Chromane Derivatives from Underground Parts of Iris tenuifolia and Their In Vitro Antimicrobial, Cytotoxicity and Antiproliferative Evaluation
Abstract
:1. Introduction
2. Results and Discussion
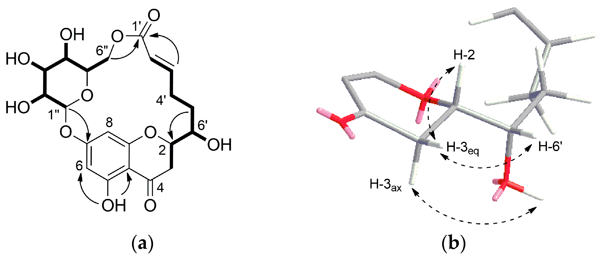
2.1. Structure Elucidation
2.2. Antimicrobial Activity
2.3. Antiproliferative and Cytotoxic Activities
3. Materials and Methods
3.1. General Experimental Procedures
3.2. Plant Material
3.3. Extraction and Isolation
3.4. Antimicrobial Activity Assay
3.5. Antiproliferation and Cytotoxicity Assays
4. Conclusions
Supplementary Materials
Author Contributions
Funding
Acknowledgments
Conflicts of Interest
Sample Availability
References
- Iwashina, T.; Mizuno, T. Flavonoids and xanthones from the genus Iris: Phytochemistry, relationships with flower colors and taxonomy, and activities and function. Nat. Prod. Commun. 2020, 15, 1–35. [Google Scholar] [CrossRef]
- Choudhary, M.I.; Hareem, S.; Siddiqui, H.; Anjum, S.; Ali, S.; Atta-ur-Rahman; Zaidi, M.I. A benzil and isoflavone from Iris tenuifolia. Phytochemistry 2008, 69, 1880–1885. [Google Scholar] [CrossRef]
- Ibrahim, S.R.M.; Mohamed, G.A.; Al-Musayeib, N.M. New constituents from the rhizomes of Egyptian Iris germanica L. Molecules 2012, 17, 2587–2598. [Google Scholar] [CrossRef] [PubMed]
- Wang, H.; Cui, Y.; Zhao, C. Flavonoids of the genus Iris (Iridaceae). Mini Rev. Med. Chem. 2010, 10, 643–661. [Google Scholar] [CrossRef]
- Singab, A.N.B.; Ayoub, I.M.; El-Shazly, M.; Korinek, M.; Wu, T.Y.; Cheng, Y.-B.; Chang, F.R.; Wu, Y.C. Shedding the light on Iridaceae: Ethnobotany, phytochemistry and biological activity. Ind. Crop. Prod. 2016, 92, 308–335. [Google Scholar] [CrossRef]
- Alam, A. Pharmacology and phytochemistry of isoflavonoids from Iris species. J. Pharmacol. Clin. Res. 2017, 3, 1–6. [Google Scholar] [CrossRef]
- Cui, Y.M.; Wang, H.; Liu, Q.R.; Han, M.; Lu, Y.; Zhao, C.Q. Flavans from Iris tenuifolia and their effects on β-amyloid aggregation and neural stem cells proliferation in vitro. Bioorg. Med. Chem. Lett. 2011, 21, 4400–4403. [Google Scholar] [CrossRef]
- Urgamal, M.; Oyuntsetseg, B.; Nyambayar, D.; Dulamsuren, C. Vascular plants in Biodiversity of Mongolia: A Checklist of Plants, Fungus and Microorganisms; Mongolica Publishing: Ulaanbaatar, Mongolia, 2019. [Google Scholar]
- Urgamal, M.; Gundegmaa, V.; Baasanmunkh, S.; Oyuntsetseg, B.; Darikhand, D.; Munkh-Erdene, T. Additions to the vascular flora of Mongolia—IV. Proc. Mong. Acad. Sci. 2019, 59, 41–53. [Google Scholar]
- Ligaa, U.; Davaasuren, B.; Ninjil, N. Medicinal Plants of Mongolia Used in Western and Eastern Medicine; JKC Printing: Ulaanbaatar, Mongolia, 2005. [Google Scholar]
- Slade, D.; Ferreira, D.; Marais, J.P.J. Circular dichroism, a powerful tool for the assessment of absolute configuration of flavonoids. Phytochemistry 2005, 66, 2177–2215. [Google Scholar] [CrossRef] [PubMed]
- Feng, W.; Hao, Z.; Li, M. Isolation and structure identification of flavonoids. Flavonoids Biosynth. Hum. Health 2017, 2, 18–43. [Google Scholar]
- Peng, W.; Yang, C.; Zhan, R.; Chen, Y. Two new flavans from the trunk and leaves of Horsfieldia glabra. Nat. Prod. Res. 2016, 30, 2350–2355. [Google Scholar] [CrossRef]
- Yang, X.; Zhang, W.; Ying, X.; Stien, D. New flavonoids from Portulaca oleracea L. and their activities. Fitoterapia 2018, 127, 257–262. [Google Scholar] [CrossRef] [PubMed]
- Kojima, K.; Gombosurengyin, P.; Ondognyi, P.; Begzsurengyin, D.; Zevgeegyin, O.; Hatano, K.; Ogihara, Y. Flavanones from Iris tenuifolia. Phytochemistry 1997, 44, 711–714. [Google Scholar] [CrossRef]
- Al-Saleem, M.S.M.; Al-Wahaib, L.H.; Abdel-Mageed, W.M.; Gouda, Y.G.; Sayed, H.M. Antioxidant flavonoids from Alhagi maurorum with hepatoprotective effect. Pharmacogn. Mag. 2019, 15, 592–599. [Google Scholar]
- Hanawa, F.; Tahara, S.; Mizutani, J. Isoflavonoids produced by Iris Pseudacorus leaves treated with cupric chloride. Phytochemistry 1991, 30, 157–163. [Google Scholar] [CrossRef]
- Bergeron, C.; Marston, A.; Hakizamungu, E.; Hostettmann, K. Antifungal constituents of Chenopodium procerum. Pharm. Biol. 1995, 33, 115–119. [Google Scholar] [CrossRef]
- Shawl, A.S.; Vishwapaul; Zaman, A.; Kalla, A.K. Isoflavones of Iris spuria. Phytochemistry 1984, 23, 2405–2406. [Google Scholar] [CrossRef]
- Choudhary, M.I.; Nur-e-Alam, M.; Baig, I.; Akhtar, F.; Khan, A.M.; Ndögnii, P.Ö.; Badarchiin, T.; Purevsuren, G.; Nahar, N.; Atta-ur-Rahman. Four new flavones and a new isoflavone from Iris bungei. J. Nat. Prod. 2001, 64, 857–860. [Google Scholar] [CrossRef]
- Vitus Nyigo, A.; Peter, X.; Abiki, F.M.; Alebo, H.M.M.; Degela, R.H.M.; Gerda, F. Isolation and identification of euphol and β-sitosterol from the dichloromethane extracts of Synadenium glaucescens. J. Phytopharm. 2016, 5, 100–104. [Google Scholar] [CrossRef]
- Farhadi, F.; Khameneh, B.; Iranshahi, M.; Iranshahy, M. Antibacterial activity of flavonoids and their structure–activity relationship: An update review. Phyther. Res. 2019, 33, 13–40. [Google Scholar] [CrossRef] [PubMed] [Green Version]
- Kawaii, S.; Tomono, Y.; Katase, E.; Ogawa, K.; Yano, M. Antiproliferative activity of flavonoids on several cancer cell lines. Biosci. Biotechnol. Biochem. 1999, 63, 896–899. [Google Scholar] [CrossRef]
- Kawaii, S.; Ishikawa, Y.; Yoshizawa, Y. Relationship between the structure of methoxylated and hydroxylated flavones and their antiproliferative activity in HL60 cells. Anticancer Res. 2018, 38, 5679–5684. [Google Scholar] [CrossRef] [PubMed]
- Grigalius, I.; Petrikaite, V. Relationship between antioxidant and anticancer activity of trihydroxyflavones. Molecules 2017, 22, 2169. [Google Scholar] [CrossRef] [PubMed] [Green Version]
- Krieg, R.; Jortzik, E.; Goetz, A.A.; Blandin, S.; Wittlin, S.; Elhabiri, M.; Rahbari, M.; Nuryyeva, S.; Voigt, K.; Dahse, H.M.; et al. Arylmethylamino steroids as antiparasitic agents. Nat. Commun. 2017, 8, 14478. [Google Scholar] [CrossRef] [PubMed]
- Krauth, F.; Dahse, H.M.; Rüttinger, H.H.; Frohberg, P. Synthesis and characterization of novel 1,2,4-triazine derivatives with antiproliferative activity. Bioorganic Med. Chem. 2010, 18, 1816–1821. [Google Scholar] [CrossRef] [PubMed]



| Position | δH | δC | HMBC | 1H-1H COSY | ROESY | 
|---|---|---|---|---|---|
| 2 | 4.58 brd (13.4) | 76.9 | C-4, C-3 | H-3ax, H-3eq, H-6′ | H-3eq, H-3′, H-4b′, H-6′ | 
| 3ax | 3.21 m | 38.5 | C-4, C-6′ | H-2, H-3eq | H-3eq, 6′-OH | 
| 3eq | 2.40 m | C-4, C-10 | H-2, H-3ax | H-2, H-6′, H-3ax | |
| 4 | - | 198.5 | - | - | - | 
| 5 | - | 163.1 | - | - | - | 
| 6 | 5.95 d (2.0) | 97.3 | C-7, C-8, C-10 | - | - | 
| 7 | - | 164.1 | - | - | - | 
| 8 | 6.14 d (2.0) | 94.7 | C-4, C-6, C-7, C-10 | - | H-3′, H-1″ | 
| 9 | - | 162.4 | - | - | - | 
| 10 | - | 103.4 | - | - | - | 
| 1′ | - | 164.8 | - | - | - | 
| 2′ | 5.75 d (15.6) | 120.2 | C-1′, C-3′, C-4′ | H-3′, H-4′ab | H-3′ | 
| 3′ | 6.94 m | 150.1 | C-1′, C-2′, C-4′, C-5′ | H-2′, H-4′ab | H-2, H-8, H-5′b | 
| 4′a | 2.41 m | 25.3 | - | H-3′, H-4′b | - | 
| 4′b | 2.07 m | C-2′, C-3′ C-5′, C-6′ | H-3′, H-5′b, H-4′a | - | |
| 5′a | 2.01 m | 29.7 | C-2, C-3′, C-4′ | H-6′, H-4′a, H-5′b | - | 
| 5′b | 1.81 m | C-3′, C-4′, C-6′ | H-6′, H-5′a | - | |
| 6′ | 3.54 m | 70.9 | C-2 | H-2, 6′-OH, H-5′ab | H-2, H-3eq, H-4′b, 6′-OH | 
| 1″ | 5.09 d (7.7) | 98.0 | C-7, C-5″ | H-2″ | H-8, H-3″, H-5″ | 
| 2″ | 3.27 overlap | 72.8 | C-1″, C-3″, C-4″ | H-1″, 2″-OH | - | 
| 3″ | 3.32 overlap | 76.3 | C-2″ | H-4″, 3″-OH | - | 
| 4″ | 3.08 m | 70.2 | C-3″, C-6″ | H-5″, 4″-OH | - | 
| 5″ | 3.71 t (10.4, 1.2) | 74.4 | C-1″, C-3″, C-4″, C-6″ | H-4″, H-6″a, H-6″b | H-1″, H-3″, H-6″a | 
| 6″a | 4.36 brd (11.5) | 63.2 | C-1′, C-1″, C-5″ | H-5″, H-6″b | H-2, H-5″, H-6″b, 4″-OH | 
| 6″b | 4.06 brd (10.9) | C-1′, C-5″ | H-5″, H-6″a | - | |
| 5-OH | 12.04 s | - | C-4, C-5, C-6, C-10 | - | - | 
| 6′-OH | 5.14 d (5.9) | - | C-2, C-5′, C-6′ | H-6′ | H-3ax | 
| 2″-OH | 5.50 d (5.1) | - | C-1″, C-2″, C-3″ | H-2″ | H-2″ | 
| 3″-OH | 5.25 d (5.1) | - | C-2″, C-3″, C-4″ | H-3″ | - | 
| 4″-OH | 5.36 d (5.1) | - | C-3″, C-4″, C-5″ | H-4″ | H-4″, H-6″a | 
| Position | 2 * | 3 ** | 9 ** | 10 * | ||||
|---|---|---|---|---|---|---|---|---|
| δH | δC | δH | δC | δH | δC | δH | δC | |
| 2 | 5.25 dd (2.6, 4.4) | 67.5 | 5.70 dd (2.9, 12.9) | 74.0 | 8.44 s | 157.1 | 8.16 s | 156.3 | 
| 3 | 2.27 dt (2.8, 13.8) | 26.5 | 3.17 dd (12.9, 17.0) | 41.1 | - | 118.9 | - | 122.8 | 
| 2.15 dt (2.8, 13.8) | 2.69 dd (3.0, 17.0) | - | - | |||||
| 4 | 5.64 dd (2.8, 4.4) | 62.4 | - | 196.4 | - | 180.5 | - | 182.4 | 
| 5 | - | 141.1 | - | 163.5 | - | 156.8 | - | 158.1 | 
| 6 | - | 129.9 | 5.88 d (2.0) | 95.8 | - | 128.3 | - | 128.9 | 
| 7 | - | 150.5 | - | 166.6 | - | 158.3 | - | 159.7 | 
| 8 | 6.08 s | 92.5 | 5.90 d (2.0) | 94.9 | 6.64 s | 96.1 | 6.54 s | 96.9 | 
| 9 | - | 148.9 | - | 163.2 | - | 149.2 | - | 149.7 | 
| 10 | - | 106.1 | - | 101.7 | - | 104.8 | - | 104.9 | 
| 1′ | - | 121.3 | - | 125.5 | - | 120.0 | - | 119.8 | 
| 2′ | - | 153.6 | - | 142.6 | - | 155.1 | - | 147.7 | 
| 3′ | 6.87 overlap | 117.2 | - | 145.2 | 7.27 d (8.2) | 115.5 | - | 142.6 | 
| 4′ | 7.20 ddd (1.7, 7.4, 7.4) | 130.6 | 6.79 dd (1.4, 7.9) | 115.2 | 7.37 overlap | 129.7 | 7.03 dd (1.3, 7.9) | 115.6 | 
| 5′ | 6.89 overlap | 120.4 | 6.69 t (7.8) | 119.1 | 7.09 t (7.5) | 121.5 | 6.92 t (7.9) | 122.2 | 
| 6′ | 7.33 dd (1.7, 7.5) | 130.9 | 6.88 dd (1.4, 7.8) | 117.1 | 7.35 overlap | 131.9 | 6.71 dd (1.5, 7.8) | 120.3 | 
| 5-OCH3 | 4.09 s (3H) | 60.1 | - | - | - | - | - | - | 
| -OCH2O- | 5.76 d (1.5) | 100.8 | - | - | - | - | - | - | 
| 5.81 d (1.5) | ||||||||
| 5-OH | - | - | 12.12 s | - | 12.68 s | - | 12.07 s | - | 
| 7-OH | - | - | 10.79 s | - | - | - | ||
| 2′-OH | - | - | 8.71 s | - | - | - | 8.48 s | - | 
| 3′-OH | - | - | 9.51 s | - | - | - | 6.09 s | - | 
| 1″ | - | - | - | - | 4.89 d (7.8) | 101.1 | - | - | 
| 2″ | - | - | - | - | 3.14 m | 73.3 | - | - | 
| 3″ | - | - | - | - | 3.25 m | 76.5 | - | - | 
| 4″ | - | - | - | - | 3.12 m | 69.7 | - | - | 
| 5″ | - | - | - | 3.32 m | 77.1 | - | - | |
| 6a″ | - | - | - | - | 3.70 dd (5.0, 11.5) | 60.7 | - | - | 
| 6b″ | - | - | - | - | 3.46 m | - | ||
| 2″-OH | - | - | - | - | 5.05 d (5.0) | - | - | - | 
| 3″-OH | - | - | - | - | 5.01 overlap | - | - | - | 
| 4″-OH | - | - | - | - | 5.02 overlap | - | - | - | 
| 6″-OH | - | - | - | - | 4.57 t (5.8, 11.5) | - | - | - | 
| 6-OCH3 | - | - | - | - | 3.79 s (3H) | 61.0 | 3.91 s (3H) | 61.9 | 
| 7-OCH3 | - | - | - | - | 3.94 s (3H) | 56.6 | 3.99 s (3H) | 56.7 | 
| Test Microorganism | Inhibition Zone of Test Microorganism (mm) | ||||||
|---|---|---|---|---|---|---|---|
| 1 | 2 | 3 | 5 | 9 | 10 | Standard | |
| Gram-positive | Ciprofloxacin | ||||||
| Staphylococcus aureus (511 B3) | - | - | - | 15 | - | - | 19 | 
| Bacillussubtilis (6633 B1) | - | 12 | 12 | 13 | - | 13 | 29 | 
| Staphylococcus aureus (MRSA 134/94 R9) | - | - | - | 13 | - | - | - | 
| Enterococcus faecalis (VRE 1528 R10) | 13 | 14 | 17 | 13 | 13 | 13 | 16 | 
| Gram-negative | |||||||
| Escherichiacoli (458 B4) | - | - | - | - | - | - | 32 | 
| Pseudomonas aeruginosa (SG137 B7) | - | - | - | - | - | - | 25 | 
| Pseudomonas aeruginosa (K799/61 B9) | - | - | - | 17 | - | - | 35 | 
| Mycobacterium vaccae (10670 M4) | - | 17 | 23 | 20 | - | 16 | 22 | 
| Fungi | Amphotericin B | ||||||
| Sporobolomyces salmonicolor (549 H4) | - | - | - | - | - | - | 19 | 
| Candida albicans (C.alb.H8) | - | - | - | 13 | - | 13 | 20 | 
| Penicillium notatum (JP36 P1) | - | - | - | 16 | - | - | 19 | 
| Compound | Antiproliferative Effect, GI50 (µM) (CI 95%) | Cytotoxicity CC50 (µM) (CI 95%) | |||
|---|---|---|---|---|---|
| HUVEC | K-562 | THP-1 | A549 | HeLa | |
| 1 | >100 | >100 | >100 | >100 | >100 | 
| 2 | 35.2 (35.0–35.4) | 31.5 (31.2–31.8) | 29.2 (29.1–29.3) | >100 | 42.6 (41.8–43.4) | 
| 3 | >100 | 32.3 (32.1–32.5) | >100 | >100 | >100 | 
| 4 | 73.3 (72.8–73.8) | 48.7 (46.8–50.6) | 16.0 (15.9–16.1) | 81.0 (80.7–81.3) | >100 | 
| 5 | 69.0 (68.5–69.5) | 44.3 (41.6–47.0) | 16.5 (16.4–16.6) | >100 | >100 | 
| 6 | 68.2 (67.6–68.8) | 56.0 (54.3–57.7) | 16.9 (16.8–17.0) | 70.9 (69.7–72.1) | >100 | 
| 7 | >100 | 97.6 (95.8–99.4) | >100 | >100 | >100 | 
| 8 | >100 | >100 | >100 | >100 | >100 | 
| 9 | >100 | >100 | >100 | >100 | >100 | 
| 10 | 35.8 (35.4–36.2) | 7.6 (7.5–7.7) | 9.1 (9.07–9.13) | 98.8 (97.7–99.9) | >100 | 
| 11 | >100 | 71.5 (71.1–71.9) | 50.6 (49.0–52.2) | 67.0 (66.6–67.4) | >100 | 
| 12 | >100 | >100 | >100 | >100 | >100 | 
| Imatinib | 22.1 (20.9–23.2) | 0.2 (0.20–0.21) | n.d | n.d | 78.6 (77.3–80.0) | 
| Doxorubicin | 0.13 (0.10–0.16) | 0.13 (0.12–0.14) | n.d | n.d | 0.48 (0.46–0.49) | 
| Plant extract (µg/mL) | ≥50 | 47.2 (±1.8) | 31.6 (±6.3) | >50 | 40.0 (±4.9) | 
| Publisher’s Note: MDPI stays neutral with regard to jurisdictional claims in published maps and institutional affiliations. | 
© 2021 by the authors. Licensee MDPI, Basel, Switzerland. This article is an open access article distributed under the terms and conditions of the Creative Commons Attribution (CC BY) license (https://creativecommons.org/licenses/by/4.0/).
Share and Cite
Otgon, O.; Nadmid, S.; Paetz, C.; Dahse, H.-M.; Voigt, K.; Bartram, S.; Boland, W.; Dagvadorj, E. Chromane Derivatives from Underground Parts of Iris tenuifolia and Their In Vitro Antimicrobial, Cytotoxicity and Antiproliferative Evaluation. Molecules 2021, 26, 6705. https://doi.org/10.3390/molecules26216705
Otgon O, Nadmid S, Paetz C, Dahse H-M, Voigt K, Bartram S, Boland W, Dagvadorj E. Chromane Derivatives from Underground Parts of Iris tenuifolia and Their In Vitro Antimicrobial, Cytotoxicity and Antiproliferative Evaluation. Molecules. 2021; 26(21):6705. https://doi.org/10.3390/molecules26216705
Chicago/Turabian StyleOtgon, Oldokh, Suvd Nadmid, Christian Paetz, Hans-Martin Dahse, Kerstin Voigt, Stefan Bartram, Wilhelm Boland, and Enkhmaa Dagvadorj. 2021. "Chromane Derivatives from Underground Parts of Iris tenuifolia and Their In Vitro Antimicrobial, Cytotoxicity and Antiproliferative Evaluation" Molecules 26, no. 21: 6705. https://doi.org/10.3390/molecules26216705
APA StyleOtgon, O., Nadmid, S., Paetz, C., Dahse, H.-M., Voigt, K., Bartram, S., Boland, W., & Dagvadorj, E. (2021). Chromane Derivatives from Underground Parts of Iris tenuifolia and Their In Vitro Antimicrobial, Cytotoxicity and Antiproliferative Evaluation. Molecules, 26(21), 6705. https://doi.org/10.3390/molecules26216705
 
         
                                                



 
                         
       