blank (without sample)
The IC50 value (effective concentration of the extract to sequester 50% of the DPPH● radical) was calculated based on the linear equation obtained from the extract concentrations and respective DPPH● radical sequestration percentages. For the extracts obtained in the third study step, the results are expressed as IC50.
3.5. High-Performance Liquid Chromatography (HPLC): Identification and Quantification of Phenolic Compounds
The red propolis extracts obtained by extraction with supercritical CO2 in the second (cosolvent influence) and third (yield isotherms) study steps were evaluated by high-performance liquid chromatography (HPLC—Shimadzu, LC-20AT, Japan equipped with an automatic injector and diode array detector—DAD, Shimadzu, SPD-M20, Kyoto, Japan) as previously described by Reis et al. [23], Salgueiro and Castro [94] and Cabral et al. [95]. For this, an analytical standard curve formed by 13 phenolic standards was obtained, and the presence of these compounds in the extracts was investigated. A NUCLEODUR 100-5 C18 ec column (150 × 4 mm internal diameter; 5 μm particle size) was used in conjunction with a ZORBAX Eclipse Plus C18 precolumn (4.6 × 12.5 mm) (Agilent, Folsom, CA, USA). The chromatographic analysis conditions were tested with an elution gradient with a mobile phase of 5% acetic acid (Phase A) and methanol (Phase B) at different proportions and with a total analysis time of 42 min (from 0 to 35 min [0–92% B]; 35 to 40 min [92–0% B]; 40 to 42 min [0% B]). The injection volume was 20 μL, and the flow rate was 1 mL.min−1. The device was operated at a temperature of 40 ± 2 °C. The DAD reading was adjusted in the range of 190 to 800 nm, and chromatographic acquisition was defined between 280 and 370 nm [23].
The compounds were identified by comparing the retention time (RT) and the ultraviolet spectrum between samples and standards. The working range for all investigated compounds was 0.5 to 15 mg/g. The wave length (λ) ranged from 280 to 370. The RT ranged from 2.31 to 19.27 min, the detection limit (DL) ranged from 0.19 to 0.47 mg/g and the quantification limit (QL) ranged from 0.64 to 1.58 mg/g, and all these parameters were dependent on each compound. Figure 9 shows the chromatogram obtained for the construction of the analytical curve with the studied standards.
Figure 9.
Chromatogram with the phenolic standards evaluated in this study by HPLC-DAD for the identification and quantification of the compounds present in the red propolis extracts obtained under different conditions (wave length = λ/retention time = RT/detection limit = DL/quantification limit = QL). 1—Gallic acid (RT 2.31 min, λ 280 nm, DL 0.47 mg/g, QL 1.58 mg/g); 2—O-dianiside (RT 4.92, λ 280, DL 0.62 mg/g, QL 2.50 mg/g); 3—Catechin (RT 6.51 min, λ 280 nm, DL 0.31 mg/g, QL 1.04 mg/g); 4—Caffeic acid (RT 8.15 min, λ 300 nm, DL 0.25 mg/g, QL 0.82 mg/g); 5—Epicatechin (RT 8.46 min, λ 280 nm, DL 0.20 mg/g, QL 0.68 mg/g); 6—p-coumaric acid (RT 10.32 min, λ 300 nm, DL 0.20 mg/g, QL 0.66 mg/g); 7—Rutin hydrate (RT 11.17 min, λ 320 nm, DL 0.35 mg/g, QL 1.15 mg/g); 8—trans-ferulic acid (RT 11.35 min, λ 320 nm, DL 0.26 mg/g, QL 0.86 mg/g); 9—Myricetin (RT 13 min, λ 370 nm, DL 0.30 mg/g, QL 1.00 mg/g); 10—Resveratrol (RT 13.77 min, λ 300 nm, DL 0.21 mg/g, QL 0.70 mg/g); 11—Quercetin (RT 15.36 min, λ 280 nm, DL 0.20 mg/g, QL 1.30 mg/g); 12—trans-Cinnamic (RT 15.99 min, λ 280 nm, DL 0.18 mg/g, QL 0.61 mg/g); 13—Naringenin (RT 16.53 min, λ 280 nm, DL 0.20 mg/g, QL 0.67 mg/g); 14—Kaempferol (RT 17.53 min, λ 320 nm, DL 0.24 mg/g, QL 0.82 mg/g); 15—Formononetin (RT 19.27 min, λ 300 nm, DL 0.19 mg/g, QL 0.64 mg/g).
3.6. Statistical Analysis
The results were statistically analyzed using StatSoft 6.0 (StatSoft Inc., Tulsa, OK, USA). Analysis of variance (ANOVA) and Tukey’s test at the 95% confidence level were performed to identify significant differences between the results obtained for each test (p < 0.05).
4. Conclusions
This novel study showed the feasibility of applying SFE to obtain red propolis extracts with high antioxidant potential and that it is important to consider aspects related to process parameters, such as the volume of CO2 applied, addition of cosolvents and total yield isotherms. In the present study, the addition of ethanol as a cosolvent improved the extraction of bioactive compounds present in red propolis, including formononetin, the major compound of interest from this type of propolis. The best yield was obtained under the conditions of 40 °C and 450 bar using 4% ethanol as the cosolvent, a CO2 flow rate of 6 g/min and S/F of 131. The best conditions to obtain extracts rich in phenolic compounds, flavonoids and antioxidant activity (represented by a low IC50) were at a temperature of 50 °C and pressure of 450 bar. The intermediate conditions (40 °C and 350 bar) showed the greatest potential for obtaining high concentrations of formononetin and naringenin, as well as extracts with high antioxidant capacity. Formononetin is considered to be the compound with the greatest pharmacological interest in red propolis. In general, the presence of these compounds (formononetin, naringenin and kaempferol) at high concentrations in the extracts obtained in this study demonstrates, despite the low total yield, that SFE using CO2 is a promising alternative to obtain red propolis extracts with high added value. However, to obtain the specific bioactive compounds investigated in the present study, it is necessary to evaluate the individual properties of each one.
Author Contributions
Conceptualization, J.H.d.O.R., B.A.S.M. and J.I.D.; Data curation, L.M.d.S.F., A.A.B.S., F.L.P.P. and J.I.D.; Formal analysis, J.H.d.O.R., B.A.S.M., G.d.A.B. and J.P.d.A.; Investigation, B.A.S.M., G.A.B., L.M.d.S.F., F.L.P.P. and J.I.D.; Methodology, J.H.d.O.R., B.A.S.M., G.d.A.B. and J.P.d.A.; Project administration, B.A.S.M. and J.I.D.; Software, J.H.d.O.R., G.d.A.B. and L.M.d.S.F.; Supervision, B.A.S.M., A.A.B.S., F.L.P.P. and J.I.D.; Validation, J.P.d.A., A.A.B.S. and J.I.D.; Visualization, B.A.S.M., A.A.B.S. and F.L.P.P.; Writing—original draft, J.H.d.O.R., B.A.S.M., L.M.d.S.F., A.A.B.S., F.L.P.P. and J.I.D. All authors have read and agreed to the published version of the manuscript.
Funding
This study did not receive any specific support from funding agencies in the public, commercial or nonprofit sectors.
Acknowledgments
The authors thank the Integrated Campus of Manufacturing and Technology-SENAI CIMATEC (Bahia), the National Council for Scientific and Technological Development (Conselho Nacional de Desenvolvimento Científico e Tecnológico-CNPq), the Brazilian Federal Agency for the Support and Evaluation of Graduate Education (Coordenação de Aperfeiçoamento de Pessoal de Nível Superior-CAPES) and the Bahia Research Support Foundation (Fundação de Amparo à Pesquisa do Estado da Bahia-FAPESB), as well as professors Davidson Martins Moreira and Erick Giovani Sperandio Nascimento-SENAI CIMATEC.
Conflicts of Interest
The authors declare no conflict of interest.
References
- Marcucci, M.C.; Rodriguez, J.; Ferreres, F.; Bankova, V.; Groto, R.; Popov, S. Chemical Composition of Brazilian Propolis from Sao Paulo State. Zeitschrift für Naturforsch. C 1998, 53, 117–119. [Google Scholar] [CrossRef]
- Park, Y.K.; Alencar, S.M.; Aguiar, C.L. Botanical origin and chemical composition of Brazilian propolis. J. Agric. Food Chem. 2002. [Google Scholar] [CrossRef]
- Alencar, S.M.; Oldoni, T.L.C.; Castro, M.L.; Cabral, I.S.R.; Costa-Neto, C.M.; Cury, J.A.; Rosalen, P.L.; Ikegaki, M. Chemical composition and biological activity of a new type of Brazilian propolis: Red propolis. J. Ethnopharmacol. 2007, 113, 278–283. [Google Scholar] [CrossRef]
- Righi, A.A.; Alves, T.R.; Negri, G.; Marques, L.M.; Breyer, H.; Salatino, A. Brazilian red propolis: Unreported substances, antioxidant and antimicrobial activities. J. Sci. Food Agric. 2011, 91, 2363–2370. [Google Scholar] [CrossRef]
- Sotelo, J.R.; Sotelo, A.B.; Sotelo, F.J.B.; Doi, A.M.; Pinho, J.R.R.; Oliveira, R.D.C.; Bezerra, A.M.P.S.; Deutsch, A.D.; Villas-boas, L.S.; Felix, A.C.; et al. Persistence of Zika Virus in Breast Milk after Infection in Late Stage of Pregnancy. Emerg. Infect. Dis. 2017, 23, 854–856. [Google Scholar] [CrossRef]
- Regueira, M.S.; Tintino, S.R.; da Silva, A.R.P.; do Costa, M.S.; Boligon, A.A.; Matias, E.F.F.; de Queiroz Balbino, V.; Menezes, I.R.A.; Coutinho, H.D.M. Seasonal variation of Brazilian red propolis: Antibacterial activity, synergistic effect and phytochemical screening. Food Chem. Toxicol. 2017, 107, 572–580. [Google Scholar] [CrossRef]
- Bueno-Silva, B.; Alencar, S.M.; Koo, H.; Ikegaki, M.; Silva, G.V.J.; Napimoga, M.H.; Rosalen, P.L. Anti-Inflammatory and Antimicrobial Evaluation of Neovestitol and Vestitol Isolated from Brazilian Red Propolis. J. Agric. Food Chem. 2013, 61, 4546–4550. [Google Scholar] [CrossRef]
- Lima Cavendish, R.; de Souza Santos, J.; Belo Neto, R.; Oliveira Paixão, A.; Valéria Oliveira, J.; Divino de Araujo, E.; Berretta e Silva, A.A.; Maria Thomazzi, S.; Cordeiro Cardoso, J.; Zanardo Gomes, M. Antinociceptive and anti-inflammatory effects of Brazilian red propolis extract and formononetin in rodents. J. Ethnopharmacol. 2015, 173, 127–133. [Google Scholar] [CrossRef]
- Farida, S.; Sahlan, M.; Rohmatin, E.; Adawiyah, R. The beneficial effect of Indonesian propolis wax from Tetragonula sp. as a therapy in limited vaginal candidiasis patients. Saudi J. Biol. Sci. 2020, 27, 142–146. [Google Scholar] [CrossRef]
- Gargouri, W.; Osés, S.M.; Fernández-Muiño, M.A.; Sancho, M.T.; Kechaou, N. Evaluation of bioactive compounds and biological activities of Tunisian propolis. LWT 2019, 111, 328–336. [Google Scholar] [CrossRef]
- da Silva, C.C.F.; Salatino, A.; da Motta, L.B.; Negri, G.; Salatino, M.L.F. Chemical characterization, antioxidant and anti-HIV activities of a Brazilian propolis from Ceará state. Braz. J. Pharmacogn. 2019, 29, 309–318. [Google Scholar] [CrossRef]
- Sinott, F.A.; Sena-Lopes, Â.; Leal, K.S.; Thais de Oliveira Silva, M.; Cardoso de Freitas, M.; Quintana de Moura, M.; Aires Berne, M.E.; Borsuk, S. Essential oil from Brazilian Red Propolis exhibits anthelmintic activity against larvae of Toxocara cati. Exp. Parasitol. 2019, 200, 37–41. [Google Scholar] [CrossRef]
- Andrade, J.K.S.; Denadai, M.; de Oliveira, C.S.; Nunes, M.L.; Narain, N. Evaluation of bioactive compounds potential and antioxidant activity of brown, green and red propolis from Brazilian northeast region. Food Res. Int. 2017, 101, 129–138. [Google Scholar] [CrossRef]
- Awale, S.; Li, F.; Onozuka, H.; Esumi, H.; Tezuka, Y.; Kadota, S. Constituents of Brazilian red propolis and their preferential cytotoxic activity against human pancreatic PANC-1 cancer cell line in nutrient-deprived condition. Bioorg. Med. Chem. 2008, 16, 181–189. [Google Scholar] [CrossRef]
- Sena-Lopes, Â.; Bezerra, F.S.B.; das Neves, R.N.; de Pinho, R.B.; de Silva, M.T.O.; Savegnago, L.; Collares, T.; Seixas, F.; Begnini, K.; Henriques, J.A.P.; et al. Chemical composition, immunostimulatory, cytotoxic and antiparasitic activities of the essential oil from Brazilian red propolis. PLoS ONE 2018, 13, e0191797. [Google Scholar] [CrossRef]
- Kaškonienė, V.; Adaškevičiūtė, V.; Kaškonas, P.; Mickienė, R.; Maruška, A. Antimicrobial and antioxidant activities of natural and fermented bee pollen. Food Biosci. 2020, 34, 100532. [Google Scholar] [CrossRef]
- Zeouk, I.; Ouedrhiri, W.; Jiménez, I.A.; Morales, J.L.; Bazzocchi, I.L.; Bekhti, K. Intra-combined antioxidant activity and chemical characterization of three fractions from Rhamnus alaternus extract: Mixture design. Ind. Crops Prod. 2020, 144, 112054. [Google Scholar] [CrossRef]
- Alzate-Arbeláez, A.F.; Dorta, E.; López-Alarcón, C.; Cortés, F.B.; Rojano, B.A. Immobilization of Andean berry (Vaccinium meridionale) polyphenols on nanocellulose isolated from banana residues: A natural food additive with antioxidant properties. Food Chem. 2019, 294, 503–517. [Google Scholar] [CrossRef]
- Domínguez, R.; Barba, F.J.; Gómez, B.; Putnik, P.; Bursać Kovačević, D.; Pateiro, M.; Santos, E.M.; Lorenzo, J.M. Active packaging films with natural antioxidants to be used in meat industry: A review. Food Res. Int. 2018, 113, 93–101. [Google Scholar] [CrossRef]
- Devequi-Nunes, D.; Machado, B.A.S.; De Abreu Barreto, G.; Silva, J.R.; Da Silva, D.F.; Da Rocha, J.L.C.; Brandão, H.N.; Borges, V.M.; Umsza-Guez, M.A. Chemical characterization and biological activity of six different extracts of propolis through conventional methods and supercritical extraction. PLoS ONE 2018, 13, e0207676. [Google Scholar] [CrossRef]
- Machado, B.A.S.; Silva, R.P.D.; Barreto, G.D.A.; Costa, S.S.; Da Silva, D.F.; Brandão, H.N.; Da Rocha, J.L.C.; Dellagostin, O.A.; Henriques, J.A.P.; Umsza-Guez, M.A.; et al. Chemical composition and biological activity of extracts obtained by supercritical extraction and ethanolic extraction of brown, green and red propolis derived from different geographic regions in Brazil. PLoS ONE 2016, 11, e0145954. [Google Scholar] [CrossRef]
- Rufatto, L.C.; Luchtenberg, P.; Garcia, C.; Thomassigny, C.; Bouttier, S.; Henriques, J.A.P.; Roesch-Ely, M.; Dumas, F.; Moura, S. Brazilian red propolis: Chemical composition and antibacterial activity determined using bioguided fractionation. Microbiol. Res. 2018, 214, 74–82. [Google Scholar] [CrossRef]
- De Oliveira Reis, J.H.; De Abreu Barreto, G.; Cerqueira, J.C.; Dos Anjos, J.P.; Andrade, L.N.; Padilha, F.F.; Druzian, J.I.; MacHado, B.A.S. Evaluation of the antioxidant profile and cytotoxic activity of red propolis extracts from different regions of northeastern Brazil obtained by conventional and ultrasoundassisted extraction. PLoS ONE 2019, 14, e0219063. [Google Scholar] [CrossRef]
- Sforcin, J.M. Biological Properties and Therapeutic Applications of Propolis. Phyther. Res. 2016, 30, 894–905. [Google Scholar] [CrossRef]
- Trusheva, B.; Trunkova, D.; Bankova, V. Different extraction methods of biologically active components from propolis; a preliminary study. Chem. Cent. J. 2007, 1. [Google Scholar] [CrossRef] [PubMed]
- Walczak-skierska, J. The Influence of Plant Material Enzymatic Hydrolysis and Extraction Conditions on the Polyphenolic Profiles and Antioxidant Activity of Extracts: A Green and E ffi cient Approach. Molecules 2020, 25, 2074. [Google Scholar]
- Manjare, S.D.; Dhingra, K. Supercritical fluids in separation and purification: A review. Mater. Sci. Energy Technol. 2019, 2, 463–484. [Google Scholar] [CrossRef]
- Palsikowski, P.A.; Besen, L.M.; Santos, K.A.; da Silva, C.; da Silva, E.A. Supercritical CO2 oil extraction from Bauhinia forficata link subsp. pruinosa leaves: Composition, antioxidant activity and mathematical modeling. J. Supercrit. Fluids 2019, 153. [Google Scholar] [CrossRef]
- Essien, S.O.; Young, B.; Baroutian, S. Recent advances in subcritical water and supercritical carbon dioxide extraction of bioactive compounds from plant materials. Trends Food Sci. Technol. 2020, 97, 156–169. [Google Scholar] [CrossRef]
- Yousefi, M.; Rahimi-Nasrabadi, M.; Pourmortazavi, S.M.; Wysokowski, M.; Jesionowski, T.; Ehrlich, H.; Mirsadeghi, S. Supercritical fluid extraction of essential oils. TrAC Trends Anal. Chem. 2019, 118, 182–193. [Google Scholar] [CrossRef]
- Arias, J.; Mejía, J.; Córdoba, Y.; Martínez, J.R.; Stashenko, E.; del Valle, J.M. Optimization of flavonoids extraction from Lippia graveolens and Lippia origanoides chemotypes with ethanol-modified supercritical CO2 after steam distillation. Ind. Crops Prod. 2020, 146, 112170. [Google Scholar] [CrossRef]
- Devani, B.M.; Jani, B.L.; Balani, P.C.; Akbari, S.H. Optimization of supercritical CO2 extraction process for oleoresin from rotten onion waste. Food Bioprod. Process. 2020, 119, 287–295. [Google Scholar] [CrossRef]
- Machado, B.A.S.; De Abreu Barreto, G.; Costa, A.S.; Costa, S.S.; Silva, R.P.D.; Da Silva, D.F.; Brandao, H.N.; Da Rocha, J.L.C.; Nunes, S.B.; Umsza-Guez, M.A.; et al. Determination of parameters for the supercritical extraction of antioxidant compounds from green propolis using carbon dioxide and ethanol as co-solvent. PLoS ONE 2015, 10, e0134489. [Google Scholar] [CrossRef]
- Fachri, B.A.; Sari, P.; Yuwanti, S.; Subroto, E. Experimental study and modeling on supercritical CO2 extraction of Indonesian raw propolis using response surface method: Influence of pressure, temperature and CO2 mass flowrate on extraction yield. Chem. Eng. Res. Des. 2020, 153, 452–462. [Google Scholar] [CrossRef]
- Biscaia, D.; Ferreira, S.R.S. Propolis extracts obtained by low pressure methods and supercritical fluid extraction. J. Supercrit. Fluids 2009, 51, 17–23. [Google Scholar] [CrossRef]
- Monroy, Y.M.; Rodrigues, R.A.F.; Rodrigues, M.V.N.; Sant, A.S.; Silva, B.S.; Cabral, F.A. Brazilian green propolis extracts obtained by conventional processes and by processes at high pressure with supercritical carbon dioxide, ethanol and water. J. Supercrit. Fluids 2017, 130, 189–197. [Google Scholar] [CrossRef]
- Catchpole, O.J.; Grey, J.B.; Mitchell, K.A.; Lan, J.S. Supercritical antisolvent fractionation of propolis tincture. J. Supercrit. Fluids 2004, 29, 97–106. [Google Scholar] [CrossRef]
- Machado, B.A.S.; de Oliveira Reis, J.H.; de Souza, A.L.B.; Druzian, J.I.; Pessoa, F.L.P. Extraction of Propolis Using Supercritical Carbon Dioxide; Elsevier Inc.: Amsterdam, The Netherlands, 2020; ISBN 9780128173886. [Google Scholar]
- Machado, B.A.S.; Nunes, S.B.; Padilha, F.F.; de Guedes, C.M.C.; Costa, A.S.; Umsza-Guez, M.A.; Silva, R.P.D.; Dantas, R.P. Processo para obtenção de ácido 3,5-diprenyl-4-hidroxicinâmico (artepelin C) em extrato de própolis verde utilizando dióxido de carbono supercrítico e co-solvente. BR Patent BR1020140320121, 19 December 2014. [Google Scholar]
- Wu, J.; Luyu, Q. Supercritical Multiple Extraction of Bee Glue. CN Patent CN1258511, 5 July 2000. [Google Scholar]
- Teixeira, É.W.; Negri, G.; Meira, R.M.S.A.; Message, D.; Salatino, A. Plant origin of green propolis: Bee behavior, plant anatomy and chemistry. Evid. Based Complement. Altern. Med. 2005, 2, 85–92. [Google Scholar] [CrossRef]
- da Silva, R.P.F.F.; Rocha-Santos, T.A.P.; Duarte, A.C. Supercritical fluid extraction of bioactive compounds. TrAC Trends Anal. Chem. 2016, 76, 40–51. [Google Scholar] [CrossRef]
- Albuquerque, C.L.C.; Meireles, M.A.A. Defatting of annatto seeds using supercritical carbon dioxide as a pretreatment for the production of bixin: Experimental, modeling and economic evaluation of the process. J. Supercrit. Fluids 2012, 66, 86–95. [Google Scholar] [CrossRef]
- Mazzutti, S.; Riehl, C.A.S.; Ibañez, E.; Ferreira, S.R.S. Green-based methods to obtain bioactive extracts from Plantago major and Plantago lanceolata. J. Supercrit. Fluids 2017, 119, 211–220. [Google Scholar] [CrossRef]
- Pourmortazavi, S.M.; Hajimirsadeghi, S.S. Supercritical fluid extraction in plant essential and volatile oil analysis. J. Chromatogr. A 2007, 1163, 2–24. [Google Scholar] [CrossRef] [PubMed]
- Teixeira, G.L.; Maciel, L.G.; Mazzutti, S.; Gonçalves, C.B.; Ferreira, S.R.S.; Block, J.M. Composition, thermal behavior and antioxidant activity of pracaxi (Pentaclethra macroloba) seed oil obtained by supercritical CO2. Biocatal. Agric. Biotechnol. 2020, 24, 101521. [Google Scholar] [CrossRef]
- Hall, R.M.; Mayer, D.A.; Mazzutti, S.; Ferreira, S.R.S. Simulating large scale SFE applied to recover bioactive compounds from papaya seeds. J. Supercrit. Fluids 2018, 140, 302–309. [Google Scholar] [CrossRef]
- Salinas, F.; Vardanega, R.; Espinosa-Álvarez, C.; Jimenéz, D.; Muñoz, W.B.; Ruiz-Domínguez, M.C.; Meireles, M.A.A.; Cerezal-Mezquita, P. Supercritical fluid extraction of chañar (Geoffroea decorticans) almond oil: Global yield, kinetics and oil characterization. J. Supercrit. Fluids 2020, 161. [Google Scholar] [CrossRef]
- Ferreira, S.R.S.; Meireles, M.A.A. Modeling the supercritical fluid extraction of black pepper (Piper nigrum L.) essential oil. J. Food Eng. 2002, 54, 263–269. [Google Scholar] [CrossRef]
- De Melo, M.M.R.; Silvestre, A.J.D.; Silva, C.M. Supercritical fluid extraction of vegetable matrices: Applications, trends and future perspectives of a convincing green technology. J. Supercrit. Fluids 2014, 92, 115–176. [Google Scholar] [CrossRef]
- De Zordi, N.; Cortesi, A.; Kikic, I.; Moneghini, M.; Solinas, D.; Innocenti, G.; Portolan, A.; Baratto, G.; Dall’Acqua, S. The supercritical carbon dioxide extraction of polyphenols from Propolis: A central composite design approach. J. Supercrit. Fluids 2014, 95, 491–498. [Google Scholar] [CrossRef]
- Oroian, M.; Ursachi, F.; Dranca, F. Influence of ultrasonic amplitude, temperature, time and solvent concentration on bioactive compounds extraction from propolis. Ultrason. Sonochem. 2020, 64, 105021. [Google Scholar] [CrossRef]
- Paviani, L.C.; Saito, E.; Dariva, C.; Marcucci, M.C.; Sánchez-Camargo, A.P.; Cabral, F.A. Supercritical CO2 extraction of raw propolis and its dry ethanolic extract. Braz. J. Chem. Eng. 2012, 29, 243–251. [Google Scholar] [CrossRef]
- Salazar, M.A.R.; Costa, J.V.; Urbina, G.R.O.; Cunha, V.M.B.; Silva, M.P.; Bezerra, P.d.N.; Pinheiro, W.B.S.; Gomes-Leal, W.; Lopes, A.S.; Junior, R.N.C. Chemical composition, antioxidant activity, neuroprotective and anti-inflammatory effects of cipó-pucá (Cissus sicyoides L.) extracts obtained from supercritical extraction. J. Supercrit. Fluids 2018. [Google Scholar] [CrossRef]
- Temelli, F. Solubility behavior of ternary systems of lipids, cosolvents and supercritical carbon dioxide and processing aspects. J. Supercrit. Fluids 2005, 36, 1–15. [Google Scholar] [CrossRef]
- Zabaiou, N.; Fouache, A.; Trousson, A.; Baron, S.; Zellagui, A.; Lahouel, M.; Lobaccaro, J.M.A. Biological properties of propolis extracts: Something new from an ancient product. Chem. Phys. Lipids 2017, 207, 214–222. [Google Scholar] [CrossRef]
- Taddeo, V.A.; Epifano, F.; Fiorito, S.; Genovese, S. Comparison of different extraction methods and HPLC quantification of prenylated and unprenylated phenylpropanoids in raw Italian propolis. J. Pharm. Biomed. Anal. 2016, 129, 219–223. [Google Scholar] [CrossRef] [PubMed]
- da Silva Frozza, C.O.; Garcia, C.S.C.; Gambato, G.; de Souza, M.D.O.; Salvador, M.; Moura, S.; Padilha, F.F.; Seixas, F.K.; Collares, T.; Borsuk, S.; et al. Chemical characterization, antioxidant and cytotoxic activities of Brazilian red propolis. Food Chem. Toxicol. 2013, 52, 137–142. [Google Scholar] [CrossRef] [PubMed]
- de Souza, A.R.C.; Guedes, A.R.; Folador Rodriguez, J.M.; Bombardelli, M.C.M.; Corazza, M.L. Extraction of Arctium Lappa leaves using supercritical CO2 + ethanol: Kinetics, chemical composition, and bioactivity assessments. J. Supercrit. Fluids 2018, 140, 137–146. [Google Scholar] [CrossRef]
- Guedes, A.R.; de Souza, A.R.C.; Turola Barbi, R.C.; Nottar Escobar, E.L.; Zanoello, É.F.; Corazza, M.L. Extraction of Synadenium grantii Hook f. using conventional solvents and supercritical CO2 + ethanol. J. Supercrit. Fluids 2020, 160, 8–10. [Google Scholar] [CrossRef]
- Saito, É.; Sacoda, P.; Paviani, L.C.; Paula, J.T.; Cabral, F.A. Conventional and supercritical extraction of phenolic compounds from Brazilian red and green propolis. Sep. Sci. Technol. 2020, 1–8. [Google Scholar] [CrossRef]
- Sodeifian, G.; Sajadian, S.A.; Saadati Ardestani, N. Optimization of essential oil extraction from Launaea acanthodes Boiss: Utilization of supercritical carbon dioxide and cosolvent. J. Supercrit. Fluids 2016, 116, 46–56. [Google Scholar] [CrossRef]
- Cruz, P.N.; Fetzer, D.L.; do Amaral, W.; de Andrade, E.F.; Corazza, M.L.; Masson, M.L. Antioxidant activity and fatty acid profile of yacon leaves extracts obtained by supercritical CO2 + ethanol solvent. J. Supercrit. Fluids 2019, 146, 55–64. [Google Scholar] [CrossRef]
- López, B.G.C.; Schmidt, E.M.; Eberlin, M.N.; Sawaya, A.C.H.F. Phytochemical markers of different types of red propolis. Food Chem. 2014, 146, 174–180. [Google Scholar] [CrossRef]
- Hanski, L.; Genina, N.; Uvell, H.; Malinovskaja, K.; Gylfe, Å.; Laaksonen, T.; Kolakovic, R.; Mäkilä, E.; Salonen, J.; Hirvonen, J.; et al. Inhibitory activity of the isoflavone biochanin a on intracellular bacteria of genus Chlamydia and initial development of a buccal formulation. PLoS ONE 2014, 9, e115115. [Google Scholar] [CrossRef]
- Li, Z.; Dong, X.; Zhang, J.; Zeng, G.; Zhao, H.; Liu, Y.; Qiu, R.; Mo, L.; Ye, Y. Formononetin protects TBI rats against neurological lesions and the underlying mechanism. J. Neurol. Sci. 2014, 338, 112–117. [Google Scholar] [CrossRef]
- Batista, C.M.; Alves, A.V.F.; Queiroz, L.A.; Lima, B.S.; Filho, R.N.P.; Araújo, A.A.S.; de Albuquerque Júnior, R.L.C.; Cardoso, J.C. The photoprotective and anti-inflammatory activity of red propolis extract in rats. J. Photochem. Photobiol. B Biol. 2018, 180, 198–207. [Google Scholar] [CrossRef]
- Freires, I.A.; De Alencar, S.M.; Rosalen, P.L. A pharmacological perspective on the use of Brazilian Red Propolis and its isolated compounds against human diseases. Eur. J. Med. Chem. 2016, 110, 267–279. [Google Scholar] [CrossRef]
- Bueno-Silva, B.; Marsola, A.; Ikegaki, M.; Alencar, S.M.; Rosalen, P.L. The effect of seasons on Brazilian red propolis and its botanical source: Chemical composition and antibacterial activity. Nat. Prod. Res. 2017, 31, 1318–1324. [Google Scholar] [CrossRef]
- Arena, R.; Manuguerra, S.; Collins, E.; Mahdhi, A.; Renda, G.; Messina, C.M.; Santulli, A. Antioxidant properties of a supercritical fluid extract of the halophyte Mesembryanthemum nodiflorum L. from sicilian coasts: Nutraceutical and cosmeceutical applications. Appl. Sci. 2020, 10, 2374. [Google Scholar] [CrossRef]
- Silva, C.F.; Moura, F.C.; Mendes, M.F.; Pessoa, F.L.P. Extraction of citronella (Cymbopogon nardus) essential oil using supercritical CO2: Experimental data and mathematical modeling. Braz. J. Chem. Eng. 2011, 28, 343–350. [Google Scholar] [CrossRef]
- Rai, A.; Mohanty, B.; Bhargava, R. Fitting of broken and intact cell model to supercritical fluid extraction (SFE) of sunflower oil. Innov. Food Sci. Emerg. Technol. 2016, 38, 32–40. [Google Scholar] [CrossRef]
- de Siqueira Pereira, C.S.; Pelegrini Pessoa, F.L.; Mendonça, S.; de Aquino Ribeiro, J.A.; Mendes, M.F. Technical and Economic Evaluation of Phorbol Esters Extraction from Jatropha Curcas Seed Cake using Supercritical Carbon Dioxide. Am. J. Biomass Bioenergy 2016. [Google Scholar] [CrossRef]
- Sato, T.; Fukuda, F.; Nihei, K.I.; Itoh, N. Effect of temperature and pressure on the extraction of strawberry receptacles with a mixture of supercritical carbon dioxide and entrainers. J. Supercrit. Fluids 2017, 130, 23–29. [Google Scholar] [CrossRef]
- Ahmed, Z.; Abdeslam-Hassan, M.; Ouassila, L.; Danielle, B. Extraction and modeling of Algerian Rosemary essential oil using supercritical CO2: Effect of pressure and temperature. Energy Procedia 2012, 18, 1038–1046. [Google Scholar] [CrossRef]
- Barroso, P.T.W.; de Carvalho, P.P.; Rocha, T.B.; Pessoa, F.L.P.; Azevedo, D.A.; Mendes, M.F. Evaluation of the composition of Carica papaya L. seed oil extracted with supercritical CO2. Biotechnol. Rep. 2016, 11, 110–116. [Google Scholar] [CrossRef]
- Fujii, T.; Kawasaki, S.I. Effects of process parameters on vanillin partition coefficient in water-supercritical CO2 extraction. Fluid Phase Equilib. 2019, 485, 153–157. [Google Scholar] [CrossRef]
- Humayun, R.; Tomasko, D.L. High-resolution adsorption isotherms of supercritical carbon dioxide on activated carbon. AIChE J. 2000, 46, 2065–2075. [Google Scholar] [CrossRef]
- Natolino, A.; Da Porto, C. Supercritical carbon dioxide extraction of pomegranate (Punica granatum L.) seed oil: Kinetic modelling and solubility evaluation. J. Supercrit. Fluids 2019, 151, 30–39. [Google Scholar] [CrossRef]
- Bandeira, Á.; De Azevedo, A.; Kieckbusch, T.G.; Tashima, A.K.; Sadeg, R.; Mazzafera, P.; Alexandre, S.; Vieira, B. Supercritical CO2 recovery of caffeine from green coffee oil: New experimental solubility data and modeling. Quim. Nova 2008, 31, 1319–1323. [Google Scholar] [CrossRef]
- Rodrigues, M.F.F.; Sousa, I.M.O.; Vardanega, R.; Nogueira, G.C.; Meireles, M.A.A.; Foglio, M.A.; Marchese, J.A. Techno-economic evaluation of artemisinin extraction from Artemisia annua L. using supercritical carbon dioxide. Ind. Crops Prod. 2019, 132, 336–343. [Google Scholar] [CrossRef]
- Cadena-Carrera, S.; Tramontin, D.P.; Bella Cruz, A.; Bella Cruz, R.C.; Müller, J.M.; Hense, H. Biological activity of extracts from guayusa leaves (Ilex guayusa Loes.) obtained by supercritical CO2 and ethanol as cosolvent. J. Supercrit. Fluids 2019, 152. [Google Scholar] [CrossRef]
- Cossey, H.L.; Guigard, S.E.; Underwood, E.; Stiver, W.H.; McMillan, J.; Bhattacharya, S. Supercritical fluid extraction of bitumen using chemically modified carbon dioxide. J. Supercrit. Fluids 2019, 154, 104599. [Google Scholar] [CrossRef]
- Chien, J.T.; Hsieh, H.C.; Kao, T.H.; Chen, B.H. Kinetic model for studying the conversion and degradation of isoflavones during heating. Food Chem. 2005, 91, 425–434. [Google Scholar] [CrossRef]
- Dong, C.; Li, Z.; Liu, F.; Wei, W.; Wang, X.; Liu, Z. Effects of supercritical fluid parameters and emulsion formulation on the production of quercetin nanocapsules by supercritical fluid extraction of emulsion. Chem. Eng. Sci. 2019, 205, 190–200. [Google Scholar] [CrossRef]
- Macías-Sánchez, M.D.; Mantell, C.; Rodríguez, M.; Martínez De La Ossa, E.; Lubián, L.M.; Montero, O. Supercritical fluid extraction of carotenoids and chlorophyll a from Nannochloropsis gaditana. J. Food Eng. 2005, 66, 245–251. [Google Scholar] [CrossRef]
- Majdoub, S.; El, R.; Aslan, A.; Piras, A. Effect of pressure variation on the efficiency of supercritical fluid extraction of wild carrot (Daucus carota subsp. maritimus) extracts. J. Chromatogr. B 2019, 1125, 121713. [Google Scholar] [CrossRef]
- Giesbrecht, H.O.; de Minas, R.B.A. Indicações geográficas brasileiras: Mel e própolis.Brazilian geographical indications: Honey and propolis. Indicaciones geográficas brasileñas: Miel y propóleo. Sebrae INPI 2016, 1–47. [Google Scholar]
- Singleton, V.L.; Rossi, J.A. Colorimetry of Total Phenolics with Phosphomolybdic-Phosphotungstic Acid Reagents. Am. J. Enol. Vitic. 1965, 16, 144–158. [Google Scholar]
- Tesh, R.B.; Watts, D.M.; Russell, K.L.; Damodaran, C.; Calampa, C.; Cabezas, C.; Ramirez, G.; Vasquez, B.; Hayes, C.G.; Rossi, C.A.; et al. Mayaro Virus Disease: An Emerging Mosquito-Borne Zoonosis in Tropical South America. Clin. Infect. Dis. 1999, 28, 67–73. [Google Scholar] [CrossRef]
- Meda, A.; Lamien, C.E.; Romito, M.; Millogo, J.; Nacoulma, O.G. Determination of the total phenolic, flavonoid and proline contents in Burkina Fasan honey, as well as their radical scavenging activity. Food Chem. 2005, 91, 571–577. [Google Scholar] [CrossRef]
- Molyneux, P. The use of the stable free radical diphenylpicryl-hydrazyl (DPPH) for estimating anti-oxidant activity. Songklanakarin J. Sci. Technol. 2004, 26, 211–219. [Google Scholar]
- Brand-Williams, W.; Cuvelier, M.E.; Berset, C. Use of a free radical method to evaluate antioxidant activity. LWT Food Sci. Technol. 1995, 28, 25–30. [Google Scholar] [CrossRef]
- Salgueiro, F.B.; Castro, R.N. Comparação entre a composição química e capacidade antioxidante de diferentes extratos de própolis verde. Quim. Nova 2016, 39, 1192–1199. [Google Scholar] [CrossRef]
- Cabral, I.S.R.; Oldoni, T.L.C.; Prado, A.; Bezerra, R.M.N.; De Alencar, S.M.; Ikegaki, M.; Rosalen, P.L. Composição fenólica, atividade antibacteriana e antioxidante da própolis vermelha brasileira. Quim. Nova 2009, 32, 1523–1527. [Google Scholar] [CrossRef]
Sample Availability: Not available. |
Publisher’s Note: MDPI stays neutral with regard to jurisdictional claims in published maps and institutional affiliations. |
© 2020 by the authors. Licensee MDPI, Basel, Switzerland. This article is an open access article distributed under the terms and conditions of the Creative Commons Attribution (CC BY) license (http://creativecommons.org/licenses/by/4.0/).








