Combined Second Harmonic Generation and Fluorescence Analyses of the Structures and Dynamics of Molecules on Lipids Using Dual-Probes: A Review
Abstract
:1. Introduction
2. Understanding and Modulating the SHG and TPF Emission from DOX on DOPG Lipids
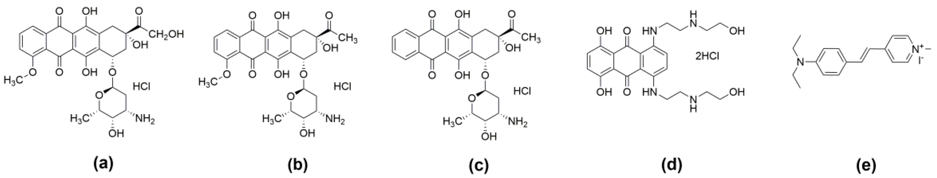
3. Influence of the Molecular Structure on Dynamic Behavior of Anthracyclines on Lipids
4. Investigating the Vesicle Formation Process and Dynamics of Dye Molecules on Lipids and Cells
5. Summary and Outlook
Author Contributions
Funding
Institutional Review Board Statement
Informed Consent Statement
Data Availability Statement
Conflicts of Interest
References
- Pattni, B.S.; Chupin, V.V.; Torchilin, V.P. New Developments in Liposomal Drug Delivery. Chem. Rev. 2015, 115, 10938–10966. [Google Scholar] [CrossRef] [PubMed]
- Alves, A.C.; Ribeiro, D.; Nunes, C.; Reis, S. Biophysics in cancer: The relevance of drug-membrane interaction studies. Biochim. Biophys. Acta Biomembr. 2016, 1858, 2231–2244. [Google Scholar] [CrossRef] [PubMed]
- Van Maarschalkerweerd, A.; Vetri, V.; Langkilde, A.E.; Fodera, V.; Vestergaard, B. Protein/lipid coaggregates are formed during α-synuclein-induced disruption of lipid bilayers. Biomacromolecules 2014, 15, 3643–3654. [Google Scholar] [CrossRef] [PubMed]
- Henry, N.; Fantine, E.O.; Bolard, J.; Garnier, S.A. Interaction of adriamycin with negatively charged model membranes: Evidence of two types of binding sites. Biochemistry 1985, 24, 7085–7092. [Google Scholar] [CrossRef]
- Avitabile, C.; D’Andrea, L.D.; Romanelli, A. Circular Dichroism studies on the interactions of antimicrobial peptides with bacterial cells. Sci. Rep. 2014, 4, 4293. [Google Scholar] [CrossRef]
- Ramadurai, S.; Sarangi, N.K.; Maher, S.; MacConnell, N.; Bond, A.M.; McDaid, D.; Flynn, D.; Keyes, T.E. Microcavity-Supported Lipid Bilayers; Evaluation of Drug–Lipid Membrane Interactions by Electrochemical Impedance and Fluorescence Correlation Spectroscopy. Langmuir 2019, 35, 8095–8109. [Google Scholar] [CrossRef]
- Regev, R.; Yeheskely, H.D.H.; Eytan, G.D. Transport of anthracyclines and mitoxantrone across membranes by a flip-flop mechanism. Biochem. Pharmacol. 2005, 70, 161–169. [Google Scholar] [CrossRef]
- Munishkina, L.A.; Fink, A.L. Fluorescence as a method to reveal structures and membrane-interactions of amyloidogenic proteins. Biochim. Biophys. Acta Biomembr. 2007, 1768, 1862–1885. [Google Scholar] [CrossRef] [Green Version]
- Muniz, G.S.V.; Souza, M.C.; Duarte, E.L.; Lamy, M.T. Comparing the interaction of the antibiotic levofloxacin with zwitterionic and anionic membranes: Calorimetry, fluorescence, and spin label studies. Biochim. Biophys. Acta Biomembr. 2021, 1863, 183622. [Google Scholar] [CrossRef]
- Simou, S.; Sendecki, A.M.; Saranya, P.; Da, H.; Tinglu, Y.; Cremer, P.S. Multistep Interactions between Ibuprofen and Lipid Membranes. Langmuir 2018, 34, 10782–10792. [Google Scholar]
- Heywang, C.; Saint, P.C.M.; Masson, M.; Bolard, J. SERR study of the interaction of anthracyclines with mono-and bilayers of charged phospholipids. Langmuir 1997, 13, 5634–5643. [Google Scholar] [CrossRef]
- Petralli-Mallow, T.; Plant, A.L.; Lewis, M.; Hicks, J. Cytochrome c at model membrane surfaces: Exploration via second harmonic generation-circular dichroism and surface-enhanced resonance raman spectroscopy. Langmuir 2000, 16, 5960–5966. [Google Scholar] [CrossRef]
- Živanović, V.; Milewska, A.; Leosson, K.; Kneipp, J. Molecular Structure and Interactions of Lipids in the Outer Membrane of Living Cells Based on Surface-Enhanced Raman Scattering and Liposome Models. Anal. Chem. 2021, 93, 10106–10113. [Google Scholar] [CrossRef] [PubMed]
- Brazhe, N.A.; Evlyukhin, A.B.; Goodilin, E.A.; Semenova, A.A.; Novikov, S.M.; Bozhevolnyi, S.I.; Chichkov, B.N.; Sarycheva, A.S.; Baizhumanov, A.A.; Nikelshparg, E.I. Probing cytochrome c in living mitochondria with surface-enhanced Raman spectroscopy. Sci. Rep. 2015, 5, 13793. [Google Scholar] [CrossRef] [Green Version]
- Wolf, F.A.D.; Maliepaard, M.; Dorsten, F.V.; Berghuis, I.; Nicolay, K.; Kruijff, B.D. Comparable interaction of doxorubicin with various acidic phospholipids results in changes of lipid order and dynamics. Biochim. Biophys. Acta 1990, 1096, 67–80. [Google Scholar] [CrossRef]
- Lichtenberger, L.M.; Zhou, Y.; Jayaraman, V.; Doyen, J.R.; O’Neil, R.G.; Dial, E.J.; Volk, D.E.; Gorenstein, D.G.; Boggara, M.B.; Krishnamoorti, R. Insight into NSAID-induced membrane alterations, pathogenesis and therapeutics: Characterization of interaction of NSAIDs with phosphatidylcholine. Biochim. Biophys. Acta 2012, 1821, 994–1002. [Google Scholar] [CrossRef] [Green Version]
- Buer, B.C.; Chugh, J.; Al-Hashimi, H.M.; Marsh, E.N.G. Using fluorine nuclear magnetic resonance to probe the interaction of membrane-active peptides with the lipid bilayer. Biochemistry 2010, 49, 5760–5765. [Google Scholar] [CrossRef]
- Barry, J.; Fritz, M.; Brender, J.R.; Smith, P.E.; Lee, D.-K.; Ramamoorthy, A. Determining the effects of lipophilic drugs on membrane structure by solid-state NMR spectroscopy: The case of the antioxidant curcumin. J. Am. Chem. Soc. 2009, 131, 4490–4498. [Google Scholar] [CrossRef] [Green Version]
- Firestone, M.A.; Wolf, A.C.; Seifert, S. Small-angle X-ray scattering study of the interaction of poly (ethylene oxide)-b-poly (propylene oxide)-b-poly (ethylene oxide) triblock copolymers with lipid bilayers. Biomacromolecules 2003, 4, 1539–1549. [Google Scholar] [CrossRef]
- Pan, J.; Tieleman, D.P.; Nagle, J.F.; Kučerka, N.; Tristram-Nagle, S. Alamethicin in lipid bilayers: Combined use of X-ray scattering and MD simulations. Biochim. Biophys. Acta Biomembr. 2009, 1788, 1387–1397. [Google Scholar] [CrossRef] [Green Version]
- Kiselev, M.A.; Lombardo, D. Structural characterization in mixed lipid membrane systems by neutron and X-ray scattering. Biochim. Biophys. Acta 2017, 1861, 3700–3717. [Google Scholar] [CrossRef] [PubMed]
- Srivastava, A.; Eisenthal, K.B. Kinetics of molecular transport across a liposome bilayer. Chem. Phys. Lett. 1998, 292, 345–351. [Google Scholar] [CrossRef]
- Nuriya, M.; Jiang, J.; Nemet, B.; Eisenthal, K.B.; Yuste, R. Imaging membrane potential in dendritic spines. Proc. Natl. Acad. Sci. USA 2006, 103, 786–790. [Google Scholar] [CrossRef] [PubMed] [Green Version]
- Jia, Z.; Eckenrode, H.M.; Dounce, S.M.; Dai, H.L. Time-resolved molecular transport across living cell membranes. Biophys. J. 2013, 104, 139–145. [Google Scholar]
- Rao, Y.; Kwok, S.J.; Lombardi, J.; Turro, N.J.; Eisenthal, K.B. Label-free probe of HIV-1 TAT peptide binding to mimetic membranes. Proc. Natl. Acad. Sci. USA 2014, 111, 12684–12688. [Google Scholar] [CrossRef] [Green Version]
- Varshney, G.; Kintali, S.; Gupta, P.; Das, K. Effect of bilayer partitioning of curcumin on the adsorption and transport of a cationic dye across POPG liposomes probed by second-harmonic spectroscopy. Langmuir 2016, 32, 10415–10421. [Google Scholar] [CrossRef]
- Kumal, R.R.; Nguyenhuu, H.; Winter, J.E.; Mccarley, R.L.; Haber, L.H. Impacts of salt, buffer, and lipid nature on molecular adsorption and transport in liposomes as observed by second harmonic generation. J. Phys. Chem. C 2017, 121, 15851–15860. [Google Scholar] [CrossRef]
- Gayen, A.; Kumar, D.; Matheshwaran, S.; Chandra, M. Unveiling the Modulating Role of Extracellular pH in Permeation and Accumulation of Small Molecules in Subcellular Compartments of Gram-negative Escherichia coli using Nonlinear Spectroscopy. Anal. Chem. 2019, 91, 7662–7671. [Google Scholar] [CrossRef]
- Chen, S.L.; Liang, Y.Z.; Hou, Y.; Wang, H.Q.; Wu, X.X.; Gan, W.; Yuan, Q.H. Simple physics in and easy manipulating of the interfacial behavior of charged molecules on drug delivery vesicles. Mater. Today Phys. 2019, 9, 100092. [Google Scholar] [CrossRef]
- Ruan, Y.; Guha, P.; Chen, S.-L.; Yuan, Q.; Gan, W. Observing the structural variations on binary complex vesicle surfaces and the influence on molecular transportation. Chem. Phys. 2021, 548, 111250. [Google Scholar] [CrossRef]
- Kim, J.; Kim, G.; Cremer, P.S. Investigations of water structure at the solid/liquid interface in the presence of supported lipid bilayers by vibrational sum frequency spectroscopy. Langmuir 2001, 17, 7255–7260. [Google Scholar] [CrossRef]
- Watry, M.R.; Tarbuck, T.L.; Richmond, G.L. Vibrational sum-frequency studies of a series of phospholipid monolayers and the associated water structure at the vapor/water interface. J. Phys. Chem. B 2003, 107, 512–518. [Google Scholar] [CrossRef]
- Nguyen, T.T.; Rembert, K.; Conboy, J.C. Label-free detection of drug-membrane association using ultraviolet−visible sum-frequency generation. J. Am. Chem. Soc. 2009, 131, 1401–1403. [Google Scholar] [CrossRef] [Green Version]
- Eftekhari-Bafrooei, A.; Borguet, E. Effect of surface charge on the vibrational dynamics of interfacial water. J. Am. Chem. Soc. 2009, 131, 12034–12035. [Google Scholar] [CrossRef] [PubMed]
- Ye, S.; Li, H.; Wei, F.; Jasensky, J.; Boughton, A.P.; Yang, P.; Chen, Z. Observing a model ion channel gating action in model cell membranes in real time in situ: Membrane potential change induced alamethicin orientation change. J. Am. Chem. Soc. 2012, 134, 6237–6243. [Google Scholar] [CrossRef] [PubMed] [Green Version]
- Wei, F.; Xiong, W.; Li, W.; Lu, W.; Allen, H.C.; Zheng, W. Assembly and relaxation behaviours of phosphatidylethanolamine monolayers investigated by polarization and frequency resolved SFG-VS. Phys. Chem. Chem. Phys. 2015, 17, 25114–25122. [Google Scholar] [CrossRef] [PubMed]
- Feng, R.-J.; Li, X.; Zhang, Z.; Lu, Z.; Guo, Y. Spectral assignment and orientational analysis in a vibrational sum frequency generation study of DPPC monolayers at the air/water interface. J. Chem. Phys. 2016, 145, 244707. [Google Scholar] [CrossRef]
- Dogangun, M.; Ohno, P.E.; Liang, D.; McGeachy, A.C.; Be, A.G.; Dalchand, N.; Li, T.; Cui, Q.; Geiger, F.M. Hydrogen-bond networks near supported lipid bilayers from vibrational sum frequency generation experiments and atomistic simulations. J. Phys. Chem. B 2018, 122, 4870–4879. [Google Scholar] [CrossRef] [Green Version]
- Okur, H.I.; Tarun, O.B.; Roke, S. Chemistry of Lipid Membranes from Models to Living Systems: A Perspective of Hydration, Surface Potential, Curvature, Confinement and Heterogeneity. J. Am. Chem. Soc. 2019, 141, 12168–12181. [Google Scholar] [CrossRef]
- Fellows, A.P.; Casford, M.T.; Davies, P.B. Orientation analysis of sum frequency generation spectra of di-chain phospholipids: Effect of the second acyl chain. AIP Adv. 2021, 11, 045119. [Google Scholar] [CrossRef]
- Nojima, Y.; Yamaguchi, S. Heterodyne-Detected Sum Frequency Generation Spectroscopic Study of Weakly Hydrogen-Bonded Water at Charged Lipid Interfaces, Revisited. J. Phys. Chem. C 2021, 125, 23483–23489. [Google Scholar] [CrossRef]
- Singh, P.C.; Ahmed, M.; Nihonyanagi, S.; Yamaguchi, S.; Tahara, T. DNA-Induced Reorganization of Water at Model Membrane Interfaces Investigated by Heterodyne-Detected Vibrational Sum Frequency Generation Spectroscopy. J. Phys. Chem. B 2022, 126, 840–846. [Google Scholar] [CrossRef] [PubMed]
- Boyd, R.W. Nonlinear Optics; Academic Press: Cambridge, MA, USA, 2020. [Google Scholar]
- Shen, Y.R. Surface properties probed by second-harmonic and sum-frequency generation. Nature 1989, 337, 519–525. [Google Scholar] [CrossRef] [Green Version]
- Wang, H.; Yan, E.C.Y.; Yan, L.; Eisenthal, K.B. Energetics and Population of Molecules at Microscopic Liquid and Solid Surfaces. J. Phys. Chem. B 1998, 102, 4446–4450. [Google Scholar] [CrossRef]
- Gan, W.; Xu, B.L.; Dai, H.L. Super bright luminescent metallic nanoparticles. J. Phys. Chem. Lett. 2018, 9, 4155–4159. [Google Scholar] [CrossRef]
- Li, J.H.; Chen, S.L.; Hou, Y.; Yuan, Q.H.; Gan, W. Revealing the mechanisms of vesicle formation with multiple spectral methods. Phys. Chem. Chem. Phys. 2022, 24, 12465–12475. [Google Scholar] [CrossRef]
- Wilhelm, M.J.; Sheffield, J.B.; Sharifian, G.M.; Wu, Y.; Spahr, C.; Gonella, G.; Xu, B.; Dai, H.L. Gram’s Stain Does Not Cross the Bacterial Cytoplasmic Membrane. ACS Chem. Biol. 2015, 10, 1711–1717. [Google Scholar] [CrossRef] [PubMed]
- Xue, S.; Chen, S.-L.; Ling, Q.; Yuan, Q.; Gan, W. Photocatalytic redox on the surface of colloidal silver nanoparticles revealed by second harmonic generation and two-photon luminescence. Phys. Chem. Chem. Phys. 2021, 23, 19752–19759. [Google Scholar] [CrossRef]
- Khoury, R.A.; Ranasinghe, J.C.; Dikkumbura, A.S.; Hamal, P.; Kumal, R.R.; Karam, T.E.; Smith, H.T.; Haber, L.H. Monitoring the Seed-Mediated Growth of Gold Nanoparticles Using in Situ Second Harmonic Generation and Extinction Spectroscopy. J. Phys. Chem. C 2018, 122, 24400–24406. [Google Scholar] [CrossRef]
- Dalchand, N.; Cui, Q.; Geiger, F.M. Electrostatics, Hydrogen Bonding, and Molecular Structure at Polycation and Peptide: Lipid Membrane Interfaces. ACS Appl. Mater. Interfaces 2019, 12, 21149–21158. [Google Scholar] [CrossRef] [Green Version]
- Swain, J.; Mishra, A.K. Location, partitioning behavior, and interaction of capsaicin with lipid bilayer membrane: Study using its intrinsic fluorescence. J. Phys. Chem. B 2015, 119, 12086–12093. [Google Scholar] [CrossRef] [PubMed]
- Alves, A.C.; Ribeiro, D.; Horta, M.; Jlfc, L.; Nunes, C.; Reis, S. A biophysical approach to daunorubicin interaction with model membranes: Relevance for the drug’s biological activity. J. R. Soc. Interface 2017, 14, 20170408. [Google Scholar] [CrossRef] [PubMed]
- Dufourd, J.; Mathis, P.; Schreck, P.; Frezard, F.; Garnier-Suillerot, A. Permeability of lipid bilayer to anthracycline derivatives. Role of the bilayer composition and of the temperature. Biochim. Biophys. Acta 1998, 1389, 13–22. [Google Scholar]
- Perkins, R.J.; Vaida, V. Phenylalanine Increases Membrane Permeability. J. Am. Chem. Soc. 2017, 139, 14388–14391. [Google Scholar] [CrossRef] [Green Version]
- Xu, L.; Zhang, J.; Yin, L.; Long, X.; Zhang, W.; Zhang, Q. Recent progress in efficient organic two-photon dyes for fluorescence imaging and photodynamic therapy. J. Mater. Chem. C 2020, 8, 6342–6349. [Google Scholar] [CrossRef]
- Hou, Y.; Chen, S.L.; Gan, W.; Ma, X.; Yuan, Q.H. Understanding the dynamic behavior of an anti-cancer drug-doxorubicin on a lipid membrane using multiple spectroscopic techniques. J. Phys. Chem. B 2019, 123, 3756–3762. [Google Scholar] [CrossRef]
- Hou, Y.; Li, J.; Liu, X.; Ruan, Y.; Chen, S.-L.; Yuan, Q.; Gan, W. The effect of side group on the dynamic behavior of anthracyclines on DOPG lipid membranes revealed by second harmonic generation and fluorescence. Chem. Phys. 2021, 541, 111036. [Google Scholar] [CrossRef]
- Tian, C.; Yang, Y.; Bai, B.; Wang, S.; Liu, M.; Sun, R.-C.; Yu, T.; Chu, X.-M. Potential of exosomes as diagnostic biomarkers and therapeutic carriers for doxorubicin-induced cardiotoxicity. Int. J. Biol. Sci. 2021, 17, 1328–1338. [Google Scholar] [CrossRef]
- Gabizon, A.; Shmeeda, H.; Barenholz, Y. Pharmacokinetics of pegylated liposomal doxorubicin. Clin. Pharmacokinet. 2003, 42, 419–436. [Google Scholar] [CrossRef]
- Li, J.H.; Chen, S.L.; Hou, Y.; Zhou, J.; Yuan, Q.H.; Gan, W. Drastically modulating the structure, fluorescence, and functionality of doxorubicin in lipid membrane by interfacial density control. J. Chem. Phys. 2019, 151, 224706. [Google Scholar] [CrossRef]
- Li, B.; Li, J.; Gan, W.; Tan, Y.; Yuan, Q. Unveiling the Molecular Dynamics in a Living Cell to the Subcellular Organelle Level Using Second-Harmonic Generation Spectroscopy and Microscopy. Anal. Chem. 2021, 93, 14146–14152. [Google Scholar] [CrossRef] [PubMed]
- Xu, B.; Chen, S.-L.; Zhang, Y.; Li, B.; Yuan, Q.; Gan, W. Evaluating the cross-membrane dynamics of a charged molecule on lipid films with different surface curvature. J. Colloid Interface Sci. 2022, 610, 376–384. [Google Scholar] [CrossRef] [PubMed]
- Jen, S.-H.; Gonella, G.; Dai, H.-L. The effect of particle size in second harmonic generation from the surface of spherical colloidal particles. I: Experimental observations. J. Phys. Chem. A 2009, 113, 4758–4762. [Google Scholar] [CrossRef] [PubMed]
- Hou, Y.; Xu, B.; Chen, S.-L.; Yuan, Q.H.; Gan, W.; Lin, X. Understanding the different cross-membrane transport kinetics of two charged molecules on DOPG lipid surface with second harmonic generation and MD simulation. Soft Matter 2022, 18, 4305–4314. [Google Scholar] [CrossRef]
- Mohan, P.; Rapoport, N. Doxorubicin as a molecular nanotheranostic agent: Effect of doxorubicin encapsulation in micelles or nanoemulsions on the ultrasound-mediated intracellular delivery and nuclear trafficking. Mol. Pharm. 2010, 7, 1959–1973. [Google Scholar] [CrossRef] [Green Version]
- Hossann, M.; Wang, T.; Wiggenhorn, M.; Schmidt, R.; Zengerle, A.; Winter, G.; Eibl, H.; Peller, M.; Reiser, M.; Issels, R.D. Size of thermosensitive liposomes influences content release. J. Control. Release 2010, 147, 436–443. [Google Scholar] [CrossRef]
- Wu, J.; Liu, W.; Ge, J.; Zhang, H.; Wang, P. New sensing mechanisms for design of fluorescent chemosensors emerging in recent years. Chem. Soc. Rev. 2011, 40, 3483–3495. [Google Scholar] [CrossRef]
- Mei, J.; Leung, N.L.; Kwok, R.T.; Lam, J.W.; Tang, B.Z. Aggregation-induced emission: Together we shine, united we soar! Chem. Rev. 2015, 115, 11718–11940. [Google Scholar] [CrossRef]
- Harrigan, P.; Wong, K.; Redelmeier, T.; Wheeler, J.; Cullis, P. Accumulation of doxorubicin and other lipophilic amines into large unilamellar vesicles in response to transmembrane pH gradients. Biochim. Biophys. Acta Biomembr. 1993, 1149, 329–338. [Google Scholar] [CrossRef]
- Fatima, M.T.; Islam, Z.; Ahmad, E.; Barreto, G.E.; Ashraf, G.M. Ionic gradient liposomes: Recent advances in the stable entrapment and prolonged released of local anesthetics and anticancer drugs. Biomed. Pharmacother. 2018, 107, 34–43. [Google Scholar] [CrossRef]
- Reeves, J.P.; Dowben, R.M. Formation and properties of thin-walled phospholipid vesicles. J. Cell. Physiol. 1969, 73, 49–60. [Google Scholar] [CrossRef] [PubMed]
- Hishida, M.; Seto, H.; Yoshikawa, K. Smooth/rough layering in liquid-crystalline/gel state of dry phospholipid film, in relation to its ability to generate giant vesicles. Chem. Phys. Lett. 2005, 411, 267–272. [Google Scholar] [CrossRef] [Green Version]
- Has, C.; Pan, S. Vesicle formation mechanisms: An overview. J. Liposome Res. 2021, 31, 90–111. [Google Scholar] [CrossRef] [PubMed]
- Chen, S.L.; Zhu, X.F.; Yang, F.Y.; Pan, X.C.; Gan, W.; Yuan, Q.H. Order-disorder transition of carboxyl terminated chains in polydiacetylenes vesicles probed by second harmonic generation and two-photon fluorescence. Chin. J. Chem. Phys. 2018, 31, 269. [Google Scholar] [CrossRef]
- Miller, L.N.; Brewer, W.T.; Williams, J.D.; Fozo, E.M.; Calhoun, T.R. Second harmonic generation spectroscopy of membrane probe dynamics in gram-positive bacteria. Biophys. J. 2019, 117, 1419–1428. [Google Scholar] [CrossRef]
- Luo, J.; Xie, Z.; Lam, J.W.; Cheng, L.; Chen, H.; Qiu, C.; Kwok, H.S.; Zhan, X.; Liu, Y.; Zhu, D. Aggregation-induced emission of 1-methyl-1, 2, 3, 4, 5-pentaphenylsilole. Chem. Commun. 2001, 37, 1740–1741. [Google Scholar] [CrossRef] [PubMed]
- Zhao, Z.; Zhang, H.; Lam, J.W.; Tang, B.Z. Aggregation-induced emission: New vistas at the aggregate level. Angew. Chem. Int. Ed. 2020, 59, 9888–9907. [Google Scholar] [CrossRef]
- Gauderon, R.; Lukins, P.; Sheppard, C. Simultaneous multichannel nonlinear imaging: Combined two-photon excited fluorescence and second-harmonic generation microscopy. Micron 2001, 32, 685–689. [Google Scholar] [CrossRef]
- Le, T.T.; Langohr, I.M.; Locker, M.J.; Sturek, M.; Cheng, J.-X. Label-free molecular imaging of atherosclerotic lesions using multimodal nonlinear optical microscopy. J. Biomed. Opt. 2007, 12, 054007. [Google Scholar] [CrossRef] [Green Version]
- Chen, H.; Wang, H.; Slipchenko, M.N.; Jung, Y.; Shi, Y.; Zhu, J.; Buhman, K.K.; Cheng, J.-X. A multimodal platform for nonlinear optical microscopy and microspectroscopy. Opt. Express 2009, 17, 1282–1290. [Google Scholar] [CrossRef]
- Pope, I.; Langbein, W.; Watson, P.; Borri, P. Simultaneous hyperspectral differential-CARS, TPF and SHG microscopy with a single 5 fs Ti: Sa laser. Opt. Express 2013, 21, 7096–7106. [Google Scholar] [CrossRef] [PubMed]
- Nuriya, M.; Fukushima, S.; Momotake, A.; Shinotsuka, T.; Yasui, M.; Arai, T. Multimodal two-photon imaging using a second harmonic generation-specific dye. Nat. Commun. 2016, 7, 11557. [Google Scholar] [CrossRef] [PubMed] [Green Version]


















Publisher’s Note: MDPI stays neutral with regard to jurisdictional claims in published maps and institutional affiliations. |
© 2022 by the authors. Licensee MDPI, Basel, Switzerland. This article is an open access article distributed under the terms and conditions of the Creative Commons Attribution (CC BY) license (https://creativecommons.org/licenses/by/4.0/).
Share and Cite
Hou, Y.; Li, J.; Li, B.; Yuan, Q.; Gan, W. Combined Second Harmonic Generation and Fluorescence Analyses of the Structures and Dynamics of Molecules on Lipids Using Dual-Probes: A Review. Molecules 2022, 27, 3778. https://doi.org/10.3390/molecules27123778
Hou Y, Li J, Li B, Yuan Q, Gan W. Combined Second Harmonic Generation and Fluorescence Analyses of the Structures and Dynamics of Molecules on Lipids Using Dual-Probes: A Review. Molecules. 2022; 27(12):3778. https://doi.org/10.3390/molecules27123778
Chicago/Turabian StyleHou, Yi, Jianhui Li, Bifei Li, Qunhui Yuan, and Wei Gan. 2022. "Combined Second Harmonic Generation and Fluorescence Analyses of the Structures and Dynamics of Molecules on Lipids Using Dual-Probes: A Review" Molecules 27, no. 12: 3778. https://doi.org/10.3390/molecules27123778
APA StyleHou, Y., Li, J., Li, B., Yuan, Q., & Gan, W. (2022). Combined Second Harmonic Generation and Fluorescence Analyses of the Structures and Dynamics of Molecules on Lipids Using Dual-Probes: A Review. Molecules, 27(12), 3778. https://doi.org/10.3390/molecules27123778

