Abstract
Herein, we first report an electrochemical methodology for the site-selective alkylation of azobenzenes with (thio)xanthenes in the absence of any transition metal catalyst or external oxidant. A variety of groups are compatible with this electrochemical alkylation, which furnishes the products in moderate to good yields.
Keywords:
electrochemistry; azobenzenes; xanthenes; thioxanthenes; alkylation; C–H functionalization 1. Introduction
Azobenzenes are a class of unique aromatic compounds that have been broadly applied in numerous fields, including biomedicine, solar thermal fuels and organic synthesis [1,2,3]. The azo unit is always considered as a privileged scaffold in the design of polymer and chiral catalysts as it readily undergoes cis/trans isomerization upon irradiation under UV or visible light [4,5,6,7,8]. Particularly, azobenzenes have also received increasing attention because of their powerful ability to manipulate organic molecules in synthetic chemistry. Accordingly, various synthetic methods that provide access to, and direct functionalization of, azobenzenes have become an area of interest within the fields of organic synthesis [9,10,11].
To the best of our knowledge, transition metal-catalyzed inert C–H activation, assisted by a directing group, is the most reliable method for chemical bond formation, and has proven to be indispensable for organic synthesis [12,13,14]. More specifically, azobenzenes, containing an “N=N” unit, can readily coordinate with a suitable transition metal, such as Pd, Ru, Rh, Co, Mn and some others, enabling the activation and late-stage functionalization of an ortho-position C–H bond (Scheme 1A) [15,16,17,18,19,20,21,22,23,24,25]. For example, our group and Ellman’s group early in 2013 completed indazole synthesis from the inert ortho C–H activation of azobenzenes enabled by Pd and Rh catalysis, respectively [16,17]. A number of excellent works on the functionalization of azobenzenes have been reported, using the same strategies. Recently, our group found that aryne chemistry could realize the mild transformation of azobenzenes into carbazole derivatives under sunlight irradiation, which bypasses the use of toxic transition metal catalysts and oxidants (Scheme 1B) [26]. Most precedents mainly focus on the ortho-C–H, while those involving meta- or para-position C–H functionalization remain relatively scarce [27,28]. Yang, Li and coworkers in 2017 reported Ru-catalyzed CAr–H (di)alkylation reactions of azobenzenes with various types of alkyl bromides, in which meta-/ortho-selectivity could be well controlled and achieved (Scheme 1C) [27]. Furthermore, advancement on the para-position C–H activation and functionalization of azobenzenes has just been achieved. Very recently, Su’s group first reported a cobalt-catalyzed para-selective amination of azobenzenes with a variety of secondary amine compounds, in which the presence of a ligand is crucial for the transformation (Scheme 1D) [28]. Remarkably, most of the previously reported works on the functionalization of azobenzenes suffered from the use of transition metal catalysts, toxic oxidants and high reaction temperatures, which have severely restricted their further application in synthetic chemistry. Currently, the development of a simple and mild method for the diverse functionalization of azobenzenes is highly desirable.
Scheme 1.
Strategies for the C–H functionalization of azobenzenes.
In recent years, electrochemical synthesis has received increasing attention for its powerful ability to forge chemical bonds, presumably due to the advantages of no external stoichiometric chemical oxidants or reductants and milder conditions over the conventional approaches [29,30,31,32,33,34,35,36,37,38,39,40]. As a result, we speculate that electrochemistry maybe provides a unique opportunity to facilitate the functionalization of azobenzene. In a recent study, we disclosed an electrochemical formal [3 + 2] cycloaddition of azobenzenes with hexahydro-1,3,5-triazines, which afforded 1,2,4-triazolidine derivatives in an efficient fashion [41]. Based on these works, and our recent findings in electrochemical synthesis [41,42,43], we continue our effort to address the problem of para-position C–H functionalization in the azobenzenes with the electrochemical method. Herein, we report a catalyst-free alkylation of azobenzenes with (thio)xanthenes enabled by electrochemistry, which affords a series of azobenzenes derivatives with high regioselectivity (Scheme 1E).
2. Results and Discussion
Initially, (E)-1,2-Diphenyldiazene (1a) and xanthene (2a) were chosen as the model substrates to optimize the reaction conditions for the electrochemical alkylation reaction (Table 1). The reaction system was conducted with two carbon rods as the anode and cathode, nBu4NPF6 as an electrolyte, MeOH as a solvent, at constant current of 9 mA and room temperature for 4 h, generating the desired product 3a in 76% yield (Table 1, entry 1). Meanwhile, the faradaic efficiency for the electrochemical alkylation of azobenzene was determined as 33.9% (For details, see the electronic Supporting Information). Replacing the electrolyte nBu4NPF6 with some other commonly used electrolytes, such as nBu4NBF4, nBu4NI and LiClO4, led to the formation of 3a in decreasing yields (entries 2–4). It was found that choice of electrode materials proved to be crucial for this alkylation reaction. Employment of Pt(+)|Pt(−) as an electrode did not promote the model reaction (entry 5). Lower yields of 3a were obtained when carbon with Pt was used as either the anode or cathode (Table 1, entries 6 and 7). Graphite felt (GF) or Ni electrodes could not improve the yield (entries 8–10). Next, a variety of solvents, including DCE, CH3CN, THF, DMF and acetone, were screened, and the result showed that MeOH was the best solvent (entries 11–15). Decreasing or increasing the reaction time did not improve the yield of 3a (entries 16–17). Subsequently, changing the intensity of constant current from 8 mA to 10 mA also failed to enhance the yield of 3a (entries 18–19). The control experiment demonstrated that the reaction could not proceed without electric current (entry 20). Furthermore, the reaction performed under N2 atmosphere had no obvious effect on the yield of 3a (entry 21).
Table 1.
Optimization of the reaction conditions a.
With the established optimal reaction conditions, we set out to investigate the substrate scope of azobenzenes (Scheme 2). In general, azobenzenes bearing electron-donating and electron-withdrawing groups are well compatible with this reaction. First, a variety of mono-substituted azobenzenes were examined under the optimized conditions. For the 4-substituted azobenzenes, the reaction took place specifically on the 4’-position (3b–3i). Alkyl substituents, including Me, Et, i-Pr and t-Bu, were well tolerated in the electrochemical system, and generated the desired product 3b–3e in good yields. Gratifyingly, we further determined the exact structure of 3d by single-crystal analysis [44]. In addition, we found that incorporation of OCF3 on the 4-position of azobenzene gave the product 3f a 63% yield. Azobenzenes bearing strong electron-withdrawing groups, such as acetyl, cyano and trifluoromethyl group, could interact well with xanthene to form the products 3g–3i in moderate yields by prolonging reaction time, which indicated that the electron-withdrawing group could reduce the reactivity of the substrates. Unfortunately, introduction of an ester group failed to cause a reaction with xanthene (3j). For the 3-substituted azobenzene, the reaction randomly happened on both the 4-positon and the 4’-position of the aromatic ring, affording the mixture of 3k and 3k’ in 72% total yield. Next, we examined a variety of disubstituted azobenzenes bearing 2,3-dimethyl,2,4-dimethyl,3,4-dimethyl and 3,5-dimethyl substituents, and all of them worked well under the reaction conditions to form the corresponding products 3l–3o in good yields and regioselectivity. Notably, the alkylation reaction selectively happened on the 4’-position of these disubstituted unsymmetrical azobenzenes. In addition, some symmetrical azobenzenes were also tested. It was found that both (E)-1,2-di-m-tolyldiazene and (E)-1,2-bis(2-isopropylphenyl)diazene proceeded smoothly to generate the products 3p–3q in moderate yields.
Scheme 2.
Scope of azobenzenes a,b,c. a Reaction conditions: 1 (0.30 mmol), 2a (0.36 mmol), nBu4NPF6 (2.0 equiv), MeOH (5.0 mL), carbon rod anode (Φ 6 mm), carbon rod cathode (Φ 6 mm), rt, 4 h (Q = 4.48 F mol−1). b Isolated yields are shown. c Gram-scale synthesis. d 8 h.
We next continued to explore the dialkylation of azobenzenes with xanthene 2a (Scheme 3). By increasing the amount of 2a to 2.2 equivalents and prolonging the reaction time to 6 h, the dialkylation of azobenzenes proceeded well under the modified reaction conditions. For instance, some unsymmetrical azobenzenes, bearing 2-Me and 2-iPr substituents, reacted with xanthene to generate the corresponding products 4a and 4b in 68% and 63% yields, respectively. Additionally, we also found that symmetrical azobenzene (E)-1,2-bis (2-isopropylphenyl)diazene was demonstrated to be a suitable substrate and resulted in the formation of 4c in 57% yield.
Scheme 3.
Dialkylation of azobenzenes with xanthene 2a a,b. a Reaction conditions: 1 (0.30 mmol), 2a (0.66 mmol), nBu4NPF6 (2.0 equiv), MeOH (5.0 mL), carbon rod anode (Φ 6 mm), carbon rod cathode (Φ 6 mm), rt, 6 h (Q = 6.72 F mol−1). b Isolated yields are shown.
We then turned our attention to the tolerance of the reaction towards functional groups on the xanthenes and thioxanthenes, and the results are listed in Scheme 4. More specifically, methyl, methoxy, phenyl on the different position of xanthene were well tolerated (5a–c). Benzoxanthene and derivatives, such as 12H-benzo[a]xanthene, 7H-benzo[c]xanthene, 10-methyl-12H-benzo[a]xanthene, reacted well with azobenzene, generating the products 5d–5f in acceptable yields. Furthermore, some simple thioxanthenes were also examined, and products 5g–5i were achieved in 58–66% yields.
Scheme 4.
Scope of (thio)xanthenes a,b. a Reaction conditions: 1a (0.30 mmol), 2 (0.36 mmol), nBu4NPF6 (2.0 equiv), MeOH (5.0 mL), carbon rod anode (Φ 6 mm), carbon rod cathode (Φ 6 mm), rt, 4 h (Q = 4.48 F mol−1). b Isolated yields are shown.
Then, the KIE experiments were carried out to gain insight into the reaction mechanism (Scheme 5). The competing reaction of xanthene 2a and deuterated xanthene 2a-D2 (1:1) with azobenzene determined the KIE with KH/KD as 1.2, indicating that the cleavage of benzylic C(sp3)–H of xanthene was not the rate-determining step. In contrast, an obvious isotope effect (KIE = 2.2) was observed when performing the competing reaction of azobenzene 1a and deuterated azobenzene 1a-D10 (1:1) with xanthene under standard conditions. These results showed that the cleavage of CAr-H within azobenzene was presumably involved in the rate-determining step (For details, see Supplementary Materials). In addition, some cyclic voltammetry (CV) experiments were carried out to study the redox potential of the substrates (Figure 1). Remarkably, the oxidation potential of azobenzene 1a (Ep = 2.2 V) was far higher than that of xanthene 2a (Ep = 1.3, 1.7 V), demonstrating that the xanthene 2a should be preferentially oxidized in the electrochemical system.
Scheme 5.
KIE experiments.
Figure 1.
A cyclic voltammogram recorded in CH3OH with 0.1 M nBu4NPF6 as the supporting electrolyte, 1a (1 mM), 2a (1 mM), 1a + 2a (1 mM).
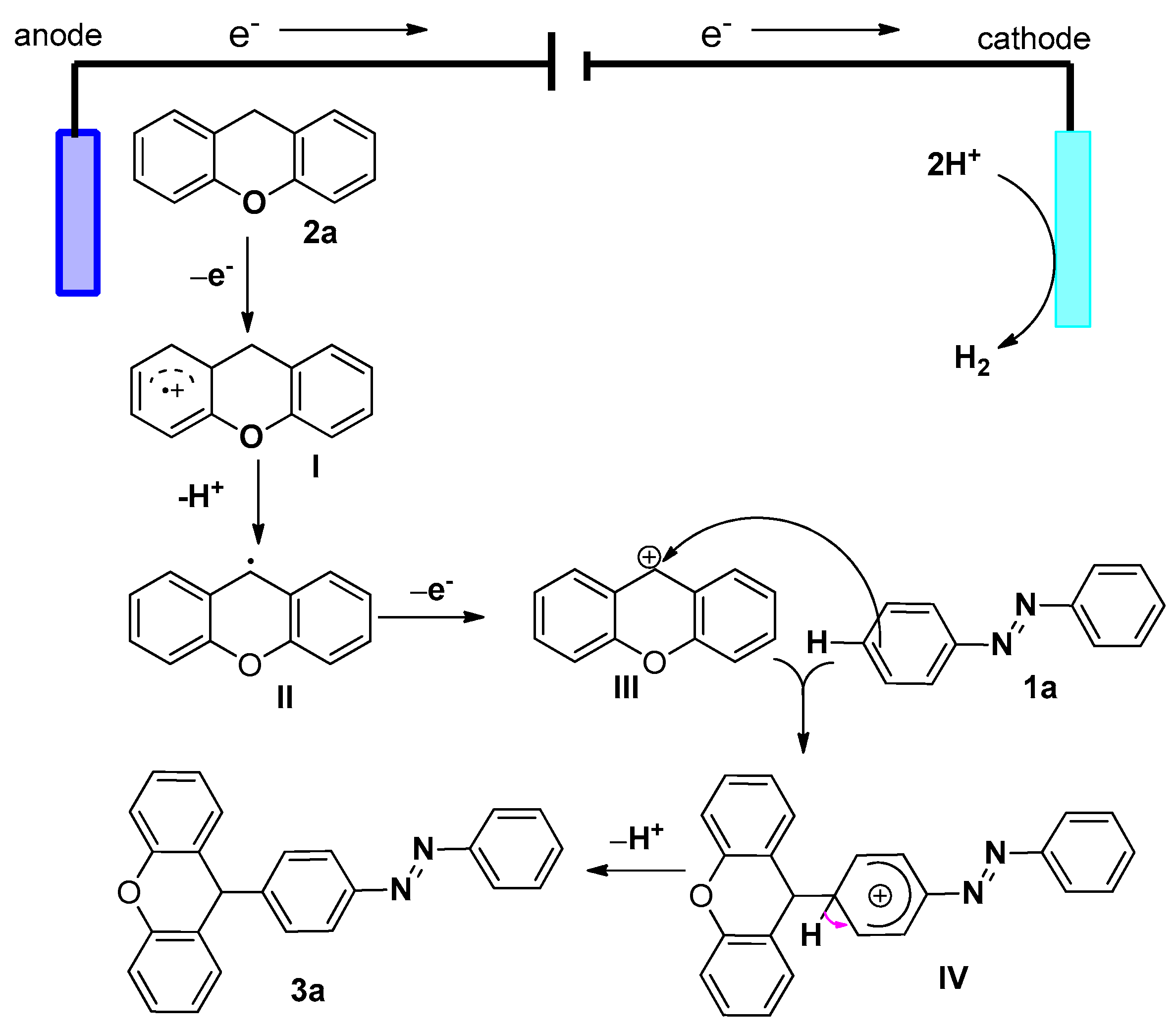
Based on the above mechanistic experiments and previous reports [41,42,43,45,46,47,48,49], a possible reaction mechanism is proposed in Scheme 6. Firstly, anodic oxidation of xanthene 2a led to the formation of intermediate I, which was further deprotonated to generate radical II, followed by an anode oxidation to form the cationic species III. Secondly, a possible Friedel-Crafts reaction of 1a with the cationic species III occurred to yield the intermediate IV. Finally, deprotonation of IV gave the product 3a.
Scheme 6.
Possible reaction mechanism.
3. Materials and Methods
3.1. General Considerations
All 1H NMR and 13C NMR spectra were recorded on a 600 MHz Bruker FT-NMR spectrometer (600 MHz and 151 MHz, respectively). All chemical shifts are given as δ value (ppm) with reference to tetramethylsilane (TMS) as an internal standard. The peak patterns are indicated as follows: s, singlet; d, doublet; t, triplet; m, multiplet; q, quartet. The coupling constants, J, are reported in Hertz (Hz). High resolution mass spectroscopy data of the products were collected on an Agilent Technologies 6540 UHD Accurate-Mass Q-TOF LC/MS (ESI) and a Thermo Fisher Scientific LTQ FTICR-MS instrument. Melting points were determined in open capillary tube using WRS-1B digital melting point apparatus.
The starting materials, such as azobenzenes and xanthenes, were prepared according to the reported methods [42,43,50,51]. All the solvents are commercially available and directly used in this electrochemical system. Products were purified by flash chromatography on silica gels, eluting with petroleum ether/ethyl acetate (100:1 to 20:1).
3.2. Typical Procedure for the Synthesis of 3a
Azobenzene (1a, 0.30 mmol, 1.0 equiv), xanthene (2a, 0.36 mmol, 1.2 equiv), nBu4NPF6 (0.60 mmol, 2.0 equiv) and CH3OH (5.0 mL) were sequentially added into a 15.0 mL oven-dried undivided single necked bottle that equipped with a magnetic stirrer bar and sealed with rubber plugs under air atmosphere. A carbon rod (Φ 6 mm) anode and a carbon rod (Φ 6 mm) were used as the cathode in the bottle. About 1.0 cm of the carbon rod was under the solution. The reaction mixture was stirred and electrolyzed at a constant current of 9 mA under air at room temperature for 4 h. After completion of the reaction, the solution was concentrated in vacuum. The resulting crude mixture was purified by flash column chromatography (petroleum ether/ethyl acetate = 100:1) to give the desired product 3a as an orange solid (82.6 mg, 76% yield).
(E)-1-(4-(9H-Xanthen-9-yl)phenyl)-2-phenyldiazene (3a): Prepared following general procedure and the reaction mixture was purified by flash column chromatography with petroleum ether and ethyl acetate (PE/EA = 100:1) to afford the product 3a (82.6 mg, 76% yield). Orange solid; m.p.: 179.6~181.5 °C. 1H NMR (600 MHz, CDCl3) δ 7.87 (d, J = 7.2 Hz, 2H), 7.83 (d, J = 8.4 Hz, 2H), 7.50 (t, J = 7.2 Hz, 2H), 7.46 (t, J = 7.2 Hz, 1H), 7.35 (d, J = 8.4 Hz, 2H), 7.23 (t, J = 7.8 Hz, 2H), 7.16 (d, J = 7.8 Hz, 2H), 7.08 (d, J = 7.2 Hz, 2H), 7.00 (t, J = 7.8 Hz, 2H), 5.36 (s, 1H). 13C NMR (151 MHz, CDCl3) δ 152.7, 151.5, 151.0, 149.4, 130.9, 129.7, 129.2, 129.1, 128.2, 123.8, 123.3, 122.8, 116.7, 44.3. HRMS (ESI) calcd for C25H19N2O+ [M + H]+ 363.1492, found 363.1496.
(E)-1-(4-(9H-Xanthen-9-yl)phenyl)-2-(p-tolyl)diazene (3b): Prepared following general procedure and the reaction mixture was purified by flash column chromatography with petroleum ether and ethyl acetate (PE/EA = 100:1) to afford the product 3b (87.1 mg, 77% yield). Orange solid; m.p.: 176.4~178.2 °C. 1H NMR (600 MHz, CDCl3) δ 7.82 (d, J = 7.8 Hz, 2H), 7.80 (d, J = 8.4 Hz, 2H), 7.35 (d, J = 8.4 Hz, 2H), 7.30 (d, J = 7.8 Hz, 2H), 7.24 (t, J = 7.8 Hz, 2H), 7.17 (d, J = 8.4 Hz, 2H), 7.08 (d, J = 7.8 Hz, 2H), 7.00 (t, J = 7.8 Hz, 2H), 5.35 (s, 1H), 2.43 (s, 3H). 13C NMR (151 MHz, CDCl3) δ 151.5, 151.0, 150.8, 149.0, 141.5, 129.7, 129.1, 128.1, 123.8, 123.3, 123.2, 122.8, 116.6, 44.2, 21.5. HRMS (ESI) calcd for C26H21N2O+ [M + H]+ 377.1648, found 377.1650.
(E)-1-(4-(9H-Xanthen-9-yl)phenyl)-2-(4-ethylphenyl)diazene (3c): Prepared following general procedure and the reaction mixture was purified by flash column chromatography with petroleum ether and ethyl acetate (PE/EA = 100:1) to afford the product 3c (85.3 mg, 73% yield). Orange solid; m.p.: 178.6~181.1 °C. 1H NMR (600 MHz, CDCl3) δ 7.82 (d, J = 7.8 Hz, 4H), 7.35 (d, J = 8.4 Hz, 2H), 7.33 (d, J = 8.4 Hz, 2H), 7.23 (t, J = 7.2 Hz, 2H), 7.16 (d, J = 8.4 Hz, 2H), 7.08 (d, J = 7.8 Hz, 2H), 7.00 (t, J = 7.8 Hz, 2H), 5.35 (s, 1H), 2.73 (q, J = 7.8 Hz, 2H), 1.28 (t, J = 7.8 Hz, 3H). 13C NMR (151 MHz, CDCl3) δ 151.5, 151.0, 149.0, 147.7, 129.7, 129.1, 128.5, 128.1, 123.8, 123.3, 123.2, 122.9, 118.0, 116.7, 44.2, 28.8, 15.4. HRMS (ESI) calcd for C27H23N2O+ [M + H]+ 391.1805, found 391.1805.
(E)-1-(4-(9H-Xanthen-9-yl)phenyl)-2-(4-isopropylphenyl)diazene (3d): Prepared following general procedure and the reaction mixture was purified by flash column chromatography with petroleum ether and ethyl acetate (PE/EA = 100:1) to afford the product 3d (90.8 mg, 75% yield). Red solid; m.p.: 177.6~179.3 °C. 1H NMR (600 MHz, CDCl3) δ 7.83–7.81 (m, 4H), 7.36–7.34 (m, 4H), 7.23 (t, J = 7.2 Hz, 2H), 7.16 (d, J = 7.8 Hz, 2H),7.08 (d, J = 7.2 Hz, 2H), 7.00 (t, J = 7.8 Hz, 2H), 5.35 (s, 1H), 3.01–2.96 (m, 1H), 1.30 (d, J = 6.6 Hz, 6H). 13C NMR (151 MHz, CDCl3) δ 152.3, 151.5, 151.1, 151.0, 149.0, 129.7, 129.1, 128.1, 127.1, 123.8, 123.3, 123.2, 122.9, 116.7, 44.2, 34.1, 23.8. HRMS (ESI) calcd for C28H24N2O+ [M + H]+ 405.1961, found 405.1964.
(E)-1-(4-(9H-Xanthen-9-yl)phenyl)-2-(4-(tert-butyl)phenyl)diazene (3e): Prepared following general procedure and the reaction mixture was purified by flash column chromatography with petroleum ether and ethylacetate (PE/EA = 100:1) to afford the product 3e (89.1 mg, 71% yield). Red solid; m.p.: 179.4~180.6 °C. 1H NMR (600 MHz, CDCl3) δ 7.82 –7.81(m, 4H), 7.52 (d, J = 8.4 Hz, 2H), 7.35 (d, J = 7.8 Hz, 2H), 7.23(t, J = 7.2 Hz, 2H), 7.16 (d, J = 7.8 Hz, 2H), 7.00 (d, J = 7.8 Hz, 2H), 6.91 (t, J = 7.2 Hz, 2H), 5.35 (s, 1H), 1.37 (s, 9H). 13C NMR (151 MHz, CDCl3) δ 154.5, 151.6, 151.0, 150.6, 149.0, 129.7, 129.1, 128.1, 126.0, 123.8, 123.3, 123.2, 122.5, 116.7, 44.2, 35.0, 31.2. HRMS (ESI) calcd for C29H21N2O+ [M + H]+ 419.2118, found 419.2119.
(E)-1-(4-(9H-Xanthen-9-yl)phenyl)-2-(4-(trifluoromethoxy)phenyl)diazene (3f): Prepared following general procedure and the reaction mixture was purified by flash column chromatography with petroleum ether and ethyl acetate (PE/EA = 100:1) to afford the product 3f (84.3 mg, 63% yield). Orange solid; m.p.: 173.6~175.4 °C. 1H NMR (600 MHz, CDCl3) δ 7.91 (d, J = 9.0 Hz, 2H), 7.83 (d, J = 9.0 Hz, 2H), 7.36 (d, J = 7.8 Hz, 2H), 7.33 (d, J = 8.4 Hz, 2H), 7.24 (d, J = 7.2 Hz, 2H), 7.16 (d, J = 8.4 Hz, 2H), 7.08 (d, J = 7.8 Hz, 2H), 7.00 (t, J = 7.8 Hz, 2H), 5.36 (s, 1H). 13C NMR (151 MHz, CDCl3) δ 151.2, 151.0, 150.8, 149.8, 129.7, 129.2, 128.2, 126.2 (q, J = 268.3 Hz),124.3, 123.7, 123.4, 123.3, 122.8 (q, J = 47.3 Hz), 121.3, 120.6 (q, J = 147.2 Hz), 120.1, 116.7, 44.3. 19F NMR (565 MHz, CDCl3) δ -57.70. HRMS (ESI) calcd for C26H18F3N2O2+ [M + H]+ 447.1315, found 447.1319
(E)-1-(4-((4-(9H-xanthen-9-yl)phenyl)diazenyl)phenyl)ethan-1-one (3g): Prepared following general procedure and the reaction mixture was purified by flash column chromatography with petroleum ether and ethylacetate (PE/EA = 20:1) to afford the product 3g (72.6 mg, 60% yield). Orange solid; m.p.: 176.6~178.5 °C. 1H NMR (600 MHz, CDCl3) δ 8.09 (d, J = 8.4 Hz, 2H), 7.92 (d, J = 8.4 Hz, 2H), 7.86 (d, J = 8.4 Hz, 2H), 7.37 (d, J = 7.8 Hz, 2H), 7.24 (t, J = 7.2 Hz, 2H), 7.16 (d, J = 7.8 Hz, 2H), 7.08 (d, J = 7.2 Hz, 2H), 7.00 (t, J = 6.6 Hz, 2H), 5.37 (s, 1H), 2.65 (s, 3H). 13C NMR (151 MHz, CDCl3) δ 197.4, 155.1, 151.3, 151.0, 150.2, 138.3, 129.6, 129.3, 129.2, 128.2, 123.7, 123.6, 123.4, 122.8, 116.7, 44.3, 26.8. HRMS (ESI) calcd for C27H21N2O2+ [M + H]+ 405.1598, found 405.1595.
(E)-4-((4-(9H-Xanthen-9-yl)phenyl)diazenyl)benzonitrile (3h): Prepared following general procedure and the reaction mixture was purified by flash column chromatography with petroleum ether and ethyl acetate (PE/EA = 100:1) to afford the product 3h (66.1 mg, 57% yield). Red solid; m.p.: 175.3~177.0 °C. 1H NMR (600 MHz, CDCl3) δ 7.93 (d, J = 9 Hz, 2H), 7.86 (d, J = 8.4 Hz, 2H), 7.79 (d, J = 8.4 Hz, 2H), 7.38 (d, J = 8.4 Hz, 2H), 7.25 (d, J = 6.6 Hz, 2H), 7.17 (d, J = 8.4 Hz, 2H), 7.08 (d, J = 7.2 Hz, 2H), 7.01 (t, J = 7.2 Hz, 2H), 5.37 (s, 1H). 13C NMR (151 MHz, CDCl3) δ 154.5, 151.1, 151.0, 150.7, 133.2, 129.6, 129.2, 128.3, 123.8, 123.5, 123.4, 123.3, 118.5, 116.8, 113.8, 44.3. HRMS (ESI) calcd for C26H18N3O+ [M + H]+ 388.1444, found 388.1444.
(E)-1-(4-(9H-Xanthen-9-yl)phenyl)-2-(4-(trifluoromethyl)phenyl)diazene (3i): Prepared following general procedure and the reaction mixture was purified by flash column chromatography with petroleum ether and ethyl acetate (PE/EA = 100:1) to afford the product 3i (89.2 mg, 69% yield). Orange solid; m.p.: 175.5~176.9 °C. 1H NMR (600 MHz, CDCl3) δ 7.94 (d, J = 8.4 Hz, 2H), 7.85 (d, J = 7.8 Hz, 2H), 7.74 (d, J = 8.4 Hz, 2H), 7.36 (d, J = 8.4 Hz, 2H), 7.23 (t, J = 5.4 Hz, 2H), 7.16 (d, J = 8.4 Hz, 2H), 7.07 (d, J = 7.8 Hz, 2H), 6.99 (t, J = 7.2 Hz, 2H), 5.35 (s, 1H). 13C NMR (151 MHz, CDCl3) δ 154.4, 151.2, 151.0, 150.3, 132.1 (q, J = 31.9 Hz), 129.6, 129.2, 128.2, 126.2 (q, J = 3.9 Hz), 124.8 (q, J = 272.4 Hz), 123.7, 123.6, 123.4, 122.9, 116.7, 44.3. 19F NMR (565 MHz, CDCl3) δ -62.5. HRMS (ESI) calcd for C26H18F3N2O+ [M + H] + 431.1336, found 431.1335.
(E)-1-(4-(9H-Xanthen-9-yl)phenyl)-2-(m-tolyl)diazene (3k); (E)-1-(3-Methyl-4-(9H-xanthen-9-yl)phenyl)-2-phenyldiazene (3k’): Prepared following general procedure and the reaction mixture was purified by flash column chromatography with petroleum ether and ethylacetate (PE/EA = 100:1) to afford the product 3k and 3k’ (81.2 mg, 72% yield). Red solid; m.p.: 176.6~178.9 °C. 1H NMR (600 MHz, CDCl3) δ 7.89 (d, J = 7.2 Hz, 1.6H), 7.82 (d, J = 8.4 Hz, 2H), 7.74 (s, 0.8H), 7.72 (d, J = 7.8 Hz, 0.8H), 7.68 (d, J = 5.4 Hz, 1.6H), 7.52 (t, J = 7.2 Hz, 1.8H), 7.47 (t, J = 7.2 Hz, 0.8H), 7.39 (t, J = 7.8 Hz, 1H), 7.35 (d, J = 8.4 Hz, 2H), 7.33 (d, J = 7.8 Hz, 0.8H), 7.28 (d, J = 8.4 Hz, 1H), 7.23 (q, J = 8.4 Hz, 4H), 7.16 (d, J = 7.8 Hz, 2H), 7.12 (d, J = 7.8 Hz, 1.6H), 7.08 (d, J = 7.8 Hz, 2H), 7.00 (t, J = 7.8 Hz, 2H), 6.95 (t, J = 7.8 Hz, 1.6H), 6.89 (d, J = 7.8 Hz, 1.6H), 5.65 (s, 0.8H), 5.35 (s, 1H), 2.45 (s, 3H), 2.33 (s, 2.4H). 13C NMR (151 MHz, CDCl3) δ 152.8, 151.5, 151.5, 151.0, 150.9, 149.3, 146.6, 139.0, 137.1, 131.9, 131.7, 130.9, 129.7, 129.2, 129.2, 129.1, 128.9, 128.2, 128.1, 125.4, 123.8, 123.5, 123.3, 123.3, 123.2, 122.9, 122.8, 121.1, 120.4, 116.7, 116.5, 44.3, 41.2, 21.4, 20.2. HRMS (ESI) calcd for C26H21N2O+ [M + H]+ 377.1648, found 377.1648.
(E)-1-(4-(9H-Xanthen-9-yl)phenyl)-2-(2,3-dimethylphenyl)diazene (3l): Prepared following general procedure and the reaction mixture was purified by flash column chromatography with petroleum ether and ethyl acetate (PE/EA = 100:1) to afford the product 3l (92.3 mg, 79% yield). Red solid; m.p.: 178.6~180.2 °C. 1H NMR (600 MHz, CDCl3) δ 7.84 (d, J = 8.4 Hz, 2H), 7.44 (d, J = 8.4 Hz, 1H), 7.35 (d, J = 8.4 Hz, 2H), 7.24 (d, J = 6.6 Hz, 3H), 7.16 (d, J = 8.4 Hz, 3H), 7.10 (d, J = 7.8 Hz, 2H), 7.01 (t, J = 6.6 Hz, 2H), 5.36 (s, 1H), 2.61 (s, 3H), 2.37 (s, 3H). 13C NMR (151 MHz, CDCl3) δ 151.8, 151.0, 151.0, 149.1, 138.2, 136.8, 132.1, 129.7, 129.0, 128.1, 125.7, 123.9, 123.4, 123.3, 116.7, 113.1, 44.2, 19.9, 13.2. HRMS (ESI) calcd for C27H23N2O+ [M + H]+ 391.1805, found 391.1806.
(E)-1-(4-(9H-Xanthen-9-yl)phenyl)-2-(2,4-dimethy phenyl)diazene (3m): Prepared following general procedure and the reaction mixture was purified by flash column chromatography with petroleum ether and ethyl acetate (PE/EA = 100:1) to afford the product 3m (87.5 mg, 75% yield). Red solid; m.p.: 178.6~180.3 °C. 1H NMR (600 MHz, CDCl3) δ 7.82 (d, J = 8.4 Hz, 2H), 7.54 (d, J = 8.4 Hz, 1H), 7.35 (d, J = 8.4 Hz, 2H), 7.24 (t, J = 7.2 Hz, 2H), 7.17 (d, J = 8.4 Hz, 2H), 7.14 (s, 1H), 7.09 (d, J = 7.2 Hz, 2H), 7.06 (d, J = 7.8 Hz, 1H), 7.01 (t, J = 7.8 Hz, 2H), 5.35 (s, 1H), 2.66 (s, 3H), 2.38 (s, 3H). 13C NMR (151 MHz, CDCl3) δ 151.8, 151.0, 148.8, 148.8, 141.3, 138.2, 131.8, 129.7, 129.0, 128.1, 128.1, 127.3, 123.9, 123.3, 116.7, 115.2, 44.2, 21.4, 17.4. HRMS (ESI) calcd for C27H23N2O+ [M + H]+ 391.1805, found 391.1809.
(E)-1-(4-(9H-xanthen-9-yl)phenyl)-2-(3,4-dimethylphenyl)diazene (3n): Prepared following general procedure and the reaction mixture was purified by flash column chromatography with petroleum ether and ethyl acetate (PE/EA = 100:1) to afford the product 3n (83.1 mg, 71% yield). Red solid; m.p.: 180.1~181.5 °C. 1H NMR (600 MHz, CDCl3) δ 7.81 (d, J = 8.4 Hz, 2H), 7.67 (s, 1H), 7.64 (d, J = 8.4 Hz, 1H), 7.35 (d, J = 8.4 Hz, 2H), 7.26 (d, J = 8.4 Hz, 1H), 7.24 (t, J = 8.4 Hz, 2H), 7.16 (d, J = 7.8 Hz, 2H), 7.08 (d, J = 7.2 Hz, 2H), 7.00 (t, J = 7.2 Hz, 2H), 5.35 (s, 1H), 2.35 (s, 3H), 2.33 (s, 3H). 13C NMR (151 MHz, CDCl3) δ 151.6, 151.3, 151.0, 149.0, 140.3, 137.4, 130.3, 129.7, 129.2, 128.1, 123.9, 123.5, 123.3, 123.2, 120.8, 116.7, 44.2, 19.9. HRMS (ESI) calcd for C27H23N2O+ [M + H]+ 391.1805, found 391.1807.
(E)-1-(4-(9H-xanthen-9-yl)phenyl)-2-(3,5-dimethylphenyl)diazene (3o): Prepared following general procedure and the reaction mixture was purified by flash column chromatography with petroleum ether and ethyl acetate (PE/EA = 100:1) to afford the product 3o (85.3 mg, 73% yield). Red solid; m.p.: 179.9~181.7 °C. 1H NMR (600 MHz, CDCl3) δ 7.83 (d, J = 8.4 Hz, 2H), 7.51 (s, 2H), 7.36 (d, J = 8.4 Hz, 2H), 7.24 (t, J = 7.2 Hz, 2H), 7.17 (d, J = 8.4 Hz, 2H), 7.12 (s, 1H), 7.09 (d, J = 7.2 Hz, 2H), 7.01 (t, J = 7.8 Hz, 2H), 5.36 (s, 1H), 2.42 (s, 6H). 13C NMR (151 MHz, CDCl3) δ 152.9, 151.5, 151.0, 149.2, 138.8, 132.7, 129.7, 129.2, 128.2, 123.9, 123.4, 123.3, 120.6, 116.7, 44.3, 21.3. HRMS (ESI) calcd for C27H23N2O+ [M + H]+ 391.1805, found 391.1810.
(E)-1-(3-Methyl-4-(9H-xanthen-9-yl)phenyl)-2-(m-tolyl)diazene (3p): Prepared following general procedure and the reaction mixture was purified by flash column chromatography with petroleum ether and ethyl acetate (PE/EA = 100:1) to afford the product 3p (60.7 mg, 52% yield). Orange solid; m.p.: 175.6~177.5 °C. 1H NMR (600 MHz, CDCl3) δ 7.73–7.70 (m, 4H), 7.40 (t, J = 8.4 Hz, 1H), 7.32 (d, J = 7.8 Hz, 1H), 7.29 (d, J = 7.2 Hz, 1H), 7.22 (t, J = 8.4 Hz, 2H), 7.12 (d, J = 7.2 Hz, 2H), 6.95 (t, J = 7.8 Hz, 2H), 6.89 (d, J = 7.8 Hz, 2H), 5.64 (s, 1H), 2.46 (s, 3H), 2.33 (s, 3H). 13C NMR (151 MHz, CDCl3) δ 152.8, 151.5, 150.8, 1465, 139.0, 137.0, 131.9, 131.7, 129.2, 128.9, 128.0, 125.3, 123.5, 123.2, 122.8, 121.0, 120.4, 116.4, 41.2, 21.4, 20.1. HRMS (ESI) calcd for C27H23N2O+ [M + H]+ 391.1805, found 391.1805.
(E)-1-(2-Isopropyl-4-(9H-xanthen-9-yl)phenyl)-2-(2-isopropylphenyl)diazene (3q): Prepared following general procedure and the reaction mixture was purified by flash column chromatography with petroleum ether and ethyl acetate (PE/EA = 100:1) to afford the product 3q (85.6 mg, 64% yield). Red solid; m.p.: 177.9~179.1 °C. 1H NMR (600 MHz, CDCl3) δ 7.47 (d, J = 7.8 Hz, 1H), 7.42 (d, J = 7.8 Hz, 1H), 7.35–7.31 (m, 2H), 7.28 (s, 1H), 7.17–7.16 (m, 1H), 7.13 (t, J = 6.6 Hz, 2H), 7.06 (d, J = 8.4 Hz, 2H), 7.01 (d, J = 7.8 Hz, 2H), 6.93–6.90 (m, 3H), 5.24 (s, 1H), 4.07–4.02 (m, 1H), 4.02–3.96 (m, 1H), 1.26 (d, J = 7.2 Hz, 6H), 1.22 (d, J = 6.6 Hz, 6H). 13C NMR (151 MHz, CDCl3) δ 151.1, 150.0, 149.1, 148.7, 148.3, 147.1, 130.9, 129.6, 128.0, 126.5, 126.3, 126.2, 126.1, 124.0, 123.3, 116.6, 116.3, 115.4, 44.5, 27.9, 27.7, 23.8, 23.8. HRMS (ESI) calcd for C31H31N2O+ [M + H]+ 447.2431, found 447.2428.
(E)-1-(4-(9H-xanthen-9-yl)phenyl)-2-(3-methyl-4-(9H-xanthen-9-yl)phenyl)diazene (4a): Prepared following general procedure and the reaction mixture was purified by flash column chromatography with petroleum ether and ethyl acetate (PE/EA = 100:1) to afford the product 4a (113.4 mg, 68% yield). Orange solid; m.p.: 238.4~240.2 °C. 1H NMR (600 MHz, CDCl3) δ 7.80 (d, J = 9.0 Hz, 2H), 7.68 (s, 1H), 7.67 (d, J = 8.4 Hz, 1H), 7.34 (d, J = 8.4 Hz, 2H), 7.30 (d, J = 7.8 Hz, 1H), 7.25–7.20 (m, 4H), 7.16 (d, J = 7.8 Hz, 2H), 7.12 (d, J = 8.4 Hz, 2H), 7.08 (d, J = 7.2 Hz, 2H), 7.00 (t, J = 7.8 Hz, 2H), 6.93 (t, J = 7.8 Hz, 2H), 6.88 (d, J = 7.2 Hz, 2H), 5.63 (s, 1H), 5.35 (s, 1H), 2.31 (s, 3H). 13C NMR (151 MHz, CDCl3) δ 151.5, 151.0, 150.8, 149.3, 146.5, 137.0, 131.9, 129.7, 129.2, 129.1, 128.1, 128.0, 125.3, 123.8, 123.4, 123.3, 123.2, 123.1, 120.9, 116.7, 116.4, 44.2, 41.1, 20.1. HRMS (ESI) calcd for C39H29N2O2+ [M + H]+ 557.2224, found 557.2224.
(E)-1-(4-(9H-xanthen-9-yl)phenyl)-2-(2-isopropyl-4-(9H-xanthen-9-yl)phenyl)diazene (4b): Prepared following general procedure and the reaction mixture was purified by flash column chromatography with petroleum ether and ethyl acetate (PE/EA = 100:1) to afford the product 4b (110.3 mg, 63% yield). Red solid; m.p.: 237.4~238.9 °C. 1H NMR (600 MHz, CDCl3) δ 7.79 (d, J = 8.4 Hz, 2H), 7.45 (d, J = 8.4 Hz, 1H), 7.33 (d, J = 8.4 Hz, 2H), 7.31 (s, 1H), 7.22 (q, J = 6.6 Hz, 4H), 7.15 (t, J = 7.2 Hz, 4H), 7.09 (d, J = 7.8 Hz, 2H), 7.06 (d, J = 7.2 Hz, 2H), 6.99 (q, J = 7.8 Hz, 5H), 5.34 (s, 1H), 5.31 (s, 1H), 4.01–3.94 (m, 1H), 1.28 (d, J = 7.2 Hz, 6H). 13C NMR (151 MHz, CDCl3) δ 151.7, 151.0, 151.0, 149.2, 149.1, 148.5, 148.1, 129.6, 129.6, 129.0, 128.1, 128.0, 126.6, 126.3, 124.0, 123.8, 123.4, 123.3, 123.2, 116.7, 116.6, 115.9, 44.4, 44.3, 28.0, 23.8. HRMS (ESI) calcd for C41H33N2O2+ [M + H]+ 585.2537, found 585.2538.
(E)-1,2-Bis(2-isopropyl-4-(9H-xanthen-9-yl)phenyl)diazene (4c): Prepared following general procedure and the reaction mixture was purified by flash column chromatography with petroleum ether and ethyl acetate (PE/EA = 100:1) to afford the product 4c (107.1 mg, 57% yield). White solid; m.p.: 242.4~246.1 °C. 1H NMR (600 MHz, CDCl3) δ 7.46 (d, J = 8.4 Hz, 2H), 7.34 (s, 2H), 7.22 (t, J = 7.8 Hz, 4H), 7.15 (d, J = 7.8 Hz, 4H), 7.09 (d, J = 7.2 Hz, 4H), 7.00 (t, J = 7.8 Hz, 6H), 5.31 (s, 2H), 4.08–4.01 (m, 2H), 1.29 (d, J = 7.2 Hz, 12H). 13C NMR (151 MHz, CDCl3) δ 151.1, 149.0, 148.6, 148.2, 129.6, 128.0, 126.4, 126.1, 124.0, 123.3, 44.5, 27.9, 23.8. HRMS (ESI) calcd for C44H39N2O2+ [M + H]+ 627.3006, found 627.3004.
(E)-1-(4-(2-Methyl-9H-xanthen-9-yl)phenyl)-2-phenyldiazene (5a): Prepared following general procedure and the reaction mixture was purified by flash column chromatography with petroleum ether and ethyl acetate (PE/EA = 100:1) to afford the product 5a (66.4 mg, 59% yield). Orange solid; m.p.: 178.6~179.9 °C. 1H NMR (600 MHz, CDCl3) δ 7.87 (d, J = 7.2 Hz, 2H), 7.83 (d, J = 8.4 Hz, 2H), 7.50 (t, J = 7.2 Hz, 2H), 7.46 (t, J = 7.2 Hz, 1H), 7.35 (d, J = 8.4 Hz, 2H), 7.22 (t, J = 7.2 Hz, 1H), 7.14 (d, J = 8.4 Hz, 1H), 7.07–7.02 (m, 3H), 6.98 (t, J = 7.2 Hz, 1H), 6.86 (s, 1H), 5.30 (s, 1H), 2.23 (s, 3H). 13C NMR (151 MHz, CDCl3) δ 152.7, 151.4, 151.1, 149.6, 148.9, 132.7, 130.9, 129.8, 129.7, 129.1, 129.0, 128.8, 128.1, 123.8, 123.3, 123.3, 123.1, 122.8, 116.6, 116.4, 44.3, 20.7. HRMS (ESI) calcd for C26H21N2O+ [M + H]+ 377.1648, found 377.1647.
(E)-1-(4-(4-Methoxy-9H-xanthen-9-yl)phenyl)-2-phenyldiazene (5b): Prepared following general procedure and the reaction mixture was purified by flash column chromatography with petroleum ether and ethyl acetate (PE/EA = 20:1) to afford the product 5b (70.3 mg, 60% yield). Orange solid; m.p.: 180.5~182.2 °C. 1H NMR (600 MHz, CDCl3) δ 7.87 (d, J = 7.2 Hz, 2H), 7.83 (d, J = 8.4 Hz, 2H), 7.50 (d, J = 7.2 Hz, 2H), 7.45 (t, J = 7.2 Hz, 1H), 7.36 (d, J = 8.4 Hz, 2H), 7.30 (d, J = 8.4 Hz, 1H), 7.24 (t, J = 8.4 Hz, 1H), 7.09 (d, J = 7.2 Hz, 1H), 7.01 (t, J = 6.6 Hz, 1H), 6.94 (t, J = 7.8 Hz, 1H), 6.84 (d, J = 7.8 Hz, 1H), 6.69 (d, J = 7.8, 1H), 5.35 (s, 1H), 3.98 (s, 3H). 13C NMR (151 MHz, CDCl3) δ 152.7, 151.4, 150.8, 149.4, 148.1, 140.7, 130.9, 129.6, 129.1, 129.0, 128.1, 124.7, 123.6, 123.6, 123.3, 122.9, 1228, 121.3, 117.1, 110.2, 56.2, 44.3. HRMS (ESI) calcd for C26H21N2O+ [M + H]+ 393.1598, found 393.1600.
(E)-1-Phenyl-2-(4-(4-phenyl-9H-xanthen-9-yl)phenyl)diazene (5c): Prepared following general procedure and the reaction mixture was purified by flash column chromatography with petroleum ether and ethyl acetate (PE/EA = 100:1) to afford the product 5c (70.7 mg, 54% yield). Orange solid; m.p.: 182.6~183.8 °C. 1H NMR (600 MHz, CDCl3) δ 7.88 (d, J = 7.2 Hz, 2H), 7.85 (d, J = 8.4 Hz, 2H), 7.68 (d, J = 7.2 Hz, 2H), 7.51 (t, J = 7.2 Hz, 4H), 7.47, (d, J = 7.2 Hz, 1H), 7.42, (d, J = 7.2 Hz, 1H),7.40 (d, J = 8.4 Hz, 2H), 7.30 (d, J = 7.2 Hz, 1H), 7.21 (t, J = 8.4 Hz, 1H), 7.13–7.07 (m, 4H), 7.02 (t, J = 7.2 Hz, 1H), 5.41 (s, 1H). 13C NMR (151 MHz, CDCl3) δ 152.7, 151.5, 151.1, 149.1, 148.0, 137.7, 130.9, 130.1, 129.7, 129.7, 129.6, 129.3, 129.0, 128.9, 128.1, 128.0, 127.2, 124.7, 124.1, 123.5, 123.3, 123.2, 122.8, 120.4, 116.8, 114.1, 44.8. HRMS (ESI) calcd for C31H23N2O+ [M + H]+ 439.1805, found 439.1803.
(E)-1-(4-(12H-benzo[a]xanthen-12-yl)phenyl)-2-phenyldiazene (5d): Prepared following general procedure and the reaction mixture was purified by flash column chromatography with petroleum ether and ethyl acetate (PE/EA = 100:1) to afford the product 5d (70.5 mg, 57% yield). Orange solid; m.p.: 179.7~181.4 °C. 1H NMR (600 MHz, CDCl3) δ 7.94 (d, J = 8.4 Hz, 1H), 7.84–7.82 (m, 4H), 7.76 (d, J = 8.4 Hz, 2H), 7.49–7.43 (m, 7H), 7.41 (d, J = 7.2 Hz, 1H), 7.37 (t, J = 7.2 Hz, 1H), 7.24–7.21 (m, 2H), 7.07 (t, J = 7.9 Hz, 1H), 5.92 (s, 1H). 13C NMR (151 MHz, CDCl3) δ 152.7, 151.3, 150.1, 149.4, 149.3, 131.6, 130.8, 130.8, 129.3, 129.3, 129.0, 128.6, 128.1, 127.9, 126.9, 124.2, 124.1, 123.7, 123.4, 123.0, 122.7, 118.0, 116.8, 115.2, 41.9. HRMS (ESI) calcd for C29H21N2O+ [M + H]+ 413.1648, found 413.1652.
(E)-1-(4-(7H-benzo[c]xanthen-7-yl)phenyl)-2-phenyldiazene (5e): Prepared following general procedure and the reaction mixture was purified by flash column chromatography with petroleum ether and ethyl acetate (PE/EA = 100:1) to afford the product 5e (77.6 mg, 63% yield). Orange solid; m.p.: 179.8~181.6 °C. 1H NMR (600 MHz, CDCl3) δ 7.94 (d, J = 8.4 Hz, 1H), 7.84–7.82 (m, 4H), 7.76 (d, J = 8.4 Hz, 2H), 7.49–7.43 (m, 7H), 7.40 (d, J = 7.8 Hz, 1H), 7.37 (t, J = 7.8 Hz, 1H), 7.25–7.21 (m, 2H), 7.07 (t, J = 7.2 Hz, 1H), 5.92 (s, 1H). 13C NMR (151 MHz, CDCl3) δ 152.7, 151.3, 150.1, 149.4, 149.3, 131.6, 130.8, 130.8, 129.3, 129.3, 129.0, 128.6, 128.1, 127.9, 126.9, 124.2, 124.1, 123.7, 123.4, 123.0, 122.7, 118.0, 116.8, 115.1, 41.9. HRMS (ESI) calcd for C29H21N2O+ [M + H]+ 413.1648, found 413.1653.
(E)-1-(4-(10-Methyl-12H-benzo[a]xanthen-12-yl)phenyl)-2-phenyldiazene (5f): Prepared following general procedure and the reaction mixture was purified by flash column chromatography with petroleum ether and ethyl acetate (PE/EA = 100:1) to afford the product 5f (70.2 mg, 55% yield). Orange solid; m.p.: 181.4~183.2 °C. 1H NMR (600 MHz, CDCl3) δ 7.93 (d, J = 8.4 Hz, 1H), 7.81 (d, J = 9.6 Hz, 4H), 7.75 (d, J = 9.0 Hz, 2H), 7.48–7.42 (m, 7H), 7.36 (t, J = 7.2 Hz, 1H), 7.18 (s, 1H), 7.10 (d, J = 8.4 Hz, 1H), 7.03 (d, J = 9.6 Hz, 1H), 5.86 (s, 1H), 2.29 (s, 3H). 13C NMR (151 MHz, CDCl3) δ 152.7, 149.5, 149.5, 148.0, 133.1, 131.7, 130.8, 130.8, 129.5, 129.3, 129.0, 128.7, 128.6, 128.2, 126.8, 124.1, 123.7, 123.4, 122.9, 122.7, 118.1, 116.5, 115.1, 41.9, 20.8. HRMS (ESI) calcd for C30H23N2O+ [M + H]+ 427.1805, found 427.1805.
(E)-1-(4-(9H-Thioxanthen-9-yl)phenyl)-2-phenyldiazene (5g): Prepared following general procedure and the reaction mixture was purified by flash column chromatography with petroleum ether and ethyl acetate (PE/EA = 100:1) to afford the product 5g (74.7 mg, 66% yield). White solid; m.p.: 176.1~177.9 °C. 1H NMR (600 MHz, CDCl3) δ 7.85 (d, J = 7.8 Hz, 2H), 7.74 (d, J = 8.4 Hz, 2H), 7.50–7.44 (m, 7H), 7.30 (d, J = 7.2 Hz, 2H), 7.27 (d, J = 8.4 Hz, 2H), 7.16 (d, J = 8.4 Hz, 2H), 5.41 (s, 1H). 13C NMR (151 MHz, CDCl3) δ 152.7, 151.3, 144.1, 136.9, 133.3, 130.8, 129.6, 129.0, 128.6, 127.3, 127.1, 126.7, 122.7, 122.7, 53.0. HRMS (ESI) calcd for C25H19N2S+ [M + H]+ 379.1263, found 379.1264.
(E)-1-(4-(2-Methyl-9H-thioxanthen-9-yl)phenyl)-2-phenyldiazene (5h): Prepared following general procedure and the reaction mixture was purified by flash column chromatography with petroleum ether and ethylacetate (PE/EA = 100:1) to afford the product 5h (69.4 mg, 59% yield). Orange solid; m.p.: 174.4~176.4 °C. 1H NMR (600 MHz, CDCl3) δ 7.85 (d, J = 7.2 Hz, 2H), 7.75 (d, J = 8.4 Hz, 2H), 7.49 (t, J = 7.2 Hz, 2H), 7.46–7.43 (m, 3H), 7.36 (d, J = 7.8 Hz, 1H), 7.30–7.27 (m, 3H), 7.18 (d, J = 8.4 Hz, 2H), 7.09 (d, J = 7.8 Hz, 1H), 5.36 (s, 1H), 2.39 (s, 3H). 13C NMR (151 MHz, CDCl3) δ 152.7, 151.3, 144.3, 137.1, 136.8, 136.6, 133.6, 130.8, 130.3, 129.8, 129.5, 129.0, 128.5, 127.9, 127.3, 127.1, 127.0, 126.6, 122.7, 122.7, 53.1, 21.1. HRMS (ESI) calcd for C26H21N2S+ [M + H]+ 393.1420, found 393.1419.
(E)-1-(4-(2-Chloro-9H-thioxanthen-9-yl)phenyl)-2-phenyldiazene (5i): Prepared following general procedure and the reaction mixture was purified by flash column chromatography with petroleum ether and ethyl acetate (PE/EA = 100:1) to afford the product 5i (71.7 mg, 58% yield). Orange solid; m.p.: 178.6~179.8 °C. 1H NMR (600 MHz, CDCl3) δ 7.86 (d, J = 7.2 Hz, 2H), 7.76 (d, J = 8.4 Hz, 2H), 7.49 (t, J = 7.2 Hz, 2H), 7.47–7.43 (m, 4H), 7.39 (d, J = 8.4 Hz, 1H), 7.31 (t, J = 7.8 Hz, 1H), 7.29 (d, J = 7.2 Hz, 1H), 7.25 (d, J = 8.4 Hz, 1H), 7.16 (d, J = 8.4 Hz, 2H), 5.35 (s, 1H). 13C NMR (151 MHz, CDCl3) δ 152.7, 151.4, 143.2, 138.7, 136.3, 132.9, 132.5, 131.9, 130.9, 129.6, 129.4, 129.0, 128.5, 128.4, 127.3, 127.2, 127.0, 122.8, 120.8, 120.3, 52.8. HRMS (ESI) calcd for C25H18ClN2S+ [M + H]+ 413.0874, found 413.0873.
4. Conclusions
In summary, we have established a mild protocol to access azobenzene derivatives through the electrochemical alkylation of simple azobenzenes with (thio)xanthenes. This electrochemical transformation proceeds well in the absence of any catalyst or external oxidant, and provides an atom-economic approach for the site-selective functionalization of azobenzenes. We postulate that this strategy can be extended to more challenging organic molecules akin to azobenzene for the development of sustainable electrochemical transformations.
Supplementary Materials
The following supporting information can be downloaded at: https://www.mdpi.com/article/10.3390/molecules27154967/s1, Figure S1: Experiment setup for electrochemical site-selective alkylation of azobenzenes with (thio)xanthenes; Figure S2: Experiment setup for the gram-scale synthesis of 3a; Figure S3: X-ray structure of 3d (ORTEP diagram with ellipsoid contour 50% probability); Gram-scale synthesis of 3a; Mechanistic experiments; 1H, 13C, 19F NMR spectra of the products; Crystallographic data for 3d; Determination of faradaic efficiency.
Author Contributions
P.-L.W. and H.L. supervised the project and wrote the manuscript; C.Z. and T.M. analyzed data and discussed with P.-L.W. and H.L.; Q.Z., H.G. and P.-L.W. did the experiments and characterized the X-ray structure of 3d. All authors contributed to the revision. All authors have read and agreed to the published version of the manuscript.
Funding
This research was funded by The Key Project of Provincial Natural Science Research Foundation of Anhui Universities, China (No. KJ2020A1195), The National Science Foundation of China (No. 21772061), The Open Project of State Key Laboratory of Chemistry and Molecular Engineering of Medicinal Resources (No.CMEMR2021-B14), and the Laboratory Open Project of Huaibei Normal University (No. 2021sykf014).
Institutional Review Board Statement
Not applicable.
Informed Consent Statement
Not applicable.
Data Availability Statement
Not applicable.
Conflicts of Interest
The authors declare no conflict of interest.
Sample Availability
Samples of the compounds are available from the authors.
References
- Léonard, E.; Mangin, F.; Villette, C.; Billamboz, M.; Len, C. Azobenzenes and catalysis. Catal. Sci. Technol. 2016, 6, 379–398. [Google Scholar] [CrossRef]
- Xu, X.; Zhang, P.; Wu, B.; Xing, Y.; Shi, K.; Fang, W.; Yu, H.; Wang, G. Photochromic dendrimers for photoswitched solid-to-liquid transitions and solar thermal fuels. ACS Appl. Mater. Interfaces 2020, 12, 50135–50142. [Google Scholar] [CrossRef] [PubMed]
- Cheng, H.-B.; Zhang, S.; Qi, J.; Liang, X.-J.; Yoon, J. Advances in application of azobenzene as a trigger in biomedicine: Molecular design and spontaneous assembly. Adv. Mater. 2021, 33, 2007290. [Google Scholar] [CrossRef] [PubMed]
- Bandara, H.M.D.; Burdette, S.C. Photoisomerization in different classes of azobenzene. Chem. Soc. Rev. 2012, 41, 1809–1825. [Google Scholar] [CrossRef]
- Yanai, N.; Uemura, T.; Inoue, M.; Matsuda, R.; Fukushima, T.; Tsujimoto, M.; Isoda, S.; Kitagawa, S. Guest-to-host transmission of structural changes for stimuli-responsive adsorption property. J. Am. Chem. Soc. 2012, 134, 4501–4504. [Google Scholar] [CrossRef]
- Donovan, B.R.; Matavulj, V.M.; Ahn, S.; Guin, T.; White, T.J. All-optical control of shape. Adv. Mater. 2019, 31, 1805750. [Google Scholar] [CrossRef]
- Jiang, Y.; Tan, P.; Qi, S.-C.; Liu, X.-Q.; Yan, J.-H.; Fan, F.; Sun, L.-B. Metal–organic frameworks with target-specific active sites switched by photoresponsive motifs: Efficient adsorbents for tailorable CO2 capture. Angew. Chem. Int. Ed. 2019, 58, 6600–6604. [Google Scholar] [CrossRef]
- Kondo, M.; Nakamura, K.; Krishnan, C.G.; Takizawa, S.; Abe, T.; Sasai, H. Photoswitchable chiral phase transfer catalyst. ACS Catal. 2021, 11, 1863–1867. [Google Scholar] [CrossRef]
- Hansen, M.J.; Lerch, M.M.; Szymanski, W.; Feringa, B.L. Direct and versatile synthesis of red-shifted azobenzenes. Angew. Chem. Int. Ed. 2016, 55, 13514–13518. [Google Scholar] [CrossRef]
- Trads, J.B.; Hüll, K.; Matsuura, B.S.; Laprell, L.; Fehrentz, T.; Görldt, N.; Kozek, K.A.; Weaver, C.D.; Klöcker, N.; Barber, D.M.; et al. Sign inversion in photopharmacology: Incorporation of cyclic azobenzenes in photoswitchable potassium channel blockers and openers. Angew. Chem. Int. Ed. 2019, 58, 15421–15428. [Google Scholar] [CrossRef]
- Jerca, F.A.; Jerca, V.V.; Hoogenboom, R. Advances and opportunities in the exciting world of azobenzenes. Nat. Rev. Chem. 2021, 6, 51–69. [Google Scholar] [CrossRef]
- Wencel-Delord, J.; Dröge, T.; Liu, F.; Glorius, F. Towards mild metal-catalyzed C-H bond activation. Chem. Soc. Rev. 2011, 40, 4740–4761. [Google Scholar] [CrossRef] [PubMed]
- Yang, Y.; Lan, J.; You, J. Oxidative C-H/C-H coupling reactions between two (hetero)arenes. Chem. Rev. 2017, 117, 8787–8863. [Google Scholar] [CrossRef] [PubMed]
- Zhao, Q.; Meng, G.; Nolan, S.P.; Szostak, M. N-heterocyclic carbene complexes in C-H activation reactions. Chem. Rev. 2020, 120, 1981–2048. [Google Scholar] [CrossRef]
- Nguyen, T.H.L.; Gigant, N.; Joseph, D. Advances in direct metal-catalyzed functionalization of azobenzenes. ACS Catal. 2018, 8, 1546–1579. [Google Scholar] [CrossRef]
- Li, H.; Li, P.; Wang, L. Direct access to acylated azobenzenes via Pd-catalyzed C–H functionalization and further transformation into an indazole backbone. Org. Lett. 2013, 15, 620–623. [Google Scholar] [CrossRef]
- Lian, Y.; Bergman, R.G.; Lavis, L.D.; Ellman, J.A. Rhodium(III)-catalyzed indazole synthesis by C–H bond functionalization and cyclative capture. J. Am. Chem. Soc. 2013, 135, 7122–7125. [Google Scholar] [CrossRef]
- Deng, H.; Li, H.; Wang, L. ortho-Heteroarylation of azobenzenes by Rh-catalyzed cross-dehydrogenative coupling: An approach to conjugated biaryls. Org. Lett. 2016, 18, 3110–3113. [Google Scholar] [CrossRef]
- Li, H.; Li, P.; Tan, H.; Wang, L. A highly efficient palladium-catalyzed decarboxylative ortho-acylation of azobenzenes with α-oxocarboxylic acids: Direct access to acylated azo compounds. Chem. Eur. J. 2013, 19, 14432–14436. [Google Scholar] [CrossRef]
- Deng, H.; Li, H.; Wang, L. A unique alkylation of azobenzenes with allyl acetates by RhIII-catalyzed C–H functionalization. Org. Lett. 2015, 17, 2450–2453. [Google Scholar] [CrossRef]
- Li, H.; Xie, X.; Wang, L. Ruthenium-catalyzed alkenylation of azoxybenzenes with alkenes through ortho-selective C–H activation. Chem. Commun. 2014, 50, 4218–4221. [Google Scholar] [CrossRef] [PubMed]
- Li, Z.-Y.; Li, D.-D.; Wang, G.-W. Palladium-catalyzed decarboxylative ortho acylation of azobenzenes with α-oxocarboxylic acids. J. Org. Chem. 2013, 78, 10414–10420. [Google Scholar] [CrossRef] [PubMed]
- Yin, Z.; Jiang, X.; Sun, P. Palladium-catalyzed direct ortho alkoxylation of aromatic azo compounds with alcohols. J. Org. Chem. 2013, 78, 10002–10007. [Google Scholar] [CrossRef] [PubMed]
- Liu, Z.; Xian, Y.; Lan, J.; Luo, Y.; Ma, W.; You, J. Fusion of aromatic ring to azoarenes: One-pot access to 5,6-phenanthroliniums for mitochondria-targeted far-red/nir fluorescent probes. Org. Lett. 2019, 21, 1037–1041. [Google Scholar] [CrossRef]
- Hu, W.; Pi, C.; Hu, D.; Han, X.; Wu, Y.; Cui, X. Rh(III)-catalyzed synthesis of indazolo [2,3-α]quinolines: Vinylene carbonate as C1 and C2 building blocks. Org. Lett. 2022, 24, 2613–2618. [Google Scholar] [CrossRef]
- Zhang, W.; Bu, J.; Wang, L.; Li, P.; Li, H. Sunlight-mediated [3 + 2] cycloaddition of azobenzenes with arynes: An approach toward the carbazole skeleton. Org. Chem. Front. 2021, 8, 5045–5051. [Google Scholar] [CrossRef]
- Li, G.; Ma, X.; Jia, C.; Han, Q.; Wang, Y.; Wang, J.; Yu, L.; Yang, S. Ruthenium-catalyzed meta/ortho-selective C–H alkylation of azoarenes using alkyl bromides. Chem. Commun. 2017, 53, 1261–1264. [Google Scholar] [CrossRef]
- Tao, Y.; Hu, R.; Xie, Z.; Lin, P.; Su, W. Cobalt-catalyzed regioselective para-amination of azobenzenes via nucleophilic aromatic substitution of hydrogen. J. Org. Chem. 2022, 87, 4724–4731. [Google Scholar] [CrossRef]
- Lu, Q.; Cembellín, S.; Greßies, S.; Singha, S.; Daniliuc, C.G.; Glorius, F. Manganese(I)-catalyzed C–H (2-indolyl)methylation: Expedient access to diheteroarylmethanes. Angew. Chem. Int. Ed. 2018, 57, 1399–1403. [Google Scholar] [CrossRef]
- Xiong, P.; Xu, H.-C. Chemistry with electrochemically generated N-centered radicals. Acc. Chem. Res. 2019, 52, 3339–3350. [Google Scholar] [CrossRef]
- Xiang, J.; Shang, M.; Kawamata, Y.; Lundberg, H.; Reisberg, S.H.; Chen, M.; Mykhailiuk, P.; Beutner, G.; Collins, M.R.; Davies, A.; et al. Hindered dialkyl ether synthesis with electrogenerated carbocations. Nature 2019, 573, 398–402. [Google Scholar] [CrossRef] [PubMed]
- Yuan, Y.; Lei, A. Electrochemical oxidative cross-coupling with hydrogen evolution reactions. Acc. Chem. Res. 2019, 52, 3309–3324. [Google Scholar] [CrossRef]
- Shi, S.-H.; Liang, Y.; Jiao, N. Electrochemical oxidation induced selective C–C bond cleavage. Chem. Rev. 2020, 121, 485–505. [Google Scholar] [CrossRef] [PubMed]
- Jiao, K.-J.; Xing, Y.-K.; Yang, Q.-L.; Qiu, H.; Mei, T.-S. Site-selective C–H functionalization via synergistic use of electrochemistry and transition metal catalysis. Acc. Chem. Res. 2020, 53, 300–310. [Google Scholar] [CrossRef] [PubMed]
- Zhu, C.; Ang, N.W.J.; Meyer, T.H.; Qiu, Y.; Ackermann, L. Organic electrochemistry: Molecular syntheses with potential. ACS Cent. Sci. 2021, 7, 415–431. [Google Scholar] [CrossRef] [PubMed]
- Murray, P.R.D.; Cox, J.H.; Chiappini, N.D.; Roos, C.B.; McLoughlin, E.A.; Hejna, B.G.; Nguyen, S.T.; Ripberger, H.H.; Ganley, J.M.; Tsui, E.; et al. Photochemical and electrochemical applications of proton-coupled electron transfer in organic synthesis. Chem. Rev. 2021, 122, 2017–2291. [Google Scholar] [CrossRef]
- Wang, Z.-H.; Gao, P.-S.; Wang, X.; Gao, J.-Q.; Xu, X.-T.; He, Z.; Ma, C.; Mei, T.-S. TEMPO-enabled electrochemical enantioselective oxidative coupling of secondary acyclic amines with ketones. J. Am. Chem. Soc. 2021, 143, 15599–15605. [Google Scholar] [CrossRef]
- Wu, Y.; Zeng, L.; Li, H.; Cao, Y.; Hu, J.; Xu, M.; Shi, R.; Yi, H.; Lei, A. Electrochemical palladium-catalyzed oxidative sonogashira carbonylation of arylhydrazines and alkynes to ynones. J. Am. Chem. Soc. 2021, 143, 12460–12466. [Google Scholar] [CrossRef]
- Huang, C.; Ma, W.; Zheng, X.; Xu, M.; Qi, X.; Lu, Q. Epoxide electroreduction. J. Am. Chem. Soc. 2021, 144, 1389–1395. [Google Scholar] [CrossRef]
- Jie, L.-H.; Guo, B.; Song, J.; Xu, H.-C. Organoelectrocatalysis enables direct cyclopropanation of methylene compounds. J. Am. Chem. Soc. 2022, 144, 2343–2350. [Google Scholar] [CrossRef]
- Li, C.; Zhong, Q.; Tang, S.; Wang, L.; Li, P.; Li, H. Electrochemical formal [3 + 2] cycloaddition of azobenzenes with hexahydro-1,3,5-triazines. Org. Chem. Front. 2022, 9, 3769–3774. [Google Scholar] [CrossRef]
- Chen, X.; Liu, H.; Gao, H.; Li, P.; Miao, T.; Li, H. Electrochemical regioselective cross-dehydrogenative coupling of indoles with xanthenes. J. Org. Chem. 2022, 87, 1056–1064. [Google Scholar] [CrossRef] [PubMed]
- Gao, H.; Chen, X.; Wang, P.-L.; Shi, M.-M.; Shang, L.-L.; Guo, H.-Y.; Li, H.; Li, P. Electrochemical benzylic C–H arylation of xanthenes and thioxanthenes without a catalyst and oxidant. Org. Chem. Front. 2022, 9, 1911–1916. [Google Scholar] [CrossRef]
- CCDC Number: 2178297 for 3d; the Regarding Crystallographic Data Can Be Obtained from the Cambridge Crystallographic Data Centre. Available online: www.ccdc.cam.ac.uk (accessed on 10 June 2022).
- Pintér, Á.; Klussmann, M. Sulfonic acid-catalyzed autoxidative carbon-carbon coupling reaction under elevated partial pressure of oxygen. Adv. Synth. Catal. 2012, 354, 701–711. [Google Scholar] [CrossRef]
- Wu, H.; Su, C.; Tandiana, R.; Liu, C.; Qiu, C.; Bao, Y.; Wu, J.; Xu, Y.; Lu, J.; Fan, D.; et al. Graphene-oxide-catalyzed direct CH–CH-type cross-coupling: The intrinsic catalytic activities of zigzag edges. Angew. Chem. Int. Ed. 2018, 57, 10848–10853. [Google Scholar] [CrossRef]
- Liang, Y.; Niu, L.; Liang, X.-A.; Wang, S.; Wang, P.; Lei, A. Electrooxidation-induced C(sp3)–H/C(sp2)–H radical-radical cross-coupling between xanthanes and electron-rich arenes. Chin. J. Chem. 2022, 40, 1422–1428. [Google Scholar] [CrossRef]
- Wei, B.; Qin, J.-H.; Yang, Y.-Z.; Xie, Y.-X.; Ouyang, X.-H.; Song, R.-J. Electrochemical radical C(sp3)–H arylation of xanthenes with electron-rich arenes. Org. Chem. Front. 2022, 9, 816–821. [Google Scholar] [CrossRef]
- Gao, Y.; Yang, S.; She, M.; Nie, J.; Huo, Y.; Chen, Q.; Li, X.; Hu, X.-Q. Practical synthesis of 3-aryl anthranils via an electrophilic aromatic substitution strategy. Chem. Sci. 2022, 13, 2105–2114. [Google Scholar] [CrossRef]
- Zubar, V.; Dewanji, A.; Rueping, M. Chemoselective hydrogenation of nitroarenes using an air-stable base-metal catalyst. Org. Lett. 2021, 23, 2742–2747. [Google Scholar] [CrossRef]
- Zhang, C.; Jiao, N. Copper-catalyzed aerobic oxidative dehydrogenative coupling of anilines leading to aromatic azo compounds using dioxygen as an oxidant. Angew. Chem. Int. Ed. 2010, 49, 6174–6177. [Google Scholar] [CrossRef]
Publisher’s Note: MDPI stays neutral with regard to jurisdictional claims in published maps and institutional affiliations. |
© 2022 by the authors. Licensee MDPI, Basel, Switzerland. This article is an open access article distributed under the terms and conditions of the Creative Commons Attribution (CC BY) license (https://creativecommons.org/licenses/by/4.0/).







