Abstract
The search for anticancer metal-based drugs alternative to platinum derivatives could not exclude zinc derivatives due to the importance of this metal for the correct functioning of the human body. Zinc, the second most abundant trace element in the human body, is one of the most important micro-elements essential for human physiology. Its ubiquity in thousands of proteins and enzymes is related to its chemical features, in particular its lack of redox activity and its ability to support different coordination geometries and to promote fast ligands exchange. Analogously to other trace elements, the impairment of its homeostasis can lead to various diseases and in some cases can be also related to cancer development. However, in addition to its physiological role, zinc can have beneficial therapeutic and preventive effects on infectious diseases and, compared to other metal-based drugs, Zn(II) complexes generally exert lower toxicity and offer few side effects. Zinc derivatives have been proposed as antitumor agents and, among the great number of zinc coordination complexes which have been described so far, this review focuses on the design, synthesis and biological studies of zinc complexes comprising N-donor ligands and that have been reported within the last five years.
1. Introduction
Zinc is among the few transition metals, namely Mn, Fe, Co, Cu, Zn and Mo, which, together with the first and second series metals Na, K, Mg and Ca, are essential for human physiology. In the human body, zinc, after iron, is the second most abundant trace element. About 3 g of zinc, mostly localized in testicles, muscles, liver, and brain, are present in an average adult provided by a daily intake of 8–11 mg [1]. At the physiological concentration, zinc is crucial for increasing cell survival and protecting tissues against damages. Zinc concentration (about 0.6 mM) is regulated by a specific homeostasis and, similarly to the other micro-elements, either a deficiency or an overload can lead to toxic effects to the organism [2,3,4,5]. Zinc deficiency can be related to inadequate zinc intake due to nutritional or absorption problems, ageing (several data showed that 35–45% of adults over 60 have a Zn intake below the required estimated average), Zn losses from the body or deregulation of zinc homeostasis. Zinc deficiency can depress immune function as Zn plays a crucial role in the immune system through cellular proliferation and RNA and DNA synthesis and is necessary for T-lymphocyte development. It also can determine other effects including growth retardation, impotence, and hypogonadism. Many symptoms due to Zn deficiency are not specific and can be related to other health conditions, so that the diagnosis is not always straightforward. Zinc excess, however, is less frequent and most often occurs via excess supplementation. Most toxic effects due to a chronic high Zn intake (e.g., myeloneuropathy) are mainly related to the inhibition of copper absorption, and hence are secondary to a zinc-induced copper deficiency [6].
The vital importance of zinc can be easily understood considering that this metal is present in more than 3000 human proteins including nucleic acid binding proteins; is involved in the catalytic activity of thousands of enzymes; plays a role in DNA synthesis, protein synthesis and immune functions [7,8]. The binding of Zn2+ with catalytic and/or structural sites of a large number of proteins is a key-factor in determining their conformations [2]. All in all, zinc is essential for virtually all cellular functions and also for the growth and development of all forms of life, not only human [9]. The majority of Zn in the human body (95%) is intracellular and the lack of specialized zinc storage systems makes a suitable daily intake necessary for maintaining a steady concentration in the organism. In biological systems the concentration of free Zn2+ ions is extremely low (pM-nM), i.e., it is not a relevant pool for trafficking, transport and cellular actions of zinc, so that these processes occur by a direct exchange of the metal from donor to acceptor Zn ligands [10]. Specific Zn transporters (ZIP and ZnT proteins) regulate Zn homeostasis and control its efflux via plasma membranes when the concentration of intracellular Zn is too high or when it must be transferred to other organs. But, whereas zinc coordination and its role in proteins and enzymes has been clarified and extensively reviewed, further studies are still necessary to completely explain the mechanisms of the exchange processes between intra and extracellular space [11].
The importance of zinc in biological systems is definitively related to its unique chemical features: Zn2+ is redox inactive, is a strong Lewis acid, has a d10 configuration, is diamagnetic, can support a variable coordination geometry and is prone to a fast exchange of ligands. Its electron affinity resembles that of copper or nickel, but the lack of redox activity of divalent zinc ion, differently from copper or iron, eliminates any chances of free radical reactions and makes it crucial for the body’s antioxidant protection system.
The Zn2+ d10 configuration, and the consequent absence of d-d transition, could be seen as a limit for the spectroscopic characterization of Zn derivatives, together with their diamagnetism and white colour, but on the other hand the absence of ligand field stabilization can guarantee highly flexible coordination geometry determinated only by the charge and steric hindrance of the ligands [12,13]. In biological systems zinc can be tetra-, penta-, or hexacoordinated to N, O or S donor atoms comprised in histidine, glutamate/aspartate, and cysteine residues, or to water molecules with a tetrahedral, pyramidal, or octahedral coordination geometry. In proteins, the most frequent geometry is tetrahedral, with few examples of distorted trigonal bipyramidal. In proteins, also multiple zinc clusters, comprising from two to four metal ions, can be found in the metal intrasphere binding geometry.
In addition to its physiological role, zinc can have beneficial therapeutic and preventive effects on infectious diseases and, compared to other metal-based drugs, Zn(II) complexes generally exert lower toxicity and have fewer side effects. An example of a worldwide commercial Zn-derivative is pyrithione zinc, first described in 1930 and used as topical antimicrobial to treat fungal or bacterial infections of skin and hair. In the years different classes of zinc coordination complexes have shown a good potential in different applications, among which as radioprotective agents [14], tumor photosensitizers [15], antidiabetic [16,17,18], anticonvulsant [19], anti-inflammatory [20], antimicrobial [21,22,23,24,25,26], antioxidant [27,28], antiproliferative/antitumor [29,30,31], anti-Alzheimer’s disease [32] and in several neglected diseases [33].
On the other hand, deregulation of zinc homeostasis can determine cell apoptosis and hence trigger cancer progress [34]. The relationship between zinc deficiency and cancer has been recognized in human, animal, and cell culture studies [35,36] and zinc-containing metalloenzymes have been identified as alternative targets for metal-based anticancer agents [37]. Zinc deficiency causes oxidative DNA damage [38,39], and chromosome breaks have been reported in zinc-deficient diet-fed animals [40]. In addition, zinc is useful in reducing cardio and hepatotoxicity caused by some anticancer drugs [41].
The relationship between Zn deficiency and prostate cancer has been deeply analysed [42], as well as the effect that Zn imbalance can have on the genesis and development of different forms of leukemia [43].
Examples of the detrimental effects of both excess or depletion of Zn in tumoral pathologies have been faced with opposite approaches: on one hand a chelation therapy approach based on depletion of excess cellular Zn by the use of suitable chelating ligands [44,45], on the other hand the use of ionophore systems such as clioquinol [46].
Another approach consists in using zinc complexes as metal-based antitumor drugs. This approach is very promising due to the fact that (1) having a specific homeostasis zinc metal ion could be better managed by human physiology and cause less side effects in comparison to non-essential metal-based compounds [47,48]; (2) zinc is significantly non-toxic even at higher doses than other metals (Fe, Cu, Hg, etc.), with obvious advantages for bio-compatibility [47,48,49,50,51]; (3) Zn(II) complexes probably have targets and mechanisms of action different from the classical platinum-based drugs [52,53,54,55]; (4) zinc is one of the most studied metals in the coordination of photosensitive systems metals for Photo Dynamic Therapy (PDT) [56,57,58], and (5) due to their ability to assist Lewis activation, nucleophile formation and rapid ligand exchange, zinc compounds can be employed as catalysts of hydrolytic reactions, such as hydrolysis and DNA cleavage, thus making anti-tumor activity possible [59,60]. Recent studies have confirmed the above assumptions showing that Zn(II) derivatives could be potential anticancer agents with low toxicity in vivo, low side effects and probably different cellular targets and modes of action when compared with classical metal-based drugs [53,55,61,62,63,64,65,66].
A large variety of zinc complexes containing ligands of different hapticity with mainly O, N and S as donor atoms, exhibiting different coordination numbers and geometries, often giving rise to dimeric or polymeric species have been reported. As, to the best of our knowledge, no recent review article on zinc complexes as anticancer agents is available and taking into account that in biological systems nitrogen is the most utilized atom for Zn coordination, we started to survey zinc complexes which comprise N-donor ligands. The aim of the present review article is to describe the development in the synthesis, design, and biological studies of zinc complexes of N-donor ligands as anticancer agents covering the period 2015–2019. All other classes of zinc complexes will be reported in a following article. The compounds (102 entries) are grouped based on the ligand donor atom set, by increasing ligand complexity. We tried to identify possible structure-activity relationships (SARs) for each class of ligands described and, by a critical analysis of the reported data, to indicate the new directions of the research for scientists working in this field. The analysis of mechanistic details exceeds the scopes of this review.
2. Nitrogen Ligands in Zn Complexes
As reported in the Introduction, Zn(II) has a very versatile chemistry. It can adopt a range of coordination numbers giving rise to different geometry, even though especially in solution octahedral stereochemistries dominate. Zinc can coordinate various donor atoms, especially the first-row donor atoms oxygen or nitrogen rather than second-row sulphur or phosphorus, according to its hard acid nature. Accordingly, N-donor ligands are almost the most representative category. Homoleptic and mixed-ligand complexes have been reported and, due to the variety of accessible arrangements, a great assortment of frameworks (from mono- to hexadentate chelates) have been employed.
Our classification is based on the ligand nature. Planar aromatic quinoline, 2,2′-bipyridine and 1,10-phenanthroline ligands have often been the ligands of choice for medicinal chemists, due to their DNA intercalation properties and often to their intrinsic toxicity, which could enhance the metal effect. On the other hand it’s known that several diimines have low specificity for tumor cell lines and can be genotoxic [67]. Here we report on 24 Zn complexes with these ligands (cap. 3 and 4). Terpyridine metal complexes are able to intercalate into DNA showing inhibitory effects on tumor cells and possess photoluminescence properties [68,69,70,71]. Here we report on 23 Zn complexes with terpyridine and pyridine-based systems (cap. 5). Imidazolyl derivatives are among the most utilized N-donor ligands due to their excellent coordination ability [72,73], different hapticity and possibility to be derivatized or conjugated to active moieties. Within this class, benzoimidazolyl derivatives are the most representative (22 out of 36 Zn complexes, cap. 6), mainly thanks to the accessibility of phenyl ring substitution, which in turn allows SAR determination for different families of Zn complexes. Schiff bases are generally one of the most representative class of ligands, mainly due to their easy way of synthesis. N-donor Schiff bases have been surveyed on the basis of their different hapticity (9 Zn complexes, cap. 7), whereas some examples of N,O-coordination are reported in the miscellanea (10 Zn complexes, cap. 8).
Another application of Zn derivatives in medicinal chemistry is Photo Dynamic Therapy and, among many metals utilized in the coordination of photosensitive systems, such as phthalocyanines, zinc is one of the most studied. Zinc complexes with photo-activable N-donor ligands, such as porphyrins and phthalocyanines, used in PDT, have been extensively reviewed in the last years [56,57] and are not treated in this paper. Zinc-phthalocyanine complexes generally show low toxicity, high chemical and photochemical stability [56]. Anyway, low dark cytotoxicity is generally a prerequisite for photosensitizers in biological applications, even though chemotoxicity is sometimes associated to some Zn derivatives. The phototoxicity of the reported complexes is generally very high (IC50 values in micro-nanomolar range) and cannot be compared to the toxicity showed by the other families of zinc complexes surveyed in this paper, as the mechanism of action is not relied upon a biological involvement of the metal.
3. Quinoline and Diimine Systems
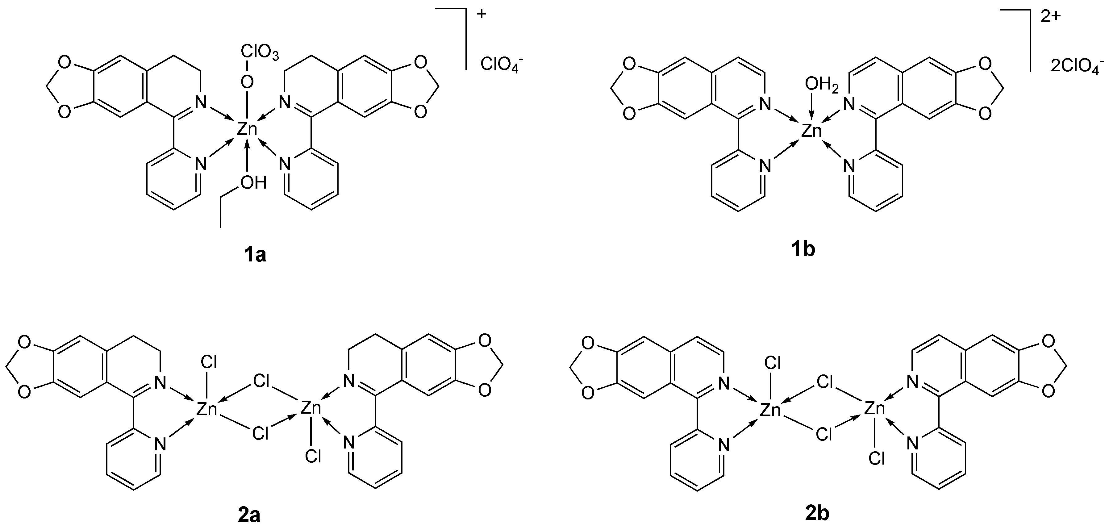
The planar aromatic ligands 4,5-methylenedioxy-1-pyridinedihydroisoquinoline L1a and 5-pyridin-2-yl-[1,3]dioxolo [4,5-g]isoquinoline) L1b have been used for the synthesis of monomeric 1a and 1b [74] and binuclear 2a and 2b complexes [75] (Figure 1). The new complexes have been structurally characterized and tested against a panel of tumor as well as normal cell lines.
Figure 1.
Structure of the zinc complexes 1a, 1b and 2a, 2b.
All Zn derivatives showed a remarkable anticancer activity and selectivity to tumor cells; in particular binuclear 2a and 2b complexes are more active than mononuclear complexes 1a and 1b; penta-coordinated complexes are more active than hexacoordinate ones and species comprising the L1b ligand are more active than L1a complexes (Table 1). Studies on complex 1b showed a noticeable cellular uptake and DNA accumulation, and DNA interaction via an intercalating mode. In vitro test with MGC-803 cell line with the most potent compound 2b evidenced that it has a good DNA accumulation and cellular uptake and induces the intrinsic pathway-dependent apoptosis by triggering DNA damage due to reactive oxygen species (ROS) overproduction [74,75].
Table 1.
IC50 values (µM) for zinc complexes 1a, 1b and 2a, 2b, ligands L1a and L1b and the reference compounds cisplatin, ZnCl2 and Zn(ClO4)2 against different human tumor and normal (HL-7702) cell lines, after an incubation time of 48 h.
4. 2,2′-Bipyridine and 1,10-Phenanthroline Systems
Considering DNA the main target of Zn metal-based drugs, a widespread use of planar intercalating systems, like diimine, as ligands has been done. In particular, 2,2′-bipyridine and 1,10-phenanthroline derivatives have been extensively utilized often together with other nitrogen or oxygen donor ligands.
1,10-Phenanthroline (phen) is a versatile nitrogen-chelating bidentate ligand [76] based on rigid electron-deficient heteroaromatic rings, which displays strong cooperativity in cation binding to form stable transition metal complexes in solution. Phen, due to its strong hydrophobic interaction and large plate area, heads-up intercalation or groove binding with DNA or RNA of the related metal complexes [77,78,79,80,81,82].
In contrast to phen, 2,2′-bipyridine (bpy) has been extensively employed as chelating ligand due to its strong redox stability and the possibility of functionalization [83,84].
Zn(II) [85], Cu(II) [86,87,88,89,90,91,92], V(IV) [93,94], and Ru(II) [95,96] complexes with polypyridyl ligands have been intensively investigated as DNA intercalators, showing a diverse spectrum of DNA binding/cleavage ability and cytotoxicity against cancer cell lines [97].
The water-soluble dimer 3 (Figure 2) of 2,2′-bipyridine and azide ligands comprises the Zn atoms coordinated by two nitrogen atoms from a 2,2′-bipyridine ligand, two nitrogen atoms from two azido bridges and one terminal azide nitrogen [98] in a distorted square pyramidal geometry [99]. Complex 3 cleaves DNA via hydrolytic pathway (T4DNA ligase assay), but its antiproliferative activity tested in vitro on MCF-7 breast cancer cell line was low (IC50 = 100 µM) (Table 2).
Figure 2.
Structure of the zinc 2,2′-bipyridine complexes 3 and 4a, 4b.
Table 2.
IC50 values (µM) for zinc complexes 4–7, free ligands phen, ida, bpy and Hnor and the reference compounds cisplatin, ZnCl2 and ZnSO4 against different tumor and normal (LO2 and PBMC) cell lines, after an incubation time of 48 h.
Other two complexes (4a and 4b, Figure 2) have been synthesized and characterized by Enjun Gao et al. [100]. The coordination environment of Zn atom in 4a, an example of a 1D spiral-like network, is a distorted ZnO4N2 octahedral geometry, whereas in 4b, an infinite double-stranded helix, Zn is in a distorted ZnO2N2 tetrahedral geometry.
The cytotoxic effects of complexes 4a and 4b were studied on two tumor cell lines (HeLa and KB) and one normal cell line (LO-2). In particular, 4b showed IC50 values comparable to the reference cisplatin (IC50 = 12.4 and 15.2 µM; cisplatin, IC50 = 11.9 and 13.8 µM; for HeLa and KB cells, respectively) and both Zn derivatives were less toxic against the normal cell line than cisplatin (Table 2). The phen-derivative 4b showed also a better cell uptake efficiency and binding with Fish Sperm DNA [100].
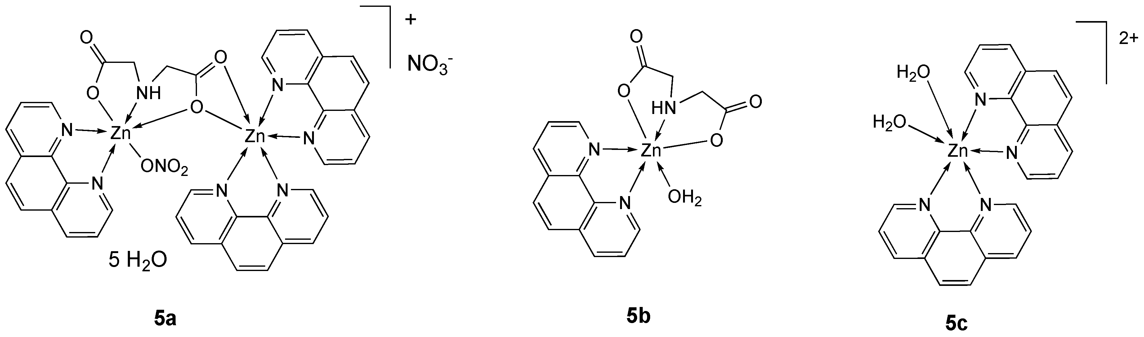
The use of an iminodiacetate ligand (ida) [104,105] and phen led to the formation of a water soluble asymmetric binuclear zinc(II) complex 5a, which in aqueous solution dissociates into the two monomeric species 5b and 5c (Figure 3), as assessed by NMR, ESI-MS, and solution UV-vis spectra [101]. The in vitro cytotoxicity of the zinc complexes 5a–c, a 1/1 mixture of 5b and 5c, free ligands and zinc salts (ZnCl2 and ZnSO4) were investigated in human hepatoma HepG2 and SMMC-7721 cell lines.
Figure 3.
Structure of the zinc complexes 5a–c.
As shown in Table 2, the cytotoxic activities of the tested compounds are in the following order: 5a ≈ mixture 1:1 (5b + 5c) > 5c > 5b > ida, phen > ZnCl2, ZnSO4. From these data, it’s evident that the binuclear 5a mainly acts as a cooperative inhibitor with complexes 5b and 5c toward tumor growth in solution; its activity is related to mainly arrest the cell cycle at G0/G1 phase.
Complex 5a is one of the few examples of zinc derivatives tested in in vivo studies. In particular, the acute toxicity of the oral administration of 5a in ICR mice was studied, obtaining an LD50 value of 736 mg kg−1 (with the 95% confidence limit of 635–842 mg kg−1), indicative of its low toxicity.
A series of first-row transition-metal compounds (M = Co(II), Ni(II), Cu(II) and Zn(II)) comprising a diimine (bpy or phen) and the ligand norharmane (Hnor) [106,107,108,109] have been reported [102].
The antitumor activity of complex 6 (Figure 4) was determined with and without co-incubation with CuCl2, a competitor for transport via hCTR1 (CuCl2 20 µM, the highest non-toxic dose), against A2780 tumor cell line. Whereas co-incubation of CuCl2 drastically increased the cytotoxicity of Co(II) derivatives, probably due to the replacement in solution of the metal with copper leading to the most stable Cu complexes, which are endowed with enhanced antiproliferative activity, in the case of 6, already per se very cytotoxic (IC50 = 1.26 ± 0.07 µM), no effects could be recorded (6 + CuCl2, IC50 = 1.23 ± 0.01µM) (Table 2) [102].
Figure 4.
Structure of the zinc complexes 6 and 7.
The octahedral bpy derivative 7 (Figure 4), containing 2,6-pyridine dicarboxylate (pdc) [110,111], inhibited cell viability by inducing apoptotic cell death in T-cell lymphoma cancer cell line (IC50 = 17.12 µM) with negligible cytotoxicity in PBMC normal cells (IC50 = 63.23 µM) (Table 2). The molecular docking and SAR studies showed that 7 was effective in inhibiting highly expressed cancer target proteins [103].
Mixed-ligand zinc complexes with N-salicylideneglycinate (Sal-Gly) [86,93,112] and 1,10-phenanthroline (phen) (8a, Figure 5) or phenanthroline derivatives 5-chloro-1,10-phenanthroline (Clphen), 5-amine-1,10-phenanthroline (amphen), 4,7-diphenyl-1,10-phenanthroline (Bphen), 5,6-epoxy-5,6-dihydro-1,10-phenanthroline (epoxyphen) (8b–e, Figure 5), as well as homoleptic zinc complexes 8f,g (Figure 5) have been screened for finding a relationship between their biological activity and the nature of phen-derivative [113].
Figure 5.
Structure of the zinc complexes 8a–g.
Their cytotoxicity was evaluated towards a panel of human cancer cell lines (A2780, MCF-7 and HeLa), as well as non-tumor V79 fibroblasts. As shown in Table 3, all complexes and free ligands displayed high cytotoxicity, better than or comparable to the reference cisplatin, with IC50 values in the low micromolar range. They showed the following cytotoxicity order: A2780 > MCF-7 > HeLa. Overall, all compounds displayed selectivity for the A2780 cells with respect to the non-tumor cells, with a selectivity indexes (SI = IC50(V79)/IC50(A2780) > 2) higher than cisplatin (SI = 1).
Table 3.
IC50 values (µM) for zinc complexes 8–13, ligands and the reference compounds cisplatin and doxorubicin against different tumor and normal (V79) cell lines after an incubation time of 48 h.
All complexes induced caspase-dependent apoptosis in A2780 cells, except 8e, one of the most cytotoxic within the series. The [Zn(Sal-Gly)2(H2O)2] precursor showed no cytotoxicity, highlighting the active role of the polypyridyls to the biological activity of the complexes. The free ligands displayed cytotoxic activity similar or even higher than the complexes, suggesting that the active species are the free phen-derivatives even though, as shown by different experiments, their uptake may possibly be promoted or hampered by their binding to Zn(II) and/or albumin. The IC50 values obtained for 8f and 8g in all cancer cells were about half the values obtained for 8a and 8c complexes. Considering that each zinc 1,10-phenanthroline complex contains two moles of 1,10-phenanthrolines, this suggests that the active species is the phen ligand [85,118,119]. In addition, no cytotoxic activity was observed for the ZnCl2 salt (IC50 > 100 μM) in the ovarian cells during 48 h incubation in the same concentration range of the complexes (0.01 μM−100 μM). These results are in accordance with the reported statement that Zn(II), due to its hydrophilicity, cannot cross the plasma membrane or other membranes of intracellular components to induce a biological effect [120]. Zn-complexes undergo speciation in the cell incubation medium; anyway complexation with zinc may be relevant, since Zn inside the cell can also interfere with the metabolism and the mitochondrial electron transport to generate ROS [113].
Mixed ligand complexes of the Schiff base ligand L9 and 2,2′-bipyridine and several transition metals (Cr(III), Fe(III), Cu(II), Cd(II), Mn(II), Co(II), Ni(II) and Zn(II)), were synthesized [114] and their cytotoxicity was tested against breast cancer (MCF-7) and colon cancer (HCT-116) cell lines (Table 3). The free ligand L9 resulted inactive (inhibition ratio < 70%), while the complexes showed much higher activity against MCF-7 cell line with the following order: Fe(III) > Cd(II) > Cr(III) > Ni(II) > 9 > 2,2′-bipyridine > Mn(II) (Figure 6). On the other hand, free ligand and mixed ligand complexes show moderate to high activity against HCT-116 cell line with the following order: Co(II) > Cr(III) > Ni(II) > 2,2′-bipyridine > Mn(II) > Fe(III) > L9 > 9.
Figure 6.
Structure of the zinc complex 9.
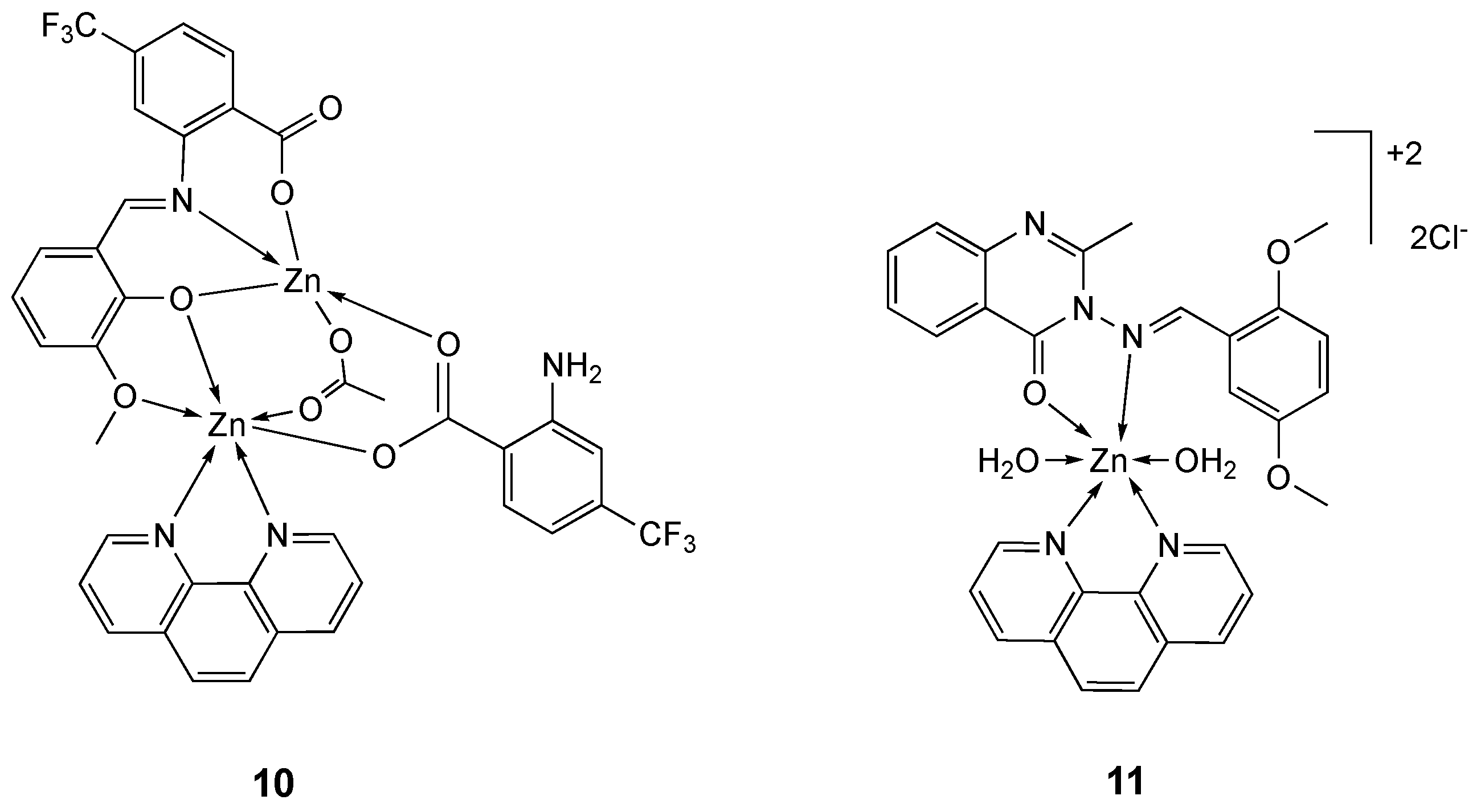
The zinc complex 10 (Figure 7) has been synthesized and characterized by spectroscopic techniques and X-ray crystallography. Its cytotoxic effect on A549 and HeLa cancer cells was screened. Results showed that 10 exhibits high antitumor activity against both A549 and HeLa cell lines, with IC50 values of 1.369 µM and 2.129 µM, respectively (Table 3) [115]. Analogously to what observed for complexes 8a–g, the high toxicity might be due to the phen ligand. This result may also be attributed to the high compound lipophilicity, which enhances its ability to cross the cell membrane. It is speculated that the fluorine-containing zinc complex has a better prospect in the development of antitumor drugs [121,122].
Figure 7.
Structure of the zinc complexes 10 and 11.
The bidentate quinolin-4(3H)-one based Schiff base ligand L11 and its 1,10-phenanthroline zinc complex 11 (Figure 7) have been screened for their in vitro cytotoxic activity against the human breast cancer MCF-7 cell line [116]. Even if the antiproliferative activity of metal complexes is often due to the synergistic effect produced by the metal core and the ligands, the free ligand L11 resulted inactive against MCF-7 cells. On the basis of these findings, the noteworthy anticancer activity of 11 may be due to phen moiety or to the metal center zinc(II). In fact, complex 11 exhibited interesting anticancer activity against MCF-7 cells (GI50 = 0.016 μM) even at lower GI50 value than the reference drug doxorubicin (GI50 = 0.018 μM) (Table 3). In addition, the cells treated with 11 displayed a bead like shape, indicating cellular shrinkage, vacuolated cytoplasm, small nuclei and membrionic blebbing that are typical features of apoptosis [116].
Metal-NSAID (NSAID = non-steroidal anti-inflammatory drug) complexes can show a synergistic anticancer effect [123,124] and, in recent times, their non-platinum metal complexes have exhibited anti-proliferative as well as anti-inflammatory activities [125,126,127,128,129,130]. Jolly Deb et al. [117] reported the synthesis of two zinc(II)-NSAID complexes of 1,10-phenanthroline-5,6-dione (phendione) [82,126,131,132], with the NASAID species naproxen (HNPR) and mefenamic acid (HMFN) (12 and 13, respectively, Figure 8).
Figure 8.
Structure of the zinc-NSAID complexes 12 and 13 with naproxen and mefenamic acid, respectively.
The bidentate chelating ligand phendione has been reported to exhibit antiproliferative activity and to interact with DNA by its aromatic ring. The cytotoxic activities of the compounds were determined on cisplatin resistant MDA-MB-231 cancer cell line and for comparison on non-cancerous mouse macrophage cell line RAW 264.7. The complexes 12 and 13 exhibited cytotoxic activity on MDA-MB-231 cells with IC50 values after 72 h of 0.5 μM and 0.4 μM, respectively (Table 3), and were less toxic in the RAW 264.7 cell line (with IC50 values after 72 h of 2 μM and 1.7 μM, respectively). Whereas free NaNPR (sodium naproxen), HMFN, and [Zn (ClO4)2]·6H2O did not have any significant antiproliferative properties, co-treatment with free phendione and naproxen or mefenamic acid (1:2 ratio) determined in both case an IC50 value of 0.4 μM, confirming that phendione acts independently and that the anti-proliferative properties of the Zn ternary complexes are due to the phendione unit. Complexes 12 and 13 explicated a dual activity, as they also inhibited the cyclooxygenase pathway exhibiting anti-inflammatory activity [117].
5. Terpyridine and Pyridine-Based Systems
Terpyridine metal complexes are gaining wide attention both for their ability to intercalate into DNA, and hence for inhibitory effects on tumor cells, and for their photoluminescence properties, that make them potential fluorescent materials or bioprobes [68,69,70,71,133,134,135,136,137,138,139,140].
Extremely active penta-coordinated zinc complexes 14a–j [141] and 15a–h [136] (Figure 9) have been obtained by using terpyridine derivatives as ligands.
Figure 9.
Structure of the zinc complexes 14–17.
Different substituents on the terpyridine phenyl ring allowed to fine tune the lipophilicity and the steric hindrance of the final complexes, in order to find a possible SAR. All 14a–j compounds display photoluminescent properties, the intensity of fluorescence emission peaks decreasing by CT-DNA interaction. Intercalation into the base pairs of DNA is confirmed by molecular docking studies. The IC50 values are in the sub-micromolar range, depending on the nature of the terpyridine ligand. In the case of 15a–h derivatives (Figure 9), the hydrophilicity/lipophilicity ratio of the final complexes shows a range of distribution coefficients (log D7.4) between 0.31 (complex 15h) and 0.87 (complex 15a). The lipophilicity of the compounds depends on the nature of the halogen and is greater with bromine ions than with iodine ones, halogen substituents being equal. The remarkable antiproliferative activity of all complexes in MCF-7 and Bel-7042 cell lines can be related to the electronegativity of the substituted halogens or of the halogen anions and the same trend is observed in their binding affinity to ctDNA. In particular, the highest antitumor activity is shown by the fluorine substituted compounds, while the lowest is shown by the iodine substituted ones, following the sequence –F, –Cl, –Br, and –I substituents [136].
In Table 4, IC50 values obtained with compounds 14a–j and 15a–h are reported together to those of the penta-coordinated complex 16 (Figure 9), the hexacoordinated complex 17 (Figure 9) and the free ligand L16 [142]. In the ligand L16 the terpyridine scaffold was modified by inserting a long chain to increase its lipophilicity, but the activity of the free ligand was similar or even higher than that of Zn complexes, according with its DNA intercalation and cleavage ability [142].
Table 4.
IC50 values (µM) for terpyridine complexes 14–19, the free ligand L16 and the reference compounds cisplatin, oxaliplatin and doxorubicin against different tumor and normal (NHDF and MRC-5) cell lines, after an incubation time of 72 h.
A penta-coordinated terpyridine (18, Figure 10) has been reported and its cytotoxic activity was evaluated [143], resulting significantly cytotoxic on MDA-MB-231 after 72 h (IC50 = 23 µM), and on HCT-116 after 24 h (IC50 = 10 µM) (Table 4). Its activity can be correlated both with its square-pyramidal structure, less susceptible to changes in coordination geometry in solution with respect to a tetrahedral structure (e.g., the analogous ethylenediamine complex), and to the planar terpyridine ligand which can act as an intercalator [143].
Figure 10.
Structure of the zinc complexes 18 and 19a, 19b.
Following previous studies on zinc complexes with the tridentate polypyridyl ligand 4-methyl-N,N-bis(pyridin-2-ylmethyl)aniline (L19) [66], Yong-Po Zhang et al. reported the synthesis and structural characterization of [ZnL19X2]2·CH3OH (X = Br for 19a, Cl for 19b) [144] (Figure 10). Zinc atom is penta-coordinated in a square pyramidal environment.
Their antitumor activity has been investigated towards three human cancer cell lines (HeLa, MCF-7 and RL952). As reported in Table 4, both compounds showed good antitumor activity and the best results were obtained with 19a (Figure 10) on MCF-7 cell line (IC50 = 12.58 µM) and with 19b (Figure 10) on RL952 cells (IC50 = 11.71 µM). Moreover, both compounds in human normal liver cells LO2 showed lower cytotoxicity than cisplatin (19a: IC50 = 46.4 ± 1.4 µM; 19b: IC50 = 40.2 ± 1.7 µM; cisplatin: IC50 = 9.6 ± 0.4 µM). The apoptosis-inducing activity of 19a was assessed in cell morphology by nuclear staining with Hoechst 33,342, Annexin V binding studies and cell cycle analyses [144].
6. Imidazoles and Analogous Imidazole-Based Systems
The octahedral compound 20 (Figure 11) derived from 1,3,5-tris(1-imidazolyl)benzene (H2tib [145,146]) [147] and two isomeric zinc complexes 21a and 21b (Figure 11) comprising 3,5-bis(1-imidazoly)pyridine (bip) [148] have been reported and structurally characterized. All compounds showed a remarkable activity against HeLa cell line, comparable to cisplatin (Table 5).
Figure 11.
Structure of the zinc complexes 20 and 21.
Table 5.
IC50 values (µM) for zinc complexes 20, 21a,b and reference cisplatin against HeLa and KB tumor cell lines after an incubation time of 24, 48 or 72 h.
All compounds interact with DNA with different binding affinities and exhibit an efficient DNA cleavage (pBR322 plasmid). The better activity of isomer 21b, compared to isomer 21a, is explained by its parallel planar structure, which can be inserted into a DNA base pair as shown by molecular docking simulation.
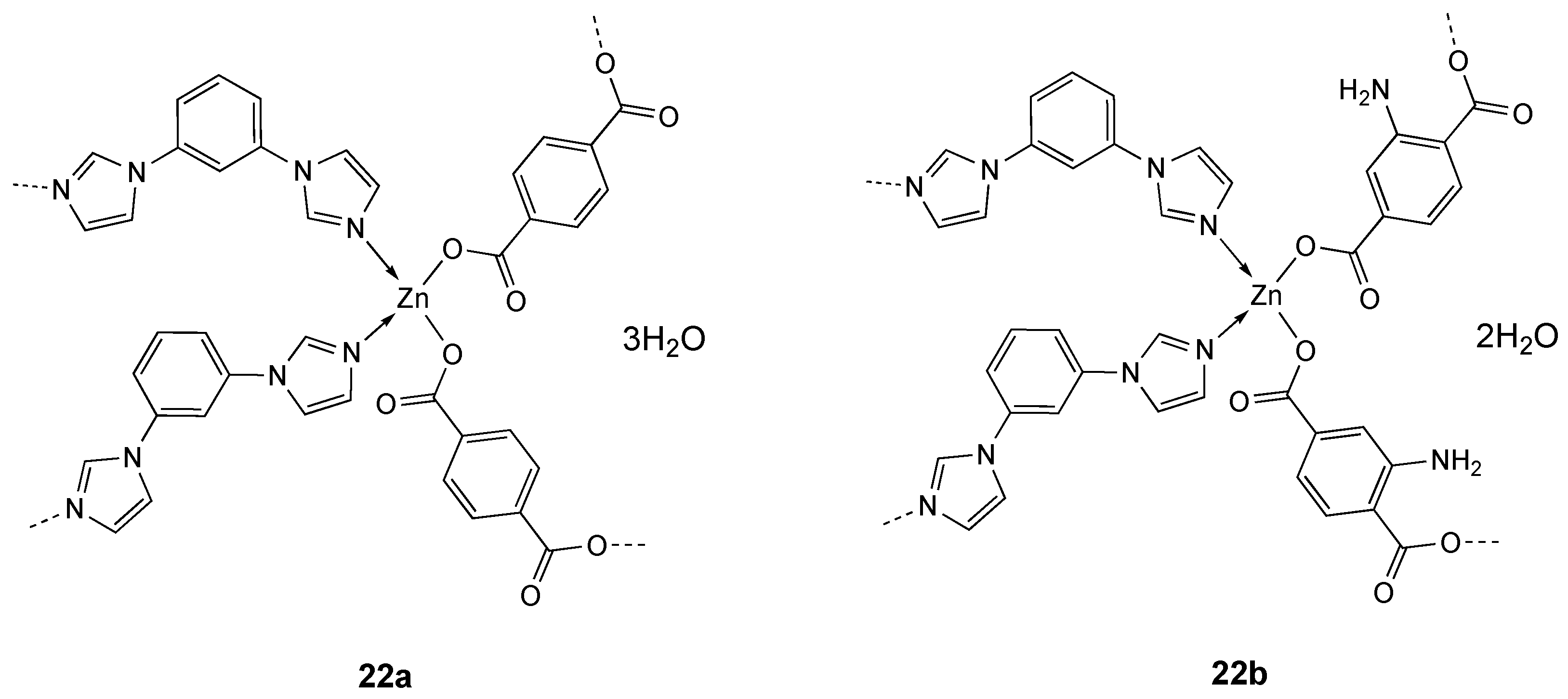
Other examples of Zn complex containing a monodentate bis-imidazolyl derivative are the Zn(II) coordination polymers 22a and 22b (Figure 12), containing the 1,4-dicarboxybenzene (H2bdc) and 1,3-bis(imidazol-1-yl)benzene (bib) or 2-amino-1,4-dicarboxybenzene (NH2-H2bdc), whose IC50 values calculated against SMMC-7721 liver cancer cells were 3.98 ± 0.11 and 9.78 ± 0.23 µg/mL, respectively (Table 6). Further studies on compound 22a showed that its anticancer activity was due to the induction of ROS mediated cell apoptosis [149].
Figure 12.
Structure of the zinc complexes 22a, 22b.
Pyridine substituted imidazo[1,2-a]pyridines [150,151,152,153,154] were utilized for the preparation of a series of Cu and Zn complexes (23a–e, Figure 13).
Figure 13.
Structure of the zinc complexes 23a–e.
Among them, zinc complexes 23c and 23d, tested against five cancer cell lines (MCF-7, MDA-MB-231, K562, HL-60 and HT29), exhibited poor activity (Table 6) compared to Cu derivatives (IC50 in the low micromolar range) [155].
Table 6.
IC50 values (µM) for zinc complexes 22a, 22b and 23c, 23d against different tumor cell lines after an incubation time of 72 h.
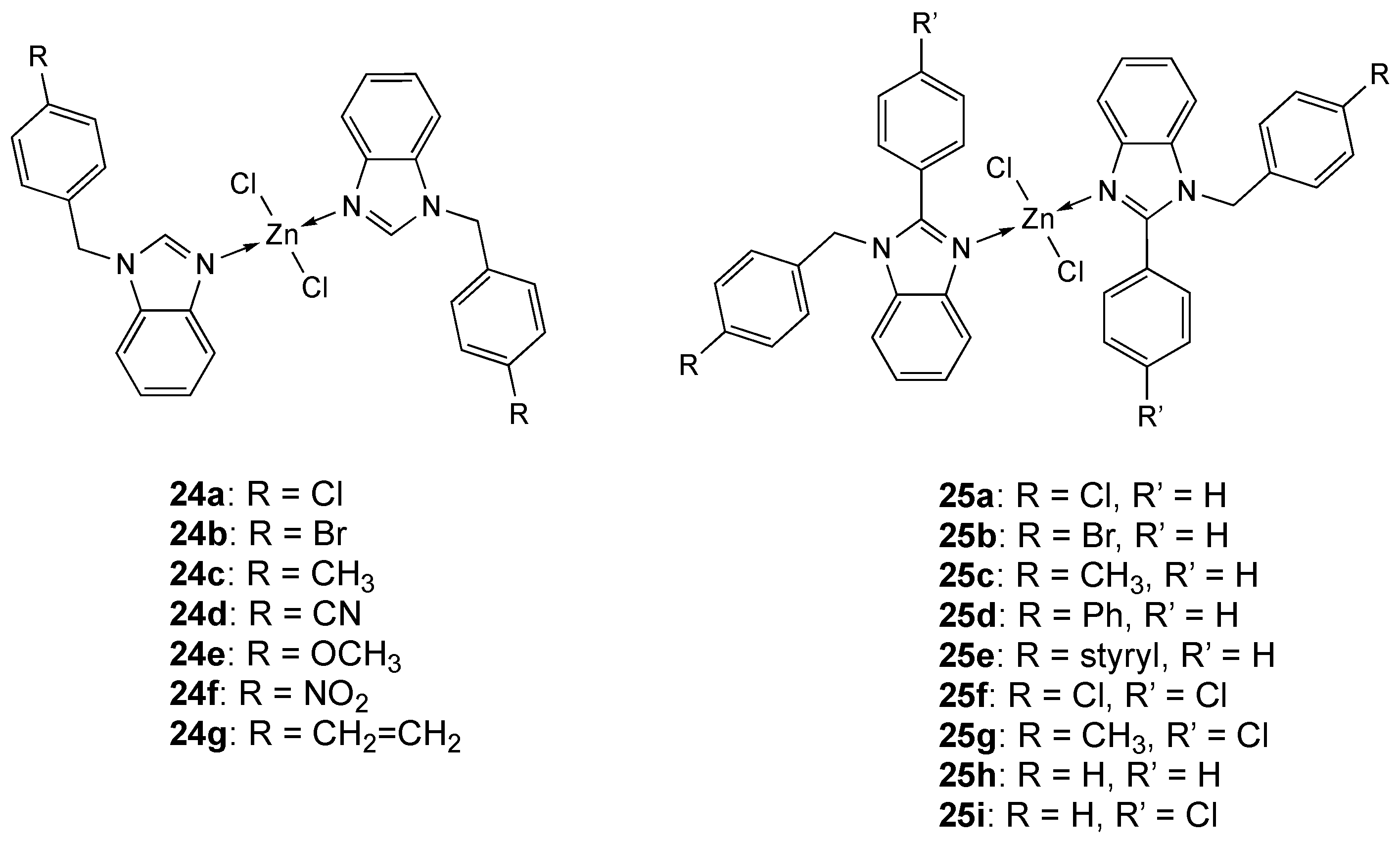
Many authors reported the use of substituted benzimidazole ligands [156,157,158] to obtain Zn complexes. In particular seven Zn derivatives 24a–g (Figure 14) was reported by Elif Apohan et al. [159] and nine, 25a–i (Figure 14), by Ülkü Yılmaz et al. [160].
Figure 14.
Structure of the zinc complexes 24a–g and 25a–i.
In both studies, Zn ions have the same coordination sphere, as the metal is tetracoordinated to two nitrogen atoms of two different benzimidazole ligands and to two chloride ions. In the first series, the antiproliferative activity has been tested against A-549 tumor cell line and normal BEAS-2B cell line. At 72 h, zinc complexes showed a toxic effect against A-549 cells analogous to cisplatin, but they were less toxic than cisplatin on BEAS-2B (Table 7). Complexes 24a and 24c, containing 4-chlorobenzyl and 4-methylbenzyl substituents, were the most active derivatives (at 72h, IC50 = 1.97 and 1.9 µg/mL, respectively; cisplatin IC50 = 2.56 µg/mL). The second class of complexes 25a–i was tested against A2780 and Du-145 tumor cell lines. At concentration of 0.1 μM compounds 25a, 25b and 25e, containing 4-chlorobenzyl, 4-bromobenzyl or 4-styrylbenzyl substituent, respectively, showed anticancer activity against the A2780 cell line higher than the reference drug docetaxel (Table 7).
Table 7.
IC50 values (µM) for zinc complexes 24 and 25, and references cisplatin and docetaxel against different tumor and normal (BEAS.2B) cell lines after an incubation time of 72 h.
A series of Zn-caffeine complexes (26a–c, Figure 15) have been tested towards human tumor cell lines (MCF-7, PC-3, A-549, HCT-116, and Jurcat) to evaluate the effect of the halide ions on the anticancer activity. All derivatives demonstrated antiproliferative activity in a low micromolar range with cytotoxicity following the order 26b > 26a > 26c [161].
Figure 15.
Structure of the zinc complexes 26a–c and 27.
Caffeine was also used for the synthesis of a series of complexes with Fe(II), Co(II), Mn(II), Cd(II), Zn(II), Cu(II) and Ni(II). Studies of molecular docking showed that Zn(II) derivative 27 (Figure 15) has a good affinity with the receptor PI3Kg, a class of phosphatidylinositol 3-kinase (PI3K) implicated in several cellular processes related to cancer initiation and progression [162].
Two zinc complexes bearing benzimidazole-based derivatives, 28a and 28b (Figure 16), were structurally characterized. Compound 28a is a dimeric complex with each Zn(II) core displaying a distorted octahedral geometry, whereas compound 28b is mononuclear with a four-coordinated zinc center in a slightly distorted tetrahedral geometry. The metal is coordinated to two nitrogen atoms from one L28b ligand and to two chloride ions. The cytotoxic assay on several cancer cells (MCF-7, QBC939, SH-SY5Y and EC-109) showed the free ligands inactive, and complex 28a more active than complex 28b (at 72 h IC50 values of 33.0 ± 1.8, 37.2 ± 2.0, 30.3 ± 1.6 µM and 36.3 ± 2.7, and 66.6 ± 5.0, 60.1 ± 4.8, 95.7 ± 5.8 and 75.5 ± 5.2 µM, respectively, Table 8). Further studies with complex 28a evidenced its ability to intercalate with CT-DNA and to induce morphological changes, membrane permeability increase and growth of cells in the G0/G1 phase, typical of induction of apoptosis [163].
Figure 16.
Structure of the zinc complexes 28a, 28b and 29.
Table 8.
IC50 values (µM) for zinc complexes 28a, 28b, ligands L28a,b and reference cisplatin against different tumor cell lines after an incubation time of 72 h.
The pyridine-benzimidazole-quinolinyl ligand L29 [164,165,166] was utilized for the synthesis of Cu, Zn and Co complexes which were screened against four different esophageal cancer cell lines (SMMC-7721, BGC823, HCT-116 and HT-29) [167]. The tetrahedral zinc derivative 29 (Figure 16) showed moderate antitumor activity (average IC50 57.25 µM at 72 h) (Table 9), differently from the most promising copper derivative (average IC50 18.91 µM at 72 h) which was the object of more detailed studies.
Bidentate benzimidazole ligands L30a,b [168,169,170] allowed the formation of structurally characterized 30a and 30b (Figure 17), in which each Zn2+ core is tetrahedrally coordinated to two N and two Cl atoms. The cytotoxicity against MB-MDA-231 cells of Zn complexes, free ligands and cisplatin was investigated by CCK-8 assay (Table 9). The free ligands and the related complexes exhibited lower cytotoxic activities compared to the reference drug cisplatin (IC50 = 9.92 µM). The better cytotoxicity of complex 30b (IC50 = 38.65 µM) compared to that of complex 30a (IC50 > 50 µM) could be related to its higher lipophilicity (log p values for complexes 30a and 30b are 0.74 and 1.84, respectively) [171].
Figure 17.
Structure of the zinc complexes 30a, 30b and 31.
Table 9.
IC50 values (µM) for zinc complexes 29–31 and reference compound cisplatin against different tumor and normal (LO2) cell lines, after an incubation time 72 h.
Tridentate benzimidazole derivative 4-butyloxy-2,6-bis(1-methyl-2-benzimidazolyl)pyridine (L31) was utilized for the synthesis of the six-coordinated 31 complex with a distorted octahedral configuration. Whereas free L31 ligand has no antitumor activity against EC-109 cancer cell, Zn complex 31 (Figure 17) has a good activity (IC50 = 46.13 µM) (Table 9), comparable to that of cisplatin (IC50 = 43.99 µM), better than the analogous Co(II) derivative (IC50 = 75.46 µM), but lower than Cu(II) derivative (IC50 = 26.09 µM). The redox properties of Cu(II) and Co(II) complexes were examined by cyclic voltammetry and results exhibited irreversible redox processes. These results well evidence the importance of the nature of the metal for the biological activity [172].
7. Schiff Base Systems
Schiff base metal complexes have been extensively investigated due to their modular easy synthesis and versatility [173] and show interesting pharmacological properties such as anticancer [174], antibacterial [175,176] and urease inhibitory [177,178] activities. In addition, interaction of these compounds with DNA has been established [179,180] and produces different effects, including DNA molecule cleavage [181] and DNA duplex cross-linking [182].
Schiff base compounds are expected to exhibit biological properties [174,183,184,185,186,187,188] and their coordination complexes cobalt [174,189,190,191,192], copper [174,193,194,195,196] and zinc [174,196,197,198,199] acceptors are promising pharmacologically active metal compounds.
Cytotoxic activities of metal complexes derived from Schiff bases against various malignant tumors have been extensively studied and the metal which is incorporated in the complex has a great impact on the effectiveness of the compounds [200].
7.1. κ2N,N′ Systems
The Zn(II) complex 32 (Figure 18) has been prepared starting from the Schiff base ligand L30, synthesized from 4,6-dichloropyrimidine-5-carboxaldehyde and 4-(2-aminoethyl)morpholine [201]. The interaction of this complex with calf thymus (CT) DNA has been investigated by electronic absorption, fluorometric, viscometric and cyclic voltametric measurements. In vitro anticancer activity of L32, 32 and the analogous Cu(II) complex against selected cancer cell lines (A549, HepG2, HeLa) and a normal cell line (NHDF) was assessed by MTT assay. The results suggest that complex 32 has reasonable anticancer ability against tumor cell lines, showing higher IC50 values (A549 = 79.42 µg/mL; HepG2 = 85.39 µg/mL and HeLa = 82.39 µg/mL) on cancer cell lines than those exhibited by ligand L30 (A549 = 105.15 µg/mL; HepG2 = 106.8 µg/mL and HeLa = 108.8 µg/mL) (Table 10), but lower than those of the analogous Cu(II) complex [201].
Figure 18.
Structure of the zinc complexes 32, 33a, 33b and 34.
Table 10.
IC50 values (µM) for zinc complexes 32–34, ligands L32 and L34 and reference compound cisplatin against different tumor and normal (NHDF and P4) cell lines, after an incubation time 72 h.
7.2. κ3N,N′,N″ Systems
The high flexibility and coordinating properties make tridentate Schiff-base ligands very fascinating and those involving oxygen and nitrogen donor ligands have generated interest in catalysis and bio-inorganic systems [176], as cleavage agents for DNA, for novel potential DNA-targeted antitumor drugs and cancer chemotherapeutic agents [64].
Two Schiff bases (ambaf = 2-[N-(1H-benzimidazol-2-ylmethyl)ethanimidoyl]aniline and apyepy = 2-(pyridin-2-yl)-N-[1-(pyridin-2-yl)ethylidene]-ethanamine) zinc(II) complexes (33a, 33b, Figure 18) were synthesized by Vieria and co-workers and their interaction with CT-DNA was investigated by circular dichroism and UV/Vis spectroscopies. Both compounds are able to interact with DNA, electrostatically with the DNA phosphate groups or via intercalation between the base pairs. Their antiproliferative activity was investigated against human sarcoma cancer cells (MES-SA and MES-SA/DX5), in comparison to non-tumorigenic fibroblasts P4. Complex [Zn(apyepy)OH]+ (33b) was found to be non-cytotoxic (IC50 > 140 µM), while complex [Zn(ambaf)H2O]2+ (33a) resulted toxic toward all the tested cells, including noncancerous ones, showing a moderate toxicity in the range of 47 to 71 µM (Table 10). Compound 33a was even more toxic than the analogous copper(II) complex, [Cu(ambaf)H2O]2+, suggesting that the higher cytotoxicity of the Zn(II) compound can perhaps be ascribed to its photochemical properties, a significant increase in its fluorescence being observed by interaction with calf thymus-DNA. The order of antiproliferative action cytotoxicity is in good correlation with the cellular metal uptake, probably being dependent on the ability of the complexes to enter the cells [202].
A new zinc(II) complex 34 (Figure 18), with two benzimidazole-derived ligands has been synthesized and its interaction with the human serum albumin and DNA was investigated, showing significant binding propensity. The nuclease activity of 34 was analyzed for pBR322 DNA, confirming its potential to cleave DNA. Furthermore, the cytotoxicity of the ligand and the zinc(II) complex was investigated on a panel of selected human cancer cells (HepG2, SK-MEL-1, HT018, HeLa and MDA-MB-231), showing IC50 values (Table 10) higher than the standard drug cisplatin and then the related copper(II) complex. Furthermore, the in vivo chronic toxicity profile of complex 34 was also studied on all of the major organs of the mice, with low toxicity results [203].
7.3. κ4N,N′,N″,N‴ Systems
The zinc(II) complex 35 (Figure 19) of the new tetradentate Schiff base ligand L33, obtained via condensation reaction of 3,4-diaminobenzophenone with diacetyl monoxime, was successfully synthesized and its potential anticancer activity against MCF-7 cell line was investigated through MTT test: it reduced the viable cell numbers to 11% of the control samples after 72 h exposure (IC50 = 66 µM). Complex 35 was evaluated as a radical scavenger against 1,1-diphenyl-2-picrylhydrazyl radicals, demonstrating limited in vitro antioxidant activity in comparison with ascorbic acid [204].
Figure 19.
Structure of the zinc complexes 35 and 36.
The analogous Zn(II) complex 36 (Figure 19) of the ligand (2-iminothiophenol-2,3-butanedione monoxime) was synthesized and its in vitro antioxidant activity as a radical scavenger versus 1,1-diphenyl-2-picrylhydrazyl radicals was investigated (IC50 = 72 mg L−1). The binding of the complex with human serum albumin (HAS) as the model protein was examined, revealing a modest binding affinity [205].
Among N-donor ligands, pyridyl-based compounds have been deeply studied in coordination chemistry due to their strong chelating property and the ability to construct several coordination architectures [206].
The mononuclear Zn(II) complex 37 (Figure 20) was prepared starting from the tetradentate Schiff base ligand L35 and was structurally investigated by single crystal X-ray crystallography [207]. Its anticancer activity against human breast adenocarcinoma cell line was examined, showing a reduction in MCF-7 cell line viability, with increasing concentration of zinc complex after 24 h of exposure. The LC50 value for 37 was 12 μg/mL, suggesting an interesting cellular toxicity over MCF-7 cell line, generally induced by the endocytosis and release of ions, which promote ROS generation [207].
Figure 20.
Structure of the zinc complexes 37–39.
The Schiff base-type ligand L38 [208] and its complexes with Co(III), Ni(II), Cu(II) and Zn(II) (38) metal centers were synthesized and their structural and physicochemical properties investigated by density functional theory (DFT) [209]. The biological activity of L38 and its coordination compounds was studied on antiproliferative effects, cytotoxic effects and inhibitory effect of the ATP-binding cassette (ABC) transporter P-glycoprotein encoded by human MDR1 gene on L5178Y tumor cells. The cobalt(III) compound was the most effective inhibitor of the ABC transporter PGP drug efflux pump that is responsible for extruding the anticancer drugs from cancer cells in in vitro studies. The zinc(II) complex 38 (Figure 20) showed about half the effect when compared to analogous Co(III) complexes, whereas the compounds with Ni(II) and Cu(II) were practically inactive [209].
7.4. κ5N,N′,N″,N‴,N⁗ Systems
Adam and co-workers [210] proposed the use of the membrane-penetrating peptide Novicidin (NVC) [211] conjugated with the Schiff base-zinc complex 39 (Figure 20) as a carrier vehicle for the delivery of zinc to human prostate cancer cells. Molecular analyses were used to confirm the activation of zinc stress (e.g., ZnT-1) and apoptosis (e.g., CASP-1) genes. The cytotoxicity of the 36-NVC complex was examined in human prostate cell lines PC3 and PNT1A, using the MTT assay. NVC alone reduced cell viability by 50% at a concentration of 16 nM and by 100% at 63 nM after 24, in both PC3 and PNT1A cell lines. The 39 complex without peptide also displayed meaningful toxicity toward both cell lines compared with NVC alone, reducing cell viability by 40% at 125 nM and by 100% at 250 nM after 24 h. 39-NVC complex reduced cell viability in PC3 cell line by 65% at a concentration of 46 nM, but in PNT1A cells it showed negligible cytotoxicity, even at a concentration of 500 nM [210]. Zinc uptake was confirmed in both cell lines.
8. Miscellanea Systems
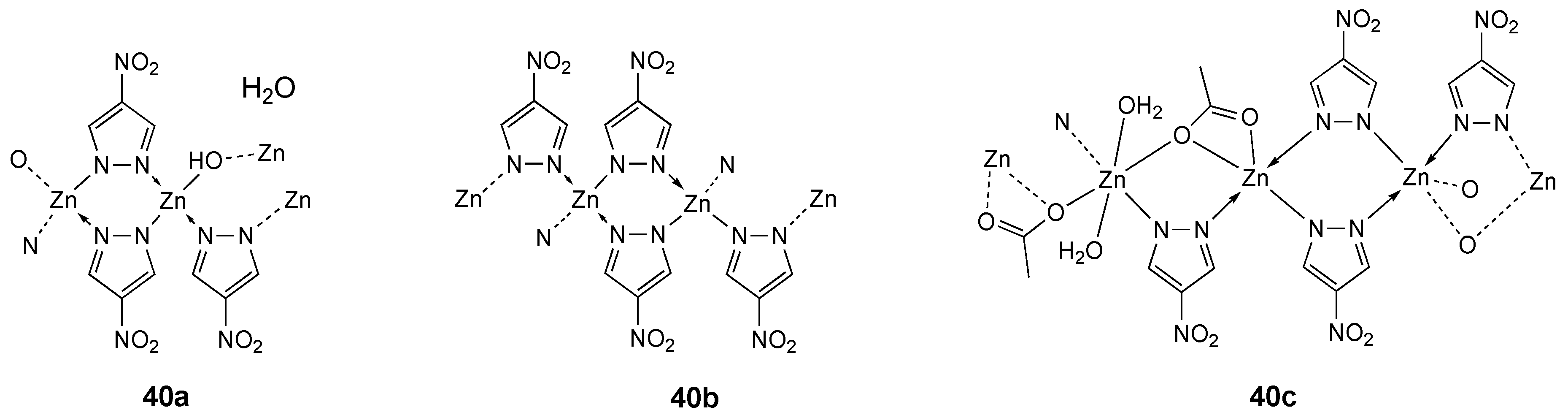
A series of metal-organic chains (MOCs) based on 4-nitro-1H-pyrazole as ligand and zinc as metal center has been reported and structurally characterized [212]. The antitumor properties of the 4-nitro-1H-pyrazole ligand (HL40) and the MOCs complexes 40a ({[Zn2(μ-4-NO2-pz)3(μ-OH)]·H2O}n), 40b ({[Zn2(μ-4-NO2-pz)4]}n) and 40c ({[Zn3(μ-4-NO2-pz)4(μ-ac)2(H2O)2]}n) (Figure 21) were evaluated against three cancer cell lines (HT29, Hep-G2 and B16-F10). The sTable 1D Zn-coordination complexes 40b and 40c showed a similar antitumor activity (average IC50 48.23 and 45.13 μg/mL for 40b and 40c respectively), lower IC50 than the free ligand (average IC50 136.67 μg/mL), and with low specificity with respect to cell type (Table 11). MOCs complexes 40b and 40c, prepared using water as solvent, can avoid the potential self-aggregation issue often encountered by some antitumor compounds such as triterpenes and minimize generic interactions, representing an alternative to traditional coordination complexes [212].
Figure 21.
Structure of the zinc complexes 40a–c.
Table 11.
IC50 values (µg/mL) for zinc complexes 40b and 40c and ligand HL40 against different cancer cell lines, after an incubation time of 72 h.
A new porphyrin-Schiff base ligand and its Zn(II) complex 41 (Figure 22) were synthesized by Tümer and co-workers. Superoxide dismutase activities of 41 were investigated in comparison with analogous Cu(II), Fe(III), Mn(III) and Pt(II) complexes. Additionally, the DNA (fish sperm FSdsDNA) binding studies of the complex was performed by UV-vis spectroscopy (Kb = 1.3 × 106). Competitive studies with ethidium bromide (Kb = 1.23 ± 0.07 × 105) showed that the compounds interact efficiently with DNA through an intercalating way [213].
Figure 22.
Structure of the zinc complex 41.
Phthalocyanines are natural aromatic and planar macrocycles with a structure similar to porphyrins. Lipophilic phthalocyanines (Pcs) [214,215] incorporated into the poloxamine Tetronic® 1107 (T1107), an amphiphilic poly(ethylene oxide)-poly(propylene oxide) block copolymer containing two tertiary amine groups, resulted highly efficient against different human and murine colon tumor cell lines (IC50 = ∼10 nM) after irradiation [216]. Besides, 42a-T1107 (Figure 23) induced an apoptotic cell death both in two- and three-dimensional colon carcinoma cell cultures [217]. In addition, the in vivo effect of photodynamic therapy (PDT) with 42a-T1107 in a CT26 murine colon carcinoma model was explored [218]. 42a-T1107 inhibited tumor growth and prolonged mice survival, without signs of tissue-specific or systemic toxicity, inducing an apoptotic tumor cell death [218].
Figure 23.
Structure of the zinc complexes 42–44.
A series of symmetrically tetra-substituted thiophenyl zinc(II)phthalocyanines 42b–d (Figure 23) was reported and their antiproliferative activity was tested against A549, MCF-7 and HepG2 tumor cell lines and for comparison against healthy normal cells (human fibroblast cells). Compound 42d, containing eight CF3 groups attached at positions 3,5 to the phenyl ring in its phthalocyanine scaffold, demonstrated to be the most potent of the series with a good selectivity towards cancer cells compared to healthy cells. The IC50 values obtained for 42d against MCF7, HepG2 and A549 cell lines are 3.75, 3.27 and 6.03 µM respectively. No PDT applications of compounds 42b–d have been reported [219].
The octahedral complex 43 (Figure 23) comprising the ligand N2,N3-bis(3-nitrophenyl)quinoxaline-2.3-diamine (L43) [220] was tested against HeLa cell line together with analogous Co, Ni and Cu derivatives [221]. Complex 43 exhibited the highest activity (IC50 = 35.29 µM, Table 12) in comparison to the free ligand (IC50 > 100 µM) and to the other metal complexes (IC50 132.50, 65.09 and 65.62 μM for Co, Ni and Cu derivative respectively). Moreover, Compound 43 showed both DNA binding through intercalation and effective DNA cleavage. Molecular docking study against human papilloma virus (HPV) receptor molecule and the ATP binding site of telomerase showed that 43 is more potent against HPV receptor.
Table 12.
IC50 values (µM) for zinc complex 42b–d, 43 and 44 against different tumor and normal (Bj-hTert) cell lines, after an incubation time of 48 h.
Heterobimetallic complexes are attracting a wide interest as potential metal-based drugs and theranostic agents. Romerosa et al. following previous studies on Ru-Co [223] derivatives and on Ru-complexes comprising the neutral ligand 3,7-dimethyl-1,3,7-triaza-5-phosphabicyclo[3.3.1]nonane (dmoPTA) [224,225,226,227,228,229,230], able to coordinate different metals through the soft P and the two hard NCH3 groups, reported the synthesis and characterization of 44 (Figure 23) [222]. The Zn atom is coordinated to two N-atoms of the dmoPTA ligand and to two chloride ions in a tetrahedral environment, whereas Ru is coordinated to three P atoms (two from PPh3 molecules and one from bridging dmoPTA). Heterobimetallic Ru-Zn derivative 44 was found to be very stable in a mixture of [D6]DMSO/cell-culture medium (t = 48 h) and its antiproliferative activity was tested on six human solid tumor cells lines (A549,HBL-100, HeLa, SW1573, T-47D and WiDr) and against human fibroblast (non-tumor) cell line BJ-hTert (Table 12). It displayed antitumor activity higher than the Ru-Co analogous complex (1.2–2.5 times) and cisplatin (26–426 times), with GI50 values in the range 0.030–0.083 µM. Moreover its activity against tumor cell lines was 3–8 times higher than against non-tumor cell line, indicating a good selectivity [222].
9. Concluding Remarks
Notwithstanding our choice to survey only Zn complexes containing N-donor ligands, the high number of papers published in this restricted field in the last five years evidences the high vitality of the research on this topic. We have surveyed 100 complexes and the majority of them displayed some antiproliferative activity in vitro. Unfortunately, literature data are not always comparable as IC50 values are calculated at different incubation time (24, 48, or 72 h) and reported with different units. Moreover, zinc complexes have been synthesized for comparison to analogous complexes of other transition metals, M(II), which often resulted more active so that their biological behavior, not that of zinc derivatives, has been deeply studied. In the Supplementary Materials Section we have reported the studies performed to determine the mechanism of action of the complexes and the main outcomes (Table S1, Supplementary Materials).
In order to find out a possible correlation between the cytotoxic activity in vitro and the chemical features of the surveyed complexes, we have cumulated the most active reported species (43 out of 102, i.e., all the complexes which exhibit an antitumoral activity with IC50 values ≤ 10 µM (Table 13 against one or more cancer cell lines, reaching in some cases the nanomolar range. In detail, penta-coordinated terpyridine derivatives 14a–j, [141] 15a–h [136] and 16 [142] and hexacoordinate bis-terpyridine 17 exhibited very high activity towards a large panel of cancer cell lines, and in the case of 16 and 17 demonstrated also a good specificity for tumor cells. On the other hand, at least for 16 and 17, the free ligand is highly active per se and metal coordination did not lead to any improvements. As it can be seen in the table, this behavior can be observed also with other complexes, such as 8, 12 and 13. In these classes of compounds, zinc coordination of active ligands did not determine an evident synergic effect, but the activity of the final complexes was comparable to that of the free ligands.
Table 13.
Zinc compounds which showed an antiproliferative activity characterized by IC50 values ≤ 10 µM.
Concerning the geometry of the most active complexes, six coordination is the predominant mode even though in many cases the coordination sphere is filled with one or two water molecules (i.e., compounds 8, 11, 12, 13, 20, 21), even if given the high labile character of Zn(II) complexes and stereochemical non-rigidity, in solution or even in cell medium it is very probable to observe changes to higher C.N. or even further speciations. It’s worth noting that the design of binuclear, homo- and hetero-metallic derivates led to very active species such as 2, 10 and 44.
Probably due to the fact that DNA is considered the major target for Zn derivatives, anticancer activity has been rarely tested against Pt-resistant cancer cell lines. Interestingly, when reported, cytotoxicity data towards healthy cell lines showed a good selectivity for tumoral cell line with SI values up to 30. Anyway, notwithstanding the promising IC50 and SI values, none of the complexes reported in Table 13 were validated in in vivo tests. In our survey, only 2 papers [101,218] report some in vivo data. In particular, complex 5a, showing high antitumor activity against HepG2 and SMMC-7721 cell lines and low toxicity in ICR mice, might represent a potential new approach for the treatment of hepatocellular carcinoma. Concerning the phthalocyanine 42a incorporated into T1107, its ability to reduce the tumor growth of PDT treated colon carcinoma in mice without inducing systemic and tissue toxicity makes it a potential clinical candidate for the treatment of colorectal cancer.
Considering that antiproliferative activity in vitro is not predictive of an activity in vivo, it would be desirable an effort to perform in vivo experiments with the most promising candidates to effectively evaluate the potential of Zn-based anticancer agents.
In addition to the complexes showing micromolar or sub-micromolar anticancer activity, a handful of compounds (1a, 4b, 5a, 7, 9, 18a, 19a, 19b, 24b, 34) exhibited a noticeable antitumor activity with IC50 values of 10–20 µM, whereas the remaining ones showed a moderate/low activity.
The surveyed complexes represent a fraction out of all coordination zinc complexes tested as antitumor agents, i.e., only complexes containing N-donor ligands, which, anyway, include many important classes of ligands such as terpyridine, diimine, Schiff bases, pyrazolates and so on. Looking critically at these data, in particular the cytotoxic activity in vitro, without making any considerations on action mechanisms and proposed targets, we can summarize some general findings that could be useful for the future research in this field. As far as the chemical structure is concerned, among the different geometries which Zn can adopt, hexa- and penta-coordination are by far the most common situations for active compounds differently from zinc proteins where tetrahedral coordination, frequently slightly distorted, is the preferred geometry. The hapticity of the ligands is not decisive for the activity of the final complex, whereas the frequent presence of water molecules in the coordination sphere can allow an easy exchange with biological substrates. The use of active ligands does not always determine an increase of cytotoxicity upon coordination. From studies carried on with analogous complexes of different bivalent metal (such as Ni(II), Cu(II), Co(II), Fe(II), Mn(II)), it very often came out that zinc derivatives were less active, suggesting a minor effect of the metal compared to other metals.
As reported in the Introduction, the development of a zinc- based strategy against cancer can have two opposite approaches: (i) chelation therapy for zinc removal or (ii) use of zinc derivatives to increase its concentration in the tumor cells. In the latter case, the aim can be merely to restore Zn deficiency by using ionophore systems or, as in the case of the surveyed coordination complexes, to exert an antitumor activity acting on specific targets. From the above considerations, it seems that, excluding the use of hypotoxic Zn as a carrier of photoactive species for PDT or of active ligands, the antitumor efficacy of Zn-coordination complexes is not so appealing in comparison to other metal-based derivatives. The concentration of Zn in cells is probably so (relatively) high, that small variations do not induce an antiproliferative action of the metal unless specific mechanisms are involved. The reported studies have been mainly focused on DNA or HAS interactions, even though TOPO-I-II, p53, nuclease have been proposed as alternative targets. In our opinion, to obtain more performants agents more detailed studies on potential targets should be pursued. Another aspect, which should be evaluated, is the possibility to use the low active, but at the same time low toxic zinc derivatives in combination with other chemotherapeutic agents to reduce their side effects.
An in-depth analysis concerning all the classes of zinc coordination complexes, not only those with N-donor ligands, is in progress to confirm the above general considerations.
Supplementary Materials
The following are available online, Table S1: Studies performed to determine the mechanism of action of selected zinc(II) complexes.
Funding
This research was funded by the University of Camerino (FAR 2018 and 2019).
Acknowledgments
We are grateful to CIRCMSB (Consorzio Interuniversitario di Ricerca in Chimica dei Metalli nei Sistemi Biologici).
Conflicts of Interest
The authors declare no conflict of interest.
Abbreviations
| ambaf | 2-[N-(1Hbenzimidazol-2-ylmethyl)ethanimidoyl]aniline |
| amphen | 5-amine-1,10-phenanthroline |
| apyepy | 2-(pyridin-2-yl)-N-[1-(pyridin-2-yl)ethylidene]-ethanamine |
| Bphen | 4,7-diphenyl-1,10-phenanthroline |
| bib | 1,3-bis(imidazol-1-yl)benzene |
| bip | 3,5-bis(1-imidazoly)pyridine |
| bpy | 2,2-bipyridine |
| CT | calf thymus |
| cisplatin | cis-diamminedichloroplatinum(II) |
| dmoPTA | 3,7-dimethyl-1,3,7-triaza-5-phosphabicyclo[3.3.1]nonane |
| H2bdc | 1,4-dicarboxybenzene |
| H2tib | 1,3,5-tris(1-imidazolyl)benzene |
| HMFN | mefenamic acid |
| Hnor | norharmane |
| HNPR | naproxen |
| HPV | human papilloma virus |
| HSA | human serum albumin |
| IC50 | concentration affording 50% of inhibition |
| Ida | iminodiacetate |
| MOCs | metal-organic chains |
| NaNPR | sodium naproxen |
| NH2-H2bdc | 2-amino-1,4-dicarboxybenzene |
| NSAID | non-steroidal anti-inflammatory drug |
| NVC | novocidin |
| Pcs | phthalocyanines |
| Pdc | 2,6-pyridine dicarboxylate |
| PDT | photodynamic therapy |
| phen | 1,10-phenantroline |
| phendione | 1,10-phenanthroline-5,6-dione |
| ROS | reactive oxygen species |
| Sal-Gly | N-salicylideneglycinate |
| SARs | structure-activity relationships |
Acronyms of Cell Lines Cited in This Review
| A2780 | human ovarian carcinoma |
| A-375 | human melanoma |
| A-549 | human alveolar basal epithelial cancer |
| B16-F10 | mus musculus skin melanoma |
| BEAS-2B | human lung epithelial cancer |
| Bel-7402 | human liver carcinoma |
| Bel-7404 | human hepatoma |
| Bel-7042 | human hepatocellular carcinoma |
| BJ-hTer | human fibroblast |
| BGC823 | human gastric cancer |
| CT26 | murine colon carcinoma |
| Du-145 | human prostate carcinoma |
| Eca-109 | squamous carcinoma |
| HBL-100 | human breast |
| HCT-116 | human colon carcinoma |
| HeLa | human cervical carcinoma |
| Hep-G2 | human hepatocellular carcinoma |
| HL-60 | human promyelocytic leukemia |
| HL-7702 | normal human liver |
| HT018 | human colon cancer |
| HT-29 | human colon carcinoma |
| Jurcat | human T lymphocyte |
| K562 | human chronic myelogenous leukemia |
| KB | human cervix carcinoma |
| L5178Y | mouse T-cell lymphoma |
| LO2 | human immortal hepatic cell line |
| MCF-7 | human breast carcinoma |
| MDA-MB-231 | human breast carcinoma |
| MES-SA | human uterine sarcoma |
| MES-SA/Dx5 | multi drug-resistant cell line derived from the MES-SA |
| MGC-803 | gastric cancer |
| MRC-5 | normal lung tissue |
| NCI-H460 | human non-small cell lung carcinoma |
| NHDF | normal human dermal fibroblasts |
| P4 | human foreskin fibroblasts |
| PANC-1 | human pancreatic cancer cell line |
| PBMC | peripheral blood mononuclear cells |
| PC-3 | human prostatic carcinoma |
| PI3K | phosphatidylinositol 3-kinase |
| PNT1A | human immortalized prostatic cell line |
| QBC939 | human cholangiocarcinoma (resistant to cisplatin) |
| RAW 264.7 | mouse macrophage |
| RL952 | human endometrial carcinoma |
| SH-SY5Y | human neuroblastoma |
| SK-MEL-1 | human melanoma |
| SK-OV-3 | human ovarian cancer cell line |
| SMMC-7721 | human hepatocellular carcinoma |
| SW1573 | human lung |
| T-47D | human breast |
| U-251 | malignant glioblastoma |
| V79 | Chinese hamster lung fibroblasts |
| WiDr | human colon carcinoma |
References
- National Institutes of Health. Zinc—Fact Sheet for Health Professionals. Available online: https://ods.od.nih.gov/factsheets/Zinc-HealthProfessional/ (accessed on 8 December 2020).
- Crichton, R. Chapter 12—Zinc—Lewis Acid and Gene Regulator. In Biological Inorganic Chemistry, 3rd ed.; Crichton, R., Ed.; Academic Press: Cambridge, MA, USA, 2019; pp. 339–362. [Google Scholar]
- Crichton, R. Chapter 22—Metals in Medicine and Metals as Drugs. In Biological Inorganic Chemistry, 3rd ed.; Crichton, R., Ed.; Academic Press: Cambridge, MA, USA, 2019; pp. 599–623. [Google Scholar]
- Finney, L.A.; O’Halloran, T.V. Transition metal speciation in the cell: Insights from the chemistry of metal ion receptors. Science 2003, 300, 931–936. [Google Scholar] [CrossRef]
- Turel, I.; Kljun, J. Interactions of metal ions with DNA, its constituents and derivatives, which may be relevant for anticancer research. Curr. Top. Med. Chem. 2011, 11, 2661–2687. [Google Scholar] [CrossRef] [PubMed]
- Tatineni, V.; An, J.Y.; Leffew, M.R.; Mahesh, S.A. Anemia from A to zinc: Hypocupremia in the setting of gastric bypass and zinc excess. Clin. Case Rep. 2020, 8, 745–750. [Google Scholar] [CrossRef] [PubMed]
- Haase, H.; Rink, L. Multiple impacts of zinc on immune function. Metallomics 2014, 6, 1175–1180. [Google Scholar] [CrossRef] [PubMed]
- Kolenko, V.; Teper, E.; Kutikov, A.; Uzzo, R. Zinc and zinc transporters in prostate carcinogenesis. Nat. Rev. Urol. 2013, 10, 219–226. [Google Scholar] [CrossRef] [PubMed]
- Vallee, B.L.; Falchuk, K.H. The biochemical basis of zinc physiology. Physiol. Rev. 1993, 73, 79–118. [Google Scholar] [CrossRef]
- Costello, L.C.; Fenselau, C.C.; Franklin, R.B. Evidence for operation of the direct zinc ligand exchange mechanism for trafficking, transport, and reactivity of zinc in mammalian cells. J. Inorg. Biochem. 2011, 105, 589–599. [Google Scholar] [CrossRef]
- Krężel, A.; Maret, W. The biological inorganic chemistry of zinc ions. Arch. Biochem. Biophys. 2016, 611, 3–19. [Google Scholar] [CrossRef]
- Pettinari, C.; Lorenzotti, A.; Pellei, M.; Santini, C. Zinc(II), cadmium(II) and mercury(II) derivatives of bis(4-halopyrazol-1-yl)alkanes: Synthesis, spectroscopic characterization and behaviour in solution. Polyhedron 1997, 16, 3435–3445. [Google Scholar] [CrossRef]
- Adhikari, S.; Bhattacharjee, T.; Butcher, R.J.; Porchia, M.; De Franco, M.; Marzano, C.; Gandin, V.; Tisato, F. Synthesis and characterization of mixed-ligand Zn(II) and Cu(II) complexes including polyamines and dicyano-dithiolate(2-): In vitro cytotoxic activity of Cu(II) compounds. Inorg. Chim. Acta 2019, 498, 119098. [Google Scholar] [CrossRef]
- Emami, S.; Hosseinimehr, S.J.; Taghdisi, S.M.; Akhlaghpoor, S. Kojic acid and its manganese and zinc complexes as potential radioprotective agents. Bioorg. Med. Chem. Lett. 2007, 17, 45–48. [Google Scholar] [CrossRef] [PubMed]
- Jiang, Z.; Shao, J.; Yang, T.; Wang, J.; Jia, L. Pharmaceutical development, composition and quantitative analysis of phthalocyanine as the photosensitizer for cancer photodynamic therapy. J. Pharm. Biomed. Anal. 2014, 87, 98–104. [Google Scholar] [CrossRef] [PubMed]
- Nakayama, A.; Hiromura, M.; Adachi, Y.; Sakurai, H. Molecular mechanism of antidiabetic zinc-allixin complexes: Regulations of glucose utilization and lipid metabolism. J. Biol. Inorg. Chem. 2008, 13, 675–684. [Google Scholar] [CrossRef] [PubMed]
- Sakurai, H.; Yoshikawa, Y.; Yasui, H. Current state for the development of metallopharmaceutics and anti-diabetic metal complexes. Chem. Soc. Rev. 2008, 37, 2383–2392. [Google Scholar] [CrossRef] [PubMed]
- Sakurai, H.; Kojima, Y.; Yoshikawa, Y.; Kawabe, K.; Yasui, H. Antidiabetic vanadium(IV) and zinc(II) complexes. Coord. Chem. Rev. 2002, 226, 187–198. [Google Scholar] [CrossRef]
- D’Angelo, J.; Morgant, G.; Ghermani, N.E.; Desmaële, D.; Fraisse, B.; Bonhomme, F.; Dichi, E.; Sghaier, M.; Li, Y.; Journaux, Y.; et al. Crystal structures and physico-chemical properties of Zn(II) and Co(II) tetraaqua(3-nitro-4-hydroxybenzoato) complexes: Their anticonvulsant activities as well as related (5-nitrosalicylato)-metal complexes. Polyhedron 2008, 27, 537–546. [Google Scholar] [CrossRef]
- Zhou, Q.; Hambley, T.W.; Kennedy, B.J.; Lay, P.A.; Turner, P.; Warwick, B.; Biffin, J.R.; Regtop, H.L. Syntheses and characterization of anti-inflammatory dinuclear and mononuclear zinc indomethacin complexes. Crystal structures of [Zn2(indomethacin)4(L)2] (L = N,N-dimethylacetamide, pyridine, 1-methyl-2-pyrrolidinone) and [Zn(indomethacin)2(L1)2] (L1 = ethanol, methanol). Inorg. Chem. 2000, 39, 3742–3748. [Google Scholar]
- Kasuga, N.C.; Sekino, K.; Ishikawa, M.; Honda, A.; Yokoyama, M.; Nakano, S.; Shimada, N.; Koumo, C.; Nomiya, K. Synthesis, structural characterization and antimicrobial activities of 12 zinc(II) complexes with four thiosemicarbazone and two semicarbazone ligands. J. Inorg. Biochem. 2003, 96, 298–310. [Google Scholar] [CrossRef]
- Li, Z.Q.; Wu, F.J.; Gong, Y.; Hu, C.W.; Zhang, Y.H.; Gan, M.Y. Synthesis, characterization and activity against Staphylococcus of metal(II)-gatifloxacin complexes. Chin. J. Chem. 2007, 25, 1809–1814. [Google Scholar] [CrossRef]
- Chen, Z.F.; Xiong, R.G.; Zhang, J.; Chen, X.T.; Xue, Z.L.; You, X.Z. 2D molecular square grid with strong blue fluorescent emission: A complex of norfloxacin with zinc(II). Inorg. Chem. 2001, 40, 4075–4077. [Google Scholar] [CrossRef]
- López-Gresa, M.P.; Ortiz, R.; Perelló, L.; Latorre, J.; Liu-González, M.; García-Granda, S.; Pérez-Priede, M.; Cantón, E. Interactions of metal ions with two quinolone antimicrobial agents (cinoxacin and ciprofloxacin): Spectroscopic and X-ray structural characterization. Antibacterial studies. J. Inorg. Biochem. 2002, 92, 65–74. [Google Scholar] [CrossRef]
- Xiao, D.R.; Wang, E.B.; An, H.Y.; Su, Z.M.; Li, Y.G.; Gao, L.; Sun, C.Y.; Xu, L. Rationally designed, polymeric, extended metal-ciprofloxacin complexes. Chem.-Eur. J. 2005, 11, 6673–6686. [Google Scholar] [CrossRef] [PubMed]
- Tarushi, A.; Lafazanis, K.; Kljun, J.; Turel, I.; Pantazaki, A.A.; Psomas, G.; Kessissoglou, D.P. First- and second-generation quinolone antibacterial drugs interacting with zinc(II): Structure and biological perspectives. J. Inorg. Biochem. 2013, 121, 53–65. [Google Scholar] [CrossRef] [PubMed]
- Tarushi, A.; Karaflou, Z.; Kljun, J.; Turel, I.; Psomas, G.; Papadopoulos, A.N.; Kessissoglou, D.P. Antioxidant capacity and DNA-interaction studies of zinc complexes with a non-steroidal anti-inflammatory drug, mefenamic acid. J. Inorg. Biochem. 2013, 128, 85–96. [Google Scholar] [CrossRef] [PubMed]
- Tarushi, A.; Totta, X.; Papadopoulos, A.; Kljun, J.; Turel, I.; Kessissoglou, D.P.; Psomas, G. Antioxidant activity and interaction with DNA and albumins of zinc-tolfenamato complexes. Crystal structure of [Zn(tolfenamato) 2(2,2′-dipyridylketoneoxime)2]. Eur. J. Med. Chem. 2014, 74, 187–198. [Google Scholar] [CrossRef] [PubMed]
- Kovala-Demertzi, D.; Yadav, P.N.; Wiecek, J.; Skoulika, S.; Varadinova, T.; Demertzis, M.A. Zinc(II) complexes derived from pyridine-2-carbaldehyde thiosemicarbazone and (1E)-1-pyridin-2-ylethan-1-one thiosemicarbazone. Synthesis, crystal structures and antiproliferative activity of zinc(II) complexes. J. Inorg. Biochem. 2006, 100, 1558–1567. [Google Scholar] [CrossRef]
- Belicchi Ferrari, M.; Bisceglie, F.; Pelosi, G.; Tarasconi, P.; Albertini, R.; Pinelli, S. New methyl pyruvate thiosemicarbazones and their copper and zinc complexes: Synthesis, characterization, X-ray structures and biological activity. J. Inorg. Biochem. 2001, 87, 137–147. [Google Scholar] [CrossRef]
- Trávníček, Z.; Kryštof, V.; Šipl, M. Zinc(II) complexes with potent cyclin-dependent kinase inhibitors derived from 6-benzylaminopurine: Synthesis, characterization, X-ray structures and biological activity. J. Inorg. Biochem. 2006, 100, 214–225. [Google Scholar] [CrossRef]
- Di Vaira, M.; Bazzicalupi, C.; Orioli, P.; Messori, L.; Bruni, B.; Zatta, P. Clioquinol, a drug for Alzheimer’s disease specifically interfering with brain metal metabolism: Structural characterization of its zinc(II) and copper(II) complexes. Inorg. Chem. 2004, 43, 3795–3797. [Google Scholar] [CrossRef]
- Ong, Y.C.; Roy, S.; Andrews, P.C.; Gasser, G. Metal Compounds against Neglected Tropical Diseases. Chem. Rev. 2019, 119, 730–796. [Google Scholar] [CrossRef]
- Franklin, R.B.; Costello, L.C. The Important Role of the Apoptotic Effects of Zinc in the Development of Cancers. J. Cell. Biochem. 2009, 106, 750–757. [Google Scholar] [CrossRef] [PubMed]
- Federico, A.; Iodice, P.; Federico, P.; Del Rio, A.; Mellone, M.C.; Catalano, G.; Federico, P. Effects of selenium and zinc supplementation on nutritional status in patients with cancer of digestive tract. Eur. J. Clin. Nutr. 2001, 55, 293–297. [Google Scholar] [CrossRef] [PubMed]
- Prasad, A.S.; Beck, F.W.J.; Doerr, T.D.; Shamsa, F.H.; Penny, H.S.; Marks, S.C.; Kaplan, J.; Kucuk, O.; Mathog, R.H. Nutritional and zinc status of head and neck cancer patients: An interpretive review. J. Am. Coll. Nutr. 1998, 17, 409–418. [Google Scholar] [CrossRef] [PubMed]
- Ye, R.; Tan, C.; Chen, B.; Li, R.; Mao, Z. Zinc-Containing Metalloenzymes: Inhibition by Metal-Based Anticancer Agents. Front. Chem. 2020, 8, 402. [Google Scholar] [CrossRef]
- Oteiza, P.I.; Clegg, M.S.; Zago, M.P.; Keen, C.L. Zinc deficiency induces oxidative stress and AP-1 activation in 3T3 cells. Free Radic. Biol. Med. 2000, 28, 1091–1099. [Google Scholar] [CrossRef]
- Ho, E. Zinc deficiency, DNA damage and cancer risk. J. Nutr. Biochem. 2004, 15, 572–578. [Google Scholar] [CrossRef]
- Golub, M.S.; Gershwin, M.E.; Hurley, L.S.; Hendrickx, A.G.; Saito, W.Y. Studies of marginal zinc deprivation in rhesus monkeys: Infant behavior. Am. J. Clin. Nutr. 1985, 42, 1229–1239. [Google Scholar] [CrossRef]
- Ali, M.M.; Frei, E.; Straub, J.; Breuer, A.; Wiessler, M. Induction of metallothionein by zinc protects from daunorubicin toxicity in rats. Toxicology 2002, 179, 85–93. [Google Scholar] [CrossRef]
- Costello, L.C.; Franklin, R.B. A comprehensive review of the role of zinc in normal prostate function and metabolism; and its implications in prostate cancer. Arch. Biochem. Biophys. 2016, 611, 100–112. [Google Scholar] [CrossRef]
- Orlov, A.P.; Orlova, M.A.; Trofimova, T.P.; Kalmykov, S.N.; Kuznetsov, D.A. The role of zinc and its compounds in leukemia. J. Biol. Inorg. Chem. 2018, 23, 347–362. [Google Scholar] [CrossRef]
- Hashemi, M.; Ghavami, S.; Eshraghi, M.; Booy, E.P.; Los, M. Cytotoxic effects of intra and extracellular zinc chelation on human breast cancer cells. Eur. J. Pharmacol. 2007, 557, 9–19. [Google Scholar] [CrossRef] [PubMed]
- Hegde, M.L.; Bharathi, P.; Suram, A.; Venugopal, C.; Jagannathan, R.; Poddar, P.; Srinivas, P.; Sambamurti, K.; Rao, K.J.; Scancar, J.; et al. Challenges associated with metal chelation therapy in alzheimer’s disease. J. Alzheimer’s Dis. 2009, 17, 457–468. [Google Scholar] [CrossRef] [PubMed]
- Franklin, R.B.; Zou, J.; Zheng, Y.; Naslund, M.J.; Costello, L.C. Zinc Ionophore (Clioquinol) Inhibition of Human ZIP1-Deficient Prostate Tumor Growth in the Mouse Ectopic Xenograft Model: A Zinc Approach for the Efficacious Treatment of Prostate Cancer. Int. J. Cancer Clin. Res. 2016, 3, 037. [Google Scholar] [CrossRef] [PubMed]
- Bhattacharyya, S.; Sarkar, A.; Dey, S.K.; Mukherjee, A. Effect of glucosamine conjugation to zinc(II) complexes of a bis-pyrazole ligand: Syntheses, characterization and anticancer activity. J. Inorg. Biochem. 2014, 140, 131–142. [Google Scholar] [CrossRef]
- Prasad, A.S.; Beck, F.W.; Snell, D.C.; Kucuk, O. Zinc in cancer prevention. Nutr. Cancer 2009, 61, 879–887. [Google Scholar] [CrossRef]
- Beraldo, H.; Gambino, D. The wide pharmacological versatility of semicarbazones, thiosemicarbozones and their metal complexes. Mini-Rev. Med. Chem. 2004, 4, 31–39. [Google Scholar]
- Zhang, S.Q.; Yu, X.F.; Zhang, H.B.; Peng, N.; Chen, Z.X.; Cheng, Q.; Zhang, X.L.; Cheng, S.H.; Zhang, Y. Comparison of the Oral Absorption, Distribution, Excretion, and Bioavailability of Zinc Sulfate, Zinc Gluconate, and Zinc-Enriched Yeast in Rats. Mol. Nutr. Food Res. 2018, 62, e170098. [Google Scholar]
- Rider, S.A.; Davies, S.J.; Jha, A.N.; Clough, R.; Sweetman, J.W. Bioavailability of co-supplemented organic and inorganic zinc and selenium sources in a white fishmeal-based rainbow trout (Oncorhynchus mykiss) diet. J. Anim. Physiol. Anim. Nutr. 2010, 94, 99–110. [Google Scholar] [CrossRef]
- Terenzi, A.; Fanelli, M.; Ambrosi, G.; Amatori, S.; Fusi, V.; Giorgi, L.; Turco Liveri, V.; Barone, G. DNA binding and antiproliferative activity toward human carcinoma cells of copper(ii) and zinc(ii) complexes of a 2,5-diphenyl[1,3,4]oxadiazole derivative. Dalton Trans. 2012, 41, 4389–4395. [Google Scholar] [CrossRef]
- Liguori, P.F.; Valentini, A.; Palma, M.; Bellusci, A.; Bernardini, S.; Ghedini, M.; Panno, M.L.; Pettinari, C.; Marchetti, F.; Crispini, A.; et al. Non-classical anticancer agents: Synthesis and biological evaluation of zinc(II) heteroleptic complexes. Dalton Trans. 2010, 39, 4205–4212. [Google Scholar] [CrossRef]
- Jiang, Q.; Zhu, J.; Zhang, Y.; Xiao, N.; Guo, Z. DNA binding property, nuclease activity and cytotoxicity of Zn(II) complexes of terpyridine derivatives. Biometals 2009, 22, 297–305. [Google Scholar] [CrossRef] [PubMed]
- Sanz Mendiguchia, B.; Pucci, D.; Mastropietro, T.F.; Ghedini, M.; Crispini, A. Non-classical anticancer agents: On the way to water soluble zinc(II) heteroleptic complexes. Dalton Trans. 2013, 42, 6768–6774. [Google Scholar] [CrossRef] [PubMed]
- Roguin, L.P.; Chiarante, N.; García Vior, M.C.; Marino, J. Zinc(II) phthalocyanines as photosensitizers for antitumor photodynamic therapy. Int. J. Biochem. Cell Biol. 2019, 114, 105575. [Google Scholar] [CrossRef] [PubMed]
- Kuzyniak, W.; Ermilov, E.A.; Atilla, D.; Gurek, A.G.; Nitzsche, B.; Derkow, K.; Hoffmann, B.; Steinemann, G.; Ahsen, V.; Hopfner, M. Tetra-triethyleneoxysulfonyl substituted zinc phthalocyanine for photodynamic cancer therapy. Photodiagn. Photodyn. Ther. 2016, 13, 148–157. [Google Scholar] [CrossRef] [PubMed]
- Karagöz, I.D.; Yilmaz, Y.; Sanusi, K. Anticancer Activity Study and Density Functional/Time-Dependent Density Functional Theory (DFT/TD-DFT) Calculations of 2(3),9(10),16(17),23(24)-Tetrakis-(6-Methylpyridin-2-Yloxy)Phthalocyaninato Zn(II). J. Fluoresc. 2020, 30, 1151–1160. [Google Scholar] [CrossRef]
- Qian, J.; Wang, L.; Gu, W.; Liu, X.; Tian, J.; Yan, S. Efficient double-strand cleavage of DNA mediated by Zn(ii)-based artificial nucleases. Dalton Trans. 2011, 40, 5617–5624. [Google Scholar] [CrossRef]
- Boseggia, E.; Gatos, M.; Lucatello, L.; Mancin, F.; Moro, S.; Palumbo, M.; Sissi, C.; Tecilla, P.; Tonellato, U.; Zagotto, G. Toward Efficient Zn(II)-Based Artificial Nucleases. J. Am. Chem. Soc. 2004, 126, 4543–4549. [Google Scholar] [CrossRef]
- Pucci, D.; Crispini, A.; Sanz Mendiguchia, B.; Pirillo, S.; Ghedini, M.; Morelli, S.; De Bartolo, L. Improving the bioactivity of Zn(II)-curcumin based complexes. Dalton Trans. 2013, 42, 9679–9687. [Google Scholar] [CrossRef]
- Lee, S.K.; Tan, K.W.; Ng, S.W. Zinc, copper and nickel derivatives of 2-[2-bromoethyliminomethyl]phenol as topoisomerase inhibitors exhibiting anti-proliferative and antimetastatic properties. RSC Adv. 2014, 4, 60280–60292. [Google Scholar] [CrossRef]
- Jannesari, Z.; Hadadzadeh, H.; Amirghofran, Z.; Simpson, J.; Khayamian, T.; Maleki, B. A mononuclear zinc(II) complex with piroxicam: Crystal structure, DNA- and BSA-binding studies; in vitro cell cytotoxicity and molecular modeling of oxicam complexes. Spectrochim. Acta Part A 2015, 136 Pt B, 1119–1133. [Google Scholar] [CrossRef]
- Tan, J.; Wang, B.; Zhu, L. DNA binding, cytotoxicity, apoptotic inducing activity, and molecular modeling study of quercetin zinc(II) complex. Bioorg. Med. Chem. 2009, 17, 614–620. [Google Scholar] [CrossRef] [PubMed]
- Singh, R.; Afzal, M.; Zaki, M.; Ahmad, M.; Tabassum, S.; Bharadwaj, P.K. Synthesis, structure elucidation and DFT studies of a new coumarin-derived Zn(ii) complex: In vitro DNA/HSA binding profile and pBR322 cleavage pathway. RSC Adv. 2014, 4, 43504–43515. [Google Scholar] [CrossRef]
- Gao, C.Y.; Qiao, X.; Ma, Z.Y.; Wang, Z.G.; Lu, J.; Tian, J.L.; Xu, J.Y.; Yan, S.P. Synthesis, characterization, DNA binding and cleavage, BSA interaction and anticancer activity of dinuclear zinc complexes. Dalton Trans. 2012, 41, 12220–12232. [Google Scholar] [CrossRef] [PubMed]
- Gandin, V.; Porchia, M.; Tisato, F.; Zanella, A.; Severin, E.; Dolmella, A.; Marzano, C. Novel Mixed-Ligand Copper(I) Complexes: Role of Diimine Ligands on Cytotoxicity and Genotoxicity. J. Med. Chem. 2013, 56, 7416–7430. [Google Scholar] [CrossRef] [PubMed]
- Winter, A.; Gottschaldt, M.; Newkome, G.R.; Schubert, U.S. Terpyridines and their complexes with first row transition metal ions: Cytotoxicity, nuclease activity and self-assembly of Biomacromolecules. Curr. Top. Med. Chem. 2012, 12, 158–175. [Google Scholar] [CrossRef]
- Medlycott, E.A.; Hanan, G.S. Designing tridentate ligands for ruthenium(ii) complexes with prolonged room temperature luminescence lifetimes. Chem. Soc. Rev. 2005, 34, 133–142. [Google Scholar] [CrossRef]
- Vaidyanathan, V.G.; Nair, B.U. Nucleobase oxidation of DNA by (terpyridyl)chromium(III) derivatives. Eur. J. Inorg. Chem. 2004, 2004, 1840–1846. [Google Scholar] [CrossRef]
- Manikandamathavan, V.M.; Weyhermüller, T.; Parameswari, R.P.; Sathishkumar, M.; Subramanian, V.; Nair, B.U. DNA/protein interaction and cytotoxic activity of imidazole terpyridine derived Cu(ii)/Zn(ii) metal complexes. Dalton Trans. 2014, 43, 13018–13031. [Google Scholar] [CrossRef]
- Pellei, M.; Pettinari, C.; Cingolani, A.; Lacche, A. On the interaction between imidazoles and zinc salts. The role of counterions and of substituents. Main Group Met. Chem. 2000, 23, 673–682. [Google Scholar] [CrossRef]
- Maura, P.; Claudio, P. On the interaction between imidazoles and cadmium salts. Comparison between cadmium and zinc complexes of imidazoles. Main Group Met. Chem. 2001, 24, 43–52. [Google Scholar]
- Huang, K.B.; Mo, H.Y.; Chen, Z.F.; Wei, J.H.; Liu, Y.C.; Liang, H. Isoquinoline derivatives Zn(II)/Ni(II) complexes: Crystal structures, cytotoxicity, and their action mechanism. Eur. J. Med. Chem. 2015, 100, 68–76. [Google Scholar] [CrossRef] [PubMed]
- Wang, F.Y.; Xi, Q.Y.; Huang, K.B.; Tang, X.M.; Chen, Z.F.; Liu, Y.C.; Liang, H. Crystal structure, cytotoxicity and action mechanism of Zn(II)/Mn(II) complexes with isoquinoline ligands. J. Inorg. Biochem. 2017, 169, 23–31. [Google Scholar] [CrossRef] [PubMed]
- Chen, Y.Q.; Liu, G.C.; Lin, H.Y.; Wang, X.L.; Gao, Q. Coordination polymers constructed from 2-(2-thienyl)imidazo[4,5-f]1,10-phenanthroline and isophthalate: Synthesis, characterization and luminescent property. J. Coord. Chem. 2010, 63, 1327–1338. [Google Scholar] [CrossRef]
- Liu, H.; Guo, Q.; Dong, J.; Wei, Q.; Zhang, H.; Sun, X.; Liu, C.; Li, L. Synthesis, crystal structure, and interaction with DNA and BSA of a chromium(III) complex with naph-gly Schiff base and 1,10-phenanthroline. J. Coord. Chem. 2015, 68, 1040–1053. [Google Scholar] [CrossRef]
- Jagadeesan, S.; Balasubramanian, V.; Baumann, P.; Neuburger, M.; Häussinger, D.; Palivan, C.G. Water-soluble Co(III) complexes of substituted phenanthrolines with cell selective anticancer activity. Inorg. Chem. 2013, 52, 12535–12544. [Google Scholar] [CrossRef] [PubMed]
- Wesselinova, D.; Neykov, M.; Kaloyanov, N.; Toshkova, R.; Dimitrov, G. Antitumour activity of novel 1,10-phenanthroline and 5-amino-1,10-phenanthroline derivatives. Eur. J. Med. Chem. 2009, 44, 2720–2723. [Google Scholar] [CrossRef] [PubMed]
- Ambika, S.; Arunachalam, S.; Arun, R.; Premkumar, K. Synthesis, nucleic acid binding, anticancer and antimicrobial activities of polymer-copper(ii) complexes containing intercalative phenanthroline ligand(DPQ). RSC Adv. 2013, 3, 16456–16468. [Google Scholar] [CrossRef]
- Anbu, S.; Kandaswamy, M.; Kamalraj, S.; Muthumarry, J.; Varghese, B. Phosphatase-like activity, DNA binding, DNA hydrolysis, anticancer and lactate dehydrogenase inhibition activity promoting by a new bis-phenanthroline dicopper(II) complex. Dalton Trans. 2011, 40, 7310–7318. [Google Scholar] [CrossRef]
- Roy, S.; Hagen, K.D.; Maheswari, P.U.; Lutz, M.; Spek, A.L.; Reedijk, J.; Van Wezel, G.P. Phenanthroline derivatives with improved selectivity as DNA-targeting anticancer or antimicrobial drugs. ChemMedChem 2008, 3, 1427–1434. [Google Scholar] [CrossRef]
- Segura, D.F.; Netto, A.V.G.; Frem, R.C.G.; Mauro, A.E.; Da Silva, P.B.; Fernandes, J.A.; Paz, F.A.A.; Dias, A.L.T.; Silva, N.C.; De Almeida, E.T.; et al. Synthesis and biological evaluation of ternary silver compounds bearing N,N-chelating ligands and thiourea: X-ray structure of [{Ag(bpy)(μ-tu)}2](NO3)2 (bpy = 2,2′-bipyridine; Tu = thiourea). Polyhedron 2014, 79, 197–206. [Google Scholar] [CrossRef]
- Waki, M.; Maegawa, Y.; Hara, K.; Goto, Y.; Shirai, S.; Yamada, Y.; Mizoshita, N.; Tani, T.; Chun, W.J.; Muratsugu, S.; et al. A solid chelating ligand: Periodic mesoporous organosilica containing 2,2′-bipyridine within the pore walls. J. Am. Chem. Soc. 2014, 136, 4003–4011. [Google Scholar] [CrossRef] [PubMed]
- Gao, E.J.; Sun, T.D.; Liu, S.H.; Ma, S.; Wen, Z.; Wang, Y.; Zhu, M.C.; Wang, L.; Gao, X.N.; Guan, F.; et al. Synthesis, characterization, interaction with DNA and cytotoxicity in vitro of novel pyridine complexes with Zn(II). Eur. J. Med. Chem. 2010, 45, 4531–4538. [Google Scholar] [CrossRef] [PubMed]
- Acilan, C.; Cevatemre, B.; Adiguzel, Z.; Karakas, D.; Ulukaya, E.; Ribeiro, N.; Correia, I.; Pessoa, J.C. Synthesis, biological characterization and evaluation of molecular mechanisms of novel copper complexes as anticancer agents. Biochim. Biophys. Acta Gen. Subj. 2017, 1861, 218–234. [Google Scholar] [CrossRef]
- Prisecaru, A.; McKee, V.; Howe, O.; Rochford, G.; McCann, M.; Colleran, J.; Pour, M.; Barron, N.; Gathergood, N.; Kellett, A. Regulating bioactivity of Cu2+ Bis-1,10-phenanthroline artificial metallonucleases with sterically functionalized pendant carboxylates. J. Med. Chem. 2013, 56, 8599–8615. [Google Scholar] [CrossRef] [PubMed]
- McGivern, T.J.P.; Afsharpour, S.; Marmion, C.J. Copper complexes as artificial DNA metallonucleases: From Sigman’s reagent to next generation anti-cancer agent? Inorg. Chim. Acta 2018, 472, 12–39. [Google Scholar] [CrossRef]
- Galindo-Murillo, R.; García-Ramos, J.C.; Ruiz-Azuara, L.; Cheatham, T.E.; Cortés-Guzmán, F. Intercalation processes of copper complexes in DNA. Nucleic Acids Res. 2015, 43, 5364–5376. [Google Scholar] [CrossRef] [PubMed]
- Pivetta, T.; Trudu, F.; Valletta, E.; Isaia, F.; Castellano, C.; Demartin, F.; Tuveri, R.; Vascellari, S.; Pani, A. Novel copper(II) complexes as new promising antitumour agents. A crystal structure of [Cu(1,10-phenanthroline-5,6-dione)2(OH2)(OClO3)](ClO4). J. Inorg. Biochem. 2014, 141, 103–113. [Google Scholar] [CrossRef]
- Ruiz-Azuara, L.; Bravo-Gómez, M.E. Copper compounds in cancer chemotherapy. Curr. Med. Chem. 2010, 17, 3606–3615. [Google Scholar] [CrossRef]
- Shi, X.; Chen, Z.; Wang, Y.; Guo, Z.; Wang, X. Hypotoxic copper complexes with potent anti-metastatic and anti-angiogenic activities against cancer cells. Dalton Trans. 2018, 47, 5049–5054. [Google Scholar] [CrossRef]
- Scalese, G.; Correia, I.; Benítez, J.; Rostán, S.; Marques, F.; Mendes, F.; Matos, A.P.; Costa Pessoa, J.; Gambino, D. Evaluation of cellular uptake, cytotoxicity and cellular ultrastructural effects of heteroleptic oxidovanadium(IV) complexes of salicylaldimines and polypyridyl ligands. J. Inorg. Biochem. 2017, 166, 162–172. [Google Scholar] [CrossRef]
- Barone, G.; Terenzi, A.; Lauria, A.; Almerico, A.M.; Leal, J.M.; Busto, N.; García, B. DNA-binding of nickel(II), copper(II) and zinc(II) complexes: Structure-affinity relationships. Coord. Chem. Rev. 2013, 257, 2848–2862. [Google Scholar] [CrossRef]
- Mari, C.; Pierroz, V.; Rubbiani, R.; Patra, M.; Hess, J.; Spingler, B.; Oehninger, L.; Schur, J.; Ott, I.; Salassa, L.; et al. DNA intercalating RuII polypyridyl complexes as effective photosensitizers in photodynamic therapy. Chem.-Eur. J. 2014, 20, 14421–14436. [Google Scholar] [CrossRef] [PubMed]
- Ambrosek, D.; Loos, P.F.; Assfeld, X.; Daniel, C. A theoretical study of Ru(II) polypyridyl DNA intercalators. Structure and electronic absorption spectroscopy of [Ru(phen)2(dppz)]2+ and [Ru(tap)2(dppz)]2+ complexes intercalated in guanine-cytosine base pairs. J. Inorg. Biochem. 2010, 104, 893–901. [Google Scholar] [CrossRef]
- Salimi, M.; Abdi, K.; Kandelous, H.M.; Hadadzadeh, H.; Azadmanesh, K.; Amanzadeh, A.; Sanati, H. Antiproliferative effects of copper(II)-polypyridyl complexes in breast cancer cells through inducing apoptosis. Biometals 2015, 28, 267–278. [Google Scholar] [CrossRef]
- Triki, S.; Gómez-García, C.J.; Ruiz, E.; Sala-Pala, J. Asymmetric azido-copper(II) bridges: Ferro- or antiferromagnetic? Experimental and theoretical magneto-structural studies. Inorg. Chem. 2005, 44, 5501–5508. [Google Scholar] [CrossRef] [PubMed]
- Thamilarasan, V.; Jayamani, A.; Sengottuvelan, N. Synthesis, molecular structure, biological properties and molecular docking studies on Mn(II), Co(II) and Zn(II) complexes containing bipyridine-azide ligands. Eur. J. Med. Chem. 2015, 89, 266–278. [Google Scholar] [CrossRef] [PubMed]
- Gao, E.; Sun, N.; Zhang, S.; Ding, Y.; Qiu, X.; Zhan, Y.; Zhu, M. Synthesis, structures, molecular docking, cytotoxicity and bioimaging studies of two novel Zn(II) complexes. Eur. J. Med. Chem. 2016, 121, 1–11. [Google Scholar] [CrossRef]
- Ni, L.; Wang, J.; Liu, C.; Fan, J.; Sun, Y.; Zhou, Z.; Diao, G. An asymmetric binuclear zinc(ii) complex with mixed iminodiacetate and phenanthroline ligands: Synthesis, characterization, structural conversion and anticancer properties. Inorg. Chem. Front. 2016, 3, 959–968. [Google Scholar] [CrossRef]
- Khan, R.A.; de Almeida, A.; Al-Farhan, K.; Alsalme, A.; Casini, A.; Ghazzali, M.; Reedijk, J. Transition-metal norharmane compounds as possible cytotoxic agents: New insights based on a coordination chemistry perspective. J. Inorg. Biochem. 2016, 165, 128–135. [Google Scholar] [CrossRef]
- Bhattacharyya, M.K.; Gogoi, A.; Chetry, S.; Dutta, D.; Verma, A.K.; Sarma, B.; Franconetti, A.; Frontera, A. Antiproliferative evaluation and supramolecular association in Mn(II) and Zn(II) bipyridine complexes: Combined experimental and theoretical studies. J. Inorg. Biochem. 2019, 200, 110803. [Google Scholar] [CrossRef]
- Selvakumar, B.; Rajendiran, V.; Uma Maheswari, P.; Stoeckli-Evans, H.; Palaniandavar, M. Structures, spectra, and DNA-binding properties of mixed ligand copper(II) complexes of iminodiacetic acid: The novel role of diimine co-ligands on DNA conformation and hydrolytic and oxidative double strand DNA cleavage. J. Inorg. Biochem. 2006, 100, 316–330. [Google Scholar] [CrossRef] [PubMed]
- Yuan, C.; Zhu, M.; Wang, Q.; Lu, L.; Xing, S.; Fu, X.; Jiang, Z.; Zhang, S.; Li, Z.; Li, Z.; et al. Potent and selective inhibition of T-cell protein tyrosine phosphatase (TCPTP) by a dinuclear copper(II) complex. Chem. Commun. 2012, 48, 1153–1155. [Google Scholar] [CrossRef] [PubMed]
- Zheng, L.; Yan, X.; Han, X.; Chen, H.; Lin, W.; Lee, F.S.C.; Wang, X. Identification of norharman as the cytotoxic compound produced by the sponge (Hymeniacidon perleve)-associated marine bacterium Pseudoalteromonas piscicida and its apoptotic effect on cancer cells. Biotechnol. Appl. Biochem. 2006, 44, 135–142. [Google Scholar] [PubMed]
- Morin, A.M. β-Carboline kindling of the benzodiazepine receptor. Brain Res. 1984, 321, 151–154. [Google Scholar] [CrossRef]
- Hoon, K.; Sablin, S.O.; Ramsay, R.R. Inhibition of monoamine oxidase A by β-Carboline derivatives. Arch. Biochem. Biophys. 1997, 337, 137–142. [Google Scholar]
- Funayama, Y.; Nishio, K.; Wakabayashi, K.; Nagao, M.; Shimoi, K.; Ohira, T.; Hasegawa, S.; Saijo, N. Effects of β- and γ-carboline derivatives on DNA topoisomerase activities. Mutat. Res. Fundam. Mol. Mech. Mutagenes. 1996, 349, 183–191. [Google Scholar] [CrossRef]
- Zhao, B.; Chen, X.Y.; Chen, Z.; Shi, W.; Cheng, P.; Yan, S.P.; Liao, D.Z. A porous 3D heterometal-organic framework containing both lanthanide and high-spin Fe(II) ions. Chem. Commun. 2009, 3113–3115. [Google Scholar] [CrossRef]
- Das, B.; Baruah, J.B. Assembling of copper(II) dipicolinate complexes. Polyhedron 2012, 31, 361–367. [Google Scholar] [CrossRef]
- Correia, I.; Roy, S.; Matos, C.P.; Borovic, S.; Butenko, N.; Cavaco, I.; Marques, F.; Lorenzo, J.; Rodríguez, A.; Moreno, V.; et al. Vanadium(IV) and copper(II) complexes of salicylaldimines and aromatic heterocycles: Cytotoxicity, DNA binding and DNA cleavage properties. J. Inorg. Biochem. 2015, 147, 134–146. [Google Scholar] [CrossRef]
- Matos, C.P.; Addis, Y.; Nunes, P.; Barroso, S.; Alho, I.; Martins, M.; Matos, A.P.A.; Marques, F.; Cavaco, I.; Costa Pessoa, J.; et al. Exploring the cytotoxic activity of new phenanthroline salicylaldimine Zn(II) complexes. J. Inorg. Biochem. 2019, 198, 110727. [Google Scholar] [CrossRef]
- Omar, M.M.; Abd El-Halim, H.F.; Khalil, E.A.M. Synthesis, characterization, and biological and anticancer studies of mixed ligand complexes with Schiff base and 2,2′-bipyridine. Appl. Organomet. Chem. 2017, 31, e3724. [Google Scholar] [CrossRef]
- Niu, C.; Zong, Z.; Zhang, X.; Wu, R.; Li, N.; Wang, H.; Bi, C.; Fan, Y. Synthesis, structures and biological activity of novel complexes with trifluorinated anthranilic acid derivatives. J. Mol. Struct. 2019, 1194, 42–47. [Google Scholar] [CrossRef]
- Panchsheela Ashok, U.; Prasad Kollur, S.; Prakash Arun, B.; Sanjay, C.; Shrikrishna Suresh, K.; Anil, N.; Vasant Baburao, H.; Markad, D.; Ortega Castro, J.; Frau, J.; et al. In vitro anticancer activity of 4(3H)-quinazolinone derived Schiff base and its Cu(II), Zn(II) and Cd(II) complexes: Preparation, X-ray structural, spectral characterization and theoretical investigations. Inorg. Chim. Acta 2020, 511, 119846. [Google Scholar] [CrossRef]
- Deb, J.; Lakshman, T.R.; Ghosh, I.; Jana, S.S.; Paine, T.K. Mechanistic studies of in vitro anti-proliferative and anti-inflammatory activities of the Zn(II)-NSAID complexes of 1,10-phenanthroline-5,6-dione in MDA-MB-231 cells. Dalton Trans. 2020, 49, 11375–11384. [Google Scholar] [CrossRef]
- Valladolid, J.; Hortigüela, C.; Busto, N.; Espino, G.; Rodríguez, A.M.; Leal, J.M.; Jalón, F.A.; Manzano, B.R.; Carbayo, A.; García, B. Phenanthroline ligands are biologically more active than their corresponding ruthenium(ii) arene complexes. Dalton Trans. 2014, 43, 2629–2645. [Google Scholar] [CrossRef]
- Bencini, A.; Lippolis, V. 1,10-Phenanthroline: A versatile building block for the construction of ligands for various purposes. Coord. Chem. Rev. 2010, 254, 2096–2180. [Google Scholar] [CrossRef]
- Lee, S.R. Critical Role of Zinc as Either an Antioxidant or a Prooxidant in Cellular Systems. Oxid. Med. Cell. Longev. 2018, 2018, 9156285. [Google Scholar] [CrossRef]
- Faidallah, H.M.; Khan, K.A.; Asiri, A.M. Synthesis and biological evaluation of new 3,5-di(trifluoromethyl)-1,2,4- triazolesulfonylurea and thiourea derivatives as antidiabetic and antimicrobial agents. J. Fluorine Chem. 2011, 132, 870–877. [Google Scholar] [CrossRef]
- Wang, Y.-L.; Zhang, X.; Meng, X.-M.; Li, X.; Bi, C.-F.; Fan, Y.-H. Synthesis, crystal structures and biological evaluation of three ternary copper(II) complexes with fluorinated anthranilic acid derivatives. Transit. Met. Chem. 2016, 41, 897–907. [Google Scholar] [CrossRef]
- Pathak, R.K.; Marrache, S.; Choi, J.H.; Berding, T.B.; Dhar, S. The prodrug platin-A: Simultaneous release of cisplatin and aspirin. Angew. Chem. Int. Ed. 2014, 53, 1963–1967. [Google Scholar] [CrossRef]
- Basu, U.; Banik, B.; Wen, R.; Pathak, R.K.; Dhar, S. The Platin-X series: Activation, targeting, and delivery. Dalton Trans. 2016, 45, 12992–13004. [Google Scholar] [CrossRef] [PubMed]
- Boodram, J.N.; McGregor, I.J.; Bruno, P.M.; Cressey, P.B.; Hemann, M.T.; Suntharalingam, K. Breast Cancer Stem Cell Potent Copper(II)-Non-Steroidal Anti-Inflammatory Drug Complexes. Angew. Chem. Int. Ed. 2016, 55, 2845–2850. [Google Scholar] [CrossRef] [PubMed]
- Lakshman, T.R.; Deb, J.; Paine, T.K. Anti-inflammatory activity and enhanced COX-2 selectivity of nitric oxide-donating zinc(II)-NSAID complexes. Dalton Trans. 2016, 45, 14053–14057. [Google Scholar] [CrossRef] [PubMed]
- Jarosz, M.; Szkaradek, N.; Marona, H.; Nowak, G.; Młyniec, K.; Librowski, T. Evaluation of anti-inflammatory and ulcerogenic potential of zinc–ibuprofen and zinc–naproxen complexes in rats. Inflammopharmacology 2017, 25, 653–663. [Google Scholar] [CrossRef]
- Banti, C.N.; Papatriantafyllopoulou, C.; Tasiopoulos, A.J.; Hadjikakou, S.K. New metalo-therapeutics of NSAIDs against human breast cancer cells. Eur. J. Med. Chem. 2018, 143, 1687–1701. [Google Scholar] [CrossRef]
- Hussain, A.; AlAjmi, M.F.; Rehman, M.T.; Amir, S.; Husain, F.M.; Alsalme, A.; Siddiqui, M.A.; AlKhedhairy, A.A.; Khan, R.A. Copper(II) complexes as potential anticancer and Nonsteroidal anti-inflammatory agents: In vitro and in vivo studies. Sci. Rep. 2019, 9, 1–17. [Google Scholar] [CrossRef]
- Lakshman, T.R.; Deb, J.; Ghosh, I.; Sarkar, S.; Paine, T.K. Combining anti-inflammatory and anti-proliferative activities in ternary metal-NSAID complexes of a polypyridylamine ligand. Inorg. Chim. Acta 2019, 486, 663–668. [Google Scholar] [CrossRef]
- Bodige, S.; MacDonnell, F.M. Synthesis of free and ruthenium coordinated 5,6-diamino-1,10-phenanthroline. Tetrahedron Lett. 1997, 38, 8159–8160. [Google Scholar] [CrossRef]
- Devereux, M.; Shea, D.O.; Kellett, A.; McCann, M.; Walsh, M.; Egan, D.; Deegan, C.; Kedziora, K.; Rosair, G.; Müller-Bunz, H. Synthesis, X-ray crystal structures and biomimetic and anticancer activities of novel copper(II)benzoate complexes incorporating 2-(4′-thiazolyl)benzimidazole (thiabendazole), 2-(2-pyridyl)benzimidazole and 1,10-phenanthroline as chelating nitrogen donor ligands. J. Inorg. Biochem. 2007, 101, 881–892. [Google Scholar] [PubMed]
- Ma, Z.; Lu, W.; Liang, B.; Pombeiro, A.J.L. Synthesis, characterization, photoluminescent and thermal properties of zinc(II) 4′-phenyl-terpyridine compounds. New J. Chem. 2013, 37, 1529–1537. [Google Scholar] [CrossRef]
- Fik, M.A.; Gorczyński, A.; Kubicki, M.; Hnatejko, Z.; Fedoruk-Wyszomirska, A.; Wyszko, E.; Giel-Pietraszuk, M.; Patroniak, V. 6,6″-Dimethyl-2,2′:6′,2″-terpyridine revisited: New fluorescent silver(I) helicates with in vitro antiproliferative activity via selective nucleoli targeting. Eur. J. Med. Chem. 2014, 86, 456–468. [Google Scholar] [CrossRef]
- Ma, Z.; Zhang, B.; Guedes Da Silva, M.F.C.; Silva, J.; Mendo, A.S.; Baptista, P.V.; Fernandes, A.R.; Pombeiro, A.J.L. Synthesis, characterization, thermal properties and antiproliferative potential of copper(II) 4′-phenyl-terpyridine compounds. Dalton Trans. 2016, 45, 5339–5355. [Google Scholar] [CrossRef] [PubMed]
- Liang, X.; Jiang, J.; Xue, X.; Huang, L.; Ding, X.; Nong, D.; Chen, H.; Pan, L.; Ma, Z. Synthesis, characterization, photoluminescence, anti-tumor activity, DFT calculations and molecular docking with proteins of zinc(ii) halogen substituted terpyridine compounds. Dalton Trans. 2019, 48, 10488–10504. [Google Scholar] [CrossRef] [PubMed]
- Zhang, Y.; Zhou, P.; Liang, B.; Huang, L.; Zhou, Y.; Ma, Z. Effects of counterions of colorful sandwich-type zinc(II) 4′-phenyl-terpyridine compounds on photoluminescent and thermal properties. J. Mol. Struct. 2017, 1146, 504–511. [Google Scholar] [CrossRef]
- Indumathy, R.; Radhika, S.; Kanthimathi, M.; Weyhermuller, T.; Unni Nair, B. Cobalt complexes of terpyridine ligand: Crystal structure and photocleavage of DNA. J. Inorg. Biochem. 2007, 101, 434–443. [Google Scholar] [CrossRef] [PubMed]
- Messori, L.; Marcon, G.; Innocenti, A.; Gallori, E.; Franchi, M.; Orioli, P. Molecular recognition of metal complexes by DNA: A comparative study of the interactions of the parent complexes [PtCl(TERPY)]Cl and [AuCl(TERPY)]Cl2 with double stranded DNA. Bioinorg. Chem. Appl. 2005, 2005, 239–253. [Google Scholar] [CrossRef] [PubMed]
- Gao, E.J.; Feng, Y.H.; Su, J.Q.; Meng, B.; Jia, B.; Qi, Z.Z.; Peng, T.T.; Zhu, M.C. Synthesis, characterization, DNA binding, apoptosis and molecular docking of three Mn(II), Zn(II) and Cu(II) complexes with terpyridine-based carboxylic acid. Appl. Organomet. Chem. 2018, 32, e4164. [Google Scholar] [CrossRef]
- Li, J.; Liu, R.; Jiang, J.; Liang, X.; Huang, L.; Huang, G.; Chen, H.; Pan, L.; Ma, Z. Zinc(II) terpyridine complexes: Substituent effect on photoluminescence, antiproliferative activity, and DNA interaction. Molecules 2019, 24, 4519. [Google Scholar] [CrossRef]
- Malarz, K.; Zych, D.; Kuczak, M.; Musiol, R.; Mrozek-Wilczkiewicz, A. Anticancer activity of 4′-phenyl-2,2′:6′,2′′-terpyridines—Behind the metal complexation. Eur. J. Med. Chem. 2020, 189, 112039. [Google Scholar] [CrossRef]
- Soldatović, T.V.; Selimović, E.; Šmit, B.; Ašanin, D.; Planojević, N.S.; Marković, S.D.; Puchta, R.; Alzoubi, B.M. Interactions of zinc(II) complexes with 5′-GMP and their cytotoxic activity. J. Coord. Chem. 2019, 72, 690–706. [Google Scholar] [CrossRef]
- Zhang, Y.-P.; Ma, Z.-Y.; Gao, C.-Y.; Qiao, X.; Tian, J.-L.; Gu, W.; Liu, X.; Xu, J.-Y.; Zhao, J.-Z.; Yan, S.-P. Two dpa-based zinc(ii) complexes as potential anticancer agents: Nuclease activity, cytotoxicity and apoptosis studies. New J. Chem. 2016, 40, 7513–7521. [Google Scholar] [CrossRef]
- Zhang, Z.; Pang, H.; Ma, H.; Li, S.; Zhao, C. pH-Directed assembly of four polyoxometalate-based supramolecular hybrids by using tritopic bridging ligand 1,3,5-tris-(1-imidazolyl)-benzene: Structures and electrocatalytic properties. Solid State Sci. 2018, 75, 1–8. [Google Scholar] [CrossRef]
- Li, Y.L.; Zhao, Y.; Kang, Y.S.; Liu, X.H.; Sun, W.Y. Syntheses, Structures, and Sorption Properties of Metal-Organic Frameworks with 1,3,5-Tris(1-imidazolyl)benzene and Tricarboxylate Ligands. Cryst. Growth Des. 2016, 16, 7112–7123. [Google Scholar] [CrossRef]
- Zhu, M.; Zhao, H.; Peng, T.; Su, J.; Meng, B.; Qi, Z.; Jia, B.; Feng, Y.; Gao, E. Structure and cytotoxicity of zinc (II) and cobalt (II) complexes based on 1,3,5-tris(1-imidazolyl) benzene. Appl. Organomet. Chem. 2019, 33, e4734. [Google Scholar] [CrossRef]
- Zhu, M.; Song, D.; Liu, N.; Wang, K.; Su, J.; Xiong, M.; Zhang, X.; Xu, Y.; Gao, E. Isomeric Effect on the anticancer Behavior of two Zinc (II) complexes based on 3,5-bis(1-imidazoly) pyridine: Experimental and Theoretical Approach. Appl. Organomet. Chem. 2019, 33, e4897. [Google Scholar] [CrossRef]
- Liu, X.-R.; Zhou, Y.; Li, H. Crystal structure and anti-liver cancer activity of two Zn(II) coordination polymers based on N-donor and O-donor co-ligands. Inorg. Nano-Met. Chem. 2019, 50, 162–169. [Google Scholar] [CrossRef]
- Langer, S.Z.; Arbilla, S.; Benavides, J.; Scatton, B. Zolpidem and alpidem: Two imidazopyridines with selectivity for omega 1- and omega 3-receptor subtypes. Adv. Biochem. Psychopharmacol. 1990, 46, 61–72. [Google Scholar]
- Boggs, S.; Elitzin, V.I.; Gudmundsson, K.; Martin, M.T.; Sharp, M.J. Kilogram-scale synthesis of the CXCR4 antagonist GSK812397. Org. Process. Res. Dev. 2009, 13, 781–785. [Google Scholar] [CrossRef]
- Jenkinson, S.; Thomson, M.; McCoy, D.; Edelstein, M.; Danehower, S.; Lawrence, W.; Wheelan, P.; Spaltenstein, A.; Gudmundsson, K. Blockade of X4-tropic HIV-1 cellular entry by GSK812397, a potent noncompetitive CXCR4 receptor antagonist. Antimicrob. Agents Chemother. 2010, 54, 817–824. [Google Scholar] [CrossRef]
- Choi, W.T.; Duggineni, S.; Xu, Y.; Huang, Z.; An, J. Drug discovery research targeting the CXC chemokine receptor 4 (CXCR4). J. Med. Chem. 2012, 55, 977–994. [Google Scholar] [CrossRef]
- Enguehard-Gueiffier, C.; Gueiffier, A. Recent progress in the pharmacology of imidazol[1,2-a]pyridines. Mini-Rev. Med. Chem. 2007, 7, 888–899. [Google Scholar] [CrossRef] [PubMed]
- Dam, J.; Ismail, Z.; Kurebwa, T.; Gangat, N.; Harmse, L.; Marques, H.M.; Lemmerer, A.; Bode, M.L.; de Koning, C.B. Synthesis of copper and zinc 2-(pyridin-2-yl)imidazo[1,2-a]pyridine complexes and their potential anticancer activity. Eur. J. Med. Chem. 2017, 126, 353–368. [Google Scholar] [CrossRef] [PubMed]
- Denny, W.A.; Rewcastle, G.W.; Baguley, B.C. Potential Antitumor Agents. 59. Structure-Activity Relationships for 2-Phenylbenzimidazole-4-carboxamides, a New Class of “Minimal” DNA-Intercalating Agents Which May Not Act via Topoisomerase II. J. Med. Chem. 1990, 33, 814–819. [Google Scholar] [CrossRef] [PubMed]
- Demirayak, Ş.; Abu Mohsen, U.; Çaǧri Karaburun, A. Synthesis and anticancer and anti-HIV testing of some pyrazino[1,2-a]benzimidazole derivatives. Eur. J. Med. Chem. 2002, 37, 255–260. [Google Scholar] [CrossRef]
- Sapra Sharma, P.; Sharma, R.; Tyagi, R. Inhibitors of cyclin dependent kinases: Useful targets for cancer treatment. Curr. Cancer Drug Targets 2008, 8, 53–75. [Google Scholar] [CrossRef]
- Apohan, E.; Yilmaz, U.; Yilmaz, O.; Serindag, A.; Küçükbay, H.; Yesilada, O.; Baran, Y. Synthesis, cytotoxic and antimicrobial activities of novel cobalt and zinc complexes of benzimidazole derivatives. J. Organomet. Chem. 2017, 828, 52–58. [Google Scholar] [CrossRef]
- Yılmaz, Ü.; Tekin, S.; Buğday, N.; Yavuz, K.; Küçükbay, H.; Sandal, S. Synthesis and evaluation of anticancer properties of novel benzimidazole ligand and their cobalt(II) and zinc(II) complexes against cancer cell lines A-2780 and DU-145. Inorg. Chim. Acta 2019, 495, 118977. [Google Scholar] [CrossRef]
- Rukk, N.S.; Kuz’mina, L.G.; Davydova, G.A.; Buzanov, G.A.; Retivov, V.M.; Belus, S.K.; Kozhukhova, E.I.; Barmashov, A.E.; Khrulev, A.A.; Simonova, M.A.; et al. Synthesis, structure and cytotoxicity of a zinc(II) bromide complex with caffeine. Mendeleev Commun. 2019, 29, 640–642. [Google Scholar] [CrossRef]
- Hamdani, H.E.; Amane, M.E. Preparation, spectral, antimicrobial properties and anticancer molecular docking studies of new metal complexes [M(caffeine)4](PF6)2; M = Fe(II), Co(II), Mn(II), Cd(II), Zn(II), Cu(II), Ni(II). J. Mol. Struct. 2019, 1184, 262–270. [Google Scholar] [CrossRef]
- Zhao, J.; Guo, Y.; Hu, J.; Yu, H.; Zhi, S.; Zhang, J. Potential anticancer activity of benzimidazole-based mono/dinuclear Zn(II) complexes towards human carcinoma cells. Polyhedron 2015, 102, 163–172. [Google Scholar] [CrossRef]
- Liu, S.; Cao, W.; Yu, L.; Zheng, W.; Li, L.; Fan, C.; Chen, T. Zinc(II) complexes containing bis-benzimidazole derivatives as a new class of apoptosis inducers that trigger DNA damage-mediated p53 phosphorylation in cancer cells. Dalton Trans. 2013, 42, 5932–5940. [Google Scholar] [CrossRef] [PubMed]
- Addison, A.W.; Burke, P.J. Synthesis of some imidazole- and pyrazole-derived chelating agents. J. Heterocycl. Chem. 1981, 18, 803–805. [Google Scholar] [CrossRef]
- Martin, N.; Bünzli, J.C.G.; McKee, V.; Piguet, C.; Hopfgartner, G. Self-Assembled Dinuclear Lanthanide Helicates: Substantial Luminescence Enhancement upon Replacing Terminal Benzimidazole Groups by Carboxamide Binding Units. Inorg. Chem. 1998, 37, 577–589. [Google Scholar] [CrossRef] [PubMed]
- Zhi, S.; Li, Y.; Qiang, J.; Hu, J.; Song, W.; Zhao, J. Synthesis and anticancer evaluation of benzo-N-heterocycles transition metal complexes against esophageal cancer cell lines. J. Inorg. Biochem. 2019, 201, 110816. [Google Scholar] [CrossRef]
- Brunet, P.; Wuest, J.D. Formal transfers of hydride from carbon-hydrogen bonds. Attempted generation of H2 by intramolecular protonolyses of the activated carbon-hydrogen bonds of dihydrobenzimidazoles. Can. J. Chem. 1996, 74, 689–696. [Google Scholar] [CrossRef]
- Gilbert, J.G.; Addison, A.W.; Prabakaran, P.; Butcher, R.J.; Bocelli, G. A novel paradigm for metal-induced ring flipping in the copper(II) complex of 1,2-bis(N-methylbenzimidazol-2′-yl)benzene triflate. Inorg. Chem. Commun. 2004, 7, 701–704. [Google Scholar] [CrossRef]
- Bheemanna, H.G.; Gayathri, V.; Gowda, N.M.N. Synthesis and characterisation of palladium(II) complexes with 1,2-bis(N-methylbenzimidazolyl)benzene. J. Chem. Res. 2006, 2006, 530–533. [Google Scholar] [CrossRef]
- Su, W.-Y.; Pan, R.-K.; Song, J.-L.; Li, G.-B.; Liu, S.-G. Synthesis, crystal structures and cytotoxic activity of two zinc(II) complexes derived from benzimidazole derivatives. Polyhedron 2019, 161, 268–275. [Google Scholar] [CrossRef]
- Pan, R.-K.; Song, J.-L.; Li, G.-B.; Lin, S.-Q.; Liu, S.-G.; Yang, G.-Z. Copper(II), cobalt(II) and zinc(II) complexes based on a tridentate bis(benzimidazole)pyridine ligand: Synthesis, crystal structures, electrochemical properties and antitumour activities. Transit. Met. Chem. 2017, 42, 253–262. [Google Scholar] [CrossRef]
- Da Silva, C.M.; Da Silva, D.L.; Modolo, L.V.; Alves, R.B.; De Resende, M.A.; Martins, C.V.B.; De Fátima, Â. Schiff bases: A short review of their antimicrobial activities. J. Adv. Res. 2011, 2, 1–8. [Google Scholar] [CrossRef]
- Saghatforoush, L.; Moeini, K.; Hosseini-Yazdi, S.A.; Mardani, Z.; Hajabbas-Farshchi, A.; Jameson, H.T.; Telfer, S.G.; Woollins, J.D. Theoretical and experimental investigation of anticancer activities of an acyclic and symmetrical compartmental Schiff base ligand and its Co(II), Cu(II) and Zn(II) complexes. RSC Adv. 2018, 8, 35625–35639. [Google Scholar] [CrossRef]
- Zhang, M.; Xian, D.M.; Li, H.H.; Zhang, J.C.; You, Z.L. Synthesis and structures of halo-substituted aroylhydrazones with antimicrobial activity. Aust. J. Chem. 2012, 65, 343–350. [Google Scholar] [CrossRef]
- Shanker, K.; Rohini, R.; Ravinder, V.; Reddy, P.M.; Ho, Y.P. Ru(II) complexes of N4 and N2O2 macrocyclic Schiff base ligands: Their antibacterial and antifungal studies. Spectrochim. Acta Part A 2009, 73, 205–211. [Google Scholar] [CrossRef] [PubMed]
- Taha, M.; Ismail, N.H.; Baharudin, M.S.; Lalani, S.; Mehboob, S.; Khan, K.M.; Yousuf, S.; Siddiqui, S.; Rahim, F.; Choudhary, M.I. Synthesis crystal structure of 2-methoxybenzoylhydrazones and evaluation of their α-glucosidase and urease inhibition potential. Med. Chem. Res. 2015, 24, 1310–1324. [Google Scholar] [CrossRef]
- Jing, C.; Wang, C.; Yan, K.; Zhao, K.; Sheng, G.; Qu, D.; Niu, F.; Zhu, H.; You, Z. Synthesis, structures and urease inhibitory activity of cobalt(III) complexes with Schiff bases. Bioorg. Med. Chem. 2016, 24, 270–276. [Google Scholar] [CrossRef]
- Song, W.J.; Cheng, J.P.; Jiang, D.H.; Guo, L.; Cai, M.F.; Yang, H.B.; Lin, Q.Y. Synthesis, interaction with DNA and antiproliferative activities of two novel Cu(II) complexes with Schiff base of benzimidazole. Spectrochim. Acta Part A 2014, 121, 70–76. [Google Scholar] [CrossRef]
- Raman, N.; Sakthivel, A.; Pravin, N. Exploring DNA binding and nucleolytic activity of few 4-aminoantipyrine based amino acid Schiff base complexes: A comparative approach. Spectrochim. Acta Part A 2014, 125, 404–413. [Google Scholar] [CrossRef]
- Wong, E.L.M.; Fang, G.S.; Che, C.M.; Zhu, N. Highly cytotoxic iron(II) complexes with pentadentate pyridyl ligands as a new class of anti-tumor agents. Chem. Commun. 2005, 4578–4580. [Google Scholar] [CrossRef]
- Hopcroft, N.H.; Brogden, A.L.; Searcey, M.; Cardin, C.J. X-ray crystallographic study of DNA duplex cross-linking: Simultaneous binding to two d(CGTACG)2 molecules by a bis(9-aminoacridine-4-carboxamide) derivative. Nucleic Acids Res. 2006, 34, 6663–6672. [Google Scholar] [CrossRef]
- Jayamani, A.; Sethupathi, M.; Ojwach, S.O.; Sengottuvelan, N. Synthesis, characterization and biomolecular interactions of Cu(II) and Ni(II) complexes of acyclic Schiff base ligand. Inorg. Chem. Commun. 2017, 84, 144–149. [Google Scholar] [CrossRef]
- Lodyga-Chruscinska, E.; Symonowicz, M.; Sykula, A.; Bujacz, A.; Garribba, E.; Rowinska-Zyrek, M.; Oldziej, S.; Klewicka, E.; Janicka, M.; Krolewska, K.; et al. Chelating ability and biological activity of hesperetin Schiff base. J. Inorg. Biochem. 2015, 143, 34–47. [Google Scholar] [CrossRef] [PubMed]
- Nanjundan, N.; Narayanasamy, R.; Geib, S.; Velmurugan, K.; Nandhakumar, R.; Balakumaran, M.D.; Kalaichelvan, P.T. Distorted tetrahedral bis-(N,S) bidentate Schiff base complexes of Ni(II), Cu(II) and Zn(II): Synthesis, characterization and biological studies. Polyhedron 2016, 110, 203–220. [Google Scholar] [CrossRef]
- Banerjee, A.; Guha, A.; Adhikary, J.; Khan, A.; Manna, K.; Dey, S.; Zangrando, E.; Das, D. Dinuclear cobalt(II) complexes of Schiff-base compartmental ligands: Syntheses, crystal structure and bio-relevant catalytic activities. Polyhedron 2013, 60, 102–109. [Google Scholar] [CrossRef]
- Sanyal, R.; Dash, S.K.; Kundu, P.; Mandal, D.; Roy, S.; Das, D. Novel bioinspired acetato-bridged dinuclear nickel(II)-Schiff-base complex: Catechol oxidase and in vitro biological activity studies. Inorg. Chim. Acta 2016, 453, 394–401. [Google Scholar] [CrossRef]
- Abu Al-Nasr, A.K.; Ramadan, R.M. Spectroscopic studies and biological activity of some transition metal complexes of unusual Schiff base. Spectrochim. Acta Part A 2013, 105, 14–19. [Google Scholar] [CrossRef]
- Renfrew, A.K.; O’Neill, E.S.; Hambley, T.W.; New, E.J. Harnessing the properties of cobalt coordination complexes for biological application. Coord. Chem. Rev. 2017, 375, 221–233. [Google Scholar] [CrossRef]
- Nithya, P.; Rajamanikandan, R.; Simpson, J.; Ilanchelian, M.; Govindarajan, S. Solvent assisted synthesis, structural characterization and biological evaluation of cobalt(II) and nickel(II) complexes of Schiff bases generated from benzyl carbazate and cyclic ketones. Polyhedron 2018, 145, 200–217. [Google Scholar] [CrossRef]
- Al-Saif, F.A.; Alibrahim, K.A.; Alfurhood, J.A.; Refat, M.S. Synthesis, spectroscopic, thermal, biological, morphological and molecular docking studies of the different quinolone drugs and their cobalt(II) complexes. J. Mol. Liq. 2018, 249, 438–453. [Google Scholar] [CrossRef]
- Morcelli, S.R.; Bull, É.S.; Terra, W.S.; Moreira, R.O.; Borges, F.V.; Kanashiro, M.M.; Bortoluzzi, A.J.; Maciel, L.L.F.; Almeida, J.C.D.A.; Júnior, A.H.; et al. Synthesis, characterization and antitumoral activity of new cobalt(II)complexes: Effect of the ligand isomerism on the biological activity of the complexes. J. Inorg. Biochem. 2016, 161, 73–82. [Google Scholar] [CrossRef]
- Jopp, M.; Becker, J.; Becker, S.; Miska, A.; Gandin, V.; Marzano, C.; Schindler, S. Anticancer activity of a series of copper(II) complexes with tripodal ligands. Eur. J. Med. Chem. 2017, 132, 274–281. [Google Scholar] [CrossRef]
- Sanz del Olmo, N.; Maroto-Díaz, M.; Gómez, R.; Ortega, P.; Cangiotti, M.; Ottaviani, M.F.; de la Mata, F.J. Carbosilane metallodendrimers based on copper (II) complexes: Synthesis, EPR characterization and anticancer activity. J. Inorg. Biochem. 2017, 177, 211–218. [Google Scholar] [CrossRef] [PubMed]
- Massoud, S.S.; Louka, F.R.; Ducharme, G.T.; Fischer, R.C.; Mautner, F.A.; Vančo, J.; Herchel, R.; Dvořák, Z.; Trávníček, Z. Copper(II) complexes based on tripodal pyrazolyl amines: Synthesis, structure, magnetic properties and anticancer activity. J. Inorg. Biochem. 2018, 180, 39–46. [Google Scholar] [CrossRef] [PubMed]
- Mardani, Z.; Kazemshoar-Duzduzani, R.; Moeini, K.; Hajabbas-Farshchi, A.; Carpenter-Warren, C.; Slawin, A.M.Z.; Woollins, J.D. Anticancer activities of a β-amino alcohol ligand and nanoparticles of its copper(II) and zinc(ii) complexes evaluated by experimental and theoretical methods. RSC Adv. 2018, 8, 28810–28824. [Google Scholar] [CrossRef]
- Martínez, V.R.; Aguirre, M.V.; Todaro, J.S.; Piro, O.E.; Echeverría, G.A.; Ferrer, E.G.; Williams, P.A.M. Azilsartan and its Zn(II) complex. Synthesis, anticancer mechanisms of action and binding to bovine serum albumin. Toxicol. Vitr. 2018, 48, 205–220. [Google Scholar]
- Adhikari, A.; Kumari, N.; Adhikari, M.; Kumar, N.; Tiwari, A.K.; Shukla, A.; Mishra, A.K.; Datta, A. Zinc complex of tryptophan appended 1,4,7,10-tetraazacyclododecane as potential anticancer agent: Synthesis and evaluation. Bioorg. Med. Chem. 2017, 25, 3483–3490. [Google Scholar] [CrossRef] [PubMed]
- Marandi, F.; Moeini, K.; Alizadeh, F.; Mardani, Z.; Quah, C.K.; Loh, W.S.; Woollins, J.D. Treatment of cadmium(II) and zinc(II) with N2-donor linkages in presence of β-diketone ligand; supported by structural, spectral, theoretical and docking studies. Inorg. Chim. Acta 2018, 482, 717–725. [Google Scholar] [CrossRef]
- Kathiresan, S.; Mugesh, S.; Annaraj, J.; Murugan, M. Mixed-ligand copper(II) Schiff base complexes: The vital role of co-ligands in DNA/protein interactions and cytotoxicity. New J. Chem. 2017, 41, 1267–1283. [Google Scholar] [CrossRef]
- Sankarganesh, M.; Dhaveethu Raja, J.; Adwin Jose, P.R.; Vinoth Kumar, G.G.; Rajesh, J.; Rajasekaran, R. Spectroscopic, Computational, Antimicrobial, DNA Interaction, In Vitro Anticancer and Molecular Docking Properties of Biochemically Active Cu(II) and Zn(II) Complexes of Pyrimidine-Ligand. J. Fluoresc. 2018, 28, 975–985. [Google Scholar] [CrossRef]
- Vieira, A.P.; Wegermann, C.A.; Da Costa Ferreira, A.M. Comparative studies of Schiff base-copper(ii) and zinc(ii) complexes regarding their DNA binding ability and cytotoxicity against sarcoma cells. New J. Chem. 2018, 42, 13169–13179. [Google Scholar] [CrossRef]
- AlAjmi, M.F.; Hussain, A.; Rehman, M.T.; Khan, A.A.; Shaikh, P.A.; Khan, R.A. Design, Synthesis, and Biological Evaluation of Benzimidazole-Derived Biocompatible Copper(II) and Zinc(II) Complexes as Anticancer Chemotherapeutics. Int. J. Mol. Sci. 2018, 19, 1492. [Google Scholar] [CrossRef]
- Shahraki, S.; Majd, M.H.; Heydari, A. Novel tetradentate Schiff base zinc(II) complex as a potential antioxidant and cancer chemotherapeutic agent: Insights from the photophysical and computational approach. J. Mol. Struct. 2019, 1177, 536–544. [Google Scholar] [CrossRef]
- Shahraki, S.; Heydari, A.; Delarami, H.S.; Oveisi Keikha, A.; Azizi, Z.; Fathollahi Zonouz, A. Preparation, characterization and comparison of biological potency in two new Zn(II) and Pd(II) complexes of butanedione monoxime derivatives. J. Biomol. Struct. Dyn. 2020, 38, 997–1011. [Google Scholar] [CrossRef] [PubMed]
- Satterfield, M.; Brodbelt, J.S. Relative binding energies of gas-phase pyridyl ligand/metal complexes by energy-variable collisionally activated dissociation in a quadrupole ion trap. Inorg. Chem. 2001, 40, 5393–5400. [Google Scholar] [CrossRef]
- Azam, M.; Wabaidur, S.M.; Alam, M.J.; Trzesowska-Kruszynska, A.; Kruszynski, R.; Alam, M.; Al-Resayes, S.I.; Dwivedi, S.; Khan, M.R.; Islam, M.S.; et al. Synthesis, structural investigations and pharmacological properties of a new zinc complex with a N4-donor Schiff base incorporating 2-pyridyl ring. Inorg. Chim. Acta 2019, 487, 97–106. [Google Scholar] [CrossRef]
- Holló, B.; Magyari, J.; Živković-Radovanović, V.; Vučković, G.; Tomić, Z.D.; Szilágyi, I.M.; Pokol, G.; Meszaros Szecsenyi, K. Synthesis, characterisation and antimicrobial activity of bis(phthalazine-1-hydrazone)-2,6-diacetylpyridine and its complexes with CoIII, NiII, CuII and ZnII. Polyhedron 2014, 80, 142–150. [Google Scholar] [CrossRef]
- Barta Holló, B.; Magyari, J.; Armaković, S.; Bogdanović, G.A.; Rodić, M.V.; Armaković, S.J.; Molnár, J.; Spengler, G.; Leovac, V.M.; Mészáros Szécsényi, K. Coordination compounds of a hydrazone derivative with Co(III), Ni(II), Cu(II) and Zn(II): Synthesis, characterization, reactivity assessment and biological evaluation. New J. Chem. 2016, 40, 5885–5895. [Google Scholar] [CrossRef]
- Milosavljevic, V.; Haddad, Y.; Rodrigo, M.A.M.; Moulick, A.; Polanska, H.; Hynek, D.; Heger, Z.; Kopel, P.; Adam, V. The Zinc-Schiff Base-Novicidin Complex as a Potential Prostate Cancer Therapy. PLoS ONE 2016, 11, e0163983. [Google Scholar] [CrossRef] [PubMed]
- Dorosz, J.; Gofman, Y.; Kolusheva, S.; Otzen, D.; Ben-Tal, N.; Nielsen, N.C.; Jelinek, R. Membrane interactions of novicidin, a novel antimicrobial peptide: Phosphatidylglycerol promotes bilayer insertion. J. Phys. Chem. B 2010, 114, 11053–11060. [Google Scholar] [CrossRef] [PubMed]
- Fernández, B.; Fernández, I.; Cepeda, J.; Medina-O’Donnell, M.; Rufino-Palomares, E.E.; Raya-Barón, Á.; Gómez-Ruiz, S.; Pérez-Jiménez, A.; Lupiáñez, J.A.; Reyes-Zurita, F.J.; et al. Modulating Anticancer Potential by Modifying the Structural Properties of a Family of Zinc Metal-Organic Chains Based on 4-Nitro-1H-pyrazole. Cryst. Growth Des. 2018, 18, 969–978. [Google Scholar] [CrossRef]
- Purtaş, S.; Köse, M.; Tümer, F.; Tümer, M.; Gölcü, A.; Ceyhan, G. A novel porphyrin derivative and its metal complexes: Electrochemical, photoluminescence, thermal, DNA-binding and superoxide dismutase activity studies. J. Mol. Struct. 2016, 1105, 293–307. [Google Scholar] [CrossRef]
- Ethirajan, M.; Chen, Y.; Joshi, P.; Pandey, R.K. The role of porphyrin chemistry in tumor imaging and photodynamic therapy. Chem. Soc. Rev. 2011, 40, 340–362. [Google Scholar] [CrossRef] [PubMed]
- Marino, J.; García Vior, M.C.; Dicelio, L.E.; Roguin, L.P.; Awruch, J. Photodynamic effects of isosteric water-soluble phthalocyanines on human nasopharynx KB carcinoma cells. Eur. J. Med. Chem. 2010, 45, 4129–4139. [Google Scholar] [CrossRef] [PubMed]
- Chiarante, N.; García Vior, M.C.; Awruch, J.; Marino, J.; Roguin, L.P. Phototoxic action of a zinc(II) phthalocyanine encapsulated into poloxamine polymeric micelles in 2D and 3D colon carcinoma cell cultures. J. Photochem. Photobiol. B 2017, 170, 140–151. [Google Scholar] [CrossRef] [PubMed]
- Chiarante, N.; García Vior, M.C.; Rey, O.; Marino, J.; Roguin, L.P. Lysosomal permeabilization and endoplasmic reticulum stress mediate the apoptotic response induced after photoactivation of a lipophilic zinc(II) phthalocyanine. Int. J. Biochem. Cell Biol. 2018, 103, 89–98. [Google Scholar] [CrossRef] [PubMed]
- Chiarante, N.; Duhalde Vega, M.; Valli, F.; Zotta, E.; Daghero, H.; Basika, T.; Bollati-Fogolin, M.; García Vior, M.C.; Marino, J.; Roguin, L.P. In Vivo Photodynamic Therapy With a Lipophilic Zinc(II) Phthalocyanine Inhibits Colorectal Cancer and Induces a Th1/CD8 Antitumor Immune Response. Lasers Surg. Med. 2020, 1–15. [Google Scholar] [CrossRef]
- Al-Jameel, S.S.; Youssef, T.E. Investigations on the antitumor activity of classical trifluoro-substituted zinc phthalocyanines derivatives. World J. Microbiol. Biotechnol. 2018, 34, 52. [Google Scholar] [CrossRef]
- Dhanaraj, C.J.; Johnson, J.; Joseph, J.; Joseyphus, R.S. Quinoxaline-based Schiff base transition metal complexes: Review. J. Coord. Chem. 2013, 66, 1416–1450. [Google Scholar] [CrossRef]
- Dhanaraj, C.J.; Hassan, I.U.; Johnson, J.; Joseph, J.; Joseyphus, R.S. Synthesis, spectral characterization, DNA interaction, anticancer and molecular docking studies on some transition metal complexes with bidentate ligand. J. Photochem. Photobiol. B 2016, 162, 115–124. [Google Scholar] [CrossRef]
- Mendoza, Z.; Lorenzo-Luis, P.; Scalambra, F.; Padrón, J.M.; Romerosa, A. One Step Up in Antiproliferative Activity: The Ru-Zn Complex [RuCp(PPh3)2-µ-dmoPTA-1κP:2κ2N,N′-ZnCl2](CF3SO3). Eur. J. Inorg. Chem. 2018, 2018, 4684–4688. [Google Scholar] [CrossRef]
- Mendoza, Z.; Lorenzo-Luis, P.; Scalambra, F.; Padrón, J.M.; Romerosa, A. Enhancement of the antiproliferative activity of [RuCp(PPh3)2(dmoPTA-1κP)]+: Via its coordination to one {CoCl2} unit: Synthesis, crystal structure and properties of [RuCp(PPh3)2-μ-dmoPTA-1κP:2κ2 N,N′-CoCl2](OTf)·0.25H2O. Dalton Trans. 2017, 46, 8009–8012. [Google Scholar] [CrossRef]
- Romerosa, A.; Campos-Malpartida, T.; Lidrissi, C.; Saoud, M.; Serrano-Ruiz, M.; Peruzzini, M.; Garrido-Cárdenas, J.A.; García-Maroto, F. Synthesis, characterization, and DNA binding of new water-soluble cyclopentadienyl ruthenium(II) complexes incorporating phosphines. Inorg. Chem. 2006, 45, 1289–1298. [Google Scholar] [CrossRef] [PubMed]
- Ríos-Luci, C.; León, L.G.; Mena-Cruz, A.; Pérez-Roth, E.; Lorenzo-Luis, P.; Romerosa, A.; Padrón, J.M. Antiproliferative activity of dmoPTA-Ru(II) complexes against human solid tumor cells. Bioorg. Med. Chem. Lett. 2011, 21, 4568–4571. [Google Scholar] [CrossRef] [PubMed]
- Mena-Cruz, A.; Lorenzo-Luis, P.; Romerosa, A.; Saoud, M.; Serrano-Ruiz, M. Synthesis of the water soluble ligands dmPTA and dmoPTA and the complex [RuClCp(HdmoPTA)(PPh3)](OSO2CF3) (dmPTA = N,N′-dimethyl-1,3,5-triaza-7-phosphaadamantane, dmoPTA = 3,7-dimethyl-1,3,7-triaza-5-phosphabicyclo[3.3.1]nonane, HdmoPTA = 3,7-H-3,7-dimethyl-1,3,7-triaza-5-phosphabicyclo[3.3.1]nonane). Inorg. Chem. 2007, 46, 6120–6128. [Google Scholar] [PubMed]
- Serrano-Ruiz, M.; Aguilera-Sáez, L.M.; Lorenzo-Luis, P.; Padrón, J.M.; Romerosa, A. Synthesis and antiproliferative activity of the heterobimetallic complexes [RuClCp(PPh3)-μ-dmoPTA-1κP:2κ2N,N′-MCl2] (M = Co, Ni, Zn; DmoPTA = 3,7-dimethyl-1,3,7-triaza-5-phosphabicyclo[3.3.1]nonane). Dalton Trans. 2013, 42, 11212–11219. [Google Scholar] [CrossRef]
- Mena-Cruz, A.; Lorenzo-Luis, P.; Passarelli, V.; Romerosa, A.; Serrano-Ruiz, M. Comparative study of [RuClCp(HdmoPTA-κP)(PPh3)][CF3SO3] and the heterobimetallic complexes [RuClCp(PPh3)-μ-dmoPTA-1κP:2κ2N,N′-M(acac-κ2O,O′)2] (M = Co, Ni, Zn; DmoPTA = 3,7-dimethyl-1,3,7-triaza-5-phosphabicyclo[3.3.1]nonane). Dalton Trans. 2011, 40, 3237–3244. [Google Scholar] [CrossRef]
- Mena-Cruz, A.; Lorenzo-Luis, P.; Romerosa, A.; Serrano-Ruiz, M. Water-soluble 3,7-dimethyl-1,3,7-triaza-5-phosphabicyclo[3.3.1]nonane (dmoPTA) as a polydentate ligand: Synthesis of [RuClCp(PPh3)-μ-dmoPTA-1κP:2κ2N,N′-Co(acac-κ2O, O′)2]·H2O. Inorg. Chem. 2008, 47, 2246–2248. [Google Scholar] [CrossRef]
- Mendoza, Z.; Lorenzo-Luis, P.; Serrano-Ruiz, M.; Martín-Batista, E.; Padrón, J.M.; Scalambra, F.; Romerosa, A. Synthesis and Antiproliferative Activity of [RuCp(PPh3)2(HdmoPTA)](OSO2CF3)2 (HdmoPTA = 3,7-H-3,7-Dimethyl-1,3,7-triaza-5-phosphabicyclo[3.3.1]nonane). Inorg. Chem. 2016, 55, 7820–7822. [Google Scholar] [CrossRef]
Publisher’s Note: MDPI stays neutral with regard to jurisdictional claims in published maps and institutional affiliations. |
© 2020 by the authors. Licensee MDPI, Basel, Switzerland. This article is an open access article distributed under the terms and conditions of the Creative Commons Attribution (CC BY) license (http://creativecommons.org/licenses/by/4.0/).






















