Abstract
Riley oxidation of advanced heterocyclic intermediates (dihydrodipyrrins and tetrahydrodipyrrins) is pivotal in routes to synthetic hydroporphyrins including chlorins, bacteriochlorins, and model (bacterio)chlorophylls. Such macrocycles find wide use in studies ranging from energy sciences to photomedicine. The key transformation (–CH3 → –CHO) is often inefficient, however, thereby crimping the synthesis of hydroporphyrins. The first part of the review summarizes 12 representative conditions for Riley oxidation across diverse (non-hydrodipyrrin) substrates. An interlude summarizes the proposed mechanisms and provides context concerning the nature of various selenium species other than SeO2. The second part of the review comprehensively reports the conditions and results upon Riley oxidation of 45 1-methyltetrahydrodipyrrins and 1-methyldihydrodipyrrins. A comparison of the results provides insights into the tolerable structural features for Riley oxidation of hydrodipyrrins. In general, Riley oxidation of dihydrodipyrrins has a broad scope toward substituents, but proceeds in only modest yield. Too few tetrahydrodipyrrins have been examined to draw conclusions concerning scope. New reaction conditions or approaches will be required to achieve high yields for this critical transformation in the synthesis of hydroporphyrins.
1. Introduction
The oxidation of active methylene groups with selenium dioxide was reported in the open literature in 1932 [1]. While studies of the eponymous SeO2-mediated oxidation [1,2,3,4,5,6,7,8] and companion chemistry occupied Harry Lister Riley (1899–1986) [9] for a relatively short period, the 1932 publication [1] had perhaps the deepest impact among his more than four decades of publications. The role of selenium oxides as oxidants of organic compounds was apparently surmised in the late 19th century owing to the presence of the congeneric selenium oxide as an impurity in fuming sulfuric acid [10], yet it was the systematic studies of Riley and coworkers with purified SeO2 that captured the imagination of synthetic chemists. The impact was torrential—at least 10 overviews and summaries appeared in the ensuing dozen years [11], and a chapter in Organic Reactions (1948) listed >500 distinct substrates that had been subjected to reaction with SeO2 [10]—all of which highlight the unmet needs for synthetic transformations that were fulfilled by the advent of SeO2-mediated oxidation. Riley oxidation has found enduring use with application to diverse substrates, as recounted in broad-ranging reviews [10,11,12,13]. Our focus here is to comprehensively review the use of Riley oxidation in a key transformation leading to synthetic analogues of the native photosynthetic pigments. The scope of this targeted review covers the totality of all work on this topic since inception, which was in 2001.
Chlorophyll a and bacteriochlorophyll a, the respective chief pigments of oxygenic and anoxygenic photosynthesis [14], are shown in Chart 1. Shown alongside the native pigments are the structures of synthetic chlorin (1, 2) and bacteriochlorin (3, 4) analogues. Each analogue contains a gem-dimethyl group in the pyrroline ring, and each synthesis begins with gem-dimethyl substituted precursors. Direct hydrogenation of, or cycloaddition to, a porphyrin to form the chlorin or bacteriochlorin also constitutes de novo synthesis, but the inclusion of a gem-dimethyl group via the precursors affords the following advantages: (1) achieves complete control over the location of the pyrroline ring relative to the other substituents in the macrocycle, (2) imparts resistance to adventitious oxidation that leads to the less saturated macrocycle (i.e., the chlorin or porphyrin), and (3) is compatible with formation of the isocyclic ring (ring E). On the other hand, the de novo construction of gem-dimethyl substituted hydroporphyrins entails a considerable synthetic effort [15], the simplification of which is an ongoing effort in our lab.
Chart 1.
Structures of native photosynthetic pigments, synthetic chlorins (1, 2), and synthetic bacteriochlorins (3, 4). Each pyrroline ring (D in chlorins; B and D in bacteriochlorins) is labeled in red. The isocyclic ring (E) is labeled with magenta.
Two prior routes to gem-dimethyl-substituted hydroporphyrins have employed Riley oxidation as a key step in the synthesis. Jacobi and co-workers developed a route to dihydrodipyrrin-dicarboxaldehydes, wherein the aldehyde attached to the pyrrole is installed by the use of trimethyl orthoformate, and the aldehyde attached to the pyrroline is formed by Riley oxidation of a 1-methyldihydrodipyrrin (5) (Scheme 1, left). Acid-catalyzed reaction of a dihydrodipyrrin-dicarboxaldehyde (6) and a dipyrromethane-dicarboxylic acid (7, which undergoes didecarboxylation in situ) affords the corresponding chlorin (8) [16,17,18]. In our work, analogous Riley oxidation of a 1-methyldihydrodipyrrin (9) affords the dihydrodipyrrin-carboxaldehyde (10). Conversion of the latter to the corresponding dimethyl acetal (11) followed by head-to-tail self-condensation under acid catalysis affords the bacteriochlorin (12) (Scheme 1, right) [19,20]. In both synthetic routes, the gem-dimethyl group of the dihydrodipyrrin is conveyed to the pyrroline ring (ring D) of the corresponding chlorin. The pre-installation of the gem-dimethyl group in the dihydrodipyrrin enables the presence of peripheral substituents, and the positions of such substituents relative to ring D, to be set at very early stages in the synthesis. The specific location of such substituents relative to the pyrroline ring can alter the spectroscopic features, physicochemical features, and supramolecular phenomena exhibited by the resulting macrocycles.
Scheme 1.
Synthetic routes to chlorins (left) and bacteriochlorins (right) via dihydrodipyrrin-carboxaldehyde precursors. TFA, trifluoroacetic acid; DMF, N,N-dimethylformamide; TMSOTf, trimethylsilyl trifluoromethanesulfonate; 2,6-DTBP, 2,6-di-tert-butylpyridine.
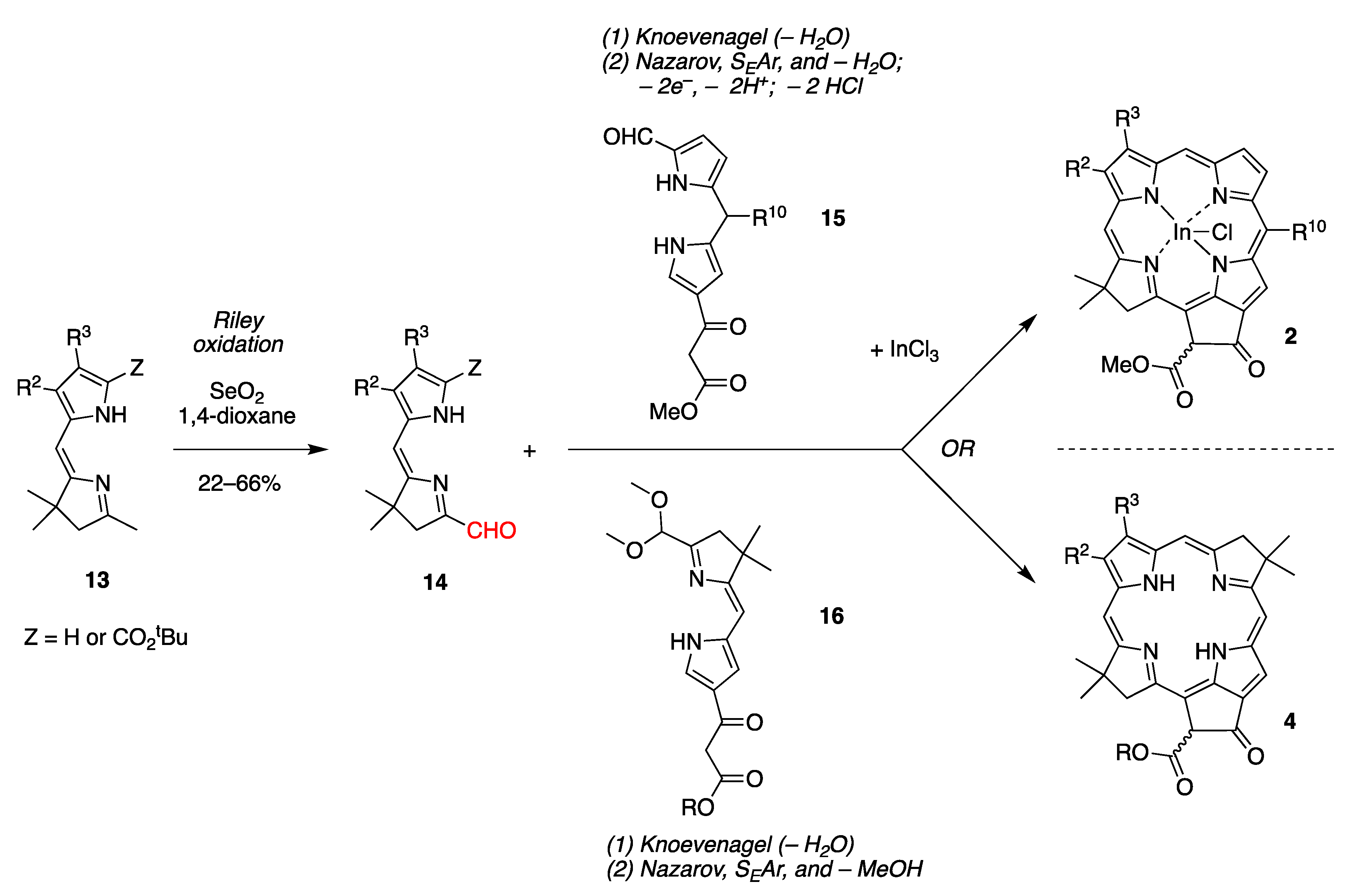
Dihydrodipyrrin-carboxaldehydes have also been employed in more elaborate reactions leading to hydroporphyrins. The Riley oxidation of a 1-methyldihydrodipyrrin (13) affords the dihydrodipyrrin-carboxaldehyde (14), which upon Knoevenagel condensation with a β-ketoester-substituted dipyrromethane (15) or dihydrodipyrrin (16) affords the corresponding enone. Double-ring closure of each affords the model chlorophyll (2) [21] or bacteriochlorophyll (4) [22], respectively (Scheme 2). The resulting macrocycles share the full hydrocarbon skeleton with the native tetrapyrrole photosynthetic pigments, exemplified by chlorophyll a and bacteriochlorophyll a. The double-ring closure is carried out as a one-flask procedure, wherein multiple chemical transformations occur—including Nazarov cyclization, electrophilic aromatic substitution (SEAr), and elimination of methanol—albeit in unknown sequence. For a definition of all abbreviations employed herein, please see the Section entitled Abbreviations. Again, the desired array of substituents in the target macrocycle is established at a very early stage of the synthesis, upon creation and/or modification of the dihydrodipyrrins for synthesis of the bacteriochlorophyll model compounds (4), or with the dihydrodipyrrin and dipyrromethane precursors to the chlorophyll model compounds (2). In both cases, the pre-arranged substituents are conveyed intact to the corresponding hydroporphyrins. Riley oxidation is essential in each of the routes (5 → 6, 9 → 10, and 13 → 14) for gaining access to the requisite dihydrodipyrrin-carboxaldehyde.
Scheme 2.
Synthetic routes to the full skeleton of chlorophylls (top) and bacteriochlorophylls (bottom) via dihydrodipyrrin-carboxaldehyde precursors.
The preceding schemes illustrate the critical role of Riley oxidation in preparing a dihydrodipyrrin-carboxaldehyde for conversion to the hydroporphyrin. Yet a critical limitation is the generally low yield, often less than 50%, for Riley oxidation. Altogether, some 45 dihydrodipyrrins and tetrahydrodipyrrins have been treated with Riley oxidation as part of the synthesis of the aforementioned types of synthetic hydroporphyrins. The general structures are shown in Chart 2. As stated for the analogous tetrahydrodipyrrins [23], a dihydrodipyrrin appears quite simple, but the appearance may be deceptive because the two different heterocycles (pyrrole, pyrroline) present quite distinct reactivity as follows: (1) the pyrrole contains up to three open sites for electrophilic substitution; (2) the imine of the pyrroline, and the methylidene linkage between the pyrrole and pyrroline, are susceptible to reduction and addition; (3) the imine nitrogen can coordinate to metals; and (4) the pyrrole is a weak acid, whereas the pyrroline is a weak base.
Chart 2.
Hydrodipyrrins, nomenclature, and potential sites of allylic oxidation.
With regards to Riley oxidation, there are multiple sites of potential reactivity. For the 1,3,3-trimethyldihydrodipyrrin, there are two aza-allylic sites: the 1-methyl group (1°, encircled in red) and the 2-methylene group (2°, encircled in blue). For the 1,2,2-trimethyldihydrodipyrrin, the 1-methyl group (1°) is an aza-allylic site, whereas the 3-methylene (2°, encircled in turquoise) presents an allylic site. For the 1,3,3-trimethyltetrahydrodipyrrin, there are three aza-allylic sites: the 1-methyl group (1°), the 2-methylene group (2°), and the 4-methine (3°, encircled in magenta); with the latter only amenable to oxidative accommodation of the hydroxy group.
The objective of this paper is to develop a comprehensive view of the outcome of Riley oxidation in these cases, particularly concerning substituent patterns and reaction conditions (solvent, temperature, additive, concentrations, time, selenium reagent). The paper is divided into two main parts. Part 1 provides a representative summary of the various conditions that have been employed, some quite sporadically, in Riley oxidations of diverse substrates (beyond dihydrodipyrrins) over the years. This section aims to cover the scope of the conditions, but is not comprehensive with regards to the scope of substrates and applications, for which other reviews are available [10,11,12,13]. Part 2 provides a review of all cases of dihydrodipyrrins subjected to Riley oxidation including structures, reaction conditions, and yields. One known dihydrodipyrrin is subjected to several reaction conditions identified in part 1. An interlude between the two parts provides an overview of mechanisms. Some insights have emerged from this comparative analysis, although a solution to the limited yields of the Riley oxidation with dihydrodipyrrins remains obscure.
2. Results and Discussion
2.1. Diverse Conditions for the Riley Oxidation
The classic Riley oxidation entails the use of SeO2 in 1,4-dioxane (hereafter termed dioxane), either anhydrous or with a small amount of added water. A key issue here is the use of additives or other variations to the reaction conditions. While benzeneseleninic anhydride is not the same as SeO2, owing to the remarkable observations of Barton and coworkers, one set of examples is included. Barton and co-workers found the reaction of 17 and benzeneseleninic anhydride afforded 18 in 42% yield and the 2-selenide derivative 19 in 20% yield [24]. The addition of 3.0 equiv of indole (20) as a scavenger for Se(II) caused formation of 18 in almost quantitative yield, the complete absence of the unwanted derivative 19, and the formation of the indole-trapped phenylselenide 21 (Scheme 3). Reaction with dihydropyran (22) as a scavenging agent afforded similar results along with formation of the dihydropyran-phenylselenide adduct (23). An upshot of this result is that the selenium product likely reacts with the organic product, an undesirable process that can be thwarted by the addition of a scavenging agent. The following examples focus almost exclusively on additives in reactions with SeO2.
Scheme 3.
Barton’s dehydrogenation with benzeneseleninic anhydride.
Pyridine is known to cause an acceleration in rate of the Riley oxidation [25]. On account of the rate-accelerating effect of pyridine and perhaps also the limited stability of dihydrodipyrrins under acidic conditions [17,26], pyridine was added to the Riley oxidation of a set of dihydrodipyrrins. Thus, dihydrodipyrrin-carboxaldehyde 24 afforded the dihydrodipyrrin-dicarboxaldehyde 6 in 61%–71% yield, and increased the yield for the conversion of 25 to 26 to 37% (Scheme 4, top). For those substrates with acid-labile groups, only a few oxidations were successful [27,28]. The reaction of 27 with SeO2 gave a mixture of compounds (28–32) owing to hydrolysis of the ketal (Scheme 4, middle). However, the addition of a slight stoichiometric excess of pyridine with respect to the SeO2 resulted in the isolation of 28 as a major product in 42% yield (Scheme 4, bottom) [29].
Scheme 4.
Beneficial addition of pyridine in Riley oxidations.
The reaction of SeO2 with alkenes in the presence of hydrogen peroxide was clean for the highly reactive alkene, β-pinene, whereas less substituted alkenes reacted poorly. However, the allylic oxidation of alkenes such as 33 in the presence of 0.5 mol equiv of SeO2 and 2 equiv of tert-butyl hydroperoxide (TBHP) in CH2Cl2 afforded the corresponding allylic alcohol (34) in a clean and mild manner (Scheme 5, top); with other substrates, the aldehyde or ketone was similarly obtained [30]. This method also avoids many unexpected rearrangements and dehydrations that can occur under the standard conditions. In addition, SiO2-promoted SeO2 oxidation of an allylic alcohol such as 35 in the presence of TBHP gave the corresponding aldehyde 36 in 60%–92% yield (Scheme 5, middle) [31]. Recently, the catalytic oxidation with Ph2Se2 in the presence of oxygen donors such as TBHP has been used for a variety of functional groups [32,33]. The oxidation of 37 in the presence of a catalytic amount of selenium reagent and excess TBHP afforded the corresponding carbonyl compound 38 in a mild manner (Scheme 5, bottom).
Scheme 5.
tert-Butyl hydroperoxide-promoted allylic oxidation of alkenes as well as oxidation of 2° alcohols.
The standard allylic oxidation of hindered substrates with SeO2 can cause undesired side reactions and leave starting material unreacted [34,35]. On the other hand, SeO2 oxidation of 39 in a 2:1 mixture of formic acid and dioxane afforded 40 in 99% yield, but the use of acetic acid as solvent gave a longer reaction time and lower yield of the product [34]. A combination of formic acid and SeO2 was found to accelerate the allylic oxidation of sterically hindered alkene 41, affording excellent yields of the corresponding allylic formates 42 and 43 in a regioselective and stereoselective manner (Scheme 6) [35]. Application of quite similar conditions to dicyclopentadiene 44 gave the allylic alcohol 45 [35]. A proposed mechanism for oxidation with SeO2 in formic acid leading to the allylic formate [35] is provided in the lower panel of Scheme 6. Other discussions of mechanisms are collected in Section 2.2 (vide infra).
Scheme 6.
A combination of formic acid and SeO2 for allylic oxidation (top three panels) and a proposed mechanism (bottom panel).
The conversion of cycloocta-1,3-diene (46) to the alcohol cycloocta-3,5-dien-1-ol (47) has been attempted by reduction of vinyl epoxides or by SeO2 oxidation of alkenes or dienes [36]. Such methods usually gave a mixture of allylic and homoallylic products and were only performed in a small scale accompanied by chromatographic purification. For example, Riley oxidation of cycloocta-1,3-diene (46) gave 48, the acetate of 47, along with two other isomeric acetates, 49 and 50. Subsequent reduction with LiAlH4 gave a mixture of 47, 51, and 52 in 7.5:1.5:1 ratio, respectively [37]. To achieve a larger quantity of product and facilitate purification, the reaction was carried out under an atmosphere of O2, whereupon only two isomers (48 and 49) were obtained in a 19:1 ratio [36]. Herein, an SeO2/O2 combination increased the yield and selectivity for the formation of 47 (Scheme 7).
Scheme 7.
Co-oxidation of dienes with SeO2 and O2.
Selenium dioxide oxidation of alkenes in acetic acid is known to give allylic oxidation products, but in the presence of acid (H2SO4), the oxidation of cyclohexene (53) gave cyclohexane-1,2-diol diacetate (54) as the major product (32% yield) as compared with cyclohex-2-en-1-ol acetate in the absence of acid [38]. On face value, the presence of the protic catalyst promotes the formation of the direct double addition (which is still an oxidation process) versus the expected allylic substitution via the presumed organoselenium intermediate [38]. The same H2SO4-catalyzed oxidation of the acetylenic substrate 55 in acetic acid generated 56 in 66% yield. By contrast, the reaction in acetic acid gave a mixture of 57 and 58 in 26% and 34% yield, respectively; the reaction in ethanol afforded 59 and 60 in 33% and 8% yield, respectively; and in ethanol alone, no reaction occurred [39]. A remarkable change depending on reaction conditions was observed with the acetylenic substrate 61, which has α-protons. SeO2 oxidation of 61 in ethanol gave the allylic product 62 in 27% yield, whereas use of a catalytic amount of H2SO4 afforded 63, 64, and 62 in 16.3%, 8.7%, and 6.3% yield, respectively (Scheme 8). Thus, the acid-catalyzed SeO2 oxidation proceeded at the triple bond rather than the α-position of the acetylenic substrate [39].
Scheme 8.
Acid-catalyzed oxidations with SeO2.
Riley oxidation has been applied to a number of heterocyclic N-oxide substrates (Scheme 9). In the case of pyrroline N-oxides lacking an α-methyl group (65–67), treatment with SeO2 introduced an unsaturation at the β-positions, giving the corresponding 2H-pyrrole (68–70). For the substrate containing a β-methyl group, but also lacking an α-methyl group (71), the product mixture included the corresponding β-unsaturated, 2H-pyrrole (72) and the β-unsaturated, 2H-pyrrole bearing a β-carboxaldehyde group (73) [40].
Scheme 9.
SeO2 oxidation of N-oxide substrates.
Riley oxidation of α-methyl substituted (and fully unsaturated) heterocyclic N-oxides generally affords good to excellent yields of the corresponding aldehyde [41,42]. Good comparisons are provided within families of methyl-substituted quinolines and of methyl-substituted pyrimidines [41]. Thus, the oxidation of a free base dimethylquinoline (74, lacking the N-oxide) gave the corresponding aldehyde 75 in 70% yield, to be compared with 97% for conversion of the analogous quinoline N-oxide 76 to the aldehyde 77. The oxidation of pyrimidines 78 and 79 gave the corresponding aldehydes 80 and 81 in 90% and 43% yield, respectively, and 79 also gave the dialdehyde product 82. The N-oxide substrates 83 and 84 did not give a substantially higher yield of the corresponding aldehydes 85 and 86 upon Riley oxidation versus that of 78 and 79; however, for the N-oxide, a monoaldehyde was formed to the exclusion of any dialdehyde 87 (Scheme 9). In this case, the improved reaction selectivity and yield of the monoaldehyde with N-oxide substrates must stem in part, if not wholly, from the greater ease of formation of the corresponding enamine, although the greater stability of the heterocycle-N-oxide versus the parent heterocycle toward indiscriminate oxidation (e.g., removal of an electron from the heterocyclic nucleus) as opposed to site-specific SeO2-mediated oxidation cannot be discounted.
Some seleninic acid derivatives can be used in conjunction with SeO2 to improve the reaction. One example shown in Scheme 10 illustrates the efficient oxidation provided by benzeneseleninic acid and its anhydride of various hydrazines (88–90) and hydrazo (91) derivatives. The hydrazines afforded the azo products (92–94) in yields that varied by <2-fold. On the other hand, an extreme case of reagent distinction is provided by 91, where the yield of azo product 95 was 96% with benzeneseleninic acid compared with a trace amount of product upon use of the classic SeO2 conditions [43].
Scheme 10.
Benzeneseleninic acid versus SeO2 for oxidation of 1,1-disubstituted hydrazines.
The Riley oxidation often presents challenges in purification owing to the presence of a stoichiometric if not excess quantity of SeO2. The reaction can be carried out catalytically by the addition of stoichiometric oxidants such as TBHP or O2, both of which are desirable from economic, health, and environmental standpoints, as well as easing the challenges of purification. A method for benzylic oxidation that employed O2 in excess in conjunction with catalytic amounts of nitric oxide and Se or SeO2 was applied to a series of 2-alkylnaphthalenes (96–98), affording the corresponding naphthalene-2-carboxylic acid (99) (Scheme 11, top) [44]. The same reaction with picolines 100 and 101 afforded the isonicotinic acid (102) and picolinic acid (103), respectively [44]. In both reaction sets, the yields spanned a considerable range, from 25% to 80% for 99, and 38% and 94% for 103 and 102, respectively. The mixture of nitric oxide and O2 recycles reduced selenium (elemental selenium and/or other partially reduced selenium species), and thereby maintains the selenium in the catalytically active, oxidized form (Scheme 11, bottom; shown for elemental Se).
Scheme 11.
Benzylic oxidation in the presence of Se or SeO2/O2/NO.
Microwave-assisted SeO2 oxidation of some aromatic substrates was found to improve reaction rates and form a cleaner product; the shorter reaction times often enabled the use of a lesser excess of SeO2, thereby facilitating the workup. A first set of examples includes conversion of 2,6-lutidine (104) and neocuproine (106) to the respective products 105 and 107 (Scheme 12, a) [45]. The oxidation of camphor (108) and derivatives by SeO2 is often sluggish (15 h–14 days), whereas the microwave-assisted process shortened the reaction time to 75 min and produced the corresponding product (109) in good yield (Scheme 12, b) [46]. The microwave-assisted SeO2 oxidation of 1,2-diarylethanones (110, representing 18 compounds) to form the diones 111 also shortened the reaction time from 8 h to 30–90 s (Scheme 12, c) [47]. The nature of the aryl groups in 110 included considerable diversity in Ar1 (= X-phenyl, where X includes –H, –F, –Cl, –Br, –CH3, –OCH3, –SCH3; 2- and 4-positions only) and also Ar1 = thiophen-2-yl, but was more limited for Ar2 (= X-phenyl, where X includes –H, –NO2, –Cl, and –OCH3; 2- and 4-positions only). In addition, the inclusion of urea-hydrogen peroxide (UHP) and application of microwave-assisted SeO2 oxidation of alkenes (112) shortened the reaction time to 40 s and increased the yield of the corresponding α,β-unsaturated aldehydes (113) (Scheme 12, d) [48]. The substituents accommodated in the R group of 112 include an ethyl group terminated with –OH, –OAc, or –Br; an oxo group; an ethylidene acetal; a 2-acetoxyethylidene group; and an acetoxymethyl-substituted oxiranyl group [48]. More recently, closed-vessel microwave (CVMW) irradiation accelerated the SeO2 oxidation of 1-tetralones (114) to 1,2-naphthoquinones (115) to the remarkably brief period of 1 s, compared with 4–7 h upon refluxing in acetic acid (Scheme 12, e) [49].
Scheme 12.
Microwave-assisted SeO2 oxidation. UHP, urea-hydrogen peroxide; MW, microwave.
In summary, the conditions explored over the years beyond the classic Riley oxidation (SeO2 in dioxane) include the following:
- Selenium reagent benzeneseleninic acid in methanol.
- Selenium reagent benzeneseleninic anhydride with indole or dihydropyran as a scavenger.
- SeO2 in dioxane with an added base such as pyridine.
- SeO2 in CH2Cl2 with the oxygen donor TBHP.
- SeO2 in CH2Cl2 with the oxygen donor TBHP and SiO2.
- Selenium reagent Ph2Se2 in CH2Cl2 with the oxygen donor TBHP.
- SeO2 in a mixture of formic acid and dioxane.
- SeO2 in acetic anhydride under an atmosphere of O2.
- SeO2 in acetic acid or ethanol with H2SO4 as an acid catalyst.
- Se or SeO2 in o-dichlorobenzene purged with a mixture of nitric oxide and O2.
- Microwave-assisted SeO2 oxidation in dioxane.
2.2. Mechanistic Considerations
The mechanistic course of the Riley oxidation has been the subject of investigation for more than three-quarters of a century [10]. Prior to delving into mechanism, perspective may be provided by the consideration of an experimental procedure reported in 1935 by H. A. Riley and A. R. Gray in Organic Syntheses [50,51]. (Note: the authors of this review believe that the cited contribution likely is that of H. L. Riley with typographical replacement of A for L. While the aforementioned publications in Organic Syntheses list no information concerning institutional affiliation, our supposition is posited on (i) familiarity with typewriters and typed print from that era, wherein A could be easily misread for L; (ii) the topic; (iii) publication in 1935, so soon after the original discovery; and (iv) the absence of any other publications concerning chemistry by an H. A. Riley in the period 1920–1950 as concluded from a search in Web of Science across all databases; moreover, there are only six publications to A. R. Gray, suggesting the latter likely was a research group member with H. L. Riley.) The balanced reaction for Riley oxidation of acetophenone to form phenylglyoxal is provided below (Equation (1)), where the inorganic products are elemental selenium and water. The reaction was carried out in dioxane containing 1.2 molar equivalents of H2O relative to SeO2.
C6H5COCH3 + SeO2 → C6H5COCHO + Se + H2O
Riley and Gray make several comments [50,51] that are germane to this discussion. First, that “commercial selenious acid (129 g, 1 mol) may be used in place of the mixture of selenium dioxide and water”. Second, referring to the mixture of SeO2 and water in dioxane, “the mixture is heated to 50–55 °C and stirred until the solid has gone into solution”, whereupon acetophenone is then added. Third, at the end of the reaction, that “the hot solution is decanted from the precipitated selenium”. The first and second statements highlight the question concerning the nature of the oxidizing species, while the third points to the heterogeneity of the process regardless of whether there is a homogeneous solution at the outset. The oxidation of acetophenone to form phenylglyoxal (Figure 1) was carried out by one of us following the protocol of Riley and Gray (except at 1/100th scale and at 1.0 rather than 1.7 M). The presence of water is required to achieve a homogeneous solution with SeO2 in dioxane. A black precipitate forms early in the reaction upon refluxing in the presence of acetophenone. Note that acetophenone is colorless, whereas phenylglyoxal is light yellow. The same reaction entirely at room temperature did not yield an initial homogeneous solution, but did afford a red precipitate.
Figure 1.
Photographs pertaining to the Riley oxidation of acetophenone. (A) SeO2 (1.1 g); (B) 1.1 g of SeO2 in 10 mL of dioxane containing 0.20 g of H2O; (C) the reaction mixture after heating at 55 °C for ~2 h and addition of 0.1 g of H2O to “dissolve” the SeO2; (D) the reaction mixture after addition of 1.2 g of acetophenone (1.0 M) and refluxing for 4 h; (E) the solid residue of putative selenium after decanting the supernatant of the crude reaction mixture.
At least three pathways for the mechanism of Riley oxidation have been proposed over the years [52,53,54,55,56,57,58,59]. Three composite pathways are shown in Scheme 13. The pathways, which have not been discussed previously for reactions of hydrodipyrrins, are shown here in the context of dihydrodipyrrin-carboxaldehyde formation from the corresponding 1-methyldihydrodipyrrin I. A distinct pathway proposed for the oxidation in the presence of formic acid, leading to allylic formates [35], is shown in Scheme 6.
Scheme 13.
Mechanisms proposed over the years for Riley oxidation (displayed for a 1-methyldihydrodipyrrin).
- Route I entails an ene reaction of I and SeO2 to give intermediate II. The subsequent intramolecular [2,3]-sigmatropic shift of II gives III, which, upon elimination, generates IV. The latter could proceed via reductive elimination or by hydrolysis followed by redox transformations.
- Route II begins with imine–enamine tautomerization of I. The enamine of I reacts with SeO2 to generate intermediate V, and then Pummerer-like rearrangement via intermediate VI yields VII. Subsequent elimination affords IV.
- Route III has an alternate endgame, wherein the Pummerer-like intermediate VI cyclizes to give the selaoxirane-containing VIII, which, upon loss of Se, gives IV.
The mechanisms displayed are formal and encapsulate key pathways drawn from multiple reports in the literature. The term formal here refers to electron counting, use of SeO2 alone as an intact species, and production of minimal selenium byproducts. Several points [60] germane to any contemplation of mechanism are as follows: (1) SeO2 in the solid state is a polymer; (2) SeO2 hydrates reversibly to give selenous acid (H2SeO3; known as selenious acid in the older literature); (3) SeO2 is insoluble in many organic solvents, whereas selenous acid is more soluble; (4) water is often added to the reaction mixture [1] to “dissolve” SeO2; (5) the common oxidation states of selenium are −2, 0, +2, +4, and +6; and (6) elemental selenium forms multiple allotropes (red, black, grey) including ring species (e.g., cyclo-Se8) akin to those for elemental sulfur.
The polymeric selenium dioxide (SeO2)n is shown in Scheme 14. The structure resembles a polycarbonate with replacement of carbon by selenium. Treatment with a limiting amount of water produces oligomeric species containing selenous acid-like end groups. Hydrolysis with a stoichiometric quantity of water would afford a quantitative yield of selenous acid. Selenous acid is a reasonably strong acid, with pKa ~2.5 (H2SeO3 → HSeO3− + H+) [60]. One expects the terminal selenous-acid like end-groups of the oligomers derived by hydrolysis of polymeric SeO2 to have similar acidity. If so, one rationale for the addition of pyridine or another base to the reaction mixture in Riley oxidation may be to neutralize the resulting Bronsted acid.
Scheme 14.
Polymeric SeO2, and the formation of oligomers upon partial aqueous hydrolysis.
A minimum conclusion from the above points is that the nature of the reacting selenium oxide species, invariably displayed as the three-atom entity SeO2 in textbook presentations, may include more complex substances. For the mechanisms shown in Scheme 13, the eliminated selenium byproducts (Se or HSeOH)—often not displayed explicitly in reports wherein mechanisms are proffered—are formal entities, and in fact, relatively little data are typically available concerning the composition of the selenium products, which is understandable given the focus by synthetic chemists on the organic product of the reaction. In his first paper, Riley described the appearance, recovery, and regeneration of the precipitated selenium species [1], and a selenium-containing insoluble orange, red, or black film inside the flask upon quenching the Riley oxidation (by addition of water or base) has been noted by many, including Jacobi and coworkers, who performed the first Riley oxidations of hydrodipyrrins [17], the focus of the present review. Early reviews described reports of complexes of organic substrates and selenium species in the precipitates, as well as controversies about mechanism [10]. The complexity of oxoselenium chemistry precludes simple correlation of selenium products with proposed organic mechanisms; in this regard, a formal species such as HSeOH could in principle undergo reaction, disproportionation, or combination with SeO2 or other species to form polyselenides and/or other products (as one hypothetical example, HSeOH + SeO2 → H2SeO3 + Se); similar reactions may occur with SeO2 (or oligomeric species thereof) with O–Se–OH moieties attached to an intermediate (e.g., III or V). If multiple selenium oxide species are present, one or more of a multiplicity of pathways may prevail, particularly under various conditions—as one explicit example, acidic conditions that cause protonation of a heterocyclic nitrogen atom may shift a reaction toward one pathway that is not a significant conduit for reactant to product under neutral conditions, and vice versa. Thus, the three mechanisms displayed in Scheme 13 are shown here for completeness as well as consideration of the results obtained upon Riley oxidation of diverse substrates.
2.3. Riley Oxidation of Diverse Hydrodipyrrins
The following tables contain examples of reactions of 45 distinct substrates including tetrahydrodipyrrins (entries 1–3) and dihydrodipyrrins (entries 4–45). A key organizational feature is that entries 1–17 contain hydrodipyrrins with gem-dialkyl groups at the 3-position, whereas entries 18–45 pertain to hydrodipyrrins with gem-dialkyl (or diphenyl) groups at the 2-position. For many cases, the yields range from 20%–60%, although some cases are reported to fail completely, while others give yields exceeding 60%. In most cases, the aldehyde is isolated, whereas in some cases, the aldehyde is converted in situ to the dimethyl acetal (Scheme 15). Isolation of the Riley oxidation product as the dimethyl acetal is provided in entries 7, 8, 18, 19, 21–28, 30–32, and 34. In rare instances, the Riley oxidation product was directly subjected to bacteriochlorin-forming conditions (entries 10 and 44), in which case the yield of the oxidation alone is obscured as one step in a three-step process (Riley oxidation, dimethyl acetal formation, and self-condensation to form the bacteriochlorin).
Scheme 15.
Conversion in situ of dihydrodipyrrin-1-carboxaldehyde to the corresponding dimethyl acetal, illustrated for the unsubstituted substrates.
A few compounds listed as entries in Table 1 have been described in the preceding text. The dihydrodipyrrins presented in five entries (39b, 40b, 41b, 42, and 43) correspond to structure 24 in Scheme 4. Similarly, compound 25 (Scheme 4) is shown in entry 25. The dihydrodipyrrin shown in entry 16a was examined under various Riley oxidation conditions, and the results are presented here (entries 16b–e). The dihydrodipyrrin shown in entry 17 (compound 116) was synthesized for this review. The synthesis procedure and characterization data for 116 are provided in Appendix A.
Table 1.
Summary of Riley oxidation of hydrodipyrrins a.
Examination of Table 1 for Riley oxidation of diverse 1-methyldihydrodipyrrins and several 1-methyltetrahydrodipyrrins leads to a number of insights. Concerning solvent, dioxane and DMF were usually employed. In some cases, pyridine was also added as a base. Jacobi and coworkers reported that the use of sublimed SeO2 and a “wet” solvent did not substantially increase the yield, and even a trace amount of water accelerated decomposition [17]. Concerning temperature, most reactions were carried out at room temperature. On the other hand, the Jacobi and Lash groups often performed the oxidation for several hours at room temperature, and then at 80 °C for 15 min (entries 35, 36a, 37, 38, 39b, 40b, 41b, 42, and 43). No examples are known of reactions at a lower temperature (<0 °C). The most significant insights concern structural effects. The interpretations drawn from the results in the table must be provisional in many cases given that, often, only single instances are available for comparison, and the synthetic work was carried out at a range of scales with various purification methods by different experimentalists. With those caveats, the insights to date include the following:
- A pyrroline N-oxide provides superior results (entry 1 versus 2, 79% versus 0%).
- Two 1-methyltetrahydrodipyrrin-N-oxides (entries 1 and 3) could be converted to the corresponding aldehyde, but neither product was subsequently converted to a hydroporphyrin. Methods for N-deoxygenation will likely be required to do so.
- β-Alkyl versus β-aryl groups afford comparable results (entry 6 versus 4, ~40%; and 26 versus 27, 31%).
- An aza-spirohexyl group in lieu of a gem-dimethyl has no adverse effect (entries 7,8 versus 4; ~40% for both; the former are dimethyl acetals).
- β,β-Dialkyl or β,β-annulated arenes afford comparable results (entries 9, 11 and 12; ~60%).
- A tert-butyl ester and ethyl ester at the 9-position afford comparable results (entries 9 and 12; ~60%).
- A pre-existing aldehyde group on the pyrrole unit survives intact and causes no adverse effect (entries 13 and 39–43; all yields >60%).
- The presence of a single aryl-substituted pyrrole gives yields of 22%–57% (entries 14–16).
- A lone p-bromophenyl group on the pyrrole unit affords acceptable results (entry 16, 38%), as does a p-iodophenyl group (entry 15, 57%), whereas a lone bromine atom on the pyrrole unit results in failure (entry 17, 0%) unless the pyrrole is stabilized with an ester substituent (entry 25, 37%; a dimethyl acetal) or a pyrrole N-tosyl group (entry 3, 43%; also a pyrroline N-oxide). Halopyrroles lacking stabilizing (e.g., electron-withdrawing) substituents are known to be unstable [66].
- A meso-alkyl or meso-aryl group affords comparable results (entries 19 and 20; 63% and 65%; the former is a dimethyl acetal).
- A meso-alkyl group has no apparent adverse effect (entries 42 and 43 versus 39a; >60%).
- The position of the gem-dimethyl group at the 2,2- versus 3,3-site has relatively little adverse effect (entry 23 versus 4; 25% for the dimethyl acetal versus 32 or 40% for the aldehyde).
- The presence of larger 2,2-dialkyl groups is satisfactory (entries 29 and 30; yields >50%, the latter is a dimethyl acetal).
- In one case, a Z-isomer gives the Z-isomer (entry 29, 57%), whereas the E-isomer gave a ~4:1 mixture of the Z- and E-products (entry 30; 51% and 12%; both dimethyl acetals).
- In another case, the Z- and E-isomers individually each give a mixture of the Z and E products (entries 31 and 32; total yields >55%; all dimethyl acetals). In this and the preceding example, the 2-position substituents are bulky (alkyl or phenyl) groups.
- 2,2-Diphenyl substituents afford both the Z- and E-isomers in comparable quantities and nearly twice the yield of the 2,2-dimethyl unit (entry 31 versus 18; 55% total versus 30%).
- In yet another case, the Z-isomer gives a 5:1 mixture of the Z and E products (entry 40a).
- The remarkably high yields of 99% (entries 13 and 40a) are hard to reconcile with yields of ~60% for nearly identical substrates (entries 12 and 39).
- The presence of a single ester substituent on the pyrrole unit affords good yield, whereas the fully unsubstituted pyrrole does not afford product (entry 34 versus 45; 47% versus 0%; the former is a dimethyl acetal).
- The presence of an unsubstituted pyrrole affords products that are not stable or are formed in low yield (entries 44, 45; 5.8% for the bacteriochlorin product of the former, 0% for the latter).
3. Outlook
Selenium—discovered in 1817 (by Berzelius and Gahn) and named after the moon (Gk, selene) [60]—has found myriad use in the materials sciences (e.g., photoconductors, semiconductors) and in organic chemistry, all with no sign of eclipse through >200 years of study. In organic chemistry, selenium finds its most widespread use in the SeO2-mediated conversion of a methyl group to the corresponding aldehyde group, which originated with the pioneering work of Harry Lister Riley in the early 1930s. In tetrapyrrole chemistry, Riley oxidation provides an essential transformation of 1-methylhydrodipyrrins to the corresponding hydrodipyrrin-carboxaldehyde or dimethyl acetal thereof. The comprehensive review here shows that the Riley oxidation has considerable tolerance for substituents in the pyrrole and pyrroline ring of the dihydrodipyrrin, although in general, the yields rarely exceed 70%, with yields of 30%–40% often more typical. Hardly any data are available concerning the nature of the side reactions, and byproducts formed, that account for the low yields. In context, most substrates examined to date for Riley oxidations have contained ketones or alkenes rather than heterocycles or imines, as described herein. Particular structural limitations that cause failure of the Riley oxidation with hydrodipyrrins include the absence of any substituents in the pyrrole nucleus, or the presence of a lone bromine atom. On the other hand, a single ester or even aryl substituent in the pyrrole nucleus suffices to give a successful oxidation. Such structural limitations impact the scope of available hydroporphyrins. The survey in part I here of a broad range of substrates reveals diverse conditions beyond those considered for the classic Riley oxidation, namely SeO2 in 1,4-dioxane. Many observations that bear on mechanism have been reported over the years, but fundamental mechanistic studies (which largely petered out in the latter part of the 20th century) may warrant renewed investigation, particularly in the context of the available diversity of reaction conditions. Most such reaction conditions have not been applied to the hydrodipyrrins, which may present new synthetic opportunities as the Riley oxidation nears its century mark.
Author Contributions
P.W. prepared 8-bromo-1,3,3-trimethyl-2,3-dihydrodipyrrin (116), carried out the experiments for entries 16 b–e and 17, and did extensive literature research. J.S.L. carried out the reaction shown in Figure 1 (during the Covid-19 lockdown), and wrote most of the paper. All authors have read and agreed to the published version of the manuscript.
Funding
This work was supported by the NSF (CHE-1760839).
Acknowledgments
We wish to thank former group members (Srinivasa Rao Allu, Veeraraghavaiah Gorre, Han-Je Kim, Yizhou Liu, Olga Mass, Marcin Ptaszek, Kanumuri Ramesh Reddy, Muthyala Nagarjuna Reddy, and Shaofei Zhang) who contributed to the chemistry reviewed herein and provided valuable commentary on the manuscript. Mass spectrometry and NMR spectroscopy were carried out in the Molecular Education, Technology, and Research Innovation Center (METRIC) at NC State University.
Conflicts of Interest
The authors declare no competing financial interests.
Abbreviations
| 2,6-DTBP | 2,6-di-tert-butylpyridine |
| CVMW | closed-vessel microwave |
| DMF | N,N-dimethylformamide |
| ESI-MS | electrospray ionization mass spectrometry |
| MW | microwave |
| rt | room temperature |
| SEAr | electrophilic aromatic substitution |
| TBAF | tetra-n-butylammonium fluoride |
| TBHP | tert-butyl hydroperoxide |
| TFA | trifluoroacetic acid |
| THF | tetrahydrofuran |
| TMSOTf | trimethylsilyl trifluoromethanesulfonate |
| TsOH·H2O | p-toluenesulfonic acid monohydrate |
| UHP | urea-hydrogen peroxide |
Appendix A
Preparation of 8-Bromo-1,3,3-trimethyl-2,3-dihydrodipyrrin (116).
Scheme A1.
McMurry-type ring closure for dihydrodipyrrin formation.
Scheme A1.
McMurry-type ring closure for dihydrodipyrrin formation.

Following an established procedure [22], a sample of 4-bromo-2-(3,3-dimethyl-2-nitro-5-oxo-hexyl)-1-tosylpyrrole [67] (117, 3.43 g, 7.30 mmol) was treated with tetra-n-butylammonium fluoride (TBAF) (9.0 mL of 1.0 M in tetrahydrofuran (THF), 9.0 mmol; the THF was freshly distilled from Na/benzophenone ketyl) under an argon atmosphere and stirred for 1.5 h under reflux in an oil bath (Scheme A1). The reaction mixture was treated with saturated aqueous NaHCO3 followed by ethyl acetate. The organic layer was separated, dried (Na2SO4), and concentrated to a brown oil. The oil was further dried under high vacuum and purified by chromatography (silica, hexanes/ethyl acetate (3:2)) to afford the deprotected pyrrole as a yellow oil (501 mg); this product was used directly in the next step. For the ensuing TiCl3-catalyzed reductive cyclization, a solution of the pyrrole (501 mg, 1.58 mmol) in THF (10 mL; freshly distilled from Na/benzophenone ketyl) was deaerated by bubbling with argon for 10 min, and then treated with NaOMe (430 mg, 7.90 mmol) followed by stirring for 45 min at 0 °C under argon. In the second flask, a solution of NH4OAc (48.7 g, 632 mmol) in water (63 mL) was deaerated by bubbling with argon for 30 min and then treated with TiCl3 (1.22 g, 7.90 mmol, 20% w/v solution in 2 N HCl). The suspension was stirred for 15 min at room temperature under an atmosphere of argon. The solution in the first flask containing the nitronate anion of the free pyrrole was transferred via a cannula to the buffered TiCl3 solution in the second flask. The resulting brown mixture was stirred for 1 h under argon, and the flask was sealed to react for 16 h. The reaction mixture was slowly poured into a stirred mixture of saturated aqueous NaHCO3 (350 mL) and ethyl acetate (200 mL). The entire mixture was stirred vigorously at room temperature for 15 min. A clear phase separation did not occur. An additional quantity (200 mL) of ethyl acetate was added. The organic layer was separated and washed with saturated aqueous NaHCO3 (200 mL × 3). The dark-orange organic layer was dried (Na2SO4) and concentrated to a dark oil. The resulting oil was passed through a silica column (silica, hexanes/ethyl acetate (3:1)) to afford the title compound as a brown oil (83 mg, 14%): 1H-NMR (300 MHz, rt, CDCl3): δ 1.18 (s, 6 H), 2.20 (s, 3 H), 2.50 (s, 2 H), 5.62 (s, 1 H), 6.06–6.08 (m, 1 H), 6.76–6.77 (m, 1 H), 10.8 (br s, 1 H); 13C{1H}-NMR (75 MHz, rt, CDCl3) δ 20.8, 29.2, 41.2, 53.8, 96.4, 103.4, 109.9, 118.1, 131.9, 177.7. Electrospray ionization mass spectrometry (ESI-MS) analysis gave the characteristic double peaks owing to the isotopes of bromine (79Br, 81Br) at m/z ~267 and ~269 Da; here, data are listed for both ions: obsd 267.0498, calcd 267.0491 [(M + H)+, M = C12H15N279Br]; obsd 269.0476, calcd 269.0471 [(M + H)+, M = C12H15N281Br]. Studies of this compound are described in entry 17 of Table 1.
References
- Riley, H.L.; Morley, J.F.; Friend, N.A.C. Selenium Dioxide, a New Oxidising Agent. Part I. Its Reaction with Aldehydes and Ketones. J. Chem. Soc. 1932, 1875–1883. [Google Scholar] [CrossRef]
- Riley, H.L.; Friend, N.A.C. Selenium Dioxide, a New Oxidising Agent. Part II. Its Reaction with Some Unsaturated Hydrocarbons. J. Chem. Soc. 1932, 2342–2344. [Google Scholar] [CrossRef]
- Astin, S.; Newman, A.C.C.; Riley, H.L. Selenium Dioxide, a New Oxidising Agent. Part III. Its Reaction with Some Alcohols and Esters. J. Chem. Soc. 1933, 391–394. [Google Scholar] [CrossRef]
- Emeléus, H.J.; Riley, H.L. The Luminous Reduction of Selenium Dioxide. Proc. Roy. Soc. Lond. Ser. A 1933, 140, 378–387. [Google Scholar]
- Astin, S.; Riley, H.L. Selenium Dioxide. A New Oxidising Agent. Part IV. The Preparation and Properties of Ethyl Ketohydroxysuccinate. J. Chem. Soc. 1934, 844–848. [Google Scholar] [CrossRef]
- Astin, S.; Moulds, L.D.V.; Riley, H.L. Selenium Dioxide, a New Oxidising Agent. Part V. Some Further Oxidations. J. Chem. Soc. 1935, 901–904. [Google Scholar] [CrossRef]
- Moulds, L.D.V.; Riley, H.L. The Polymerisation of Methylglyoxal. J. Chem. Soc. 1938, 621–626. [Google Scholar] [CrossRef]
- Riley, H.L. Oxidation Activity of Selenium Dioxide. Nature 1947, 159, 571–572. [Google Scholar] [CrossRef]
- Blayden, H.E. In Memoriam: HL Riley. Carbon 1987, 25, 591–592. [Google Scholar] [CrossRef]
- Rabjohn, N. Selenium Dioxide Oxidation. Org. React. 1948, 5, 331–386. [Google Scholar]
- Waitkins, G.R.; Clark, C.W. Selenium Dioxide: Preparation, Properties, and Use as Oxidizing Agent. Chem. Rev. 1945, 36, 235–289. [Google Scholar] [CrossRef]
- Nakamura, A.; Nakada, M. Allylic Oxidations in Natural Product Synthesis. Synthesis 2013, 45, 1421–1451. [Google Scholar]
- Mlochowski, J.; Wojtowicz-Mlochowska, H. Developments in Synthetic Application of Selenium(IV) Oxide and Organoselenium Compounds as Oxygen Donors and Oxygen-Transfer Agents. Molecules 2015, 20, 10205–10243. [Google Scholar] [CrossRef]
- Scheer, H. An Overview of Chlorophylls and Bacteriochlorophylls: Biochemistry, Biophysics, Functions and Applications. In Chlorophylls and Bacteriochlorophylls. Biochemistry, Biophysics, Functions and Applications; Grimm, B., Porra, R.J., Rüdiger, W., Scheer, H., Eds.; Springer: Dordrecht, The Netherlands, 2006; Volume 25, pp. 1–26. [Google Scholar]
- Lindsey, J.S. De Novo Synthesis of Gem-Dialkyl Chlorophyll Analogues for Probing and Emulating our Green World. Chem. Rev. 2015, 115, 6534–6620. [Google Scholar] [CrossRef]
- Jacobi, P.A.; Lanz, S.; Ghosh, I.; Leung, S.H.; Löwer, F.; Pippin, D. A New Synthesis of Chlorins. Org. Lett. 2001, 3, 831–834. [Google Scholar] [CrossRef]
- O’Neal, W.G.; Roberts, W.P.; Ghosh, I.; Wang, H.; Jacobi, P.A. Studies in Chlorin Chemistry. 3. A Practical Synthesis of C,D-Ring Symmetric Chlorins of Potential Utility in Photodynamic Therapy. J. Org. Chem. 2006, 71, 3472–3480. [Google Scholar] [CrossRef]
- O’Neal, W.G.; Jacobi, P.A. Toward a General Synthesis of Chlorins. J. Am. Chem. Soc. 2008, 130, 1102–1108. [Google Scholar]
- Zhang, S.; Kim, H.-J.; Tang, Q.; Yang, E.; Bocian, D.F.; Holten, D.; Lindsey, J.S. Synthesis and Photophysical Characteristics of 2,3,12,13-Tetraalkylbacteriochlorins. New J. Chem. 2016, 40, 5942–5956. [Google Scholar] [CrossRef]
- Liu, Y.; Lindsey, J.S. Northern–Southern Route to Synthetic Bacteriochlorins. J. Org. Chem. 2016, 81, 11882–11897. [Google Scholar] [CrossRef]
- Wang, P.; Lu, F.; Lindsey, J.S. Use of the Nascent Isocyclic Ring to Anchor Assembly of the Full Skeleton of Model Chlorophylls. J. Org. Chem. 2020, 85, 702–715. [Google Scholar] [CrossRef]
- Zhang, S.; Lindsey, J.S. Construction of the Bacteriochlorin Macrocycle with Concomitant Nazarov Cyclization to Form the Annulated Isocyclic Ring: Analogues of Bacteriochlorophyll a. J. Org. Chem. 2017, 82, 2489–2504. [Google Scholar] [CrossRef]
- Ptaszek, M.; Bhaumik, J.; Kim, H.-J.; Taniguchi, M.; Lindsey, J.S. Refined Synthesis of 2,3,4,5-Tetrahydro-1,3,3-trimethyldipyrrin, a Deceptively Simple Precursor to Hydroporphyrins. Org. Process Res. Dev. 2005, 9, 651–659. [Google Scholar] [CrossRef]
- Ninomiya, I.; Hashimoto, C.; Kiguchi, T.; Naito, T.; Barton, D.H.R.; Lusinchi, X.; Milliet, P. Dehydrogenation with Benzeneseleninic Anhydride in the Total Synthesis of Ergot Alkaloids. J. Chem. Soc. Perkin Trans 1 1990, 707–713. [Google Scholar] [CrossRef]
- Trachtenberg, E.N. Selenium Dioxide Oxidation. In Oxidation: Techniques and Applications in Organic Synthesis; Augustine, R.L., Ed.; Marcel Dekker: New York, NY, USA, 1969; pp. 19–187. [Google Scholar]
- Fujita, H.; Jing, H.; Krayer, M.; Allu, S.; Veeraraghavaiah, G.; Wu, Z.; Jiang, J.; Diers, J.R.; Magdaong, N.C.M.; Mandal, A.K.; et al. Annulated Bacteriochlorins for Near-Infrared Photophysical Studies. New J. Chem. 2019, 43, 7209–7232. [Google Scholar] [CrossRef]
- Clark, K.J.; Fray, G.I.; Jaeger, R.H.; Robinson, R. Synthesis of D- and L- Isoiridomyrmecin and Related Compounds. Tetrahedron 1959, 6, 217–224. [Google Scholar] [CrossRef]
- Bhalerao, U.T.; Rapoport, H. Stereochemistry of Allylic Oxidation with Selenium Dioxide. Stereospecific Oxidation of gem-Dimethyl Olefins. J. Am. Chem. Soc. 1971, 93, 4835–4840. [Google Scholar]
- Camps, F.; Coll, J.; Parente, A. Selenium Dioxide Oxidation of Substrates with Acid Labile Groups. Synthesis 1978, 215–216. [Google Scholar] [CrossRef]
- Umbreit, M.A.; Sharpless, K.B. Allylic Oxidation of Olefins by Catalytic and Stoichiometric Selenium Dioxide with tert-Butyl Hydroperoxide. J. Am. Chem. Soc. 1977, 99, 5526–5528. [Google Scholar] [CrossRef]
- Kalsi, P.S.; Chhabra, B.R.; Singh, J.; Vig, R. Selective Oxidation of Primary Allylic Alcohols to α,β-Unsaturated Aldehydes. Synlett 1992, 425–426. [Google Scholar] [CrossRef]
- Kuwajima, I.; Shimizu, M.; Urabe, H. Oxidation of Alcohols with tert-Butyl Hydroperoxide and Diaryl Diselenide. J. Org. Chem. 1982, 47, 837–842. [Google Scholar] [CrossRef]
- van der Toorn, J.C.; Kemperman, G.; Sheldon, R.A.; Arends, I.W.C.E. Diphenyldiselenide-Catalyzed Selective Oxidation of Activated Alcohols with tert-Butyl Hydroperoxide: New Mechanistic Insights. J. Org. Chem. 2009, 74, 3085–3089. [Google Scholar] [CrossRef] [PubMed]
- Nagaoka, H.; Shibuya, K.; Yamada, Y. Total Synthesis of Upial, A Marine Sesquiterpene Possessing Bicyclo [3.3.1]nonane Ring System. Tetrahedron 1994, 50, 661–688. [Google Scholar] [CrossRef]
- Shibuya, K. A Novel Allylic Oxidation Using a Combination of Formic Acid and Selenium Dioxide. Synth. Commun. 1994, 24, 2923–2941. [Google Scholar] [CrossRef]
- Koltun, E.S.; Kass, S.R. Synthesis of Cycloocta-3,5-dien-1-ol and Cycloocta-3,5-dien-1-one: SeO2/O2 Oxidation of Dienes. Synthesis 2000, 2000, 1366–1368. [Google Scholar] [CrossRef]
- Hanold, N.; Meier, H. Die Unsymmetrischen Cyclooctadienine: 1,3-Cyclooctadien-5-in und 1,6-Cyclooctadien-3-in. Chem. Ber. 1985, 118, 198–209. [Google Scholar] [CrossRef]
- Javaid, K.A.; Sonoda, N.; Tsutsumi, S. A New Reaction in the Selenium Dioxide Oxidation of Olefins. Tetrahedron Lett. 1969, 10, 4439–4441. [Google Scholar] [CrossRef]
- Sonoda, N.; Yamamoto, Y.; Murai, S.; Tsutsumi, S. A New Acid Catalyzed Oxidation of Some Acetylenic Compounds with Selenium Dioxide. Chem. Lett. 1972, 1, 229–232. [Google Scholar] [CrossRef]
- Bender, H.; Döpp, D. 2H-Pyrrole-l-oxides by Selenium Dioxide Dehydrogenation of Pyrroline-1-oxides. Tetrahedron Lett. 1980, 21, 1833–1836. [Google Scholar] [CrossRef]
- Sakamoto, T.; Sakasai, T.; Yamanaka, H. Studies on Pyrimidine-derivatives. XXII. Site-selective Oxidation of Dimethylpyrimidines with Selenium Dioxide to Pyrimidine-monoaldehydes. Chem. Pharm. Bull. 1981, 29, 2485–2490. [Google Scholar] [CrossRef][Green Version]
- Kim, H.-J.; Dogutan, D.K.; Ptaszek, M.; Lindsey, J.S. Synthesis of Hydrodipyrrins Tailored for Reactivity at the 1- and 9-Positions. Tetrahedron 2007, 63, 37–55. [Google Scholar] [CrossRef]
- Back, T.G.; Kerr, R.G. Oxidation of 1,l-Disubstituted Hydrazines with Benzeneseleninic Acid and Selenium Dioxide. Facile Preparation of Tetrazenes. Can. J. Chem. 1982, 60, 2711–2718. [Google Scholar] [CrossRef]
- Remias, J.E.; Sen, A. Nitrogen Oxides/Selenium Dioxide-Mediated Benzylic Oxidations. J. Mol. Catal. A Chem. 2003, 201, 63–70. [Google Scholar] [CrossRef]
- Goswami, S.; Adak, A.K. Microwave Assisted Improved Synthesis of 6-Formylpterin and Other Heterocyclic Mono- and Di-aldehydes. Synth. Commun. 2003, 33, 475–480. [Google Scholar] [CrossRef]
- Belsey, S.; Danks, T.N.; Wagner, G. Microwave-Assisted Selenium Dioxide Oxidation of Camphor Derivatives to α-Dicarbonyl Compounds and Oxoimines. Synth. Commun. 2006, 36, 1019–1024. [Google Scholar] [CrossRef]
- Shirude, S.T.; Patel, P.; Giridhar, R.; Yadav, M.R. An Efficient and Time Saving Microwave-Assisted Selenium Dioxide Oxidation of 1,2-Diarylethanones. Ind. J. Chem. 2006, 45B, 1080–1085. [Google Scholar] [CrossRef]
- Manktala, R.; Dhillon, R.S.; Chhabra, B.R. Urea-Hydrogen Peroxide and Microwave: An Eco-friendly Blend for Allylic Oxidation of Alkenes with Catalytic Selenium Dioxide. Ind. J. Chem. 2006, 45B, 1591–1594. [Google Scholar] [CrossRef]
- Gelman, D.M.; Perlmutter, P. Microwave-assisted Selenium Dioxide Mediated Selective Oxidation of 1-Tetralones to 1,2-Naphthoquinones. Tetrahedron Lett. 2009, 50, 39–40. [Google Scholar] [CrossRef]
- Riley, H.A.; Gray, A.R. Phenylglyoxal. Org. Syn. 1935, 15, 67–69. [Google Scholar]
- Riley, H.A.; Gray, A.R. Phenylglyoxal. Org. Syn. Coll. Vol. 1943, 2, 509–511. [Google Scholar]
- Trachtenberg, E.N.; Nelson, C.H.; Carver, J.R. Mechanism of Selenium Dioxide Oxidation of Olefins. J. Org. Chem. 1970, 35, 1653–1658. [Google Scholar] [CrossRef]
- Arigoni, D.; Vasella, A.; Sharpless, K.B.; Jensen, H.P. Selenium Dioxide Oxidations of Olefins. Trapping of the Allylic Seleninic Acid Intermediate as a Seleninolactone. J. Am. Chem. Soc. 1973, 95, 7917–7919. [Google Scholar] [CrossRef]
- Sharpless, K.B.; Gordon, K.M. Selenium Dioxide Oxidation of Ketones and Aldehydes. Evidence for the Intermediacy of β-Ketoseleninic Acids. J. Am. Chem. Soc. 1976, 98, 300–301. [Google Scholar] [CrossRef]
- Stephenson, L.M.; Speth, D.R. Mechanism of Allylic Hydroxylation by Selenium Dioxide. J. Org. Chem. 1979, 44, 4683–4689. [Google Scholar] [CrossRef]
- Woggon, W.-D.; Ruther, F.; Egli, H. The Mechanism of Allylic Oxidation by Selenium Dioxide. J. Chem. Soc. Chem. Commun. 1980, 706–708. [Google Scholar] [CrossRef]
- Warpehoski, M.A.; Chabaud, B.; Sharpless, K.B. Selenium Dioxide Oxidation of Endocyclic Olefins. Evidence for a Dissociation-Recombination Pathway. J. Org. Chem. 1982, 47, 2897–2900. [Google Scholar] [CrossRef]
- Singleton, D.A.; Hang, C. Isotope Effects and the Mechanism of Allylic Hydroxylation of Alkenes with Selenium Dioxide. J. Org. Chem. 2000, 65, 7554–7560. [Google Scholar] [CrossRef]
- Ra, C.S.; Park, G. Ab Initio Studies of the Allylic Hydroxylation: DFT Calculation on the Reaction of 2-Methyl-2-butene with Selenium Dioxide. Tetrahedron Lett. 2003, 44, 1099–1102. [Google Scholar] [CrossRef]
- Greenwood, N.N.; Earnshaw, A. Chemistry of the Elements, 2nd ed.; Butterworth Heinemann: Oxford, UK, 2001; pp. 747–788. [Google Scholar]
- Reddy, K.R.; Lubian, E.; Pavan, M.P.; Kim, H.-J.; Yang, E.; Holten, D.; Lindsey, J.S. Synthetic Bacteriochlorins with Integral Spiro-piperidine Motifs. New J. Chem. 2013, 37, 1157–1173. [Google Scholar] [CrossRef]
- Zhang, S.; Reddy, M.N.; Mass, O.; Kim, H.-J.; Hu, G.; Lindsey, J.S. Synthesis of Tailored Hydrodipyrrins and Their Examination in Directed Routes to Bacteriochlorins and Tetradehydrocorrins. New J. Chem. 2017, 41, 11170–11189. [Google Scholar] [CrossRef]
- Reddy, M.N.; Zhang, S.; Kim, H.-J.; Mass, O.; Taniguchi, M.; Lindsey, J.S. Synthesis and Spectral Properties of meso-Arylbacteriochlorins Including Insights into Essential Motifs of Hydrodipyrrin Precursors. Molecules 2017, 22, 634. [Google Scholar] [CrossRef]
- Liu, Y.; Allu, S.; Reddy, M.N.; Hood, D.; Diers, J.R.; Bocian, D.F.; Holten, D.; Lindsey, J.S. Synthesis and Photophysical Characterization of Bacteriochlorins Equipped with Integral Swallowtail Substituents. New J. Chem. 2017, 41, 4360–4376. [Google Scholar] [CrossRef]
- Noboa, M.A.; AbuSalim, D.I.; Lash, T.D. Azulichlorins and Benzocarbachlorins Derived Therefrom. J. Org. Chem. 2019, 84, 11649–11664. [Google Scholar] [CrossRef] [PubMed]
- Artico, M. Nitration, Sulfonation, and Halogenation. In Pyrroles. Part One. The Synthesis and the Physical and Chemical Aspects of the Pyrrole Ring; Jones, R.A., Ed.; John Wiley & Sons, Inc.: New York, NY, USA, 1990; pp. 329–395. [Google Scholar]
- Krayer, M.; Balasubramanian, T.; Ruzié, C.; Ptaszek, M.; Cramer, D.L.; Taniguchi, M.; Lindsey, J.S. Refined Syntheses of Hydrodipyrrin Precursors to Chlorin and Bacteriochlorin Building Blocks. J. Porphyr. Phthalocyanines 2009, 13, 1098–1110. [Google Scholar] [CrossRef]
© 2020 by the authors. Licensee MDPI, Basel, Switzerland. This article is an open access article distributed under the terms and conditions of the Creative Commons Attribution (CC BY) license (http://creativecommons.org/licenses/by/4.0/).































































