Abstract
The preparation of certain 2-(2-oxo-2H-chromen-4-yl)-N-substituted acetamides IIIa–h was planned as a step in the development of new modified nonsteroidal antiestrogens. The purity of target compounds IIIa–h was checked by thin-layer chromatography (TLC), and their structures were confirmed using various spectroscopic tools including IR, 1H-NMR, 13C-NMR, and MS spectroscopy. Viability tests were applied using 3-(4,5-dimethylthiazol-2-yl)-2,5-diphenyl tetrazolium bromide (MTT) assay to evaluate the cytotoxic effect of the synthesized compounds against two breast cancer cell lines, MCF-7 and MDA-MB-231. Compound IIIb proved the most active against MCF-7 cells, with an IC50 value of 0.32 μM. The results of an analysis of in vitro antiestrogenic activity indicated that only compound IIIb exhibited antiestrogenic activity; its IC50 value of 29.49 μM was about twice as potent as that of the reference compound, MIBP. The aromatase activity was evaluated for the synthesized target compounds IIIa–g and the intermediates Ib and IIa. A significant aromatase inhibition was observed for the intermediate Ib and compound IIIe, with IC50 values of 14.5 and 17.4 μM, respectively. Compound IIIb, namely 7-methoxy-4-(2-oxo-2-(piperidin-1-yl)ethyl)-2H-chromen-2-one, could be used as an antiestrogen and/or cytotoxic agent with selective activity against tumor cells.
1. Introduction
Breast cancer is one of the most common and devastating cancers in women worldwide. According to researchers in the United States, the number of new cases of female breast cancer is 124.9 per 100,000 women per year [1]. In 2018, out of 5411 breast cancer cases diagnosed in Saudi Arabia, 708 patients (13.08%) died [2]. The first prognostic and predictive factor of breast cancer is related to estrogen receptors (ER) [3,4]. The development of ER antagonists has enabled successful treatment of postmenopausal women with hormone-dependent breast cancers [5]. Increased levels of estrogens are associated with tumor growth in endocrine-dependent tissues [6].
The coumarin (benzopyran-2-one, chromen-2-one,) ring system was used in research over 200 years ago. The name coumarin is derived from Coumarouna odorata Aube, from which it was isolated for the first time in 1820 [7]. Coumarins exhibit relatively low toxicity and participate in a remarkable array of biological activities [8,9,10,11,12,13]. One of the most interesting among the diverse biological activities of coumarins is their anti-breast cancer activity.
During the identification of potent coumarin-based selective estrogen receptor modulators (SERM) compounds, the goal was to find a potent estrogen inhibitor with an interleukin-6 (IL-6) inhibitory activity [14]. The presence of an amine side-chain in compound SP500263 (Figure 1) plays a key role in determining its SERM activity; however, this compound also showed undesirable agonist activity in the MCF-7 proliferation assay [15,16]. The core structures of SERMs are diverse, including triphenylethylene [17,18], benzothiophene, chromene (benzopyran) [19,20,21,22,23], naphthalene, indole, and steroid derivatives [24].
Figure 1.
Chemical structures of SP500263, acolbifene, and the target compounds IIIa-h.
Unfortunately, anti-breast cancer drugs like tamoxifen (TAM) [18] achieve significant clinical results in only 30–40% of patients, because drug resistance usually develops after one or two years of treatment [25]. Among the fourth generation of SERMs, benzopyrans are potent antiestrogenic compounds with high oral bioavailability that have recently been tested in vitro and in vivo. These compounds display a 1.5–2.9-fold greater affinity than 17β-estradiol (E2) for the estrogen receptors in human breast cancer and normal uterine cytosol [19]. These compounds have no agonistic estrogenic activity in the in vitro human breast cancer models and in vivo in nude mice [19]. The nonsteroidal antiestrogen acolbifene (Figure 1) is the most potent antiestrogen in terms of inhibition of both ERα and ERβ [7,20,26]. This compound has a number of advantages over all other antiestrogens and should be investigated for the treatment of ER-positive breast cancer and other estrogen-sensitive malignancies [20,21]. In addition, aromatase enzyme is involved in the last step of the estrogen biosynthetic pathway [27]. A number of coumarin derivatives bearing an imidazole ring at position four have been designed and synthesized as strong and selective aromatase inhibitors (AIs) [28].
From the practical point of view, the compounds of interest contain substituted acetamide functionalities attached to the four position of coumarin nuclei, while maintaining all functionalities at their relative positions in the designed compounds. This pattern might dramatically affect the binding to the ER and subsequently the enhancement of their biological activity as anti-breast cancer agents.
2. Results and Discussion
2.1. Chemistry
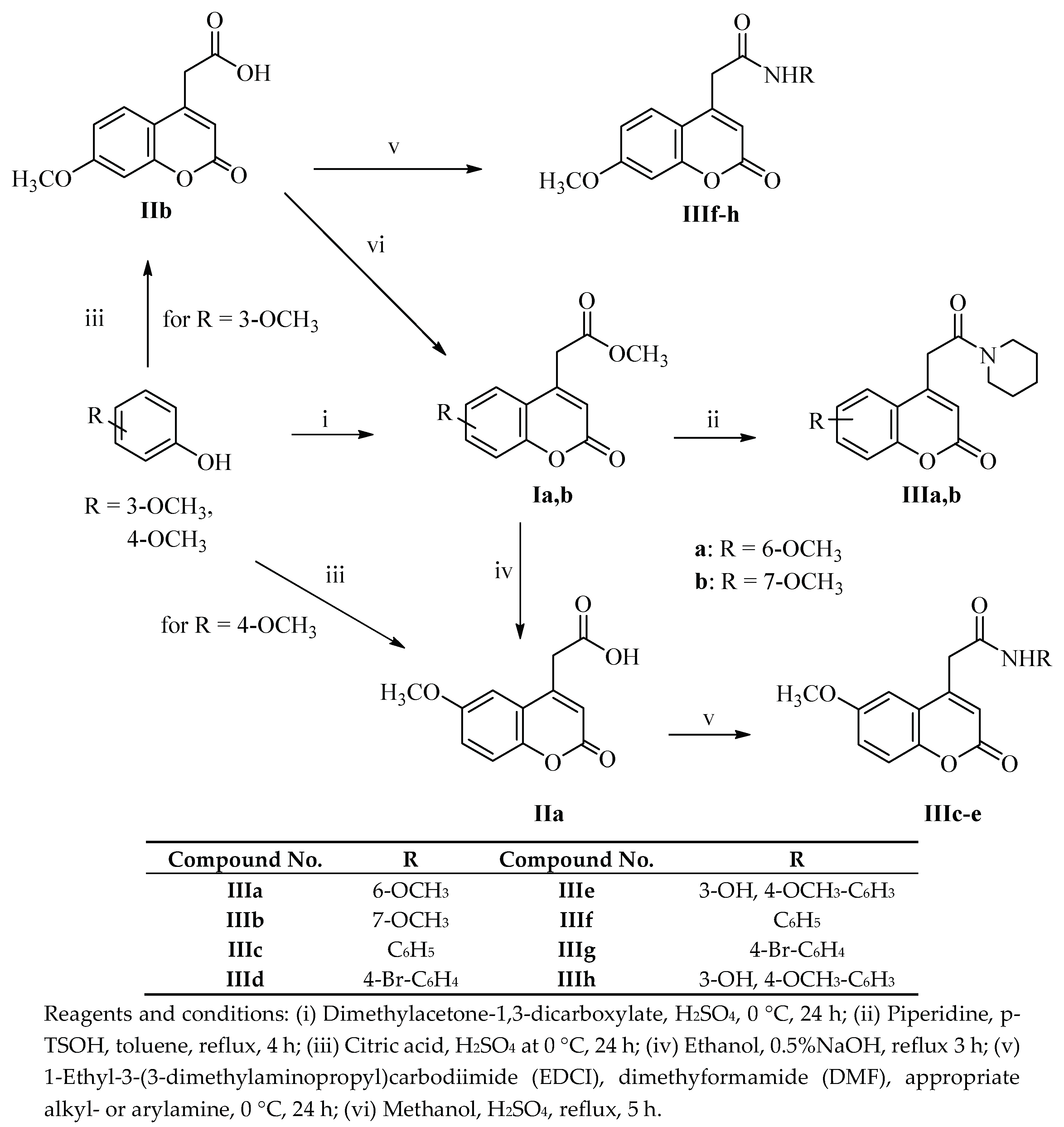
Coumarin (2H-Chromen-2-one) has been synthesized by several methods, including Pechman–Duisberg condensation [29]. According to Scheme 1, the intermediates methyl (6-methoxy-2-oxo-2H-chromen-4-yl)acetate (Ia), methyl (7-methoxy-2-oxo-2H-chromen-4-yl)acetate (Ib), (6-methoxy-2-oxo-2H-chromen-4-yl)acetic acid (IIa), and (7-methoxy-2-oxo-2H-chromen-4-yl)acetic acid (IIb) were required for the synthesis of the target compounds IIIa–h. The reaction sequence to prepare the title compounds IIIa–h is outlined in Scheme 1.
Scheme 1.
Synthesis of the target compounds IIIa–h.
The 1H-NMR spectra of compounds Ia,b exhibited a singlet peak at 3.77 ppm, which was assigned to methyl ester (COOCH3) protons, while the disappearance of the characteristic peak at 12.81 ppm for the carboxylic acid proton was observed. 13C-NMR spectroscopy indicated the presence of a new carbon peak at 52.68 ppm, which was assigned to be the methyl ester carbon (COOCH3).
The direct reaction of a carboxylic acid with an amine proceeds smoothly with aliphatic secondary amines like piperidine producing the target compounds IIIa,b. On the other hand, the best method for the preparation of compounds IIIc–h was the use of a 1-ethyl-3-[3-(dimethylamino)propyl] carbodiimide HCl (EDCI.HCl) reagent, which was added to a mixture of the appropriate aromatic amine and the acids IIa,b in dimethyformamide (DMF).
The structures of compounds IIIa–h were confirmed by their IR spectra, in which the appearance of C–N bands at 1026 cm−1 and 1024 cm−1 indicates compounds IIIa and IIIb, respectively. The disappearance of broad –OH bands suggested the formation of a new amide bond for compounds IIIc–h. The 1H-NMR spectra of compounds IIIa,b did not show –NH amide protons as they are tertiary amides. In addition, the 1H-NMR spectra of compounds IIIc–h were characterized by the appearance of –NH peaks that resonate at 10.08–10.53 ppm as singlets. Moreover, the 13C-NMR spectra of compounds IIIc–h were characterized by the presence of six new aromatic carbons in the range of 108.2–147.9 ppm. The 13C-NMR and DEPT spectra of the compound IIIa were well resolved and confirmed the presence of all carbon atoms in the molecule. On other hand, the HSQC spectrum of the compound IIIa specified its proton–carbon coupling.
2.2. Biological Evaluation
2.2.1. In Vitro Cytotoxicity
The biological investigation started with the evaluation of the cytotoxic activity of the intermediates Ia–b and IIa–b (Table 1). Compounds Ib and IIa had a highly cytotoxic effect against the MCF-7 cell line, with IC50 values of 1.44 and 1.00 μM, respectively. However, only compound Ib was highly cytotoxic to the MDA-MB-231 cell line, with its IC50 value of 1.00 μM being about 19 times more potent than the reference standard camptothecin (IC50 value of 19.24 μM, Table 1 and Figure 2). Methyl (7-methoxy-2-oxo-2H-chromen-4-yl)acetate (Ib) was highly cytotoxic towards both breast cancer cell lines.
Table 1.
Cytotoxicity of the intermediates Ia,b, IIa,b and camptothecin.
Figure 2.
Cytotoxicity of the intermediates Ia,b, IIa,b, and camptothecin.
The cytotoxic activity of the synthesized compounds IIIa–h was evaluated in vitro against the human breast adenocarcinoma MCF7 (ER+ breast cancer cell line) and the MDA-MB-231 (triple-negative breast cancer cell line, TNBC), using camptothecin as a pyranone-bearing reference standard. Treatment of the ER+ MCF-7 and MDA-MB-231 cell lines with 0.39, 1.56, 6.25, 25, and 100 μM concentrations of the synthesized target compounds IIIa–h resulted in a significant cytotoxic effect. The most active compounds against the MCF-7 breast cancer cell line were subjected to in vitro antiestrogenic activity and in vitro aromatase inhibition activity.
Considering the cytotoxicity of N-substituted coumarin-4-acetamides IIIa–h (Table 2 and Figure 3), compound IIIb is most active against MCF-7 cells with an IC50 value of 0.32 μM, as compared with the reference cytotoxic compound, camptothecin (IC50 = 4.41 μM). In addition, compound IIIe is the most active candidate against the MDA-MB-231 cell line with an IC50 value of 2.14 μM, while camptothecin displayed an IC50 value of 19.24 μM against the same cell line.
Table 2.
Cytotoxicity of the synthesized N-substituted coumarin-4-acetamides IIIa–h and camptothecin.
Figure 3.
Cytotoxicity of N-substituted coumarin-4-acetamides IIIa–h and camptothecin.
In general, 7-methoxycoumarin-4-acetamide derivatives IIIb and IIIf–h showed a greater in vitro cytotoxic effect against MCF-7 cells as compared with their positional isomers 6-methoxycoumarin derivatives IIIa and IIIc–e. The most active compounds are in the following order: IIIb > IIIg > IIIa > IIId, with IC50 values of 0.32, 0.72, 1.82, and 2.80 μM, respectively. On the other hand, the results of the cytotoxic evaluation of the acetamides IIIa–h against MDA-MB-231 human breast cancer cells indicated that compounds IIIc, e, and f had a highly cytotoxic effect, with IC50 values of 4.6, 2.1, and 6.9 μM, respectively (Table 2 and Figure 3).
2.2.2. In Vitro Antiestrogenic Activity
The in vitro antiestrogenic activity of the selected target compounds IIIa,b, IIId, and IIIf,g was studied through an estrogen-dependent human breast cancer MCF-7 cell proliferation assay in the presence of 17-β-estradiol. The ability of the tested compounds to inhibit cell proliferation induced by 17-β-estradiol was determined (Table 3 and Figure 4). One of the disadvantages of the compound SP500263 was that it had an undesirable agonist activity in the MCF-7 proliferation assay. However, among the synthesized compounds, compound IIIb is the most active, with its IC50 value of 29.49 μM being about twice as potent as the reference compound, MIBP.
Table 3.
In Vitro antiestrogenic activity of tested synthesized compounds IIIa,b, IIId, IIIf,g, and MIBP.
Figure 4.
In Vitro antiestrogenic activity of the selected synthesized compounds and MIBP.
2.2.3. In Vitro Aromatase Inhibition
One of the most successful targeted breast cancer therapies is the inhibition of the AR enzyme, which catalyzes the rate-limiting final step of estrogen biosynthesis by modulating ER. To ensure cytotoxicity against the MCF-7 breast cancer cell line, aromatase enzymatic activity was assayed using the aromatase inhibitor (AI), letrozole, as a reference standard. Compound Ib was equipotent to letrozole (IC50 = 15.03 μM) aromatase inhibitory activity with an IC50 value of 14.5 μM (Table 4 and Figure 5).
Table 4.
Aromatase inhibition activity of the selected synthesized compounds and letrozole.
Figure 5.
Aromatase inhibition activity of the tested synthesized compounds and letrozole.
Moreover, acetamides IIIa–g showed low or no aromatase inhibition activity (Table 4 and Figure 5), except compound IIIe, which showed moderate inhibitory activity against aromatase (IC50 = 17.38 μM), alongside its promising activity towards the MDA-MB-231 human breast cancer cell line (IC50 value of 2.14 μM).
3. Experimental
3.1. Chemistry
3.1.1. General
Melting points were determined in open glass capillaries on an electrothermal melting point apparatus and are uncorrected. Infrared (IR) spectra were recorded for potassium bromide discs ν (cm−1) on an IR affinity-1s Fourier transform infrared spectrophotometer. The 1H-NMR and 13C-NMR spectra were determined on a Bruker (700 MHz) (Coventry, Germany) and Agilent Technologies (600 MHz) (Palo Alto, CA, USA) spectrometer. Correlation spectroscopy: 1H, 13C, HSQC, and DEPT spectra were recorded on a Bruker (700 MHz) spectrometer. Chemical shifts are expressed as δ values (ppm), using tetramethylsilane (TMS) as an internal reference. Signals are indicated by the following abbreviations: s = singlet, d = doublet, t = triplet, q = quartet, m = multiplet, br = broad. Mass spectra (MS) were obtained on a GCMS QP 2010 Ultra/SE (Ver. 4.20), GCMS-TQ Series (Ver. 4.20) Shimadzu apparatus (Kyoto, Japan). Elemental analyses were carried out at Research Center, College of Pharmacy, King Saud University, Saudi Arabia, and the results agreed favorably with the proposed structures within ± 0.4% of the theoretical values. Follow-up of the reaction and checking on the homogeneity of the compounds were made by performing thin-layer chromatography (TLC) on pre-coated (0.25 mm) (GF 254) silica gel plates. Routinely used developing solvents were volume to volume: C6H14:EtOAc (6:4); C6H14:EtOAc (5:5); MeOH:CHCl3 (1:9). Visualization of the spots was performed by exposure to a UV lamp at 254 nm or to iodine vapors. All statistical analyses were carried out using GraphPad Prism (San Diego, CA, US) version 6.0 software. Statistical analysis was conducted using one-way ANOVA, followed by multiple Tukey–Kramer post hoc tests at p < 0.05, which was considered a marker of statistical significance.
3.1.2. General Procedure for the Synthesis of Methyl 2-(2-oxo-2H-chromen-4-yl)acetates Ia,b
Route A: To a stirred solution of dimethyl-acetone-1,3-dicarboxylate (1.83 mL, 2.2 g, 10 mmol), the appropriate portions of methoxyphenol (1.24 g, 10 mmol) and concentrated H2SO4 (1.12 mL, 1 g, 11 mmol) were added, each in three equal portions, in a cold environment (temperature not exceeding 10 °C). The resulting reaction mixture was stored at 0 °C overnight, then poured into ice-cold water (40 mL). The white precipitate that formed was filtered off and re-crystallized from methanol to give the respective methyl 2-(2-oxo-2H-chromen-4-yl)acetate derivatives Ia,b [30].
Route B: A few drops of H2SO4 were added to a solution of 2-(7-methoxy-2-oxo-2H-chromen-4-yl)acetic acid (IIb, 1 mg, 4 mmol) in MeOH (10 mL). The resulting solution was refluxed for 5 h. After completion of the reaction, as indicated by TLC (ethylacetate/hexane, 4/6), MeOH was evaporated under reduced pressure. The residue was dissolved in ethyl acetate (20 mL), washed with NaHCO3 (20 mL), dried over anhydrous Na2SO4, and filtered. Ethyl acetate was removed in vacuo to produce compound Ib [31].
Methyl (6-methoxy-2-oxo-2H-chromen-4-yl)acetate (Ia):
Yield (route A): 0.5 g (20%); White glittery crystals m.p.: 153–154 °C; IR (KBr): ν (cm−1): 1724 (C=O, lactone), 1734 (C=O, ester), 2941 (C–H, aliphatic), 3088 (C–H, aromatic); 1H-NMR (DMSO-d6) δ ppm (600 MHz): 3.62 (s, 3H, ester CH3), 3.77 (s, 3H, Ar OCH3), 4.01 (s, 2H, CH2CO), 6.48 (s, 1H, H-3), 7.11 (s, 1H, H-5), 7.20 (s, 1H, H-7), 7.34 (s, 1H, H-8); 13C-NMR (DMSO-d6) δ ppm (150 MHz): 36.9 (CH2CO), 52.7 (ester CH3), 56.2 (OCH3), 108.8 (C-5), 117.3 (C-3), 118.2 (C-7), 119.5 (C-4a), 119.7 (C-8), 147.8 (C-8a), 149.5 (C-4), 155.9 (C-6), 160.2 (C-2), 170.1 (C=O); MS m/z (% relative abundance): [M]+ 248 (3.82).
Methyl (7-methoxy-2-oxo-2H-chromen-4-yl)acetate (Ib):
Yield by route A: 1.2 g (48%) and by route B: 0.7 g (70%); White crystals m.p.: 116–118 °C; IR (KBr): ν (cm−1):1724 (C=O, lactone), 1734 (C=O, ester), 2966 (C–H, aliphatic), 3093 (C–H, aromatic); 1H-NMR (DMSO-d6): δ ppm (600 MHz) 3.62 (s, 3H, ester CH3), 3.84 (s, 3H, ArOCH3), 3.97 (s, 2H, CH2CO), 6.30 (s, 1H, H-3), 6.94 (s, 1H, H-6), 7.00 (s, 1H, H-8) and 7.87 (s, 1H, H-5); 13C-NMR (DMSO-d6): δ ppm (150 MHz) 37.1 (CH2CO), 52.7 (ester CH3), 56.4 (OCH3), 101.4 (C-8), 112.8 (C-6), 113.5 (C-3), 114.8 (C-4a), 127.0 (C-5), 149.9 (C-8a), 155.4 (C-4), 160.5 (C-7), 162.9 (C-2), 170.1 (C=O); MS m/z (% relative abundance): [M]+ 248 (0.33).
3.1.3. General Procedure for the Synthesis of Coumarin-4-Acetic acid Derivatives IIa,b
Route A: A mixture of citric acid monohydrate (4.2 g, 20 mmol) and concentrated H2SO4 (5.6 mL) was stirred at room temperature for 60 min, then slowly heated (rate of heating governed by foaming) to 70 °C. After 35 min at this temperature, with stirring throughout, the evolution of carbon monoxide had slackened, and the clear solution was rapidly cooled to 0 °C. Then the appropriate methoxyphenol (2 g, 16.1 mmol) and concentrated H2SO4 (2.24 mL) were added, each in three equal portions, to the stirred solution at such a rate that the internal temperature did not exceed 10 °C. The resulting reaction mixture was stored at 0 °C for 16 h, poured into ice cold water (40 mL), and the resulting crystalline precipitate filtered off and washed thoroughly with H2O. The collected solid was dissolved under stirring in 1N Na2CO3 solution (20 mL), heated for 15 min at 65 °C, and the insoluble matter was filtered off and washed with water (2 × 10 mL). The combined filtrate and washings were acidified with concentrated HCl to give the respective coumarin-4-acetic acid derivatives IIa,b [32].
Route B: A solution of methyl (6-methoxy-2-oxo-2H-chromen-4-yl)acetate (Ia, 1 g, 4 mmol) in ethanol (10 mL) and 0.5% NaOH (100 mL) was refluxed for 2 h. It was then cooled to room temperature, acidified with concentrated HCl to pH = 2, and cooled to 0 °C. The precipitated solid was filtered off, washed thoroughly with ethanol, and dried to give compound IIa, which was used for the next step without further purification [33,34].
(6-Methoxy-2-oxo-2H-chromen-4-yl)acetic acid (IIa):
Yield by route A: 0.23 g (6.1%) and by route B: 0.84 g (89%); light brown fluffy powder m.p.: 178–179 °C; IR (KBr): ν (cm−1): 1174–1255 (C–O), 1670 (C=O, carboxylic acid), 1724 (C=O, lactone), 2924 (C–H, aliphatic), 3088 (C–H, aromatic), 3200(OH); 1H-NMR (DMSO-d6): δ ppm (600 MHz) 3.78 (s, 3H, ArOCH3), 3.92 (s, 2H, CH2CO), 6.48 (s, 1H, H-3), 7.15 (s, 1H, H-5), 7.22 (s, 1H, H-7), 7.35 (s, 1H, H-8), 12.81 (s, 1H, COOH); 13C-NMR (DMSO-d6): δ ppm (150 MHz) 36.9 (CH2CO), 56.2 (OCH3), 109.0 (C-5), 114.9 (C-3), 117.1 (C-7), 118.1 (C-4a), 119.4 (C-8), 147.8 (C-8a), 150.2 (C-4), 155.9 (C-6), 160.2 (C-2), 171.1 (C=O); MS m/z (% relative abundance): [M]+ 234 (0.58), [M + 1] 235 (12.06).
7-Methoxy-2-oxo-2H-chromen-4-yl)acetic acid (IIb):
Yield (route A): 3.2 g (85%); White crystals m.p.: 186–187 °C (literature: 186 °C [35]; IR (KBr): ν (cm−1): 1664 (C=O, carboxylic acid), 1718 (C=O, lactone), 2926 (C–H, aliphatic), 3439 (br, OH); 1H-NMR (DMSO-d6): δ ppm (600 MHz) 3.82 (s, 5H, CH2CO &ArOCH3), 6.27 (s, 1H, H-3), 6.93 (s, 1H, H-6), 6.97 (s, 1H, H-8), 7.58 (s, 1H, H-5), 12.81 (s, 1H, COOH); 13C-NMR (DMSO-d6): δ ppm (150 MHz) 37.7 (CH2CO), 56.3 (OCH3), 101.3 (C-8), 112.7 (C-6), 112.9 (C-3), 113.3 (C-4a), 127.0 (C-5), 150.6 (C-8a), 155.4 (C-4), 160.5 (C-7), 162.8 (C-2), 171.1 (C=O); MS m/z (% relative abundance): [M]+ 234 (1.89), [M + 1] 235 (4.09).
3.1.4. General Procedure for the Synthesis of 4-(2-oxo-2-(piperidin-1-yl)ethyl)-2H-chromen-2-one derivatives IIIa,b
The appropriate methyl (2-oxo-2H-chromen-4-yl)acetate Ia,b (0.248 g, 1 mmol) and piperidine (1 mL, 0.85 g, 1 mmol) was heated to reflux in toluene (10 mL) in the presence of a catalytic amount of p-toluene sulfonic acid (p-TSOH) for 4 h. The solvent was concentrated under reduced pressure and the precipitated solid was filtered off, washed with toluene, and dried to yield the respective target compounds IIIa,b [36].
6-Methoxy-4-(2-oxo-2-(piperidin-1-yl)ethyl)-2H-chromen-2-one (IIIa):
Yield: 0.21 (70%); Fluffy pale yellow powder m.p.: 167–168 °C; IR (KBr): ν (cm−1): 1026 (C–N), 1718 (C=O, amide), 1734 (C=O, lactone), 2939 (C–H, aliphatic), 3020 (C–H, aromatic); 1H-NMR (DMSO-d6): δ ppm (700 MHz) 1.46 (br s, 2H, CH2 piperdine), 1.57 (br s, 2H, CH2-piperdine), 1.62 (br s, 2H, CH2-piperdine), 3.47 (br s, 2H, CH2-piperdine), 3.53 (br s, 2H, CH2-piperdine), 3.81 (s, 3H, OCH3),4.03 (s, 2H, CH2), 6.38 (s, 1H, H-3), 7.11 (s, 1H, H-5), 7.24 (d, J = 9.1 Hz, 1H, H-7), 7.39 (d, J = 9.1 Hz, 1H, H-8); 13C-NMR (DMSO-d6): δ ppm (175 MHz) 24.3 (CH2-piperdine), 25.9 (CH2-piperdine), 26.7 (CH2 piperdine), 36.7 (CH2CO), 42.5 (CH2-piperdine), 46.9 (CH2-piperdine), 56.2 (OCH3), 109.4 (C-5), 116.5 (C-3), 117.9 (C-7), 119.1 (C-8), 120.3 (C-4a), 147.7 (C-8a), 152.1 (C-4), 155.8 (C-6), 160.3 (C-2), 166.7 (C=O); MS m/z (% relative abundance): [M]+ 301 (0.48).
7-Methoxy-4-(2-oxo-2-(piperidin-1-yl)ethyl)-2H-chromen-2-one (IIIb):
Yield: 0.21 g (70%); White crystals m.p.: 135–136 °C; IR (KBr): ν (cm−1): 1024 (C–N), 1718 (C=O, amide), 1734 (C=O, lactone), 2949 (C–H, aliphatic), 3095 (C–H, aromatic); 1H-NMR (DMSO-d6) δ ppm (700 MHz):1.44–1.47 (m, 2H, CH2-piperdine), 1.56–1.57 (m, 2H, CH2-piperdine),1.61–1.63 (m, 2H, CH2-piperdine), 3.45 (t, J = 5.6 Hz, 2H, CH2-piperdine), 3.51 (t, J = 5.6 Hz, 2H, CH2-piperdine), 3.87 (s, 3H, OCH3), 3.98 (s, 2H, CH2), 6.19 (s, 1H, H-3), 6.96 (dd, J = 9.1, 2.8 Hz, 1H, H-6), 7.01(d, J = 2.8 Hz, 1H, H-8), 7.57 (d, J = 9.1 Hz, 1H, H-5); 13C-NMR (DMSO-d6): δ ppm (175 MHz) 24.4 (CH2-piperdine), 25.8 (CH2-piperdine), 26.5 (CH2-piperdine), 31.2 (CH2CO), 42.7 (CH2-piperdine), 46.8 (CH2-piperdine), 56.4 (OCH3), 101.1 (C-8), 112.6 (C-6), 125.9 (C-3), 127.3 (C-4a), 128.5 (C-5), 152.6 (C-8a), 155.3 (C-4), 160.6 (C-7), 162.7 (C-2), 166.7 (C=O); MS m/z (% relative abundance): [M]+ 301 (10.33).
3.1.5. General Procedure for the Synthesis of 2-(2-oxo-2H-chromen-4-yl)-N-phenylacetamides IIIc-h
1-Ethyl-3-[3-(dimethylamino)propyl]carbodiimide HCl (EDCI.HCl, 0.47 g, 3 mmol) was slowly added to a stirred solution containing the appropriate 2-oxo-2H-chromen-4-yl)acetic acid derivative IIa,b (0.234 g, 1 mmol) and the proper arylamine (1.2 mmol) in DMF (15 mL) at 0 °C. After 2 h, the reaction mixture was warmed to room temperature and stirring was continued for an additional 24 h. Thereafter, the reaction mixture was poured into H2O (22 mL). The separated solid was filtered off under suctioning, washed repeatedly with H2O, and dried to give compounds IIIc–h.
2-(6-Methoxy-2-oxo-2H-chromen-4-yl)-N-phenylacetamide (IIIc):
Yield: 0.27 g (87%); White powder m.p.: 219–220 °C; IR (KBr): ν (cm−1) 1043 (C–N), 1078–1213 (C–O), 1660 (C=O, amide), 1734 (C=O, lactone), 2960 (C–H, aliphatic), 3059 (C–H, aromatic), 3286 (NH, secondary amine); 1H-NMR (DMSO-d6): δ ppm (700 MHz) 3.80 (s, 3H, OCH3), 3.99 (s, 2H, CH2), 6.54 (s, 1H, H-3), 7.08 (t, J = 7.7 Hz, 1H, H-4′), 7.26 (dd, J = 9.1, 2.8 Hz, 1H, H-7), 7.32–7.34 (m, 3H, H-5 and H-3′ & H-5′), 7.40 (d, J = 8.4 Hz, 1H, H-8), 7.71 (d, J = 8.4 Hz, 2H, H-2′ & H-6″), 10.42 (s, 1H, NH); 13C-NMR (DMSO-d6): δ ppm (175 MHz) 31.3 (CH2CO), 56.3 (OCH3), 108.8 (C-5), 117.2 (C-3), 118.2 (C-7), 119.4 (C-4a), 119.7 (C-2′ & C-6′), 120.1 (C-8), 124.1 (C-4′), 129.3 (C-3′ &C-5′), 139.2 (C-1′), 147.9 (C-8a), 150.8 (C-4), 156.0 (C-6), 160.3 (C-2), 167.0 (C=O); MS m/z (% relative abundance): [M]+ 309 (0.73).
N-(4-Bromophenyl)-2-(6-methoxy-2-oxo-2H-chromen-4-yl)acetamide (IIId):
Yield: 0.19 g (48%); Silver powder m.p.: 202–203 °C; IR (KBr): ν (cm−1) 600 (C-Br), 1031 (C–N), 1070–1246 (C–O), 1653 (C=O, amide), 1730 (C=O, lactone), 2978 (C–H, aliphatic), 3088 (C–H, aromatic), 3228 (NH, secondary amine); 1H-NMR (DMSO-d6): δ ppm (700 MHz) 3.82 (s, 3H, OCH3), 4.05 (d, J = 7.0 Hz, 2H, CH2), 6.53 (s, 1H, H-3), 7.16 (d, J = 2.8 Hz, 1H, H-5), 7.26 (dd, J = 9.1, 2.8 Hz, 1H, H-7), 7.39 (d, J = 9.1 Hz, 1H, H-8), 7.51 (d, J = 9.1 Hz, 2H, H-2′ &H-6″), 7.56 (d, J = 9.1 Hz, 2H, H-3′ & H-5′), 10.53 (s, 1H, NH); 13C-NMR (DMSO-d6): δ ppm (175 MHz) 31.2 (CH2CO), 56.2 (OCH3), 108.8 (C-5), 115.7 (C-3), 117.3 (C-7), 118.2 (C-2′ &C-6′), 119.4 (C-4a), 119.7 (C-4′), 121.7 (C-8), 132.2 (C-3′ &C-5′), 138.6 (C-1′), 147.9 (C-8a), 149.7 (C-4), 156.0 (C-6), 160.2 (C-2), 169.6 (C=O); MS m/z (% relative abundance): [M]+ 388 (0.48).
N-(3-Hydroxy-4-methoxyphenyl)-2-(6-methoxy-2-oxo-2H-chromen-4-yl)acetamide (IIIe):
Yield: 0.21 g (59%); Brown powder m.p.: 173–174 °C; IR (KBr): ν (cm−1): 1028 (C–N), 1043–1257 (C–O), 1685 (C=O, amide), 1734 (C=O, lactone), 2935 (C–H, aliphatic), 3083 (C–H, aromatic), 3253 (NH, secondary amine), 2446–3527 (OH); 1H-NMR (DMSO-d6): δ ppm (700 MHz) 3.72 (s, 3H, C-4′-OCH3), 3.80 (s, 3H, OCH3), 3.92 (s, 2H, CH2), 6.51 (s, 1H, H-3), 6.84 (d, J = 8.4 Hz, 1H, H-5′), 6.93 (dd, J = 8.4, 2.8 Hz, 1H, H-6′), 7.13 (d, J = 2.1 Hz, 1H, H-2′), 7.25 (dd, J = 9.1, 2.8 Hz, 1H, H-7), 7.32 (d, J = 2.8 Hz, 1H, H-5), 7.40 (d, J = 9.1 Hz, 1H, H-8), 9.10 (s, 1H, OH), 10.15 (s, 1H, NH); 13C-NMR (DMSO-d6): δ ppm (175 MHz) 31.2 (CH2CO), 56.3 (OCH3), 108.3 (C-2′), 108.9 (C-5), 110.5 (C-3), 112.9 (C-5′), 117.1 (C-6′), 118.2 (C-7), 119.4 (C-4a), 120.1 (C-8), 132.7 (C-1′), 144.5 (C-3′), 146.9 (C-8a), 147.8 (C-4′), 151.0 (C-4), 156.0 (C-6), 160.3 (C-2), 166.4 (C=O); MS m/z (% relative abundance): [M]+ 355 (0.59), [M + 1] 356 (35.71).
2-(7-Methoxy-2-oxo-2H-chromen-4-yl)-N-phenylacetamide (IIIf):
Yield: 0.2 g (65%); Yellow-brown powder m.p.: 217–218 °C; IR (KBr): ν (cm−1): 1028 (C–N), 1647 (C=O, amide), 1728 (C=O, lactone), 2978 (C–H, aliphatic), 3074 (C–H, aromatic), 3265 (NH, secondary amine); 1H-NMR (DMSO-d6): δ ppm (700 MHz) 3.87 (s, 3H, OCH3), 3.95 (s, 2H, CH2), 6.34 (s, 1H, H-3), 7.00 (dd, J = 9.1, 2.8 Hz, 1H, H-6), 7.03 (d, J = 2.8 Hz, 1H, H-8), 7.07 (t, J = 7.7 Hz, 1H, H-4′), 7.32 (t, J = 7.7 Hz, 2H, H-3′ & H-5′), 7.58 (d, J = 7.7 Hz, 2H, H-2′& H-6′), 7.75 (d, J = 8.4 Hz, 1H, H-5), 10.35 (s, 1H, NH); 13C-NMR (DMSO-d6): δ ppm (175 MHz) 39.6 (CH2CO), 56.4 (OCH3), 101.4 (C-8), 112.7 (C-6), 113.1 (C-3), 113.4 (C-4a), 119.7 (C-2′ & C-6′), 124.1 (C-5), 127.0 (C-4′), 129.3 (C-3′ & C-5′), 139.3 (C-1′), 151.3 (C-8a), 155.4 (C-4), 160.5 (C-7), 162.9 (C-2), 167.0 (C=O); MS m/z (% relative abundance): [M + 1] 310 (33).
N-(4-Bromophenyl)-2-(7-methoxy-2-oxo-2H-chromen-4-yl)acetamide (IIIg):
Yield: 0.26 g (51%); Beige powder m.p.: 212–213 °C; IR (KBr): ν (cm−1): 500 (C-Br), 1066 (C–N), 1653 (C=O, amide), 1728 (C=O, lactone), 2935 (C–H, aliphatic), 3111 (C–H, aromatic), 3248 (NH, secondary amine); 1H-NMR (DMSO-d6): δ ppm (700 MHz) 3.87 (s, 3H, OCH3), 3.95 (s, 2H, CH2), 6.34 (s, 1H, H-3), 7.00 (dd, J = 8.4, 2.8 Hz, 1H, H-6), 7.04 (d, J = 2.8 Hz, 1H, H-8), 7.51 (d, J = 9.1 Hz, 2H, H-2′ & H-6′), 7.55 (d, J = 9.1 Hz, 2H, H-3′ & H-5′), 7.73 (d, J = 9.1 Hz, 1H, H-5), 10.48 (s, 1H, NH); 13C-NMR (DMSO-d6): δ ppm (175 MHz) 31.2 (CH2CO), 56.4 (OCH3), 101.4 (C-8), 112.7 (C-6), 113.1 (C-3), 113.5 (C-4a), 115.6 (C-2′ & C-6′), 121.6 (C-4′), 127.0 (C-5), 132.1 (C-3′ & C-5′), 139.6 (C-1′), 151.1 (C-8a), 155.4 (C-4), 160.5 (C-7), 162.9 (C-2), 167.3 (C=O); MS m/z (% relative abundance): [M]+ 388 (1.39), [M + 1] 389 (2.09), [M+2] 390 (1.29).
N-(3-Hydroxy-4-methoxyphenyl)-2-(7-methoxy-2-oxo-2H-chromen-4-yl)acetamide (IIIh):
Yield: 0.26 g (73%); Brown powder m.p.: 188–189 °C; IR (KBr): ν (cm−1): 1028 (C–N), 1653 (C=O, amide), 1707 (C=O, lactone), 2985 (C–H, aliphatic), 3100 (C–H, aromatic), 3228 (NH, secondary amine), 3327 (br OH); 1H-NMR (DMSO-d6): δ ppm (700 MHz) 3.72 (s, 3H, C-4′-OCH3), 3.88 (d, J = 7.0 Hz, 5H, OCH3 & CH2), 6.31 (s, 1H, H-3), 6.84 (d, J = 8.4 Hz, 1H, H-5′), 6.94 (dd, J = 9.1, 2.8 Hz, 1H, H-6′), 7.00 (dd, J = 9.1, 2.8 Hz, 1H, H-6), 7.02 (d, J = 2.8 Hz, 1H, H-8), 7.12 (d, J = 2.8 Hz, 1H, H-2′), 7.74 (d, J = 9.1 Hz, 1H, H-5), 9.09 (s, 1H, OH), 10.08 (s, 1H, NH); 13C-NMR (DMSO-d6): δ ppm (175 MHz) 31.2 (CH2CO), 56.3 (2 × OCH3), 101.4 (C-8), 108.2 (C-2′), 110.4 (C-6), 112.7 (C-3), 112.9 (C-5′), 113.1 (C-4a), 113.3 (C-6′), 127.0 (C-5), 132.8 (C-1′), 144.5 (C-3′), 146.9 (C-4′), 151.5 (C-8a), 155.4 (C-4), 160.6 (C-7), 162.9 (C-2), 166.4 (C=O); MS m/z (% relative abundance): [M + 2] 357 (27.25).
3.2. Biological Evaluation
3.2.1. Cytotoxicity Assay (MTT Assay)
The cytotoxicity of compounds Ia,b, IIa,b, and IIIa–h against the MCF-7 cell line (ER+ breast cancer cell line) and MDA-MB-231 (triple-negative breast cancer cell line, TNBC) was determined using camptothecin as a pyranone-bearing reference standard [37]. The detailed experimental procedures are provided in the Supplementary Materials.
3.2.2. Antiestrogenic Activity
The antiestrogenic activity of the test compounds was examined by performing a 3-(4,5-dimethylthiazol-2-yl)-2,5-diphenyl tetrazolium bromide (MTT) assay of the MCF-7 cell line. In this experiment, MCF-7 cells were treated with 17β-estradiol (+ve cell proliferation compound). The effect of various concentrations of the tested compounds on cell proliferation in the presence of 17β-estradiol was measured [37]. The detailed experimental procedures are provided in the Supplementary Materials.
3.2.3. Aromatase Inhibition
Sandwich enzyme immunoassay was adopted for aromatase inhibition assessment [38]. The detailed experimental procedures are provided in the Supplementary Materials.
4. Conclusions
In conclusion, 2-(2-oxo-2H-chromen-4-yl)-N-substituted acetamide derivatives IIIa–h have been prepared, characterized, and tested for their in vitro cytotoxic and antiestrogenic, as well as aromatase inhibition, activities. The target compounds IIIa–h showed variable cytotoxic activity against two breast cancer cell lines, MCF-7 and MDA-MB-231. 7-methoxy-4-(2-oxo-2-(piperidin-1-yl)ethyl)-2H-chromen-2-one (IIIb) was the most potent cytotoxic compound against MCF-7, being about 14-fold more potent than the reference standard, camptothecin. It also manifested high in vitro antiestrogenic activity (IC50 = 29.49 μM). These findings indicate that a cyclic aliphatic lipophilic substitution in compound IIIb produced obvious antiestrogenic and cytotoxic activities. Thus, it might have high affinity to ER. Unfortunately, the tested compounds show moderate to low aromatase inhibition activity, except for compound IIIe, which showed moderate inhibitory activity against aromatase with an IC50 value of 17.38 μM.
Supplementary Materials
Detailed experimental procedures for the biological evaluation of the tested compounds are provided in the Supplementary Materials. (MTT assay: file:///C:/Users/hp/Desktop/Areej-392/Biology%20Result-392/MTT%20protocol%20SIGMA%20kit.pdf; Anti-estrogen assay: https://www.jstage.jst.go.jp/article/bpb/26/8/26_8_1219/_pdf and aromatase inhibition assay: file:///C:/Users/hp/Desktop/Areej-392/Biology%20Result-392/Aromatase%20eia%20kit%20582701.pdf).
Author Contributions
M.S.A., O.M.A., and M.I.A. suggested the study, supervised the synthesis, and prepared the manuscript for publication. A.N.A.S. prepared and identified the title compounds. A.A. carried out the biological investigations. All authors discussed the contents of the manuscript. All authors have read and agreed to the published version of the manuscript.
Funding
“This research was funded by THE DEANSHIP OF SCIENTIFIC RESEARCH, KING SAUD UNIVERSITY, through the Research Group Project grant number RG-1440–140” and “The APC was funded by Research Group Project grant number RG-1440–140”.
Acknowledgments
The authors would like to extend their sincere appreciation to the Deanship of Scientific Research at King Saud University for its funding of this research through Research Group Project no. RG-1440–140.
Conflicts of Interest
The authors declare no conflict of interest.
References
- Siegel, R.; Miller, K.; Jemal, A. Cancer Statistics, 2017. CA Cancer J. Clin. 2017, 67, 7–30. [Google Scholar] [CrossRef]
- Alotaibi, R.M.; Rezk, H.R.; Juliana, C.I.; Guure, C. Breast cancer mortality in Saudi Arabia: Modelling observed and unobserved factors. PLoS ONE 2018, 13, 0206148. [Google Scholar] [CrossRef]
- Alexieva-Figusch, J.; Van Putten, W.; Blankenstein, M.; Blonk-Van Der Wijst, J.; Klijn, J. The prognostic value and relationships of patient characteristics, estrogen and progestin receptors, and site of relapse in primary breast cancer. Cancer 1988, 61, 758–768. [Google Scholar] [CrossRef]
- Radhi, S. Molecular Changes During Breast Cancer and Mechanisms of Endocrine Therapy Resistance. Prog. Mol. Biol. Transl. Sci. 2016, 144, 539–562. [Google Scholar] [PubMed]
- Powell, E.; Huang, S.-X.; Xu, Y.; Rajski, S.R.; Wang, Y.; Peters, N.; Guo, S.; Xu, H.E.; Hoffmann, F.M.; Shen, B. Identification and characterization of a novel estrogenic ligand actinopolymorphol A. Biochem. Pharmacol. 2010, 80, 1221–1229. [Google Scholar] [CrossRef] [PubMed][Green Version]
- Osborne, C.K.; Hobbs, K.; Clark, G.M. Effect of estrogens and antiestrogens on growth of human breast cancer cells in athymic nude mice. Cancer Res. 1985, 45, 584–590. [Google Scholar] [PubMed]
- Bruneton, J. Pharmacognosy, Phytochemistry, Medicinal Plants, 2nd ed.; Intercept Ltd.: Hampshire, UK, 1999. [Google Scholar]
- Kostova, I.; Raleva, S.; Genova, P.; Argirova, R. Structure-Activity Relationships of Synthetic Coumarins as HIV-1 Inhibitors. Bioinorg. Chem. Appl. 2006, 2006, 1–9. [Google Scholar] [CrossRef]
- Musicki, B.; Periers, A.-M.; Laurin, P.; Ferroud, D.; Benedetti, Y.; Lachaud, S.; Chatreaux, F.; Haesslein, J.-L.; Iltis, A.; Pierre, C. Improved antibacterial activities of coumarin antibiotics bearing 5′, 5′-dialkylnoviose: Biological activity of RU79115. Bioorg. Med. Chem. Lett. 2000, 10, 1695–1699. [Google Scholar] [CrossRef]
- Manolov, I.; Maichle-Moessmer, C.; Nicolova, I.; Danchev, N. Synthesis and Anticoagulant Activities of Substituted 2, 4-Diketochromans, Biscoumarins, and Chromanocoumarins. Arch. Pharm. 2006, 339, 319–326. [Google Scholar] [CrossRef]
- Álvarez-Delgado, C.; Reyes-Chilpa, R.; Estrada-Muñiz, E.; Mendoza-Rodríguez, C.A.; Quintero-Ruiz, A.; Solano, J.; Cerbón, M.A. Coumarin A/AA induces apoptosis-like cell death in HeLa cells mediated by the release of apoptosis-inducing factor. J. Biochem. Mol. Toxicol. 2009, 23, 263–272. [Google Scholar] [CrossRef]
- Marshall, M.; Kervin, K.; Benefield, C.; Umerani, A.; Albainy-Jenei, S.; Zhao, Q.; Khazaeli, M. Growth-inhibitory effects of coumarin (1,2-benzopyrone) and 7-hydroxycoumarin on human malignant cell lines in vitro. J. Cancer Res. Clin. Oncol. 1994, 120, S3–S10. [Google Scholar] [CrossRef] [PubMed]
- Jacquot, Y.; Bermont, L.; Giorgi, H.; Refouvelet, B.; Adessi, G.L.; Daubrosse, E.; Xicluna, A. Substituted benzopyranobenzothiazinones. Synthesis and estrogenic activity on MCF-7 breast carcinoma cells. Eur. J. Med. Chem. 2001, 36, 127–136. [Google Scholar] [CrossRef]
- Brady, H.; Desai, S.; Gayo-Fung, L.M.; Khammungkhune, S.; McKie, J.A.; O’Leary, E.; Pascasio, L.; Sutherland, M.K.; Anderson, D.W.; Bhagwat, S.S. Effects of SP500263, a novel, potent antiestrogen, on breast cancer cells and in xenograft models. Cancer Res. 2002, 62, 1439–1442. [Google Scholar] [PubMed]
- Grese, T.A.; Sluka, J.P.; Bryant, H.U.; Cullinan, G.J.; Glasebrook, A.L.; Jones, C.D.; Matsumoto, K.; Palkowitz, A.D.; Sato, M.; Termine, J.D. Molecular determinants of tissue selectivity in estrogen receptor modulators. Proc. Natl. Acad. Sci. USA 1997, 94, 14105–14110. [Google Scholar] [CrossRef] [PubMed]
- McKie, J.A.; Bhagwat, S.S.; Brady, H.; Doubleday, M.; Gayo, L.; Hickman, M.; Jalluri, R.K.; Khammungkhune, S.; Kois, A.; Mortensen, D. Lead identification of a potent benzopyranone selective estrogen receptor modulator. Bioorg. Med. Chem. Lett. 2004, 14, 3407–3410. [Google Scholar] [CrossRef]
- Cole, M.; Jones, C.; Todd, I. A new anti-oestrogenic agent in late breast cancer: An early clinical appraisal of ICI46474. Br. J. Cancer 1971, 25, 270–275. [Google Scholar] [CrossRef]
- Osborne, C.K. Tamoxifen in the treatment of breast cancer. N. Engl. J. Med. 1998, 339, 1609–1618. [Google Scholar] [CrossRef]
- Gauthier, S.; Caron, B.; Cloutier, J.; Dory, Y.L.; Favre, A.; Larouche, D.; Mailhot, J.; Ouellet, C.; Schwerdtfeger, A.; Leblanc, G. (S)-(+)-4-[7-(2, 2-Dimethyl-1-oxopro-poxy)-4-methyl-2-[4-[2-(1-piperidinyl)-ethoxy]phenyl]-2H-1-benzopyran-3-yl]-phenyl-2,2-dimethylpropanoate (EM-800): A Highly Potent, Specific, and orally active nonsteroidal antiestrogen. J. Med. Chem. 1997, 40, 2117–2122. [Google Scholar] [CrossRef]
- Simard, J.; Labrie, C.; Bélanger, A.; Gauthier, S.; Singh, S.M.; Mérand, Y.; Labrie, F. Characterization of the effects of the novel non-steroidal antiestrogen EM-800 on basal and estrogen-induced proliferation of T-47D, ZR-75-1 and MCF-7 human breast cancer cells in vitro. Int. J. Cancer 1997, 73, 104–112. [Google Scholar] [CrossRef]
- Labrie, F.; Champagne, P.; Labrie, C.; Roy, J.; Laverdière, J.; Provencher, L.; Potvin, M.; Drolet, Y.; Pollak, M.; Panasci, L. Activity and safety of the antiestrogen EM-800, the orally active precursor of acolbifene, in tamoxifen-resistant breast cancer. J. Clin. Oncol. 2004, 22, 864–871. [Google Scholar] [CrossRef][Green Version]
- MacMahon, B. In Overview of studies on endometrial cancer and other types of cancer in humans: Perspectives of an epidemiologist. Semin. Oncol. 1997, 24, S1-122-S1-39. [Google Scholar] [PubMed]
- Martel, C.; Provencher, L.; Li, X.; Pierre, A.S.; Leblanc, G.; Gauthier, S.; Mérand, Y.; Labrie, F. Binding characteristics of novel nonsteroidal antiestrogens to the rat uterine estrogen receptors. Mol. Biol. 1998, 64, 199–205. [Google Scholar] [CrossRef]
- Dahlman-Wright, K.; Cavailles, V.; Fuqua, S.A.; Jordan, V.C.; Katzenellenbogen, J.A.; Korach, K.S.; Maggi, A.; Muramatsu, M.; Parker, M.G.; Gustafsson, J.-Å. International union of pharmacology. LXIV. Estrogen receptors. Pharmacol. Rev. 2006, 58, 773–781. [Google Scholar] [CrossRef] [PubMed]
- Labrie, F.; Labrie, C.; Bélanger, A.; Simard, J.; Gauthier, S.; Luu-The, V.; Mérand, Y.; Giguere, V.; Candas, B.; Luo, S. EM-652 (SCH 57068), a third generation SERM acting as pure antiestrogen in the mammary gland and endometrium. J. Steroid Biochem. Mol. Biol. 1999, 69, 51–84. [Google Scholar] [CrossRef]
- Tremblay, G.B.; Tremblay, A.; Copeland, N.G.; Gilbert, D.J.; Jenkins, N.A.; Labrie, F.; Giguere, V. Cloning, chromosomal localization, and functional analysis of the murine estrogen receptor β. Mol. Endocrinol. 1997, 11, 353–365. [Google Scholar]
- Secky, L.; Svoboda, M.; Klameth, L.; Bajna, E.; Hamilton, G.; Zeillinger, R.; Jäger, W.; Thalhammer, T. The sulfatase pathway for estrogen formation: Targets for the treatment and diagnosis of hormone-associated tumors. J. Drug Deliv. 2013, 2013, 1–13. [Google Scholar] [CrossRef]
- Stefanachi, A.; Favia, A.D.; Nicolotti, O.; Leonetti, F.; Pisani, L.; Catto, M.; Zimmer, C.; Hartmann, R.W.; Carotti, A. Design, synthesis, and biological evaluation of imidazolyl derivatives of 4,7-disubstituted coumarins as aromatase inhibitors selective over 17-α-hydroxylase/C17−20 lyase. J. Med. Chem. 2011, 54, 1613–1625. [Google Scholar] [CrossRef]
- V. Pechmann, H. Neue bildungsweise der cumarine. Synthese des daphnetins. I. Ber. Dtsch. Chem. Ges. 1884, 17, 929–936. [Google Scholar] [CrossRef]
- Ciobanu, L.C.; Boivin, R.P.; Luu-The, V.; Labrie, F.; Poirier, D. Potent Inhibition of Steroid Sulfatase Activity by 3-O-Sulfamate 17α-Benzyl (or 4′-tert-butylbenzyl) estra-1,3,5(10)-trienes: Combination of Two Substituents at Positions C3 and C17α of Estradiol. J. Med. Chem. 1999, 42, 2280–2286. [Google Scholar] [CrossRef]
- Leese, M.P.; Jourdan, F.L.; Gaukroger, K.; Mahon, M.F.; Newman, S.P.; Foster, P.A.; Stengel, C.; Regis-Lydi, S.; Ferrandis, E.; Fiore, A.D. Structure–activity relationships of C-17 cyano-substituted estratrienes as anticancer agents. J. Med. Chem. 2008, 51, 1295–1308. [Google Scholar] [CrossRef]
- Jourdan, F.; Bubert, C.; Leese, M.P.; Smith, A.; Ferrandis, E.; Regis-Lydi, S.; Newman, S.P.; Purohit, A.; Reed, M.J.; Potter, B.V. Effects of C-17 heterocyclic substituents on the anticancer activity of 2-ethylestra-1,3,5 (10)-triene-3-O-sulfamates: Synthesis, in vitro evaluation and computational modelling. Org. Biomol. Chem. 2008, 6, 4108–4119. [Google Scholar] [CrossRef] [PubMed]
- Li, P.-K.; Murakata, C.; Akinaga, S. Steroid Sulfatase Inhibitors and Methods for Making and Using the Same. U.S. Patent No. 6288050B1, 11 September 2001. [Google Scholar]
- Laskowski, S.; Clinton, R. Coumarins. II. Derivatives of coumarin-3-and-4-acetic acids. J. Am. Chem. Soc. 1950, 72, 3987–3991. [Google Scholar] [CrossRef]
- Baker, W.; Haksar, C.; McOmie, J. 37. Fluorescent reagents. Acyl chlorides and acyl hydrazides. J. Chem. Soc. 1950, 170–173. [Google Scholar] [CrossRef]
- Clinton, R.O.; Laskowski, S.C. Basic Esters and Amides of 7-Substituted-Coumarin-4-Acetic Acids and Salts and Processes of Preparation. U.S. Patent No. 2615024A, 21 October 1952. [Google Scholar]
- Okubo, T.; Suzuki, T.; Yokoyama, Y.; Kano, K.; Kano, I. Estimation of estrogenic and anti-estrogenic activities of some phthalate diesters and monoesters by MCF-7 cell proliferation assay in vitro. Biol. Pharm. Bull. 2003, 26, 1219–1224. [Google Scholar] [CrossRef] [PubMed]
- Taxel, P.; Kennedy, D.G.; Fall, P.M.; Willard, A.K.; Clive, J.M.; Raisz, L.G. The effect of aromatase inhibition on sex steroids, gonadotropins, and markers of bone turnover in older men. J. Clin. Endocrinol. Metab. 2001, 86, 2869–2874. [Google Scholar] [CrossRef]
Sample Availability: Samples of the compounds are available from the authors. |
© 2020 by the authors. Licensee MDPI, Basel, Switzerland. This article is an open access article distributed under the terms and conditions of the Creative Commons Attribution (CC BY) license (http://creativecommons.org/licenses/by/4.0/).





