Abstract
Leukemia is a leukocyte cancer that is characterized by anarchic growth of immature immune cells in the bone marrow, blood and spleen. There are many forms of leukemia, and the best course of therapy and the chance of a patient’s survival depend on the type of leukemic disease. Different forms of drugs have been used to treat leukemia. Due to the adverse effects associated with such therapies and drug resistance, the search for safer and more effective drugs remains one of the most challenging areas of research. Thus, new therapeutic approaches are important to improving outcomes. Almost half of the drugs utilized nowadays in treating cancer are from natural products and their derivatives. Medicinal plants have proven to be an effective natural source of anti-leukemic drugs. The cytotoxicity and the mechanisms underlying the toxicity of these plants to leukemic cells and their isolated compounds were investigated. Effort has been made throughout this comprehensive review to highlight the recent developments and milestones achieved in leukemia therapies using plant-derived compounds and the crude extracts from various medicinal plants. Furthermore, the mechanisms of action of these plants are discussed.
1. Introduction
Leukemia is considered to be among the most common cancer types and happens because of the abnormal proliferation of white blood cells [1,2]. Leukemia can be classified as acute or chronic according to the patient’s age; and using the blood cell type into chronic (CML) or acute (AML) myeloblastic leukemia; or chronic (CLL) or acute (ALL) lymphoblastic leukemia. ALL appears to be more common in children with a high incidence between two and five years of age, whereas the other categories are more common in adults [3]. A patient suspected of having leukemia needs to consult an oncologist–hematologist to make a diagnosis and start treatment. Chemotherapy drugs, radiation and monoclonal hematopoietic stem cell transplantation are now the most common treatments for each type of leukemia. The treatment plan varies based on the subtype of leukemia, cytogenetic and molecular studies and the age of the patient. Although chemotherapeutic drugs such as cyclophosphamide, fludarabine, prednisone, chlorambucil and doxorubicin are used clinically to treat leukemia, they are used in combination instead of being used as single drugs and often do not improve the patient’s overall survival rate. Complications of intensive chemotherapeutic treatment for a patient suffering from leukemia include risk of death from cardiac and neurological complications [4], oral mucositis [5], gastrointestinal and liver toxicities [6], an infectious complication for ALL patients [7] and reduced bone mineral density at a high rate for children with ALL [8,9]. In spite of causing several side effects, the overuse of these drugs leads to chemotherapeutic drug resistance in leukemia cells [10]. Thus, the production of new therapeutic drugs having higher potency and lower toxicity is important to expanding the overall life expectancy.
Medicinal plants have a long history of being used to cure numerous illnesses and different forms of cancer [11,12,13]. Plant-based bioactive compounds are considered as renewable sources of anti-leukemic agents [14] due to their diversity and availability. Findings on the anti-proliferative effects of pure compounds and crude extracts from plants against leukemia [15] have questioned their ability to replace established drug treatments for leukemia [14]. This article reviews and discusses the current knowledge of the anti-leukemic properties of ethnomedicinal plants and discusses their potential efficacy. Additionally, the possible mechanisms of how the pure compounds and extracts exert their negative effects against leukemia are discussed as well. For this review, we developed a search strategy to identify relevant literature. The search strategy was tailored to five databases—PubMed, Medline, Web of Science, Scopus and Google scholar databases; and the search terms used were the following “Medicinal Plants with Anti-leukemic Effects” or “Cytotoxicity Effects of Medicinal Plants” or “Anti-Cancer Medicinal Plants.” All searches spanned from database inception until 2020 and included journal articles and Research Reports, published in English, full text only. The initial search strategy identified about 147 references. Of them, 113 papers were selected for further screening and met all our inclusion criteria. Each plant presented in this review is presented by explaining the some basic details about it—the taxonomy; a description; its bioactive compounds and their common biological activities, while concentrating on the anticancer and anti-leukemic effects and the mechanisms of action. ChemSkech version 12.01 Software (Advanced Chemistry Development, Toronto, ON, Canada) was used to draw the chemical structures.
2. The Anti-Leukemic Activity of Traditional Medicinal Plants
Many ethnomedicinal plants have been recommended to treat leukemic disease in the conventional medicine system [16]. Conventional medicine pursues the use of natural ingredients, thereby offering reinforcements to the cell regularly to revitalize the normal cell for cancer therapy [17]. This review article elaborates different species of plants which have great potential for combating leukemia. The compounds in this review include plant-derived anti-leukemic compounds clinically used as treatments, and others being examined in clinical and pre-clinical studies.
2.1. Medicinal Plants Clinically Used as Treatments for Leukemia
In this section, we review several traditional medicinal plants that have established clinical uses for the treatment of leukemia.
2.1.1. Cephalotaxus harringtonia
Cephalotaxus harringtonia (family Cephalotaxaceae) is native to the southern provinces of China and is well known in traditional Chinese medicine. C. harringtonia is an evergreen tree consisting of ten subspecies in Asia, and the majority of them are distributed in China. Some compounds isolated from C. harringtonia are reported to have anti-leukemic effects. Among them, homoharringtonine and harringtonine (Figure 1) are the most popular alkaloids [18,19,20,21]. Several researchers have investigated the Cephalotaxus-derived alkaloids using various cancer cell lines. Takemura et al. [22] investigated the growth-inhibitory effects of harringtonine (HT) in leukemia and lymphoma cell lines, and they reported that HT was active against the HL-60 cell line. The mechanism of action involved a diversion of proliferating blast cells into a differentiation pathway, resulting in the arrest of cellular proliferation. Another study investigated the effects of homoharringtonine (HHT) on the proliferation and differentiation of human leukemic cells in vitro. Their results show that HTT inhibited colony formation of the HL-60 myeloid cell line [23]. Further studies showed that C. harringtonia alkaloids block peptide bond formation and aminoacyl tRNA binding, thereby inhibiting translation at elongation. Similar evidence shows Cephalotaxus alkaloids exert their anticancer effects by inhibiting protein synthesis at the elongation step of translation [24]. Homoharringtonine was subjected to preclinical and clinical studies and was approved by the US FDA for the treatment of patients with chronic myeloid leukemia (CML) [21,22,23,24].
Figure 1.
The structures of homoharringtonine and harringtonine.
2.1.2. Catharanthus roseus
Catharanthus roseus (synonym of Vinca rosea). C. roseus, usually known as Madagascar periwinkle, belongs to the Apocynaceae family. The plant has a short stem and glossy green leaves, and flowers appear in spring and autumn (three colors: pink, purple and white) [25,26]. C. roseus is originally endemic to Madagascar, Jamaica and the Philippines [27].
The most potentially active chemical constituents of C. roseus are alkaloids. More than 400 alkaloids were isolated from this plant. Vinca alkaloids vinblastine and vincristine (Figure 2) are the two major active compounds; the two semi-synthetic analogues derived from such active compounds are vinorelbine and vindesine [28,29,30]. Vincristine and vinblastine are the first plant alkaloids to be clinically used as anticancer drugs. Vincristine causes cell death in acute lymphoblastic leukemia cells without significant prior mitotic arrest [31]. Vinblastine mechanistically encourages the minus-end detachment of microtubules from their organizational centers; this generates microtubule fragments [32]. Vinblastine is regularly utilized to treat different types of cancers, including leukemia, breast cancers, small-cell lung cancer, Hodgkin’s and non-Hodgkin’s lymphoma, nephroblastoma, testicular carcinoma, germ cell tumors and Ewing’s sarcoma [30]. Vincristine is used for leukemia in children and its cytotoxicity was examined in vitro in normal peripheral blood mononuclear cells (PBMC) and CLL cells [31,32]. Vincristine is commonly used to cure a variety of carcinomas, such as multiple myeloma, B-cell lymphoma, glioma, metastatic melanoma, negative estrogen-receptor breast cancer, neuroblastoma, colorectal cancer, Hodgkin’s rhabdomyosarcoma, non-Hodgkin’s lymphoma and Wilms’ tumor [32]. The first plant-derived anticancer agents certified by the US FDA were vincristine sulphate (Oncovin®) and vinblastine sulphate (Velban®) in 1963 and 1965, respectively [28]. Vinorelbine and vindesine are used in treating a variety of cancers and can be mixed with other chemotherapeutic agents [28] to treat leukemias, lymphomas, breast and lung cancers, Hodgkin’s lymphoma, advanced testicular cancer, Kaposi’s sarcoma, bladder cancer and brain cancer [32].
Figure 2.
The structures of vinblastine and vincristine.
2.2. Medicinal Plants in Clinical Trials
2.2.1. Maytenus serrata
Maytenus serrata, commonly called Ethiopian shrub, is a flowering plant in the family of Celastraceae and is widely distributed throughout Africa, Australasia, India and South America. The bark of Maytenus has been used for its medicinal properties [33,34]. Maytenus Serrata contains many different cytotoxic compounds—for example, Maytansinoids (Figure 3), which showed inhibitory activity against P-388 lymphocytic leukemia cells [35]. Due to the high in vitro potency of the maytansinoids, further clinical trials are underway to test the effectiveness in humans. The anticancer activities of maytansinoids have been attributed to their ability to disrupt microtubule function, and they are also considered highly potent tubulin inhibitors [36,37]. In addition to its in vitro cytotoxic potential against several cancer cells, maytansine is considered as an ansamycin antibiotic, and its maytansinoid derivative exhibits cytotoxicity against many tumor cell lines—for example, acute myeloid leukemia (AML) cells lines—and it was reported to have an antileukemic effect in phase I and II clinical trials [38]. Another study of AVE9633 (huMy9-6-DM4), which is an antibody–maytansinoid conjugate and composed of a thiol-containing maytansinoid derivative, created by ImmunoGen, involved a phase 1 clinical trial in adult patients with relapsed/refractory acute myeloid leukemia, and it showed both improved efficacy and reduced systemic toxicity of anti-leukemia therapy [39].
Figure 3.
Structure of maytansinoids.
2.2.2. Dysoxylum binectariferum
Dysoxylum genus grows naturally in forests and is locally known as Achalkaat considera. It is a small or medium-sized tree up to 5 feet in girth and 50 feet high from the family Meliaceae. It is widely distributed throughout eastern and northern Australia, New Caledonia, South East Asia, Southern, New Guinea, China, the Indian subcontinent, the Philippines, Taiwan and in the western Pacific Ocean [40]. D. binectariferum’s fruits contain rohitukine (C16H19O5N), which is a precursor for the semi-synthetic derivative flavopiridol [40,41].
Flavopiridol is an alkaloid isolated from the stem bark of Dysoxylum binectariferum. Flavopiridol (Figure 4) has shown potential anti-leukemia effects [42]. Karp et al. [42] studied the anti-leukemia effects of flavopiridol. Their results show that flavopiridol is a broad spectrum cytotoxic drug against acute myeloid leukemia (AML), and its mechanism of action is through the inhibition of cyclin-dependent kinases. Flavopiridol has been used as a potent antiproliferative agent; it showed antitumor activity in clinical studies [43]. Flavopiridol induced apoptosis in bone marrow cells taken from 20 adults patients with refractory acute leukemia in vitro [44,45].
Figure 4.
The structure of flavopiridol.
Several studies have also examined the combinational effects with a variety of anti-leukemic compounds to maximize the cytotoxic effects of flavopiridol-containing combinations [45]. For example, alvocidib (formerly flavopiridol) was evaluated for its therapeutic effect on acute myeloid leukemia (AML) alone and in combination with cytotoxic agents cytarabine and mitoxantrone (FLAM). Alvocidib showed reproducible, encouraging results in AML patients [46,47].
2.3. Medicinal Plants in Pre-Clinical Investigations (In Vitro) for Leukemia
In this section, we highlight various medicinal plants that are in preclinical investigations (in vitro) for the treatment of leukemia.
2.3.1. Salix Genus (Willows)
Willows belongs to the Salicaceae family and Salix genus, which contains about 400 species. It is also called osiers and sallows [48] depending on the shape of the leaves. Species with narrower lance-shaped leaves are known as osiers, and those with rounder lance-shaped leaves are known as sallows. Willows are native to cold temperate regions of the Northern Hemisphere. Their leaves and bark have been utilized in treating fevers and as a remedy for pain relief. Its pain relief effect has been studied scientifically, and the bioactive compound salicin (Figure 5) was found to be responsible for it [49,50].
Figure 5.
The structures of salicin and saligenin.
Willow leaves have also been tested and evaluated for anti-leukemia activity. The aqueous extract from willow leaves has been reported to have high activity against ALL and AML cells. The extract prevented proliferation by inducing apoptosis and causing DNA fragmentation within both types of tumor cells [51]. The leaf extract is also toxic toward human leukemia 60 (HL-60) and significantly reduced the viability of the HL-60 cells in a time and dose-dependent manner [49]. The extract induced toxicity towards HL-60 cells by increasing the p53 expression in the tumor, initiating cell cycle arrest at G2M and decreasing cell division [51]. Salicin and saligenin (Figure 5) found in the leaf extract killed HL-60 cells by damaging some proteins and enzymes [49]. The anti-leukemic effects of the willow extract are also probably related to salicylic acid derivatives, phenols, flavonoids, proanthocyanidins and total tannins that are found in the extract [48].
2.3.2. Vernonia amygdalina
Vernonia amygdalina belongs to the Compositae family and is commonly called an African medicinal plant [52]. The plant is original to Nigeria (West Africa) and is widely distributed in the African countries, especially in South Africa (including Eastern Cape, Mpumalanga and KwaZulu Natal) [52]. The plants usually grow in the western part of Sudan during the summer and can also be found in Asia, particularly in Singapore and Malaysia. It is the largest plant used in the genus of Vernonia and commonly used to treat gastrointestinal problems, wounds, hepatitis and diabetes [52]. Vernonia genus is the best source of sesquiterpene lactone compounds that have been stated to be cytotoxic and anticancer [53].
In vitro testing of V. amygdalina root extract showed that it possessed significant antiproliferative activity and killed the majority (50–75%) of ALL and AML leukemic cells [1]. Vernodaline and vernolide (Figure 6) are sesquiterpene lactones that are commonly found in the root extract of V. amygdalina; they play a significant role in killing abnormal leukemic cells by promoting cell apoptosis [1,52]. A cytotoxicity study of V. amygdalina leaf extract showed that the extract prevents the proliferation of two cancer cell types, AML and ALL [54]. Another study observed remarkable destruction of lymphoblasts after treating mononuclear ALL cells with V. amygdalina extract for 24 h [1].
Figure 6.
The structure of vernodalin.
It has been reported that the ethanol extract of V. amygdalina contains phenolic and falconoid compounds, glycosides and many types of tannin. Due to this, V. amygdalina extract used alone or mixed with other extracts or drugs has the ability to selectively fight the leukemic cells [1]. Therefore, V. amygdalina extracts could constitute low-cost cancer therapy after safety and efficacy studies, and lead to drug-resistant cancer treatments [55].
2.3.3. Nyctanthes arbor-tristis
Nyctanthes arbor-tristis is also known as night-flowering jasmine. It is a wild shrub-flourishing plant (Family: Oleaceae) [56], and popular medicine in India, West Bengal and Sri Lanka [56]. N. arbor-tristis has been tested by scientists for anti-inflammatory, antioxidant, antidepressant, antiviral, analgesic, anthelmintic, antihistaminic, amoebicidal, antipyretic and anticancer activities [57,58].
It was reported that the cytotoxic activity of seed extracts on CEM and CEM/VLB cells is through cyclin kinase protein up-regulation (WAF1/p21) and cell cycle blockage at G0/G1 phase, resulting in cancer cell death [59]. Flow cytometric analysis of N. abor-tristis extract-treated cells showed that the seed extracts caused sub-G0 and G0/G1 phase arrest. Recently, N. abor-tristis flower aqueous extract has been demonstrated to potently inhibit the cell proliferation of the human T l ymphocyte cell line [60]. The flower extract has also shown cytotoxicity against CML K562 in a dose-dependent manner and caused significant cell death in resistant and sensitive human cancer cell lines [57]. These properties induced by the plant extract are probably because of the presence of various types of phytochemicals, including phenols, tannins, steroids and glycosides. These phytochemicals are projected to be responsible for the antitumor activity [57,58]. The crude extract of N. abor-tristis, and pure compounds such as arbortristoside A, hydroxy hexahydrobenzofuran-one and β-hydroxyloganin that were isolated from the plant seeds, along with a polysaccharide from the leaves and naringenin from the stems, have been reported to possess antioxidant and anticancer properties [60,61]. Due to this, the water extract of N. abor-tristis flowers should be further investigated as a neutral medicine to stop leukemia and to be mixed with other therapeutic drugs.
2.3.4. Annona glabra
Annona glabra L., known as the pond apple, belongs to the Annonaceae family [62]. It is a tropical wild tree native to Asia and the Americas that has been used in traditional Chinese medicine. Its phytochemical constituents, such as acetogenins; diterpenoids like cunabic acid and Ent-kaurenoic acid (Figure 7); and alkaloids, have been shown to exhibit antimalarial, anti-HIV and anticancer properties [62,63].
Figure 7.
The structures of cunabic acid and Ent-kaur-16-en-19-oic acid.
The anti-tumor activity of A. glabra was tested by using the alcoholic extracts of the leaves, pulp and seeds on leukemia cell lines [62]. The study reported that the seed extract of A. glabra was more effective than pulp and leaf extracts against multidrug-resistant leukemia (CEM/VLB) and drug-sensitive leukemia (CEM) cells. These findings support the traditional utilization of the alcoholic seed extract of A. glabra as a rich source of antitumor drugs. The methanolic extract from A. glabra fruits also showed a potent effect against HL-60 cells by cell cycle arrest at the G1 phase [62]. In HL-60 cells, A. glabra fruit extract was seen to negatively affect Bcl-2 and Bax proteins, and cleaved caspase-3 and PARP to induce cancer cell death. The fruit extract also stimulated apoptosis by reducing AKT phosphorylation and down-regulating c-myc protein [63]. Besides, Liu et al. [64] found that leaf extracts of A. glabra at high concentrations inhibited leukemia cell colony formation and caused more leukemia cells to become apoptotic. Leaf extracts of A. glabra reduced the migratory potential of leukemia cells as well. In vitro biochemical investigations on the treated-leukemia cells showed that the leaf extract also stimulated the activity of free radical scavenging and ROS and reduced ATP synthesis [64].
Screening of the phytochemical constituents of the ethanolic extracts of A. glabra leaves showed that the plant leaves contain terpenoids, flavonoids, saponins, glycosides, anthraquinones, steroids, tannins and acidic compounds, and do not contain alkaloids, phlobatanin or reducing sugars [64]. The methanolic extracts of A. glabra fruit contain dihydrophaseic acid β-d-glucopyranoside, dihydroxybenzoic acid, dimethoxyphenyl β-d-glucopyranoside, icariside D2-d-xylopyranoside, cucumegastigmane I, blumenol A and icariside B1. Among the compounds found in A. glabra fruit, the one responsible for the cytotoxic effect on HL-60 cell line is icariside D2 [62]. Indisputably, based on the results above, the anticancer potential of A. glabra extracts is strong, validating its complementary and alternative medicinal uses.
2.3.5. Basella alba
Basella alba is a wildly cultivated, cool-season vegetable categorized under the family of Basellaceae [65]. B. alba is known as vine spinach, Chinese spinach, Indian spinach, Malabar spinach and Ceylon spinach [65]. B. alba is native to Malaysia, India, the Philippines, Indonesia, tropical Africa, tropical and South America, Southeast of Brazil and the Caribbean. India and China are the two major countries utilizing the plant for its medicinal benefits [66]. In India, the Ayurvedic treatment uses B. alba leaves against oral cancer, leukemia and melanoma [66]. The plant was reported for its anticonvulsant, anti-inflammatory and antifungal activities, and as an analgesic, an anemia treatment and an androgenic therapy [67,68].
B. alba contains various bioactive phytoconstituents with proven cytotoxic, antioxidant, hemagglutinating and antiproliferative effects on cancer cells [69]. The B. alba leaf and seed extracts have different phytoconstituents, such as phenols, flavonoids, saponins, alkaloids, tannins, steroids and phytosterols [70]. The plant also has many important phytochemicals, including betacyanins, carotenoids, triterpene oligoglycosides, various organic acids, basellasapoins A–D, kaempferol and betalin [71]. A different study showed that the methanolic plant extract contained β-sitosterol and lupeol (Figure 8), which were found to be cytotoxic to lung cancer cells and leukemia cells [72]. The methanolic leaf extract of B. alba displayed significant growth inhibition of U937 leukemic cells in a dose-dependent manner [73].
Figure 8.
The structures of sitosterol and lupeol.
2.3.6. Ferulago angulata
Ferulago angulata also known as chovir is a Persian medicinal herb, a common plant found in Iran, Iraq, Turkey, Serbia, Greece and Macedonia [74]. F. angulata is from the Apiaceae family, and many Ferulago species have traditionally been used to treat intestinal worms, hemorrhoids, ulcers, headaches and snake bites, and act as sedatives. F. angulata is well studied for immunomodulatory, anti-proliferative, anti-apoptotic and cytotoxic activities against various cancer lines [75] (Table 1).
Many researchers have reported that the methanolic crude extract of F. angulata exhibits cytotoxicity activity, and most probably exerts the effect via an apoptosis-dependent pathway [74]. It was reported that the methanolic extract inhibited the proliferation of B-cell lymphoma (Raji) U937 cells and acute myelocytic leukemia cells (KG-1A), and suppressed them in a time and dose-dependent manner [74]. F. angulata also decreased cell viability and induced anti-proliferative activity against HL-60 cells [76]. Coumarin is the constituent in F. angulata that was identified to be the bioactive ingredient that inhibits tumor cell growth and may be considered as a herbal alternative to synthetic drugs [77]. Extensive investigations on coumarin’s anti-proliferative activity showed that it inhibits a variety of mechanisms through angiogenesis inhibition, kinase inhibition, antimitotic activity, cell cycle arrest, telomerase inhibition, heat shock protein (HSP90) inhibition, aromatase inhibition, sulfatase inhibition and monocarboxylate transporters inhibition [77].
Table 1.
A list of traditionally used medicinal plants demonstrating cytotoxic effects in different leukemia cell lines.
Table 1.
A list of traditionally used medicinal plants demonstrating cytotoxic effects in different leukemia cell lines.
| Scientific Name | Family | Active Compound | Leukemia Cell Line | Mechanism of Action | References |
|---|---|---|---|---|---|
| Annona glabra | Annonaceae | Acetogenins Diterpenoid (Cunabic acid, Ent-kaur-en-oic acid) | Human drug-sensitive leukemia (CEM), Multidrug-resistant-derived (CEM/VLB) cell lines and HL-60 cell line | Inhibition of mitochondrial respiratory chain complex, Inhibition of proliferation and Induce apoptosis and necrosis | [62,63,64] |
| Basella alba | Basellaceae | β-Sitosterol Terpenoids (Lupeol). | U937 cell line and Jurkat cell lines | Anti-leukemic, and Growth Inhibition | [67] |
| Berberis amurensis | Berberidaceae | Alkaloids Bisbenzylisoquinoline group Berbamine,4-Chlorobenzoyl Berbamine and Berberine. | Leukemic NB4 cells, Leukemic cell line K562, Chronic myeloid Leukemia cell line KU812, Gleevec-sensitive and -resistant Ph+ Leukemia cells | Induce cell apoptosis, Apoptosis, K562-r cell growth arrest and Cell proliferation inhibition | [78,79,80] |
| Blumea lacera | Asteraceae | Alkaloids, tannins, steroids, gums. Terpenoids, diterpenoid glycoside | K562, L1210, P3HR1, Raji, U937 | Antiproliferation | [81] |
| Bidens Pilosa | Asteraceae | Flavonoids | L1210, U937, K562, Raji, P3HR1, | Antiproliferation | [82,83] |
| Catharanthus roseus | Apocynaceae | Alkaloids: vincristine, vinblastine, vindesine, vinorelbine. | L1210 and P1534 Leukemia cells. | Mitotic inhibitor and Arrests the cell division which causes the death of the cells | [84] |
| Coreopsis lanceolata | Asteraceae | Flavonoids: flavanone, chalcones, and aurones 4 Methoxylanceoletin. | Leukemia HL-60 cells | Antiproliferation and Apoptosis induction | [85,86,87] |
| Ferulago angulata | Apiaceae | Phenolic Flavonoid Monoterpenes: α-pinene β-pinene | Raji, U937, AML cell lines, PBL cell line, Leukemia, lymphoma cell lines, NHL, Raji, U937, KG-1A, PBMC cell lines and HL-60 cell line. | Antiproliferation, Apoptosis induction and Autophagy and necrosis. | [88,89] |
| Ficus deltoidea | Moraceae | Flavonoid, tannins, terpenoids, phenol, proanthocyanins, lignans, alkaloids and coumarins | HL60 cell line | Apoptosis induction | [90] |
| Houttuynia cordata Thunb | Saururaceae | Flavonoids | L1210, U937, K562, P3HR1, Jurkat Leukemia cell line, Acute T lymphoblastic leukemic Molt-4 cells and Human T-cell Leukemia | Antiproliferation, Apoptosis induction through an endoplasmic reticulum stress pathway. | [91,92] |
| Litchi chinensis Sonn | Sapindaceae | Phenols Flavonoids Polysaccharides Tannins: epicatechin, proanthocyanidin B2 and proanthocyanidin B4 | HL-60, U937 and K562 cell lines | Antiproliferation and Apoptosis induction | [93] |
| Nyctanthes arbor-tristis | Oleaceae | Phenols: phenol, (dimethylethyl), hydroxypyridine oxide Glycosides, tannins, phenols and steroids. | AML, CLL and Jurkat T cells, CML, K562 cell lines. | Antiproliferation andApoptosis induction | [57,58,59,60] |
| Olea europaea | Oleaceae | Phenols, oleuropeosides oleuropein/verbascoside, Hydroxytyrosol, Flavons Flavonols (rutin), catechin Phenols (vanillin, tyrosol hydroxytyrosol, caffeic acid and vanillic acid). | Jurkat, K562 cells line andHL60 cell line. | Antiproliferation, Apoptosis induction and Cell cycle arrest, apoptosis induction and differentiation | [94,95,96,97,98,99] |
| Scutellaria baicalensis | Lamiaceae | Flavonoid, Baicalein, baicalin, and wogonin. | HL-60, NB-4, THP-1, U937 cells (Blin-1, Nalm-6), lymphoma cell lines (Daudi, Raji, Ramos, NCEB1), NALM-6 cell line (human, peripheral blood, B-type human Leukemia), HL-60 cell line. | Growth inhibition induce apoptosis and cell cycle arrest, Induction of apoptosis and Dose-dependent reduction of mitochondrial metabolism. | [100,101] |
| Salvia officinalis | Lamiaceae | Flavonoids and rosmarinic acid | K-562, U937, KG-1A Cell line. | Antiproliferative, anti-migratory and antiangiogenic. | [102] |
| Tithonia diversifolia | Asteraceae | Sesquiterpene lactones (STLs) Chlorogenic acid derivatives (CAs) Flavonoids, phenolics, tannins and terpenoids | HL-60 cell line. Anti-K562, L1210, P3HR1, Raji and U937 Leukemia cells | Antiproliferation andCytotoxic. | [103,104] |
| Typhonium flagelliforme | Araceae | Hexadecanoic acid, gamma sitosterol, phytol¸ octadecadienoic acid, pentadecyne, squalene, eicosane, octacosane, and geranylgeraniol. Pheophorbide, oleic acid, campesterol, stigmasterol and sitosterol, Linoleic acid. | Murine Leukemia WEHI-cancer cell lines, P388 murine Leukemia cells, HL-60 Leukemia cells, and human T4-lymphoblastoid cell line CEMss. | Antiproliferation via apoptosis induction | [105,106,107,108,109] |
| Viscum album (Mistletoe) | Viscacea | Proteins such as lectins and polypeptides like viscotoxins | ALL, NALM-6 cell lines, Jurkat E6.1 and THP-1 cells | Apoptosis induction andG2/M cell cycle arrest. | [110] |
| Vernonia amygdalina (VA) | Compositae | Sesquiterpene lactones: vernodaline and vernolide | HL-60 cell line andALL and AML immature monocytes patients, Mononuclear cells. | Antiproliferation DNA damage, and apoptosis induction. | [1,111] |
| Willows tree | Salicaceae | Salicin and saligenin | ALL and AML cell lines b- HL-60 cell line | Apoptosis induction by causing DNA damage. Antiproliferation | [51] |
2.3.7. Litchi chinensis Sonn
Litchi chinensis Sonn Litchi belongs to the Sapindaceae family [112], and is known for its delicious fruit in Southeast Asia. The plant is also planted in other semitropical regions for its fruits [113]. In China, the plant is popular due to its attractive shape. Often, the fresh and dried litchi fruit extracts are made into powders to be utilized in traditional Chinese medicine and Indian herbal medicine [114].
L. chinensis leaf extract has been tested for cytotoxicity toward many leukemia cell lines, such as K562, U937 and HL-60, and was found to be potent against those cell lines. It was observed that the leaf extract exerted the cytotoxic effect against those cells by inducing apoptosis via activation of mitochondria-mediated caspase cascades [115]. A study on the litchi fruit pericarp extract and its constituents showed that both possess anticancer effects toward MCF7 and hepatocellular carcinoma (HCC) [115].
A phytochemical investigation of litchis revealed a novel phenolic compound and many flavonoids, such as flavonols, isoflavones, flavones and flavanones [116,117]. Three natural flavonoids, epicatechin (Figure 9) and pro-anthocyanidin B2 and B4, have been isolated from the pericarp of L. chinensis and evaluated for their anticancer activities against different cancer cell lines [113].
Figure 9.
The structure of epicatechin.
2.3.8. Typhonium flagelliforme
Typhonium flagelliforme is native to a tropical region and is in the family Araceae. It is recognized in Malaysia as the “rodent tuber”. T. flagelliforme is native to Bangladesh, Bhutan, Cambodia and Indonesia and is largely distributed in south India, south-east Asia and northern Australia [118]. T. flagelliforme juice extract is traditionally used orally to soothe coughing, swelling and more predominantly for treating different cancers by the ethnic population of Malaysia. The juice is extracted from the roots and tubers and was found to contain high doses of arginine (0.874%) and tryptophan (0.800%) [119]
T. flagelliforme plant extract is considered an anticancer herbal treatment with a potential anti-leukemic effect [120]. It is also a treatment for heart trouble and has an anti-inflammatory effect. The anti-leukemic effect of T. flagelliforme has been tested both in vivo and in vitro in many studies. It was reported that the plant extract was effective against the murine P388 leukemia cell line [121], murine monomyelocytic and effective against WEHI-3 cells and CEM-ss cell lines [121]. Further investigation on the negative effects of T. flagelliforme extract, particularly of the linoleic acid-rich (Figure 10) fraction, on the leukemic CEMss cells demonstrated that the plant fraction arrested the CEM-ss cell cycle at the phase G0/G1 and induced programmed cell death by increasing caspase-3 and caspase-9 and elevating the cytochrome c in the cytosol, which lead to cleavage of poly(ADP-ribose) polymerase (PARP) [122].
Figure 10.
The structure of linoleic acid.
The in vivo effect of T. flagelliforme tuber extracts demonstrated that the numbers of immature monocytes and granulocytes decreased significantly in the peripheral blood of BALB/c leukemia mice after the orally administered extract with three concentrations from 200 to 800 mg/kg for 28 days. Different chemical compounds have been isolated from T. flagelliforme, including methyl-13-phenyltridecanoate, phenyltridecanoic acid, coniferin, β-sitosterol, some aliphatic esters, methyl derivatives, β-daucosterol and 1-O-b-glucopyranosy l2 (hydroxyl octadecanoyl) amido-octadecadiene-diol [107]. New anticancer compounds that have shown cytotoxic activity toward breast adenocarcinoma MCF-7 cells, present in leaves and tubers, were identified by GC-MS analysis as octadecadienoic acid, gamma-sitosterol, hexadecanoic acid methyl ester, phytol¸ geranylgeraniol, eicosane, 7-pentadecyne, squalene and octacosane [107]. Another GC-MS study showed hexadecene, hexadecanoic acid and phytol and its derivative in the dichloromethane extract (D/F21) of T. flagelliforme, which was responsible for the inhibition of non-small cell lung carcinoma (NSCLC) cell (NCI-H23) growth. However, none of the purified compounds found above was tested against leukemia cells [122].
2.3.9. Blumea lacera
Blumea lacera (Asteraceae) is commonly used as a medicinal plant in Bangladesh, and its Bengali name is Kukurshinga [123]. B. lacera is a yearly herb with a strong odor. Its essential oil contains cineol, fenchone and camphor [124]. B. lacera is largely grown in the Philippines and is traditionally used in Taiwan as a medicinal plant due to its many biological activities, including diuretic, antiscorbutic, astringent and broad anti-leukemic activities [123,124].
The B. lacera aqueous crude extract has been tested against various leukemic cell lines, such as K562, L1210, P3HR1, Raji and U937 [15]. The aqueous extract exhibited extensive cytotoxicity toward those cell lines, with the maximum effect on L1210 cells. Steroidal glycoalkaloid is a well-known, effective bioactive compound isolated from the methanol leaf extract of B. lacera. The steroidal glycoalkaloid of B. lacera is reported to be responsible for anti-proliferative activity against different cancers, such as human gastric carcinoma, colon carcinoma, HT-29, breast adenocarcinoma, MDA-MB-231 and MCF-7 [81]. However, the B. lacera steroidal glycoalkaloid has not been selectively tested against leukemia cells yet.
2.3.10. Coreopsis lanceolata
Coreopsis lanceolata is categorized under the Asteraceae family; it originates from America, South Africa and Eastern Asia. C. lanceolata flowers are reported to have strong bioactive compounds that effect nematodes and human leukemia cells [85]. C. lanceolata flowers are also an excellent natural source of rare flavonoids, including flavanone, chalcones and aurones (Figure 11), and they show strong antileukemic properties [86]. A study on the antileukemic potential of the ethyl acetate fraction of the C. lanceolata flowers toward HL-60 cells by using a CCK-8 assay showed that at 50 µg/mL, the extract causes 50.8% cytotoxicity towards the cells [86]. The fraction also induced apoptosis: condensation of the chromatin and fragmentation of the nuclei were observed in the cells. From the fraction, a flavonoid compound called 4-methoxylanceoletin was isolated. The compound is responsible for the anti-proliferative effect of the plant [87].
Figure 11.
The structures of aurones and chalcone.
2.3.11. Tithonia diversifolia
Tithonia diversifolia belongs to the Asteraceae family and is well-known as the Mexican sunflower. It is largely distributed in tropical and sub-tropical areas, such as South and North Asia, Africa, America and parts of Australia [125]. T. diversifolia is also considered one of the most famous Taiwanese medicinal plants and grows in the sunny grasslands of Taiwan.
Traditionally, T. diversifolia extracts have been used to treat diarrhea, fever, hepatitis, hepatomas, wounds and malaria [103]. Later, many researchers investigated its potential against cancer, and the first report about its anti-leukemic property was in 2002 [103]; the next was in 2004 [15]. In the first report, T. diversifolia extract was found to induce cellular differentiation in HL-60 cells [103]. In the second, a hot water extract of T. diversifolia demonstrated feeble anti-leukaemic activity against five different leukemia cell lines—U937, P3HR1, L1210, Raji and K562; and exhibited a selective cytotoxic effect [15]. Whether the existence of phytoconstituents such as phenolics, flavonoids, terpenoids and tannins in the ethanolic leaf extracts of T. diversifolia is responsible for its cytotoxic property [104] is not known, but many findings indicated the potential of flavonoids as novel anti-leukemia agents.
2.3.12. Bidens pilosa
Bidens pilosa is among the most common plants cultivated in the tropics and subtropics around the world, having a soft, hair-like appearance, and it belongs to the Asteraceae family. It is a perennial herb that originates from South America. Folk medicinal use of B. pilosa has been reported in Asia, Africa, America and Oceania [126]. A phytochemical investigation indicated the existence of phenolics, phenylpropanoids, polyynes, fatty acids and flavonoid compounds in the plant. It was confirmed that these chemicals can successfully treat inflammation and tumors, and boosts the immune system [127].
Studies have shown that B. pilosa possesses anticancer properties, and various isolated bioactive compounds from the plant have anticancer properties. Thus, studies determining whether the plant has an anti-leukemia effect were carried out. It was found that the whole-plant water extract inhibited various leukemic cell lines, such as Raji, K562, U937, L1210 and P3HR1, in a concentration-dependent manner [15,82]. As B. pilosa is readily available, Yi et al. [83] suggested that the plant has the potential to be a good health supplement and a resource of natural antileukemic agents.
2.3.13. Olea europaea
Olea europaea, also known as the olive, is one of the plants that is used in common, traditional Mediterranean herbal teas to treat many illnesses. O. europaea is in the Oleaceae family, native to coastal areas of southern Asia and Europe, and especially prevalent in the Mediterranean region [128]. O. europaea leaves have many effective pharmacological abilities, including neuroprotective, anti-inflammatory, antiviral, hypoglycemic, antimicrobial and anticancer effects [128].
An investigation on the cytotoxicity of O. europaea ethanol extract against Jurkat leukemic cells indicated that the extract inhibits the growth of Jurkat cells and causes apoptosis at non-cytotoxic concentrations [95]. O. europaea leaf extract also inhibited human chronic myelogenous leukemia K562 cell growth and caused cell cycle arrest at G0/G1 and metaphase [95]. The same leaf extract also stimulated apoptosis and monocyte/macrophage differentiation of leukemia K562 cells. A phytochemical study demonstrated the existence of several bioactive compounds, including phenols, flavonoids and secoiridoid glycosides in different parts of O. europaea. Oleuropein is responsible for the health benefits of O. europaea leaves (Figure 12), which is the major constituent of the leaves. Other phytochemical presents are flavonoids and hydroxytyrosols, such as verbascoside and luteolin-7-O-glucoside, which have been determined to inhibit the proliferation of cancer cells [97].
Figure 12.
The structure of oleuropein.
2.3.14. Houttuynia cordata Thunb
Houttuynia cordata is considered one of the aromatic medicinal plants in the Saururaceae family. H. cordata is a local plant found in Northern Thailand, Japan, Korea, Southern China and Southeast Asia generally [129]. This plant has commonly used the world over for many medical purposes. A scientific investigation of H. cordata showed its extract has anti-leukemic activity against various leukemia cell lines, including K562, L1210, P3HR1 and U937 [92]. H. cordata extract is also cytotoxic against the human lymphoblastic leukemia cell line Molt-4, and exerts its effect in a concentration-dependent manner. The plant extract was observed to provoke apoptosis through the endoplasmic reticulum stress pathway in the Molt-4 cells [91]. The negative effect of H. cordata extract towards Jurkat and U937 human leukemic cells was also due to apoptosis [129].
Phytochemical screening of H. cordata extracts demonstrated that the plant’s extracts have many bioactive compounds, such as flavonoids, saponin, alkaloid, tannin and steroid compounds [130]. H. cordata flavonoids have biological activities that include antiproliferation, suppression of carcinogens, disruption of the cell cycle, activation of apoptosis, angiogenic inhibition and antioxidation, which can result in the anti-leukemic property [91,131]. H. cordata also contains phenolic acids called vanillic, gallic, p-hydroxybenzoic, p-coumaric, syringic, sinapinic and ferulic acids, among which, p-coumaric acid is considered as the main compound, followed by ferulic acid. These phenolic acid compounds are responsible for the cytotoxicity toward cancer cells [92]. Due to H. cordata’s cytotoxicity against several leukemic cell lines, researchers have suggested its utilization as an alternative medicine in the treatment of leukemia.
2.3.15. Viscum album
Viscum album (mistletoe) belongs to the Viscaceae family, is distributed in Europe, southwest and central Asia and northwest Africa and has been used to treat cancer since the 1920s [132]. V. album contains several active phytochemicals, including viscotoxins and lectins, which are essentials in treating cancer because of their antiproliferative and apoptotic effects [133]. It also contains a class of compounds that includes phenylpropanoids, flavonoids and phenolic acids which showed anti-inflammatory and antioxidant effects. Other compounds in V. album include triterpenes, which have been shown to possess cytotoxic and apoptotic properties [132].
V. album is utilized in complementary medicine to treat cancer [134], as V. album extracts enhance the quality of life, improve survival, stimulate the immune system and diminish the side effects of radio and chemotherapy in cancer patients [135]. In vivo and in vitro examination of the V. album treatment efficacy has been conducted on ALL leukemia [110], and it was found that V. album aqueous extract inhibited the ALL NALM-6 cell growth. In vitro inhibition against NALM-6 cell proliferation was concentration-dependent and induced dose-dependent apoptosis that led to cell death [110,133]. Treatment with V. album extract at different concentrations for 4 days (by intraperitoneal injection) for severe combined immunodeficiency (SCID) mice with transplanted NALM-6 cells caused an increase in white blood cell count, indicating that mistletoe extracts have interesting therapeutic effects on hematological malignancies.
2.3.16. Salvia officinalis
Salvia officinalis, also known as sage, belongs to the Lamiaceae family and is commonly distributed in the Mediterranean region [136]. It has a therapeutic history and culinary use because of its pharmacological properties. In traditional medicine, S. officinalis showed various pharmacological functions, namely, anti-microbial, antioxidant, hemostatic, anti-inflammatory, analgesic and antitumor activities [137].
S. officinalis has been used on numerous cancer cells and in numerous animal models of cancer. It has shown significant inhibition of proliferation for different cancer cells, such as CML, prostate carcinomas (PC3), MCF7, SCLC, HT29 and hepatocellular carcinoma cells [137,138]. S. officinalis extract also showed anti-migratory and anti-angiogenic effects against human CML cell lines, including HUVEC and K562; and B lymphoma cells, WEHI-231 [139]. Another study showed S. officinalis affected the proliferation of human AML (KG-1A) and U937 cells in a concentration and time-dependent manner, but no significant effect against PBMCs. An in vivo study showed the S. officinalis water extract possesses pro-apoptotic and anti-proliferative effects on cancer cells [136]. S. officinalis extract contains flavonoids and rosmarinic acid that have shown anticancer effects toward different human cancer cell lines [140]. The S. officinalis essential oil contains trans-caryophyllene and α-humulene, which inhibit tumor cell growth [137].
2.3.17. Ficus deltoidea
Ficus deltoidea belongs to the Moraceae family and was widely used as a medicinal plant. It is native to Southeast Asia [141] and distributed over many regions, such as Malaysia, Thailand, Indonesia and the Philippines [142]. In Malaysian traditional medicine, the fruit of this plant was used for headache relief, and the leaves are chewed for toothaches [143]. Often the roots and leaves of F. deltoidea are dried and made into a powder to be used externally for sores and wound healing [144,145]. The leaf of F. deltoidea contains a variety of bioactive compounds, including flavonoids, tannins, terpenoids, proanthocyanins, phenol, isoflavonoids, lignans, alkaloids and coumarins, along with vitexin and isovitexin (Figure 13) [143]. Vitexin was tested for anti-proliferative activity, and the findings revealed that vitexin causes apoptosis in different leukemia cells, such as Jurka, ALL, HL-60, AMLK-562 and CML, so this phyto-compound is likely to have a role in F. deltoidea’s cytotoxicity against leukemia cell lines [2]. Therefore, the high amounts of flavonoid and phenolic compounds in the leaves are responsible for the cytotoxicity of these crude extracts [146].
Figure 13.
The structures of vitexin and isovitexin.
Moreover, F. deltoidea aqueous and ethanolic extracts showed cytotoxicity against different cancer cell lines, including ovarian carcinoma A2780 [146], prostate cancer PC3 [147], colon cancer (HCT 116) and breast adenocarcinoma (MDA-MB 231, MCF-7 and HCC 1937) cell lines [148]. F. deltoidea is also cytotoxic against human leukemia cell line HL60 and exerts this effect by causing apoptosis [89].
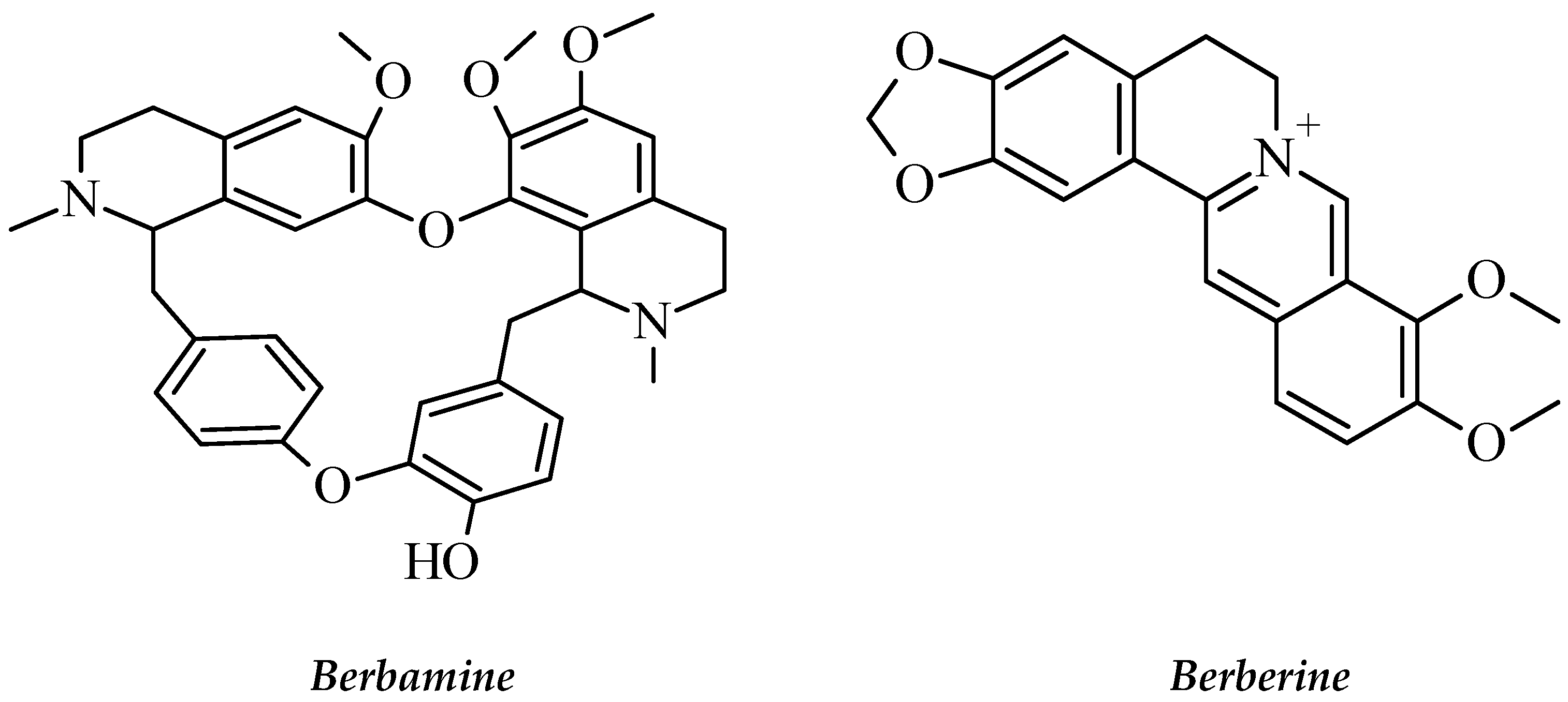
2.3.18. Berberis amurensis Rupr
Berberis amurensis Rupr is a deciduous shrub, and a medicinal herb that belongs to the Berberidaceae plant family. It is commonly cultivated in northern Korea and the middle part of the Korean peninsula; Northeast and North China; and Russia [149]. B. amurensis’ fruit, leaf, root and stem extracts have been utilized in folk medicine to treat hypertonia; dysentery; eczema; inflammatory disorders; infections in the eyes; diseases of the liver, intestine and skin; and digestive and respiratory diseases. They act as hemostatic agents and fever reducers, and are utilized in the treatment of tumors [150].
Alkaloids such as berberine, berbamine (Figure 14) and palmatine have been extracted from B. amurensis [151]. Berberine is a benzylisoquinoline alkaloid that is commonly used for the synthesis of several bioactive derivatives. A study reported that B. amurensis has berbamine derivatives which are considered as a new group of metabolites with anti-leukemic effects [152]. Berbamine could selectively induce programmed cell death via bcr/abl-expression in the imatinib-resistant K562 cell line and chronic myelogenous leukemia patients [149]. According to these results, B. amurensis could be useful in developing novel compounds to fight against leukemia.
Figure 14.
The structures of berbamine and berberine.
B. amurensis extract can induce selectively the apoptosis of resistant and sensitive Gleevec Ph ± CML cells. It was found that berbamine extracted from B. amurensis inhibited the growth of tumors in CML patients [149]. It displayed selective antiproliferative activity in CML patients by inhibiting bcr/abl-positive leukemic cell growth. It was suggested that berbamine induces apoptosis of bcr/abl-positive cells (K562 cells) via the caspase-3-dependent pathway and causes p210 bcr/abl oncoprotein expression down-regulation [153]. It has been shown that other bioactive compounds in B. amurensis that contribute to the anti-leukemic activity are protoberberine alkaloids which belong to benzyl tetrahydro iso quinolines alkaloids [149]. Protoberine alkaloids are widely distributed in vegetables and are also utilized in traditional medicine and food supplements due to their many pharmacological properties, including antidiabetic [151], neuroprotective [153], antidepressive [154] and memory-enhancing [152] effects.
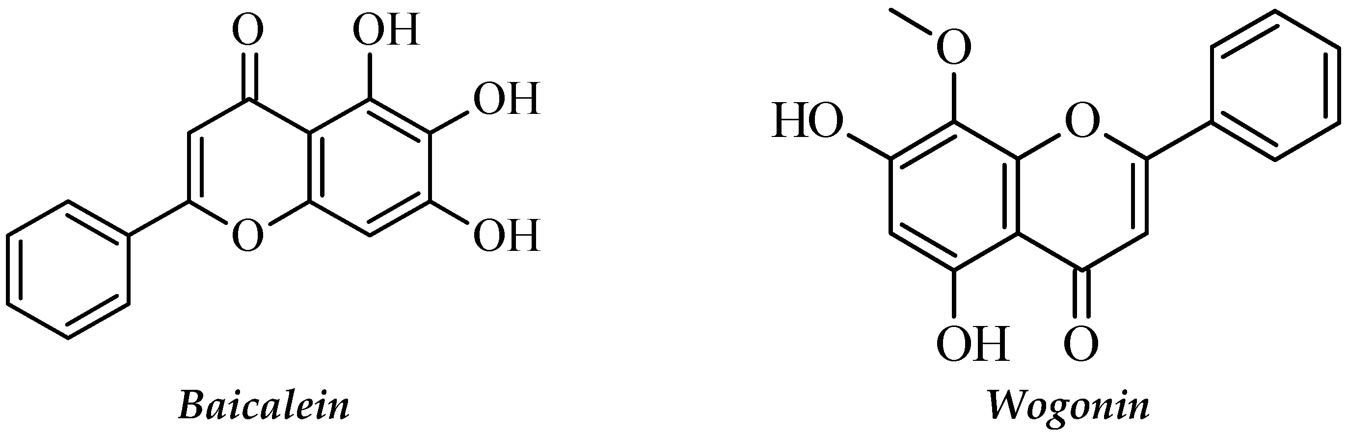
2.3.19. Scutellaria baicalensis
Scutellaria baicalensis is a herbaceous species of plant belonging to the Lamiaceae family with a self-supporting growth habit. It has simple, broad leaves and is largely used in Chinese herbal medicine. It was historically used in clinical applications as an anticancer and anti-inflammatory drug. The root of the plant shows potent antitumor effects and was proposed for clinical trials with several myelomas [155].
The root of S. baicalensis also affects B cell leukemia and the peripheral blood leukocytes (PBLs) found in ALL patients. After treatment with S. baicalensis extract supplemented with baicalin, the viability of PBLs gained from ALL patients was reduced, and the NALM-6 (B-type human leukemia) cell line become apoptotic [155]. It was shown that SBE imposed a negative effect by increasing the IFNγ production in PBLs and reduced the IL-10 and TNFα production in bone marrow cells (BMC) of ALL patients, and controlled the production of cytokines, which stimulate nonspecific resistance in ALL patients and have an essential role in the innate immune system [155].
Phytochemical analyses have shown that flavone compounds are major constituents in S. baicalensis, which include wogonin, norwogonin, baicalein and baicalin [156]. A study on wogonoside reported that it is cytotoxic toward HL-60 and U937 cell lines. Wogonoside exerts its effect through cell cycle arrest at the G1 phase and promoting differentiation. It increases the phospholipid scramblase 1 (PLSCR1) transcription, upregulates differentiation-related gene p21waf1/cip1 and downregulates oncogenic protein c-myc. Wogonin and baicalein (Figure 15), which are the aglycones of wogonoside and baicalin, respectively, also possess anticancer properties.
Figure 15.
The structures of baicalein and wogonin.
3. Conclusions
With the growing number of newly diagnosed cases of all forms of cancer globally, and in particular, hematological malignancies, there is still a strong need for novel agents that may treat or eliminate cancer. For many reasons, medicinal plants have been used to cure diverse illnesses for centuries, due to the enormous chemical diversity and biological selectivity of the bioactive compounds. This review describes the traditional uses of 20 different plants from different regions in the world that may be/have been used for the treatment of leukemia. It can be concluded that these plants’ extracts and their bioactive compounds effectively kill leukemia cells and have had similar effects in animal studies. These plant extracts and active compounds exert different mechanisms of action: the most common are suppressing proliferation; causing the arrest of the cell cycle; apoptosis; and dose and time-dependent damage to DNA. These plants may be the ideal choice for the development of adequate risk-reward studies for the potential treatment of leukemia based on clinical studies that investigate the side effects, due to easier accessibility for some populations, and better suitability as compared to chemotherapeutic drugs. Hence, more research is needed to elucidate these medicinal plants’ extracts and their active compounds’ potential for chemo-preventive and chemotherapeutic treatments by using cell line and animal studies, as well as clinical trials.
Author Contributions
Writing—original draft preparation, T.M.; writing—review and editing, T.M., R.A.R., D.D., F.A. (Farah Ahmed), N.S.A., E.S.L., F.A. (Ferid Abdulhafiz) and A.M. All authors have read and agreed to the published version of the manuscript.
Funding
This research received no external funding.
Institutional Review Board Statement
Not applicable.
Informed Consent Statement
Not applicable.
Data Availability Statement
The data presented in this study are available within the article.
Acknowledgments
The authors are grateful to the International Islamic University of Malaysia. The authors also acknowledge the efforts of all researchers working in the area of alternative medicine against leukemia. The authors apologize to all scientists whose work has not been cited because of the space limitation or unknowingly due to the great amount of literature in the field of anti-leukemic medicinal plants. F.A. and A.M. acknowledge the logistic support from Universiti Malaysia Kelantan.
Conflicts of Interest
The authors declare no conflict of interest.
References
- Khalafalla, M.M.; Abdellatef, E.; Daffalla, H.M.; Nassrallah, A.A.; Aboul-Enein, K.M.; Lightfoot, D.A.; El-Shemy, H.A. Antileukemia activity from root cultures of Vernonia amygdalina. J. Med. Plant Res. 2009, 3, 556–562. [Google Scholar]
- Sarkar, M.K.; Mahapatra, S.K.; Vadivel, V. Oxidative stress mediated cytotoxicity in leukemia cells induced by active phyto-constituents isolated from traditional herbal drugs of West Bengal. J. Ethnopharmacol. 2020, 251, 112527. [Google Scholar] [CrossRef]
- Davis, A.S.; Viera, A.J.; Mead, M.D. Leukemia: An overview for primary care. Am. Fam. Physician 2014, 89, 731–738. [Google Scholar]
- Berg, S.; Nand, S. Neurological Complications of the Leukemias Across the Ages. Curr. Neurol. Neurosci. Rep. 2017, 17, 13. [Google Scholar] [CrossRef] [PubMed]
- Ribeiro, I.L.A.; Limeira, R.R.T.; De Castro, R.D.; Bonan, P.R.F.; Valença, A.M.G. Oral Mucositis in Pediatric Patients in Treatment for Acute Lymphoblastic Leukemia. Int. J. Environ. Res. Public Health 2017, 14, 1468. [Google Scholar] [CrossRef]
- Zawitkowska, J.; Lejman, M.; Zaucha-Prażmo, A.; Drabko, K.; Płonowski, M.; Bulsa, J.; Romiszewski, M.; Mizia-Malarz, A.; Kołtan, A.; Derwich, K.; et al. Grade 3 and 4 Toxicity Profiles During Therapy of Childhood Acute Lymphoblastic Leukemia. In Vivo 2019, 33, 1333–1339. [Google Scholar] [CrossRef]
- Kato, H.; Fujita, H.; Akiyama, N.; Kimura, S.-I.; Hiramoto, N.; Hosono, N.; Takahashi, T.; Shigeno, K.; Minamiguchi, H.; Miyatake, J.; et al. Infectious complications in adults undergoing intensive chemotherapy for acute myeloid leukemia in 2001–2005 using the Japan Adult Leukemia Study Group AML201 protocols. Support. Care Cancer 2018, 26, 4187–4198. [Google Scholar] [CrossRef]
- Kaste, S.C.; Rai, S.N.; Bs, K.F.; McCammon, E.A.; Tylavsky, F.A.; Danish, R.K.; Rose, S.R.; Rt, C.D.S.; Pui, C.-H.; Hudson, M.M. Changes in bone mineral density in survivors of childhood acute lymphoblastic leukemia. Pediatr. Blood Cancer 2005, 46, 77–87. [Google Scholar] [CrossRef] [PubMed]
- Thomas, I.H.; Donohue, J.E.; Ness, K.K.; Dengel, D.R.; Baker, K.S.; Gurney, J.G. Bone mineral density in young adult survivors of acute lymphoblastic leukemia. Cancer 2008, 113, 3248–3256. [Google Scholar] [CrossRef]
- Lou, L.; Li, W.; Zhou, B.; Chen, L.; Weng, H.; Zou, Y.; Tang, G.; Bu, X.; Yin, S. (+)-Isobicyclogermacrenal and spathulenol from Aristolochia yunnanensis alleviate cardiac fibrosis by inhibiting transforming growth factor β/small mother against decapentaplegic signaling pathway. Phytotherapy Res. 2019, 33, 214–223. [Google Scholar] [CrossRef] [PubMed]
- Abdulhafiz, F.; Mohammed, A.; Kayat, F.; Bhaskar, M.; Hamzah, Z.; Podapati, S.K.; Reddy, L.V. Xanthine Oxidase Inhibitory Activity, Chemical Composition, Antioxidant Properties and GC-MS Analysis of Keladi Candik (Alocasia longiloba Miq). Molecules 2020, 25, 2658. [Google Scholar] [CrossRef]
- Abdulhafiz, F.; Mohammed, A.; Kayat, F.; Zakaria, S.; Hamzah, Z.; Reddy Pamuru, R.; Gundala, P.B.; Reduan, M.F.H. Micropropagation of Alocasia longiloba Miq and Comparative Antioxidant Properties of Ethanolic Extracts of the Field-Grown Plant, In Vitro Propagated and In Vitro-Derived Callus. Plants 2020, 9, 816. [Google Scholar] [CrossRef]
- Ferid, A.; Mohammed, A.; Khalivulla, S.I.; Korivi, M.; Razab, M.K.A.A. Plant Cell and Callus Cultures as an Alternative Source of Bioactive Compounds with Therapeutic Potential against Coronavirus Disease (COVID-19). IOP Conf. Ser. Earth Environ. Sci. 2020, 596, 012099. [Google Scholar] [CrossRef]
- Saedi, T.A.; Noor, S.M.; Ismail, P.; Othman, F. The Effects of Herbs and Fruits on Leukaemia. Evid. Based Complement. Altern. Med. 2014, 2014, 1–8. [Google Scholar] [CrossRef] [PubMed]
- Chiang, L.-C.; Cheng, H.-Y.; Chen, C.-C.; Lin, C.-C. In vitro Anti-leukemic and Antiviral Activities of Traditionally Used Medicinal Plants in Taiwan. Am. J. Chin. Med. 2004, 32, 695–704. [Google Scholar] [CrossRef]
- Katz, L.; Baltz, R.H. Natural product discovery: Past, present, and future. J. Ind. Microbiol. Biotechnol. 2016, 43, 155–176. [Google Scholar] [CrossRef]
- Daddiouaissa, D.; Amid, A. Anticancer Activity of Acetogenins from Annona Muricata Fruit. IIUM Med. J. Malays. 2018, 17, 103–112. [Google Scholar] [CrossRef]
- Yakhni, M.; Briat, A.; El Guerrab, A.; Furtado, L.; Kwiatkowski, F.; Miot-Noirault, E.; Cachin, F.; Penault-Llorca, F.; Radosevic-Robin, N. Homoharringtonine, an approved anti-leukemia drug, suppresses triple negative breast cancer growth through a rapid reduction of anti-apoptotic protein abundance. Am. J. Cancer Res. 2019, 9, 1043–1060. [Google Scholar]
- Zhou, D.C.; Zittoun, R.; Marie, J.P. Homoharringtonine: An effective new natural product in cancer chemotherapy. Bull Cancer 1995, 82, 987–995. [Google Scholar] [PubMed]
- Xu, B.; Ding, J.; Chen, K.-X.; Miao, Z.-H.; Huang, H.; Liu, X.-Y.; Luo, X.-M. Advances in Cancer Chemotherapeutic Drug Research in China. In Recent Advances in Cancer Research and Therapy; Elsevier: Amsterdam, The Netherlands, 2012; pp. 287–350. [Google Scholar]
- Chen, R.T.; Hua, Z.; Xu, B. Pharmacological study of harringtonine and homoharringtonine. Kexue Tongbao 1980, 25, 859–861. [Google Scholar]
- Takemura, Y.; Ohnuma, T.; Chou, T.C.; Okano, T.; Holland, J.F. Biologic and pharmacologic effects of harring-tonine on human leukemia-lymphoma cells. Cancer Chemother. Pharmacol. 1985, 14, 206–210. [Google Scholar] [CrossRef]
- Zhou, J.Y.; Chen, D.L.; Shen, Z.S.; Koeffler, H.P. Effect of homoharringtonine on proliferation and differentiation of human leukemic cells in vitro. Cancer Res. 1990, 50, 2031–2035. [Google Scholar]
- Luo, C.Y.; Tang, J.Y.; Wang, Y.P. Homoharringtonine: A New Treatment Option for Myeloid Leukemia. Hematology 2004, 9, 259–270. [Google Scholar] [CrossRef] [PubMed]
- Xu, B. Pharmacology of some natural products of China. Trends Pharmacol. Sci. 1981, 2, 271–272. [Google Scholar] [CrossRef]
- Moudi, M.; Go, R.; Yien, C.Y.S.; Nazre, M. Vinca alkaloids. Int. J. Prev. Med. 2013, 4, 1231–1235. [Google Scholar]
- Cragg, G.M.; Newman, D.J. Plants as a source of anti-cancer agents. J. Ethnopharmacol. 2005, 100, 72–79. [Google Scholar] [CrossRef]
- Kothari, A.; Hittelman, W.N.; Chambers, T.C. Cell cycle–dependent mechanisms underlie vincristine-induced death of primary acute lymphoblastic leukemia cells. Cancer Res. 2016, 76, 3553–3561. [Google Scholar] [CrossRef]
- Lai, K.-C.; Chiu, Y.-J.; Tang, Y.-J.; Lin, K.-L.; Chiang, J.-H.; Jiang, Y.-L.; Jen, H.-F.; Kuo, Y.-H.; Agamaya, S.; Chung, J.-G.; et al. Houttuynia cordata Thunb extract inhibits cell growth and induces apoptosis in human primary colorectal cancer cells. Anticancer Res. 2010, 30, 3549–3556. [Google Scholar]
- Martino, E.; Casamassima, G.; Castiglione, S.; Cellupica, E.; Pantalone, S.; Papagni, F.; Collina, S. Vinca alkaloids and analogues as anti-cancer agents: Looking back, peering ahead. Bioorg. Med. Chem. Lett. 2018, 28, 2816–2826. [Google Scholar] [CrossRef]
- Vilpo, J.A.; Koski, T.; Vilpo, L.M. Selective toxicity of vincristine against chronic lymphocytic leukemia cells in vitro. Eur. J. Haematol. 2000, 65, 370–378. [Google Scholar] [CrossRef] [PubMed]
- Varsha, K.; Sharma, A.; Kaur, A.; Madan, J.; Pandey, R.S.; Jain, U.K.; Chandra, R. Natural Plant-Derived Anticancer Drugs Nanotherapeutics: A Review on Preclinical to Clinical Success. In Nanostructures for Cancer Therapy; Elsevier: Amsterdam, The Netherlands, 2017; pp. 775–809. [Google Scholar]
- Cassady, J.M.; Chan, K.K.; Floss, H.G.; Leistner, E. Recent Developments in the Maytansinoid Antitumor Agents. Chem. Pharm. Bull. 2004, 52, 1–26. [Google Scholar] [CrossRef]
- Kusari, P.; Kusari, S.; Eckelmann, D.; Zühlke, S.; Kayser, O.; Spiteller, M. Cross-species biosynthesis of maytansine in Maytenus serrata. RSC Adv. 2016, 6, 10011–10016. [Google Scholar] [CrossRef]
- Kupchan, S.M.; Komoda, Y.; Thomas, G.J.; Hintz, H.P.J. Maytanprine and maytanbutine, new antileukaemic ansa macrolides from Maytenus buchananii. J. Chem. Soc., Chem. Commun. 1972, 19, 1065. [Google Scholar] [CrossRef]
- Lopus, M.; Oroudjev, E.; Wilson, L.; Wilhelm, S.; Widdison, W.; Chari, R.; Jordan, M.A. Maytansine and Cellular Metabolites of Antibody-Maytansinoid Conjugates Strongly Suppress Microtubule Dynamics by Binding to Microtubules. Mol. Cancer Ther. 2010, 9, 2689–2699. [Google Scholar] [CrossRef] [PubMed]
- Kovtun, Y.; Noordhuis, P.; Whiteman, K.R.; Watkins, K.; Jones, G.E.; Harvey, L.; Lai, K.C.; Portwood, S.; Adams, S.; Sloss, C.M.; et al. IMGN779, a Novel CD33-Targeting Antibody–Drug Conjugate with DNA-Alkylating Activity, Exhibits Potent Antitumor Activity in Models of AML. Mol. Cancer Ther. 2018, 17, 1271–1279. [Google Scholar] [CrossRef] [PubMed]
- Shao, R.G.; Zhen, Y.S. Research and Development of Highly Potent Antibody-Based Drug Conjugates and Fusion Proteins for Cancer Therapy. In Recent Advances in Cancer Research and Therapy; Elsevier: Amsterdam, The Netherlands, 2012; pp. 153–173. [Google Scholar]
- Lapusan, S.; Vidriales, M.B.; Thomas, X.; De Botton, S.; Vekhoff, A.; Tang, R.; Dumontet, C.; Morariu-Zamfir, R.; Lambert, J.M.; Ozoux, M.-L.; et al. Phase I studies of AVE9633, an anti-CD33 antibody-maytansinoid conjugate, in adult patients with relapsed/refractory acute myeloid leukemia. Investig. New Drugs 2011, 30, 1121–1131. [Google Scholar] [CrossRef]
- Arya, D.; Goel, S.; Shinde, P.; Joshi, G.C.; Sharma, O.R.; Sharma, S.K. Dysoxylum binacteriferum Hook. F.: A promising herbal drug used in folk medicine by Tharu community of Uttarakhand. World J. Pharmaceut. Res. 2017, 6, 296–301. [Google Scholar] [CrossRef]
- Lucas, M.D.; Still, P.C.; Bueno Perez, L.; Grever, M.R.; Douglas Kinghorn, A. Potential of plant-derived natural products in the treatment of leukemia and lymphoma. Curr. Drug Targets 2010, 11, 812–822. [Google Scholar] [CrossRef] [PubMed]
- Karp, J.E.; Passaniti, A.; Gojo, I.; Kaufmann, S.; Bible, K.; Garimella, T.S.; Bauer, K.S. Phase I and pharmacokinetic study of flavopiridol followed by 1-β-D-arabinofuranosylcytosine and mitoxantrone in relapsed and refractory adult acute leukemias. Clinic. Cancer Res. 2005, 11, 8403–8412. [Google Scholar] [CrossRef]
- Zeidner, J.F.; Karp, J.E. Clinical activity of alvocidib (flavopiridol) in acute myeloid leukemia. Leuk. Res. 2015, 39, 1312–1318. [Google Scholar] [CrossRef]
- Karp, J.E.; Donehower, R.C.; Enterline, J.P.; Dole, G.B.; Fox, M.G.; Burke, P.J. In vivo cell growth and pharmacologic determinants of clinical response in acute myelogenous leukemia. Blood 1989, 73, 24–30. [Google Scholar] [CrossRef]
- Karp, J.E.; Ross, D.D.; Yang, W.; Tidwell, M.L.; Wei, Y.; Greer, J.; Colevas, A.D. Timed sequential therapy of acute leukemia with flavopiridol: In vitro model for a phase I clinical trial. Clin. Cancer Res. 2003, 9, 307–315. [Google Scholar]
- Chen, K.T.; Militao, G.G.; Anantha, M.; Witzigmann, D.; Leung, A.W.; Bally, M.B. Development and characterization of a novel flavopiridol formulation for treatment of acute myeloid leukemia. J. Control. Release 2021, 333, 246–257. [Google Scholar] [CrossRef]
- Huryn, D.M.; Wipf, P. Natural Product Chemistry and Anticancer Drug Discovery. In Cancer Drug Design and Discovery; Elsevier: Amsterdam, The Netherlands, 2008; pp. 107–130. [Google Scholar]
- Sulaiman, G.M.; Hussien, N.N.; Marzoog, T.R.; Awad, H.A. Phenolic Content, Antioxidant, Antimicrobial and Cytotoxic Activities of Ethanolic Extract of Salix Alba. Am. J. Biochem. Biotechnol. 2013, 9, 41–46. [Google Scholar] [CrossRef]
- Singh, A.P. Salicin—A natural analgesic. Ethnobot. Leafl. 2005, 2003, 8. [Google Scholar]
- El-Shemy, H.A.; Aboul-Enein, A.M.; Aboul-Enein, K.M.; Fujita, K. Willow Leaves’ Extracts Contain Anti-Tumor Agents Effective against Three Cell Types. PLoS ONE 2007, 2, e178. [Google Scholar] [CrossRef]
- Hostanska, K.; Jürgenliemk, G.; Abel, G.; Nahrstedt, A.; Saller, R. Willow bark extract (BNO1455) and its fractions suppress growth and induce apoptosis in human colon and lung cancer cells. Cancer Detect. Prev. 2007, 31, 129–139. [Google Scholar] [CrossRef]
- Khalafalla, M.M.; Elgaali, E.I.; Ahmed, M.M. In vitro multiple shoot regeneration from nodal explants of Vernonia amygdalina—An important medicinal plant. In Proceedings of the 8th African Crop Science Society Conference, El-Minia, Egypt, 27–31 October 2007. [Google Scholar]
- Erasto, P.; Grierson, D.; Afolayan, A. Bioactive sesquiterpene lactones from the leaves of Vernonia amygdalina. J. Ethnopharmacol. 2006, 106, 117–120. [Google Scholar] [CrossRef]
- Kumari, G.K.; Masilamani, S.; Ganesh, M.; Aravind, S.; Sridhar, S. Zaluzanin D: A fungistatic sesquiterpene from Vernonia arborea. Fitoterapia 2003, 74, 479–482. [Google Scholar] [CrossRef]
- Soni, A.; Krishnamurthy, R. Plants—The next generation treatment of leukemia. Indian J. Plant Sci. 2013, 2, 117–125. [Google Scholar]
- Rathee, J.S.; Hassarajani, S.A.; Chattopadhyay, S. Antioxidant activity of Nyctanthes arbor-tristis leaf extract. Food Chem. 2007, 103, 1350–1357. [Google Scholar] [CrossRef]
- Heendeniya, S.N.; Keerthirathna, L.R.; Manawadu, C.K.; Dissanayake, I.H.; Ali, R.; Mashhour, A.; Alzahrani, H.; Godakumbura, P.; Boudjelal, M.; Peiris, D.C. Therapeutic Efficacy of Nyctanthes arbor-tristis Flowers to Inhibit Proliferation of Acute and Chronic Primary Human Leukemia Cells, with Adipocyte Differentiation and in Silico Analysis of Interactions between Survivin Protein and Selected Secondary Metabolites. Biomolecules 2020, 10, 165. [Google Scholar] [CrossRef]
- Khanapur, M.; Avadhanula, R.K.; Setty, O.H. In Vitro Antioxidant, Antiproliferative, and Phytochemical Study in Different Extracts of Nyctanthes arbor-tristis Flowers. BioMed Res. Int. 2014, 2014, 1–10. [Google Scholar] [CrossRef] [PubMed]
- Jain, P.K.; Pandey, A. The wonder of Ayurvedic medicine—Nyctanthes arbortristis. Int. J. Herb. Med. Plants 2016, 4, 9–17. [Google Scholar]
- Parekh, S.; Soni, A. Nyctanthes arbor-tristis: Comprehensive review on its pharmacological, antioxidant, and anticancer activities. J. Appl. Biol. Biotechnol. 2020, 8, 95–104. [Google Scholar]
- Pandeti, S.; Sharma, K.; Bathula, S.R.; Tadigoppula, N. Synthesis of novel anticancer iridoid derivatives and their cell cycle arrest and caspase dependent apoptosis. Phytomedicine 2014, 21, 333–339. [Google Scholar] [CrossRef]
- Cochrane, C.B.; Nair, P.K.R.; Melnick, S.J.; Resek, A.P.; Ramachandran, C. Anticancer effects of Annona glabra plant extracts in human leukemia cell lines. Anticancer Res. 2008, 28, 965–971. [Google Scholar]
- Hien, N.T.T.; Nhiem, N.X.; Yen, D.T.H.; Hang, D.T.T.; Tai, B.H.; Quang, T.H.; Kim, E.J. Chemical constituents of the Annona glabra fruit and their cytotoxic activity. Pharm. Biol. 2015, 53, 1602–1607. [Google Scholar] [CrossRef]
- Liu, Y.; Liu, D.; Wan, W.; Zhang, H. In vitro mitochondria-mediated anticancer and antiproliferative effects of Annona glabra leaf extract against human leukemia cells. J. Photochem. Photobiol. B Biol. 2018, 189, 29–35. [Google Scholar] [CrossRef]
- Sreeja, P. Phtomorphological and Ecological Study of the Invasive Annona glabra. J. Plant Pest. Sci. 2014, 1, 60–65. [Google Scholar]
- Islam, M.; Rahi, M.; Jahangir, C.A.; Rahman, M.H.; Jerin, I.; Amin, R.; Reza, M.A. In Vivo Anticancer Activity of Basella alba Leaf and Seed Extracts against Ehrlich’s Ascites Carcinoma (EAC) Cell Line. Evid. Based. Complement. Alternat. Med. 2018, 2018, 1537896. [Google Scholar] [CrossRef]
- Kumar, S.; Prasad, A.; Iyer, S.; Vaidya, S. Systematic pharmacognostical, phytochemical and pharmacological review on an ethno medicinal plant, Basella alba L. J. Pharm. Phytother. 2013, 5, 53–58. [Google Scholar]
- Deshmukh, S.; Gaikwad, D. A review of the taxonomy, ethnobotany, phytochemistry and pharmacology of Basella alba (Basellaceae). J. Appl. Pharm. Sci. 2014, 4, 153–165. [Google Scholar]
- Adhikari, R.; Kumar, H.N.; Shruthi, S. A review on medicinal importance of Basella alba L. Int. J. Pharm. Sci. Drug Res. 2012, 4, 110–114. [Google Scholar]
- Balachandran, P.; Govindarajan, R. Cancer—An ayurvedic perspective. Pharmacol. Res. 2005, 51, 19–30. [Google Scholar] [CrossRef] [PubMed]
- Khanom, B.; Nahida, U.; Shapla, S.S.; Akter, M.S.; Farzana, H.; Zaman, F.; Islam, M.T. Phytochemical and pharmacological review on Basella alba L. Pharmacol. Online 2019, 1, 40–48. [Google Scholar]
- Sushila, R.; Deepti, A.; Permender, R.; Madhavi, T.; Dharmender, R.; Rathee, D. Cytotoxic and antibacterial activity of Basella alba whole plant: A relatively unexplored plant. Pharmacol. Online 2010, 3, 651–658. [Google Scholar]
- Pal, K. Cell growth inhibition and apoptosis by extract of Basella alba plant on U937 cells. World J. Pharm. Pharm. Sci. 2015, 5, 1251–1261. [Google Scholar]
- Shahneh, F.Z.; Valiyari, S.; Azadmehr, A.; Hajiaghaee, R.; Ali, B.; Baradaran, B. Cytotoxic activities of Ferulago angulata extract on human leukemia and lymphoma cells by induction of apoptosis. J. Med. Plant Res. 2013, 7, 677–682. [Google Scholar]
- Filiz, B.; Songül, K.; Bostanlık, D.; Gül, F.; Sibel, K.C. Anticancer effect of Ferulago mughlea Peşmen (Apiaceae) on cancer cell proliferation. Iran. J. Pharm. Sci. 2016, 15, 501–504. [Google Scholar]
- Karimi, P.; Pourgheysari, B.; Soltani, A. The anti-proliferative effects of Ferulago angulata on human promyelocytic leukemia cell line (HL-60). Trends Pharmacol. Sci. 2019, 5, 123–130. [Google Scholar]
- Thakur, A.; Singla, R.; Jaitak, V. Coumarins as anticancer agents: A review on synthetic strategies, mechanism of action and SAR studies. Eur. J. Med. Chem. 2015, 101, 476–495. [Google Scholar] [CrossRef]
- Wei, Y.-L.; Xu, L.; Liang, Y.; Xu, X.-H.; Zhao, X.-Y. Berbamine exhibits potent antitumor effects on imatinib-resistant CML cells in vitro and in vivo. Acta Pharmacol. Sin. 2009, 30, 451–457. [Google Scholar] [CrossRef] [PubMed][Green Version]
- Liang, Y.; Qiu, X.; Xu, R.-Z.; Zhao, X.-Y. Berbamine inhibits proliferation and induces apoptosis of KU812 cells by increasing Smad3 activity. J. Zhejiang Univ. Sci. B 2011, 12, 568–574. [Google Scholar] [CrossRef] [PubMed]
- Xu, R.; Dong, Q.; Yu, Y.; Zhao, X.; Gan, X.; Wu, D.; Lu, Q.; Xu, X.; Yu, X.-F. Berbamine: A novel inhibitor of bcr/abl fusion gene with potent anti-leukemia activity. Leuk. Res. 2006, 30, 17–23. [Google Scholar] [CrossRef]
- Akter, R.; Uddin, S.J.; Tiralongo, J.; Grice, I.D.; Tiralongo, E. A new cytotoxic diterpenoid glycoside from the leaves of Blumea lacera and its effects on apoptosis and cell cycle. Nat. Prod. Res. 2016, 30, 2688–2693. [Google Scholar] [CrossRef] [PubMed]
- Chang, J.-S.; Chiang, L.-C.; Chen, C.-C.; Liu, L.-T.; Wang, K.-C.; Lin, C.-C. Antileukemic Activity of Bidens pilosa L. var. minor (Blume) Sherff and Houttuynia cordata Thunb. Am. J. Chin. Med. 2001, 29, 303–312. [Google Scholar] [CrossRef]
- Yi, J.; Wu, J.-G.; Peng, W. Antioxidant and Anti-proliferative Activities of Flavonoids from Bidens pilosa L var radiata Sch Bip. Trop. J. Pharm. Res. 2016, 15, 341. [Google Scholar] [CrossRef]
- Mishra, J.N.; Verma, N.K. A brief study on Catharanthus roseus: A review. Intern. J. Res. Pharm. Pharm. Sci. 2017, 2, 20–23. [Google Scholar]
- Pardede, A.; Mashita, K.; Ninomiya, M.; Tanaka, K.; Koketsu, M. Flavonoid profile and antileukemic activity of Coreopsis lanceolata flowers. Bioorganic Med. Chem. Lett. 2016, 26, 2784–2787. [Google Scholar] [CrossRef]
- Pardede, A.; Adfa, M.; Kusnanda, A.J.; Ninomiya, M.; Koketsu, M. Chemical Constituents of Coreopsis lanceolata Stems and Their Antitermitic Activity against the Subterranean Termite Coptotermes curvignathus. J. Econ. Entomol. 2018, 111, 803–807. [Google Scholar] [CrossRef]
- Amirghofran, Z.; Bahmani, M.; Azadmehr, A.; Javidnia, K.; Miri, R. Immunomodulatory Activities of Various Medicinal Plant Extracts: Effects on Human Lymphocytes Apoptosis. Immunol. Investig. 2009, 38, 181–192. [Google Scholar] [CrossRef]
- Lorigooini, Z.; Koravand, M.; Haddadi, H.; Rafieian-Kopaei, M.; Shirmardi, H.A.; Hosseini, Z. A review of botany, phyto-chemical and pharmacological properties of Ferulago angulata. Toxin Rev. 2019, 38, 13–20. [Google Scholar] [CrossRef]
- Norrizah, J.; Norizan, A.; Ruzaina, S.S.; Dzulsuhaim, D.; Hida, M.N. Cytotoxicity Activity and Reproductive Profiles of Male Rats Treated with Methanolic extracts of Ficus deltoidea. Res. J. Med. Plant 2012, 6, 197–202. [Google Scholar] [CrossRef]
- Ren, W.; Qiao, Z.; Wang, H.; Zhu, L.; Zhang, L. Flavonoids: Promising anticancer agents. Med. Res. Rev. 2003, 23, 519–534. [Google Scholar] [CrossRef]
- Prommaban, A.; Kodchakorn, K.; Kongtawelert, P.; Banjerdpongchai, R. Houttuynia cordata Thunb fraction induces human leukemic Molt-4 cell apoptosis through the endoplasmic reticulum stress pathway. Asian Pac. J. Cancer Prev. 2012, 13, 1977–1981. [Google Scholar] [CrossRef] [PubMed]
- Kumnerdkhonkaen, P.; Saenglee, S.; Asgar, M.A.; Senawong, G.; Khongsukwiwat, K.; Senawong, T. Antiproliferative activities and phenolic acid content of water and ethanolic extracts of the powdered formula of Houttuynia cordata Thunb. fermented broth and Phyllanthus emblica Linn. fruit. Complement. Altern. Med. Plants. 2018, 18, 130. [Google Scholar] [CrossRef]
- Sutapa, B.M.; Vansh, K.; Vaibhav, A.; Gopa, R.B.; Majee, S.B.; Khattry, V.; Agarwal, V.; Biswas, G.R. Polyphenols derived from four indigenous Indian fruits for cancer chemoprevention and chemotherapy. J. Med. Plants Res. 2016, 10, 838–847. [Google Scholar] [CrossRef][Green Version]
- Fares, R.; Bazzi, S.; Baydoun, S.E.; Abdel-Massih, R.M. The Antioxidant and Anti-proliferative Activity of the Lebanese Olea europaea Extract. Plant Foods Hum. Nutr. 2011, 66, 58–63. [Google Scholar] [CrossRef]
- Samet, I.; Han, J.; Jlaiel, L.; Sayadi, S.; Isoda, H. Olive (Olea europaea) Leaf Extract Induces Apoptosis and Monocyte/Macrophage Differentiation in Human Chronic Myelogenous Leukemia K562 Cells: Insight into the Underlying Mechanism. Oxidative Med. Cell. Longev. 2014, 2014, 1–16. [Google Scholar] [CrossRef]
- Fabiani, R.; Rosignoli, P.; De Bartolomeo, A.; Fuccelli, R.; Servili, M.; Montedoro, G.F.; Morozzi, G. Oxidative DNA Damage Is Prevented by Extracts of Olive Oil, Hydroxytyrosol, and Other Olive Phenolic Compounds in Human Blood Mononuclear Cells and HL60 Cells. J. Nutr. 2008, 138, 1411–1416. [Google Scholar] [CrossRef]
- Salah, M.B.; Abdelmelek, H.; Abderraba, M. Study of phenolic composition and biological activities assessment of olive leaves from different varieties grown in Tunisia. Med. Chem. 2012, 2, 107–111. [Google Scholar]
- Özcan, M.M.; Matthäus, B. A review: Benefit and bioactive properties of olive (Olea europaea L.) leaves. Eur. Food Res. Technol. 2017, 243, 89–99. [Google Scholar] [CrossRef]
- Kumagai, T.; Müller, C.I.; Desmond, J.C.; Imai, Y.; Heber, D.; Koeffler, H.P. Scutellaria baicalensis, a herbal medicine: Anti-proliferative and apoptotic activity against acute lymphocytic leukemia, lymphoma and myeloma cell lines. Leuk. Res. 2007, 31, 523–530. [Google Scholar] [CrossRef] [PubMed]
- Parajuli, P.; Joshee, N.; Rimando, A.M.; Mittal, S.; Yadav, A.K. In vitro Antitumor Mechanisms of Various Scutellaria Extracts and Constituent Flavonoids. Planta Med. 2008, 75, 41–48. [Google Scholar] [CrossRef]
- Huang, S.-T.; Wang, C.-Y.; Yang, R.-C.; Chu, C.-J.; Wu, H.-T.; Pang, J.-H.S. Wogonin, an active compound in Scutellaria baicalensis, induces apoptosis and reduces telomerase activity in the HL-60 leukemia cells. Phytomedicine 2010, 17, 47–54. [Google Scholar] [CrossRef]
- Ghorbani, A.; Esmaeilizadeh, M. Pharmacological properties of Salvia officinalis and its components. J. Tradit. Complement. Med. 2017, 7, 433–440. [Google Scholar] [CrossRef]
- Gu, J.-Q.; Gills, J.J.; Park, E.J.; Mata-Greenwood, E.; Hawthorne, M.E.; Axelrod, F.; Chavez, P.I.; Fong, H.H.S.; Mehta, R.G.; Pezzuto, J.M.; et al. Sesquiterpenoids from Tithonia diversifolia with potential cancer chemopreventive activity. J. Nat. Prod. 2002, 65, 532–536. [Google Scholar] [CrossRef] [PubMed]
- Ang, A.M.G.; Enot, M.M.; Baltazar, G.J.D.; Alinapon, C.V.; Buncales, E.O.; Barbosa, G.B. Antioxidant and Cytotoxic Activity of the Leaf Ethanolic Extracts of Tithonia diversofilia and Gliricidia sepium from Bukidnon, Philippines. Asian J. Biol. Life Sci. 2019, 8, 8–15. [Google Scholar] [CrossRef]
- Mohan, S.; Abdul, A.B.; Abdelwahab, S.I.; Al-Zubairi, A.S.; Sukari, M.A.; Abdullah, R.; Taha, M.M.E.; Beng, N.K.; Isa, N.M. Typhonium flagelliforme inhibits the proliferation of murine leukemia WEHI-3 cells in vitro and induces apoptosis in vivo. Leuk. Res. 2010, 34, 1483–1492. [Google Scholar] [CrossRef]
- Choo, C.Y.; Chan, K.L.; Sam, T.W.; Hitotsuyanagi, Y.; Takeya, K. The cytotoxicity and chemical constituents of the hexane fraction of Typhonium flagelliforme (Araceace). J. Ethnopharmacol. 2001, 77, 129–131. [Google Scholar] [CrossRef]
- Sianipar, N.F.; Purnamaningsih, R. Enhancement of the contents of anticancer bioactive compounds in mutant clones of rodent tuber (Typhonium flagelliforme Lodd.) based on GC-MS analysis. Pertanika J. Trop. Agric. Sci. 2018, 41, 305–320. [Google Scholar]
- Mohan, S.; Bustamam, A.; Ibrahim, S.; Al-Zubairi, A.S.; Aspollah, M.; Abdullah, R.; Elhassan, M.M. In Vitro Ultramorphological Assessment of Apoptosis on CEMss Induced by Linoleic Acid-Rich Fraction from Typhonium flagelliforme Tuber. Evid. Based Complement. Altern. Med. 2011, 2011, 1–12. [Google Scholar] [CrossRef]
- Seifert, G.; Jesse, P.; Laengler, A.; Reindl, T.; Lüth, M.; Lobitz, S.; Henze, G.; Prokop, A.; Lode, H.N. Molecular mechanisms of mistletoe plant extract-induced apoptosis in acute lymphoblastic leukemia in vivo and in vitro. Cancer Lett. 2008, 264, 218–228. [Google Scholar] [CrossRef]
- Mishra, R.; Sharma, S.; Sharma, R.S.; Singh, S.; Sardesai, M.M.; Sharma, S.; Mishra, V. Viscum articulatum Burm. f. aqueous extract exerts antiproliferative effect and induces cell cycle arrest and apoptosis in leukemia cells. J. Ethnopharmacol. 2018, 219, 91–102. [Google Scholar] [CrossRef] [PubMed]
- Yedjou, C.G.; Sims, J.N.; Njiki, S.; Tsabang, N.; Ogungbe, I.V.; Tchounwou, P.B. Vernonia Amygdalina Delile Exhibits A Potential for the Treatment of Acute Promyelocytic Leukemia. Glob. J. Adv. Eng. Technol. Sci. 2018, 5, 1–9. [Google Scholar] [PubMed]
- Wen, L.; You, L.; Yang, X.; Yang, J.; Chen, F.; Jiang, Y.; Yang, B. Identification of phenolics in litchi and evaluation of anticancer cell proliferation activity and intracellular antioxidant activity. Free Radic. Biol. Med. 2015, 84, 171–184. [Google Scholar] [CrossRef] [PubMed]
- Zhao, M.; Yang, B.; Wang, J.; Liu, Y.; Yu, L.; Jiang, Y. Immunomodulatory and anticancer activities of flavonoids extracted from litchi (Litchi chinensis Sonn.) pericarp. Int. Immunopharmacol. 2007, 7, 162–166. [Google Scholar] [CrossRef]
- Yang, B.; Wang, J.; Zhao, M.; Liu, Y.; Wang, W.; Jiang, Y. Identification of polysaccharides from pericarp tissues of litchi (Litchi chinensis Sonn.) fruit in relation to their antioxidant activities. Carbohydr. Res. 2006, 341, 634–638. [Google Scholar] [CrossRef]
- Roy, S.; Besra, S.E.; De, T.; Banerjee, B.; Mukherjee, J.; Vedasiromoni, J.R. Induction of Apoptosis in Human Leukemic Cell Lines U937, K562 and HL-60 by Litchi chinensis Leaf Extract Via Activation of Mitochondria Mediated Caspase Cascades. Open Leuk. J. 2008, 1, 1–14. [Google Scholar] [CrossRef]
- Jiang, G.; Lin, S.; Wen, L.; Jiang, Y.; Zhao, M.; Chen, F.; Prasad, K.N.; Duan, X.; Yang, B. Identification of a novel phenolic compound in litchi (Litchi chinensis Sonn.) pericarp and bioactivity evaluation. Food Chem. 2013, 136, 563–568. [Google Scholar] [CrossRef]
- Wen, L.; Wu, D.; Jiang, Y.; Prasad, K.N.; Lin, S.; Jiang, G.; He, J.; Zhao, M.; Luo, W.; Yang, B. Identification of flavonoids in litchi (Litchi chinensis Sonn.) leaf and evaluation of anticancer activities. J. Funct. Foods 2014, 6, 555–563. [Google Scholar] [CrossRef]
- Kaushik, P.; Pahwa, P.; Kaushik, D. A comprehensive review on medicinal plants with anticancer activity. Glob. J. Pharmaceu. Edu. Res. 2014, 3, 1–13. [Google Scholar]
- Farida, Y.; Irpan, K.; Fithriani, L. Antibacterial and Antioxidant Activity of Keladi Tikus Leaves Extract (Typhonium Flagelliforme) (Lodd) Blume. Procedia Chem. 2014, 13, 209–213. [Google Scholar] [CrossRef]
- Mohan, S.; Bustamam, A.; Ibrahim, S.; Al-Zubairi, A.S.; Aspollah, M. Anticancerous Effect of Typhonium flagelliforme on Human T4-Lymphoblastoid Cell Line CEM-ss. J. Pharmacol. Toxicol. 2008, 3, 449–456. [Google Scholar] [CrossRef]
- Mohan, S.; Abdul, A.B.; Abdelwahab, S.I.; Al-Zubairi, A.S.; Sukari, M.A.; Abdullah, R.; Taha, M.M.E.; Ibrahim, M.Y.; Syam, S. Typhonium flagelliforme induces apoptosis in CEMss cells via activation of caspase-9, PARP cleavage and cytochrome c release: Its activation coupled with G0/G1 phase cell cycle arrest. J. Ethnopharmacol. 2010, 131, 592–600. [Google Scholar] [CrossRef] [PubMed]
- Lai, C.-S.; Mas, R.H.; Nair, N.; Majid, M.; Mansor, S.; Navaratnam, V. Typhonium flagelliforme inhibits cancer cell growth in vitro and induces apoptosis: An evaluation by the bioactivity guided approach. J. Ethnopharmacol. 2008, 118, 14–20. [Google Scholar] [CrossRef]
- Tomar, A. Folk medicinal use of Blumea lacera (BURM. F.) DC. To cure threadworms. J. Med. Plants Stud. 2017, 5, 336–337. [Google Scholar]
- Ragasa, C.Y.; Wong, J.; Rideout, J.A. Monoterpene glycoside and flavonoids from Blumea lacera. J. Nat. Med. 2007, 61, 474–475. [Google Scholar] [CrossRef]
- Jama, B.; Palm, C.A.; Buresh, R.J.; Niang, A.; Gachengo, C.; Nziguheba, G.; Amadalo, B. Tithonia diversifolia as a green manure for soil fertility improvement in western Kenya: A review. Agrofor. Syst. 2000, 49, 201–221. [Google Scholar] [CrossRef]
- Oliveira, F.; Andrade-Neto, V.; Krettli, A.; Brandão, M. New evidences of antimalarial activity of Bidens pilosa roots extract correlated with polyacetylene and flavonoids. J. Ethnopharmacol. 2004, 93, 39–42. [Google Scholar] [CrossRef]
- Bartolome, A.P.; Villaseñor, I.M.; Yang, W.C. Bidens pilosa L. (Asteraceae): Botanical properties, traditional uses, phytochemistry, and pharmacology. Evid. Based. Complement. Alternat. Med. 2013, 2013, 340215. [Google Scholar] [CrossRef]
- Goulas, V.; Exarchou, V.; Troganis, A.N.; Psomiadou, E.; Fotsis, T.; Briasoulis, E.; Gerothanassis, I.P. Phytochemicals in olive-leaf extracts and their antiproliferative activity against cancer and endothelial cells. Mol. Nutr. Food Res. 2009, 53, 600–608. [Google Scholar] [CrossRef] [PubMed]
- Pawinwongchai, J.; Chanprasert, S. Antileukemic activity of Houttuynia cordata Thunb. extracts in Jurkat and U937 human leukemic cells. J. Chem. Pharm. Res. 2011, 3, 204–212. [Google Scholar]
- Nguyen, V.T.; Le, V.M.; Vo, T.S.; Bui, L.M.; Anh, H.L.T.; Danh, V.T. Preliminary phytochemical screening and determination of total polyphenols and flavonoids content in the leaves of Houttuynia cordata Thunb. IOP Conf. Ser. Mater. Sci. Eng. 2020, 736, 062013. [Google Scholar] [CrossRef]
- Okwu, D.E.; Nnamdi, F.U. Two novel flavonoids from Bryophyllum pinnatum and their antimircobal activity. J. Chem. Pharm. Res. 2011, 3, 1–10. [Google Scholar]
- Evans, M.; Bryant, S.; Huntley, A.L.; Feder, G. Cancer Patients’ Experiences of Using Mistletoe (Viscum album): A Qualitative Systematic Review and Synthesis. J. Altern. Complement. Med. 2016, 22, 134–144. [Google Scholar] [CrossRef]
- Nazaruk, J.; Orlikowski, P. Phytochemical profile and therapeutic potential of Viscum album L. Nat. Prod. Res. 2016, 30, 373–385. [Google Scholar] [CrossRef] [PubMed]
- Eggenschwiler, J.; Von Balthazar, L.; Stritt, B.; Pruntsch, D.; Ramos, M.; Urech, K.; Rist, L.; Simões-Wüst, A.P.; Viviani, A. Mistletoe lectin is not the only cytotoxic component in fermented preparations of Viscum album from white fir (Abies pectinata). BMC Complement. Altern. Med. 2007, 7, 14. [Google Scholar] [CrossRef]
- Horneber, M.; Van Ackeren, G.; Linde, K.; Rostock, M. Mistletoe therapy in oncology. Cochrane Database Syst. Rev. 2008, 2008, CD003297. [Google Scholar] [CrossRef]
- Miraj, S.; Kiani, S. A review study of therapeutic effects of Salvia officinalis L. Pharm. Lett 2016, 8, 299–303. [Google Scholar]
- Privitera, G.; Luca, T.; Castorina, S.; Passanisi, R.; Ruberto, G.; Napoli, E. Anticancer activity of Salvia officinalis essential oil and its principal constituents against hormone-dependent tumour cells. Asian Pac. J. Trop. Biomed. 2019, 9, 24. [Google Scholar] [CrossRef]
- Xavier, C.P.R.; Lima, C.F.; Fernandes-Ferreira, M.; Pereira-Wilson, C. Salvia Fruticosa, Salvia Officinalis, and Rosmarinic Acid Induce Apoptosis and Inhibit Proliferation of Human Colorectal Cell Lines: The Role in MAPK/ERK Pathway. Nutr. Cancer 2009, 61, 564–571. [Google Scholar] [CrossRef] [PubMed]
- Keshavarz, M.; Bidmeshkipour, A.; Mostafaei, A.; Mansouri, K.; Mohammadi, M.H. Anti tumor activity of Salvia officinalis is due to its anti-angiogenic, anti-migratory and anti-proliferative effects. Cell J. 2011, 12, 477–482. [Google Scholar]
- Yesil-Celiktas, O.; Sevimli, C.; Bedir, E.; Vardar-Sukan, F. Inhibitory Effects of Rosemary Extracts, Carnosic Acid and Rosmarinic Acid on the Growth of Various Human Cancer Cell Lines. Plant Foods Hum. Nutr. 2010, 65, 158–163. [Google Scholar] [CrossRef]
- Wei, L.S.; Wee, W.; Siong, J.Y.F.; Syamsumir, D.F. Characterization of Antioxidant, Antimicrobial, Anticancer Property and Chemical Composition of Ficus deltoidei Jack. Leaf Extract. J. Biol. Act. Prod. Nat. 2011, 1, 1–6. [Google Scholar] [CrossRef]
- Starr, F.; Starr, K.; Loope, L. Mistletoe fig, Moraceae. Ficus Deltoidea 2003, 2, 1–5. [Google Scholar]
- A’attiyyah, A.; Ghazali, W.A.S.W.; Ali, N.A.M.; Ponnuraj, K.T.; Mohamad, S.; Azlina, A. Phytochemical properties and traditional uses of selected medicinal plants in Malaysia: A review. JBCR 2018, 2, 14–25. [Google Scholar]
- Choo, C.; Sulong, N.; Man, F.; Wong, T. Vitexin and isovitexin from the Leaves of Ficus deltoidea with in-vivo α-glucosidase inhibition. J. Ethnopharmacol. 2012, 142, 776–781. [Google Scholar] [CrossRef] [PubMed]
- Manurung, H.; Kustiawan, W.; Kusuma, I.W. Marjenah Total flavonoid content and antioxidant activity in leaves and stems extract of cultivated and wild tabat barito (Ficus deltoidea Jack). AIP Conf. Proc. 2017, 1813, 20007. [Google Scholar]
- Akhir, N.A.M.; Chua, L.S.; Majid, F.A.A.; Sarmidi, M.R. Cytotoxicity of Aqueous and Ethanolic Extracts of Ficus deltoidea on Human Ovarian Carcinoma Cell Line. Br. J. Med. Med Res. 2011, 1, 397–409. [Google Scholar] [CrossRef]
- Hanafi, M.M.M.; Afzan, A.; Yaakob, H.; Aziz, R.; Sarmidi, M.R.; Wolfender, J.-L.; Prieto, J.M. In Vitro Pro-apoptotic and Anti-migratory Effects of Ficus deltoidea L. Plant Extracts on the Human Prostate Cancer Cell Lines PC3. Front. Pharmacol. 2017, 8, 895. [Google Scholar] [CrossRef] [PubMed]
- Abolmaesoomi, M.; Aziz, A.A.; Junit, S.M.; Ali, J.M. Ficus deltoidea: Effects of solvent polarity on antioxidant and anti-proliferative activities in breast and colon cancer cells. Eur. J. Integr. Med. 2019, 28, 57–67. [Google Scholar] [CrossRef]
- Xie, J.; Ma, T.; Gu, Y.; Zhang, X.; Qiu, X.; Zhang, L.; Yu, Y.; Xu, R. Berbamine derivatives: A novel class of compounds for anti-leukemia activity. Eur. J. Med. Chem. 2009, 44, 3293–3298. [Google Scholar] [CrossRef] [PubMed]
- Wu, J.; Yu, D.; Sun, H.; Zhang, Y.; Zhang, W.; Meng, F.; Du, X. Optimizing the extraction of anti-tumor alkaloids from the stem of Berberis amurensis by response surface methodology. Ind. Crop. Prod. 2015, 69, 68–75. [Google Scholar] [CrossRef]
- Neag, M.A.; Mocan, A.; Echeverría, J.; Pop, R.M.; Bocsan, C.I.; Crişan, G.; Buzoianu, A.D. Berberine: Botanical Occurrence, Traditional Uses, Extraction Methods, and Relevance in Cardiovascular, Metabolic, Hepatic, and Renal Disorders. Front. Pharmacol. 2018, 9, 557. [Google Scholar] [CrossRef] [PubMed]
- Dhingra, D.; Kumar, V. Memory-Enhancing Activity of Palmatine in Mice Using Elevated Plus Maze and Morris Water Maze. Adv. Pharmacol. Sci. 2012, 2012, 1–7. [Google Scholar] [CrossRef]
- Zhang, D.Y.; Wu, J.; Ye, F.; Xue, L.; Jiang, S.; Yi, J.; Zhang, W.; Wei, H.; Sung, M.; Wang, W.; et al. Inhibition of cancer cell proliferation and prostaglandin E2 synthesis by Scutellaria baicalensis. Cancer Res. 2003, 63, 4037–4043. [Google Scholar]
- Giessrigl, B. New Approaches in the Targeting of Cell Cycle, Cell Death and Cancer Progression. Ph.D. Thesis, University of Vienna, Vienna, Austria, 2011. [Google Scholar]
- Orzechowska, B.; Chaber, R.; Wiśniewska, A.; Pajtasz-Piasecka, E.; Jatczak, B.; Siemieniec, I.; Gulanowski, B.; Chybicka, A.; Błach-Olszewska, Z. Baicalin from the extract of Scutellaria baicalensis affects the innate immunity and apoptosis in leukocytes of children with acute lymphocytic leukemia. Int. Immunopharmacol. 2014, 23, 558–567. [Google Scholar] [CrossRef]
- Jintao, X.; Quanwei, Y.; Chunyan, L.; Yun, J.; Shuangxi, W.; Mingxiang, Z.; Peng, L. Rapid and Simultaneous Determination of Three Active Components in Raw and Processed Root Samples of Scutellaria baicalensis by Near-infrared Spectroscopy. Planta Med. 2018, 85, 72–80. [Google Scholar] [CrossRef]
Publisher’s Note: MDPI stays neutral with regard to jurisdictional claims in published maps and institutional affiliations. |
© 2021 by the authors. Licensee MDPI, Basel, Switzerland. This article is an open access article distributed under the terms and conditions of the Creative Commons Attribution (CC BY) license (https://creativecommons.org/licenses/by/4.0/).














