Abstract
In this study, yeast, lactic acid bacteria, and acetic acid bacteria were isolated from traditional Chinese sourdough to enhance the organoleptic quality of whole wheat steamed bread. The Saccharomyces cerevisiae, Lactobacillus johnsonii, and Acetobacter pasteurianum showed superior fermentability and acid production capacity when compared with other strains from sourdough, which were mixed to produce the compound starter. It was found that the volume of whole wheat steamed bread leavened with compound starter increased by 12.8% when compared with that of the whole wheat steamed bread made by commercial dry yeast (DY-WB). A total of 38 volatile flavors were detected in the whole wheat steamed bread fermented by the compound starter (CS-WB), and the type of volatile flavors increased by 14 species when compared to the bread fermented by the dry yeast. In addition, some unique volatile flavor substances were detected in CS-WB, such as acetoin, 3-hydroxy-butanal, butyraldehyde, cuparene, etc. Moreover, the hardness and the chewiness of CS-WB decreased by 31.1 and 33.7% when compared with DY-WB, respectively, while the springiness increased by 10.8%. Overall, the formulated compound starter showed a desirable improvement in the whole wheat steamed bread and could be exploited as a new ingredient for steamed bread.
1. Introduction
Steamed bread is one of the traditional staple foods, accounting for over 40% of wheat products in China. It is usually prepared from wheat flour, microbial starter, and water. When compared to traditional sourdough, steamed bread made with commercial dry yeast has a plain flavor, poor aroma, and low overall sensory quality. However, when compared to refined wheat flour, whole wheat flour contains higher levels of vitamins, minerals, dietary fiber, antioxidants, and other phytochemicals such as carotenoids, flavonoids, and phenolic acids [1,2]. Studies have shown that the regular consumption of whole-grain foods can effectively reduce the risk of chronic diseases, such as obesity, cardiovascular and cerebrovascular diseases, and diabetes [3]. However, the presence of insoluble polysaccharides in bran and the physical structure of bran particles affect the formation of the gluten network and water distribution of dough, which further affect the texture of the product [4]. Therefore, how to produce high-quality whole wheat flour products is an urgent problem to be solved at this stage.
Sourdough is a traditional starter to produce fermented products made from flour. In Europe and other countries, sourdough is usually used to make baked bread, especially traditional sourdough bread and rye bread [5]. In China, sourdough is also called “Liaomian” and “Jiaozi”, which are mainly used to make traditional fermented wheat products such as steamed bread and buns [6,7]. Traditional sourdough involves a complex micro-ecological environment, mainly including yeasts, lactic acid bacteria, and acetic acid bacteria [8]. The sourdough with a multi-strain mixed fermentation system develops a unique flavor and nutritional quality [9]. To date, more than 70 kinds of lactic acid bacteria and 25 kinds of yeast have been identified in the sourdough system [6]. Both the strains have positive impact on the flavor, taste, and nutritional value of products [10]. The quality of traditional sourdough fermentation is unstable between batches, because the microbial flora is complex and susceptible to endogenous or exogenous factors [11]. Moreover, most of the traditional starters are naturally fermented, and they are produced by households in workshops. The sanitary conditions are poor, and they may contain some miscellaneous bacteria or even harmful bacteria. It is thus difficult to apply to industrial production. Therefore, the separation of dominant strains from Chinese traditional sourdough (CTS) has gradually attracted attention in recent years. Wu et al. [12] fermented steamed bread with different mixing ratios of lactic acid bacteria, and studied the effect on the specific volume, crumb texture, volatile profile, and other aspects of steamed bread quality. Fekri et al. [13] collected sourdough from traditional locations and selected excellent strains with phytate degrading ability to make whole wheat bread, and the results showed that the whole wheat bread prepared by Kluyveromyces aestuarii possessed the highest porosity percentage and the lowest hardness among all the tested strains [13]. In the steamed bread fermentation process, yeast and lactic acid bacteria played synergistical roles in giving the sourdough fermented product a unique texture and flavor [7], and the taste in the process is more mellow and delicate, as well as the nutritional value of the products being improved, especially in terms of protein quality and mineral utilization [14]. Since the sourdough fermentation technology has a positive effect on imparting a special flavor to steamed bread, improving its texture, as well as enhancing its nutrition, sourdough fermentation technology can be used to improve the organoleptic quality in whole wheat steamed bread.
Against this background, the aim of this study was to enhance the organoleptic quality of whole wheat steamed bread by the microbial strains isolated from CTS. The dominant strains were characterized from CTS and the optimal strains were selected based on fermentability and acid production capacity. The maximum benefits on the whole wheat steamed bread quality were realized by the compound starter with mixed strains. The results of this study could contribute to exploiting a new compound starter to enhance the quality of whole wheat steamed bread.
2. Results and Discussion
2.1. Acidity and Microbial Counts of CTS
As shown in Table 1, the pH values of CTS from different regions were between 3.61 and 5.19. The TTA value showed an opposite trend, differing from 6.40 mL to 16.32 mL. Acidity is an important index to measure the maturity of sourdough, and the sourdough maturity is decided by the organic acids produced by LAB metabolism. Different degrees of acidification can affect the formation components of sourdough structure, such as starch, gluten, and arabinoxylan [15]. According to previous studies, the sourdough acidity is usually between 4.0 and 4.5 [16]. The differences might result from changes in processing technology, such as different starter, flour type, and fermentation conditions [17].
Table 1.
Acidity and microbial counts of CTS.
According to the microbial counts, the yeast had the highest density (6.73 Log cfu/g) in CTS1, while the LAB had the highest density (9.57 Log cfu/g) in CTS4, among others. There were some differences in LAB numbers in different CTS, with a maximum difference of three to four orders of magnitude. The content and proportion of yeast and LAB were different in the samples. The difference in the counts of microbial levels reflected the quality difference of sourdough, which may be determined by many factors, such as the flour type, production technology, added ingredients, fermentation environment, storage time and conditions, etc. [18].
2.2. Isolation and Identification of LAB and Yeast in Sourdough
Observing the colony growth on YPD plate and MRS plate, we found 40 suspected strains of yeast and 40 suspected strains of LAB. A single bacterial colony was obtained by streaking pure culture; 15 strains of yeast and 20 strains of LAB were screened by colony morphology and electron microscope observation.
After comparing the sequence homology of dominant strains in the gene bank, those with a sequence homology higher than 95% were selected (Table 2) to build the phylogenetic trees (Figure 1 and Figure 2). Among the 15 strains of yeast and 20 strains of bacteria, three yeast species and six LAB species were identified: Saccharomyces cerevisiae (six strains), Wicherhamomyces anomalus (four strains), Pichia kudriavzevii (three strains), Lactobacillus johnsonii (five strains), Pediococcus pentosaceus (four strains), Levilactobacillus brevis (three strains), Lacticaseibacillus casei (two strains), Lacticaseibacillus paracasei (two strains), Pediococcus acidilactici (one strain), and Acetobacter pasteurianus (four strains). Saccharomyces cerevisiae is the dominant yeast in sourdough. Wicherhamomyces anomalus is also a common yeast found in sourdough, which can produce substances to inhibit fungus growth during dough fermentation and bread preservation [19,20]. It has been reported that steamed bread fermented by Pichia kudriavzevii has higher consumer recognition than ordinary steamed bread [21]. Lactobacillus johnsonii has been proven to reduce the proliferation of Clostridium perfringens in the intestinal tract of poultry, and with its own envelope forms, Lactobacilluis johnsonii plays an important role in inhibiting the proliferation of harmful bacteria [22]. Levilactobacillus brevis can perform heterotypic fermentation and produce lactic acid, alcohol, organic acids, aldehydes, etc., which are important sources of the sourdough fermentation flavor [23]. In addition, Acetobacter was isolated from samples in the Anhui province. The acetic acid produced by Acetobacter metabolism is the characteristic flavor component of sourdough and can inhibit the growth of spoilage microorganisms.
Table 2.
Identification results of yeasts and LAB.
Figure 1.
Phylogenetic tree of bacteria based on 16S rDNA gene sequence.
Figure 2.
Phylogenetic tree of yeast based on ITS gene sequence.
2.3. Selection of Starters
2.3.1. Selection of Strains
Due to the fermentation capacity and acid production capacity, three yeast strains, six LAB strains, and one acetic acid bacteria strain were isolated in this study. The gas-producing abilities of different yeast strains are shown in Figure 3A. The fermentability of yeast strains was evaluated by the drainage rate in 0–4 h as the index of fermentability. The speed and gas production of yeast are comprehensively listed in Figure 3A. The low homology in the early identification of strains Y-4 and Y-11 were not included in this study. Finally, three strains with relatively good fermentation capacity were selected from 13 yeast strains for subsequent experiments, which were Y-2 (Saccharomyces cerevisiae), Y-6 (Pichia kudriavzevii), and Y-9 (Wicherhamomyces anomalus). Saccharomyces cerevisiae proved to be a superior starter due to its good gas production and low pH tolerance [24]. Wickerhamomyces anomalus is the second most frequently isolated yeast in traditional sourdough fermentation [19].
Figure 3.
(A) Gas production rate of yeasts (mL·h−1). (B) Rate of fermentation broth pH change of LAB (h−1). (C) Rate of fermentation broth pH change of acetic acid bacteria (h−1). Different superscript letters (a–g) above bars indicate significant difference (p < 0.05).
The acid-producing capacity of 16 LAB strains was investigated by measuring the change in fermentation broth pH. Organic acids such as lactic acid and acetic acid metabolized by bacterial could reduce pH, and more flavor could be added when sourdough was used as a fermentation agent of whole wheat flour [9]. The pH results of fermentation liquid are shown in Figure 3B. Considering the subsequent fermentation in combination with the same yeast, six LAB of different genera with relatively good acid-producing capacities were selected for subsequent experiments: L-1 (Lactobacillus johnsonii), L-2 (Levilactobacillus brevis), L-5 (Pediococcus pentosaceus), L-12 (Lacticaseibacillus paracasei), L-16 (Lacticaseibacillus casei), and L-18 (Pediococcus acidilactici).
Acidification can increase the solubilization of proteins under acidic conditions because it has a positive net charge and also can affect the viscoelastic behavior of the dough and the activity of cereal and bacterial enzymes [25]. The above four strains of acetic acid bacteria L-10, L-11, L-13, and L-15 were relabeled as A-1, A-2, A-3, and A-4, respectively. The four strains of acetic acid bacteria were all Acetobacter pasteurii, but their acid producing abilities were different. A-1 was selected for subsequent experiments (Figure 3C). The most prominent manifestation of acetic acid bacteria is the production of acetic acid, which can reduce the pH and inhibit the growth of fungus. The data showed that acetic acid bacteria were relatively common in starter cultures, but this had been overlooked in past studies [24].
2.3.2. Effects of Different Yeast Combinations on the Quality of Whole Wheat Steamed Bread
Specific volume is an important apparent characteristic index to evaluate the quality of steamed bread and is closely related to CO2 production by yeasts [26]. The specific volumes of whole wheat steamed bread made by different yeast fermentation combinations are shown in Figure 4A. The larger the specific volume of whole wheat steamed bread, the better quality characteristics of the product. The specific volumes of whole wheat steamed bread fermented by Saccharomyces cerevisiae and Wicherhamomyces anomalus alone were significantly higher than that of the control, and the former was superior to the latter, which is consistent with the results of previous studies [26]. However, when Saccharomyces cerevisiae and Wicherhamomyces anomalus were used in combination, the effect was not as good as Saccharomyces cerevisiae fermentation alone, because the resource competition between Saccharomyces cerevisiae and Wicherhamomyces anomalus may not be conducive to the growth of Saccharomyces cerevisiae [19]. When fermented with Saccharomyces cerevisiae, the specific volume of whole wheat steamed bread increased by 7.6% when compared with the control.
Figure 4.
(A) Effects of different yeast combinations on the quality of whole wheat steamed bread. (B) Effects of different LAB combinations on the quality of whole wheat steamed bread. Note: control—commercial dry yeast; Y2—Saccharomyces cerevisiae; Y6—Pichia kudriavzevii; Y9—Wicherhamomyces anomalus; L1—Lactobacillus johnsonii; L2—Levilactobacillus brevis; L5—Pediococcus pentosaceus; L12—Lacticaseibacillus paracasei; L16—Lacticaseibacillus casei; L18—Pediococcus acidilactici. Different superscript letters (a–e) above bars indicate significant difference (p < 0.05).
The textural parameters of the steamed bread were explored, including hardness, cohesiveness, springiness, chewiness, and gumminess (Table 3). Hardness is an important parameter affecting the sensory quality of steamed bread and a main index of aging during storage [27]. The whole wheat steamed bread fermented by Y2 had the lowest hardness (802.3 g) and the highest springiness (0.90) values among all treatment groups, indicating a better product quality. Therefore, Y2 was selected for the following experiments.
Table 3.
The effects of different yeast on the texture properties of whole wheat steamed bread.
2.3.3. Effects of Different LAB Combinations on the Quality of Whole Wheat Steamed Bread
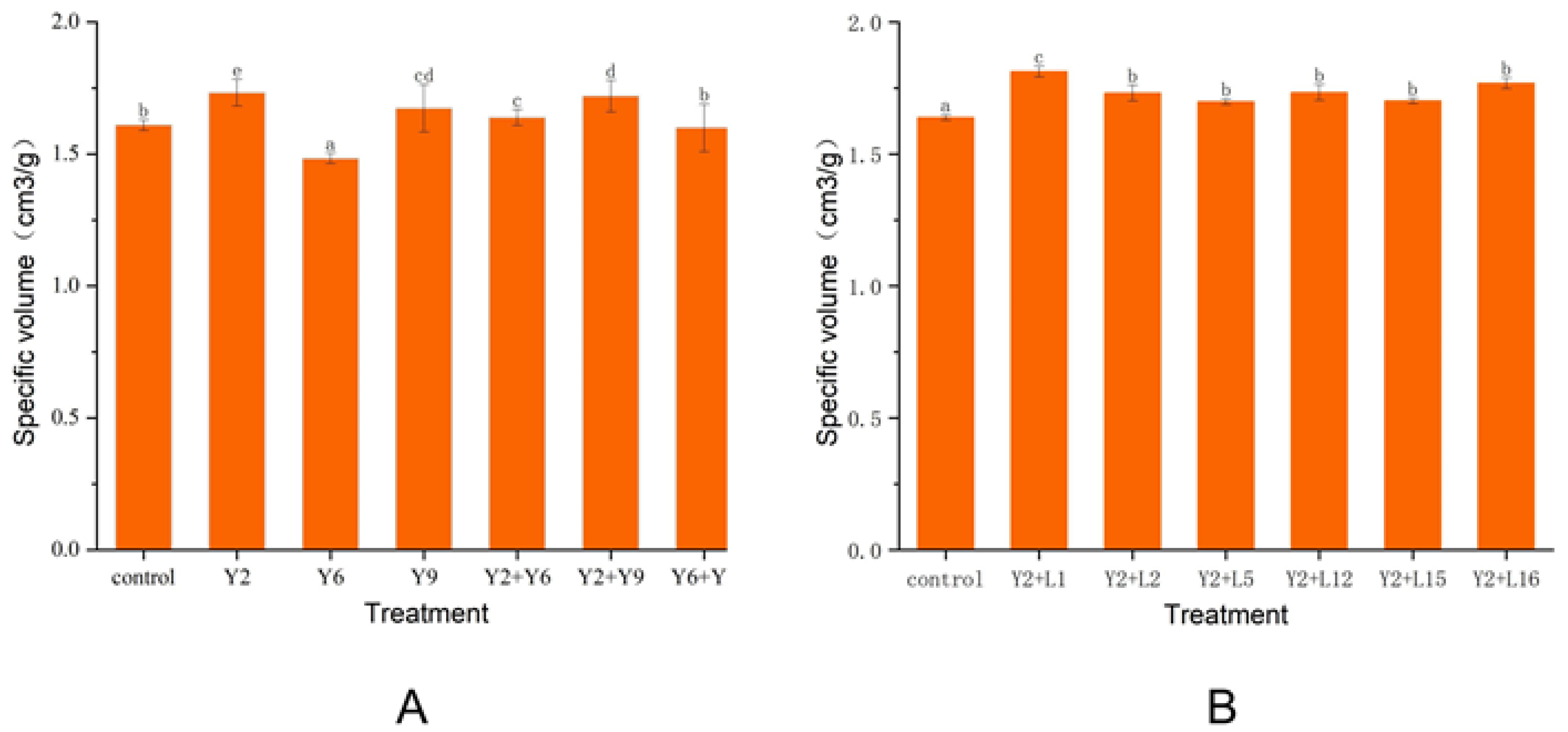
Saccharomyces cerevisiae (Y2) was mixed with Lactobacillus johnsonii, Levilactobacillus brevis, Pediococcus pentosaceus, Lacticaseibacillus casei, Lacticaseibacillus paracasei, and Pediococcus acidilactici to make whole wheat steamed bread (Figure 4B). When yeast and LAB were mixed, the specific volume of whole wheat steamed bread was higher than that of the control.
Due to the existence of bran, the air holding capacity of whole wheat steamed bread decreases, and the intensity is weakened, so the specific volume of whole wheat flour products is lower than the ideal level [2,10]. When fermented by Saccharomyces cerevisiae and Lactobacillus johnsonii, the specific volume of whole wheat steamed bread was the largest, reaching 1.81 cm3/g. Saccharomyces cerevisiae produced gas during the fermentation process, which increased the volume of the steamed bread, and the presence of Lactobacillus can promote Saccharomyces cerevisiae metabolism, resulting in a higher production, which can improve dough leavening [24,28].
When compared with the whole wheat steamed bread fermented by commercial dry yeast, whole wheat steamed bread fermented by Saccharomyces cerevisiae and Lactobacillus johnsonii had a higher springiness and lower hardness (Table 4). Adding different LAB had different impacts on the texture of whole wheat steamed bread, which illustrates that LAB and Saccharomyces cerevisiae may play a synergistic role together [9,24,28].
Table 4.
The effects of different LAB on the texture properties of whole wheat steamed bread.
2.4. Effects of Compound Starter on the Quality of Whole Wheat Steamed Bread
Considering the effect of acetic acid bacteria on flavor, Saccharomyces cerevisiae, Lactobacillus johnsonii, and Acetobacter pasteurii were mixed as a compound starter to produce whole wheat steamed bread, denoted as CS-WB. It can be seen from Figure 5 that the height and volume of CS-WB increased more than others. The height and volume of CS-WB were 8.0 and 14.5% greater than DY-WB, respectively, as shown in Table 5. By adding Lactobacillus johnsonii and Acetobacter pasteurii, the specific volume of CS-WB reached 1.83 cm3/g, 5.4% higher than SY-WB, which may involve a synergy among three microorganisms [28]. Changes in dough rise rates and aromas are largely explained by acetic-acid-producing bacteria, which is an often-overlooked group of sourdough microbes [9,29].
Figure 5.
Photographs of whole wheat steamed bread. Note: CS-WB—whole wheat steamed bread fermented by compound starter; SY-WB—whole wheat steamed bread fermented by Saccharomyces cerevisiae; DY-WB—whole wheat steamed bread fermented by commercial dry yeast.
Table 5.
Textural properties of whole wheat steamed bread.
In this study, the quality of whole wheat steamed bread was evaluated by an objective method to measure the texture. The textural results of different samples are shown in Table 5. Compared to DY-WB, the hardness and chewiness of CS-WB decreased by 45.2 and 50.1%, respectively, and the springiness of the CS-WB increased by over 10.8%, which indicates that CS-WB has a softer taste. Similar studies have shown that the effect of leavening agents on the hardness of steamed bread was related to CO2 production by yeast. Microbial acidification and the gas inside the dough increased and the gluten became weaker, making the dough softer and the final product less firm [9,28].
2.5. Determination of Volatile Compounds of Whole Wheat Steamed Bread
Flavor plays an important role in whole wheat steamed bread quality, and is formed by a number of volatiles, including alcohols, aldehydes, ketones, ethers, acids, esters, hydrocarbons, and aromatics. The volatiles of steamed bread are affected by many factors, such as raw materials, leavening agents, microbial strains, and fermentation conditions [30,31,32,33].
In this study, GC-MS was applied to analyze the volatile compounds. A total of 38 volatile compounds were detected in whole wheat steamed bread with the three treatments (Table 6), comprising 6 alcohols, 7 aldehydes, 2 ketones, 5 acids, 14 esters, 2 hydrocarbons, and 2 other compounds. Moreover, 33 volatile compounds were detected in CS-WB, 14 more than in DY-WB, while 31 volatile compounds were detected in SY-WB.
Table 6.
Composition of flavor substance in different whole wheat steamed breads.
Alcohols are the hydroxyl compounds produced in microbial metabolism. The contents of alcohols were higher in all samples, especially phenylethanol. Phenylethanol mostly exists in natural products such as apple, strawberry, and honey, and has the fragrance of rose, which has a positive correlation with bread aroma [34]. It is worth noting that the content of phenylethanol in CS-WB was the lowest among the three treatments, comprising only 10.51% of its total MS peak area, which may be because the presence of Lactobacillus johnsonii and Acetobacter pasteurii enhanced the metabolism of phenylethanol by Saccharomyces cerevisiae. The molecule 3-methyl-1-butanol has a positive correlation with aroma, and it is the most-cited compound in bread flavor research, with a high odor activity value, and gives a “balsamic, alcoholic, malty” flavor [34]. Interestingly, 3-methyl-1-butanol and phenylethanol showed the same trend of change, with their content decreasing to 1.58% when fermented by the compound starter. The content of four acids increased after compound starter leavening, especially with the acetic acid, reaching 21.37% of its total MS peak area in CS-WB. Esters, aldehydes, and alkanes increased in whole wheat steamed bread added with LAB and acetic acid bacteria. The increasing content of esters may be caused by the esterification reaction of alcohols and acids during the steaming process [33,34]. Aldehydes are the main products of Maillard reactions, and their content was higher than that of DY-WB and SC-WB. Seven types of substances, including hexanal, heptanal, and nonanal chemicals, were detected in CS-WB. Hexanal is commonly found in steamed bread, and heptanal and nonanal are produced through fermentation and lipid oxidation. The smell of hexanal is soapy, fruity, rose, citrus, and orange [26,35]. Phenylacetaldehyde can be used as a fragrance and has a strong rose fragrance. However, the threshold of hydrocarbons is relatively high, so their contribution to the flavor of bread is small. In addition, the content of 2-Pentylfuran of CS-WB was increased from 0.37 to 1.23% when compared to that of DY-WB, and 2-Pentylfuran has the aroma of mushrooms, lavender, and hay [30,33].
The whole wheat steamed bread had higher volatile compounds when fermented by Saccharomyces cerevisiae, Lactobacillus johnsonii, and Acetobacter pasteurii, which produced some unique volatile compounds, such as acetoin, 3-hydroxy-butanal, butyraldehyde, cuparene, etc. The production of these volatile compounds may be caused by the synergistic effect of Saccharomyces cerevisiae, Lactobacillus johnsonii, and Acetobacter pasteurii, leading to reactions among the metabolites to generate a series of secondary metabolites [2,33].
2.6. Sensory Evaluation
The sensory evaluation results are shown in Figure 6. It can be seen from the sensory evaluation radar chart that CS-WB was superior to DY-WB in appearance, color, taste, and flavor. The total score of CS-WB was 88.4 points, which was 18.2% higher than that of DY-WB. This indicates a slight preference for the compound starter-fermented whole wheat flour steamed bread. In terms of flavor, the score of CS-WB was 19.1, while that of DY-WB was only 14.2, which indicates that compound fermentation greatly improved the flavor of the product. This was consistent with the flavor results from the GC-MS determination. It has been reported that LAB and acetic acid bacteria show a greater impact on dough systems by lowering dough pH and promoting the production of more alcohol, esters, aldehydes, and other flavor compounds than in yeast fermentation alone, which is beneficial for whole wheat steamed bread to produce better flavors [12,28,33].
Figure 6.
Radar image of sensory evaluation of different whole wheat steamed breads. Note: DY-WB—whole wheat steamed bread fermented by commercial dry yeast; SY-WB—whole wheat steamed bread fermented by Saccharomyces cerevisiae; CS-WB—whole wheat steamed bread fermented by compound strain.
3. Materials and Methods
3.1. Materials
Five sourdough samples were collected from private households in areas of China where steamed bread is a staple food (Shandong, Henan, and Anhui regions). All of the samples were refrigerated during the transfer to the lab and stored at 4 °C in the lab.
Whole wheat flour was produced by an experimental mill (LRMM-8040-3-D, BUHLER, Uzwil, Switzerland) grinding Yang-Mai 16, which was obtained from the Jindadi Seed Industry Co., Ltd. (Suzhou, Jiangsu, China). Active dry yeast (Angel brand, Huanggang, Hubei, China) and sucrose (Ganjuyuan brand, Jiangsu, China) were purchased from a local supermarket. A Bacterial Genomic DNA Extraction Kit and Yeast Genomic DNA Rapid Extraction Kit were purchased from Sangong Bioengineering Co., Ltd. (Shanghai, China). YPD and MRS culture media were obtained from Beijing Aoboxing Co., Ltd. (Beijing, China). All used reagents were of analytical grade unless otherwise specified.
3.2. Determination of pH and Total Titratable Acidity
The pH and total titrated acidity (TTA) determination followed the method of De Vuyst et al. [11], with minor modifications. We mixed 10 g sourdough with 90 mL sterile distilled water and homogenized the mixture for 2 min with a magnetic stirrer (FS-2, Changzhou Guohua Electric Co. Ltd., Jiangsu, China). The pH was recorded by a pH meter (HZP-T502, Huazhi Saixijie Technology Co. Ltd., Jiangsu, China). TTA was expressed as the volume of 0.1 mol/L. NaOH was added to neutralize the solution to pH 8.5 in flour.
3.3. Counts of LAB and Yeast
Yeast and LAB were counted by the plate-counting method [36]. Yeast was cultured in YPD medium and LAB was cultured in MRS medium. Sourdough (10 g) was suspended in 90 mL sterile physiological saline (0.85%, w/v). The suspension was diluted to 109 with a 10-fold gradient. Then, 100 μL of 104–106 diluents were plated onto YPD medium and incubated at 28 °C for 36–48 h in an incubator (DRP-9162, Shanghai Senxin Experimental Instrument Co., Ltd., Shanghai, China), and 100 μL of 107–109 diluents were plated onto MRS medium and incubated at 37 °C for 48–72 h.
3.4. Isolation and Identification of LAB and Yeast
Sourdough (1 g) was placed in YPD medium and incubated overnight at 28 °C. Taking the proper amount of culture medium, we diluted it with sterile normal saline, removed 100 μL and spread it on YPD solid medium, and then incubated the plates at 28 °C for 30 h [6]. Suspected yeast colonies were selected from the plate by observing their form under electron microscopy (Nikon Eclipse E100, Japan). Finally, single colonies were selected and streaked on YPD solid medium for purification. After repeating this step 3–5 times, pure yeast culture was obtained. The culture medium of LAB was MRS medium, and the incubation time was 48 h. The other steps were the same as the separation and purification of yeast.
Yeast and LAB strains were inoculated with YPD and MRS liquid medium incubated at 28 and 37 °C for the logarithmic growth stage, respectively, and their DNA was extracted by a Genomic DNA Extraction Kit and Genomic DNA Rapid Extraction Kit (Yeast). The DNA concentration and purity were measured by the NanoDrop 2000 UV-vis spectrophotometer (Thermo Scientific, Wilmington, NC, USA), and DNA quality was detected by 1% agarose gel electrophoresis [37]. The characteristics of the fragment of the bacterial 16S rRNA gene were amplified with the primers 1492R: 5′-TACCTTGTTACGACTT-3′ and 27F: S’-AGAGTTTGATCCTGGCTCAG-3′ by using the thermocycler PCR system (PTC-100TM, MJ Research, USA). The characteristics of the fragment of the yeast ITS gene were amplified with the primers ITS1: 5’-TCCGTAGGTGAACCTGCGG-3’ and ITS4:5’-TCCTCCGCTTATTGATATGC-3’. The PCR program was as follows [6]: degeneration at 95 °C for 5 min; 35 cycles of 95 °C for 30 s, 55 °C for 30 s, and elongation at 72 °C for 60 s; a final extension at 72 °C for 10 min. The total reaction volume was a 50 μL mixture containing 3 μL of buffer, 2 μL of 2.5 mM dNTPs, 3 μL of upstream and downstream primers, 0.2 μL Taq enzyme, 1 μL DNA template, and 17.8 μL ddH2O.
The bacterial solution obtained from PCR amplification fragment cloning was sent to Jinweizhi Biotechnology Co., LTD, Suzhou, China for sequencing. The sequencing results were compared with the BLAST database in NCBI. According to homologous sequence search and sequence alignment results, MEGA6.05 was used for sequence alignment, and phylogenetic trees were constructed to determine the specific information of dominant species [38].
3.5. Screening of the Compound Starter
3.5.1. Comparison of Fermentability of Yeast
The fermentation capacity of yeast was measured by the drainage method [39]. For a reserve, 100 g whole wheat flour was measured and kept at 30 °C. Then, the appropriate amount of sucrose was added into yeast mud and activated for 20 min. We mixed NaCl with yeast mud and whole wheat flour, immediately put it into bottle A with a drainage device, connected bottle B, and checked it for air leakage. We recorded the displacement every 1.0 h.
3.5.2. Comparison of Acid-Producing Capacity of LAB and Acetobacter
LAB and Acetobacter were screened by comparing their acid-producing capacities. The activated LAB seed liquor was inoculated in MRS liquid medium with 2% inoculation and incubated at 37 °C. Samples were taken at a certain time, and the pH of fermentation broth was measured. The dominant strains were screened by comparing the pH changes. The comparison method of acid production capacity of Acetobacter was the same as that of LAB.
3.5.3. Strain Combination Test of Compound Starter
Three kinds of yeasts were fermented separately and then compounded in pairs (Table 7). Then, the selected optimal yeast was mixed with 6 kinds of LAB to ferment whole wheat steamed bread according to different combinations. The combinations are listed below. Finally, the best combination of yeast and LAB and the dominant Acetobacter were selected to form a compound starter.
Table 7.
Combinations of yeast and LAB.
3.6. Whole Wheat Wteamed Bread Making
The whole wheat steamed bread was fermented by commercial dry yeast (DY-WB) according to the following methods [7]. A total of 100 g wheat flour, 1 g Angel yeast, and 70 g warm water (30 °C) were mixed at a low speed (100 rpm) in a needle mixer JHMZ (Beijing Oriental Fude Technology Co., LTD, Beijing, China) for 10 min. The dough was leavened for the first fermentation in a fermenting box (35 °C, 85% relative humidity) for 1 h. After that, we took out the dough, rolled it 10 times with a tablet press, divided the dough into 50 g pieces, kneaded the dough round by hand, put it in a fermenting box at 38 °C, and left it for 30 min for the second fermentation. We then put it into a pot with boiling water and steamed it for 20 min. For the making of whole wheat steamed bread fermented by a single yeast, 100 g whole wheat flour was added with yeast solution at the rate of 3%, and the yeast concentration was adjusted to a uniform concentration of 1.0 × 106 CFU/mL. The remaining steps were the same as commercial dry yeast. For the making of whole wheat steamed bread fermented by compound starter (CS-WB), 100 g of whole wheat flour was added with 3% compound starter (yeast: Lactobacillus: acetic acid bacteria = 2:1:1), and the concentration of strains was adjusted (yeast: 1.0 × 106 CFU/mL, Lactobacillus: 5.0 × 107 CFU/mL, acetic acid bacteria: 5.0 × 107 CFU/mL). The remaining steps were the same as commercial dry yeast.
3.7. Specific Volume, Sensory Evaluation, and Texture Profile Analysis of Whole Wheat Steamed Bread
The specific volume of whole wheat steamed bread was determined by the rapeseed displacement method (GB/T 21118-2007). Sensory evaluation was carried out by a sensory evaluation group, which consisted of 15 trained members (8 women and 7 men, aged 23–35). The sensory evaluation provides a scale of appearance (20%), color (20%), taste (20%), flavor (20%), and overall acceptability (20%). The texture profile analysis (TPA) was carried out using a TA-XT2i Texture Analyzer (TLP, Food Technology Corporation, Sterling, VA, USA). Thin slices (20 mm) taken from the central part of whole wheat steamed bread were evaluated with a 50 mm diameter cylinder probe [7]. The pre-test speed was 1.0 mm/s, test speed was 1.0 mm/s, post-test speed was 10.0 mm/s, distance was 40%, and the test gap was 30 s. Each sample was taken in parallel 3 times.
3.8. Determination of Volatile Compounds of Whole Wheat Steamed Bread
The volatile compounds in whole wheat steamed bread were detected using solid-phase micro-extraction (SPME) and gas chromatography/mass spectroscopy (GC/MS) according to Kim et al. [40]. The processed whole wheat steamed bread core was divided into fragments (5 mm × 5 mm). We put samples (2 g) into a vial, and sampled them with a 65 μm CAR/DVB/PDMS SPME fiber (Sigma, Saint Louis, MO, USA) at 60 °C for 40 min. The SPME fiber was desorbed for 2 min in the injector port (250 °C) of the GC/MS (7890GC-5975MSD, Agilent, Palo Alto, CA, USA). Separation was achieved on a polar HP-5 capillary column. The GC temperature was at 40 °C for 1 min, increased to 160 °C at a rate of 6 °C/min, and then to 250 °C at a rate of 10 °C/min. Mass spectra were recorded by electronic impact (EI) at 70 eV using ion source temperatures at 200 °C. The scan mode was used to detect all the compounds in the range m/z 33–495 atomic mass unit (amu). The identification of volatile compounds was performed by matching the obtained mass spectra with those stored in the National Institute of Standards and Technologies (NIST) US Government library (https://webbook.nist.gov, accessed on 10 January 2021).
3.9. Statistical Analysis
All the experiments were individually carried out in triplicate; the average and standard deviation values are expressed. Statistical analysis was performed using the SPSS Statistics Software (SAS Institute Inc., 1990, Cary, NC, USA). Comparisons were carried out by the Duncan’s multiple comparison method, and differences were considered statistically significant at p < 0.05.
4. Conclusions
In this study, three yeasts, six LAB, and one Acetobacter were isolated from five different types of traditional Chinese sourdough. Based on the fermentability and acid production capacity, the combination of Saccharomyces cerevisiae, Lactobacillus johnsonii, and Acetobacter pasteurianum in the composite starter was optimized. The result showed that the specific volume of CS-WB was significantly increased, while hardness and chewiness were decreased. In addition, the sensory evaluation score of CS-WB was the highest among three groups. The addition of LAB and acetic acid bacteria enriched the volatile flavor in whole wheat steamed bread, and several unique flavor substances in whole wheat steamed bread were formed after fermentation by the compound starter. Overall, the compound starters comprising Acetobacter pasteurianum, Saccharomyces cerevisiae, and Lactobacillus johnsonii provide a new tool for improving the edible quality of whole wheat fermented flour products.
Author Contributions
Conceptualization, J.S.; Data curation and visualization, K.S. and H.D.; Investigation and software, K.Y.; Funding acquisition, F.L.; Methodology, J.S.; Writing—original draft preparation, J.S.; Project administration, F.L.; Writing—review and editing, Z.L. and P.W. All authors have read and agreed to the published version of the manuscript.
Funding
This research was funded by the Key Technology Research and Development Program of Jiangsu Province (BE2018319, BE2019364), the Outstanding Youth Science Fund Project of Natural Science Foundation of Jiangsu Province (BK20211576).
Institutional Review Board Statement
Not applicable.
Informed Consent Statement
Not applicable.
Conflicts of Interest
The authors declare no conflict of interest.
Sample Availability
Strains of Saccharomyces cerevisiae, Lactobacillus johnsonii, and Acetobacter pasteurianum are available from the authors.
References
- Gómez, M.; Gutkoski, L.C.; Bravo-Núñez, Á. Understanding whole-wheat flour and its effect in breads: A review. Compr. Rev. Food Sci. Food Saf. 2020, 19, 3241–3265. [Google Scholar] [CrossRef] [PubMed]
- Tebben, L.; Shen, Y.; Li, Y. Improvers and functional ingredients in whole wheat bread: A review of their effects on dough properties and bread quality. Trends Food Sci. Technol. 2018, 81, 10–24. [Google Scholar] [CrossRef]
- Hirawan, R.; Ser, W.Y.; Arntfield, S.D.; Beta, T. Antioxidant properties of commercial, regular- and whole-wheat spaghetti. Food Chem. 2010, 119, 258–264. [Google Scholar] [CrossRef]
- Zhang, M.L.; Ma, M.; Yang, T.B.; Li, M.; Sun, Q.J. Dynamic distribution and transition of gluten proteins during noodle processing. Food Hydrocoll. 2022, 123, 107114. [Google Scholar] [CrossRef]
- Siepmann, F.B.; Ripari, V.; Waszczynskyj, N.; Spier, M.R. Overview of sourdough technology: From production to marketing. Food Bioprocess Technol. 2018, 11, 242–270. [Google Scholar] [CrossRef]
- Zhang, G.; Sadiq, F.A.; Zhu, L.; Liu, T.; Yang, H.; Wang, X.; He, G. Investigation of microbial communities of Chinese sourdoughs using culture-dependent and DGGE approaches. J. Food Sci. 2015, 80, M2535–M2542. [Google Scholar] [CrossRef]
- Zhao, Z.; Mu, T.; Sun, H. Microbial characterization of five Chinese traditional sourdoughs by high-throughput sequencing and their impact on the quality of potato steamed bread. Food Chem. 2019, 274, 710–717. [Google Scholar] [CrossRef]
- Hayta, M.; Hendek Ertop, M. Optimisation of sourdough bread incorporation into wheat bread by response surface methodology: Bioactive and nutritional properties. Int. J. Food Sci. Technol. 2017, 52, 1828–1835. [Google Scholar] [CrossRef]
- Landis, E.A.; Oliverio, A.M.; McKenney, E.A.; Nichols, L.M.; Kfoury, N.; Biango-Daniels, M.; Shell, L.K.; Madden, A.A.; Shapiro, L.; Sakunala, S.; et al. The diversity and function of sourdough starter microbiomes. eLife 2021, 10, e61644. [Google Scholar] [CrossRef]
- Gocmen, D.; Gurbuz, O.; Kumral, A.Y.; Dagdelen, A.F.; Sahin, I. The effects of wheat sourdough on glutenin patterns, dough rheology and bread properties. Eur. Food Res. Technol. 2007, 225, 821–830. [Google Scholar] [CrossRef]
- De Vuyst, L.; Van Kerrebroeck, S.; Harth, H.; Huys, G.; Daniel, H.M.; Weckx, S. Microbial ecology of sourdough fermentations: Diverse or uniform? Food Microbiol. 2014, 37, 11–29. [Google Scholar] [CrossRef] [PubMed]
- Wu, C.; Liu, R.; Huang, W.; Rayas-Duarte, P.; Wang, F.; Yao, Y. Effect of sourdough fermentation on the quality of Chinese Northern-style steamed breads. J. Cereal Sci. 2012, 56, 127–133. [Google Scholar] [CrossRef]
- Fekri, A.; Torbati, M.; Yari Khosrowshahi, A.; Bagherpour Shamloo, H.; Azadmard-Damirchi, S. Functional effects of phytate-degrading, probiotic lactic acid bacteria and yeast strains isolated from Iranian traditional sourdough on the technological and nutritional properties of whole wheat bread. Food Chem. 2020, 306, 125620. [Google Scholar] [CrossRef] [PubMed]
- Chavan, R.S.; Chavan, S.R. Sourdough technology—A traditional way for wholesome foods: A review. Compr. Rev. Food Sci. Food Saf. 2011, 10, 169–182. [Google Scholar] [CrossRef]
- Di Monaco, R.; Torrieri, E.; Pepe, O.; Masi, P.; Cavella, S. Effect of Sourdough with exopolysaccharide (EPS)-producing lactic acid bacteria (LAB) on sensory quality of bread during shelf life. Food Bioprocess Technol. 2015, 8, 691–701. [Google Scholar] [CrossRef]
- Minervini, F.; Lattanzi, A.; De Angelis, M.; Celano, G.; Gobbetti, M. House microbiotas as sources of lactic acid bacteria and yeasts in traditional Italian sourdoughs. Food Microbiol. 2015, 52, 66–76. [Google Scholar] [CrossRef]
- Kim, M.; Morrison, M.; Yu, Z. Evaluation of different partial 16S rRNA gene sequence regions for phylogenetic analysis of microbiomes. J. Microbiol. Methods 2011, 84, 81–87. [Google Scholar] [CrossRef]
- Katina, K.; Heiniö, R.L.; Autio, K.; Poutanen, K. Optimization of sourdough process for improved sensory profile and texture of wheat bread. LWT–Food Sci. Technol. 2006, 39, 1189–1202. [Google Scholar] [CrossRef]
- Daniel, H.-M.; Moons, M.-C.; Huret, S.; Vrancken, G.; De Vuyst, L. Wickerhamomyces anomalus in the sourdough microbial ecosystem. Antonie Van Leeuwenhoek 2011, 99, 63–73. [Google Scholar] [CrossRef]
- Coda, R.; Cassone, A.; Rizzello Carlo, G.; Nionelli, L.; Cardinali, G.; Gobbetti, M. Antifungal activity of Wickerhamomyces anomalus and Lactobacillus plantarum during sourdough fermentation: Identification of novel compounds and long-term effect during storage of wheat bread. Appl. Environ. Microbiol. 2011, 77, 3484–3492. [Google Scholar] [CrossRef] [Green Version]
- Xu, D.; Yin, Y.; Ali, B.; Zhang, Y.; Guo, L.; Xu, X. Isolation of yeast strains from Chinese liquor Daqu and its use in the wheat sourdough bread making. Food Biosci. 2019, 31, 100443. [Google Scholar] [CrossRef]
- Gobbetti, M.; Rizzello, C.G.; Di Cagno, R.; De Angelis, M. How the sourdough may affect the functional features of leavened baked goods. Food Microbiol. 2014, 37, 30–40. [Google Scholar] [CrossRef] [PubMed]
- Katina, K.; Juvonen, R.; Laitila, A.; Flander, L.; Nordlund, E.; Kariluoto, S.; Piironen, V.; Poutanen, K. Fermented wheat bran as a functional ingredient in baking. Cereal Chem. 2012, 89, 126–134. [Google Scholar] [CrossRef]
- Ogunsakin, A.O.; Vanajakshi, V.; Anu-Appaiah, K.A.; Vijayendra, S.V.N.; Walde, S.G.; Banwo, K.; Sanni, A.I.; Prabhasankar, P. Evaluation of functionally important lactic acid bacteria and yeasts from Nigerian sorghum as starter cultures for gluten-free sourdough preparation. LWT–Food Sci. Technol. 2017, 82, 326–334. [Google Scholar] [CrossRef]
- Su, X.; Wu, F.; Zhang, Y.; Yang, N.; Chen, F.; Jin, Z.; Xu, X. Effect of organic acids on bread quality improvement. Food Chem. 2019, 278, 267–275. [Google Scholar] [CrossRef]
- Li, Z.; Li, H.; Song, K.; Cui, M. Performance of non-Saccharomyces yeasts isolated from Jiaozi in dough fermentation and steamed bread making. LWT–Food Sci. Technol. 2019, 111, 46–54. [Google Scholar] [CrossRef]
- Luo, D.; Wu, R.; Zhang, J.; Zhang, K.; Xu, B.; Li, P.; Yuan, Y.; Li, X. Effects of ultrasound assisted dough fermentation on the quality of steamed bread. J. Cereal Sci. 2018, 83, 147–152. [Google Scholar] [CrossRef]
- Li, Z.; Li, H.; Deng, C.; Liu, C. Effect of mixed strain starter culture on rheological properties of wheat dough and quality of steamed bread. J. Texture Stud. 2014, 45, 180–186. [Google Scholar] [CrossRef]
- Comasio, A.; Van Kerrebroeck, S.; Harth, H.; Verté, F.; De Vuyst, L. Potential of bacteria from alternative fermented foods as starter cultures for the production of wheat sourdoughs. Microorganisms 2020, 8, 1534. [Google Scholar] [CrossRef]
- Wang, Y.; Zhao, J.; Xu, F.; Wu, X.; Hu, W.; Chang, Y.; Zhang, L.; Chen, J.; Liu, C. GC-MS, GC-O and OAV analyses of key aroma compounds in Jiaozi Steamed Bread. Grain Oil Sci. Technol. 2020, 3, 9–17. [Google Scholar] [CrossRef]
- Xu, D.; Zhang, H.; Xi, J.; Jin, Y.; Chen, Y.; Guo, L.; Jin, Z.; Xu, X. Improving bread aroma using low-temperature sourdough fermentation. Food Biosci. 2020, 37, 100704. [Google Scholar] [CrossRef]
- Yan, B.; Sadiq, F.A.; Cai, Y.; Fan, D.; Chen, W.; Zhang, H.; Zhao, J. Microbial diversity in traditional type I sourdough and jiaozi and its influence on volatiles in Chinese steamed bread. LWT–Food Sci. Technol. 2019, 101, 764–773. [Google Scholar] [CrossRef]
- Liu, T.; Li, Y.; Sadiq, F.A.; Yang, H.; Gu, J.; Yuan, L.; Lee, Y.K.; He, G. Predominant yeasts in Chinese traditional sourdough and their influence on aroma formation in Chinese steamed bread. Food Chem. 2018, 242, 404–411. [Google Scholar] [CrossRef] [PubMed]
- Pico, J.; Bernal, J.; Gómez, M. Wheat bread aroma compounds in crumb and crust: A review. Food Res. Int. 2015, 75, 200–215. [Google Scholar] [CrossRef] [PubMed]
- De Luca, L.; Aiello, A.; Pizzolongo, F.; Blaiotta, G.; Aponte, M.; Romano, R. Volatile organic compounds in breads prepared with different sourdoughs. Appl. Sci. 2021, 11, 1330. [Google Scholar] [CrossRef]
- De Vuyst, L.; Neysens, P. The sourdough microflora: Biodiversity and metabolic interactions. Trends Food Sci. Technol. 2005, 16, 43–56. [Google Scholar] [CrossRef]
- Zhang, J.; Liu, W.; Sun, Z.; Bao, Q.; Wang, F.; Yu, J.; Chen, W.; Zhang, H. Diversity of lactic acid bacteria and yeasts in traditional sourdoughs collected from western region in Inner Mongolia of China. Food Control 2011, 22, 767–774. [Google Scholar] [CrossRef]
- Zhang, G.; He, G. Predominant bacteria diversity in Chinese traditional sourdough. J. Food Sci. 2013, 78, M1218–M1223. [Google Scholar] [CrossRef]
- Borzani, W. Measurement of the gassing power of bakers’ yeast: Correlation between the dough volume and the incubation time. Braz. Arch. Biol. Technol. 2004, 47, 213–217. [Google Scholar] [CrossRef]
- Kim, Y.; Huang, W.; Zhu, H.; Rayas-Duarte, P. Spontaneous sourdough processing of Chinese Northern-style steamed breads and their volatile compounds. Food Chem. 2009, 114, 685–692. [Google Scholar] [CrossRef]
Publisher’s Note: MDPI stays neutral with regard to jurisdictional claims in published maps and institutional affiliations. |
© 2022 by the authors. Licensee MDPI, Basel, Switzerland. This article is an open access article distributed under the terms and conditions of the Creative Commons Attribution (CC BY) license (https://creativecommons.org/licenses/by/4.0/).





