Abstract
The scientific activity carried out over forty-five years on stemodane diterpenes and diterpenoids structure elucidation, biogenesis, biosynthesis, biological activity and biotransformations was reviewed.
Keywords:
stemodane; diterpenes; diterpenoids; isolation; structure; bioactivity; biotransformations; biogenesis; biosynthesis 1. Introduction
Stemodane diterpenes and diterpenoids are tetracyclic compounds characterized by the unique hydrocarbon skeleton reported in Figure 1. The main structural features are: C/D ring constituted by a bicycle[3.2.1]octane system fused to the trans A/B ring system; two contiguous quaternary carbon atoms, C(9) and C(10), the former spirocyclic; H–C(8) syn to the CH3–C(10) and to the three-carbon bridge connecting C–(9) and C–(14); HO–C(13) exo configurated to the bicyclo[3.2.1]octane system 2-C atom bridge; oxygenated functions may be present at C(2), C(3), C(14), C(17), C(18) and C(19).
Figure 1.
Stemodane diterpenes C-atom skeleton and C(13) substitution.
2. Isolation and Structure Elucidation
The isolation of (+)-stemodin (1) and (+)-stemodinone (2) (Figure 2) from the leaves of Stemodia maritima L. (Scrophulariaceae) (Figure 3), collected in the Palisadoes peninsula of Jamaica, was described in 1973 by P.S. Manchand (Hoffmann-La Roche Inc., Nutley, N.J.), J.D. White (Oregon State University, Corvallis), H. Wright and J. Clardy (Ames Laboratory-USAEC and Chemistry Dept., Iowa State University) [1].
Figure 2.
(+)-Stemodin (1) and (+)-stemodinone (2).
Figure 3.
Stemodia maritima (Scrophulariaceae).
The structures of (+)-1 and (+)-2 were established by means of chemical work, IR and 1H-NMR, and X-ray diffraction. Thus, Jones oxidation of (+)-1 to (+)-2 revealed the relationship between the two compounds. A single-crystal X-ray analysis of (+)-2 disclosed the novel stemodane tetracyclic ring system. The relative configuration of the HO–C(2) in (+)-1, flanked by two methylene groups, was confirmed by 1H-NMR spectroscopy. The large coupling constant of the geminal H-C(2) (1H, δ (ppm) = 3.71, t of t, J = 11; 3.5 Hz) showed, in fact, that this proton is axial (Figure 4). As a consequence, the geminal HO–C(2) was set equatorial.
Figure 4.
Vicinal coupling of H–C(2) in (+)-stemodin (1) [1].
The (+)-stemodinone (2) absolute configuration was attributed on the basis of its positive ORD Cotton effect. From it followed that of (+)-stemodin (1).
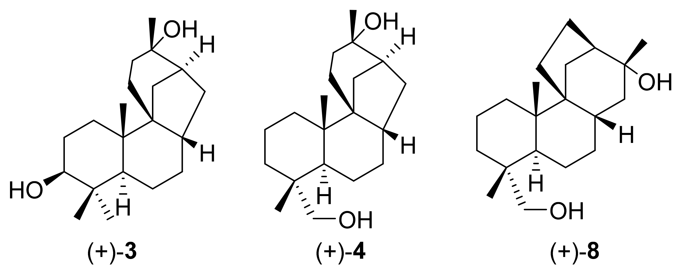
A few years later, in 1976, N.J. Doorenbos (University of Mississippi), reported, in collaboration with C.D. Hufford and R.O. Guerrero, the isolation from the aboveground portion of S. maritima, collected in the Caribbean island of Curaçao, along with (+)-1 and (+)-2, of (+)-maritimol (3) and what was supposed to be (+)-stemodinol (4) [2] (vide infra).
The structure of (+)-3 was deduced by means of chemical work (highlighted below), IR and 1H-NMR.
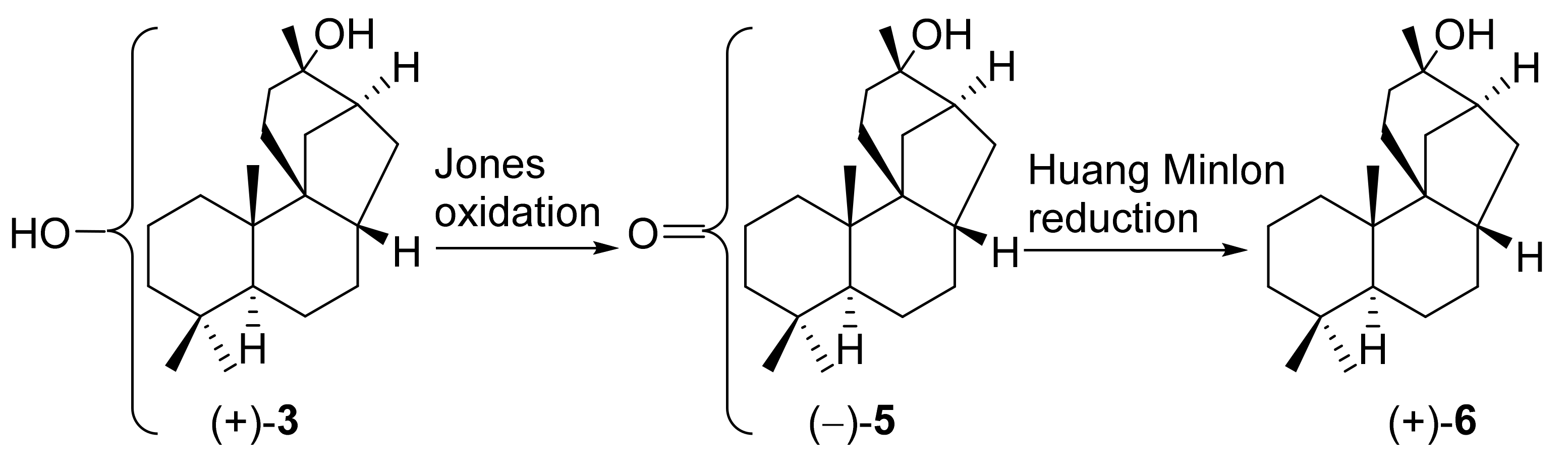
Thus, (+)-3, the molecular formula, IR and 1H-NMR, of which revealed the absence of unsaturations and the presence of four cycles and two hydroxyls, was oxidized to (−)-5 and the latter deoxygenated by the Huang–Minlon procedure to give known (+)-2-deoxystemodinone (6) [1], thus confirming the stemodane skeleton (Figure 1), the C–(13) substitution and the presence of a secondary hydroxyl (Scheme 1).
Scheme 1.
Chemical work for the establishment of (+)-maritimol (3) structure [2].
The location of the secondary hydroxy group followed the observation that (−)-5 could be converted into an α,β-unsaturated ketone. It followed that the carbonyl should have been located at C(1) or at C(3). No other location of the carbonyl group could have accommodated such unsaturated functions (5c or 5d) within the molecule (Figure 5).
Figure 5.
Chemical work for the establishment of (+)-maritimol (3) structure [2].
Applying the octant rule to the corresponding saturated ketones 5a and 5b, it was possible to eliminate the location of the carbonyl function at C(1). In fact, for a carbonyl at C(1), the Cotton effect would have been positive, while for a carbonyl at C(3) it would have been negative. The recorded Cotton effect for (−)-5 was negative. The secondary hydroxy group was therefore placed at C(3). The stereochemistry of the HO–C(3) was established β (equatorial) in view of the large geminal H–C(3) coupling constant (1H, dd, J = 11; 5 Hz), indicating that the latter proton was axial (Figure 4). On these grounds, the (+)-maritimol structure (+)-3 (Figure 6 and Figure 7) was therefore attributed [2].
Figure 6.
Vicinal coupling of H–C(3) in (+)-maritimol (3) [2].
Figure 7.
(+)-Maritimol (3), (+)-stemodinol (4) and (+)-stemarin (8).
The same group then addressed the structure elucidation work of what was supposed to be (+)-stemodinol (4). The investigation on this new diterpenoid (m.p. 182–183 °C, [α]d = +13.8) was carried out by means of chemical work (highlighted below, Scheme 2), IR and 1H-NMR. The 1H-NMR spectra revealed the presence of a primary alcohol function that was located at C(18) on the basis of a detailed 1H-NMR analysis. In order to confirm the stemodane skeleton, (+)-4 was oxidized to 7 ([α]D not reported as in all cases where the rotation sign is not given) and the latter deoxygenated by the Huang–Minlon procedure to (+)-6. This resulting material was “identical in all respects” with (+)-2-deoxystemodinone (6), previously obtained from (+)-2 and (+)-3 (vide supra), thus confirming the stemodane skeleton and the HO–C(13). Unfortunately, the comparison was misleading. Some years later (vide infra), it was, in fact, demonstrated that the structure (+)-4 had been erroneously attributed to (+)-stemodinol and that the true structure of the latter was that of (+)-stemarin (8) (m.p. 183–184 °C, [α]d = +17.8), a structural diastereoisomer with a new and unique skeleton, the isolation from S. maritima and structure elucidation of which had been reported by Manchand and Blount in 1975. The paper [2] by Doorenbos and colleagues was submitted to the J. Pharm. Sci. at the end of March 1975 and was accepted for publication on Feb. 1976. On Aug. 1975, Manchand and colleagues submitted the paper to J. C. S. Chem. Commun. [3], and published in the same year, in which the isolation, X-ray structure and absolute configuration determination of (+)-stemarin (8), “a diterpene with a new skeleton” isolated, along with (+)-2-deoxystemodinone (6), from S. maritima was described. [3] (Figure 7).
Scheme 2.
Chemical work for the establishment of (+)-stemodinol (4) structure [2].
Some years later, in 1982, R.B. Kelly (University of New Brunswick, St. John, N.B.) and colleagues, who had previously described the total synthesis of (±)-stemarin (8) (vide infra), and Manchand, in the frame of their work on stemodane diterpenes, described the preparation of (±)-stemodinol (4). The comparison of the synthetic compound with the nominal identical compound isolated by Doorenbos and colleagues [2] showed the two materials were not the same. On the contrary, the comparison with an authentic sample of (+)-stemarin (8) showed its identity with the latter [4,5].
We decided to highlight the above work because it nicely represents the structure elucidation of new and complex natural products, such as stemodane diterpenoids, by the tools available in the middle of the seventies.
As will be reported in the sequel, also (+)-stemodinol (4) was eventually isolated from S. maritima. Its structure was established by HR-ESI-MS and 2D-NMR [6].
In 1988, Hufford reported the complete 1H- and 13C-NMR assignments for (+)-1, (+)-2 and (+)-3 [7]. Some years later, in 1991, J.A. Garbarino and colleagues (Universidad Técnica Federico Santa Maria, Valparaiso) reported the isolation from the fresh aerial parts of Stemodia chilensis Benth., a plant that grows in humid places in littoral Central Chile, of (+)-2-deoxystemodinone (6) [8]. From the same plant, the Valparaiso group obtained also stemodane diterpenoids 9–12 [8] (Figure 8) the structures of which were established by 1H-NMR and 13C-NMR.
Figure 8.
S. maritima stemodane diterpenoids 9–18.
The proposed structure for (+)-9 [8] was later confirmed by our group with a synthesis (vide infra) from (+)-podocarpic acid and a key-intermediate X-ray structure determination [9].
In 1992, Hufford also described the isolation of (+)-maristeminol (13), and (+)-stemodinoside A (14), (+)-stemodinoside B (15) and (+)-stemodinoside C (16) from S. maritima [10]. The structure of (+)-13 was established by LC/MS and by comparison of the 1H-NMR and 13C-NMR spectra with those of (+)-stemodin (1) and congeners previously reported [7]. In all compounds, the sugar moiety resulted, attached to the HO–C(13). Acid hydrolysis indicated that the aglycone moiety is in all cases constituted by (+)-stemodin (1). The sugar moiety in (+)-stemodinoside A (14) is constituted by arabinose, while that of (+)-stemodinoside B (15) is constituted by glucose. Finally, the sugar moiety in (+)-stemodinoside C (16) is 6′-acetyl glucose. The acetate group was located at C-6′ on the basis of the 1H- and 13C-NMR H–C(6′) shifts as compared with those of (+)-15. Mild basic hydrolysis of (+)-stemodinoside B (16) gave (+)-stemodinoside A (15). The authors did not establish the absolute configurations of the sugar moieties. Nevertheless, they hypothesized that they could be l-arabinose and d-glucose, the naturally occurring forms in most plants. Furthermore, since in both glycosides the anomeric proton resonates as a doublet (J ≅ 7 Hz) the authors hypothesized that (+)-stemodinoside A (14) is an α-l-arabinoside, while (+)-stemodinoside B (15) and (+)-stemodinoside C (16) are β-d-glucosides [10]. The isolation of (+)-maristeminol (13) from Homalomena occulta (Lour.) Schott was also reported in 2007 by S.-D. Luo and colleagues (State Key Laboratory of Phytochemistry and Plant Resources in West China) [11]. The structure of (+)-13 was established by comparison of its physicochemical, NMR and MS data with those reported in the literature [10].
Later, in the frame of their work on stemodane diterpenoids, P.B. Reese (University of West Indies, Mona) and colleagues isolated a new compound from S. maritima (−)-stemodinoside D (stemodin-α-l-arabinofuranoside) (17). Its structure was established by HRMS(EI) and 2D-NMR [12]. Furthermore, in 2010, Arriaga and colleagues (Universidad Federal do Ceará) isolated stemodin 1 from the leaves of S. maritima collected in the Ceará coast in the northeast region of Brazil [13]. Its structure was established by EIMS, IR, 1H-NMR and 13C-NMR. The specific rotation was not reported. Later, in 2014, the above Brazilian group described the isolation of stemodinol (4), stemodin (1) and stemodinoside B from S. maritima (15) [6]. This was the first report about the isolation of (+)-stemodinol (4) from natural sources. The structures of 4, 1 and 15 were elucidated by means of HR-ESI-MS, 1H-, 13C-NMR and 2D-NMR. In this case, the specific rotations were also not reported. Finally, in 2018 Fu and colleagues (Hainan Normal University and Chinese Academy of Sciences) described the isolation from the stems and leaves of Trigonostemon heterophyllus Merr., among other products, of (+)-trigoheterone A (18), a new stemodane diterpenoid. The structure of the latter was established on the basis of extensive spectral analyses [14] (Table 1).
Table 1.
Summary table for compounds isolated from S. maritima, S. chilensis, Homalomena occulta, Trigonostemon heterophyllus (n.r. = not reported; n.a.E. = not available in English).
3. Biogenesis
The probable biogenesis of stemodane diterpenes and diterpenoids is outlined in Scheme 3. The initial cyclization of syn-copalyldiphosphate (syn-CPP) (I) by re-face attack on C(13) leads to the isopimarenyl carbonium ion intermediate II [15], which undergoes a C(9) → C (8) 1,2-hydride shift from the β face. The resulting C(9) carbonium ion intermediate III cyclizes to the bicyclo[2.2.2]octane carbonium ion intermediate IV, which rearranges (migration of the C(13)–C(14) bond through the bottom face, red arrow) to form the stemodanyl carbonium ion intermediate V. Deprotonation of the latter affords (+)-stemod-12-ene (19) while hydration gives (+)-2-deoxystemodin (6) [16,17].
Scheme 3.
Hypothesized biogenesis of stemodane and stemarane diterpenes and diterpenoids.
The bicyclo[2.2.2]octane carbonium ion intermediate III may also evolve in a different way (blue arrow): migration of the C(13)–C(15) bond through the upper face leads to the stemaranyl carbonium ion intermediate VI. Deprotonation of the latter affords (+)-stemar-13-ene (20) while hydration gives (+)-18-deoxystemarin (21) [16,17].
It is noteworthy that stemodane and stemarane diterpenes and related diterpenoids were both isolated from S. maritima [1,3] (vide supra). The obtaining of a bicyclo[3.2.1]octane system from a bicyclo[2.2.2]octane intermediate was proposed independently in 1956 by Z. Valenta and K. Wiesner (University of New Brunswick, Fredericton N.B) [18,19] and R.C. Cookson and M.E. Trevett (Birkbeck College, London) [20] for the Aconitum L. diterpene alkaloids biogenesis.
Later, Wiesner and his group exploited this rearrangement for the synthesis of several diterpene alkaloids whose C/D ring system is constituted by a bicyclo[3.2.1]octane system [21,22,23,24,25,26,27,28]. This goal was achieved by locating, in a substituted bicyclo[2.2.2]octane system, at a specific position, a suitably configurated leaving group the departure of which promoted the migration of the antiperiplanar C–C bond. Remarkable examples of such specificity were reported in the past in the frame of biogenetic syntheses of stemodane [4,5,9,29,30,31,32,33], aphidicolane [30,31,34,35,36,37,38] and stemarane [39,40,41,42,43,44], diterpenes and diterpenoids. As can be seen (Scheme 4), the bonds indicated by a green arrow migrate in one case (entry a) through the lower face of the molecule, while in entry b, the same bond migrates through the lower face owing to the different location of the leaving group. From entry c in Scheme 4, it can also be appreciated (entry c vs. a) how a different orientation of the leaving group induces the migration of a different C–C bond.
Scheme 4.
Stereospecificity of bicyclo[2.2.2]octane → bicyclo[3.2.1]octane rearrangements.
The mechanistic aspects of the bicyclo[2.2.2]octane → bicyclo[3.2.1]octane rearrangement have also been studied on simpler systems by H.M. Walborsky, M.E. Baum and A.A. Youssef (Florida State University, Tallahassee) [45], H.L. Goering and colleagues (University of Wisconsin, Madison) [46,47,48] and Kraus and colleagues (Tübingen University) [49]. They also observed that the nucleophilic group attacks the intermediate carbonium ion in such a way that the incoming nucleophile results afterward as exo configurated to the bicyclo[3.2.1]octane two C-bridge.
Having observed that in diterpenoids, whose C/D ring system is constituted by a bicyclo[3.2.1]octane moiety, the HO group at the former bridge-head C-atom is always exo configurated with respect to the two C-atom bridge and in view of the above-quoted Walborsky and Goering work [45,46,47,48], a biogenetic synthesis of (±)-2-deoxystemodinone (6), in which the desired (natural) substitution at C(13) was obtained in a 7:1 ratio over the C(13) epimer, was achieved in the past by our group [33].
These types of rearrangements have also been recently the object of a quantum chemistry investigation by Y.J. Hong and D.J. Tantillo (University of California-Davis) [50]. Their work clarified the mechanisms of formation from syn-CPP of stemodane diterpenes and related diterpenes. The complex network of reaction pathways involving concerted but asynchronous dyotropic and triple shift rearrangements was disclosed.
4. Biosynthesis
Differently from structurally related tetracyclic diterpenoid (+)-aphidicolin (28), an antimitotic and antiviral metabolite produced by the fungus Cephalosporium aphidicola Petch [51,52], whose biosynthesis was investigated by radioisotope and 13C-NMR methods, revealing the origin of the carbon skeleton [53] and by incorporation of labelled intermediates [54], to our knowledge, similar studies were not carried out for stemodane diterpenes and diterpenoids.
Nevertheless, the synthases responsible for their biosynthesis, which occurs in plastids, were investigated. As known, diterpene synthases are encoded by nuclear genes, which are imported into the plastids after being synthesized in the cytoplasm thanks to cleavable N-terminal transit peptides [55,56]. Geranylgeranyl diphosphate (GGPP) (VII) is the precursor of diterpenes and diterpenoids in their biosynthesis. By means of this linear 20-carbon isoprenyldiphosphate precursor, diterpene synthases generate diterpenes through a series of electrophilic cyclizations and/or rearrangements, starting with a carbocation formation and often ending by deprotonation [56].
GGPP (VII) is converted into syn-CPP (I) by class II terpenoid cyclases (Scheme 5). Several class I terpenoid cyclases are responsible for the further cyclization of CPP stereoisomers. Ent-kaurene synthase-like 8 and 11 (OsKSL8 and OsKSL11) are closely related (88.6% amino acid identity) as well as their encoding genes (92.0% nucleotide identity) [57]. Both enzymes are syn-CPP specific (Scheme 5). Unlike other OsKSL that produce only a single diterpene, OsKSL8 is able to generate two different diterpenes from syn-CPP, namely (+)-stemod-12-ene (19) (~20%) and (+)-stemar-13-ene (20) (~70%). The enzymatic product of OsKSL11 is represented, on the contrary, almost entirely by stemod-13(17)-ene (31) [58]. The gene encoding for OsKSL11 has been first discovered in 2006 by R.J. Peters (Iowa State University), R.M. Coates (University of Illinois, Urbana) and colleagues in rice (Oryza sativa) [58]. Functional characterization of OsKSL11 showed that it was a syn-CPP specific exo-stemodene synthase (Scheme 5). This finding was surprising, first because the OsKSL11 sequence was not present in the rice genome database, then because stemodane type diterpenoids had not been yet identified in rice [58]. Even today, despite extensive phytochemical investigations, such compounds have not been identified in Oryza species. It should be noted that almost all of these studies focused on leaf phytoalexins. The Authors hypothesized that rice stemodane diterpenes could be produced and accumulated in other organs and/or in response to different stimuli (e.g., viral infections). Genes and enzymes involved in the biosynthesis of stemodane diterpenes and diterpenoids have not yet been identified so far in Stemodia species.
Scheme 5.
Proposed biosynthetic pathways for stemodane and stemarane diterpenoids in Oryza sativa L. (rice). OsCPS4, syn-copalyl diphosphate synthase; OsKSL8, ent-kaurene synthase-like 8; OsKSL11, ent-kaurene synthase-like 11.
5. Biological Activity
As reported by D.F. Austin (University of Arizona), in the folk medicine of the Dutch Antilles, an infusion of leafy branches of sea-lavender (Lavandula) and S. maritima, mixed with Epsom salts, is used by men against venereal diseases [59]. Plants of Calceolaria genus are used in Central and South America popular medicine as stomach tonics, bactericidal agents and sweeteners [60]. In the frame of a study on plants toxic to ruminants and equine in Rio Grande do Norte western and eastern Seridó, Riet-Correa and co-workers (Universidade Federal de Campina Grande, PB) reported that some farmers consider S. maritima (melosa), which grows in areas rich of mineral salts, toxic and responsible, inter alia, of aborts. Nevertheless, the Authors report that S. maritima has not been described as toxic, nor have experiments proven its toxicity [61].
Essential oils obtained by the Arriaga group from S. maritima leaves and stems, collected in the state of Ceará, showed larvicidal properties against the Aedes aegypti mosquito larvae, responsible for the transmission of yellow fever in Central and South America and in West Africa and a vector of dengue hemorrhagic fever [62]. However, the main compounds obtained by hydrodistillation from leaves and stems were β-caryophyllene, 14-hydroxy-9-epi-β-caryophyllene and caryophyllene oxide. This biological activity cannot, therefore, be attributed to the stemodane diterpenes.
Besides, in 2017, the University of Ceará group, headed in this case by M.M. Bezerra, also observed that S. maritima extracts decreased inflammation, oxidative stress and alveolar bone loss in an experimental periodontitis rat model. In the frame of this work “no signs of systemic illness, adverse pharmacological events or changes in behavior were observed throughout the experimental period” [63].
Recently a phytochemical analysis and the gastro-protective effects of S. maritima hexane extract were also described [64].
Evaluations of pure stemodane diterpenoids were also made. Because of the structural similarity to (+)-aphidicolin (28) [51,52] in 1992, Hufford and colleagues tested for HSV-1 activity the diterpenes (+)-1, (+)-13, (+)-14, (+)-15 and (+)-16 [10]. “The antiviral activities ranged from 30–200 mg/mL with a maximum of 77% plaque reduction for stemodinoside B (15)” [10]. Compound (+)-13 [10,11] was also tested, among other compounds, by Luo and colleagues [11] for its antibacterial properties against Shigella flexneri, S. dysenteriae, S. sonnei, Mycobacterium tuberculosis, α-hemolytic Streptococcus, and Streptococcus pneumoniae by means of the dose-dependent paper-disk diffusion method. The results are collected in Table 2 relative to rifampicin as a positive control.
Table 2.
Antibacterial Activities of (+)-13 towards different bacterial strains. All values were determined by the paper-disk method and are expressed in terms of minimal inhibitory amount (MIA; in μg/disk) [11].
From the results above reported, it appears that (+)-13 is only weakly active against S. sonnei, M. tuberculosis, α-hemolytic Streptococcus and S. pneumoniae.
In 2014, Arriaga and colleagues evaluated the antioxidant power of (+)-stemodin (1) but found no activity in this respect [6]. The same Brazilian group also evaluated the MIC of (+)-stemodin (1) and (+)-stemodinoside B (15) (Table 3) against a number of bacteria. The best results were obtained with (+)-stemodinoside B (15) against Klebsiella pneumoniae and Listeria monocytogenes [6].
Table 3.
Values of the minimal inhibitory concentration (MIC) (μg/mL) of (+)-stemodin (1) and (+)-stemodinoside B (15) [6]. ND = not determined.
Finally, the Fu lead group evaluated the cytotoxicity of (+)-trigoheterone A (18) against five cancer cell lines (HL-60, SMMC-7721, A549, MCF-7 and SW480). As a result, (+)-18 exhibited significant inhibitory effects with half-maximal inhibitory concentration (IC50) values comparable to those of cisplatin (Table 4) [14].
Table 4.
Values of IC50/μmol. L−1of (+)-trigoheterone A (18) [14].
The use of plants producing stemodane diterpenes and diterpenoids in folk medicine as remedies in the treatment of several disorders is well documented [59,60]. Recent studies, even on animal models, have confirmed interesting biological activities of extracts from stemodane diterpene-producing plants such as Calceolaria spp. and S. maritima [61,62,63,64]. The antimicrobial activity of individual compounds such as (+)-stemodinoside B (15) was also quantified by in vitro tests [6]. The biological activity of some stemodane diterpenoids was examined in various respects: (+)-stemodinoside B (15) showed antiviral activity with a maximum of 77% plaque reduction [10]; (+)-maristeminol (13) was found to be weakly active towards some bacterial strains [11]; the antioxidant power of (+)-stemodin (1) was evaluated, but no activity was recorded [6]; the MIC of (+)-stemodin (1) and (+)-stemodinoside B (15) was evaluated against a number of bacterial strains: the best results were displayed by (+)-15 against Klebsiella pneumoniae and Listeria monocytogenes [6]; finally, the cytotoxicity of (+)-trigoheterone A (18) against some cancer cell lines was tested resulting in significant inhibitory effects with IC50 values comparable to those of cis-platin [14].
6. Biotransformations
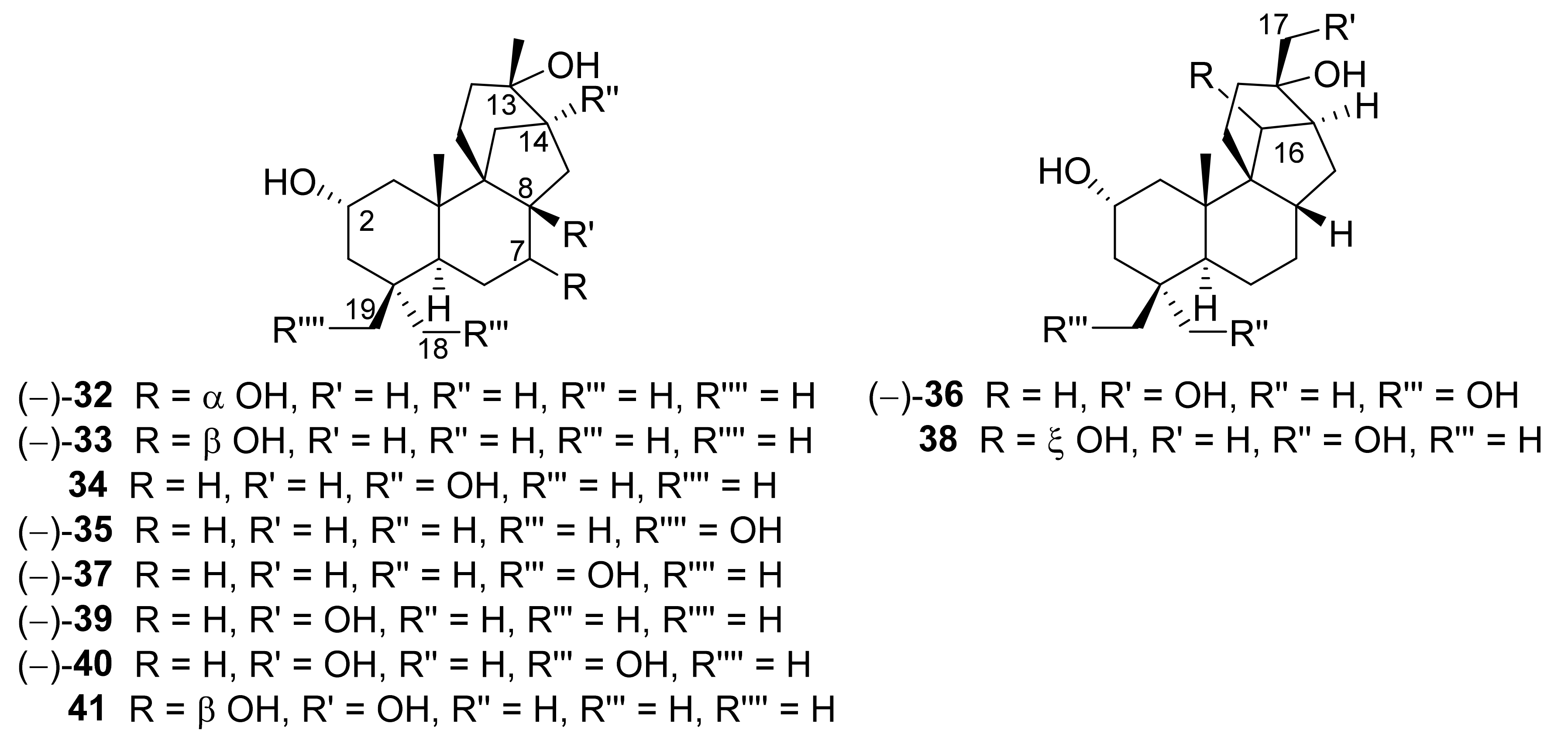
Aiming to produce new compounds, the obtaining of which by synthesis would have been too laborious, and to evaluate their biological activity, various research groups got involved in the biotransformation of stemodane diterpenoids. The work in this field of stemodane diterpenes biotransformations was pioneered by F.A. Badria and C.D. Hufford [65], who in 1991 screened a large number of microorganisms for their ability to transform (+)-stemodin (1). Among those Cunninghamella echinulata ATCC 9244 and Polyangium cellulosum ATCC 29610 were selected for preparative scale biotransformation because they could convert completely (+)-stemodin (1). The major metabolites were (−)-7α-hydroxystemodin (32), (−)-7β-hydroxystemodin (33), 14α-hydroxystemodin (34), (−)-19-hydroxystemodin (35) and (−)-17,19-dihydroxystemodin (36) (Table 5, entries 1, 2; Figure 9). Their identification was performed mainly by 2D-NMR.
Figure 9.
Stemodane diterpenoids biotransformation metabolites.
The same Authors, in collaboration with W.T. Shier and M. Abou-Karam (University of Minnesota) and R.D. Rogers (Northern Illinois University) continued the above investigation screening more microorganisms and selecting Rhizopus arrhizus ATCC 11145 and Streptomyces sp. NRRL 5691 for preparative scale transformation because no (+)-stemodin (1) was detected in the fermentation broths [66]. The major metabolites formed were (−)-32, (−)-33 ([α]d in pyridine), (−)-18-hydroxystemodin (37), 16ξ,18-dihydroxystemodin (38), (−)-8β-hydroxystemodin (39), (−)-8β,18-dihydroxystemodin (40) and 7β,8β-dihydroxystemodin (41) (Table 5, entries 3, 4). Their identification was performed by 2D NMR and X-ray techniques. Metabolites (−)-32, (−)-33, 34, (−)-35, (−)-36, (−)-37, 38, (−)-39, (−)-40 and 41 (Figure 9) were then tested to evaluate their antiviral and cytotoxic activity (vide infra).
In 1994, P.B. Reese and M.R. Wilson (University of West Indies, Mona), in collaboration with J.R. Hanson and J.A. Takahashi (School of Molecular Sciences, University of Sussex), described the results of the incubation of (+)-stemodin (1) and (+)-stemodinone (2) with Cephalosporium aphidicola to afford (−)-7α-hydroxystemodin (32), (−)-7β-hydroxystemodin (33), (−)-19-hydroxystemodin (35), (−)-18-hydroxystemodin (37), (−)-8β-hydroxystemodin (39) (Figure 9), 18-hydroxystemodinone (42) and 16ξ-hydroxystemodinone (43), respectively (see page 17, Table 5, entries 5, 6; Figure 10) [67]. The structures of (−)-32, (−)-33, (−)-35, (−)-37, 42 and 43 were elucidated by means of IR, 1H- and 13C-NMR. Metabolites structures were established by Reese and colleagues by spectroscopic techniques also in the following studies.
Figure 10.
Stemodane diterpenoids biotransformation metabolites.
Extensive work in the area of stemodane diterpenoids biotransformations was then continued in the following years by Reese and his group. In 2001, the hydroxylation at C(18) of (+)-stemodin (1) (Table 5, entry 7) and (+)-stemodinone (2) (Table 5, entry 8) by the action of Beauveria bassiana ATCC 7159, to give (−)-18-hydroxystemodin (37) and (+)-18-hydroxystemodinone (42) respectively was reported [68]. A number of derivatives of (+)-stemodin (1) were also prepared and incubated with cultures of B. bassiana.
Interestingly, (+)-2α-dimethylcarbamoxy-13-hydroxystemodane (44) was transformed by the microorganism into the (+)-7β-hydroxylated derivative 45 (Figure 10).
The Reese group also reported that, by the action of Aspergillus niger ATCC 9142, (+)-1 is converted into metabolites (+)-maristeminol (13), (−)-7β-hydroxystemodin (33), 16β-hydroxystemodin (46), while (+)-stemodinone (2) was transformed into (+)-18-hydroxystemodinone (42) and (−)-16β-hydroxystemodinone (47) (see page 17, Table 5, entries 10, 11; Figure 10) [69].
Hypotheses about the hydroxylation of the above compounds by the involved enzymes in relation to the binding sites are also proposed [69].
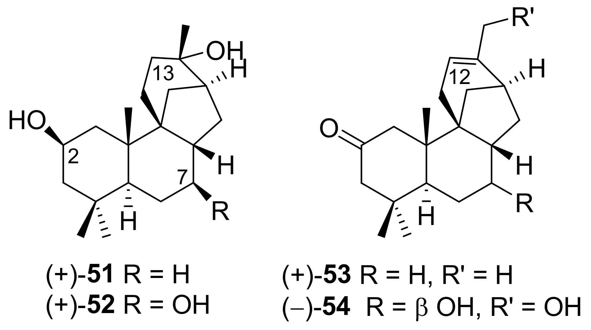
Later, Reese and his group reported, in collaboration with W.F. Reynolds (University of Toronto), the incubation of (+)-1 with Rhizopus oryzae ATCC 11145, which gave (+)-7β-hydroxystemodin (33) ([α]d in MeOH) and (−)-3β,16α-dihydroxystemodin (48) while the incubation of (+)-2 gave (+)-6α-hydroxystemodinone (49) [12] (Figure 11).
Figure 11.
Stemodane diterpenoids biotransformation metabolites.
The bioconversion of (+)-2-epi-stemodin (51), obtained from (+)-2 by NaBH4 reduction, gave (+)-2β,7β,13(S)—trihydroxystemodane (52) while the incubation of (+)-stemoden-12-en-2-one (53), obtained from (+)-1 through a series of steps, gave (−)-7β,17-dihydroxystemod-12-en-2-one (54) [12] (Figure 12).
Figure 12.
Stemodane diterpenoids biotransformation metabolites.
In order to investigate the importance of the C-2 and C-13 oxygen functions in the transformation of stemodin analogues by Rhizopus oryzae ATCC 11145, the same authors incubated with this microorganism a number of non-natural (+)-stemodin (1) derivatives epimeric at C(2) and/or C(13) and (+)-stemodinone (2) derivatives epimeric at C(13) [70].
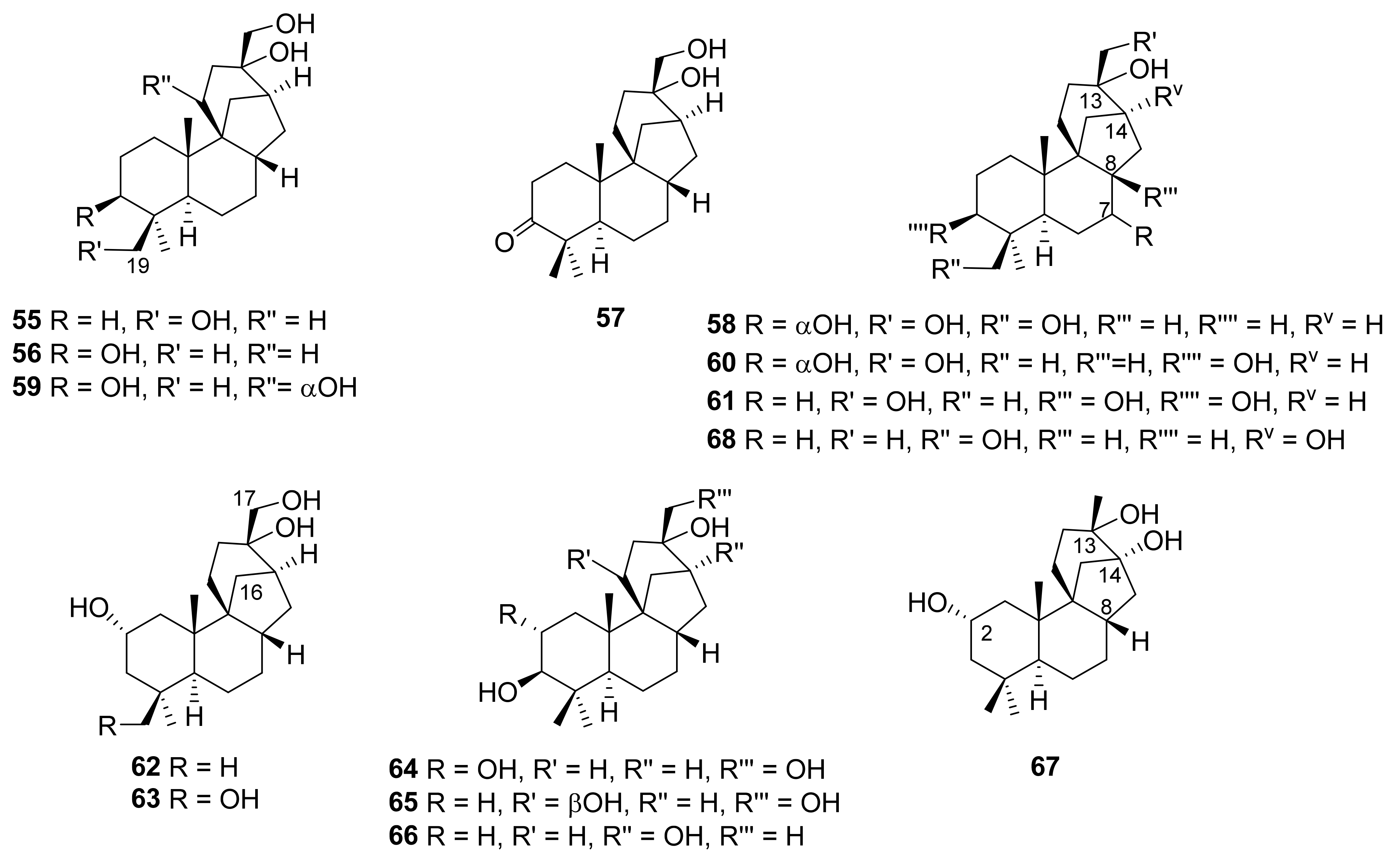
In 2004, B. M. Fraga (Instituto de Productos Naturales y Agrobiología, CSIC, La Laguna, Tenerife) and his group reported, in collaboration with R. Guillermo (Instituto Universitario de Bio-Orgánica “A. Gonzales”, Universidad de La Laguna, Tenerife) and the Garbarino group, the microbiological transformation of (+)-13α,17-dihydroxystemodane (12) by the action of the fungus Mucor plumbeus (Table 5, entries 16,17) to give 13α,17,19-trihydroxystemodane (55), 3β,13α,17-trihydroxystemodane (56), 3-oxo-13α,17-dihydroxy-stemodane (57), 7α,13α,17,19-tetrahydroxystemodane (58), 3β,11α,13α,17-tetrahydroxystemodane (59), 3β,7α,13α,17-tetrahydroxystemodane (60), 3β,8β,13α,17-tetrahydroxystemodane (61), 2α,13α,17-trihydroxystemodane (62), 2α,13α,17,19-tetrahydroxystemodane (63) 2α,3β,13α,17-tetrahydroxystemodane (64) and 3β,11β,13α,17-tetrahydroxystemodane (65) [71,72] (Figure 13).
Figure 13.
Stemodane diterpenoids biotransformation metabolites.
The incubation of (−)-13α,14-dihydroxystemodane (11) gave 3β,13α,14-trihydroxystemodane (66), 2α,13α,14-trihydroxystemodane (67) and 13α,14,19-trihydroxystemodane (68) (Figure 13).
The regio- and stereochemistry of the hydroxylation was also discussed.
The structures of the above metabolites and those obtained in the following studies by the group were established by HRMS and 1H- and 13C-NMR [71,72].
In 2005, Reese and his group reported, in collaboration with Reynolds, the results obtained incubating (+)-stemodin (1) and (+)-stemodinone (2) with Mucor plumbeus ATCC 4740 (Table 5, entries 18, 19) [73]. The isolated metabolites obtained from (+)-1 were 6β-hydroxystemodin (69), (+)-maristeminol (13), (−)-11β-hydroxystemodin (70) and (+)-14-hydroxystemodin (34), while (+)-2 gave (+)-6α-hydroxystemodinone (49) and (+)-6α,12α-hydroxystemodinone (71). The biotransformations by Whetzelinia sclerotiorum ATCC 18687 of (+)-stemodin 1 into 7β-hydroxystemodin (33) and (−)-11β-hydroxystemodin (70) and that of (+)-stemodinone (2) into (+)-7β-hydroxystemodinone (50) (Figure 11) were also reported (Table 5, entries 20, 21) [73].
The same authors reported the bioconversion of (+)-stemodin (1) by Cunninghamella echinulata var. elegans (Table 5, entries 22, 23, 24) into (−)-7α-hydroxystemodin (32), (−)-7β-hydroxystemodin (33) and (+)-maristeminol (13) [74]. (+)-2α-(N,N-dimethylcarbamoxy)-13-hydroxystemodane (44) gave (−)-2α-(N,N-dimethylcarbamoxy)-6α,13-dihydroxystemodane (72) and (+)-2α-(N,N-dimethylcarbamoxy)-7α,13-dihydroxystemodane (73). The same microorganism converted (+)-stemodinone (2) into (+)-14-hydroxystemodinone (74) (Figure 14) and (+)-7β-hydroxystemodinone (50) (Figure 11).
Figure 14.
Stemodane diterpenoids biotransformation metabolites.
By the action of Phanerochaete chrysosporium (Table 5, entries 25, 26, 27) (+)-stemodin (1) was transformed into (−)-7β-hydroxystemodin (33), (+)-maristeminol (13) and (−)-11β-hydroxystemodin (70) while (+)-stemodinone (2) was converted into 18-hydroxystemodinone (42) [67,74] (Figure 14).
In 2012, Fraga and his group reported, in collaboration with Guillermo, Garbarino and M. C. Chamy (Universidad Andrés Bello, Viña del Mar) the biotransformation of 13α,17-trihydroxystemodane (12) by the action of the fungus Cephalosporium aphidicola (Table 5, entry 28) to give 13α,17,18-trihydroxystemodane (75), 3β,13α,17-trihydroxystemodane (56), 13α,17-dihydroxystemodan-18-oic acid (76), 3β,11β,13α,17-tetrahydroxystemodane (65), 11β,13α,17,18-tetrahydroxystemodane (77) and 3β,13α,17,18-tetrahydroxystemodane (78) [75] (Figure 15).
Figure 15.
Stemodane diterpenoids biotransformation metabolites.
Hypotheses on xenobiotic biotransformations vs. biosynthetically-directed transformations in relation to the hydroxylated sites and the role of nearby hydroxyls were also put forward.
Finally, very interesting observations were made by Reese and his group in collaboration with Reynolds. It was found that the incubation of (+)-stemodin (1) with Cyathus africanus leads, though in low yield, to (+)-stemodinone (2), while that of (+)-stemodinone (2) leads to (+)-stemodin (1) [76] (Scheme 6).
Scheme 6.
Incubation of (+)-stemodin (1) and (+)-stemodinone (2) with Cyathus africanus.
In order to avoid the redox process and to have better substrates for hydroxylation, (+)-stemodinone (2) was deoxygenated to (+)-2-deoxystemodinone (6) and later dehydrated to (19). It was then found that (+)-6 did not produce any metabolites by the action of the fungus, while (+)-12-stemodene (19), under the same conditions, the biotransformation by the fungus Cyathus africanus wass carried out, was not only oxidized at C(2) but the skeleton was rearranged to the stemarene one giving (+)-2-oxo-13-stemarene (79) [76] (Scheme 7). Nevertheless, the yield of this process was very low (1%).
Scheme 7.
Conversion of (+)-12-stemodene (19) into (+)-2-oxo-13-stemarene (79) by the fungus Cyathus africanus [76].
Table 5.
Metabolites obtained by the action of various microorganisms on stemodane diterpenoids and derivatives.
Table 5.
Metabolites obtained by the action of various microorganisms on stemodane diterpenoids and derivatives.
| Entry | Starting Material | Microorganism | Metabolites | Reference/Year |
|---|---|---|---|---|
| 1 | (+)-1 | Cunninghamella echinulata | (−)-32 (−)-33 34 | [65]/1991 |
| 2 | (+)-1 | Polyangium cellulosum | (−)-35 (−)-36 | [65]/1991 |
| 3 | (+)-1 | Rhizopus arrhizus ATCC 11145 | (−)-32 (−)-33 (−)-37 38 | [66]/1991 |
| 4 | (+)-1 | Streptomyces sp. NRRL 5691 | (−)-39 (−)-40 41 | [66]/1991 |
| 5 | (+)-1 | Cephalosporium aphidicola | (−)-32 (−)-33 (−)-35 (−)-37 | [67]/1994 |
| 6 | (+)-2 | Cephalosporium aphidicola | 42 43 | [67]/1994 |
| 7 | (+)-1 | Beauveria bassiana ATCC 7159 | (−)-37 | [68]/2001 |
| 8 | (+)-2 | Beauveria bassiana ATCC 7159 | (+)-42 | [68]/2001 |
| 9 | (+)-44 | Beauveria bassiana ATCC 7159 | (+)-45 | [68]/2001 |
| 10 | (+)-1 | Aspergillus niger ATCC 9142 | (+)-13 (−)-33 46 | [69]/2002 |
| 11 | (+)-2 | Aspergillus niger ATCC 9142 | (+)-42 (−)-47 | [69]/2002 |
| 12 | (+)-1 | Rhizopus oryzae ATCC 11145 | (+)-33 (−)-48 | [12]/2004 |
| 13 | (+)-2 | Rhizopus oryzae ATCC 11145 | (+)-49 (+)-50 | [12]/2004 |
| 14 | (+)-51 | Rhizopus oryzae ATCC 11145 | (+)-52 | [12]/2004 |
| 15 | (+)-53 | Rhizopus oryzae ATCC 11145 | (−)-54 | [12]/2004 |
| 16 | (+)-12 | Mucor plumbeus | 55 56 57 58 59 60 61 62 63 64 65 | [72]/2004 |
| 17 | (−)-11 | Mucor plumbeus | 66 67 68 | [72]/2004 |
| 18 | (+)-1 | Mucor plumbeus | (+)-13 (+)-34 69 (−)-70 | [73]/2005 |
| 19 | (+)-2 | Mucor plumbeus | (+)-49 (+)-71 | [73]/2005 |
| 20 | (+)-1 | Whetzelinia sclerotiorum ATCC. 18687 | 33 (−)-70 | [73]/2005 |
| 21 | (+)-2 | Whetzelinia sclerotiorum ATCC. 18687 | (+)-50 | [73]/2005 |
| 22 | (+)-1 | Cunninghamella echinulata var. elegans | (+)-13 32 33 | [74]/2006 |
| 23 | (+)-44 | Cunninghamella echinulata var. elegans | (−)-72 (+)-73 | [74]/2006 |
| 24 | (+)-2 | Cunninghamella echinulata var. elegans | (+)-50 (+)-74 | [74]/2006 |
| 25 | (+)-1 | Phanerochaete chrysosporium | (+)-13 33 (−)-70 | [74]/2006 |
| 26 | (+)-44 | Phanerochaete chrysosporium | untransformed | [74]/2006 |
| 27 | (+)-2 | Phanerochaete chrysosporium | 42 | [74]/2006 |
| 28 | 12 | Cephalosporium aphidicola | 56 65 75 76 77 78 | [75]/2012 |
| 29 | (+)-1 | Cyathus africanus | (+)-2 | [76]/2012 |
| 30 | (+)-2 | Cyathus africanus | (+)-1 | [76]/2012 |
| 31 | (+)-6 | Cyathus africanus | no metabolites | [76]/2012 |
| 32 | (+)-19 | Cyathus africanus | (+)-79 | [76]/2012 |
From Table 5, it appears that the microorganisms tested are capable of hydroxylating all suitable C-atoms of the stemodane skeleton, but C(1), C(5), C(12), C(15) and C(20). It also appears that they hydroxylate more than a C-atom. Their regioselectivity is different; as an example, Cunninghamella echinulata hydroxylates (+)-stemodin (1) at C(7) and C(14) (entry 1) while Polyangium cellulosum at C(19) and C(17) (entry 2).
Beauveria bassiana ATCC 7159 represents an exception in that (+)-stemodin (1) and (+)-stemodinone (2) are regioselectively transformed in the corresponding 18-hydroxyderivatives 37 and 42, respectively (entry 7 and 8). Besides, the same microorganism transforms (+)-2α-dimethylcarbamoxy-13-hydroxystemodane (44) into the corresponding 7β-hydroxy derivative 45 (entry 9).
In recent years, numerous derivatives of stemodane diterpenes have been obtained by means of biotransformation and some of them have shown remarkable biological activities, highlighting their potential as active ingredients for pharmaceutical, agricultural and industrial applications. In our opinion, the research activity in this area is currently underdeveloped and it would be beneficial to improve efforts for the discovery of new molecules and for preclinical and clinical experimentation, mainly focusing on the development of new antiviral, antibacterial and anticancer drugs.
Biotransformations of some stemodane diterpenoids have been reviewed [77,78,79,80,81,82].
7. Stemodane Diterpenoid Metabolites and Derivatives Biological Activity
Metabolites 32–41, obtained as described above by microorganism transformation, were tested by Hufford and colleagues for antiviral and cytotoxicity activities using (+)-aphidicolin (28) as a positive control. The compounds were tested against Herpes simplex type 1 (HS-1). Each compound exhibits some cytotoxicity. Compound 39 had the highest activity being able to reduce the number of plaques by 93% at a concentration of 0.1 mg/mL. Compounds (−)-33, (−)-36, (−)-40 and 41 did not show any reduction in the number of plaques at the same concentration [66]. (+)-Stemodin (1) and several analogues exhibited weak antiviral activity (Table 6).
Table 6.
Results of antiviral/cytotoxicity testing [66].
Besides, the (+)-stemodin (1) analogues/derivatives (+)-80, (+)-81, (−)-82, (+)-83, (+)-84, (+)-85, (−)-86, (+)-87 and (+)-stemod-12-en-2-one (53) were prepared from (+)-stemodin (1). The structures of (+)-80, (+)-81, (−)-82, (+)-83, (+)-84, (+)-85, (−)-86 and (+)-87 were established by spectroscopic techniques. Single crystal X-ray analyses confirmed the proposed structures for (+)-81 and (−)-82.
Compounds (+)-80, (+)-81, (−)-82, (+)-83, (+)-84, (+)-85, (−)-86 and (+)-87, (+)-stemod-12-en-2-one (53) were tested, along with (+)-stemodin (1) and (+)-stemodinone (2) by Reese and colleagues to evaluate their lipid peroxidation (LPO) activity, cyclooxygenase enzyme-1 (COX-1) and -2 (COX-2) activity, and tumour cell proliferation inhibitory activity [83] (Figure 16).
Figure 16.
(+)-Stemodin (1) analogues and derivatives tested.
In the lipid peroxidation inhibitory assay (Figure 17) compounds analogues/derivatives (+)-83, (+)-84 and (+)-85 exhibited prominent activity while that of (+)-53, (+)-80 and (+)-87 was slightly superior to that of (+)-stemodin (1).
Figure 17.
Lipid peroxidation inhibitory activity of (+)-stemodin (1) analogues and positive controls, BHA, BHT and TBHQ. Compounds were tested at 25 μg/mL. Positive controls were tested at 10 μM [83].
The inhibition of dibrominated analogues (+)-80, (+)-81 and (−)-82 was higher than that of stemodin (1), while those of non-brominated derivatives (+)-84, (+)-85, (−)-86 and (+)-87 resulted in being lower. Besides, all derivatives showed higher COX-1 enzyme inhibition than COX-2 (Figure 18).
Figure 18.
Cyclooxygenase enzyme-1 and -2 inhibitory activities of (+)-stemodin (1) analogues. Compounds were tested at 25 μg/mL. Positive controls Aspirin and CelebrexTM were tested at 60 μM and 26 nM concentrations [83].
As it can be seen, only a few of the above compounds limited the growth of some human tumor cell lines. On the contrary, most of them induced proliferation of such cells (Figure 19) [83].
Figure 19.
(+)-Stemodin (1) analogues cell viability against human gastric (AGS), NCI-H460 (lung), MCF-7 (breast), HCT-116 (colon) and SF-268 (central nervous system, CNS) cancer cell lines. Compounds were tested at 25 μg/mL. Samples were prepared in DMSO (0.2%) supplemented with RPMI-1640 medium [83].
Thus, among metabolites 32–41, compound (−)-39 showed the highest cytotoxicity. Weak antiviral activity was displayed by (+)-stemodin (1) and (−)-32, 34, (−)-37 and (−)-39. As far as analogues/derivatives 80–87 are concerned, in the LPO three compounds showed prominent activity; besides all derivatives displayed higher COX-1 enzyme inhibition than COX-2; finally, only few of the latter compounds limited the growth of some human tumour cell lines while most of them induced the cell proliferation.
8. Rearrangements
Solvolytic rearrangement of (+)-stemodinone (2) gave (+)-13-epi-stemodinone (88) and the tetracyclic compounds (+)-89 and (−)-90 [84] (Scheme 8). A mechanistic hypothesis for the formation of (+)-(88), (+)-89 and (−)-90 was given.
Scheme 8.
Rearrangement of (+)-2 to (+)-88, (+)-89 and (−)-90 [84].
9. Conclusions
In this review, the work which involved various research groups for about forty-five years on stemodane diterpenes and diterpenoids structure elucidation, biogenesis, biosynthesis, biological activity and biotransformations is described.
The efforts which led to the structure elucidation of tetracyclic diterpenoids with a new skeleton, at a time in which 13C-NMR and advanced analytical techniques were not available yet, were described.
The probable biogenesis of stemodane diterpenes, as well as the work which allowed identification of the enzymes responsible for stemodane diterpenes biosynthesis was reviewed.
The biological activity of (+)-stemodin (1), congeners, metabolites and derivatives was also taken into account, as well as the biotransformations operated by a number of microorganisms, which permit to hydroxylate most of the stemodane nucleus C-atoms, allowing easier access, compared to total synthesis, to hydroxylated derivatives.
This class of structurally intriguing compounds was also the target of a large number of syntheses. Owing to the vastness of this aspect of stemodane diterpenoids chemistry, they will be considered at another time.
Funding
Financial support over the years for our work described in this review that came from the Italian National Research Council (CNR), the Public Education Ministry and the University of Rome “La Sapienza” is gratefully acknowledged.
Conflicts of Interest
The authors declare no conflict of interest.
References
- Manchand, P.S.; White, J.D.; Wright, H.; Clardy, J. Structures of Stemodin and Stemodinone. J. Am. Chem. Soc. 1973, 95, 2705–2706. [Google Scholar] [CrossRef]
- Hufford, C.D.; Guerrero, R.O.; Doorenbos, N.J. Two New Diterpenes from Stemodia maritima L. J. Pharm. Sci. 1976, 65, 778–780. [Google Scholar] [CrossRef] [PubMed]
- Manchand, P.S.; Blount, J.F. X-Ray Structure and Absolute Stereochemistry of Stemarin, a Diterpene with a New Skeleton. J. Chem. Soc. Chem. Commun. 1975, 21, 894–895. [Google Scholar] [CrossRef]
- Kelly, R.B.; Harley, M.L.; Alward, S.J.; Manchand, P.S. Total synthesis of racemic 2-desoxystemodinone and stemodinol; the identity of natural “stemodinol” with stemarin. Can. J. Chem. 1982, 60, 675–677. [Google Scholar] [CrossRef]
- Kelly, R.B.; Harley, M.L.; Alward, S.J.; Rej, R.N.; Gowda, G.; Mukhopadhyay, A.; Manchand, P.S. Total synthesis of the stemodane-type diterpenoids, (±)-2-desoxystemodinone, (+)-2-desoxystemodinone, and (±)-stemodinol. Can. J. Chem. 1983, 61, 269–275. [Google Scholar] [CrossRef]
- Da Silva, F.R.L.; Rodrigues, F.E.A.; Gomes, A.R.S.; Arriaga, A.M.C.; Mafezoli, J.; Lemos, T.L.G.; de Almeida, M.C.S.; Santiago, G.M.P.; Braz-Filho, R.; da Costa, J.G.M.; et al. Phytochemical Study, Antioxidant and Antibacterial Activities of Stemodia maritima. Quím. Nova 2014, 37, 1474–1478. [Google Scholar]
- Hufford, C.D. 1H- and 13C-NMR assignments for the Stemodia Diterpenes, Stemodin, Stemodinone, and Maritimol. J. Nat. Prod. 1988, 51, 367–369. [Google Scholar] [CrossRef]
- Chamy, M.C.; Piovano, M.; Garbarino, J.A.; Gambaro, V. Stemodane diterpenoids from Stemodia Chilensis. Phytochemistry 1991, 30, 1719–1721. [Google Scholar] [CrossRef]
- Leonelli, F.; Mostarda, A.; De Angelis, L.; Lamba, D.; Demitri, N.; La Bella, A.; Ceccacci, F.; Migneco, L.M.; Marini Bettolo, R. Proof of the Structure of the Stemodia chilensis Tetracyclic Diterpenoid (+)-19-Acetoxystemodan-12-ol by Synthesis from (+)-Podocarpic Acid: X-ray Structure Determination of a Key Intermediate. J. Nat. Prod. 2016, 79, 1155–1159. [Google Scholar] [CrossRef]
- Hufford, C.D.; Oguntimein, B.O.; Muhammad, I. New Stemodane Diterpenes from Stemodia maritima. J. Nat. Prod. 1992, 55, 48–52. [Google Scholar] [CrossRef]
- Wang, Y.-F.; Wang, X.-Y.; Lai, G.-F.; Lu, C.-H.; Luo, S.-D. Three New Sesquiterpenoids from the Aerial Parts of Homalomena occulta. Chem. Biodivers. 2007, 4, 925–931. [Google Scholar] [CrossRef]
- Martin, G.D.A.; Reynolds, W.F.; Reese, P.B. Investigation of the importance of the C-2 oxygen function in the transformation of stemodin analogues by Rhizopus oryzae ATCC 11145. Phytochemistry 2004, 65, 701–710. [Google Scholar] [CrossRef] [PubMed]
- Rodrigues, F.E.A.; Lima, J.Q.; de Oliveira, M.d.C.F.; Vasconcelos, J.N.; Santiago, G.M.P.; Mafezoli, J.; Braz-Filho, R.; Arriaga, A.M.C. Diterpene and other Constituents from Stemodia maritima (Scrophulariaceae). J. Braz. Chem. Soc. 2010, 21, 1581–1586. [Google Scholar] [CrossRef]
- Liu, Y.; Zhang, X.; Niu, H.; Guan, C.; Sun, F.; Yang, L.; Fu, Y. A New Stemodane Diterpenoid from the Stems and Leaves of Trigonostemon heterophyllus. Chin. J. Org. Chem. 2018, 38, 3137–3140. [Google Scholar] [CrossRef]
- Wenkert, E. Structural and Biogenetic Relationships in the Diterpene Series. Chem. Ind. 1955, 1, 282–284. [Google Scholar]
- MacMillan, J.; Beale, M.H. Diterpene Biosynthesis. In Comprehensive Natural Products Chemistry: Isoprenoids Including Carotenoids and Steroids; Barton, D., Nakanishi, K., Eds.; Pergamon Press: Oxford, UK, 1999; Volume 2, pp. 238–240. [Google Scholar]
- Oikawa, H.; Toshima, H.; Ohashi, S.; König, W.A.; Kenmoku, H.; Sassa, T. Diversity of diterpene hydrocarbons in fungus Phoma betae. Tetrahedron Lett. 2001, 42, 2329–2332. [Google Scholar] [CrossRef]
- Valenta, Z.; Wiesner, K. Biogenetic Interrelationships of Diterpene Alkaloids. Chem. Ind. 1956, 17, 354. [Google Scholar]
- Wiesner, K.; Valenta, Z. Recent Progress in the Chemistry of the Aconite-Garrya Alkaloids. In Progress in the Chemistry of Organic Natural Products; Zechmeister, L., Ed.; Springer: Wien, Austria, 1958; Volume XVI, pp. 26–89. [Google Scholar]
- Cookson, R.C.; Trevett, M.E. Aconitum and Delphinium Alkaloids. Part II. Interrelation of the Functional Groups of Delpheline. J. Chem. Soc. 1956, 62, 3121–3129. [Google Scholar] [CrossRef]
- Wiesner, K.; Tsai, T.Y.R.; Huber, K.; Bolton, S.E.; Vlahov, R. Total Synthesis of Talatisamine, a Delphinine Type Alkaloid. J. Am. Chem. Soc. 1974, 96, 4990–4992. [Google Scholar] [CrossRef]
- Wiesner, K. The Total Synthesis of Racemic Talatisamine. Pure Appl. Chem. 1975, 41, 93–112. [Google Scholar] [CrossRef]
- Tsai, T.Y.R.; Tsai, C.S.J.; Sy, W.W.; Shanbhag, M.N.; Liu, W.C.; Lee, S.F.; Wiesner, K. A Stereospecific Total Synthesis of Chasmanine. Heterocycles 1977, 7, 217–226. [Google Scholar]
- Wiesner, K. Centenary Lecture. Systematic Development of Strategy in the Synthesis of Polycyclic Polysubstituted Natural Products: The Aconite Alkaloids. Chem. Soc. Rev. 1977, 6, 413–430. [Google Scholar] [CrossRef]
- Atwal, K.S.; Marini Bettolo, R.; Sanchez, I.H.; Tsai, T.Y.R.; Wiesner, K. On the construction of the C/D ring systems of chasmanine and napelline by diene addition. Can. J. Chem. 1978, 56, 1102–1113. [Google Scholar] [CrossRef]
- Tsai, T.Y.R.; Nambiar, K.P.; Krikorian, D.; Botta, M.; Marini Bettolo, R.; Wiesner, K. A new synthesis of chasmanine and 13-desoxydelphonine: A preferred route to the aromatic intermediate. Can. J. Chem. 1979, 57, 2124–2134. [Google Scholar] [CrossRef]
- Wiesner, K. Total Synthesis of Delphinine-Type Alkaloids by Simple, Fourth Generation Methods. Pure Appl. Chem. 1979, 51, 689–703. [Google Scholar] [CrossRef]
- Sethi, S.P.; Atwal, K.S.; Marini Bettolo, R.; Tsai, T.Y.R.; Wiesner, K. A stereospecific synthesis of napelline. Can. J. Chem. 1980, 58, 1889–1891. [Google Scholar] [CrossRef]
- van Tamelen, E.E.; Carlson, J.G.; Russell, R.K.; Zawacky, S.R. Total Synthesis of (±)-Maritimol. J. Am. Chem. Soc. 1981, 103, 4615–4616. [Google Scholar] [CrossRef]
- Bravetti, D.; Marini Bettolo, R.; Lupi, A. On the Construction of the C/D-Ring Systems of Aphidicolin and Stemodin; a Regio and Stereospecific Synthesis of 17-Noraphidicolan-16-one and 17-Norstemodan-16-one. Helv. Chim. Acta 1982, 65, 371–376. [Google Scholar] [CrossRef]
- La Bella, A.; Leonelli, F.; Migneco, L.M.; Marini Bettolo, R. (+)-Podocarpic Acid as Chiral Template in the Synthesis of Aphidicolane, Stemodane and Stemarane Diterpenoids. Molecules 2016, 21, 1197. [Google Scholar] [CrossRef] [PubMed]
- Marini Bettolo, R.; Tagliatesta, P.; Lupi, A.; Bravetti, D. A Stereoselective Total Synthesis of (±)-Maritimol, (±)-2-Deoxystemodinone, (±)-Stemodinone, and (±)-Stemodin. Helv. Chim. Acta 1983, 66, 760–770. [Google Scholar] [CrossRef]
- Lupi, A.; Patamia, M.; Grgurina, I.; Marini Bettolo, R.; Di Leo, O.; Gioia, P.; Antonaroli, S. Biogenetic-Type Total Synthesis of (±)-2-Deoxystemodinone. Helv. Chim. Acta 1984, 67, 2261–2263. [Google Scholar] [CrossRef]
- Van Tamelen, E.E.; Zawacky, S.R.; Russell, R.K.; Carlson, J.G. Biogenetic-Type Total Synthesis of (±)-Aphidicolin. J. Am. Chem. Soc. 1983, 105, 142–143. [Google Scholar] [CrossRef]
- Marini Bettolo, R.; Tagliatesta, P.; Lupi, A.; Bravetti, D. A Total Synthesis of Aphidicolin: Stereospecific Synthesis of (±)-3α,18-Dihydroxy-17-noraphidicolan-16-one. Helv. Chim. Acta 1983, 66, 1922–1928. [Google Scholar] [CrossRef]
- Kelly, R.B.; Lal, G.S.; Gowda, G.; Rej, R.N. A synthesis of (+)-aphidicol-15-ene. Can. J. Chem. 1984, 62, 1930–1932. [Google Scholar] [CrossRef]
- Lupi, A.; Patamia, M.; Marini Bettolo, R. A Total Syntesis of (±)-Aphidicolin: Regio- and Stereoselective Conversion of 3α,18-Di-O-benzyl-17-nor-14-aphidicolen-16-one into (±)Aphidicolin. Helv. Chim. Acta 1988, 71, 872–875. [Google Scholar] [CrossRef]
- Marini Bettolo, R. The Total Synthesis of the Antiviral Agent Aphidicolin and Related Diterpenes. Korean J. Med. Chem. 1996, 6, 329–332. [Google Scholar]
- Kelly, R.B.; Harley, M.L.; Alward, S.J. A total synthesis of (±)-stemarin, a diterpenoid with a unique bicyclic C/D ring system. Can. J. Chem. 1980, 58, 755–756. [Google Scholar] [CrossRef]
- Berettoni, M.; Marini Bettolo, R.; Montanari, V.; Prencipe, T.; Romeo, S. Studies for a Diastereoselective Synthesis of the Tetracyclic Diterpenic Diol Stemarin: A Model Study for a New Preparation of the Key Intermediate and the Synthesis of (+)-18-Deoxystemarin. Helv. Chim. Acta 1991, 74, 1671–1678. [Google Scholar] [CrossRef]
- Leonelli, F.; Caschera, B.; Silvestri, L.; Prastaro, A.; Corso, G.; Ceccacci, F.; La Bella, A.; Migneco, L.M.; Marini Bettolo, R. Synthesis of (+)-13-Stemarene and (+)-18-Deoxystemarin: Expeditious Preparation of the Key 6-exo-Hydroxybicyclo[2.2.2]octan-2-one Ethylene Dithioacetal. Helv. Chim. Acta 2008, 91, 598–607. [Google Scholar] [CrossRef]
- Leonelli, F.; Latini, V.; Trombetta, A.; Bartoli, G.; Ceccacci, F.; La Bella, A.; Sferrazza, A.; Lamba, D.; Migneco, L.M.; Marini Bettolo, R. Regio- and Diastereoselective Synthesis and X-ray Structure Determination of (+)-2-Deoxyoryzalexin S from (+)-Podocarpic Acid. Structural Nonidentity with Its Nominal Natural Isolated Enantiomer. J. Nat. Prod. 2012, 75, 1944–1950. [Google Scholar] [CrossRef] [PubMed]
- Leonelli, F.; Blesi, F.; Dirito, P.; Trombetta, A.; Ceccacci, F.; La Bella, A.; Migneco, L.M.; Marini Bettolo, R. Diastereoselective Total Synthesis of (+)-13-Stemarene by Fourth Generation Methods: A Formal Total Synthesis of (+)-18-Deoxystemarin. J. Org. Chem. 2011, 76, 6871–6876. [Google Scholar] [CrossRef]
- Leonelli, F.; Valletta, A.; Migneco, L.M.; Marini Bettolo, R. Stemarane Diterpenes and Diterpenoids. Int. J. Mol. Sci. 2019, 20, 2627. [Google Scholar] [CrossRef] [PubMed]
- Walborsky, H.M.; Baum, M.E.; Youssef, A.A. Acetolysis of Bicyclo[2.2.2]octyl-2 p-Bromobenzenesulfonate and the Absolute Configurations of Bicyclo[2.2.2]octanol-2 and cis- and trans-Bicyclo[3.2.1]octanol-2. J. Am. Chem. Soc. 1961, 83, 988–993. [Google Scholar] [CrossRef]
- Goering, H.L.; Greiner, R.W.; Sloan, M.F. Ionic Reactions in Bicyclic Systems. I. The Preparation and Assignment of Configuration of the Isomeric Bicyclo[3.2.1]oct-3-en-2-ols and Bicyclo[3.2.1]octan-2-ols. J. Am. Chem. Soc. 1961, 83, 1391–1397. [Google Scholar] [CrossRef]
- Goering, H.L.; Sloan, M.F. Ionic Reactions in Bicyclic Systems. II. Carbonium Ion Reactions in Bicyclo[2.2.2]octane and Bicyclo[3.2.1]octane Derivatives. J. Am. Chem. Soc. 1961, 83, 1397–1401. [Google Scholar] [CrossRef]
- Goering, H.L.; Sloan, M.F. Ionic Reactions in Bicyclic Systems. III. Solvolysis of Bicycloöctanyl and Bicycloöctenyl p-Toluenesulfonates. J. Am. Chem. Soc. 1961, 83, 1992–1999. [Google Scholar] [CrossRef]
- Kraus, W.; Chassin, C.; Chassin, R.; Schmutte, P. Bicyclische Verbindungen, XVIII Solvolytische und reduktive Umlagerung von Bicyclo[2.2.2]octyltosylaten. Liebigs Ann. Chem. 1970, 738, 97–112. [Google Scholar] [CrossRef]
- Hong, Y.J.; Tantillo, D.J. A Maze of Dyotropic Rearrangements and Triple Shifts: Carbocation Rearrangements Connecting Stemarene, Stemodene, Betaerdene, Aphidicolene, and Scopadulanol. J. Org. Chem. 2018, 83, 3780–3793. [Google Scholar] [CrossRef] [PubMed]
- Brundret, K.M.; Dalziel, W.; Hesp, B.; Jarvis, J.A.J.; Neidle, S. X-Ray Crystallographic Determination of the Structure of the Antibiotic Aphidicolin: A Tetracyclic Diterpenoid Containing a New Ring System. J. Chem. Soc. Chem. Commun. 1972, 18, 1027–1028. [Google Scholar] [CrossRef]
- Dalziel, W.; Hesp, B.; Stevenson, K.M.; Jarvis, J.A.J. The Structure and Absolute Configuration of the Antibiotic Aphidicolin: A Tetracyclic Diterpenoid Containing a New Ring System. J. Chem. Soc. Perkin I 1973, 1, 2841–2851. [Google Scholar] [CrossRef]
- Adams, M.R.; Bu’Lock, J.D. Biosynthesis of the Diterpene Antibiotic Aphidicolin, by Radioisotope and 13C Nuclear Magnetic Resonance Methods. J. Chem. Soc. Chem. Commun. 1975, 10, 389–391. [Google Scholar] [CrossRef]
- Ackland, M.J.; Hanson, J.R.; Yeoh, B.L.; Ratcliffe, A.H. Studies in Terpenoid Biosynthesis. Part 32. The Incorporation of Aphidicol-16-ene and Aphidicolan-16-ol into the Diterpenoid Aphidicolin by the Fungus Cephalosporium aphidicola. J. Chem. Soc. Perkin Trans. I 1985, 1, 2705–2707. [Google Scholar] [CrossRef]
- Bohlmann, J.; Meyer-Gauen, G.; Croteau, R. Plant terpenoid synthases: Molecular biology and phylogenetic analysis. Proc. Natl. Acad. Sci. USA 1998, 95, 4126–4133. [Google Scholar] [CrossRef] [PubMed]
- Christianson, D.W. Structural Biology and Chemistry of the Terpenoid Cyclases. Chem. Rev. 2006, 106, 3412–3442. [Google Scholar] [CrossRef] [PubMed]
- Xu, M.; Wilderman, P.R.; Morrone, D.; Xu, J.; Roy, A.; Margis-Pinheiro, M.; Upadhyaya, N.M.; Coates, R.M.; Peters, R.J. Functional characterization of the rice kaurene synthase-like gene family. Phytochemistry 2007, 68, 312–326. [Google Scholar] [CrossRef] [PubMed]
- Morrone, D.; Jin, Y.; Xu, M.; Choi, S.-Y.; Coates, R.M.; Peters, R.J. An unexpected diterpene cyclase from rice: Functional identification of a stemodene synthase. Arch. Biochem. Biophys. 2006, 448, 133–140. [Google Scholar] [CrossRef]
- Austin, D.F. Florida Ethnobotany; CRC Press: Boca Raton, FL, USA, 2004; p. 162. [Google Scholar]
- Garbarino, J.A.; Chamy, M.C.; Piovano, M. Chemistry of the Calceolaria Genus. Structural and Biological Aspects. Molecules 2000, 5, 302–303. [Google Scholar] [CrossRef]
- Da Silva, D.M.; Riet-Correa, F.; Medeiros, R.M.T.; de Oliveira, O.F. Plantas tóxica para ruminantes e eqüídeos no Seridó Ocidental e Oriental do Rio Grande do Norte. Pesq. Vet. Bras. 2006, 26, 223–236. [Google Scholar] [CrossRef]
- Arriaga, A.M.C.; Rodrigues, F.E.A.; Lemos, T.L.G.; de Oliveira, M.D.C.F.; Lima, J.Q.; Santiago, G.M.P.; Braz-Filho, R.; Mafezoli, J. Composition and Larvicidal Activity of Essential Oil from Stemodia maritima L. Nat. Prod. Commun. 2007, 2, 1237–1239. [Google Scholar] [CrossRef]
- Teixeira, A.H.; de Oliveira Freire, J.M.; de Sousa, L.H.T.; Parente, A.T.; de Sousa, N.A.; Arriaga, A.M.C.; Lopes da Silva, F.R.; Melo, I.M.; Castro da Silva, I.I.; Pereira, K.M.A.; et al. Stemodia maritima L. Extract Decreases Inflammation, Oxidative Stress, and Alveolar Bone Loss in an Experimental Periodontitis Rat Model. Front. Physiol. 2017, 8, 988. [Google Scholar] [CrossRef]
- de Sousa, R.S.; da Silva, J.D.A.G.; de Oliveira Borba, E.F.; de Sousa, M.G.O.; da Silva, S.D.J.L.; da Silva, T.G. Análise Fitoquímica e Efeito Gastroprotetor do Extrato Hexânico de Stemodia Maritima, L.J. Biol. Pharm. Agric. Manag. 2021, 17, 456–474. [Google Scholar]
- Badria, F.A.; Hufford, C.D. Microbial Transformations of Stemodin, a Stemodia Diterpene. Phytochemistry 1991, 30, 2265–2268. [Google Scholar] [CrossRef]
- Hufford, C.D.; Badria, F.A.; Abou-Karam, M.; Shier, W.T.; Rogers, R.D. Preparation, Characterization, and Antiviral Activity of Microbial Metabolites of Stemodin. J. Nat. Prod. 1991, 54, 1543–1552. [Google Scholar] [CrossRef] [PubMed]
- Hanson, J.R.; Reese, P.B.; Takahashi, J.A.; Wilson, M.R. Biotransformation of Some Stemodane Diterpenoids by Cephalosporium aphidicola. Phytochemistry 1994, 36, 1391–1393. [Google Scholar] [CrossRef]
- Buchanan, G.O.; Reese, P.B. Biotransformation of diterpenes and diterpene derivatives by Beauveria bassiana ATCC 7159. Phytochemistry 2001, 56, 141–151. [Google Scholar] [CrossRef]
- Chen, A.R.M.; Reese, P.B. Biotransformation of terpenes from Stemodia maritima by Aspergillus niger ATCC 9142. Phytochemistry 2002, 59, 57–62. [Google Scholar] [CrossRef]
- Martin, G.D.A.; Reynolds, W.F.; Reese, P.B. Investigation of the importance of the C-2 and C-13 oxygen functions in the transformation of stemodin analogues by Rhizopus oryzae ATCC 11145. Phytochemistry 2004, 65, 2211–2217. [Google Scholar] [CrossRef] [PubMed]
- Garbarino, J.A.; Fraga, B.M.; Hernandez, M.G.; Chamy, M.C.; Piovano, M. Chemistry and biotranformations in the Scrophulariaceae family. Pure Appl. Chem. 2001, 73, 579–582. [Google Scholar] [CrossRef][Green Version]
- Fraga, B.M.; Guillermo, R.; Hernández, M.G.; Chamy, M.C.; Garbarino, J.A. Biotransformation of two stemodane diterpenes by Mucor plumbeus. Tetrahedron 2004, 60, 7921–7932. [Google Scholar] [CrossRef]
- Chen, A.R.M.; Ruddock, P.L.D.; Lamm, A.S.; Reynolds, W.F.; Reese, P.B. Stemodane and stemarane diterpenoid hydroxylation by Mucor plumbeus and Whetzelinia sclerotiorum. Phytochemistry 2005, 66, 1898–1902. [Google Scholar] [CrossRef]
- Lamm, A.S.; Reynolds, W.F.; Reese, P.B. Bioconversion of Stemodia maritima diterpenes and derivatives by Cunninghamella echinulata var. elegans and Phanerochaete chrysosporium. Phytochemistry 2006, 67, 1088–1093. [Google Scholar] [CrossRef]
- Fraga, B.M.; Guillermo, R.; Hernández, M.G.; Chamy, M.C.; Garbarino, J.A. The Incubation of 13, 17-Dihydroxystemodane with Cephalosporium aphidicola. Molecules 2012, 17, 1744–1750. [Google Scholar] [CrossRef] [PubMed]
- McCook, K.P.; Chen, A.R.M.; Reynolds, W.F.; Reese, P.B. The potential of Cyathus africanus for transformation of terpenes substrates. Phytochemistry 2012, 82, 61–66. [Google Scholar] [CrossRef]
- Azerad, R. Regio- and stereoselective microbial hydroxylation of terpenoids compounds. In Stereoselective Biocatalysis; Patel, R.N., Ed.; Dekker: New York, NY, USA, 2000; pp. 153–180. [Google Scholar]
- Asakawa, Y.; Noma, Y. Biotransformations of Di- and Triterpenoids, Steroids, and Miscellaneous Synthetic Substrates. Compr. Nat. Prod. II Chem. Biol. 2010, 3, 893–965. [Google Scholar]
- De Oliveira Silva, E.; Jacometti Cardoso Furtado, N.A.; Aleu, J.; Gonzáles Collado, I. Terpenoid biotransformations by Mucor species. Phytochem. Rev. 2013, 12, 857–876. [Google Scholar] [CrossRef]
- Rico-Martínez, M.; Medina, F.G.; Marrero, J.G.; Osegueda-Robles, S. Biotransformation of diterpenes. RCS Adv. 2014, 4, 10627–10647. [Google Scholar] [CrossRef]
- Bhatti, H.N.; Khera, R.A. Biotranformations of diterpenoids and triterpenoids: A review. J. Asian Nat. Prod. Res. 2014, 16, 70–104. [Google Scholar] [CrossRef] [PubMed]
- Asakawa, Y.; Sekita, M.; Hashimoto, T. Biotranformation of Bicyclic Sesqui- and Diterpene 1,2-dials and Their Derivatives by the Fungus, Aspergillus niger. Nat. Prod. Commun. 2018, 13, 923–932. [Google Scholar]
- Russell, F.A.; Mulabagal, V.; Thompson, D.R.; Singh-Wilmot, M.A.; Reynolds, W.F.; Nair, M.G.; Langer, V.; Reese, P.B. Stemodin-derived analogues with lipid peroxidation, cyclooxygenase enzymes and human tumour cell proliferation inhibitory activities. Phytochemistry 2011, 72, 2361–2368. [Google Scholar] [CrossRef]
- Martin, G.D.A.; Reynolds, W.F.; Reese, P.B. Stemodane skeletal rearrangement: Chemistry and microbial transformation. Phytochemistry 2005, 66, 901–909. [Google Scholar] [CrossRef]
Publisher’s Note: MDPI stays neutral with regard to jurisdictional claims in published maps and institutional affiliations. |
© 2021 by the authors. Licensee MDPI, Basel, Switzerland. This article is an open access article distributed under the terms and conditions of the Creative Commons Attribution (CC BY) license (https://creativecommons.org/licenses/by/4.0/).


























