Abstract
As a traditional Chinese medicine, Patrinia scabiosifolia Link has been used to treat various inflammatory-related diseases, and recent studies have shown that it possesses potent anti-inflammatory activity. Therefore, phytochemical investigation on whole plants of P. scabiosifolia were carried out, which led to the isolation of two new iridoid glucosides, patriniscabiosides A (1) and B (2), together with six known compounds (3–8). The structural elucidation of all compounds was performed by HRESIMS and extensive spectroscopic analyses including IR, 1D, 2D NMR, and electronic circular dichroism (ECD). All the isolated compounds were tested for their anti-inflammatory activity using the NF-κB-Dependent Reporter Gene Expression Assay, and compound 3 displayed anti-inflammatory activity through the inhibition of the NF-κB pathway, with an inhibitory rate of 73.44% at a concentration of 10 μM.
1. Introduction
Growing evidence supports the idea that inflammation plays an important role in various human diseases including cerebrovascular, cardiovascular, pulmonary, blood, liver, and intestinal diseases [1]. Nuclear transcription factor κB (NF-κB) is an important transcription factor which regulates the expression of a variety of genes involved in immune and inflammatory responses, and the activation of the NF-κB pathway can lead to the induction of many inflammatory cytokines [2]. Therefore, compounds targeting the NF-κB signaling pathway are considered promising anti-inflammatory agents.
Iridoids, a large and still expanding class of monoterpenoids, are a type of secondary metabolites that can be found in many folk medicinal plants. Recent studies revealed that iridoids exhibit a wide range of bioactivities, including anti-inflammatory [3,4,5], antitumor [6], neuroprotective [7,8,9], and hepatoprotective effects [10,11], and can serve as promising lead compounds in drug discovery.
As an important source of iridoids, Patrinia scabiosifolia Link, a perennial plant belonging to the Caprifoliaceae family, is distributed widely in East Asia including China, Japan, and North Korea [12]. The whole plants of P. scabiosifolia have been used as traditional Chinese medicine to treat appendicitis, diarrhea, and postpartum abdominal pain [13]. Previous phytochemical investigations on P. scabiosifolia led to the isolation of triterpenoids [14,15,16,17,18,19,20,21,22], iridoids [21,22,23,24,25], flavonoids [21], and lignans [26].
As part of an ongoing project to search for novel bioactive compounds, the whole plants of P. scabiosifolia was further investigated, leading to the isolation of two new iridoid glucosides (1, 2) (Figure 1) and six known iridoids and iridoid glucosides (3~8). Compound 3 was shown to possess anti-inflammatory activity by the inhibition of the NF-κB pathway. Herein, we describe the isolation, structure elucidation, and pharmacological evaluation of these compounds.
Figure 1.
Structures of compounds 1 and 2.
2. Results and Discussions
2.1. Chemical Structure of Compound 1
Compound 1 was obtained as a white powder. Its molecular formula (C21H34O10) was assigned by HRESIMS, which showed an [M + H]+ ion peak at m/z 447.22247 (calcd for C21H35O10, 447.22247), indicating five degrees of unsaturation. The IR spectrum indicated the presence of hydroxyl (3383 cm−1) and carbonyl (1733 cm−1) groups. The 1H-NMR spectrum (Table 1) displayed three oxygenated methylene groups at δH 4.47 (1H, dd, J = 11.8, 2.1 Hz, H-6′a), 4.14 (1H, dd, J = 11.8, 5.8 Hz, H-6′b), 4.14 (1H, dd, J = 10.7, 3.2 Hz, H-3a), 3.97 (1H, t, J = 10.7 Hz, H-3b), 3.89 (1H, dd, J = 11.0, 4.8 Hz, H-10a), and 3.82 (1H, dd, J = 11.0, 9.0 Hz, H-10b), two oxygenated methines at δH 4.39 (1H, d, J = 7.8 Hz, H-1′), 4.26 (1H, br.t, J = 3.8 Hz, H-7), and three methyl groups at δH 0.95 (6H, d, J = 6.7 Hz, Me-4″, Me-5″) and 0.99 (3H, d, J = 6.7 Hz, Me-11). Analysis of the 13C-NMR spectrum revealed 21 carbon signals, including two carbonyls (δc 178.1, 174.5), six oxygenated tertiary carbons (δc 105.3, 83.7, 77.9, 75.4, 75.3, 71.5), three oxygenated methylenes (δc 74.4, 64.3, 61.8), five methines (δc 51.3, 43.3, 43.1, 37.3, 27.0), two methylenes (δc 44.3, 40.5), and three methyls (δc 22.8, 22.8, 15.8).
Table 1.
1H-NMR (500 MHz) and 13C-NMR (125 MHz) spectroscopic data of compounds 1 and 2 (in CD3OD, δ in ppm, J in Hz).
1H-1H COSY spectrum (Figure 2), in combination with HSQC and NMR data, indicated three coupling systems: the correlations H-3/H-4, H-4/H-5, H-4/Me-11, H-5/H-6, H-6/H-7, H-7/H-8, and H-8/H-9, H-8/H2-10 revealed a cyclopentane iridoid skeleton involving C(3)H2–C(4)H–C(5)H–C(6)H2–C(7)H–C(8)H–C(9)H, which was further confirmed by HMBC correlations from H-9 to C-4, C-6, from H-5 to C-1, C-8, and from H-3, H-5, H-8 to C-1; the correlations H-1′/H-2′, H-2′/H-3′, H-3′/H-4′, H-4′/H-5′, and H-5′/H-6′, in combination with 13C-NMR data, indicated a characteristic glucopyranosyl unit, whose configuration was determined to be β based on the coupling constants (J = 7.8 Hz) of the anomeric proton; an isovaleryl ester moiety was established by the 1H-1H COSY correlations H-3″/H-2″, H-3″/H-4″, and H-3″/H-5″, which was supported by HMBC correlations from H-2″, H-3″ to C-1″.
Figure 2.
Key 1H-1H COSY, HMBC, and ROESY correlations for compound 1.
The connection between the three fragments could be further determined by the HMBC spectrum. The correlation from H-1′ to C-7 and from H-7 to C-1′ indicated that the glucopyranosyl unit was attached to 7-OH, which was also supported by the downfield chemical shift of C-7 (δc 83.7). The correlation from H-6′ to C-1″ determined that the isovaleryl ester moiety was attached to 6′-OH. Thus, the planar structure of 1 was established.
The relative configuration of 1 was assigned on the basis of the ROESY spectrum. The correlations H-5/Me-11 and H-5/H-9 indicated that H-5, H-9, and Me-11 were on the same face of the ring, while the correlation H-9/H10 determined H-8 to be on the other face. Meanwhile, the correlation H-7/H-8 in combination with the absence of correlation fpr H-7/H-5, H-7/H-9, H-7/H-10b suggested that H-7 was on the same face as H-8.
The absolute configuration of 1 was further confirmed by electronic circular dichroism (ECD) (Figure S10, See Supplementary Materials), which showed a negative Cotton effect at 217.5 nm [27], suggesting the absolute configuration to be 4R,5R,7S,8S,9S. Thus, the structure of compound 1 was confirmed, as shown in Figure 1, and the compound was named patriniscabioside A.
2.2. Chemical Structure of Compound 2
Compound 2 was obtained as a yellow oil and was assigned the molecular formula C21H34O10, as deduced from the [M + HCOO]− ion at m/z 491.21338 (calcd for C22H35O12 491.21340). The IR spectrum suggested the presence of hydroxyl (3377 cm−1) and carbonyl (1747 cm−1) groups. The 1H and 13C NMR data of 2 (Table 1) resembled those reported for patrinoside [28], except for the sugar moiety. The analysis of the molecular formula, in combination with the chemical shift δc 36.4 of 2, suggested the presence of a deoxysaccharide unit. The 1H-1H COSY correlation (Figure 3) between H-4″ (δH 1.92, 1.36) and H-3″ (δH 3.60), H-5″ (δH 3.53) revealed that deoxygenation occurred at the C-4″ position, which was further supported by the HMBC correlation from H-2″ (δH 3.10), H-6″ (δH 3.57) to C-4″ (δc 36.4). Thus, a planar structure was established.
Figure 3.
Key 1H-1H COSY, HMBC, and ROESY correlations for compound 2.
Additionally, the ROESY correlations H-1/H-8, H-5/H-9, H-9/H-10a indicated that H-1, H-8 were on the same side, while H-5, H-9 were on the other side. Furthermore, the ROESY correlation H-7/H-8, together with the absence of correlation between H-7/H-5, H-9 and H-10b suggested that H-7 was also on the same side as H-8. To further determine the absolute configuration of 2, ECD calculation was conducted using time-dependent density functional theory (TD-DFT) at the B3LYP/6-31+G(d,p) level. The calculated ECD spectrum of (1S,5S,7S,8S,9S) model displayed a negative Cotton effect at 200 nm, which was in agreement with the experimental ECD of compound 2 (Figure 4). Thus, compound 2 was characterized as shown and named patriniscabioside B.
Figure 4.
Calculated and experimental ECD for compound 2.
2.3. Chemical Structures of Compounds 3–8
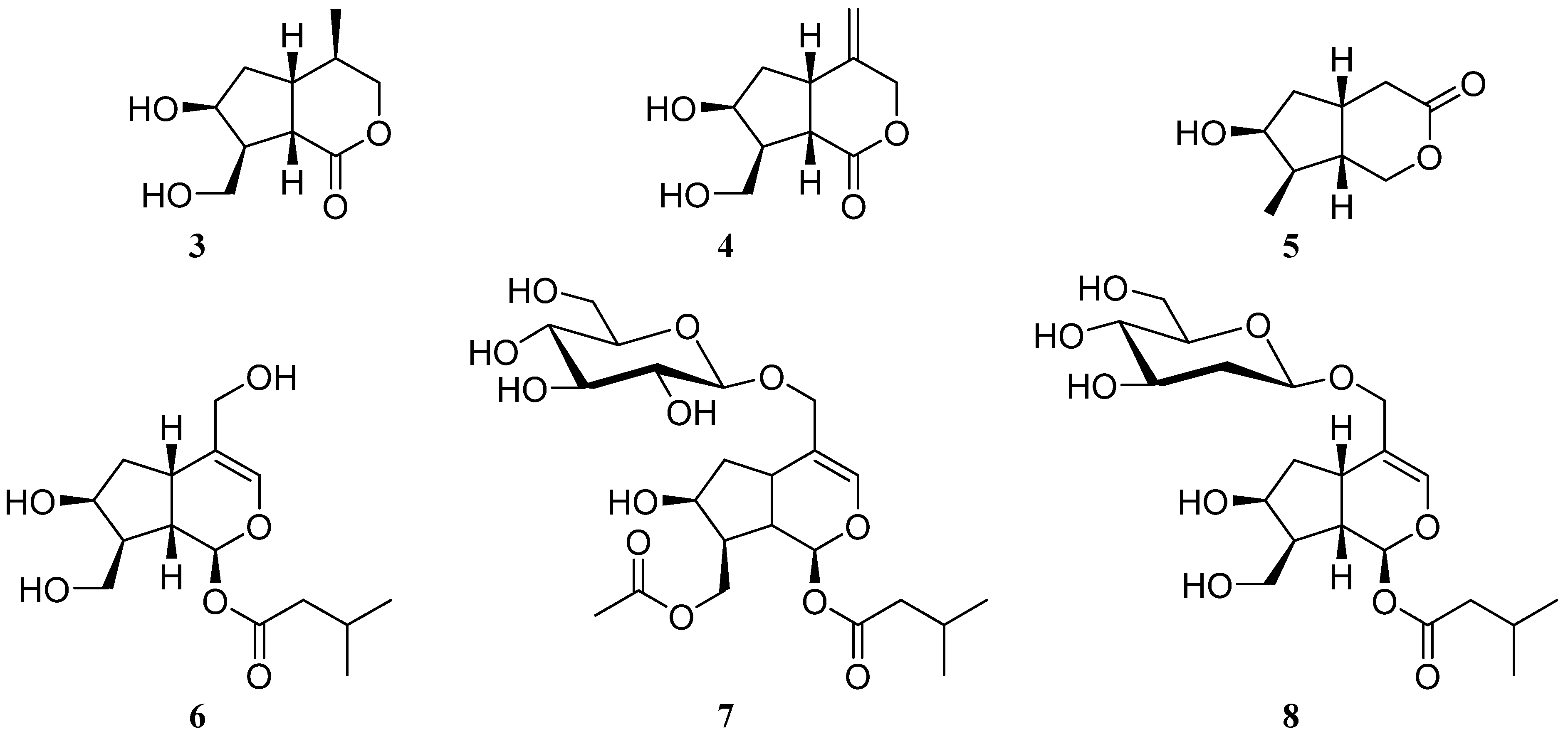
The known compounds were identified as (4R,5R,7S,8S,9S)-7-hydroxy-8-hydroxymethyl-4-methyl-perhydrocyclopenta[c]pyran-1-one (3) [29], 6-hydroxy-7-(hydroxymethyl)-4-methylenehexahydrocyclopenta[c]pyran-1(3H)-one (4) [30], 6-hydroxy-7-methylhexahydrocyclopenta[c]pyran-3-one (5) [31], patrinoside aglucone (6) [32], patrinoside aglucone-11-O-2′-deoxy-β-D-glucopyranoside (7) [33], and 10-acetylpatrinoside (8) [34] (Figure 5) based on the comparison of their spectroscopic data with those in the literature.
Figure 5.
Structures of compounds 3–8.
2.4. Biological Activities of Compounds 1–8
All the isolated compounds were assayed for their anti-inflammatory, hepatoprotective, and cytotoxic activities. Among these, compound 3 displayed anti-inflammatory activity by inhibiting the NF-κB pathway, with an inhibitory rate of 73.44% at the concentration of 10 μM, while the other compounds showed weak activity, with an inhibitory rate lower than 50% at 10 μM (Table 2). None of these compounds showed hepatoprotective or cytotoxic activities.
Table 2.
NF-κB-Dependent Reporter Gene Expression Assay results for compounds 1–8.
Iridoids are an important type of chemical constituents of the genus Patrinia. Previous investigations showed that some iridoids from P. heterophylla and P. scabra possessed significant anti-inflammatory activity [35,36,37]. However, studies on the iridoids in P. scabiosifolia were mainly focused on their cytotoxic and AChE inhibitory activities, and studies on the anti-inflammatory activity of the iridoids from this plant are still insufficient [22,25]. In our work, eight compounds were isolated from P. scabiosifolia. Structurally, compounds 1, 3, and 4 possess the same skeleton, and compound 3 is the aglucone of compound 1, while compounds 2, 6, 7, and 8 are of the same type, and compound 6 is the aglucone of compound 2. By comparing the chemical structures of compounds 1, 3, and 4 and their anti-inflammatory activities, we found that compound 3, regarded as the aglucone of compound 1, had enhanced the anti-inflammatory activity. In addition, when replaced the 4-CH3 with a double bond, as in compound 4, the anti-inflammatory activity dramatically decreased. In contrast, structures such as those of compounds 2, 6, 7, and 8 exhibited no NF-κB inhibition activity. These findings may be helpful for further investigation of structure–activity relationships on this type of compounds.
3. Materials and Methods
3.1. General
IR data were obtained with a Nicolet is 50 FT-IR spectrometer (Thermo Fisher Scientific, Waltham, MA, USA). Optical rotations were recorded with a JASCO P-2000 spectrometer (JASCO, Easton, MD, USA) at 20 °C. UV and ECD spectra were acquired on JASCO V-650 and JASCO J-815 spectrometers (JASCO, Easton, MD, USA), respectively. HRESIMS data were generated by an Agilent 6520 HPLC-Q-TOF mass spectrometer (Agilent Technologies, Waldbronn, Germany). NMR spectra were obtained with a Bruker AVIII-500 spectrometer (Bruker-Biospin, Billerica, MA, USA), with TMS as an internal standard. A Shimadazu LC-6AD instrument (SPD-20A) (Shimadzu Inc., Kyoto, Japan) was used for preparative HPLC separations. Column chromatography was performed using MCI Gel CHP20P (Mitsubishi Chemical Holdings Corporation; Tokyo, Japan), Sephadex LH-20 (GE Chemical Corporation; Waupaca, WI, USA) and silica gel (Qingdao Marine Chemical Inc.; Qingdao, China); TLC analyses were carried out using GF254 TLC plates (Qingdao Marine Chemical Inc.; Qingdao, China); ODS (50 μm) (Merck; Darmstadt, Germany) was used for MPLC separations.
3.2. Plant Material
The air-dried whole plants of Patrinia scabiosifolia Link (20 kg) were collected from Yunnan, China, in June 2018 and identified by Associate Prof. Lin Ma (Institute of Materia Medica, Chinese Academy of Medical Science and Peking Union Medical College). A voucher specimen (ID-24944) was deposited at the herbarium of the Institute of Materia Medica, Chinese Academy of Medical Sciences, and Peking Union Medical College.
3.3. Extraction and Isolation
The air-dried plant material (20 kg) of P. scabiosifolia was extracted three times with 95% EtOH under reflux for three hours each time and concentrated under reduced pressure to afford a crude residue (3650 g). Part of the residue (2100 g) was extracted by the Soxhlet method sequentially with petroleum ether, dichloromethane, ethyl acetate, and methanol to afford petroleum ether (80 g), CH2Cl2 (210 g), EtOAc (80 g), and MeOH (1500 g) soluble extracts.
The CH2Cl2 fraction was applied to a silica gel column and eluted with a gradient of CH2Cl2–MeOH (100:1–1:1) to give 21 fractions (Fr. A–U). Fr. I was first applied to a medium-pressure MCI column (MeOH–H2O 4:6) and then purified by Sephadex LH-20 (CH2Cl2–MeOH 1:1) to give compound 5 (1.5 mg). Fr. N was chromatographed on a silica gel column (CH2Cl2−MeOH, 100:1–1:1) to obtain 5 fractions (Fr. N.1–5). Fr. N.3 was then separated by a Sephadex LH-20 column (CH2Cl2–MeOH 1:1) and further purified by semipreparative HPLC (18% MeOH, v = 2 mL/min) to give compounds 3 (183.4 mg, tR = 28 min) and 4 (64.8 mg, tR = 25 min). Fr. Q was subjected to silica gel chromatography (CH2Cl2−MeOH, 50:1–1:1) to afford 5 subfractions (Fr. Q.1–5). Fr. Q.3 was then separated by Sephadex LH-20 chromatography (MeOH–H2O 4:6) and purified by semipreparative HPLC (20% acetonitrile, v = 2 mL/min) to yield compound 6 (2.1 mg, tR = 36 min).
The EtOAc portion was chromatographed on an MCI column, eluting with a gradient mixture of MeOH–H2O (3:7–10:0) to give 6 fractions (Fr. A–F). Fr. C (13.0 g) was subjected to silica gel chromatography (CH2Cl2−MeOH, 80:1–1:1) to obtain 9 fractions (Fr. C1–C9). Fr. C7 (3.3 g) was separated by medium-pressure ODS to afford 8 subfractions (Fr. C7a–C7h). Fr. C7d was subsequently subjected to Sephadex LH-20 chromatography (MeOH–H2O 1:1) and further purified by semipreparative HPLC (40% MeOH, v = 2 mL/min) to give compounds 2 (16.2 mg, tR = 34 min) and 7 (2.2 mg, tR = 37 min); Fr. C7e was fractionated and purified using the same procedure described above, leading to the isolation of compounds 1 (19.8 mg, tR = 26 min) and 8 (12.6 mg, tR = 28 min).
3.4. Spectroscopic Data of Compounds 1 and 2
Patriniscabioside A (1): white powder; [α+29 (c 0.10, MeOH); UV (MeOH): λmax (log ε) 205 nm (2.46); IR vmax 3383, 2960, 2930, 2875, 1733, 1458, 1398, 1369, 1334, 1294, 1239, 1190, 1169, 1081, 1050, 1024, 961, 895, 616 cm−1; 1H and 13C NMR data, see Table 1; HRESIMS m/z 447.22247 [M + H]+ (calcd. C21H35O10, 447.22247).
Patriniscabioside B (2): light yellow oil; [α-58 (c 1.0, MeOH); UV (MeOH): λmax (log ε) 204nm (4.11); IR vmax 3377, 2957, 2932. 2874, 1747, 1667, 1466, 1412, 1370, 1292, 1251, 1150, 1117, 1088, 1067, 1037, 1008, 983, 934, 889, 617 cm−1; 1H and 13C NMR data, see Table 1; HRESIMS m/z 491.21338 [M + HCOO]− (calcd. C22H35O12, 491.21340).
3.5. Anti-Inflammatory Assay for Compounds 1–8
The anti-inflammatory activity of all the isolated compounds was assayed in 293T cells transiently transfected with the pNF-κB-Luc expression plasmid. The pRL-CMV-Renilla plasmid was co-transfected as a control. After transfection, the cells were pretreated with the test compounds for 1 h and then stimulated with lipopolysaccharide (LPS, 1 μg/mL) for 24 h. A luciferase assay was performed with the Dual-Luciferase Reporter Assay System following the manufacturer’s instructions (Promega, Madison, WI, USA). The assay was conducted according to a previous published paper [38]. Compounds 1–8 were dissolved in DMSO at a concentration of 10 μM. JSH23 [4-methyl-N1-(3-phenylpropyl)-benzene-1,2-diamine] was used as positive control.
4. Conclusions
As a result, two new iridoid glucosides, patriniscabiosides A (1) and B (2), together with six known iridoids and iridoid glucosides (3~8), were isolated from the whole plants of Patrinia scabiosifolia, and their structures were elucidated by various spectroscopic analyses including 1D and 2D NMR, IR, UV, and HRESIMS. The absolute configuration of the new compounds was further confirmed by ECD. Among these, compound 1 is an iridoid glucoside with an isovaleryl moiety attached to the 6′-position of the glucose, and compound 2 possesses a rare 4-deoxyglucose moiety. In addition, compounds 4, 7, 8 are reported from P. scabiosifolia for the first time. Compound 3 displayed potent anti-inflammatory activity through the inhibition of the NF-κB pathway, with an inhibitory rate of 73.44% at a concentration of 10 μM. The cytotoxic and hepatoprotective activities of compounds 1–8 were also tested, but were not relevant. According to our bioassay results, we propose that the iridoid lactone skeleton, as well as the methyl group at C-4 can contribute to the anti-inflammatory activity, while its glucoside would, somehow, weaken its bioactivity. We believe our findings will provide important information for researchers in future work; further studies on the anti-inflammatory mechanism of the isolated compound are still needed.
Supplementary Materials
The following are available online. UV, IR, HRESIMS, CD, 1D- and 2D- NMR spectra for compounds 1 and 2, 1H and 13C NMR spectra and data for compounds 3~8, as well as optimized conformers of (1S,5S,7S,8S,9S)-2 and (1R,5R,7R,8R,9R)-2.
Author Contributions
J.Q. designed, offered guidance to the experiment, and revised the manuscript; S.S. and J.F. performed the experiments, analyzed the data, and wrote the manuscript; K.L. and M.D. offered assistance in data curation; J.Q., Y.L. (Yunbao Liu), S.M., and Y.L. (Yong Li) contributed as supervisors. All authors have read and agreed to the published version of the manuscript.
Funding
This research was funded by the Drug Innovation Major Project (2018ZX09711001-009) and CAMS Innovation Fund for Medical Science [No. 2017-I2M-3-010].
Institutional Review Board Statement
Not applicable.
Informed Consent Statement
Not applicable.
Data Availability Statement
The data presented in this study are available in supplementary material.
Acknowledgments
The authors are grateful to the Department of Pharmaceutical Analysis of Institute of Materia Medica, Chinese Academy of Medical Sciences, for their help in NMR measurements; to Hong-Qing Wang for HRESIMS measurements; to Li Li for ECD measurements; to Lian-Qiu Wu and Hai-Jing Zhang for their generous assistance in the bioactivity tests.
Conflicts of Interest
The authors declare no conflict of interest.
Sample Availability
Samples of the compounds 1–8 are available from the authors.
References
- Pan, M.H.; Chiou, Y.S.; Tsai, M.L.; Ho, C.T. Anti-inflammatory activity of traditional Chinese medicinal herbs. J. Tradit. Complement. Med. 2011, 1, 8–24. [Google Scholar] [CrossRef]
- Craig, R.; Larkin, A.; Mingo, A.M.; Thuerauf, D.J.; Andrews, C.; McDonough, P.M.; Glembotski, C.C. p38 MAPK and NF-κB Collaborate to Induce Interleukin-6 Gene Expression and Release. J. Biol. Chem. 2000, 275, 23814–23824. [Google Scholar] [CrossRef] [PubMed]
- Yuan, J.H.; Cheng, W.P.; Zhang, G.Y.; Ma, Q.J.; Li, X.M.; Zhang, B.; Hu, T.H.; Song, G. Protective effects of iridoid glycosides on acute colitis via inhibition of the inflammatory response mediated by the STAT3/NF-κB pathway. Int. Immunopharmacol. 2020, 81, 106240. [Google Scholar] [CrossRef] [PubMed]
- Shin, J.S.; Kang, S.Y.; Lee, H.H.; Kim, S.Y.; Lee, D.H.; Jang, D.S.; Lee, K.T. Patriscabrin F from the roots of Patrinia scabra attenuates LPS-induced inflammation by downregulating NF-κB, AP-1, IRF3, and STAT1/3 activation in RAW 264.7 macrophages. Phytomedicine 2020, 68, 153167. [Google Scholar] [CrossRef] [PubMed]
- Ma, S.L.; Zhang, C.; Zhang, Z.Y.; Dai, Y.X.; Gu, R.; Jiang, R. Geniposide protects PC12 cells from lipopolysaccharide-evoked inflammatory injury via up-regulation of miR-145-5p. Artif. Cells Nanomed. Biotechnol. 2019, 47, 2875–2881. [Google Scholar] [CrossRef]
- Saidi, I.; Nimbarte, V.D.; Schwalbe, H.; Waffo-Téguo, P.; Harrath, A.H.; Mansour, L.; Alwasel, S.; Jannet, H.B. Anti-tyrosinase, anti-cholinesterase and cytotoxic activities of extracts and phytochemicals from the Tunisian Citharexylum spinosum L.: Molecular docking and SAR analysis. Bioorg. Chem. 2020, 102, 104093. [Google Scholar] [CrossRef] [PubMed]
- Ji, L.L.; Wang, X.; Li, J.J.; Zhong, X.J.; Zhang, B.; Juan, J.; Shang, X.Y. New Iridoid Derivatives from the Fruits of Cornus officinalis and Their Neuroprotective Activities. Molecules 2019, 24, 625. [Google Scholar] [CrossRef]
- Zhang, Y.; Zhou, W.Y.; Song, X.Y.; Yao, G.D.; Song, S.J. Neuroprotective terpenoids from the leaves of Viburnum odoratissimum. Nat. Prod. Res. 2020, 34, 1352–1359. [Google Scholar] [CrossRef] [PubMed]
- Mahran, E.; Morlock, G.E.; Keusgen, M. Guided isolation of new iridoid glucosides from Anarrhinum pubescens by high-performance thin-layer chromatography-acetylcholinesterase assay. J. Chromatogr. A. 2020, 1609, 460438. [Google Scholar] [CrossRef]
- Fu, H.Z.; Ma, Y.Y.; Ma, S.C.; Zhou, Z.Q.; Luo, Y.H. Two new iridoid glycosides from Callicarpa nudiflora. J. Asian Nat. Prod. Res. 2020, 22, 264–270. [Google Scholar] [CrossRef]
- Ye, X.S.; He, J.; Cheng, Y.C.; Zhang, L.; Qiao, H.Y.; Pan, X.G.; Zhang, J.; Liu, S.N.; Zhang, W.K.; Xu, J.K. Cornusides A−O, Bioactive Iridoid Glucoside Dimers from the Fruit of Cornus officinalis. J. Nat. Prod. 2017, 80, 3103–3111. [Google Scholar] [CrossRef] [PubMed]
- The Plant List. 2013. Version 1.1. Available online: http://www.theplantlist.org/ (accessed on 1 January 2021).
- Gong, L.N.; Zou, W.; Zheng, K.Y.; Shi, B.R.; Liu, M.H. The Herba Patriniae (Caprifoliaceae): A Review on Traditional uses, Phytochemistry, Pharmacology and Quality Control. J. Ethnopharmacol. 2021, 265, 113264. [Google Scholar] [CrossRef]
- Woo, W.S.; Choi, J.S.; Seligmann, O.; Wagner, H. Sterol and triterpenoid glycosides from the roots of Patrinia scabiosaefolia. Phytochemistry 1983, 22, 1045–1047. [Google Scholar] [CrossRef]
- Choi, J.S.; Woo, W.S. Triterpenoid Glycosides from the Roots of Patrinia scabiosaefolia. Planta Med. 1987, 62–65. [Google Scholar] [CrossRef] [PubMed]
- Inada, A.; Yamada, M.; Murata, H.; Kobayashi, M.; Toya, H.; Kato, Y.; Nakanishi, T. Phytochemical Studies of Seeds of Medicinal Plants. I. Two Sulfated Triterpenoid Glycosides, Sulfapatrinosides I and II, from Seeds of Patrinia scabiosaefolia Fischer. Chem. Pharm. Bull. 1988, 36, 4269–4274. [Google Scholar] [CrossRef] [PubMed]
- Nakanishi, T.; Tanaka, K.; Murata, H.; Somekawa, M.; Inada, A. Phytochemical Studies of Seeds of Medicinal Plants. III. Ursolic Acid and Oleanolic Acid Glycosides from Seeds of Patrinia scabiosaefolia fischer. Chem. Pharm. Bull. 1993, 41, 183–186. [Google Scholar] [CrossRef]
- Kang, S.S.; Kim, J.S. A Triterpenoid Saponin from Patrinia scabiosaefolia. J. Nat. Prod. 1997, 60, 1060–1062. [Google Scholar] [CrossRef]
- Yang, M.Y.; Choi, Y.H.; Yeo, H.; Kim, J. A new triterpene lactone from the roots of Patrinia scabiosaefolia. Arch. Pharmacal Res. 2001, 24, 416–417. [Google Scholar] [CrossRef]
- Gao, L.; Zhang, L.; Li, N.; Liu, J.-Y.; Cai, P.-L.; Yang, S.-L. New triterpenoid saponins from Patrinia scabiosaefolia. Carbohydr. Res. 2011, 346, 2881–2885. [Google Scholar] [CrossRef]
- Lee, J.Y.; Kim, J.S.; Kim, Y.S.; Kang, S.S. Glycosides from the Aerial Parts of Patrinia villosa. Chem. Pharm. Bull. 2013, 61, 971–978. [Google Scholar] [CrossRef] [PubMed][Green Version]
- Liu, Z.H.; Ma, R.J.; Yang, L.; Li, J.Y.; Hou, B.; Hu, J.M.; Zhou, J. Triterpenoids and iridoids from Patrinia scabiosaefolia. Fitoterapia 2017, 119, 130–135. [Google Scholar] [CrossRef]
- Taguchi, H.; Endo, T. Patrinoside, a New Iridoid Glycoside from Patrinia scabiosaefolia. Chem. Pharm. Bull. 1974, 22, 1935–1937. [Google Scholar] [CrossRef] [PubMed][Green Version]
- Choi, E.J.; Liu, Q.H.; Jin, Q.; Shin, J.E.; Hong, J.; Lee, D.G.; Woo, E.R. New Iridoid Esters from the Roots of Patrinia scabiosaefolia. Bull. Korean Chem. Soc. 2009, 30, 1407–1409. [Google Scholar]
- Liu, Z.H.; Hou, B.; Yang, L.; Ma, R.J.; Li, J.Y.; Hu, J.M.; Zhou, J. Iridoids and bis-iridoids from Patrinia scabiosaefolia. RSC Adv. 2017, 7, 24940–24949. [Google Scholar] [CrossRef]
- Jiang, J.; Yu, X.X.; Fang, Y.C.; Zhang, Y.; Li, N.; Wang, K.J. Chemical Constituents of the Roots of Patrinia scabiosaefolia and the Cytotoxicity of Patrineolignans A and B. Chem. Nat. Compd. 2017, 53, 143–146. [Google Scholar] [CrossRef]
- Jennings, J.P.; Klyne, W.; Scopes, P.M. Optical Rotatory Dispersion. Part XXIV. Lactones. J. Chem. Soc. 1965, 7211–7229. [Google Scholar] [CrossRef]
- Nishiya, K.; Kimura, T.; Takeya, K.; Itokawa, H. Sesquiterpenoids and Iridoid Glycosides from Valeriana Fauriei. Phytochemistry 1992, 31, 3511–3514. [Google Scholar] [CrossRef]
- Gu, J.Q.; Wang, Y.H.; Franzblau, S.G.; Montenegro, G.; Yang, D.Z.; Timmermann, B.N. Antitubercular Constituents of Valeriana laxiflora. Planta Med. 2004, 70, 509–514. [Google Scholar] [CrossRef]
- Zhang, Y.; Lu, Y.; Zhang, L.; Zheng, Q.T.; Xu, L.Z.; Yang, S.L. Terpenoids from the Roots and Rhizomes of Nardostachys chinensis. J. Nat. Prod. 2005, 68, 1131–1133. [Google Scholar] [CrossRef]
- Yang, G.J.; Gu, Z.B.; Liu, W.Y.; Qiu, Y.; Li, T.Z.; Zhang, W.D. Two new iridoids from Patrinia scabra. J. Asian Nat. Prod. Res. 2004, 6, 277–280. [Google Scholar] [CrossRef] [PubMed]
- Gering, B.; Wichtl, M. Phytochemical Investigations on Penstemon hirsutus. J. Nat. Prod. 1987, 50, 1048–1054. [Google Scholar] [CrossRef]
- Pieri, V.; Schwaiger, S.; Ellmerer, E.P.; Stuppner, H. Iridoid Glycosides from the Leaves of Sambucus ebulus. J. Nat. Prod. 2009, 72, 1798–1803. [Google Scholar] [CrossRef]
- Shah, Z.; Ali, F.; Ullah, H.; Shah, A.; Khan, D.; Khan, S.; Khan, R.; Ali, I. Biological Screening and Chemical Constituents of Viburnum grandiflorum. J. Chem. Soc. Pak. 2014, 36, 113–118. [Google Scholar]
- Lee, D.H.; Shin, J.S.; Kang, S.Y.; Lee, S.B.; Lee, J.S.; Ryu, S.M.; Lee, K.T.; Lee, D.; Jang, D.S. Iridoids from the Roots of Patrinia scabra and Their Inhibitory Potential on LPS-Induced Nitric Oxide Production. J. Nat. Prod. 2018, 81, 1468–1473. [Google Scholar] [CrossRef] [PubMed]
- Lee, D.H.; Shin, J.S.; Lee, J.S.; Kang, S.Y.; Han, H.S.; Ryu, S.M.; Lee, K.T.; Lee, D.; Jang, D.S. Non-glycosidic iridoids from the roots of Patrinia scabra and their nitric oxide production inhibitory effects. Arch. Pharm. Res. 2019, 42, 766–772. [Google Scholar] [CrossRef] [PubMed]
- Wu, P.; Song, Z.T.; Li, Y.; Wang, H.M.; Zhang, H.; Bao, J.H.; Li, Y.H.; Cui, J.L.; Jin, D.Q.; Wang, A.J.; et al. Natural Iridoids from Patrinia heterophylla showing anti-inflammatory activities in vitro and in vivo. Bioorg. Chem. 2020, 104, 104331. [Google Scholar] [CrossRef]
- Zhang, H.J.; Deng, A.J.; Zhang, Z.H.; Yu, Z.H.; Liu, Y.; Peng, S.Y.; Wu, L.Q.; Qin, H.L.; Wang, W.J. The protective effect of epicatechin on experimental ulcerative colitis in mice is mediated by increasing antioxidation and by the inhibition of NF-κB pathway. Pharmacol. Rep. 2016, 68, 514–520. [Google Scholar] [CrossRef] [PubMed]
Publisher’s Note: MDPI stays neutral with regard to jurisdictional claims in published maps and institutional affiliations. |
© 2021 by the authors. Licensee MDPI, Basel, Switzerland. This article is an open access article distributed under the terms and conditions of the Creative Commons Attribution (CC BY) license (https://creativecommons.org/licenses/by/4.0/).




