Abstract
Schizonepeta tenuifolia Briq. is a famous Chinese traditional medicine with antipyretic, anti-inflammatory, analgesic and hemostatic effects. Many chemical components can be isolated and detected by using various analysis methods, including monoterpenes, sesquiterpenes, aldehydes, ketones, quinones, alcohols, phenols, carboxylic acids and esters, etc., in which volatile oil was considered to be the main chemical component. In this paper, the chemical constituents and their pharmacological effects were reviewed by summarizing the recent literature, revealing the relationship between them.
1. Introduction
Schizonepetatenuifolia (ST) Briq., also known in China as Jing Jie, belongs to the family Lamiaceae and is a perennial herbaceous plant and an herbal medicine that has been widely used for thousands of years in China, Japan and Korea. ST is a perennial plant with a firm stem, lignified base and many branches, and is 40–150 cm tall, subquadrilateral at the base, superficially an obtuse quadrilateral, lightly grooved and covered with white pubescence. It mostly grows near houses or in thickets where the elevation is generally no more than 2500 m. The dried aerial part of ST is applied clinically for diseases such as allergic skin disease, inflammatory skin disease, infectious skin disease and the common cold [1]. The main chemical constituent of ST is volatile oil, and other compounds, such as flavonoids, glycosides, etc., were detected. In addition, the volatile oil mainly contains terpenoids, aldehydes, ketones, quinones, alcohols, phenols, esters, carboxylic acids and alkenes. The chemical constituents of ST were extracted by steam distillation and ultrasonic and cold immersion methods, and analyzed by gas chromatography–mass spectrometry (GC-MS), high-performance liquid chromatography–mass spectrometry (HPLC-MS), nuclear magnetic resonance (NMR) spectra, etc. to confirm the structure of the extracted components [2,3,4]. Additionally, various extraction techniques such as solvent immersion, mechanical shaking and sonication were evaluated, and the greatest efficiency was observed with sonication extraction using petroleum ether [2]. Studies showed that different chemical constituents exhibit different pharmacological effects. This paper summarized the chemical constituents of ST and their pharmacological effects studied in recent years.
2. Chemical Constituents of ST
2.1. Volatile Oil
Volatile oils are considered to be the main constituents of ST that affect multiple pharmacological targets and provide clinical efficacy [3,4]. Pulegone is the indicator ingredient for the quality control of ST according to the stipulates of the Chinese Pharmacopoeia [1]. Zhu et al. analyzed the composition of the volatile oil from ST using GC-MS [5]. Table 1 lists the quantitative analysis results on volatile oil from ST, and each component was compared with Menthae Haplocalycis Herba (MH), as it is also from the Lamiaceae family. Among the constituents of volatile oil from ST, iso-menthone and pulegone were determined to be the two most abundant components. This paper summarizes monoterpenes, sesquiterpenes, aldehydes, ketones, quinones, alcohols, phenols, carboxylic acids and esters, and other compounds in order.
Table 1.
Quantitative analysis of volatile oil of ST and MH [5].
2.1.1. Monoterpenes
As shown in Figure 1, various monoterpenes were isolated from the volatile oil of ST [6,7,8,9,10]. Cai et al. used a supercritical CO2 extraction method to extract the volatile oil of ST and GC-MS combined technology to measure the chemical composition of the volatile oil [6,7,8,9,10]. The main monoterpenes in the volatile oil of ST were pulegone (1), D-menthone (2), isopulegol (3) and limonene (4). Three compounds, L-menthone (5), iso-menthol (6) and α-cyperone (7), were isolated by using gas chromatography-mass spectrometry to analyze the chemical components of volatile oil from ST spikes produced in Mengshan, Shandong, China [7]. Liu et al. obtained iso-menthone (8), β-myrcene (9), β-pinene (10), verbenone (11) and piperitone (12) by gas chromatography-mass spectrometry [8]. Qiu et al. used supercritical CO2 fluid extraction and steam distillation to extract the chemical components of volatile oil from the Schizonepeta knifolia spike, and obtained menthofuran, perillyl alcohol, dihydroartemisia terpenol (13), dihydroartemisia terpenone (14) and carvatol (15) [9]. Additionally, the compound carvone (16) was detected by GC-MS analysis from the volatile components of the ST ear [9]. Chun et al. also extracted and isolated pulegone (1), menthone (2) and other volatile components by using a simple and rapid gas chromatography/mass spectrometry (GC/MS) analysis method for the crude extract of ST [2]. A GC-MS-selected ion monitoring (SIM) detection method was developed for simultaneous determination of the monoterpenes, menthone (2), pulegone (1) and limonene (4), as the main bio-active and toxic constituents in the volatile oils of ST leaves and spikes at different harvesting times [3].

Figure 1.
Structures of monoterpenes isolated from ST.
2.1.2. Sesquiterpenes
At present, more than 20 sesquiterpenes have been extracted and identified in ST. The main sesquiterpenes in the volatile oil of ST were isolated and elucidated as caryophyllene (17), caryophyllene oxide (18), δ-cadinene (19), longifolene (20), cedrenol (21) [9], aromadendrene (22), betelaniene (23), β-bourbonene (24), α-cadinene (25), γ-cadinene (26), β-himachalene (27) [6], humulene (28), spathulenol (29), etc. (Figure 2) [10]. Du et al. used GC-MS to analyze the chemical composition of the volatile oil of ST from different habitats and obtained the compound germacrene D (30); its structure is presented in Figure 2 [11].
Figure 2.
Structures of sesquiterpenes isolated from ST.
2.1.3. Aldehydes, Ketones and Quinones
As depicted in Figure 3, aldehydes, ketones and quinones in the volatile oil of ST mainly include terrain (31), dihydrojasmone (32) [6], benzaldehyde (33), 3-octanone (34), 3,5-dimethyl-2-cyclohexene-1-one (35), 3-methyl-1-cyclohexanone (36), camphenilone (37), thymoquinone (38) [7], 2-hexadecanone (39), isolongifolenone (40), syringaldehyde (41) and 2-undecenal (42) [9]. Ye et al. studied the volatile oil components from the different parts of ST and obtained the chemical components of 3-methyl cyclopentanone (43) [12].
Figure 3.
Structures of aldehydes, ketones and quinones isolated from ST.
2.1.4. Alcohols and Phenolic Compounds
As displayed in Figure 4, a series of alcohols and phenolic compounds was extracted and detected in the volatile oil of ST, mainly including coniferyl alcohol (44), thymol (45), dihydroeugenol (46), eugenol (47) [7], 3,5,5-trimethyl-2-cyclohexen-1-ol (48), nerolidol (49), globulol (50), phytol (51) [9] and 1-octene-3-ol (52) [13].
Figure 4.
Structures of alcohols and phenolic compounds isolated from ST.
2.1.5. Carboxylic Acids and Esters
The researchers also obtained some carboxylic acid and ester compounds in the volatile oil of ST, and they are mainly palmitic acid (53), linolenic acid (54), 1-octen-3-yl acetate (55) [11], methyl salicylate (56), trans-sabinylacetate (57), amyl benzoate (58), trans-methyl cinnamate (59), ethyl n-tetradecanoate (60) [7], tetradecanoic acid (61), butyl phthalate (62) [9] and methyl benzoate (63) (Figure 5) [10]. Yang et al. used GC-MS-DS technology to obtain the compound tridecanoic acid (64) [14]. Meng et al. used silica gel, Sephadex LH-20, ODS and semi-preparative HPLC columns to separate and purify the ethyl acetate portion of the 70% ethanol extract of ST, and identified the structure of the obtained compounds according to physicochemical properties and spectral data [15]. Rosmarinic acid methyl ester (65) was obtained (Figure 5).
Figure 5.
Structures of alcohols and phenolic compounds isolated from ST.
2.1.6. Alkenes and Alkanes
In addition to some common saturated n-alkanes such as n-heneicosane, n-tetracosane, n-hexacosane, heptacosane, octacosane, etc. [9], some other alkanes and olefin compounds were also extracted and isolated from the volatile oil of ST, and they included kuprene (66), 1-dodecene (67), 2,5-dimethylheptane (68) [7], p-mentha-1,3,8-triene (69), dimethoxy durene (70), tricyclo [2.2.2.01,4] octane (71), α-asarone (72), azulene (73) [8] and 4-isopropyltoluene (74) [11] as depicted in Figure 6.
Figure 6.
Structures of alkanes isolated from ST.
2.1.7. Other Compounds
As shown in Figure 7, other compounds in the volatile oil of ST mainly include benzothiazole (75) [6], p-cymene (76), 1,8-cineole (77) [8], 3,5-dimethoxyltoluene (78), safrole (79) [11], β-isosafrole (80), D-camphor (81), eugenol methyl ether (82), acetovanillone (83), myristicin (84) and β-asarone (85) [9].
Figure 7.
Structures of other compounds in volatile oil isolated from ST.
2.1.8. Other Terpenoids
In addition to monoterpenes and sesquiterpenes isolated from volatile oil components, other terpenoids were also isolated and identified from ST (Figure 8). Meng et al. separated oleanolic acid (86), betulinic acid (87), ursolic acid (88), and isopimaric acid (89) from the ethyl acetate portion of the 70% ethanol extract of ST [14]. Lee et al. used column chromatography to separate MeOH extracts from the aboveground part of ST, and some other terpenoids were isolated including ursolic acid (90), 2α,3α,24α,-trihydroxyolean-12en-28oic acid (91), 5α,8α-epidioxyergosta-6,22-diol-3β-ol (92), stigmast-4-en-3-one (93) and β-sitosterol (94), as determined by a spectroscopic method [16]. Zhao et al. used various spectral techniques to analyze other terpenoids in Schizonepeta and obtained two compounds, peltatoside A (95) and peltatoside C (96) [17].
Figure 8.
Structures of other terpenoids isolated from ST.
2.2. Flavonoids
As exhibited in Figure 9, lots of flavonoids were isolated and analyzed from ST, including apigenin (97), kaempferol (98), rutin (99), luteolin (100), 6,7-dimethoxy-3’,4’,5-trihydroxyflavone (101), 5,8,3’,4’-tetrahydroxy-6,7-dimethoxyflavone (102), 5,6,4’-trihydroxy-7,8-di-methoxyflavone (103), genkwanin (5,4′-dihydroxy-7-methoxy-flavone) (104), robinin (105), cirsimaritin (106), salvigenin (107), etc. [18]. Moreover, Fan et al. detected the flavonoids from ST [19], and found that they were diosmetin (108), cynaroside (109), quercitrin (110), hesperidin (111) and other components. Furthermore, the content of flavonoids varied with the origin of the medicinal materials. Song et al. extracted and isolated kaempferol-7-O-α-L-rhamnoside (112), kaempferitrin (113), allopatuletin (114), quercetin-7-O-α-L-rhamnoside (115), grasshopper ketone ((4R)-4-(3-Oxo-1-buten-1-ylidene)-3α,5,5-trimethylcyclohexane-1α,3β-diol) (116), syringaresinol (117) and benzyl-β-D-glucoside (118) from ST [20]. 3-hexenyl-1-O-β-D-glucopyranoside (119), rosmarinic acid (120), apigenin-7-O-β-D-glucopyranoside (121) and luteolin-7-O-β-D-glucuronopyranoside (122) were also isolated and detected by Lee et al. [16].

Figure 9.
Structures of flavonoids isolated from ST.
Wen et al. determined the contents of caffeic acid, cynaroside, quercitrin, rosmarinic acid, luteolin, apigenin, diosmetin and pulegone in ST from 13 different origins in China by using HPLC, as listed in Table 2, and they found the contents of these compounds were different in different areas [21]. The fingerprint of ST in different areas was established to provide an experimental basis for the further comprehensive development and utilization of ST.
Table 2.
The contents of eight components in ST from 13 different origins in China (mg/g) [21].
2.3. Other Compounds
As displayed in Figure 10, Lee et al. used column chromatography to separate MeOH extract from the aboveground part of ST and isolated the phenolic compounds [16], which were apigenin-7-O-β-D-glucopyranoside (123) and luteolin-7-O-β-D-glucopyranoside (124). A new phenolic compound, schitenoside C (125), was also isolated from ST by repeated column chromatography [22]. Its structure was assigned by spectroscopic data interpretation. The compound p-cymene-3,8-diol (126) was for the first time isolated from ST by Lee et al. [16].

Figure 10.
Structures of other compounds isolated from ST.
3. Pharmacological Effects
Modern pharmacological studies show that the extracts of ST have their respective pharmacological activities, such as antipyretic effects, antioxidant effects, hypoglycemic effects, anti-inflammatory effects, immunomodulatory effects, hemostatic effects, abirritation, antitumor effects, antibacterial effects, antiviral activity, etc.
3.1. Antipyretic Effect
Zhang et al. showed that nepetalactone (terpenoid compounds) could significantly reduce the body temperature of rats in a fever model, showing a significant antipyretic effect [23]. Cai et al. found that the antipyretic effect of the micropowder of ST could significantly inhibit the increase in body temperature in febrile rabbits [24]. The composite spray made from ST had significant antipyretic effects on influenza A and B virus models in mice [25]. ST showed an effective role in reducing the hemagglutinin titer in the lung tissue of influenza virus-infected mice in the prescription of the Yinqiao Decoction [26]. Bouididael et al. confirmed that nepetalactone could significantly inhibit the neurocentral system and enhance its antipyretic effect when combined with pentobarbital sodium [27].
3.2. Antioxidant Effect
The antioxidant activities and mechanism of the ST extract including phenolics, flavonoids and anthocyanin were explored by measuring free radical scavenging activity, viz, 1,1-diphenyl-2-picrylhydrazyl (DPPH), nitric oxide (NO), and deoxyribose oxidation levels. The results suggest that the methanol extract of ST can exert significant antioxidant activity via the inhibition of free radicals, iNOS and DNA oxidation [28]. Wang’s study showed that aqueous extracts of ST, as a natural inhibitor of oxidation and inflammation, displayed radical scavenging and reducing activity, as well as liposome protection activity [29].
Wen et al. found that the clearance rate of 1,1-diphenyl-2-trinitrophenylphenylhydrazine (DPPH) free radicals by the polysaccharide extract of ST was as high as 76.29%, and the activity of scavenging hydroxyl radical and superoxide anions was very high for both, indicating that the polysaccharide extract had good antioxidant activity [30]. DO et al. found that the extract of ST can improve the cytotoxicity and oxidative stress of mouse thylakoid cells by inhibiting the formation of AGEs and the crosslinking of AGE proteins [31], and they confirmed that ST can activate the Nrf2/ARE pathway. Their results suggest that ST has an inhibitory effect on MG-induced cytotoxicity by regulating the Nrf2/ARE pathway and reducing ROS production in renal cells, as shown in Figure 11.
Figure 11.
Effects of S. tenuifolia on the Nrf2/ARE pathway and GLO1 expression. The bar values are presented as mean ± SD of three independent experiments (** p < 0.01 and *** p < 0.001 vs. normal, ## p < 0.01 and ### p < 0.001 vs. control) (from Figure 5 in [31]).
Berner et al. found that the leaves of ST not only significantly increased the expression of the Nrf2 protein, but also significantly enhanced the expression of antioxidant enzymes [32]. Wang et al. investigated the antioxidant effects of vitex lignans, hesperidin and luteolin extracted from ST [29]. Qian et al. found that the total flavonoids in ST have scavenging ability on the hydroxyl radical (·OH), DPPH radical (DPPH·) and the superoxide anion radical (O2−·), especially showing much stronger scavenging ability on OH and O2−· [33].
3.3. Anti-Inflammatory Effect
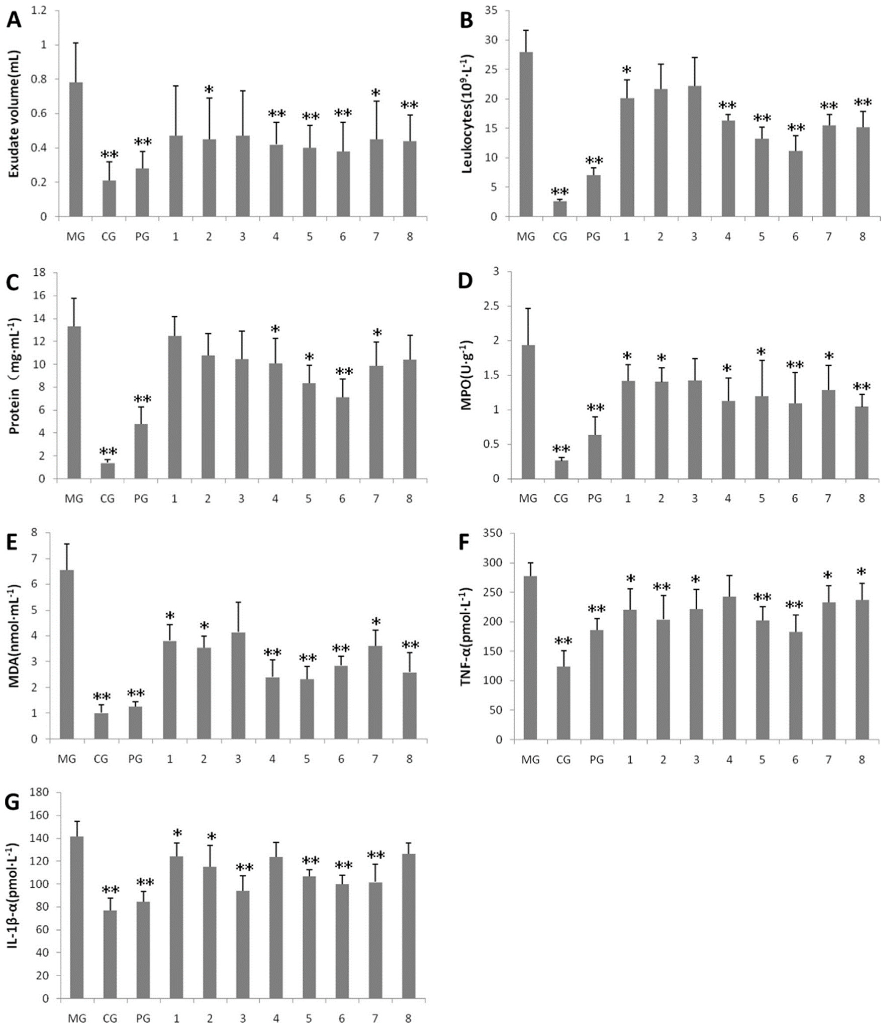
The volatile oil, as the main constituent of ST, has been widely studied in recent years due to its anti-inflammatory effect. The anti-inflammatory effects of the distilled volatile oils from ST on carrageenin-induced pleurisy in rats were investigated by using the ST collected at eight different harvesting times. The results demonstrated that the decreases in various indicators such as leukocytes, protein level, myeloperoxidase (MPO), malondialdehyde (MDA), tumor necrosis factor-α (TNF-α) and interleukine-1β (IL-1β) were significant (p < 0.01, p < 0.05), as depicted in Figure 12 [34].
Figure 12.
Anti-inflammatory effects of different volatile oils from ST on exudate volumes (A), leukocytes (B), protein levels (C), MPO activities (D), MDA contents (E), TNF-α levels (F), IL-1β levels (G). Data are expressed as means ± S.E.M.; * p < 0.05, ** p < 0.01 vs. control group (From Figure 3 in [34]).
Wang’s study certified that the anti-inflammatory effects of the extract of ST were related to tissue NO and TNF-α suppression, and the decrease in lipid peroxidation and the increase in the activity of antioxidant enzymes including catalase, superoxide dismutase and glutathione peroxidase in vivo [29]. Sohn et al. evaluated the anti-inflammation mechanism of the ST extract on the PMA plus A23187-induced stimulation of HMC-1 human mast cells, and they found that ST extract can regulate the cytokine–cytokine receptor interaction (CCRI), MAPK and the toll-like receptor (TLR) signaling pathways [35].
Zhang et al. evaluated the effects of the ST extracts on 2,4-dinitro-1-chlorobenzene (DNCB)-induced AD skin lesions in Nc/Nga mice, and explored the action mechanism [36]. Miceli et al. studied the aboveground parts of ST from a local Greek plant, and found that its methanol extracts such as polyphenols and ursolic acid had a significant inhibitory effect on rat foot edema [37]. The investigation showed that volatile oil from ST could significantly reduce the formation of LTB4 and LTC4 as arachidonic acid metabolites [38]. Byun et al. found that the ethanol extracts of ST could inhibit the expression of lipopolysaccharide-induced cell surface molecules (CD80 and CD86) and the production of pro-inflammatory cytokines such as TNF-α, IL-1β and IL-6 [39]. Choi et al. found that the extract of ST reduced epidermal and dermal thickness in DNCB-induced mice [40]. Moreover, ST could inhibit the activity of mitogen-activated protein kinase and the activation of NF-β. Qu’s study showed that ST could significantly improve symptoms and pathological tissues of ulcerative colitis model rats and promote intestinal mucosal repair, the mechanism of which may be related to the upregulation of the expression of AQP4 and AQP8 in the colon [41]. In addition, the protective effect of volatile oil extracted from ST on endotoxin-poisoned mice was closely related to its anti-inflammatory effect, which was related to the inhibition of NLRP3 inflammasome activation [42].
Kang et al. investigated the anti-inflammatory effects of the aqueous extract of ST on LPS-induced TNF-α and IL-6 in vivo [43]. The results suggested that the downregulation of TNF-α by ST water extract might inhibit both IkBa degradation and activation of c-Jun and ATF-2.
Bai et al. investigated the spectrum-effect relationship between the GC-MS fingerprint and the antioxidant and anti-inflammatory effects of ST essential oil (EO) from various sources, and found that the different sources of ST EO exhibited mild antioxidant activities and significant anti-inflammatory effects [44]. Menthone, isomenthone, pulegone, piperitone and β-caryophyllene might be the especially dominant constituents responsible for the antioxidant and anti-inflammatory activities of ST EO.
3.4. Antitumor Effect
Zang et al. found that the mass concentration of volatile oil of ST above 4 mg/mL had a good inhibitory effect on human lung cancer A549 cells [45]. Kim et al. demonstrated that ST can inhibit the production of LPS-induced TNF-α and IL-6 [46]. Wu et al. found that p-cymene and α-terpinene, as two main components of the volatile oil from ST, had a significant lethal effect on MCF-7 cells by blocking the cell cycle, interfering with the antioxidant system of cells, destroying the cell structure and exhibiting significant antitumor activity in vitro [47].
3.5. Hemostatic Effect
Jeon et al. found that the ST extract effectively inhibited collagen-stimulated platelet function by suppressing MAPK and Akt signaling [48], exhibiting a potential therapeutic effect on the cardiovascular system and platelet function [49]. Zhang et al. found that the ST extract could stimulate the in vitro coagulation system of mice, activate the fibrinogen system, shorten the time of tail hemorrhage and liver hemorrhage in mice, and thus, play a hemostatic role [50]. Jeon et al. also believed that the ST extract played a hemostatic role by inhibiting the signaling pathway of the mitogen-activated protein kinase (MAPK)/protein kinase B (Akt) [48]. Cao et al. also obtained similar results by performing the experiments on rats using the extract of ethyl acetate [49]. Zhang et al. found that the hemostatic mechanism of ST was associated with activating exogenous coagulation pathways and co-coagulation pathways, increasing the number of platelets, improving platelet activation factor TXB2 and reducing the concentration of 6-keto-PGF1α [51].
3.6. Abirritation
The volatile oil of the ST had a good analgesic effect, which was studied by detecting the changes in the pain threshold of mice before and after the administration of the volatile oil in mouse hot-plate experiments [52]. Huang et al. revealed that the volatile oil of ST can increase the pain threshold of mice and significantly improve the cotton ball granuloma of mice through animal experiments, indicating that ST had a good anti-inflammatory and analgesic effect [53]. Meng et al. found that the ST extract raised the pain threshold of mice and had both peripheral analgesia and central analgesic effects through mouse hot-plate experiments [54].
3.7. Antibacterial Effect
Zhu et al. explored the influence of different extraction methods on components and the antibacterial activity of volatile oil from Forsythiae Fructus, Schizonepetae Herba and Menthae Haplocalycis Herba. It was found that the antibacterial effects of volatile oil extracted separately on Escherichia coli, Staphylococcus aureus, Pseudomonas aeruginosa and Candida albicans were better than that and of the physical mixing of volatile oil. [5]. Liang et al. found that the main components of the volatile oil of ST from Yunnan wild soil were α-terpinene, terpinol formate and p-cymenin. These compounds had certain inhibitory effects on Bacillus subtilis, Proteus common, Escherichia coli, Bacillus anthracis, Coryneopsis polyspora, Fusarium oxysporum and Fusarium putrum [55]. The tests showed that ST could eliminate Helicobacter pylori and inhibit NF-κB nuclear entry in gastric mucosa to a certain extent [56]. The volatile oil from the leaves and spikes had an antibacterial effect on B. subtilis, S. typhi, E. coli and S. aureus [57]. The minimum bactericidal concentration (MBC) of volatile oil in the leaves on S. typhi and E. coli was 1/6 and 1/24 mg∙mL−1, and the MBC of the volatile oil in spikes on S. typhi and E. coli was 1/12 and 1/24 mg∙mL−1. The antibacterial effect of volatile oil in leaves and spikes had a close relationship with the contents of 1-octene-3-ol, menthol, pulegone and caryophyllene oxide.
3.8. Immunomodulatory Effect
The study showed that the treatment with 100 μg/mL of ST could suppress the markers of inflammation and allergic reactions, including IL-10, IFN-γ, TNF-α, IL-4 and IL-6 [58]. Moreover, 10 μg/mL of ST inhibited the release of β-hexosaminidase in RBL-2H3 cells. The results revealed that ST had immunomodulatory effects at a cellular level, suggesting the role of ST in the treatment of allergic diseases [58]. Oral administration of the ST water extract significantly reduced the serum levels of IFN-γ and IL-4 in anti-CD3-treated mice, but enhanced those of IL-2. Similar results were also obtained in anti-CD3-stimulated splenocytes and PBMCs in vitro. Detailed and in-depth study results suggested that the differential regulation of the water extract of ST on IFN-γ, IL-4 and IL-2 may be due to its inhibition of NF-kB and enhancement of NFATc2 [59].
Kang et al. investigated the effect of ST water extract on the pattern of cytokine production from activated T cells in vivo and in vitro [60]. The mRNA levels of IL-4, IFN-γ and T-BET were significantly reduced after giving ST orally (200 mg∙kg−1) to mice for 7 days before IV injection of the anti-CD3 antibody. As a Th1-specific transcription factor, T-BET is selectively expressed in Th1 cells, plays an important role in the development of Th1 cells by initiating the Th1 genetic program and inhibits the synthesis of Th2 cytokines. The studies showed that ST can regulate inflammation by reducing the release of Th1 and Th2 cytokines from T cells [60]. Kim et al. studied the anti-inflammatory mechanism of ST in mouse peritoneal macrophages, and revealed that ST inhibited LPS-induced TNF-α and IL-6 production [60]. The maximal inhibition rate of ST (2 mg/mL) on the production of TNF-α and IL-6 was 48.01 ± 2.8% and 56.45 ± 2.8%, respectively [46].
Zhu et al. extracted the polysaccharide from ST spikes by water extraction and the alcohol precipitation method, and determined the total sugar content of the polysaccharide by the phenol-sulfuric acid method [61]. The results showed that 200, 400 and 800 μg·mL−1 of HSP can promote the proliferation of macrophages, enhance the phagocytic activity of macrophages, improve the spleen index and thymus index of immunosuppressed mice, and have a certain regulatory effect on the immune system. Yang et al. administered an ST decoction to a cough model in mice and found that lymphocyte subsets (CD4+, CD8+) in spleen and immune factor (IL-1, IL-6) levels in serum were significantly increased, indicating that the ST decoction could regulate immune function indexes of mice [62]. Fan et al. applied an ST forsythia decoction to a chronic eczema model in mice, and detected the spleen index of immune organs and the ratio of CD4+/CD8+ lymphocytes in the spleen [63]. The results showed that the ST forsythia decoction group could significantly inhibit the increase in the spleen index and the ratio of CD4+/CD8+ cells. The experimental results showed that the ST forsythia decoction had the effect of immune regulation. In conclusion, ST plays a protective role in SV40 MES13 cells by reducing MG-induced cytotoxicity and oxidative stress. It could also prevent the formation of MG-mediated AGEs and inhibit AGE-protein crosslinking. It can be surmised that ST can be an effective therapeutic approach, as a functional food, for diabetes [63].
The effects of the water extract of ST on immediate allergic reactions were studied. The results showed that the water extract of ST could weaken the histamine release from human mast cell line (HMC-1) cells, and inhibit the immunoglobulin E (IgE)-mediated skin allergic reaction and compound the 48/80-induced systemic allergic reaction [64].
3.9. Antiviral Activity
Ng et al. studied the antiviral activity of the ST extract against norovirus [65]. Human norovirus replicon-bearing HG23 cells were treated with the ST extract at 5 and 10 mg/mL, and the viral RNA levels were reduced by 77.2% and 85.9%, respectively. They examined the effect of STE on innate immunity during norovirus replication (Figure 13). The treatment of the ST extract induced the expression of mRNAs for type I and type II interferons in HG23 cells and upregulated the transcription of interferon-β in infected RAW 264.7 cells via increased phosphorylation of interferon regulatory factor 3, a critical transcription regulator for type I interferon production. Taken together, these results suggested that ST extract can inhibit human and mouse norovirus replication by inducing antiviral IFN production during viral replication, and ST extract may serve as a candidate antiviral substance for the treatment of norovirus [65]. Chen et al. reported that the aqueous extract of ST could inhibit the replication of enterovirus 71 (EV71), suggesting that the water extract of ST had anti-EV71 activity and can be used as a health food or a candidate drug for EV71 prevention [66].
Figure 13.
Induction of antiviral interferon production by STE during norovirus replication (* p < 0.05, ** p < 0.01, *** p < 0.001 versus control (t-test)) [65]. (Detailed information can be found in Figure 4 of [65]).
3.10. Other Pharmacological Effects
Kim et al. examined the effects and mechanisms of the action of the ethanolic extract of ST on osteoclastogenesis in vitro in bone marrow macrophages (BMMs) stimulated with the receptor activator of the nuclear factor kappa-B ligand (RANKL) and in vivo using a mouse model of LPS-induced bone destruction [67]. They found that the ethanolic extract of ST was a potential agent for the treatment of osteoclast-related bone diseases, such as osteoporosis [67].
In addition, Yang et al. evaluated the acaricidal potential of 2-isopropyl-5-methyl-cyclohexanone isolated from ST oil and its structurally related derivatives [68]. Their results indicate that the ST oil and the 2-isopropyl-5-methylcyclohexanone structural analogues may be potential agents for controlling indoor dust and stored food mites, and may protect humans from indoor allergens [68].
4. Conclusions
In summary, the main chemical constituents of ST include monoterpenoids, sesquiterpenoids, flavonoids, aldehydes, ketones, quinones, alcohols, phenols, carboxylic acids, esters, alkenes and alkanes. According to the literature, it was found that the types and contents of chemical constituents obtained from different medicinal parts of ST or the same part of ST obtained through different extraction methods are different. The pharmacological effects are mainly reflected as antipyretic effects, antioxidant effects, hypolipemic effects, anti-inflammatory effects, immunomodulatory effects, hemostatic effects, abirritation, antitumor effects, antibacterial effects and antiviral activity. The mechanisms of abirritation, bacteriostasis, antiviral activity, etc. are not systematic and complete, and regulating the signaling pathway to exert pharmacological effects needs further study. In addition, the pharmacological effects of water or alcohol extracts of ST were studied more than the specific chemical constituents of ST. Therefore, with the development of science and technology, more chemical constituents will be isolated and their pharmacological effects will be better understood.
Author Contributions
X.Z.: supervision, methodology, conceptualization, writing—reviewing and editing; M.Z.: writing—original draft preparation. All authors have read and agreed to the published version of the manuscript.
Funding
This work is supported by the Heilongjiang Provincial Natural Science Foundation of China (LH2020H082).
Institutional Review Board Statement
Not applicable.
Informed Consent Statement
Not applicable.
Data Availability Statement
Not applicable.
Conflicts of Interest
The authors declare no conflict of interest.
References
- Pharmacopoeia Commission of the Ministry of Public Health. Chinese Pharmacopoeia; China Medical Science and Technology Press: Beijing, China, 2020. [Google Scholar]
- Chun, M.H.; Kim, E.K.; Yu, S.M.; Oh, S.M.; Moon, K.Y.; Jung, J.; Hong, J. GC/MS combined with chemometrics methods for quality control of Schizonepeta tenuifolia Briq.: Determination of essential oils. Microchem. J. 2011, 97, 274–281. [Google Scholar] [CrossRef]
- Yu, S.; Chen, Y.W.; Zhang, L.; Shan, M.Q.; Tang, Y.P.; Ding, A.W. Quantitative Comparative Analysis of the Bio-Active and Toxic Constituents of Leaves and Spikes of Schizonepeta tenuifolia at Different Harvesting Times. Int. J. Mol. Sci. 2011, 12, 6635–6644. [Google Scholar] [CrossRef] [PubMed]
- Chun, M.H.; Kim, E.K.; Lee, K.R.; Jung, J.H.; Hong, J.K. Quality control of Schizonepeta tenuifolia Briq. by solid-phase microextraction gas chromatography/mass spectrometry and principal component analysis. Microchem. J. 2010, 95, 25–31. [Google Scholar] [CrossRef]
- Zhu, M.F.; Tang, Y.; Zheng, Q.; Tang, D.F.; Luo, J.; Hu, P.Y.; Guo, Y.Y.; Wu, H.X.; Yang, M. Effects of different extraction methods on composition and antibacterial activity of volatile oil from Forsythiae Fructus, Schinzonepetae Herba, and Menthae Haplocalycis Herba. Chin. Tradit. Herb. Drugs. 2018, 49, 2845–2854. [Google Scholar]
- Cai, S.F.; Chen, K.H.; Linghu, R.G. Supercritical CO2 Extraction of Volatile Oil from Schizonepeta tenuifolia Briq. and GC-MS Analysis. J. Nanjing For. Univ. Nat. Sci. Ed. 2007, 31, 25–28. [Google Scholar]
- Yu, P.; Qiu, Q.; Cui, Z.J.; Liu, S.; Liu, T.L. Determination of chemical constituents of the essential oil from Schizonepeta tenuifolia Briq. by GC-MS. Chin. Tradit. Pat. Med. 2002, 24, 57–60. [Google Scholar]
- Liu, X.Q.; Li, S.W.; Li, Z.M.; Zhang, X.D.; Cui, X.Z.; Lu, C.M. Study on the constituents of volatile oil from different parts of Schizonepeta tenuifolia Briq. Chin. Tradit. Herb. Drugs 2008, 39, 1472–1473. [Google Scholar]
- Qiu, Q.; Ling, J.Y.; Ding, Y.P.; Chang, H.W.; Wang, J.; Liu, T.L. Comparison of Supercritical Fluid Extraction and Steam Distillation Methods for the Extraction of Essential Oils from Schizonepeta tenuifolia Briq. Chin. J. Chromatogr. 2005, 23, 646–650. [Google Scholar]
- Chen, Y.; Jiang, Z.H.; Tian, J.K. GC-MS Analysis of Volatile Oil from the Ear of Schizonepeta tenuifolia Briq. J. Chin. Med. Mater. 2006, 29, 140–142. [Google Scholar]
- Du, C.Z.; Qin, J.P.; Chen, Y.P.; Cai, Y. GC-MS Analysis of Volatile Oil Components in Schizonepeta tenuifolia Briq. from Various Habitats. Hubei Agric. Sci. 2014, 53, 188–190. [Google Scholar]
- Ye, D.J.; Ding, A.W.; Yu, L.; Cao, G.X.; Wu, M. Study on the components of volatile oil from different medicinal parts and after carbon frying of Schizonepeta tenuifolia Briq. Chin. J. Chin. Mater. Med. 1985, 10, 21–23. [Google Scholar]
- Wu, Y.L.; Ding, A.W.; Feng, Y.L. Study on volatile oil of Schizonepeta tenuifolia Briq. and its related Medicinal materials. Chin. Tradit. Herb. Drugs 2000, 31, 894–896. [Google Scholar]
- Yang, Z.Y.; Yan, J.C.; Zhang, S.J.; Yu, L.G. Study on chemical constituents of volatile oil from Schizonepeta Spica. Chin. Tradit. Herb. Drugs. 1996, 27, 396–397. [Google Scholar]
- Meng, N.; Huang, S.; Hu, D.D.; Xu, Y.L.; Wang, F.Y.; Wang, J.L. Chemical constituents from Nepeta angustifolia. Chin. Tradit. Pat. Med. 2017, 39, 976–980. [Google Scholar]
- Lee, I.K.; Kim, M.A.; Lee, S.Y.; Hong, J.K.; Lee, J.H.; Lee, K.R. Phytochemical Constituents of Schizonepeta tenuifolia Briquet. Nat. Prod. Sci. 2008, 14, 100–106. [Google Scholar] [CrossRef]
- Zhao, L.Z.; Jin, Y.; Han, X.M.; Chu, Q.L.; Yang, J.S. Two new sesquiterpenes from the aerial parts of Schizonepeta tenuifolia. J. Asian Nat. Prod. Res. 2017, 19, 152–156. [Google Scholar] [CrossRef]
- Zeren, L.M.; Pu, Z.; Zhuoma, D.Z.; Wang, J.L. Chemical constituents and pharmacological action of Schizonepeta tenuifolia Briq. J. Mod. Med. Health 2014, 30, 215–217. [Google Scholar]
- Fang, J.X.; Wang, S.; Meng, X.S.; Bao, Y.R.; Li, T.J. Determination of six flavonoids in Schizonepeta tenuifolia from different areas by HPLC. Chin. Tradit. Herb. Drugs. 2017, 48, 2292–2295. [Google Scholar]
- Song, K.; Wang, H.Q.; Liu, C.; Kang, J.; Li, B.M.; Chen, R.Y. Chemical Studies on the Herb of Chenopodium ambrosioides. Chin. J. Chin. Mater. Med. 2014, 39, 254257. [Google Scholar]
- Wen, Z.S.; Liu, L.L.; Li, X.R.; Zheng, Y.G.; Ma, D.L. Simultaneous determination of 8 components in Schizonepeta tenuifolia from different habitats by HPLC. J. Chin. Med. Mater. 2019, 42, 139–143. [Google Scholar]
- Huang, X.H.; Chen, J.; Xu, X.Q.; Zhang, W.T.; Zhao, C.C. A New Phenolic Compound from Schizonepeta tenuifolia. Chem. Nat. Compd. 2016, 52, 1005–1007. [Google Scholar] [CrossRef]
- Zhang, L.; Zhang, M.; Sun, E.; Ding, A.W. Anit-inflammatory, analgesic and antipyretic effects of schizonepetolide poly-lactic-CO-glycolic acid nanoparticles. J. China Pharm. Univ. 2008, 39, 433–436. [Google Scholar]
- Cai, G.X.; Liu, L.; Wang, Y.H.; Tang, Z.P. Comparison of powders with different diameters of schizonepeta on anti-pyretic and analgesic effects. J. Hunan Univ. Chin. Med. 2008, 28, 18–20. [Google Scholar]
- Song, L. Pharmaceutical Study of JG Spray. Ph.D. Thesis, Nanjing University of Chinese Medicine, Nanjing, China, 2007. [Google Scholar]
- Wu, Z.Q.; Liu, G.H.; Yan, L.J.; Nan, C.H.; Yue, Z.J.; Wang, X.F. Experimental study on anti-influenza virus infection with yinqiao-decoction by orthogonal design. Chin. J. Exp. Clin. Virol. 2010, 24, 427–429. [Google Scholar]
- Bouididael, E.H.; Alaoui, K.; Cherrah, Y.; Chammache, M.; Idrissi, A.I. Analgesic activity of different nonvolatile extracts of Nepeta atlantica Ball and Nepeta Tuberosa L. ssp. reticulata (Desf.) Maire. Therapie 2008, 63, 333–338. [Google Scholar] [CrossRef]
- Tae, K.S.; Kim, S.J. Inhibition of iNOS and DNA Oxidation by Methanol Extract of Schizonepeta tenuifolia. Trop. J. Pharm. Res. 2012, 11, 397–404. [Google Scholar] [CrossRef]
- Wang, B.S.; Huang, G.J.; Tai, H.M.; Huang, M.H. Antioxidant and anti-inflammatory activities of aqueous extracts of Schizonepeta tenuifolia Briq. Food Chem. Toxicol. 2012, 50, 526–531. [Google Scholar] [CrossRef]
- Wen, Z.S.; Li, X.R.; Fan, Z.X.; Ma, D.L.; Zheng, Y.G. Study on antioxidant activity of Schizonepeta tenuifolia polysaccharide extract. Hebei J. Tradit. Chin. Med. 2019, 34, 53–56. [Google Scholar]
- Do, M.H.; Choi, J.; Kim, Y.; Park, H.Y.; Ha, S.K.; Hur, J. Schizonepeta tenuifolia reduces methylglyoxal-induced cytotoxicity and oxidative stress in mesangial cells. J. Funct. Foods. 2019, 62, 103531. [Google Scholar] [CrossRef]
- Berner, A.K.; Brouwers, O.; Pringle, R.; Klaassen, I.; Colhoun, L.; McVicar, C.; Brockbank, S.; Curry, J.W.; Miyata, T.; Brownlee, M.; et al. Protection against methylglyoxal-derived AGEs by regulation of glyoxalase 1 prevents retinal neuroglial and vasodegenerative pathology. Diabetologia 2012, 55, 845–854. [Google Scholar] [CrossRef]
- Qian, R.H.; Ren, Q.R.; Huang, J.; Zhou, Y.J.; Zhang, J.J.; Wang, Y.N. Study on the ldentification and Antioxidant and Antibacterial Activity of Total Flavonoids from Chenopodium ambrosioides L. in Sichuan Province. Food Ind. 2018, 39, 167–171. [Google Scholar]
- Shan, M.Q.; Qian, Y.; Yu, S.; Guo, S.C.; Zhang, L.; Ding, A.W.; Wu, Q.N. Anti-inflammatory effect of volatile oil from Schizonepeta tenuifolia on carrageenin-induced pleurisy in rats and its application to study of appropriate harvesting time coupled with multi-attribute comprehensive index method. J. Ethnopharmacol. 2016, 194, 580–586. [Google Scholar] [CrossRef]
- Sohn, S.H.; Cho, S.; Ji, E.S.; Kim, S.H.; Shin, M.; Hong, M.; Bae, H. Microarray analysis of the gene expression profile of HMC-1 mast cells following Schizonepeta tenuifolia Briquet treatment. Cell Immunol. 2012, 277, 58–65. [Google Scholar] [CrossRef] [PubMed]
- Zhang, T.; Qiu, J.; Wu, X.; Huang, S.; Yuan, H.; Park, S. Schizonepeta Tenuifolia with Alpinia Oxyphylla Alleviates Atopic Dermatitis and Improves the Gut Microbiome in Nc/Nga Mice. Pharmaceutics 2020, 12, 722. [Google Scholar] [CrossRef] [PubMed]
- Miceli, N.; Taviano, M.F.; Giuffrida, D.; Trovato, A.; Tzakou, O.; Galati, E.M. Anti-inflammatory activity of extract and fractions from Nepeta sibthorpii Bentham. J. Ethnopharmacol. 2005, 97, 261–266. [Google Scholar] [CrossRef] [PubMed]
- Zeng, N.; Shen, Y.J.; Ren, Y.X.; Li, J.H. Experimental study on anti-inflammatory mechanism of volatile Oil from Schizonepeta tenuifolia. J. Chin. Med. Mater. 2006, 29, 359–362. [Google Scholar]
- Byun, M.W. Schizonepeta tenuifolia ethanol extract exerts anti-inflammatory activity through the inhibition of TLR4 signaling in lipopolysaccharide-stimulated macrophage cells. J. Med. Food 2014, 17, 350–356. [Google Scholar] [CrossRef]
- Choi, Y.Y.; Kim, M.H.; Kim, J.H.; Jung, H.S.; Sohn, Y.; Choi, Y.J.; Hwang, M.K.; Kim, S.H.; Kim, J.; Yang, W.M. Schizonepeta tenuifolia inhibits the development of atopic dermatitis in mice. Phytother. Res. 2013, 27, 1131–1135. [Google Scholar] [CrossRef]
- Qu, Y.; Zhang, S.X.; Fu, L.Y.; Dai, Q.Y.; Zhang, Y.B.; Liu, Z.H.; Li, S.Y.; Yang, X.Y.; Nie, G.K.; Wang, R. Effect of Schizonepetae Herba and Saposhnikoviae Radix on expression of AQP4 and AQP8 in colonic mucosa of rats with ulcerative colitis. Chin. J. Chin. Mater. Med. 2020, 45, 3719–3725. [Google Scholar]
- Lv, H.J.; Wen, T.Q.; Luo, J.; Liu, X.B.; Yang, J.; Zeng, N. Study on mechanism of essential oils of Schizonepeta tenuifolia Briq. in endotoxin poisoning mice via NLRP3 inflammasome pathway. Chin. Pharmacol. Bull. 2019, 35, 371–376. [Google Scholar]
- Kang, H.; Han, S.W.; Hong, J.W.; Sohn, N.W. Suppression of tumour necrosis factor-a by Schizonepeta tenuifolia water extract via inhibition of IkBa degradation and Jun N-terminal kinase/stress-activated protein kinase activation. J. Pharm. Pharmacol. 2010, 62, 1069–1076. [Google Scholar] [CrossRef] [PubMed]
- Bai, X.; Liu, L.; Zhang, J.P.; Chen, L.; Wu, T.; Aisa, H.A.; Maiwulanjiang, M. Spectrum–effect relationship between GC-QTOF-MS fingerprint and antioxidant, anti-inflammatory activities of Schizonepeta tenuifolia essential oil. Biomed. Chromatogr. 2021, 35, e5106. [Google Scholar] [CrossRef] [PubMed]
- Zang, L.Q.; Hu, F.; Wei, M.; Wang, N.P.; Wei, J.B. Research on Anti-tumor Effect of Essential Oil in Schizonepeta Tenuifolia Briq. and Its Inducing Apoptosis. Guangxi J. Tradit. Chin. Med. 2006, 29, 60–62. [Google Scholar]
- Kim, S.J.; Kim, J.S.; Choi, I.Y.; Kim, D.H.; Kim, M.C.; An, H.J.; Na, H.J.; Kim, N.H.; Moon, P.D.; Myung, N.Y.; et al. Anti-Inflammatory Activity of Schizonepeta tenuifolia through the Inhibition of MAPK Phosphorylation in Mouse Peritoneal Macrophages. Am. J. Chin. Med. 2008, 36, 1145–1158. [Google Scholar] [CrossRef]
- Wu, J.L. Antitumor Mechanism of Essential Oil and Its Two Main Components from Chenopodium ambrosioides L. on Human Breast Cancer MCF-7 Cells. Doctoral Dissertation, Sichuan Normal University, Chengdu, China, 2014. [Google Scholar]
- Jeon, B.R.; Irfan, M.; Kim, M.; Lee, S.E.; Lee, J.H.; Man, H.R. Schizonepeta tenuifolia inhibits collagen stimulated platelet function via suppressing MAPK and Akt signaling. J. Biomed. Res. 2019, 33, 250–257. [Google Scholar]
- Cao, L.L.; Li, X.; Zhang, L. Experimental study on the effect of Schizonepeta Spica Carbonisata and its effective parts on rat coagulation system. Chin. Tradit. Pat. Med. 2010, 32, 611–613. [Google Scholar]
- Zhang, M.L.; Zhao, Y.; Cheng, J.J.; Liu, X.M.; Wang, Y.Z.; Yan, X.; Zhang, Y.; Lu, F.; Wang, Q.G.; Qu, H.H. Novel carbon dots derived from Schizonepetae Herba Carbonisata and investigation of their haemostatic efficacy. Artif. Cells. Nanomed. Biotechnol. 2018, 46, 1562–1571. [Google Scholar] [CrossRef] [PubMed]
- Zhang, M.L. Study on Hemostatic Substance Basis and Mechanism of Charred Schizonepeta; Beijing University of Chinese Medicine: Beijing, China, 2018. [Google Scholar]
- Xue, Z.B. Preparation, Quality Analysis and Activity Evaluation of a Traditional Chinese Medicated Oil with Anti-Inflammatory and Analgesic Effect; East China University of Science and Technology: Shanghai, China, 2014. [Google Scholar]
- Huang, S.; Jiang, C.Y.; Long, F. Anti-Inflammation and Analgesic Effect of Volatile Oil from Nepeta Angustifolia. Her. Med. 2011, 30, 1262–1265. [Google Scholar]
- Meng, N.; Huang, S.; Hu, D.D.; Yuan, R.Y.; Li, B.; Wang, J.L.; Wu, C.Y. Anti-Inflammatory and Analgesic Effects of Different Solvent Extractions of Nepeta Angustifolia. Chin. Arch. Tradit. Chin. Med. 2018, 36, 1874–1877. [Google Scholar]
- Liang, Q.; Liu, W.Y.; Zhang, Q.; Wang, F. Chemical constituents and anti-microbial activities of essential oil of Chenopodium ambrosioides L. from Kunming Yunnan. Lishizhen Med. Mater. Med. Res. 2018, 29, 1800–1803. [Google Scholar]
- Ye, H.; Yu, J.; Zhang, X.Z. Study on bactericidal activity against H.pylori in vivo and effects on the NF-κB expression of Chenopodium ambrosioides L. volatile oil. Chin. J. Tradit. Chin. Med. 2017, 32, 5346–5349. [Google Scholar]
- Su, C.; Zhao, Y.Y.; Feng, Y.; Zhang, L.L.; Zheng, Y.G.; Zheng, K.Y. Antibacterial effect and composition analysis of the leaves and spicas from Schizonepeta tenuifolia Briq. Chin. J. New Drugs 2022, 31, 1103–1111. [Google Scholar]
- Lin, Y.H.; Chen, H.Y.; Chiu, J.C.; Chen, K.J.; Ho, H.Y.; Yang, S.H. Immunomodulation Effects of Schizonepeta tenuifolia Briq. On the IgE-Induced Allergic Model of RBL-2H3 Cells. Evid.-Based Complementary Altern. Med. 2018, 2018, 1–7. [Google Scholar] [CrossRef]
- Kang, H.; Moon, J.Y.; Sohn, N.W. Regulation of interferon-gamma, interleukin-4 and interleukin-2 by Schizonepeta tenuifolia through differential effects on nuclear factor-kappaB, NFATc2 and STAT4/6. Exp. Biol. Med. 2010, 235, 230–236. [Google Scholar] [CrossRef]
- Kang, H.; Oh, Y.J.; Choi, H.Y.; Ham, I.H.; Bae, H.S.; Kim, S.H.; Ahn, K.S. Immunomodulatory effect of Schizonepeta tenuifolia water extract on mouse Th1/Th2 cytokine production in-vivo and in-vitro. J. Pharm. Pharmacol. 2008, 60, 901–907. [Google Scholar] [CrossRef] [PubMed]
- Zhu, Y.D.; Li, Z.K.; Liang, Y.Q.; Xia, H.Y.; Li, C.H.; Wang, C.J. Immunomodulatory Activity of Polysaccharides from Herba Schizonepetae. Her. Med. 2021, 40, 187–192. [Google Scholar]
- Yang, M.H.; Huang, X.W.; Xin, G.; Liu, Y.X.; Zhao, X.T.; Li, X.; Xu, Y.; Zhang, Q. Experimental study on the best decoction time of Schizonepeta in Schizonepeta decoction. Chin. J. Hosp. Pharm. 2019, 39, 344–347+352. [Google Scholar]
- Fan, H.J.; Lu, Z.W.; Wen, F.; Xie, Z.P.; Xie, J.W.; Pei, T.T.; Tan, Z.B.; Wu, Y.T.; Liu, B.; Zhou, Y.C. Anti-inflammation and Restoring Immune Function Effects of Jingjie Lianqiao Decoction in Chronic Atopic Dermatitis Mice. Liaoning J. Tradit. Chin. Med. 2018, 45, 854–858+897. [Google Scholar]
- Yoo, J.S.; Kim, D.K.; Kim, S.H.; Shin, T.Y. Anti-allergic Effects of Schizonepeta tenuifolia on Mast Cell-Mediated Allergy Model. Nat. Prod. Sci. 2011, 17, 239–244. [Google Scholar]
- Ng, Y.C.; Kim, Y.W.; Lee, J.S.; Lee, S.J.; Song, M.J. Antiviral activity of Schizonepeta tenuifolia Briquet against noroviruses via induction of antiviral interferons. J. Microbiol. 2018, 56, 683–689. [Google Scholar] [CrossRef]
- Chen, S.G.; Cheng, M.L.; Chen, K.H.; Horng, J.T.; Liu, C.C.; Wang, S.M.; Sakurai, H.; Leu, Y.L.; Wang, S.D.; Ho, H.Y. Antiviral activities of Schizonepeta tenuifolia Briq. against enterovirus 71 in vitro and in vivo. Sci. Rep. 2017, 7, 935. [Google Scholar] [CrossRef] [PubMed]
- Kim, J.Y.; Baek, J.M.; Ahn, S.J.; Cheon, Y.H.; Park, S.H.; Yang, M.; Choi, M.K.; Oh, J. Ethanolic extract of Schizonepeta tenuifolia attenuates osteoclast formation and activation in vitro and protects against lipopolysaccharide-induced bone loss in vivo. BMC Complementary Altern. Med. 2016, 16, 301. [Google Scholar] [CrossRef] [PubMed]
- Yang, J.Y.; Hoi-Seon Lee, H.S. Changes in Acaricidal Potency by Introducing Functional Radicals and an Acaricidal Constituent Isolated from Schizonepeta tenuifolia. J. Agric. Food Chem. 2013, 61, 11511–11516. [Google Scholar] [CrossRef] [PubMed]
Publisher’s Note: MDPI stays neutral with regard to jurisdictional claims in published maps and institutional affiliations. |
© 2022 by the authors. Licensee MDPI, Basel, Switzerland. This article is an open access article distributed under the terms and conditions of the Creative Commons Attribution (CC BY) license (https://creativecommons.org/licenses/by/4.0/).















