Abstract
Nitric oxide (NO) is a key signaling molecule that acts in various physiological processes such as cellular metabolism, vasodilation and transmission of nerve impulses. A wide number of vascular diseases as well as various immune and neurodegenerative disorders were found to be directly associated with a disruption of NO production in living organisms. These issues justify a constant search of novel NO-donors with improved pharmacokinetic profiles and prolonged action. In a series of known structural classes capable of NO release, heterocyclic NO-donors are of special importance due to their increased hydrolytic stability and low toxicity. It is no wonder that synthetic and biochemical investigations of heterocyclic NO-donors have emerged significantly in recent years. In this review, we summarized recent advances in the synthesis, reactivity and biomedical applications of promising heterocyclic NO-donors (furoxans, sydnone imines, pyridazine dioxides, azasydnones). The synthetic potential of each heterocyclic system along with biochemical mechanisms of action are emphasized.
1. Introduction
Nitric oxide (NO) (also known as an endothelium-derived relaxing factor) is an endogenous inorganic soluble gas produced in mammalians from L-arginine and molecular oxygen by the enzyme nitric oxide synthase (NOS) [1,2]. NO is one of the most versatile molecules in animal and human biology with diverse roles in both physiology and pathophysiology. NO exhibits vasodilating properties with anti-smooth muscle cell activity [3], inhibits platelet adhesion and aggregation [4] and has other anti-inflammatory properties [5]. In addition, NO is capable of neurotransmittance and neuromodulation due to its involvement in cerebral blood flow auto- and chemoregulation [6].
In 1998, Furchgott, Ignarro and Murad received a Nobel Prize in Physiology or Medicine “for their discoveries concerning nitric oxide as a signaling molecule in the cardiovascular system” [7,8,9]. Since then, researches on the biochemical roles of NO have grown rapidly. It was found that NO plays also an important role in a number of pathophysiological diseases, such as arthritis, atherosclerosis, cancer, diabetes and various degenerative neuronal diseases [10,11,12]. Different release patterns of NO by different NO donors can modulate angiogenesis differentially: it was shown that while the short term NO donors are primarily active to initiate the angiogenesis by inducing cellular migration and ring formation, long term NO donors define later stages of angiogenesis such as vessel maturation and neovascularization [13]. NO donor or overexpression of endothelial NO synthase fused to a green fluorescent protein (eNOS-GFP) has a protective effect against hypoxia-induced cellular deadhesion and greatly improves the redox balance by inhibiting the oxidative stress [14]. Ectopic release of NO stimulates the protection of the endothelium leaky and improves actin dynamics under hypoxia milieu in chick embryo extravascular models [15]. At the same time, overexpression of exogenous NO levels in chicken embryos may increase the cell migration and cell proliferation on the right-hand side of the heart resulting in the situs inversus which is referred to as a congenital condition comprising of the reversion of the major visceral organs from their normal positions [16]. Recently, regulation of nitrosative and oxidative stresses by NO and its influence on lung diseases and cardiogenesis were thoroughly reviewed [17,18]. No wonder, the discovery of such crucial and indispensable biochemical patterns of NO stimulated a search of prodrug candidates capable of NO release under physiological conditions [19,20,21,22,23]. Overall, the creation of efficient methodologies for the construction of novel NO-donor heterocyclic and acyclic systems became one of the rapidly developing fields in organic and medicinal chemistry.
Glyceryl trinitrate (GTN) is a well-known, approved and inexpensive NO-donor, which lowers blood pressure and increases heart rate. However, GTN suffers from various side effects, such as headache, difficult or labored breathing, dizziness, and also may induce nitrate tolerance upon continuous exposure [24]. A similar pharmacological profile matches other organic nitrate-based pharmacologically active substances (e.g., isosorbide dinitrate) [25], although their levels of NO release are quite different [26]. Aside from organic nitrates, other nitrogen–oxygen acyclic species were reported as NO-donors: C- or N-nitroso compounds, nitrosothiols, oximes, hydroxylamines, hydroxyurea and metal-nitrosyl complexes (sodium nitroprusside) [22]. However, in recent years, heterocyclic NO-donors emerged with special attention due to their hydrolytic stability, safer storage and absence of tolerance [22,23,27]. The progress made in the design, synthesis and biochemistry of heterocyclic NO-donors in the last decade unveiled an application potential of such organic nitrogen–oxygen molecular systems in medicinal chemistry and drug design.
Therefore, in this review, we summarized recent advances in the synthesis and reactivity of structurally diverse NO-donors incorporating nitrogen–oxygen-enriched heterocyclic scaffold: sydnone imines, furoxans, azasydnones and pyridazine dioxides (Figure 1). These heterocyclic subclasses were chosen due to an increased number of researches on their synthesis, functionalization and properties. Main trends in synthetic methodologies for each type of heterocycle are presented. NO-releasing properties, pharmacological activity and other biomedical applications along with an analysis of structure–property relationships are also considered.
Figure 1.
Structures of heterocyclic NO-donors presented in this review.
2. Sydnone Imines
The 1,2,3-oxadiazol-3-ium-5-aminides, also known as sydnone imines, are referred to as mesoionic heterocycles and constitute a considerable part of exogenous nitric oxide donors [28]. Due to the ability of NO release, iminosydnones are of great interest in the development of novel pharmaceutical ingredients. The most prominent of them, for example, are Linsidomine, Molsidomine and Marsidomine (Figure 2) which have improved pharmacological profiles due to the presence of the saturated nitrogen heterocyclic subunit linked to the sydnone imine scaffold via NN bond.
Figure 2.
Structures of sydnone imine-based pharmaceuticals.
At physiological and a more alkaline pH, sydnone imines undergo rapid nonenzymatic hydrolysis to form the ring-opened N-nitrosamine, which is stable at pH 7.4 under anaerobic conditions protected from light. Traces of oxygen promote oxidative conversion to a cation radical intermediate which releases NO (Scheme 1) [22]. Interestingly, irradiation with visible light can remarkably enhance the oxygen-dependent NO release from sydnone imines [29].
Scheme 1.
Mechanism of NO release from sydnone imines.
N3-Substituted sydnone imines 1 can be synthesized according to a standard method [30,31] via nitrosation of the corresponding amino nitriles 2 followed by cyclization to the target mesoionic heterocycle (Scheme 2). However, the cyclization is reversible and possible ring cleavage occurs through several degradation pathways depending on the solvent and pH of the reaction media. Therefore, to obtain stable sydnone imines suitable for storage and applications, they are usually converted to salts 3 or exo-N-substituted derivatives 4 [32].
Scheme 2.
Assembly of the sydnone imine ring.
In general, there are two reactive centers in the sydnone imine cycle–C4 and N6 positions (for clarity, the numbering of atoms is shown in Scheme 2), both of which represent nucleophilic properties. However, the N6 atom is much more nucleophilic, which allows for performing selective functionalization of the sydnone imine scaffold through a preliminary transformation of free iminosydnone base into N6-derived substances followed by C4 modification. Reactions of sydnone imines at the N6 position afford a wide diversity of variously substituted amides. The synthesis of N6-derived sydnone imines is usually based on an interaction of the corresponding iminosydnone with various carbonyl electrophiles. For example, N6-tert-butoxycarbonylsydnone imines 5 were synthesized by acylation of sydnone imine hydrochlorides 6 with Boc2O in the presence of a catalytic amount of 4-dimethylaminopyridine (DMAP) in mild conditions (Scheme 3) [33].
Scheme 3.
Interaction of sydnone imine hydrochlorides with Boc2O.
N6-Carbamoyl sydnone imines 7a,b bearing an acyloxy alkyl carbamate motif were reported [34] as ocular prodrugs and were prepared in moderate yields by an interaction of pharmaceutically relevant substances SIN-1 or SA-2 with pivaloxy anhydride 8 in the presence of hydroxybenzotriazole and pyridine (Scheme 4).
Scheme 4.
Acylation of sydnone imines with pivaloxy anhydride 8.
The 4-nitrophenyl carbonate derivatives 9 may also be used as suitable acylating agents to incorporate carbohydrate motifs onto the sydnone imine scaffold. Using this method, a few examples of sydnone imine glycosyl carbamates 10 representing a new class of glycosidase-dependent NO donors were prepared (Scheme 5) [35].
Scheme 5.
Synthesis of sydnone imine glycosyl carbamates 10.
Iminosydnones 11 bearing an oxycarbonyl moiety can also be synthesized using chloroformates instead of anhydrides to perform an acylation of the imine function (Scheme 6) [36].
Scheme 6.
Acylation of sydnone imines with CBzCl.
A mild method for the synthesis of N6-α-haloacyl substituted sydnone imines 12 based on a treatment of parent mesoionic heterocycles with α-haloacyl chlorides was developed [37]. Compounds 12 were shown to be convenient intermediates for the preparation of a large variety of N6-α-amino- and N6-α-thio-substituted acyl sydnone imines 13 (Scheme 7).
Scheme 7.
Synthesis of α-amino- and α-thio-substituted acyl sydnone imines.
An interaction of sydnone imine hydrochlorides with sulfonyl chlorides in basic media afforded N6-sulfonyl iminosydnones 14 which have a great potential in bioorthogonal click-and-release methodology (Scheme 8) [38,39].
Scheme 8.
Synthesis of N6-sulfonyl iminosydnones 14.
A convenient methodology for the selective N6-exocyclic functionalization of sydnone imines involving the addition of a large variety of nucleophiles on carbonyl-imidazolium-activated iminosydnones 15 was developed [40]. Initial imidazolium derivatives 15 can be easily obtained in two steps from the corresponding sydnone imines on a multigram scale. Compounds 15 are bench-stable for several weeks at room temperature and react efficiently with diverse heteroatom nucleophiles to afford a library of functionalized sydnone imines 16 (Scheme 9) [40]. This method has a broad substrate scope and tolerates sensitive functional groups. Variety of alkyl- and aryl-substituted amines, alcohols and thiols undergo nucleophilic substitution to achieve corresponding N6-functionalized sydnone imines 16.
Scheme 9.
Synthesis and reactivity of carbonyl-imidazolium activated iminosydnones 15.
A number of sydnone imine-based ureas and thioureas 17 were prepared by reaction of parent iminosydnones with the corresponding aromatic and aliphatic isocyanates or isothiocyanates (Scheme 10) [39].
Scheme 10.
Synthesis of carbamoyl and thiocarbamoyl sydnone imines 17.
An interaction of sydnone imine hydrochlorides with substituted phosphinate or phosphonate chlorides in the presence of diisopropylethylamine (DIPEA) was shown to be a highly efficient method for the preparation of N6-phosphorylated iminosydnones 18 in good and high yields (Scheme 11) [41]. Gram-scale quantities of N6-phosphorous derivatives 18 can be easily synthesized enabling their wide utilization in organic synthesis.
Scheme 11.
Preparation of N6-phosphorylated iminosydnones 18.
C4-Halogenation of iminosydnones bearing a protected N6-imine function is one of the simplest ways for the functionalization of the sydnone imine scaffold. Sydnone imines 19 selectively halogenated at C4 position by treatment with N-bromosuccinimide (NBS) or N-iodosuccinimide (NIS) to form 4-bromo- or 4-iodo derivatives 20 and 21, respectively [39,42]. Unfortunately, 4-chlorosydnone imines were not formed even in trace amounts upon utilization of N-chlorosuccinimide. Interestingly, debromination of bromosydnone imines 20 proceeds in high yields using NaBH4 or Na2SO3 [19]. The 4-bromosydnone imines 20 undergo Suzuki coupling with styrylboronic acid, while 4-iodoiminosydnones 21 react with phenylacetylene through Sonogashira coupling (Scheme 12) [39].
Scheme 12.
Synthesis and reactivity of halogenated sydnone imines.
Numerous patterns of C4 sydnone imine functionalization involve a preliminary lithiation of the starting material with nBuLi or LiHDMS in THF. The resulting deprotonated C4-lithio derivatives 22 are stable at room temperature in solutions under an inert atmosphere for several weeks and form anionic N-heterocyclic carbenes (NHC) (Scheme 13) capable of reaction with various electrophiles [41,43,44]. Interaction of C4-lithiosydnone imines with MeCN-d3 resulted in C4-deuterated mesoionic in quantitative yield, while the same reaction did not occur in the case of free sydnone imine. Anionic iminosydnone NHC may be trapped in a form of gold or palladium complexes by a treatment with Ph3PAuCl and (Ph3P)2PdCl2, respectively. N3-aryl and N3-morpholinylsydnone imine carbene Pd complexes were tested as catalysts in Suzuki–Miyaura and Sonogashira–Hagihara cross-coupling reactions [45].
Scheme 13.
Lithiation of sydnone imines and NHC thereof.
Sydnone imine-based copper complex as intermediate in cross-coupling reaction with various organic halides in the presence of Pd(PPh3)4 was postulated (Scheme 14) [45]. The addition of copper bromide to a solution of sydnone imine carbenoid 22 at −80 °C provides a deep-colored solution of C4-copper derivative 23, which is fairly stable even at room temperature.
Scheme 14.
Copper-mediated cross-coupling reaction of sydnone imines with organic halides.
C4-lithiated iminosydnones 22 react with diphenylphosphine chloride leading to a formation of C4-phosphine substituted derivatives 24 bearing two diverse donor atoms [46]. Considering the resulting functionalized sydnone imines as hemilabile bidentate ligands they were converted to 5-membered palladium complex 25 through the reaction with PdCl2(MeCN)2 (Scheme 15). DFT calculations of charge distribution and X-ray diffraction analysis for this unusual palladium mesoionic ligand coordination were carried out [46].
Scheme 15.
Synthesis of phosphorus-functionalized sydnone imines.
C4-Thioether and C4-selenoether derivatives 26 and 27, respectively, were prepared [45,47] via C4 carbon lithiation, interaction of carbenoids 22 with elemental sulfur or selenium followed by reaction with electrophiles such as alkyl and aryl halides (Scheme 16). Lithium thiolate intermediates proved to be unstable and decomposed quickly upon isolation or storage in solutions.
Scheme 16.
Preparation of thioether and selenoether sydnone imines.
C4-Lithiated iminosydnones 22 add to non-enolizable carbonyl compounds to form corresponding secondary alcohols 28 (Scheme 17). Initial lithioiminosydnone carbenoids exhibit low nucleophilicity and are thermally unstable. At −80 °C, these substances did not react with active electrophiles such as trimethylsilyl chloride, methyl iodide and allyl bromide, while at higher temperatures they underwent rapid decomposition [48].
Scheme 17.
Interaction of sydnone imine carbenoids with aldehydes.
Reaction conditions for the formulation of sydnone imines were studied using different lithium bases followed by reaction with 1-methoxy-N,N-dimethylmethyleneiminium methyl sulfate (Scheme 18) [48]. Metalation with LDA, LiHDMS and nBuLi provides higher yields of aldehydes 29 than Et2NLi. At the same time, reactions of C4-lithiated sydnone imines with DMF as well as direct formulation using the Vielsmeier reagent were unsuccessful.
Scheme 18.
Formylation of sydnone imines.
Recently, it was shown that N3-cyclohexyl-C4-lithioiminosydnone can react with aryl isocyanates and isothiocyanates with a formation of the corresponding amides and thioamides 30 in high yields. However, the same reaction with N3-aryl-substituted sydnone imines 22 afforded 5-arylhydrazono-imidazolidine-2,4-diones or -dithiones 31 and 1,2,4-triazoles 32 in moderate yields (Scheme 19). Reaction conditions, stoichiometric amounts of isocyanates and isothiocyanates and substituent at the N3 position of the sydnone imine ring were shown to strongly affect the reaction pathway. Generally, utilization of isocyanates instead of isothiocyanates and conducting the reaction at room temperature promoted the formation of 1,2,4-triazoles 32 [49]. Interaction of lithio sydnone imines 22 with tetracyanoethylene afforded pyrazoles as a result of reductive 1,3-dipolar cycloaddition, while the addition of azodicarboxylate gave 4-hydrazinylsydnone imines [50]. A formation of C4-B and C4-Hg adducts from carbenoids 22 was also reported [51].
Scheme 19.
Interaction of sydnone imine carbenoids 22 with isocyanates and isothiocyanates.
Cycloaddition reactions for mesoionic compounds were studied extensively on sydnones and münchnones, while for sydnone imines this process was investigated rarely. A [3+2]-cycloaddition of N6-derived iminosydnones with several strained alkynes resulted in the formation of pyrazoles and isocyanates (Scheme 20). This method is based on a general concept of bioorthogonal click-and-release reactions [36,38,39,40,52,53] due to the ability of sydnone imines to remove the mesoionic fragment through cycloaddition with alkyne triggers. It was shown that electron-withdrawing substituents at N3-aryl iminosydnones and a urea moiety connected to the exocyclic nitrogen atom of the iminosydnone core had a strong beneficial impact on the reaction kinetics. Moreover, sydnone imines bearing azide function have diverse reactivity towards alkynes depending on a structure of dipolarophile, which allows for performing sequential [3+2]-cycloadditions. Biorthogonal reactions of sulfonyl sydnone imines as prodrugs and dibenzoazacyclooctyne derivatives are served as an efficient tool to release sulfonamide medications under physiological conditions. An extensive and excellent review on the synthetic and biomedical applications of bioorthogonal reactions of sydnone imines and related mesoionic compounds was very recently published [54].
Scheme 20.
Bioorthogonal reactions of sydnone imines.
A recent example of iminosydnone [3+2]-cycloaddition with unstrained alkyne was revealed in a copper-catalyzed reaction of terminal phenylbutyne and N3-phenyl-N6-carbamoyl sydnone imine 33 (Scheme 21) [55]. However, heating at 60 °C provided only a moderate yield of cycloaddition-retro-Diels-Alder product 34, attempts to improve the reaction efficiency were unsuccessful.
Scheme 21.
Click reaction of sydnone imine 33 with phenylbutyne.
The most studied application of iminosydnones is their capability of exogenous NO release under physiological conditions [56]. Several sydnone imines possessing good NO-donor profiles were discovered as possible drug candidates due to their vasodilating and antihypertensive action. In vivo experiments on various mammals (dogs, cats, rabbits and pigs) showed that N-ethoxycarbonyl-3-morpholinosydnone imine produced a gradually developing and prolonged hypotensive action which was characterized by a decrease in pulse pressure, because of a greater fall in systolic than diastolic pressure. In addition, N-ethoxycarbonyl-3-morpholinosydnone imine was found to be non-toxic to animals in concentrations up to 100 μg/mL [57]. Moreover, several clinically approved iminosydnones, such as Molsidomine, revealed high antiplatelet activity. The platelet-inhibiting effect is presumably associated with direct activation of platelet-soluble guanylate cyclase by SIN-1, the bioactive metabolite of molsidomine [58]. Design and synthesis of a series of sydnone imine amino acids conjugate 35 with regard to the development of peptide-based therapies in medicinal chemistry were also carried out. Prepared sydnone imine amino acids hybrids showed moderate levels of NO release in a glutathione (GST) buffer containing superoxide dismutase (SOD), while similar studies under identical conditions in the absence of GST and SOD gave no significant NO production [59]. Prepared amino acids were shown to be exogenous pro-NO-release compounds that allow for improving the strategy of localization and targeting of NO-delivery. Molecular hybridization of a sydnone imine scaffold with integrin binding aspartic acid-glycine-arginine (RGD) peptide sequence and one of the chemotherapeutic agents, abiraterone, resulted in increased cytotoxic effects against PC3 and MCF7 cancer cell lines [60]. An analogous approach was used for a combination of the iminosydnone motif with known NSAID sulindac which improved antiproliferative and anti-inflammatory properties of the resulted hybrids 36 (Figure 3). These sydnone imine-sulindac conjugates showed promising cytotoxic activity at a concentration of 50 μM, while at lower concentrations (1.0 and 0.5 μM) no measurable cytotoxic effects were detected [61]. Dual acting NO-donor-antioxidant sydnone imine SA-2 bearing 1-hydroxy-2,2,6,6-tetramethylpiperidine moiety revealed an ability to protect photoreceptor cells from H2O2 induced oxidative stress and may promote an intraocular pressure lowering [34]. In addition, sydnone imines demonstrate a number of other pharmacological activities including psychostimulant [62] and antibacterial [63], as well as being found to act as trypanocidal agents [64]. The lethal dose (LD100) of sydnone imines in Trypanosoma equiperdum was determined to be 25 and 50 μM within 48 h, respectively [64]. Using a combination of molecular docking and molecular dynamics simulations a series of iminosydnone-based insecticides was designed and synthesized [65]. Aside from biomedical applications, sydnone imine derivatives were used as additives or catalysts in Pd-catalyzed cross-coupling reactions [66,67]. Additionally, recently, the first representatives of sydnone imine-based dense energetic materials with high detonation performance were prepared [68].
Figure 3.
Structures of sydnone imine-based hybrids.
3. Furoxans
Among the variety of nitrogen–oxygen organic and organometallic compounds capable of NO release under physiological conditions, the furoxan (1,2,5-oxadiazole 2-oxide) scaffold has attracted considerable attention [69,70,71,72] mainly due to the high stability of the furoxan cycle under ambient conditions and absence of nitrate tolerance under continuous therapy [23]. Long-term investigations of Prof. Alberto Gasco [73,74] revealed a possibility of regioisomeric furoxans with different positions of the N-oxide group to produce NO in significantly different amounts. Since furoxan isomers 37 and 37′ can be interconverted to each other through dinitrosoethylene intermediate 38 at heating or photoirradiation (Scheme 22), this important feature may lead to the diversity-oriented construction of novel NO-donor drug candidates depending on the structure of furoxan isomer and biological target.
Scheme 22.
Mechanism of the furoxan ring isomerization.
The two most promising NO-donor furoxans–CAS 1609 and CHF 2363 (Figure 4)–that possess vasodilating and anti-aggregation properties were discovered in the mid-1990s. CAS 1609 is a strong NO donor, which significantly increases cGMP levels in animal models of pulmonary artery strips and at low doses, decreases blood pressure and left ventricular end-diastolic pressure [75]. Later, our group revealed significant antiaggregant activity of CAS 1609 induced by adenosine diphosphate (ADP) and adrenaline and partially by collagen [76]. Similar cardiovascular properties were displayed by CHF 2363, which exhibits significant NO-release capacity and exerts anti-aggregation and vasodilating activity [77]. At the same time, CAS 1609 displays moderate cytotoxic and genotoxic effects at very high concentrations (1 mM), whereas similar effects of the water-soluble analog of CHF 2363 start to occur at much lower concentrations (5 μM). It was clearly shown that such effects are closely associated with the NO-donor capacity of furoxans by comparison with non-NO-donating furazans, and because both effects are decreased in the presence of the NO scavenger oxyhemoglobin [78].
Figure 4.
Structures of CAS 1609 and CHF 2363.
The thiol-dependent mechanism of NO-release from furoxans is now widely accepted, however, details of this process remain uncertain. Since the furoxan ring has a strong electron-withdrawing character, both carbon atoms of this heterocycle are quite electrophilic and are prone to reaction with nucleophiles. Thus, there are two main routes resulting in NO-release from furoxans depending on whether thiolate-anion, generated, for example, from cysteine, attacks C(3) or C(4) atom of the furoxan ring (Scheme 23). Both degradation pathways a and b result in a furoxan ring cleavage with a concomitant release of NO. Recent mechanistic investigations [70] indicate that at least in several particular cases attack of thiolate-anion on the C(3) atom of the furoxan cycle is more favorable. Interestingly, most of the 4-nitrofuroxans do not cleave under the action of thiolate-anions but undergo nucleophilic substitution of the nitro group resulting in stable sulfanylfuroxan derivatives [69].
Scheme 23.
Mechanism of NO release from furoxans.
In recent years, the main efforts of medicinal chemists were directed towards the construction of hybrid drug candidates containing NO-donor furoxan moiety connected to a known pharmaceutical or a potential pharmacophore through an appropriate linker. However, synthetic methodologies toward regio- and chemoselective functionalization of the furoxan ring itself were also developed. In this chapter, both these approaches to the synthesis of pharmacologically active furoxan-based drug candidates are considered. Methods for the synthesis of common functionally substituted furoxans were extensively covered in some previous reviews [69,71].
Recently, a new method for the selective diazotization of the readily available 4-aminofuroxans 39 [79] using NOBF4 as a mild nitrosating agent was developed [80]. This protocol substantially broadened the scope of furoxanyl diazonium salts 40 which can be isolated in solid-state or undergo subsequent azo coupling with electron-donating arenes or CH-acids [80]. In some cases, utilization of NaNO2 for diazotization was also suitable [81]. Thus formed arylazofuroxans 41 demonstrated a photoswitching ability: under visible light irradiation E-isomers 41 underwent an isomerization of the N=N bond generating Z-arylazofuroxans 41′ (Scheme 24) which are stable under ambient conditions [81]. As for most molecular photoswitches, such isomerization is equilibrium and in this case, the E/Z ratios strongly depend on both substituents at the furoxan ring and N=N bond. At heating Z-isomers 41′ smoothly revert to the initial E-arylazofuroxans 41. Importantly, E-isomers 41 released low amounts of NO (<10%), while mixtures of E- and Z-isomers provided significantly higher levels of NO release (33–52%) exceeding that of reference CAS 1609. This feature is rather advantageous, especially since synthesized furoxan-based molecular photoswitches undergo photoisomerization under visible light irradiation to avoid any hazards caused by UV light.
Scheme 24.
Synthesis and photoisomerization of arylazofuroxans 41.
Furoxanyl diazonium salts 40 also underwent in situ reduction to the corresponding hydrazines 42 which could not be isolated due to the highly electrophilic nature of the ring but were trapped with various aldehydes to form previously unknown N-(furoxanyl)hydrazones 43 (Scheme 25) [82]. A utilization of TEBAC as a phase transfer catalyst and Sc(OTf)3 as a Lewis acid were crucial to increase the rate of the reduction and to avoid degradation of highly reactive diazonium salts 40. A synthesized library of furoxan-based compounds represents an isosteric replacement of described drug candidates for the treatment of various neglected diseases including tuberculosis, leishmaniosis, schistosomiasis, and Chagas’ disease [83,84,85,86].
Scheme 25.
Synthesis of N-(furoxanyl)hydrazones 43.
A series of hetarylfuroxans was synthesized through cyclocondensation of bromoacetylfuroxans 44 with various binucleophiles [87,88,89]. In particular, a regioselective condensation of substrates 44 with thiosemicarbazide afforded hydrazinylthiazoles 45 which underwent in situ reaction with aldehydes resulting in a formation of the corresponding hydrazones 46 (Scheme 26). Compounds 46 showed moderate cytotoxic activity against two human cancer cell lines A549 and HCT116 [90].
Scheme 26.
Synthesis of hydrazones based on a (2-hydrazinylthiazol-4-yl)furoxan core.
Recently, a novel reactivity pattern of furoxans based on their radical functionalization was established (Scheme 27). It was found that alkyl radicals generated from carboxylic acids in mild conditions add to the C(3) carbon atom of the furoxan ring in corresponding bromo or arylsulfonyl derivatives 47 followed by elimination of functional moiety and formation of target products 48 [91,92]. This protocol enables wide opportunities for the design of pharmacologically oriented furoxan-based compounds. However, it requires utilization of aliphatic carboxylic acids, while in the case of benzoic or heteroaromatic carboxylic acids target furoxans are formed in very low yields. At the same time, such methodology was also useful for the C-B bond formation directly on the furoxan ring for the synthesis of previously unknown borylfuroxans 49. Using this approach, various N-heterocyclic carbene (NHC) moieties (imidazole, benzimidazole, 1,2,4-triazole and pyridine) were successfully installed via BH2 linkage [93].
Scheme 27.
Radical functionalization of furoxans.
A number of hybrid drug candidates comprising of a known pharmacologically active scaffold linked to the furoxan ring directly or via an appropriate spacer were synthesized from bromomethyl- or (phenylsulfonyl)furoxans using a nucleophilic substitution reaction. For example, an interaction of 3-bromomethyl-4-methylfuroxan 50a with amino acid-functionalized betulonic acid derivatives afforded hybrid compounds 51, which showed moderate anti-inflammatory activity. Advantageously, most of the synthesized hybrids were non-toxic (GI50 > 100 μM) according to the MTT test against immortalized human fibroblasts, while reference drug doxorubicin possessed high toxicity (GI50 > 3.15 μM) under the same conditions [94]. The analogous reaction of 4-aryl-3-bromomethylfuroxans 50b with spiro[isoquinoline-4,4’]-piperidine derivative resulted in a formation of the tricyclic compounds 52 (Scheme 28). All synthesized hybrids 52 demonstrated moderate to good vasodilating and antioxidant properties, while structures containing o-nitro- or o-methoxyphenyl substituents at the furoxan ring were moderate phosphodiesterase 5 (PDE 5) inhibitors as compared to the known pharmaceutical Sildenafil [95].
Scheme 28.
Synthesis of furoxan-based hybrids from 3-bromomethylfuroxans.
Nucleophilic substitution of the mesyloxy moiety in furoxans 53 with rutaecarpine derivatives afforded a series of hybrid structures 54 (Scheme 29). Rutaecarpine is a quinazolinocarboline-type alkaloid which is a major bioactive constituent in Evodiae Fructus prescribed for treatment of hypertension in traditional Chinese medicine. Molecular hybridization of this alkaloid with a furoxan subunit resulted in a more potent vasodilator and antihypertensive effect of the prepared hybrids at various dosages (20–40 mg/kg) in vivo in rats compared to parent medication [96].
Scheme 29.
Synthesis of furoxan–rutaecarpine hybrids.
Due to the high electron-withdrawing nature of the furoxan ring, the SNAr process is a quite versatile reaction in furoxan chemistry. As a rule, bis(phenylsulfonyl)furoxan 55 is used as a starting material for numerous transformations. Since C(4) carbon atom of the furoxan ring is much more electrophilic than C(3) atom, 4-PhSO2 moiety in compound 55 displaced completely selectively in reactions with nucleophiles. For example, the tandem nucleophilic substitution of a phenylsulfonyl group in furoxan 55 under the action of phenolic aldehydes with subsequent condensation of formyl group in compounds 56a–c with isonicotinic hydrazide afforded a series of hybrids 57a–c, which are considered as promising agents active against Mycobacterium tuberculosis (Scheme 30). Moreover, there is a direct correlation between NO-donor capability and antitubercular activity: the more powerful NO-donor hybrid among the series is the most active antitubercular agent [97]. Further in-depth studies revealed that compounds 57b,c showed no mutagenicity and were active against both mono- and multidrug-resistant tuberculosis strains. In addition, treatment with furoxans 57b,c led to undetectable levels of the bacterium in the lungs of mice while no standard drugs have shown this advantageous effect. Oral administration of furoxans to mice at 20 mg/kg dosage had no effect on behavioral parameters (Hippocratic screening) and did not damage the liver and kidneys according to the histopathology analysis [98].
Scheme 30.
Synthesis of furoxan–hydrazone hybrids 57 linked via phenol bridge.
A combination of NO-donor furoxan scaffold with anticancer drugs may serve as a promising tool to overcome the problem of multidrug resistance. A tumor-specific NO-release system comprising of 10-hydroxycamptothecin (HCPT)-loaded charge-reversal chitosan nanoparticles and covalently linked phenylsulfonylfuroxan on the surface was recently designed. In vitro studies proved that such a system significantly enhanced cellular uptake at pH 6.5 and immensely reduced the expression of P-glycoprotein, which was in favor of increasing killing ability against MCF-7/ADR cancer cells. Furthermore, in vivo studies confirmed that the resultant system precisely released NO in the tumor and scarcely released NO during blood circulation, avoiding NO poisoning [99].
Due to a known chelating effect of the 8-hydroxyquinoline scaffold and its potential in cancer treatment, a series of furoxan–hydroxyquinoline hybrids 58 and 59 were synthesized through a two-step procedure. Bis(phenylsulfonyl)furoxan 55 was converted into amines 60 which underwent coupling with 8-hydroxyquinoline-based carboxylic acids (Scheme 31). Thus obtained conjugates possessed good antiproliferative activity against various cancer lines and showed good metal chelation and NO-releasing abilities. Synthesized hybrid structures demonstrated a synergistic effect caused by the presence of the furoxan motif: at the same dose of 20 mg/kg in mice, the tumor inhibition rate of a lead hybrid was 61.8%compared to 44.7% for the parent 8-hydroxyquinoline [100]. A number of various hybrid drug candidates comprising of a furoxan motif and other pharmaceutical scaffolds (estradiol [101], rhodamine B [102], triptolide [103]) were also prepared starting from bis(phenylsulfonyl)furoxan and these compounds showed promising anticancer and anti-inflammatory properties.
Scheme 31.
Synthesis of furoxan–hydroxyquinoline prochelator hybrids.
A series of anticancer Pt complexes bearing a NO-donor furoxan subunit was synthesized (Figure 5). Compound 61 is a cisplatin prodrug, which releases it directly in cells along with NO. Such a dual role of hybrid 61 provides a synergistic effect on the inhibition of tumor growth which is demonstrated both by higher potency and lower systemic toxicity in comparison with parent cisplatin. Pt–furoxan derivatives did not alter the growth of mice in both dosages, suggesting the low toxicity of drug candidates. By comparison, cisplatin clearly decreased the bodyweight of mice, and even one mouse died during the treatment of cisplatin (1–2 mg/kg dosages were used) [104]. Other Pt-organic complexes may serve as a potential replacement for cisplatin and oxoplatin. The anti-cancer effect of 62a–e was attributed to their interaction with DNA, which formed Pt/DNA adducts responsible for cytotoxicity [105].
Figure 5.
Anticancer furoxan-based Pt-complexes.
Hybrid structures 63 and 64 comprising of the furoxan motif and glycolic or acetylsalicylic (aspirin) acids scaffolds were synthesized (Scheme 32). Both compounds revealed high antiplatelet activity which was comparable to that of the previously investigated CAS 1609. In addition, these structures possess a selective mechanism of inhibition of platelets aggregation mediated by ADP and adrenaline but not ristocetin, collagen and arachidonic acid and their antiplatelet effects are mainly independent of the NO action [106].
Scheme 32.
Synthesis of furoxan-based antiplatelet agents.
Several approaches to the functionalization of pharmacologically relevant benzofuroxans were also developed. Coupling of benzofuroxancarboxylic acid with pharmacophoric amines afforded a series of corresponding amides, in which a thiomorpholine derivative revealed an excellent antibacterial activity against drug-resistant strains of Mycobacterium tuberculosis [107]. Tri- and tetracyclic ring systems incorporating a nitrofuroxanoquinoline scaffold revealed extraordinary high NO-donor ability which may be useful for a search of novel drug candidates in this series [108]. Benzofuroxans bearing additional electron-withdrawing groups are also considered as super-electrophiles which is convenient for rapid and straightforward installation of various pharmacophoric moieties to the benzofuroxan core. Recently, a thorough investigation of the reactivity of 4,6-dichloro-5-nitrobenzofuroxan with aliphatic and aromatic amines was performed [109]. Using a super-electrophilic nature of the benzofuroxan ring system, a series of promising anticancer drug candidates 65 bearing 2-aminothiazole moiety was synthesized (Scheme 33). The cytotoxic activity of the lead benzofuroxan derivative bearing 4-methoxyphenyl substituent at the aliphatic nitrogen atom was attributed to induction of apoptosis in m-HeLa cells at early stages (10.7–17.3% of apoptotic cells were observed using 50–100 μM concentrations) [110].
Scheme 33.
Synthesis of benzofuroxan–aminothiazole hybrids.
A number of other furoxan derivatives also displayed a wide range of pharmacological activities. For example, 3-cyano- and 3-nitro-4-phenylfuroxans revealed promising antiplatelet activity [111], while the latter compound also inhibited Pseudomonas aeruginosa PAO1 growth and prevented PAO1 biofilm formation [112]. Several furoxan–peptide hybrids also demonstrated antimicrobial activity against Staphylococcus aureus and Escherichia coli biofilm formation [113]. A highly potent drug candidate PRG150 (3-methylfuroxan-4-carbaldehyde) is considered as a novel analgesic for the effective treatment of painful diabetic neuropathy. PRG150 is useful for relieving mechanical allodynia, a defining symptom of neuropathic pain, as was shown in a rat model of painful diabetic neuropathy [114]. The metabolic stability and biodistribution of PRG150 using positron emission tomography and 11C-and 13N-labeled pharmaceutical demonstrated a higher uptake of the 13N isotope over 11C in the spinal cord, which indicates a key role of NO release in the somatosensory nervous system responsible for the analgesic effect of PRG150 [115]. Subsequent in-depth studies confirmed a role for NO in the treatment of painful diabetic neuropathy since the cellular effects of PRG150 on forskolin-stimulated cyclic adenosine monophosphate (cAMP) responses in vitro and in vivo were transduced through the modulation of μ-opioid receptor signaling [116]. Recently, a biomedical application of diacylfuroxans as precursors to nitrile oxides capable of covalent inhibition of glutathione peroxidase 4 (GPX4) to induce ferroptosis was revealed [117]. Application of furoxan-based compounds as high-energy materials, primary or secondary explosives, propellants or rocket fuels was also reported numerously [118,119,120,121,122].
4. Pyridazine Dioxides and Azasydnones
The final chapter of the present review covers several aspects of the synthesis and biomedical applications of two rather neglected heterocyclic subclasses: pyridazine dioxides and azasydnones (1,2,3,4-oxatriazolium-5-olates). Historically, both these heterocyclic derivatives are known as exogenous NO-donors for more than 30 years [27]. However, substrate-specific and harsh methods for their synthesis significantly restricted in-depth investigation of their functional properties. Nevertheless, recent achievements of several research groups provided some solutions to this problem and modern convenient synthetic protocols to an assembly of both pyridazine dioxide and azasydnone frameworks along with their application potential are summarized in this section.
Direct oxidation of pyridazines 66 with peracetic or pertrifluoroacetic acid proceeds with poor yields of the corresponding dioxides 67 [123]. Recently, a more effective oxidation method using one of the strongest oxidizers HOF was developed (Scheme 34). However, significant amounts of pyridazine mono-N-oxides were also formed [124].
Scheme 34.
Direct oxidation of pyridazines.
A more convenient approach toward the formation of the pyridazine dioxide scaffold is based on an oxidative cyclization of 1,4-dioximes 68. This method is more efficient and provides high yields of target heterocyclic NO-donors 69 including those comprised of a pyridazine dioxide motif fused with other heterocyclic rings (pyrazole [125], furazan [126], furoxan [127,128]) (Scheme 35). Initially, PhI(OAc)2 [129] or Pb(OAc)4 [130,131] were used as oxidants, but later N2O4 [125,126,128] or HNO3 [127] were shown to provide higher yields and purity of pyridazine dioxides 69.
Scheme 35.
Oxidative cyclization of 1,4-dioximes.
Aryl substituted 2H-pyrazolo [3,4-d]pyridazine 5,6-dioxides produced low amounts of NO (4.2–10.5%), while those bicyclic derivatives comprising of NO-donor furoxan and pyridazine dioxide subunits demonstrated the highest NO-releasing ability (27.7–48.3%) [125]. Furthermore, 4,7-dimethyl-1,2,5-oxadiazolo[3,4-d]pyridazine 1,5,6-trioxide was able to relax noradrenaline-precontracted aortic rings at concentrations less than 0.1 mM. Deoxygenated furazan analog was less active since the furazan subunit is unable to release NO. Nevertheless, both these compounds significantly increased cGMP levels in aortic rings and platelets and exhibited promising antiaggregant activity [132]. Unfortunately, the mechanism of NO release from pyridazine 5,6-dioxides is unknown so far.
Azasydnones 70 are usually constructed by azo coupling of tailor-made or generated in situ arene/hetarene diazonium salts with bromonitromethane with subsequent oxidative [133] or thermal [36] cyclization of the corresponding hydrazones 71. Recently, our group proposed a more convenient one-pot approach using potassium nitroformate and catalytic amounts of ZnCl2 which enabled a straightforward assembly of the azasydnone ring (Scheme 36) [134].
Scheme 36.
Synthesis of azasydnones.
Due to pronounced NO-releasing properties, azasydnones possess promising antihypertensive activity and low toxicity [135,136]. In addition, (1,2,5-oxadiazolyl)azasydnones showed excellent antiplatelet activity in the case of ADP and adrenaline used as inducers completely suppressing the formation of the aggregates, which is rather a unique feature. Importantly, (1,2,5-oxadiazolyl)azasydnones possess a selective mechanism of inhibition of platelets aggregation mediated only by ADP and adrenaline, which are considered to be the main agents causing thrombus formation [137]. Additionally, recently, some energetic applications of azasydnones were reported [138,139,140,141].
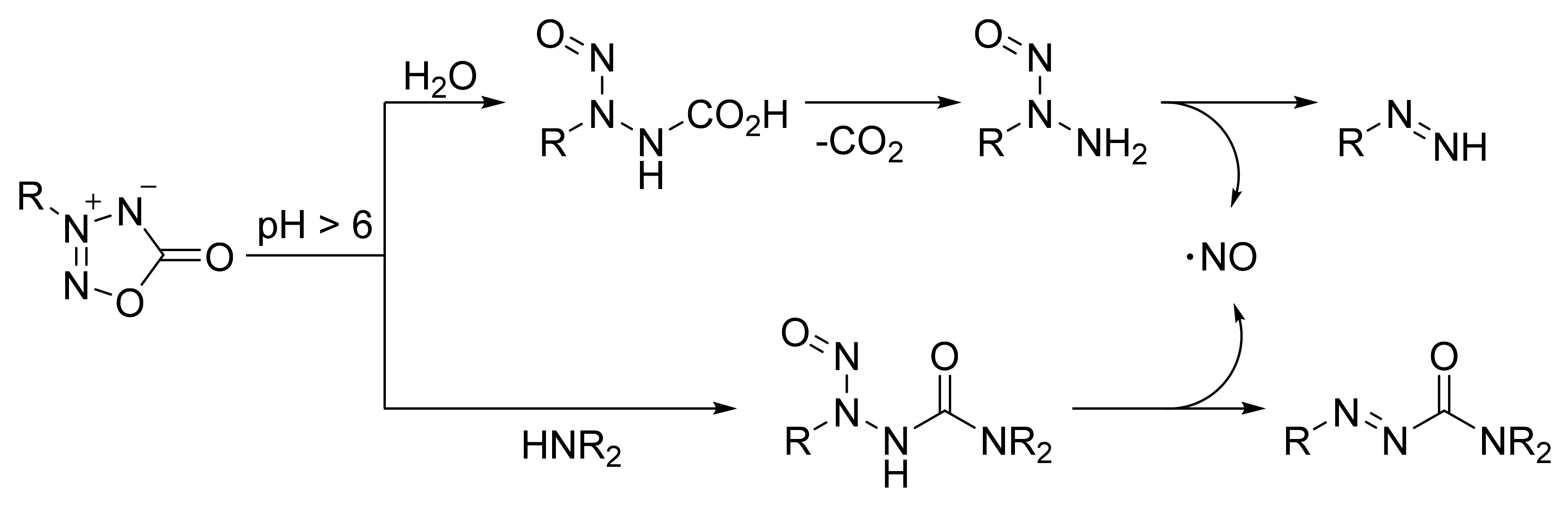
Mechanistic investigations on NO-donating properties of azasydnones revealed their ability to release NO at pH > 6 either in vitro or enzymatically. This process includes nucleophilic cleavage of the azasydnone ring followed by stepwise degradation of formed nitrosamines (Scheme 37). Degradation of (1,2,5-oxadiazolyl)azasydnones afforded benzoic acid as a main decomposition product due to the concomitant cleavage of the 1,2,5-oxadiazole ring. Since benzoic acid is also non-toxic for living organisms, (1,2,5-oxadiazolyl)azasydnones are considered advantageous in future drug design [137].
Scheme 37.
Mechanism of NO release from azasydnones.
5. Conclusions and Future Outlooks
Synthesis and reactivity of heterocyclic NO-donors have become one of the urgent areas of research in organic and medicinal chemistry. In comparison to clinically used organic nitrates, heterocyclic scaffolds capable of NO release under physiological conditions are more advantageous due to hydrolytic stability and improved pharmacological profiles. Aside from studying biomedical applications of simple heterocyclic NO-donors, numerous efforts were directed towards the construction of hybrid pharmaceuticals incorporating NO-donor heterocyclic subunits as a key structural fragment to advance the pharmacological profile of the parent drug. To realize the hybridization approach, a number of modern synthetic methodologies involving preliminary functionalization of the heterocyclic ring with subsequent hybridization with an appropriate pharmacophore were utilized. This approach is very promising for the construction of novel multifunctional drugs to overcome the significant problem of multidrug resistance. In general, diversification of the heterocyclic NO-donor scaffold has become a reliable tool in modern organic chemistry; therefore, the creation of novel pharmacologically active lead hybrids with NO-donor properties should be expected in near future.
In this review, recent advances in the synthesis, reactivity and pharmacological activity of the main NO-donor heterocyclic subclasses are summarized. Although the structures of considered nitrogen–oxygen molecular systems are quite similar, synthetic methods for their preparation and functionalization differ significantly. The synthesis of sydnone imines and furoxans was extensively studied and nowadays main trends are directed toward selective functionalization of these heterocycles. Furthermore, incorporation of the sydnone imine or furoxan motif in the structure of known pharmaceutical or promising drug candidates was found to be fruitful in search of novel pharmacologically active and non-toxic substances. In addition, sydnone imines are highly valuable substrates for bioorthogonal chemical reactions, which are of major importance in the field of chemical biology. On the contrary, the chemistry of pyridazine dioxides and azasydnones is explored to a lesser extent since both these heterocyclic subunits were hard to construct. Nevertheless, recently developed novel and convenient methods for the assembly of pyridazine dioxides and azasydnones will encourage further investigations on the pharmacological activity of these compounds. Overall, each type of considered heterocyclic NO-donors has a strong potential in medicinal chemistry and drug design and we hope that the present review will stimulate future research in this field.
Author Contributions
Writing—review and editing, L.L.F. and E.S.Z.; supervision, L.L.F.; project administration, L.L.F. All authors have read and agreed to the published version of the manuscript.
Funding
This research received no external funding.
Institutional Review Board Statement
Not applicable.
Informed Consent Statement
Not applicable.
Conflicts of Interest
The authors declare no conflict of interest.
References
- Vanhoutte, P.M.; Zhao, Y.; Xu, A.; Leung, S.W.S. Thirty Years of Saying NO: Sources, Fate, Actions, and Misfortunes of the Endothelium-Derived Vasodilator Mediator. Circ. Res. 2016, 119, 375–396. [Google Scholar] [CrossRef] [PubMed]
- Yang, Y.; Huang, Z.; Li, L.-L. Advanced nitric oxide donors: Chemical structure of NO drugs, NO nanomedicines and biomedical applications. Nanoscale 2021, 13, 444–459. [Google Scholar] [CrossRef] [PubMed]
- Paulo, M.; Costa, D.E.F.R.; Bonaventura, D.; Lunardi, C.N.; Bendhack, L.M. Nitric Oxide Donors as Potential Drugs for the Treatment of Vascular Diseases Due to Endothelium Dysfunction. Curr. Pharm. Des. 2020, 26, 3748–3759. [Google Scholar] [CrossRef] [PubMed]
- Gkaliagkousi, E.; Ritter, J.; Ferro, A. Platelet-Derived Nitric Oxide Signaling and Regulation. Circ. Res. 2007, 101, 654–662. [Google Scholar] [CrossRef] [PubMed]
- Krol, M.; Kepinska, M. Human Nitric Oxide Synthase—Its Functions, Polymorphisms, and Inhibitors in the Context of Inflammation, Diabetes and Cardiovascular Diseases. Int. J. Mol. Sci. 2021, 22, 56. [Google Scholar] [CrossRef] [PubMed]
- Calabrese, V.; Mancuso, C.; Calvani, M.; Rizzarelli, E.; Butterfield, D.A.; Giuffrida Stella, A.M. Nitric oxide in the central nervous system: Neuroprotection versus neurotoxicity. Nat. Rev. Neurosci. 2007, 8, 766–775. [Google Scholar] [CrossRef]
- Furchgott, R.F. Endothelium-Derived Relaxing Factor: Discovery, Early Studies, and Identifcation as Nitric Oxide (Nobel Lecture). Angew. Chem. Int. Ed. 1999, 38, 1870–1880. [Google Scholar] [CrossRef]
- Ignarro, L.J. Nitric Oxide: A Unique Endogenous Signaling Molecule in Vascular Biology (Nobel Lecture). Angew. Chem. Int. Ed. 1999, 38, 1882–1892. [Google Scholar] [CrossRef]
- Murad, F. Discovery of Some of the Biological Effects of Nitric Oxide and Its Role in Cell Signaling (Nobel Lecture). Angew. Chem. Int. Ed. 1999, 38, 1856–1868. [Google Scholar] [CrossRef]
- Khan, F.H.; Dervan, E.; Bhattacharyya, D.D.; McAuliffe, J.D.; Miranda, K.M.; Glynn, S.A. The Role of Nitric Oxide in Cancer: Master Regulator or NOt? Int. J. Mol. Sci. 2020, 21, 9393. [Google Scholar] [CrossRef]
- Heinrich, T.A.; da Silva, R.S.; Miranda, K.M.; Switzer, C.H.; Wink, D.A.; Fukuto, J.M. Biological nitric oxide signalling: Chemistry and terminology. Br. J. Pharmacol. 2013, 169, 1417–1429. [Google Scholar] [CrossRef]
- Basudhar, D.; Ridnour, L.A.; Cheng, R.; Kesarwala, A.H.; Heinecke, J.; Wink, D.A. Biological signaling by small inorganic molecules. Coord. Chem. Rev. 2016, 306, 708–723. [Google Scholar] [CrossRef]
- Majumder, S.; Sinha, S.; Siamwala, J.H.; Muley, A.; Seerapu, H.R.; Kolluru, G.K.; Veeriah, V.; Nagarajan, S.; Sridhara, S.R.C.; Priya, M.K.; et al. A comparative study of NONOate based NO donors: Spermine NONOate is the best suited NO donor for angiogenesis. Nitric Oxide 2014, 36, 76–86. [Google Scholar] [CrossRef] [PubMed]
- Behera, J.; Nagarajan, S.; Saran, U.; Kumar, R.; Keshri, G.K.; Suryakumar, G.; Chatterjee, S. Nitric oxide restores peripheral blood mononuclear cell adhesion against hypoxia via NO-cGMP signaling. Cell Biochem. Funct. 2020, 38, 319–329. [Google Scholar] [CrossRef]
- Swaminathan, A.; Kasiviswanathan, D.; Balaguru, U.M.; Kolluru, G.K.; Suryakumar, G.; Chatterjee, S. Hypoxia perturbs endothelium by re-organizing cellular actin architecture: Nitric oxide offers limited protection. Tissue Cell 2018, 50, 114–124. [Google Scholar] [CrossRef]
- Siamwala, J.H.; Kumar, P.; Veeriah, V.; Muley, A.; Rajendran, S.; Konikkat, S.; Majumder, S.; Mani, K.P.; Chatterjee, S. Nitric Oxide Reverses the Position of the Heart during Embryonic Development. Int. J. Mol. Sci. 2019, 20, 1157. [Google Scholar] [CrossRef]
- Kumar, P.; Sundaresan, L.; Chatterjee, S. Nitrosative Stress and Cardiogenesis: Cardiac Remodelling Perturbs Embryonic Metabolome. In Modulation of Oxidative Stress in Heart Disease; Chakraborti, S., Dhalla, N.S., Dikshit, M., Ganguly, N.K., Eds.; Springer: Singapore, 2019; pp. 377–392. [Google Scholar]
- Giri, S.; Thakar, S.; Majumder, S.; Chatterjee, S. Regulation of Oxidative Stress by Nitric Oxide Defines Lung Development and Diseases. In Oxidative Stress in Lung Diseases; Chakraborti, S., Parinandi, N.L., Ghosh, R., Ganguly, N.K., Chakraborti, T., Eds.; Springer: Singapore, 2019; pp. 445–464. [Google Scholar]
- Serafim, R.A.M.; Pernichelle, F.G.; Ferreira, E.I. The latest advances in the discovery of nitric oxide hybrid drug compounds. Expert Opin. Drug. Discov. 2017, 12, 941–953. [Google Scholar] [CrossRef] [PubMed]
- Bryan, N.S. Natural Product Chemistry for Nitric Oxide Based Therapeutics. Isr. J. Chem. 2019, 59, 414–419. [Google Scholar] [CrossRef]
- Huang, Z.; Fu, J.; Zhang, Y. Nitric Oxide Donor-Based Cancer Therapy: Advances and Prospects. J. Med. Chem. 2017, 60, 7617–7635. [Google Scholar] [CrossRef]
- Wang, P.G.; Xian, M.; Tang, X.; Wu, X.; Wen, Z.; Cai, T.; Janczuk, A.J. Nitric Oxide Donors: Chemical Activities and Biological Applications. Chem. Rev. 2002, 102, 1091–1134. [Google Scholar] [CrossRef] [PubMed]
- Gasco, A.; Schoenafinger, K. Nitric Oxide Donors: For Pharmaceutical and Biological Applications; Wang, P.G., Cai, T.B., Taniguchi, N., Eds.; Wiley-VCH: Weinheim, Germany, 2005; pp. 131–175. [Google Scholar]
- Bath, P.M.W.; Krishnan, K.; Appleton, J.P. Nitric oxide donors (nitrates), L-arginine, or nitric oxide synthase inhibitors for acute stroke (Review). Cochrane Database Syst. Rev. 2017, 4, CD000398. [Google Scholar]
- Steven, S.; Oelze, M.; Hausding, M.; Roohani, S.; Kashani, F.; Kröller-Schön, S.; Helmstädter, J.; Jansen, T.; Baum, C.; Iglarz, M.; et al. Oxidative Stress and Cardiovascular Dysfunction: From Basic Science to Applied Investigations. Oxid. Med. Cell. Longevity 2018, 2018, 7845629. [Google Scholar]
- Kuchurov, I.V.; Arabadzhi, S.S.; Zharkov, M.N.; Fershtat, L.L.; Zlotin, S.G. Sustainable Synthesis of Polynitroesters in the Freon Medium and their in Vitro Evaluation as Potential Nitric Oxide Donors. ACS Sustain. Chem. Eng. 2018, 6, 2535–2540. [Google Scholar] [CrossRef]
- Schönafinger, K. Heterocyclic NO prodrugs. Il Pharmaco 1999, 54, 316–320. [Google Scholar] [CrossRef]
- Feelisch, M.; Ostrowski, J.; Noack, E. On the mechanism of NO release from sydnonimines. J. Cardiovasc. Pharmacol. 1989, 14, 13–22. [Google Scholar] [CrossRef]
- Ullrich, T.; Oberle, S.; Abate, A.; Schröder, H. Photoactivation of the nitric oxide donor SIN-1. FEBS Lett. 1997, 406, 66–68. [Google Scholar] [CrossRef]
- Cherepanov, I.A.; Moiseev, S.K. Recent developments in the chemistry of sydnones and sydnone imines. Adv. Heterocycl. Chem. 2020, 131, 49–164. [Google Scholar]
- Beal, E.N.; Tumbull, K. An efficient, one-pot synthesis of 3-alkyl or aryl sydnoneimines. Synth. Commun. 1992, 22, 673–676. [Google Scholar] [CrossRef]
- Gotz, M.; Grozinger, K. 3-Hydroxysydnone imines. Tetrahedron 1971, 27, 4449–4456. [Google Scholar] [CrossRef]
- Cherepanov, I.A.; Samarskaya, A.S.; Godovikov, I.A.; Lyssenko, K.A.; Pankratova, A.A.; Kalinin, V.N. N6-tert-Butoxycarbonyl derivatives of sydnone imines: Preparation and synthetic use. Tetrahedron Lett. 2018, 59, 727–729. [Google Scholar] [CrossRef]
- Acharya, S.; Rogers, P.; Krishnamoorthy, R.R.; Stankowska, D.L.; Dias, H.V.R.; Yorio, T. Design and synthesis of novel hybrid sydnonimine and prodrug useful for glaucomatous optic neuropathy. Bioorg. Med. Chem. Lett. 2016, 26, 1490–1494. [Google Scholar] [CrossRef]
- Cai, T.B.; Lu, D.; Tang, X.; Zhang, Y.; Landerholm, M.; Wang, P.G. New glycosidase activated nitric oxide donors: Glycose and 3-morphorlinosydnonimine conjugates. J. Org. Chem. 2005, 70, 3518–3524. [Google Scholar] [CrossRef] [PubMed]
- Bernard, S.; Audisio, D.; Riomet, M.; Bregant, S.; Sallustrau, A.; Plougastel, A.; Decuypere, E.; Gabillet, S.; Kumar, R.A.; Elyian, J.; et al. Bioorthogonal Click and Release Reaction of Iminosydnones with Cycloalkynes. Angew. Chem., Int. Ed. 2017, 56, 15612–15616. [Google Scholar] [CrossRef]
- Samarskaya, A.S.; Cherepanov, I.A.; Godovikov, I.A.; Kalinin, V.A. N6-α-haloacyl sydnone imine derivatives. Dokl. Chem. 2015, 463, 199–203. [Google Scholar] [CrossRef]
- Shao, Z.; Liu, W.; Tao, H.; Liu, F.; Zeng, R.; Champagne, P.A.; Cao, Y.; Houk, K.N.; Liang, Y.; Cao, Y.; et al. Bioorthogonal release of sulfonamides and mutually orthogonal liberation of two drugs. Chem. Commun. 2018, 54, 14089–14092. [Google Scholar] [CrossRef] [PubMed]
- Riomet, M.; Decuypere, E.; Porte, K.; Bernard, S.; Plougastel, L.; Kolodych, S.; Audisio, D.; Taran, F. Design and Synthesis of Iminosydnones for Fast Click and Release Reactions with Cycloalkynes. Chem. Eur. J. 2018, 24, 8535–8541. [Google Scholar] [CrossRef]
- Riomet, M.; Porte, K.; Madegard, L.; Thuéry, P.; Audisio, D.; Taran, F. Access to N-Carbonyl Derivatives of Iminosydnones by Carbonylimidazolium Activation. Org. Lett. 2020, 22, 2403–2408. [Google Scholar] [CrossRef] [PubMed]
- Samarskaya, A.S.; Cherepanov, I.A.; Godovikov, I.A.; Dmitrienko, A.O.; Moiseev, S.K.; Kalinin, V.N.; Hey-Hawkins, E. Synthesis of N6-phosphorylated sydnone imines and their functionalization via 4-Li derivatives. Novel bicyclic sydnone imines. Tetrahedron 2018, 74, 2693–2702. [Google Scholar] [CrossRef]
- Beal, E.N.; Turnbull, K. Bromination/Debromination of 6-Benzoyl-3-alkyl or 3-Aryl Sydnoneimines. Synth. Commun. 1992, 22, 1515–1522. [Google Scholar] [CrossRef]
- Cherepanov, I.A.; Kusaeva, L.H.; Godovikov, I.A.; Kalinin, V.N. 4-Formylsydnonimine derivatives. Russ. Chem. Bull. Int. Ed. 2009, 58, 2474–2477. [Google Scholar] [CrossRef]
- Freese, T.; Lücke, A.-L.; Schmidt, C.A.S.; Polamo, M.; Nieger, M.; Namyslo, J.C.; Schmidt, A. Anionic N-heterocyclic carbenes derived from sydnone imines such as molsidomine. Trapping reactions with selenium, palladium, and gold. Tetrahedron 2017, 73, 5350–5357. [Google Scholar] [CrossRef]
- Cherepanov, I.A.; Kalinin, V.N. Synthesis and reactivity of 4-lithium and 4-copper derivatives of sydnone imines. Mendeleev Commun. 2000, 5, 181–182. [Google Scholar] [CrossRef]
- Kalinin, V.N.; Lebedev, S.N.; Cherepanov, I.A.; Godovikov, I.A.; Lyssenko, K.A.; Hey-Hawkins, E. 4-Diphenylphosphinosydnone imines as bidentate ligands. Polyhedron 2009, 28, 2411–2417. [Google Scholar] [CrossRef]
- Cherepanov, I.A.; Lebedev, S.N.; Samarskaya, A.S.; Godovikov, I.A.; Nelyubina, Y.V.; Kalinin, V.N. 4-Thio derivatives of sydnone imines. Mendeleev Commun. 2009, 19, 322–323. [Google Scholar] [CrossRef]
- Cherepanov, I.A.; Shevaldina, E.V.; Lapshin, D.A.; Spiridonov, Y.Y.; Abubikerov, V.C.; Moiseev, S.K. 4-Lithiosydnone imines: Generation and stability. Plant growth regulating activity of 4-hydroxymethyl derivatives of sydnone imines. J. Organomet. Chem. 2021, 943, 121841. [Google Scholar] [CrossRef]
- Freese, T.; Lücke, A.-L.; Namyslo, J.C.; Nieger, M.; Schmidt, A. Heterocycle Syntheses with Anionic N-Heterocyclic Carbenes: Ring Transformations of Sydnone Imine Anions. Eur. J. Org. Chem. 2018, 2018, 1646–1654. [Google Scholar] [CrossRef]
- Freese, T.; Nieger, M.; Namyslo, J.C.; Schmidt, A. Cycloadditions of anionic N-heterocyclic carbenes of sydnone imines. Tetrahedron Lett. 2019, 60, 1272–1276. [Google Scholar] [CrossRef]
- Freese, T.; Namyslo, J.C.; Nieger, M.; Schmidt, A. Sulfur, mercury, and boron adducts of sydnone imine derived anionic N-heterocyclic carbenes. RSC Adv. 2019, 9, 4781–4788. [Google Scholar] [CrossRef]
- Riomet, M.; Porte, K.; Wijkhuisen, A.; Audisio, D.; Taran, F. Fluorogenic iminosydnones: Bioorthogonal tools for double turn-on click-and-release reactions. Chem. Commun. 2020, 56, 7183–7186. [Google Scholar] [CrossRef]
- Porte, K.; Renoux, B.; Péraudeau, E.; Clarhaut, J.; Eddhif, B.; Poinot, P.; Gravel, E.; Doris, E.; Wijkhuisen, A.; Audisio, D.; et al. Controlled Release of Micelle Payload via Sequential Enzymatic and Bioorthogonal Reactions in Living Systems. Angew. Chem., Int. Ed. 2019, 58, 6366–6370. [Google Scholar] [CrossRef]
- Porte, K.; Riomet, M.; Figliola, C.; Audisio, D.; Taran, F. Click and Bio-Orthogonal Reactions with Mesoionic Compounds. Chem. Rev. 2021, 121, 6718–6743. [Google Scholar] [CrossRef] [PubMed]
- Decuypere, E.; Bernard, S.; Feng, M.; Porte, K.; Riomet, M.; Thuery, P.; Audisio, D.; Taran, F. Copper-Catalyzed Aza-Iminosydnone-Alkyne Cycloaddition Reaction Discovered by Screening. ACS Catal. 2018, 8, 11882–11888. [Google Scholar] [CrossRef]
- Khmel’;nitskaya, E.Y.; Levina, V.I.; Trukhacheva, L.A.; Grigoriev, N.B.; Kalinin, V.N.; Cherepanov, I.A.; Lebedev, S.N.; Granik, V.G. Sydnonimines as exogenous NO donors. Russ. Chem. Bull. Int. Ed. 2004, 53, 2840–2844. [Google Scholar] [CrossRef]
- Kikuchi, K.; Hirata, M.; Nagaoka, A. Hypotensive action of N-ethoxycarbonyl-3-morpholinosydnonimine, SIN-10. Jap. J. Pharmacol. 1970, 20, 102–115. [Google Scholar] [CrossRef]
- Drummer, C.; Valta-Seufzer, U.; Karrenbrock, B.; Heim, J.M.; Gerzer, R. Comparison of anti-platelet properties of molsidomine, isosorbide-5-mononitrate and placebo in healthy volunteers. Eur. Heart J. 1991, 12, 541–549. [Google Scholar] [CrossRef]
- Nortcliffe, A.; Botting, N.P.; O’Hagan, D. Novel amino acids: Synthesis of furoxan and sydnonimine containing amino acids and peptides as potential nitric oxide releasing motifs. Org. Biomol. Chem. 2013, 11, 4657–5671. [Google Scholar] [CrossRef]
- Nortcliffe, A.; Fleming, I.N.; Botting, N.P.; O’Hagan, D. Synthesis and anticancer properties of RGD peptides conjugated to nitric oxide releasing functional groups and abiraterone. Tetrahedron 2014, 70, 8343–8347. [Google Scholar] [CrossRef]
- Nortcliffe, A.; Ekstrom, A.G.; Black, J.R.; Ross, J.A.; Habib, F.K.; Botting, N.P.; O’Hagan, D. Synthesis and biological evaluation of nitric oxide-donating analogues of sulindac for prostate cancer treatment. Bioorg. Med. Chem. 2014, 22, 756–761. [Google Scholar] [CrossRef] [PubMed]
- Witkin, J.M.; Savtchenko, N.; Mashkovsky, M.; Beekman, M.; Munzar, P.; Gasior, M.; Goldberg, S.R.; Ungard, J.T.; Kim, J.; Shippenberg, T.; et al. Behavioral, Toxic, and Neurochemical Effects of Sydnocarb, a Novel Psychomotor Stimulant: Comparisons with Methamphetamine. J. Pharmacol. Exp. Ther. 1999, 288, 1298–1310. [Google Scholar]
- Marvasi, M.; Chen, C.; Carrazana, M.; Durie, I.A.; Teplitski, M. Systematic analysis of the ability of Nitric Oxide donors to dislodge biofilms formed by Salmonella enterica and Escherichia coli O157:H7. AMB Express 2014, 4, 42. [Google Scholar] [CrossRef]
- Soulère, L.; Hoffmanna, P.; Bringaud, F. Synthesis of sydnonimine derivatives as potential trypanocidal agents. J. Heterocycl. Chem. 2003, 40, 943–947. [Google Scholar] [CrossRef]
- Du, S.; Hu, X.; Li, M.; Jiang, X.; Xu, X.; Cheng, J.; Qian, X. Discovery of novel iminosydnone compounds with insecticidal activities based on the binding mode of triflumezopyrim. Bioorg. Med. Chem. Lett. 2021, 46, 128120. [Google Scholar] [CrossRef]
- Pruschinski, L.; Lücke, A.-L.; Freese, T.; Kahnert, S.-R.; Mummel, S.; Schmidt, A. Suzuki–Miyaura Cross-Couplings under Acidic Conditions. Synthesis 2020, 52, 882–892. [Google Scholar] [CrossRef]
- Lücke, A.-L.; Pruschinski, L.; Freese, T.; Schmidt, A. Sonogashira-Hagihara and Buchwald-Hartwig cross-coupling reactions with sydnone and sydnone imine derived catalysts. Arkivoc 2020, vii, 94–104. [Google Scholar] [CrossRef]
- Gettings, M.L.; Byrd, E.F.C.; Zeller, M.; Piercey, D. Methyl sydnone imine and its energetic salts. New J. Chem. 2021, 45, 2228–2236. [Google Scholar] [CrossRef]
- Fershtat, L.L.; Makhova, N.N. Advances in the synthesis of non-annelated polynuclear heterocyclic systems comprising the 1,2,5-oxadiazole ring. Russ. Chem. Rev. 2016, 85, 1097–1145. [Google Scholar] [CrossRef]
- Fershtat, L.L.; Makhova, N.N. Molecular Hybridization Tools in the Development of Furoxan-Based NO-Donor Prodrugs. ChemMedChem 2017, 12, 622–638. [Google Scholar] [CrossRef] [PubMed]
- Makhova, N.N.; Fershtat, L.L. Recent advances in the synthesis and functionalization of 1,2,5-oxadiazole 2-oxides. Tetrahedron Lett. 2018, 59, 2317–2326. [Google Scholar] [CrossRef]
- Makhova, N.N.; Belen’kii, L.I.; Gazieva, G.A.; Dalinger, I.L.; Konstantinova, L.S.; Kuznetsov, V.V.; Kravchenko, A.N.; Krayushkin, M.M.; Rakitin, O.A.; Starosotnikov, A.M.; et al. Progress in the chemistry of nitrogen-, oxygen- and sulfur-containing heterocyclic systems. Russ. Chem. Rev. 2020, 89, 55–124. [Google Scholar] [CrossRef]
- Ferioli, R.; Folco, G.C.; Ferretti, C.; Gasco, A.M.; Medana, C.; Fruttero, R.; Civelli, M.; Gasco, A. A new class of furoxan derivatives as NO donors: Mechanism of action and biological activity. Br. J. Pharmacol. 1995, 114, 816–820. [Google Scholar] [CrossRef]
- Gasco, A.; Fruttero, R.; Sorba, G.; Di Stilo, A.; Calvino, R. NO donors: Focus on furoxan derivatives. Pure Appl. Chem. 2004, 76, 973–981. [Google Scholar] [CrossRef]
- Bohn, H.; Brendel, J.; Martorana, P.A.; Schönafinger, K. Cardiovascular actions of the furoxan CAS 1609, a novel nitric oxide donor. Br. J. Pharmacol. 1995, 114, 1605–1612. [Google Scholar] [CrossRef] [PubMed]
- Ustyuzhanina, N.E.; Fershtat, L.L.; Gening, M.L.; Nifantiev, N.E.; Makhova, N.N. Antiaggregant activity of water-soluble furoxans. Mendeleev Commun. 2018, 28, 49–51. [Google Scholar] [CrossRef]
- Civelli, M.; Giossi, M.; Caruso, P.; Razzetti, R.; Bergamaschi, M.; Bongrani, S.; Gasco, A. The involvement of the release of nitric oxide in the pharmacological activity of the new furoxan derivative CHF 2363. Br. J. Pharmacol. 1996, 118, 923–928. [Google Scholar] [CrossRef]
- Balbo, S.; Lazzarato, L.; di Stilo, A.; Fruttero, R.; Lombaert, N.; Kirsch-Volders, M. Studies of the potential genotoxic effects of furoxans: The case of CAS 1609 and of the water-soluble analogue of CHF 2363. Toxic. Lett. 2008, 178, 44–51. [Google Scholar] [CrossRef]
- Fershtat, L.L.; Bystrov, D.M.; Zhilin, E.S.; Makhova, N.N. N-Oxide-Controlled Chemoselective Reduction of Nitrofuroxans. Synthesis 2019, 51, 747–756. [Google Scholar] [CrossRef]
- Zhilin, E.S.; Fershtat, L.L.; Bystrov, D.M.; Kulikov, A.S.; Dmitrienko, A.O.; Ananyev, I.V.; Makhova, N.N. Renaissance of 1,2,5-Oxadiazolyl Diazonium Salts: Synthesis and Reactivity. Eur. J. Org. Chem. 2019, 2019, 4248–4259. [Google Scholar] [CrossRef]
- Zhilin, E.S.; Polkovnichenko, M.S.; Ananyev, I.V.; Fershtat, L.L.; Makhova, N.N. Novel Arylazo-1,2,5-oxadiazole Photoswitches: Synthesis, Photoisomerization and Nitric Oxide Releasing Properties. ChemPhotoChem 2020, 4, 5346–5354. [Google Scholar] [CrossRef]
- Bystrov, D.M.; Ananyev, I.V.; Fershtat, L.L.; Makhova, N.N. Direct Synthesis of N-(1,2,5-Oxadiazolyl)hydrazones through a Diazotization/Reduction/Condensation Cascade. J. Org. Chem. 2020, 85, 15466–15475. [Google Scholar] [CrossRef]
- Dos Santos Fernandes, G.F.; Pavan, A.R.; dos Santos, J.L. Heterocyclic N-oxides—A Promising Class of Agents against Tuberculosis, Malaria and Neglected Tropical Diseases. Curr. Pharm. Des. 2018, 24, 1325–1340. [Google Scholar] [CrossRef]
- Serafim, R.A.M.; Gonçalves, J.E.; de Souza, F.P.; de Melo Loureiro, A.P.; Storpirtis, S.; Krogh, R.; Andricopulo, A.D.; Dias, L.C.; Ferreira, E.I. Design, synthesis and biological evaluation of hybrid bioisoster derivatives of N-acylhydrazone and furoxan groups with potential and selective anti-Trypanosoma cruzi activity. Eur. J. Med. Chem. 2014, 82, 418–425. [Google Scholar] [CrossRef]
- Hernández, P.; Rojas, R.; Gilman, R.H.; Sauvain, M.; Lima, L.M.; Barreiro, E.J.; González, M.; Cerecetto, H. Hybrid furoxanyl N-acylhydrazone derivatives as hits for the development of neglected diseases drug candidates. Eur. J. Med. Chem. 2013, 59, 64–74. [Google Scholar] [CrossRef]
- Guglielmo, S.; Cortese, D.; Vottero, F.; Rolando, B.; Kommer, V.P.; Williams, D.L.; Fruttero, R.; Gasco, A. New praziquantel derivatives containing NO-donor furoxans and related furazans as active agents against Schistosoma mansoni. Eur. J. Med. Chem. 2014, 84, 135–145. [Google Scholar] [CrossRef]
- Epishina, M.A.; Kulikov, A.S.; Fershtat, L.L.; Ananyev, I.V.; Makhova, N.N. Synthesis of new pharmacologically oriented heterocyclic ensembles, [2-(1H-pyrazol-1-yl)thiazol-4-yl]furoxans. Mendeleev Commun. 2019, 29, 288–291. [Google Scholar] [CrossRef]
- Kulikov, A.S.; Epishina, M.A.; Fershtat, L.L.; Makhova, N.N. Effective synthesis of 7H-1,2,4-triazolo[3,4-b][1,3,4]thiadiazines. Chem. Heterocycl. Compd. 2018, 54, 669–672. [Google Scholar] [CrossRef]
- Kulikov, A.S.; Epishina, M.A.; Fershtat, L.L.; Romanova, A.A.; Makhova, N.N. Effective synthesis of 6-substituted 7H-tetrazolo[5,1-b][1,3,4]thiadiazines via a one-pot condensation/nitrosation/azide-tetrazole tautomerism reaction sequence. Tetrahedron Lett. 2017, 58, 3998–4002. [Google Scholar] [CrossRef]
- Kulikov, A.S.; Epishina, M.A.; Churakov, A.I.; Anikina, L.V.; Fershtat, L.L.; Makhova, N.N. Regioselective synthesis, structural diversification and cytotoxic activity of (thiazol-4-yl)furoxans. Mendeleev Commun. 2018, 28, 623–625. [Google Scholar] [CrossRef]
- Matsubara, R.; Kim, H.; Sakaguchi, T.; Xie, W.; Zhao, X.; Nagoshi, Y.; Wang, C.; Tateiwa, M.; Ando, A.; Hayashi, M.; et al. Modular Synthesis of Carbon-Substituted Furoxans via Radical Addition Pathway. Useful Tool for Transformation of Aliphatic Carboxylic Acids Based on “Build-and-Scrap” Strategy. Org. Lett. 2020, 22, 1182–1187. [Google Scholar] [CrossRef] [PubMed]
- Matsubara, R.; Ando, A.; Hasebe, H.; Kim, H.; Tsuneda, T.; Hayashi, M. Synthesis and Synthetic Application of Chloro- and Bromofuroxans. J. Org. Chem. 2020, 85, 5959–5972. [Google Scholar] [CrossRef] [PubMed]
- Xie, W.; Hayashi, M.; Matsubara, R. Borylfuroxans: Synthesis and Applications. Org. Lett. 2021, 23, 4317–4321. [Google Scholar] [CrossRef]
- Popov, S.A.; Semenova, M.D.; Baev, D.S.; Sorokina, I.V.; Zhukova, N.A.; Frolova, T.S.; Tolstikova, T.G.; Shults, E.E.; Turks, M. Lupane-type conjugates with aminoacids, 1,3,4- oxadiazole and 1,2,5-oxadiazole-2-oxide derivatives: Synthesis, anti-inflammatory activity and in silico evaluation of target affinity. Steroids 2019, 150, 108443. [Google Scholar] [CrossRef]
- Prabhuling, S.; Tamboli, Y.; Choudhari, P.B.; Bhatia, M.S.; Mohanta, T.K.; Al-Harrasi, A.; Pudukulathan, Z.K. Synthesis and Modeling Studies of Furoxan Coupled Spiro-Isoquinolino Piperidine Derivatives as NO Releasing PDE 5 Inhibitors. Biomedicines 2020, 8, 121. [Google Scholar] [CrossRef]
- Ma, J.; Chen, L.; Fan, J.; Cao, W.; Zeng, G.; Wang, Y.; Li, Y.; Zhou, Y.; Deng, X. Dual-targeting Rutaecarpine-NO donor hybrids as novel antihypertensive agents by promoting release of CGRP. Eur. J. Med. Chem. 2019, 168, 146–153. [Google Scholar] [CrossRef]
- Dos Santos Fernandes, G.F.; de Souza, P.C.; Marino, L.B.; Chegaev, K.; Guglielmo, S.; Lazzarato, L.; Fruttero, R.; Chung, M.C.; Pavan, F.R.; dos Santos, J.L. Synthesis and biological activity of furoxan derivatives against Mycobacterium tuberculosis. Eur. J. Med. Chem. 2016, 123, 523–531. [Google Scholar] [CrossRef]
- De Souza, P.C.; Fernandes, G.F.S.; Marino, L.B.; Ribeiro, C.M.; da Silva, P.B.; Chorilli, M.; Silva, C.S.P.; Resende, F.A.; Solcia, M.C.; de Grandis, R.A.; et al. Furoxan derivatives demonstrated in vivo efficacy by reducing Mycobacterium tuberculosis to undetectable levels in a mouse model of infection. Biomed. Pharmacother. 2020, 130, 110592. [Google Scholar] [CrossRef]
- Niu, X.; Cao, J.; Zhang, Y.; Gao, X.; Cheng, M.; Liu, Y.; Wang, W.; Yuan, Z. A glutathione responsive nitric oxide release system based on charge-reversal chitosan nanoparticles for enhancing synergistic effect against multidrug resistance tumor. Nanomed. Nanotechnol. 2019, 20, 102015. [Google Scholar] [CrossRef] [PubMed]
- Zhang, Y.; Yang, J.; Meng, T.; Qin, Y.; Li, T.; Fu, J.; Yin, J. Nitric oxide-donating and reactive oxygen species-responsive prochelators based on 8-hydroxyquinoline as anticancer agents. Eur. J. Med. Chem. 2021, 212, 113153. [Google Scholar] [CrossRef] [PubMed]
- Wan, Q.; Deng, Y.; Huang, Y.; Yu, Z.; Wang, C.; Wang, K.; Dong, J.; Chen, Y. Synthesis and Antitumor Evaluation of Novel Hybrids of Phenylsulfonylfuroxan and Estradiol Derivatives. ChemistryOpen 2020, 9, 176–182. [Google Scholar] [CrossRef] [PubMed]
- Sodano, F.; Gazzano, E.; Rolando, B.; Marini, E.; Lazzarato, L.; Fruttero, R.; Riganti, C.; Gasco, A. Tuning NO release of organelle-targeted furoxan derivatives and their cytotoxicity against lung cancer cells. Bioorg. Chem. 2021, 111, 104911. [Google Scholar] [CrossRef] [PubMed]
- Zang, Y.; Lai, F.; Fu, J.; Li, C.; Ma, J.; Chen, C.; Liu, K.; Zhang, T.; Chen, X.; Zhang, D. Novel nitric oxide-releasing derivatives of triptolide as antitumor and anti-inflammatory agents: Design, synthesis, biological evaluation, and nitric oxide release studies. Eur. J. Med. Chem. 2020, 190, 112079. [Google Scholar] [CrossRef]
- Dai, Y.; Zhu, Y.; Cheng, J.; Shen, J.; Huang, H.; Liu, M.; Chen, Z.; Liu, Y. Nitric oxide-releasing platinum(IV) prodrug efficiently inhibits proliferation and metastasis of cancer cells. Chem. Commun. 2020, 56, 14051. [Google Scholar] [CrossRef]
- Zhao, J.; Gou, S.; Sun, Y.; Fang, L.; Wang, Z. Antitumor Platinum(II) Complexes Containing Platinum-Based Moieties of Present Platinum Drugs and Furoxan Groups as Nitric Oxide Donors: Synthesis, DNA Interaction, and Cytotoxicity. Inorg. Chem. 2012, 51, 10317–10324. [Google Scholar] [CrossRef] [PubMed]
- Larin, A.A.; Fershtat, L.L.; Ustyuzhanina, N.E.; Gening, M.L.; Nifantiev, N.E.; Makhova, N.N. New hybrid furoxan structures with antiaggregant activity. Mendeleev Commun. 2018, 28, 595–597. [Google Scholar] [CrossRef]
- Fernandes, G.F.S.; Campos, D.L.; da Silva, I.C.; Prates, J.L.B.; Pavan, A.R.; Pavan, F.R.; dos Santos, J.L. Benzofuroxan Derivatives as Potent Agents against Multidrug-Resistant Mycobacterium tuberculosis. ChemMedChem 2021, 16, 1268–1282. [Google Scholar] [CrossRef] [PubMed]
- Fedik, N.S.; Kletskii, M.E.; Burov, O.N.; Lisovin, A.V.; Kurbatov, S.V.; Chistyakov, V.A.; Morozov, P.G. Comprehensive study of nitrofuroxanoquinolines. New perspective donors of NO molecules. Nitric Oxide 2019, 93, 15–24. [Google Scholar] [CrossRef] [PubMed]
- Chugunova, E.; Frenna, V.; Consiglio, G.; Micheletti, G.; Boga, C.; Akylbekov, N.; Burilov, A.; Spinelli, D. On the Nucleophilic Reactivity of 4,6-Dichloro-5-nitrobenzofuroxan with Some Aliphatic and Aromatic Amines: Selective Nucleophilic Substitution. J. Org. Chem. 2020, 85, 13472–13480. [Google Scholar] [CrossRef]
- Chugunova, E.; Micheletti, G.; Telese, D.; Boga, C.; Islamov, D.; Usachev, K.; Burilov, A.; Tulesinova, A.; Voloshina, A.; Lyubina, A.; et al. Novel Hybrid Compounds Containing Benzofuroxan and Aminothiazole Scaffolds: Synthesis and Evaluation of Their Anticancer Activity. Int. J. Mol. Sci. 2021, 22, 7497. [Google Scholar] [CrossRef]
- Ustyuzhanina, N.E.; Fershtat, L.L.; Gening, M.L.; Nifantiev, N.E.; Makhova, N.N. New insight into the antiaggregant activity of furoxans. Mendeleev Commun. 2016, 26, 513–515. [Google Scholar] [CrossRef]
- Orlandi, V.T.; Bolognese, F.; Rolando, B.; Guglielmo, S.; Lazzarato, L.; Fruttero, R. Anti-Pseudomonas activity of 3-nitro-4-phenylfuroxan. Microbiology 2018, 164, 1557–1566. [Google Scholar] [CrossRef]
- Fei, Y.; Wu, J.; An, H.-W.; Zhu, K.; Peng, B.; Cai, J.; Zhang, Y.; Li, L.-L.; Wang, H.; Huang, Z. Identification of New Nitric Oxide-Donating Peptides with Dual Biofilm Eradication and Antibacterial Activities for Intervention of Device-Related Infections. J. Med. Chem. 2020, 63, 9127–9135. [Google Scholar] [CrossRef]
- Huang, L.Y.; Tsui, D.Y.; Williams, C.M.; Wyse, B.D.; Smith, M.T. The furoxan nitric oxide donor, PRG150, evokes dose-dependent analgesia in a rat model of painful diabetic neuropathy. Clin. Exp. Pharmacol. Physiol. 2015, 42, 921–929. [Google Scholar] [CrossRef] [PubMed]
- Pippin, A.B.; Arshad, Z.H.M.; Voll, R.J.; Nye, J.A.; Ghassabian, S.; Williams, C.M.; Mancini, A.; Liotta, D.C.; Smith, M.T.; Goodman, M.M. In Vitro Metabolic Stability and in Vivo Biodistribution of 3-Methyl-4-furoxancarbaldehyde Using PET Imaging in Rats. ACS Med. Chem. Lett. 2016, 7, 563–567. [Google Scholar]
- Huang, L.; Wyse, B.D.; Williams, C.M.; Smith, M.T. Nitric oxide modulates μ-opioid receptor function in vitro. Clin. Exp. Pharmacol. Physiol. 2019, 46, 676–685. [Google Scholar] [CrossRef]
- Eaton, J.K.; Ruberto, R.A.; Kramm, A.; Viswanathan, V.S.; Schreiber, S.L. Diacylfuroxans Are Masked Nitrile Oxides That Inhibit GPX4 Covalently. J. Am. Chem. Soc. 2019, 141, 20407–20415. [Google Scholar] [CrossRef] [PubMed]
- Larin, A.A.; Bystrov, D.M.; Fershtat, L.L.; Konnov, A.A.; Makhova, N.N.; Monogarov, K.A.; Meerov, D.B.; Melnikov, I.N.; Pivkina, A.N.; Kiselev, V.G.; et al. Nitro-, Cyano-, and Methylfuroxans, and Their Bis-Derivatives: From Green Primary to Melt-Cast Explosives. Molecules 2020, 25, 5836. [Google Scholar] [CrossRef]
- Larin, A.A.; Shaferov, A.V.; Epishina, M.A.; Melnikov, I.N.; Muravyev, N.V.; Ananyev, I.V.; Fershtat, L.L.; Makhova, N.N. Pushing the Energy-Sensitivity Balance with High-Performance Bifuroxans. ACS Appl. Energy Mater. 2020, 3, 7764–7771. [Google Scholar] [CrossRef]
- Fershtat, L.L.; Makhova, N.N. 1,2,5-Oxadiazole-Based High-Energy-Density Materials: Synthesis and Performance. ChemPlusChem 2020, 85, 13–42. [Google Scholar] [CrossRef]
- Larin, A.A.; Muravyev, N.V.; Pivkina, A.N.; Suponitsky, K.Y.; Ananyev, I.V.; Khakimov, D.V.; Fershtat, L.L.; Makhova, N.N. Assembly of Tetrazolylfuroxan Organic Salts: Multipurpose Green Energetic Materials with High Enthalpies of Formation and Excellent Detonation Performance. Chem. Eur. J. 2019, 25, 4225–4233. [Google Scholar] [CrossRef]
- Fershtat, L.L.; Ovchinnikov, I.V.; Epishina, M.A.; Romanova, A.A.; Lempert, D.B.; Muravyev, N.V.; Makhova, N.N. Assembly of Nitrofurazan and Nitrofuroxan Frameworks for High-Performance Energetic Materials. ChemPlusChem 2017, 82, 1315–1319. [Google Scholar] [CrossRef]
- Nakadate, M.; Sueyoshi, S.; Suzuki, I. Studies on Pyridazine 1,2-Dioxides. I. Syntheses of Pyridazine 1,2-Dioxides. Chem. Pharm. Bull. 1970, 18, 1211–1218. [Google Scholar] [CrossRef][Green Version]
- Rozen, S.; Shaffer, A. Synthesis of N,N-Dioxopyridazines. Org. Lett. 2017, 19, 4707–4709. [Google Scholar] [CrossRef] [PubMed]
- Kulikov, A.S.; Epishina, M.A.; Zhilin, E.S.; Shuvaev, A.D.; Fershtat, L.L.; Makhova, N.N. Design and synthesis of pyrazolo[3,4-d]pyridazine 5,6-dioxides as novel NO-donors. Mendeleev Commun. 2021, 31, 42–45. [Google Scholar] [CrossRef]
- Ivanova, O.A.; Averina, E.B.; Kuznetsova, T.S.; Zefirov, N.S. Synthesis of new 3,4-disubstituted furazans. Chem. Heterocycl. Compd. 2000, 36, 1091–1096. [Google Scholar] [CrossRef]
- Ogurtsov, V.A.; Dorovatovskii, P.V.; Zubavichus, Y.V.; Khrustalev, V.N.; Fakhrutdinov, A.N.; Zlotin, S.G.; Rakitin, O.A. [1,2,5]Oxadiazolo[3,4-d]pyridazine 1,5,6-trioxides: Efficient synthesis via the reaction of 3,4-bis(hydroxyimino)methyl)-1,2,5-oxadiazole 2-oxides with a mixture of concentrated nitric and trifluoroacetic acids and structural characterization. Tetrahedron Lett. 2018, 59, 3143–3146. [Google Scholar] [CrossRef]
- Obruchnikova, N.V.; Novikov, R.A.; Zlotin, S.G.; Dorovatovskii, P.V.; Khrustalev, V.N.; Rakitin, O.A. Synthesis and structural investigation of 4,4’;-dimethyl-[3,3’;-bi(1,2,5-oxadiazole)] 5,5’;-dioxide. Russ. Chem. Bull. Int. Ed. 2018, 67, 2044–2048. [Google Scholar] [CrossRef]
- Spyroudis, S.; Varvoglis, A. A New Synthesis of Pyridazine 1,2-Dioxides. Synthesis 1976, 1976, 837–838. [Google Scholar] [CrossRef]
- Ohsawa, A.; Arai, H.; Igeta, H. Oxidative Cyclization of 2-Unsaturated 1,4-Dioximes. Heterocycles 1978, 9, 1367–1373. [Google Scholar]
- Ohsawa, A.; Arai, H.; Igeta, H.; Akimoto, T.; Tsuji, A.; Iitaka, Y. Oxidative cyclization of dioximes and bis(hydrazones) of 2-unsaturated 1,4-diketones. J. Org. Chem. 1979, 44, 3524–3529. [Google Scholar] [CrossRef]
- Kots, A.Y.; Grafov, M.A.; Khropov, Y.V.; Betin, V.L.; Belushkina, N.N.; Busygina, O.G.; Yazykova, M.Y.; Ovchinnikov, I.V.; Kulikov, A.S.; Makhova, N.N.; et al. Vasorelaxant and antiplatelet activity of 4,7-dimethyl-1,2,5-oxadiazolo[3,4-d]pyridazine 1,5,6-trioxide: Role of soluble guanylate cyclase, nitric oxide and thiols. Br. J. Pharmacol. 2000, 129, 1163–1177. [Google Scholar] [CrossRef]
- Shevelev, S.A.; Dalinger, I.L.; Gulevskaya, V.I.; Cherkasova, T.I.; Vinogradov, V.M.; Ugrak, B.I.; Starosotnikov, A.M. Synthesis of mesoionic 3-aryl(hetaryl)-1,2,3,4-oxatriazol-5-ones based on N-aryl- and N-hetarylhydrazones of bromonitroformaldehyde. Chem. Heterocycl. Compd. 1999, 35, 363–373. [Google Scholar] [CrossRef]
- Zhilin, E.S.; Bystrov, D.M.; Ananyev, I.V.; Fershtat, L.L.; Makhova, N.N. Straightforward Access to the Nitric Oxide Donor Azasydnone Scaffold by Cascade Reactions of Amines. Chem. Eur. J. 2019, 25, 14284–14289. [Google Scholar] [CrossRef] [PubMed]
- Lund, M.Q.; Kier, L.B.; Glennon, R.A.; Egle, J.L., Jr. Preliminary studies of mesoionic 3-(substituted-aryl)-.psi.-oxatriazoles as potential antihypertensive agents. J. Med. Chem. 1982, 25, 1503–1505. [Google Scholar] [CrossRef] [PubMed]
- Thomas, T.L.; Fedorchuk, M.; Shetty, B.V.; Anderson, F.E. Synthesis and activity of some 3-substituted 1,2,3,4-pseudooxatriazol-5-ones and their precursors and related compounds. J. Med. Chem. 1970, 13, 196–203. [Google Scholar] [CrossRef]
- Zhilin, E.S.; Ustyuzhanina, N.E.; Fershtat, L.L.; Nifantiev, N.E.; Makhova, N.N. Antiaggregant effects of (1,2,5-oxadiazolyl)azasydnone ring assemblies as novel antiplatelet agents. Chem. Biol. Drug Des. 2021, in press. [Google Scholar] [CrossRef] [PubMed]
- Gettings, M.; Piercey, D. Azasydnones and their use in Energetic Materials. Energ. Mater. Front. 2020, 1, 136–140. [Google Scholar] [CrossRef]
- Gettings, M.L.; Thoenen, M.T.; Byrd, E.F.C.; Sabatini, J.J.; Zeller, M.; Piercey, D.G. Tetrazole Azasydnone (C2N7O2H) And Its Salts: High-Performing Zwitterionic Energetic Materials Containing A Unique Explosophore. Chem. Eur. J. 2020, 26, 14530–14535. [Google Scholar] [CrossRef]
- Dalinger, I.L.; Serushkina, O.V.; Muravyev, N.V.; Meerov, D.B.; Miroshnichenko, E.A.; Kon’kova, T.S.; Suponitsky, K.Y.; Vener, M.V.; Sheremetev, A.B. Azasydnone—Novel “green” building block for designing high energetic compounds. J. Mater. Chem. A 2018, 6, 18669–18676. [Google Scholar] [CrossRef]
- Serushkin, V.V.; Sinditskii, V.P.; Filatov, S.A.; Kulagina, P.D.; Nguyen, V.T.; Vatsadze, I.A.; Dalinger, I.L.; Sheremetev, A.B. Thermal stability and combustion behaviors of energetic materials based on a new heterocycle azasydnone. Int. J. Energ. Mater. Chem. Propul. 2018, 17, 147–170. [Google Scholar] [CrossRef]
Publisher’s Note: MDPI stays neutral with regard to jurisdictional claims in published maps and institutional affiliations. |
© 2021 by the authors. Licensee MDPI, Basel, Switzerland. This article is an open access article distributed under the terms and conditions of the Creative Commons Attribution (CC BY) license (https://creativecommons.org/licenses/by/4.0/).









































