Abstract
‘Globemaster’ is an ornamental hybrid cultivar whose parent plants are Allium cristophii and A. macleanii. The chemical constituents of ‘Globemaster’ bulbs have not yet been examined; thus, a systematic phytochemical investigation was undertaken herein. A series of chromatographic separations of the MeOH extract of ‘Globemaster’ bulbs afforded 27 steroidal glycosides (1–27), which are classified into 23 spirostanol glycosides (1–8 and 11–25), two furostanol glycosides (9 and 26), a pregnane glycoside (10), and a cholestane glycoside (27). The structures of the hitherto undescribed compounds (1–10) were determined from the two-dimensional NMR spectroscopic data and hydrolysis. The cytotoxicity of the isolated compounds (1–27) toward HL-60 human promyelocytic leukemia cells, A549 human adenocarcinoma lung cancer cells, and SBC-3 human small-cell lung cancer cells was evaluated. Compounds 8, 22, 23, 24, and 26 exhibited cytotoxicity toward all cell lines in a dose-dependent manner, with IC50 values in the 1.3–49 µM range.
1. Introduction
The genus Allium, belonging to the family Amaryllidaceae, is distributed throughout the Northern Hemisphere and comprises more than 950 species [1]. Although most Allium plants are cultivated for ornamental purposes, some species, including A. cepa (onion), A. sativum (garlic), and A. chinense (rakkyo), are used as food sources [1]. Previously, we isolated diverse spirostan-, furostan-, and cholestane-type steroidal glycosides from the following Allium species: A. aflatunense [2,3], A. albopilosum [4], A. ampeloprasum [5], A. chinense [6], A. giganteum [2,7,8], A. jesdianum [9], A. karataviense [10,11], A. macleanii [12], A. narcissiflorum [13], A. ostrowskianum [4], A. schubertii [14,15], A. senescens [12], and A. sphaerosephalon [16]. These studies indicated that Allium species are rich sources of steroidal glycosides. ‘Globemaster’ is a hybrid cultivar of the parent plants A. cristophii and A. macleanii, which are used as ornamental plants [17]. No phytochemical study or evaluation of the biological activity of the bulbs of ‘Globemaster’ was found in a literature survey.
In 2020, approximately 19 million new cancer cases and 10 million cancer-related deaths were documented globally. Approximately 2.2 million and 470,000 new cases of lung cancer and leukemia and 1.8 million and 310,000 related deaths were estimated in 2020, respectively. Apart from breast cancer, lung cancer is the leading cause of cancer-related mortality in women worldwide [18]. Although anticancer agents such as cisplatin, carboplatin, etoposide, and irinotecan are effective against small-cell lung cancer (SCLC), patients relapse at a relatively high rate [19]. Thus, the development of new anticancer agents is desirable for improving the treatment of cancer patients worldwide.
In this study, we isolated 27 steroidal glycosides (1–27), including 10 previously undescribed ones (1–10), from the bulbs of ‘Globemaster’. The structures of 1–10 were determined by NMR spectroscopy and hydrolysis. The cytotoxicity of the isolated compounds towards HL-60 human promyelocytic leukemia cells, A549 human adenocarcinoma lung cancer cells, and SBC-3 human small-cell lung cancer cells was evaluated.
2. Results
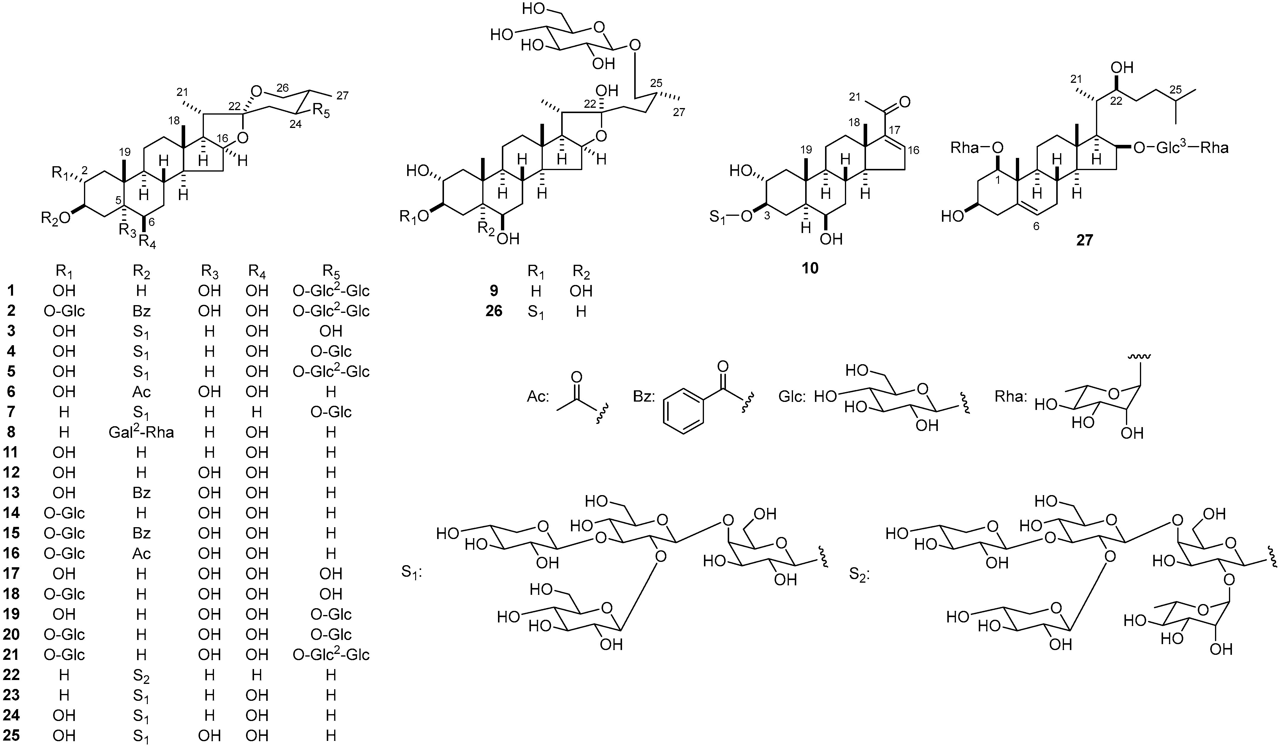
2.1. Structure Determination
Twenty-seven compounds (1–27) were collected from the bulbs of ‘Globemaster’. Compounds 1–27 are classified into 23 spirostanol glycosides (1–8 and 11–25), two furostanol glycosides (9 and 26), a pregnane glycoside (10), and a cholestane glycoside (27). Compounds 11–27 were assigned as follows, and select structures are presented in Figure 1: (25R)-5α-spirostan-2α,3β,6β-triol (agigenin, 11) [20], (25R)-spirostan-2α,3β,5α,6β-tetrol (alliogenin, 12) [7], (25R)-3β-benzoyloxy-spirostan-2α,5α,6β-triol (karatavigenin, 13) [21], (25R)-3β,5α,6β-trihydroxyspirostan-2α-yl β-d-glucopyranoside (14) [7], (25R)-3β-benzoyloxy-5α,6β-dihydroxyspirostan-2α-yl β-d-glucopyranoside (15) [7], (25R)-3β-acetoxy-5α,6β-dihydroxyspirostan-2α-yl β-d-glucopyranoside (16) [7], (24S,25S)-spirostan-2α,3β,5α,6β,24-pentol (17) [8], (24S,25S)-3β,5α,6β,24-tetrahydroxyspirostan-2α-yl β-d-glucopyranoside (18) [8], (24S,25S)-2α,3β,5α,6β-tetrahydroxyspirostan-24-yl β-d-glucopyranoside (19) [2], (24S,25S)-24-[(β-d-glucopyranosyl)oxy]-3β,5α,6β-trihydroxyspirostan-2α-yl β-d-glucopyranoside (20) [10], (24S,25S)-24-[(O-β-d-glucopyranosyl-(1→2)-β-d-glucopyranosl)oxy]-3β,5α,6β-trihydroxyspirostan-2α-yl O-β-d-glucopyranoside (21) [10], (25R)-5α-spirostan-3β-yl O-α-l-rhamnopyranosyl-(1→2)-O-[β-d-xylopyranosyl-(1→2)-O-[β-d-xylopyranosyl-(1→3)]-O-β-d-glucopyranosyl]-(1→4)-β-d-galactopyranoside (22) [12], (25R)-6β-hydroxy-5α-spirostan-3β-yl O-β-d-glucopyranosyl-(1→2)-O-[β-d-xylopyranosyl-(1→3)]-O-β-d-glucopyranosyl-(1→4)-β-d-galactopyranoside (23) [9], (25R)-2α,6β-dihydroxy-5α-spirostan-3β-yl O-β-d-glucopyranosyl-(1→2)-O-[β-d-xylopyranosyl-(1→3)]-O-β-d-glucopyranosyl-(1→4)-β-d-galactopyranoside (24) [4], (25R)-2α,5α,6β-trihydroxyspirostan-3β-yl O-β-d-glucopyranosyl-(1→2)-O-[β-d-xylopyranosyl-(1→3)]-O-β-d-glucopyranosyl-(1→4)-β-d-galactopyranoside (25) [3], (25R)-26-[(β-d-glucopyranosyl)oxy]-2α,6β,22α-trihydroxy-5α-furostan-3β-yl O-β-d-glucopyranosyl-(1→2)-O-[β-d-xylopyranosyl-(1→3)]-O-β-d-glucopyranosyl-(1→4)-β-d-galactopyranoside (26) [15], and (22S)-16β-[(O-α-l-rhamnopyranosyl-(1→3)-β-d-glucopyranosyl)oxy]-3β-hydroxycholestan-5-en-1β-yl α-l-rhamnopyranoside (27) [4].
Figure 1.
Structures of 1–27 from the bulbs of ‘Globemaster’.
Compound 1 was collected as an amorphous solid. The molecular formula of 1 was determined to be C39H64O17 from the high-resolution electrospray ionization time-of-flight mass spectroscopy (HRESITOFMS) (m/z 827.4035 [M + Na]+, calculated for C39H64NaO17: 827.4041) and 13C NMR spectral data. The characteristic signals of the following groups were observed in the 1H and 13C NMR spectra of 1: two tertiary methyl groups [δH 1.65 (s, Me-19) and 0.81 (s, Me-18); δC 18.5 (C-19) and 16.7 (C-18)], two secondary methyl groups [δH 1.22 (d, J = 6.4 Hz, Me-27) and 1.00 (d, J = 7.0 Hz, Me-21); δC 14.8 (C-21) and 13.6 (C-27)], five oxygenated methine groups [δH 4.83 (m, H-3), 4.50 (q-like, J = 7.6 Hz, H-16), 4.45 (m, H-2), 4.22 (m, H-6), and 3.94 (ddd, J = 10.7, 10.7, 4.9 Hz, H-24); δC 81.7 (C-24), 81.5 (C-16), 75.5 (C-6), 73.7 (C-2), and 73.6 (C-3)], an oxygenated methylene group [δH 3.59 (dd, J = 11.4, 4.9 Hz, H-26eq) and 3.49 (dd, J = 11.4, 11.4 Hz, H-26ax); δC 65.2 (C-26)], an acetal carbon [δC 111.5 (C-22)], an oxygenated quaternary carbon [δC 75.6 (C-5)], and two anomeric protons/carbons [δH 5.37 (d, J = 7.7 Hz) and 4.90 (d, J = 7.7 Hz); δC 106.1 and 104.2]. Enzymatic hydrolysis of 1 with β-d-glucosidase at 28 °C for nine days yielded 19 and a sugar fraction. The sugar fraction was subjected to direct HPLC analysis, which allowed the identification of d-glucose. The heteronuclear multiple bond correlation (HMBC) spectrum of 1 shows long-range correlations between H-1″ of β-d-glucopyranosyl [Glc (II): δH 5.37 (d, J = 7.7 Hz)] and C-2′ of Glc (I) (δC 83.7), and between H-1′ of β-d-glucopyranosyl [Glc (I): δH 4.90 (d, J = 7.7 Hz)] and C-24 of the aglycone (δC 81.7) (Figure 2). The β-anomeric orientations of Glc (I) and Glc (II) were confirmed by their relatively large 3JH-1,H-2 values. Therefore, 1 was determined to be (24S,25S)-2α,3β,5α,6β-tetrahydroxyspirostan-24-yl O-β-d-glucopyranosyl-(1→2)-β-d-glucopyranoside.
Figure 2.
Representative HMBC correlations of 1–10.
Although the 1H and 13C NMR spectra of 2 (C52H78O23) were similar to those of 21 (C45H74O22), 2 was larger than 21 because of the presence of C7H4O in the molecular formula of the former. The 1H and 13C NMR spectra of 2 displayed signals arising from a 1-substituted aromatic group [δH 8.43 (2H, dd, J = 7.8, 1.9 Hz, H-2″″ and H-6″″), 7.45 (1H, m, H-4″″), and 7.44 (2H, m, H-3″″ and H-5″″); δC 131.9, 130.3, 128.6, 132.9, 128.6, and 130.3 (C-1″″–C-6″″)] and a carbonyl group [δC 166.8 (C-7″″)]. Analysis of the 1H-1H correlation spectroscopy (COSY) and heteronuclear single quantum coherence (HSQC) spectra of 2 revealed that 2 has a benzoyl (Bz) moiety. The HMBC spectrum of 2 shows a 3JC,H correlation from H-3 of the aglycone [δH 6.29 (ddd, J = 11.1, 9.5, 6.2 Hz)] to C-7″″ of Bz (Figure 2). Accordingly, 2 was determined to be (24S,25S)-3β-benzoyloxy-2α-[(β-d-glucopyranosyl)oxy]-5α,6β-dihydroxyspirostan-24-yl O-β-d-glucopyranosyl-(1→2)-β-d-glucopyranoside.
Analysis of the 1H and 13C NMR spectra revealed that 3 (C50H82O25) is similar to 24, except for the F-ring part of the aglycone. The 1H-1H COSY spectrum of 3 shows spin-coupling correlations between the methine proton [δH 1.81 (m)] attributable to H-25 and the methyl protons [δH 1.07 (d, J = 6.6 Hz, Me-27)], oxygenated methylene protons [δH 3.70 (dd, J = 10.8, 4.8 Hz, H-26eq) and δH 3.58 (dd, J = 10.8, 10.8 Hz, H-26ax)], and oxygenated methine proton [δH 3.99 (m, H-24)]. These correlations indicate the presence of a hydroxy group at C-24 of the aglycone. The configuration of C-24 was determined to be S based on the nuclear Overhauser effect (NOE) correlation between H-24 and H-26ax in the nuclear Overhauser enhancement spectroscopy (NOESY) spectrum of 3 (Figure 3). The spin-coupling constants of 3JH-23ax,H-24 (12.6 Hz) and 3JH-23eq,H-24 (4.8 Hz) are consistent with the 24S configuration. Therefore, 3 was determined to be (24S,25S)-2α,6β,24-trihydroxy-5α-spirostan-3β-yl O-β-d-glucopyranosyl-(1→2)-O-[β-d-xylopyranosyl-(1→3)]-O-β-d-glucopyranosyl-(1→4)-β-d-galactopyranoside.
Figure 3.
Representative NOE correlations of the F-ring part of 3.
The 1H and 13C NMR spectra of 4 (C56H92O30) were closely related to those of 3; however, an additional anomeric proton signal [Glc (III): δH 4.90 (d, J = 7.7 Hz, H-1″″′ of Glc (III)] and six carbon signals [δC 106.3, 75.6, 78.5, 71.6, 77.9, and 62.7 (C-1″″′–C-6″″′ of Glc (III)] corresponding to a terminal β-d-glucopyranosyl unit were detected in the 1H and 13C NMR spectra of 4. The HMBC spectrum of 4 shows a long-range correlation between H-1″″′ of Glc (III) and C-24 of the aglycone (δC 81.3) (Figure 2). Thus, 4 was determined to be (24S,25S)-24-[(β-d-glucopyranosyl)oxy]-2α,6β-dihydroxy-5α-spirostan-3β-yl O-β-d-glucopyranosyl-(1→2)-O-[β-d-xylopyranosyl-(1→3)]-O-β-d-glucopyranosyl-(1→4)-β-d-galactopyranoside.
The molecular formula of 5 (C62H102O35) was larger than that of 4 (C56H92O30) by C6H10O5. Comparison of the 1H and 13C NMR spectra of 5 with those of 4 indicated that one more β-d-glucopyranosyl unit [Glc (IV): δH 5.38 (d, J = 7.7 Hz, H-1″″″ of Glc (IV)); δC 106.0, 76.9, 78.3, 71.4, 77.8, and 62.7 (C-1″″″–C-6″″″ of Glc (IV))] was present in 5, and the signal of C-2 of the β-d-glucopyranosyl unit [Glc (III): δH 4.91 (d, J = 7.5 Hz, H-1″″′ of Glc (III)); δC 104.2, 83.6, 78.1, 71.6, 78.4, and 62.5 (C-1″″′–C-6″″′ of Glc (III))] attached to C-24 of the aglycone was shifted downfield by 8.0 ppm. The HMBC spectrum of 5 showed long-range correlations between H-1″″″ of Glc (IV) and C-2″″′ of Glc (III) (δC 83.6) and between H-1″″′ of Glc (III) and C-24 of the aglycone (δC 81.7) (Figure 2). Accordingly, 5 was determined to be (24S,25S)-24-[(O-β-d-glucopyranosyl-(1→2)-β-d-glucopyranosyl)oxy]-2α,6β-dihydroxy-5α-spirostan-3β-yl O-β-d-glucopyranosyl-(1→2)-O-[β-d-xylopyranosyl-(1→3)]-O-β-d-glucopyranosyl-(1→4)-β-d-galactopyranoside.
Compound 6 (C29H46O7) was obtained as an amorphous solid. Although the 1H and 13C NMR spectra of 6 were similar to those of 12, the signals of the acetyl group [δH 1.99 (s); δC 171.0 and 21.4] were detected in the spectra of 6. A 3JC,H correlation was observed between H-3 of the aglycone [δH 6.08 (ddd, J = 11.5, 9.4, 5.9 Hz)] and the carbonyl carbon of the acetyl group (δC 171.0) in the HMBC spectrum of 6 (Figure 2). Therefore, 6 was determined to be (25R)-3β-acetoxyspirostan-2α,5α,6β-triol.
The 1H and 13C NMR spectral data of 7 (C56H92O28) were similar to those of (25R)-5α-spirostan-3β-yl O-β-d-glucopyranosyl-(1→2)-O-[β-d-xylopyranosyl-(1→3)]-O-β-d-glucopyranosyl-(1→4)-β-d-galactopyranoside (desgalactotigonin) [22], which was isolated from Chlorophytum comosum, except for the signals attributable to the F-ring part of the aglycone. Analysis of the 1H-1H COSY and HSQC spectra of 7 revealed that the methylene carbon assignable to C-24 (δC 29.3) of the aglycone in desgalactotigonin was replaced by an oxygenated methine carbon (δC 81.4) in 7. Furthermore, an additional signal of the terminal β-d-glucopyranosyl unit [Glc (III): δH 4.91 (d, J = 7.8 Hz, H-1″″′ of Glc (III)); δC 106.3, 75.6, 78.5, 71.7, 78.0, and 62.8 (C-1″″′–C-6″″′ of Glc (III))] was observed in the 1H and 13C NMR spectra of 7. The HMBC spectrum of 7 indicated a long-range correlation between H-1″″′ of Glc (III) and C-24 of the aglycone. The configuration of C-24 was determined to be S based on the NOE correlations observed between H-24 [δH 4.03 (m)] and H-26ax [δH 3.57 (dd, J = 11.4, 11.4 Hz)]. The spin-coupling constants of 3JH-23ax,H-24 (13.2 Hz) and 3JH-23eq,H-24 (4.8 Hz) supported the 24S configuration. Thus, 7 was determined to be (24S,25S)-24-[(β-d-glucopyranosyl)oxy]-5α-spirostan-3β-yl O-β-d-glucopyranosyl-(1→2)-O-[β-d-xylopyranosyl-(1→3)]-O-β-d-glucopyranosyl-(1→4)-β-d-galactopyranoside.
Comparison of the 1H and 13C NMR spectra of 8 with those of 23 showed that 8 and 23 shared the same aglycone. Analysis of 1H-1H COSY and HSQC spectra of 8 indicated the presence of a 2-substituted β-d-galactopyranosyl unit [Gal: δH 4.99 (d, J = 7.9 Hz, H-1′ of Gal); δC 100.5, 76.3, 76.5, 70.7, 76.6, and 62.2 (C-1′–C-6′ of Gal)] and a terminal α-l-rhamnopyranosyl unit [Rha: δH 6.26 (d, J = 1.3 Hz, H-1″ of Rha); δC 102.0, 72.4, 72.7, 74.3, 69.3, and 18.6 (C-1″–C-6″ of Rha)]. The HMBC spectrum of 8 showed long-range correlations between H-1″ of Rha and C-2′ of Gal, and between H-1′ of Gal and C-3 of the aglycone (δC 77.9). Accordingly, 8 was determined to be (25R)-6β-hydroxy-5α-spirostan-3β-yl O-α-l-rhamnopyranosyl-(1→2)-β-d-galactopyranoside.
Compound 9 (C33H56O12) was obtained as an amorphous solid. The 1H and 13C NMR spectra of 9 displayed signals of the following groups: four steroidal methyl groups [δH 1.66 (s, Me-19), 1.30 (d, J = 7.0 Hz, Me-21), 0.97 (d, J = 6.7 Hz, Me-27), and 0.93 (s, Me-18); δC 18.5 (C-19), 17.4 (C-27), 16.8 (C-18), and 16.3 (C-21)], four oxygenated methine groups [δH 4.93 (q-like, J = 7.3 Hz, H-16), 4.85 (m, H-3), 4.44 (m, H-2), and 4.22 (dd, J = 2.7, 2.2 Hz, H-6); δC 81.1 (C-16), 75.5 (C-6), 73.7 (C-2), and 73.6 (C-3)], an oxygenated methylene group [δH 3.92 (dd, J = 9.6, 7.2 Hz, H-26a) and 3.62 (dd, J = 9.6, 5.9 Hz, H-26b); δC 75.2 (C-26)], an oxygenated quaternary carbon [δC 75.6 (C-5)], a hemiacetal carbon [δC 110.6 (C-22)], and an anomeric proton/carbon [δH 4.81 (d, J = 7.8 Hz); δC 104.8]. The above data and positive Ehrlich’s test results suggest that 9 is a furostanol glycoside. Compound 9 was treated with β-d-glucosidase to afford the corresponding spirostanol glycoside (12) and d-glucose. The HMBC spectrum of 9 showed a long-range correlation from H-1′ of the β-d-glucopyranosyl (δH 4.81) to C-26 of the aglycone (δC 75.2). In the NOESY spectrum of 9, NOE correlations were detected between H-20 [δH 2.23 (m)] and Me-18/H2-23 [δH 2.04 and 1.98 (each m)], indicating the C-20α configuration. Therefore, 9 was determined to be (25R)-26-[(β-d-glucopyranosyl)oxy]-furostan-2α,3β,5α,6β,22α-pentol.
Compound 10 (C44H70O23) was obtained as an amorphous solid, the 1H and 13C NMR spectra of which showed signals of the following groups: three methyl groups [δH 2.22 (s, Me-21), 1.26 (s, Me-19), and 0.90 (s, Me-18); δC 27.1 (C-21), 16.9 (C-19), and 16.1 (C-18)], three oxygenated methine groups [δH 4.01 (m, H-3), 3.99 (m, H-6), and 3.79 (t-like, J = 8.8 Hz, H-2); δC 84.4 (C-3), 70.3 (C-2), and 69.9 (C-6)], and four anomeric protons/carbons [δH 5.58 (d, J = 7.8 Hz), 5.24 (d, J = 7.8 Hz), 5.18 (d, J = 7.8 Hz), and 4.97 (d, J = 7.7 Hz); δC 104.8, 104.6 (×2), and 103.0]. The existence of an α,β-unsaturated carbonyl group was verified from the infrared (IR) (1700 cm−1), ultraviolet (UV) [255 (log ε 3.89) and 204 (log ε 3.83) nm], and 13C NMR [δC 196.3 (C=O), 155.3 (C), and 144. 7 (CH)] spectra. The HMBC spectrum of 10 indicated a 2JC,H correlation between the methyl singlet signal assignable to Me-21 (δH 2.22) and the carbonyl carbon [δC 196.3 (C-20)] and a 3JC,H correlation between Me-21 and the olefinic carbon [δC 155.3 (C-17)]. Furthermore, the olefinic proton [δH 6.57 (br s, H-16)] exhibited a 3JC,H correlation with the quaternary carbon [δC 46.6 (C-13)] bearing an angular methyl group. These spectral data and comparison with those of previously reported compounds [23] and concomitantly isolated compounds, including 3–5 and 24, enabled identification of the aglycone of 10 as 2α,3β,6β-trihydroxy-5α-pregn-16-en-20-one and the sugar moiety as O-β-d-glucopyranosyl-(1→2)-O-[β-d-xylopyranosyl-(1→3)]-O-β-d-glucopyranosyl-(1→4)-β-d-galactopyranosyl. Accordingly, 10 was determined to be 3β-[(O-β-d-glucopyranosyl-(1→2)-O-[β-d-xylopyranosyl-(1→3)]-O-β-d-glucopyranosyl-(1→4)-β-d-galactopyranosyl)oxy]-2α,6β-dihydroxy-5α-pregn-16-en-20-one.
2.2. Cytotoxicity of 1–27
The cytotoxicity of 1–27 towards HL-60, A549, and SBC-3 cells was evaluated using a modified 3-(4,5-dimethylthiazol-2-yl)-2,5-diphenyltetrazolium bromide (MTT) assay. Compounds 8, 22–24, and 26 exhibited cytotoxicity toward all cell lines in a dose-dependent manner (Table 1, Figure 4). In particular, 22 and 23 demonstrated cytotoxicity comparable to that of cisplatin.
Table 1.
Cytotoxicity of 1–27 and cisplatin towards HL-60, A549, and SBC-3 cells (1).

Figure 4.
Dose–response curves of 8, 11, 15, 22–24, 26, and cisplatin. (a) HL-60 cells were treated with either 8, 11, 15, 22–24, 26, or cisplatin for 72 h. (b,c) A549 cells and SBC-3 cells were independently treated with either 8, 22–24, 26, or cisplatin for 72 h. After treatment with each compound, the cell viability was calculated through a modified MTT assay.
3. Experimental Section
3.1. General
Optical rotations were measured with a P-1030 automatic digital polarimeter (JASCO, Tokyo, Japan). IR and UV spectral data were recorded on a Fourier transform infrared (FT-IR) 620 spectrometer (JASCO) and a V-630 UV-vis spectrophotometer (JASCO), respectively. NMR spectral data were collected using a DRX-500 (500 MHz for 1H NMR; 125 MHz for 13C NMR), DPX-600 (600 MHz for 1H NMR; 150 MHz for 13C NMR) spectrometer (Bruker, Billerica, MA, USA), or JNM-ECZ600R/M1 (600 MHz for 1H NMR; 150 MHz for 13C NMR) spectrometer (JEOL, Tokyo, Japan) at 300 K. Chemical shifts are read as δ values. The data of HRESITOFMS were obtained using a Waters Micromass LCT mass spectrometer (Milford, MA, USA). Diaion HP-20 porous polymer polystyrene resin (Mitsubishi-Chemical, Tokyo, Japan), silica gel Chromatorex BW-300 (Fuji-Silysia Chemical, Aichi, Japan), and ODS silica gel COSMOSIL 75C18-OPN (Nacalai-Tesque, Kyoto, Japan) were applied for column chromatography (CC). Thin-layer chromatography (TLC) analysis was performed by precoated silica gel 60F254 or RP18 F254S plates (0.25 mm thick; Merck, Darmstadt, Germany). The sample spots were detected by spraying the TLC plate with H2SO4/H2O (1:9) and then heating. The preparative reverse-phase HPLC system was established from an LC-20 AD pump (Shimadzu, Kyoto, Japan), an RID-10A detector (Shimadzu), a Rheodyne injection port (Thermo Fischer Scientific, Waltham, MA, USA), and a TSKgel ODS-100Z column (10 mm i.d. × 250 mm, 5 μm; Tosoh, Tokyo, Japan). The following reagents and materials were adopted for the cell culture and cytotoxic assay: HL-60 cells (JCRB0085), A549 cells (JCRB0076), and SBC-3 cells (JCRB0818) (Japanese Collection of Research Bioresources Cell Bank; National Institutes of Biomedical Innovation, Health and Nutrition, Osaka, Japan); Roswell Park Memorial Institute (RPMI)-1640 medium, minimum-essential medium (MEM), and cisplatin (Sigma, St. Louis, MO, USA); 0.25% trypsin-ethylenediaminetetraacetic acid (EDTA) solution (Gibco, Gland Island, NY, USA); fetal bovine serum (FBS; NICHIREI BIOSCIENCES, Tokyo, Japan); MTT (DOJINDO, Kumamoto, Japan); penicillin G sodium salt and streptomycin sulfate, and paraformaldehyde and phosphate-buffered saline (PBS) (FUJIFILM Wako Pure Chemical, Osaka, Japan); MCO-170AIC-PJ CO2 incubator (PHC, Tokyo, Japan); Countess II FL automated cell counter (Thermo Fisher Scientific); SH-1300 Lab microplate reader (CORONA ELECTRIC, Ibaraki, Japan); 96-well flat-bottomed plates (AGC TECHNO GLASS, Shizuoka, Japan).
3.2. Plant Material
The bulbs of ‘Globemaster’ were purchased from Fuji-engei (Okayama, Japan) in 2014. A voucher specimen was kept at the herbarium of the Tokyo University of Pharmacy and Life Sciences (KS-2014-009).
3.3. Extraction and Isolation
The bulbs of ‘Globemaster’ (fresh weight, 7.2 kg) were extracted with MeOH (28 L, 60 °C) for 2 h. Then, the solution was evaporated under reduced pressure to obtain MeOH extract (460 g). The MeOH extract was loaded on a Diaion HP-20 porous polymer polystyrene resin column, and successively eluted with MeOH-H2O (3:7, v/v; 18 L), MeOH-H2O (1:1, v/v; 12 L), MeOH (9 L), EtOH (6 L), and EtOAc (6 L). The MeOH-H2O (1:1) eluted fraction (10 g) was separated by ODS silica gel CC eluted with MeCN-H2O (3:7) to yield five subfractions (Fractions B1–B5). Fraction B1 (3.0 g) was subjected to ODS silica gel CC eluted with MeOH-H2O (1:1; 9:11; 2:3) and MeCN-H2O (3:7; 1:4; 1:3), and preparative reverse-phase HPLC using MeOH-H2O (9:11) and MeCN-H2O (1:3) to collect 2 (yield: 4.6 mg; ratio of yield to bulbs of ‘Globemaster’: 6.4 × 10−5%), 9 (12 mg; 1.7 × 10−4%), 20 (34 mg; 4.7 × 10−4%), and 21 (41 mg; 5.7 × 10−4%). Fraction B2 (740 mg) was divided by ODS silica gel CC eluted with MeOH-H2O (1:1; 9:11; 2:3) and MeCN-H2O (1:3; 1:4), and preparative reverse-phase HPLC using MeOH-H2O (1:1) and MeCN-H2O (1:3) to obtain 1 (73 mg; 1.0 × 10−3%), 4 (27 mg; 3.8 × 10−4%), 5 (149 mg; 2.1 × 10−3%), 10 (2.6 mg; 3.6 × 10−5%), 18 (5.8 mg; 8.1 × 10−5%), 19 (36 mg; 5.0 × 10−4%), 26 (57 mg; 7.9 × 10−4%), and 27 (25 mg; 3.5 × 10−4%). The MeOH eluted portion (15 g) was chromatographed on a silica gel column eluted with a stepwise gradient mixture of CHCl3-MeOH-H2O (90:10:1; 40:10:1; 20:10:1; 10:10:1) to afford five subfractions (Fractions C1–C5). Fraction C1 (5.0 g) was separated by silica gel CC eluted with CHCl3-MeOH-H2O (90:10:1) and EtOAc-MeOH-H2O (990:10:1; 190:10:1; 90:10:1), and ODS silica gel CC eluted with MeOH-H2O (4:1) and MeCN-H2O (13:7; 3:2; 3:7; 1:3) to obtain 6 (2.4 mg; 3.3 × 10−5%), 11 (126 mg; 1.8 × 10−3%), 12 (14 mg; 1.9 × 10−4%), 13 (26 mg; 3.6 × 10−4%), and 15 (483 mg; 6.7 × 10−3%). Fraction C2 (895 mg) was purified by ODS silica gel CC eluted with MeOH-H2O (4:1; 7:3) and MeCN-H2O (2:3) to furnish 16 (159 mg; 2.2 × 10−3%). Fraction C3 (4.1 g) was separated by silica gel CC eluted with CHCl3-MeOH-H2O (30:10:1) and ODS silica gel CC eluted with MeOH-H2O (4:1) and MeCN-H2O (2:3) to afford 8 (6.7 mg; 9.3 × 10−5%), 17 (3.7 mg; 5.1 × 10−5%), and 23 (23 mg; 3.2 × 10−4%). Fraction C4 (8.0 g) was divided by silica gel CC eluted with CHCl3-MeOH-H2O (30:10:1) and ODS silica gel CC eluted with MeOH-H2O (4:1; 7:3; 13:7; 11:9) and MeCN-H2O (2:3; 7:13; 3:7) to collect 3 (4.8 mg; 6.7 × 10−5%), 7 (5.9 mg; 8.2 × 10−5%), 14 (1.6 g; 2.2 × 10−2%), 22 (33 mg; 4.6 × 10−4%), 24 (144 mg; 2.0 × 10−3%), and 25 (6.0 mg; 8.3 × 10−5%).
3.4. Structure Characterization
3.4.1. Compound 1
Amorphous solid; [α −45.6 (MeOH; c 0.05); IR (film) νmax: 3376 (OH), 2930 (CH); For 1H NMR spectral data of the aglycone, see Table 2; For 1H NMR spectral data of the sugar moieties, see Table 3; For 13C NMR spectral data, see Table 4; HRESITOFMS m/z: 827.4035 [M + Na]+ (calculated for C39H64NaO17, 827.4041). For NMR spectra, see Supplementary Material.
Table 2.
1H NMR spectral data of the aglycone of 1–10 in C5D5N (1).
Table 3.
1H NMR spectral data of the sugar and acyl moieties of 1–10 in C5D5N (1).
Table 4.
13C NMR spectral data of 1–10 in C5D5N (1).
3.4.2. Compound 2
Amorphous solid; [α −36.8 (MeOH; c 0.05); UV λmax (MeOH) nm (log ε): 255 (4.10), 204 (4.00); IR (film) νmax: 3376 (OH), 2926 (CH), 1709 (C=O); For 1H NMR spectral data of the aglycone, see Table 2; For 1H NMR spectral data of the sugar and benzoyl moieties, see Table 3; For 13C NMR spectral data, see Table 4; HRESITOFMS m/z: 1093.4824 [M + Na]+ (calculated for C52H78NaO23, 1093.4832).
3.4.3. Compound 3
Amorphous solid; [α −32.8 (MeOH; c 0.05); IR (film) νmax: 3358 (OH), 2926 (CH); For 1H NMR spectral data of the aglycone, see Table 2; For 1H NMR spectral data of the sugar moieties, see Table 3; For 13C NMR spectral data, see Table 4; HRESITOFMS m/z: 1105.5027 [M + Na]+ (calculated for C50H82NaO25, 1105.5043).
3.4.4. Compound 4
Amorphous solid; [α −41.2 (MeOH; c 0.10); IR (film) νmax: 3389 (OH), 2928 (CH); For 1H NMR spectral data of the aglycone, see Table 2; For 1H NMR spectral data of the sugar moieties, see Table 3; For 13C NMR spectral data, see Table 4; HRESITOFMS m/z: 1267.5569 [M + Na]+ (calculated for C56H92NaO30, 1267.5571).
3.4.5. Compound 5
Amorphous solid; [α −22.2 (MeOH; c 0.10); IR (film) νmax: 3375 (OH), 2925 (CH); For 1H NMR spectral data of the aglycone, see Table 2; For 1H NMR spectral data of the sugar moieties, see Table 3; For 13C NMR spectral data, see Table 4; HRESITOFMS m/z: 1429.6108 [M + Na]+ (calculated for C62H102NaO35, 1429.6099).
3.4.6. Compound 6
Amorphous solid; [α −15.7 (MeOH; c 0.05); IR (film) νmax: 3376 (OH), 2926 (CH), 1719 (C=O); For 1H NMR spectral data of the aglycone, see Table 2; For 1H NMR spectral data of the acetyl moiety, see Table 3; For 13C NMR spectral data, see Table 4; HRESITOFMS m/z: 529.3145 [M + Na]+ (calculated for C29H46NaO7, 529.3141).
3.4.7. Compound 7
Amorphous solid; [α −24.4 (MeOH; c 0.05); IR (film) νmax: 3358 (OH), 2926 (CH); For 1H NMR spectral data of the aglycone, see Table 2; For 1H NMR spectral data of the sugar moieties, see Table 3; For 13C NMR spectral data, see Table 4; HRESITOFMS m/z: 1235.5658 [M + Na]+ (calculated for C56H92NaO28, 1235.5673).
3.4.8. Compound 8
Amorphous solid; [α −79.2 (MeOH; c 0.05); IR (film) νmax: 3360 (OH), 2929 (CH); For 1H NMR spectral data of the aglycone, see Table 2; For 1H NMR spectral data of the sugar moieties, see Table 3; For 13C NMR spectral data, see Table 4; HRESITOFMS m/z: 763.4244 [M + Na]+ (calculated for C39H64NaO13, 763.4245).
3.4.9. Compound 9
Amorphous solid; [α −44.6 (MeOH; c 0.05); IR (film) νmax: 3389 (OH), 2929 (CH); For 1H NMR spectral data of the aglycone, see Table 2; For 1H NMR spectral data of the sugar moiety, see Table 3; For 13C NMR spectral data, see Table 4; HRESITOFMS m/z: 667.3660 [M + Na]+ (calculated for C33H56NaO12, 667.3669).
3.4.10. Compound 10
Amorphous solid; [α −8.0 (MeOH; c 0.05); UV λmax (MeOH) nm (log ε): 255 (3.89), 204 (3.83); IR (film) νmax: 3375 (OH), 2925 (CH), 1700 (α,β-unsaturated carbonyl group); For 1H NMR spectral data of the aglycone, see Table 2; For 1H NMR spectral data of the sugar moieties, see Table 3; For 13C NMR spectral data, see Table 4; HRESITOFMS m/z: 989.4198 [M + Na]+ (calculated for C44H70NaO23, 989.4206).
3.4.11. Enzymatic Hydrolysis of 1 and 9
Compounds 1 (15 mg) and 9 (5.0 mg) were independently treated with β-d-glucosidase (EC 232-589-7) in AcOH-AcONa (pH 5.0, 2.0 mL) at 28 °C for nine days (1) and 70 h (9). The crude hydrolysate of 1 was separated by silica gel CC eluted with EtOAc-MeOH-H2O (40:10:1) to obtain 19 (6.2 mg) and the sugar fraction (2.2 mg). The reaction mixture of 9 was purified by silica gel CC eluted with CHCl3-MeOH-MeOH (90:10:1) to yield 12 (0.94 mg) and the sugar fraction (0.20 mg). Each sugar fraction was analyzed by HPLC under the following conditions: pump, DP-8020 (Tosoh); detector, Shodex OR2 (Showa-Denko, Tokyo, Japan); column, Capcell Pak NH2 (4.6 mm i.d. × 250 mm, 5 μm; Shiseido, Tokyo, Japan); solvent, MeCN-H2O (17:3); and flow rate, 1.0 mL/min. d-Glucose was identified by comparing the retention time (tR) and optical rotation with those of the authentic sample (14.68, positive optical rotation).
3.5. Cell Culture and Cytotoxic Activity Assay
HL-60 cells were maintained in RPMI-1640 medium, and A549 and SBC-3 cells were preserved in MEM containing 10% heat-inactivated FBS supplemented with 100 unit/mL penicillin G sodium salt, 100 μg/mL streptomycin sulfate, and l-glutamine, respectively. All cell lines were incubated at 37 °C in a 5% CO2/air atmosphere. HL-60, A549, and SBC-3 cells were cultured in a 96-well flat-bottomed plate with cell concentrations of 4 × 104, 1 × 104, and 2 × 104 cells/mL, respectively. After preincubation for 24 h, 4 μL of EtOH-H2O (1:1) solution, including each screened sample, was added and incubated for 72 h. The control cells were treated with 4 μL of EtOH-H2O (1:1) solution. The cell viability was examined using a modified MTT assay. After 72 h, 10 μL of MTT solution dissolved in PBS at a concentration of 5 mg/mL was added to each well, and the 96-well flat-bottomed plate was further incubated. After 4 h, MTT formazan was dissolved in dimethyl sulfoxide (DMSO), and the absorbance was measured at 550 nm. A dose–response curve was diagramed for 8, 11, 15, 22–24, and 26, which inhibited cell growth by more than 50% at a sample concentration of 50 μM, and the concentrations at which 50% inhibition (IC50) of cell growth occurred were calculated.
Supplementary Materials
The following supporting information can be downloaded at: https://www.mdpi.com/article/10.3390/molecules28176248/s1.
Author Contributions
Conceptualization, T.S., T.I. and Y.M.; investigation, T.S., T.I., Y.T., K.Y. and N.T.; writing, T.S., T.I. and Y.M.; funding acquisition, T.I. All authors have read and agreed to the published version of the manuscript.
Funding
This research was funded by the Japan Society for the Promotion of Science (JSPS) KAKENHI, grant number 22K15306.
Institutional Review Board Statement
Not applicable.
Informed Consent Statement
Not applicable.
Data Availability Statement
Not applicable.
Conflicts of Interest
The authors declare no conflict of interest.
Sample Availability
Isolated compounds are not available from the authors.
References
- Yan, J.K.; Zhu, J.; Liu, Y.; Chen, X.; Wang, W.; Zhang, H.; Li, L. Recent advances in research on Allium plants: Functional ingredients, physiological activities, and applications in agricultural and food sciences. Crit. Rev. Food Sci. Nutr. 2022, 1–29. [Google Scholar] [CrossRef] [PubMed]
- Kawashima, K.; Mimaki, Y.; Sashida, Y. Steroidal saponins from Allium giganteum and A. aflatunense. Phytochemistry 1991, 30, 3063–3067. [Google Scholar] [CrossRef]
- Mimaki, Y.; Kuroda, M.; Sashida, Y. Steroidal saponins from the bulbs of Allium aflatunense. Nat. Med. 1999, 53, 88–93. [Google Scholar]
- Mimaki, Y.; Kawashima, K.; Kanmoto, T.; Sashida, Y. Steroidal glycosides from Allium albopilosum and A. ostrowskianum. Phytochemistry 1993, 34, 799–805. [Google Scholar] [CrossRef] [PubMed]
- Mimaki, Y.; Kuroda, M.; Sashida, Y. Steroidal saponins from the bulbs of Allium ampeloprasum. Nat. Med. 1999, 53, 134–137. [Google Scholar]
- Kuroda, M.; Mimaki, Y.; Kameyama, A.; Sashida, Y.; Nikaido, T. Steroidal saponins from Allium chinense and their inhibitory activities on cyclic AMP phosphodiesterase and Na+/K+ ATPase. Phytochemistry 1995, 40, 1071–1076. [Google Scholar] [CrossRef]
- Sashida, Y.; Kawashima, K.; Mimaki, Y. Novel polyhydroxylated steroidal saponins from Allium giganteum. Chem. Pharm. Bull. 1991, 39, 698–703. [Google Scholar] [CrossRef]
- Mimaki, Y.; Nikaido, T.; Matsumoto, K.; Sashida, Y.; Ohmoto, T. New steroidal saponins from the bulbs of Allium giganteum exhibiting potent inhibition of cAMP phosphodiesterase activity. Chem. Pharm. Bull. 1994, 42, 710–714. [Google Scholar] [CrossRef]
- Mimaki, Y.; Kuroda, M.; Fukasawa, T.; Sashida, Y. Steroidal glycosides from the bulbs of Allium jesdianum. J. Nat. Prod. 1999, 62, 194–197. [Google Scholar] [CrossRef]
- Mimaki, Y.; Kuroda, M.; Fukasawa, T.; Sashida, Y. Steroidal saponins from the bulbs of Allium karataviense. Chem. Pharm. Bull. 1999, 47, 738–743. [Google Scholar] [CrossRef]
- Kuroda, M.; Ori, K.; Takayama, H.; Sakagami, H.; Mimaki, Y. Karataviosides G–K, five new bisdesmosidic steroidal glycosides from the bulbs of Allium karataviense. Steroids 2015, 93, 96–104. [Google Scholar] [CrossRef] [PubMed]
- Inoue, T.; Mimaki, Y.; Sashida, Y.; Nishino, A.; Satomi, Y.; Nishino, H. Steroidal glycosides from Allium macleanii and A. senescens, and their inhibitory activity on tumour promoter-induced phospholipid metabolism of HeLa cells. Phytochemistry 1995, 40, 521–525. [Google Scholar] [CrossRef] [PubMed]
- Mimaki, Y.; Satou, T.; Ohmura, M.; Sashida, Y. Steroidal saponins from the bulbs of Allium narcissiflorum. Nat. Med. 1996, 50, 308. [Google Scholar]
- Kawashima, K.; Mimaki, Y.; Sashida, Y. Schubertosides A-D, new (22S)-hydroxycholestane glycosides from Allium schubertii. Chem. Pharm. Bull. 1991, 39, 2761–2763. [Google Scholar] [CrossRef]
- Kawashima, K.; Mimaki, Y.; Sashida, Y. Steroidal saponins from the bulbs of Allium schubertii. Phytochemistry 1993, 32, 1267–1272. [Google Scholar] [CrossRef]
- Mimaki, Y.; Satou, T.; Kuroda, M.; Kameyama, A.; Sashida, Y.; Li, H.U.; Harada, N. A new furostanol saponin with six sugars from the bulbs of Allium sphaerosephalon structural elucidation by modern NMR techniques. Chem. Lett. 1996, 25, 431–432. [Google Scholar] [CrossRef]
- Friesen, N.; Fritsch, R.; Bachmann, K. Hybrid origin of some ornamentals of Allium subgenus Melanocrommyum verified with GISH and RAPD. Theor. Appl. Genet. 1997, 95, 1229–1238. [Google Scholar] [CrossRef]
- Sung, H.; Ferlay, J.; Siegel, L.R.; Laversanne, M.; Soerjomataram, I.; Jemal, A.; Bray, F. Global cancer statistics 2020: GLOBOCAN estimates of incidence and mortality worldwide for 36 cancers in 185 countries. CA Cancer J. Clin. 2021, 71, 209–249. [Google Scholar] [CrossRef]
- Rudin, M.C.; Brambilla, E.; Faivre-Finn, C.; Sage, J. Small-cell lung cancer. Nat. Rev. Dis. Primers. 2021, 7, 3. [Google Scholar] [CrossRef]
- Morita, T.; Ushiroguchi, T.; Hayashi, N.; Matsuura, H.; Itakura, Y.; Fuwa, T. Steroidal saponins from elephant garlic, bulbs of Allium ampeloprasum L. Chem. Pharm. Bull. 1988, 36, 3480–3486. [Google Scholar] [CrossRef]
- Gorovits, M.B.; Khristulas, F.S.; Abubakirov, N.K. Steroid saponins and sapogenins of Allium IV. Karatavigenin-A new sapogenin from Allium karataviense. Khimiya Prirodnykh Soedinenii 1973, 6, 747–749. [Google Scholar] [CrossRef]
- Mimaki, Y.; Kanmoto, T.; Sashida, Y.; Nishino, A.; Satomi, Y.; Nishino, H. Steroidal saponins from the underground parts of Chlorophytum comosum and their inhibitory activity on tumour promoter-induced phospholipids metabolism of HeLa cells. Phytochemistry 1996, 41, 1405–1410. [Google Scholar] [CrossRef] [PubMed]
- Janeczko, Z.; Sobolewska, D.; Podolak, I. Pregnadienolone glycoside from wild garlic Allium ursinum L. Acta Pol. Pharm. 2000, 57, 131–134. [Google Scholar] [PubMed]
Disclaimer/Publisher’s Note: The statements, opinions and data contained in all publications are solely those of the individual author(s) and contributor(s) and not of MDPI and/or the editor(s). MDPI and/or the editor(s) disclaim responsibility for any injury to people or property resulting from any ideas, methods, instructions or products referred to in the content. |
© 2023 by the authors. Licensee MDPI, Basel, Switzerland. This article is an open access article distributed under the terms and conditions of the Creative Commons Attribution (CC BY) license (https://creativecommons.org/licenses/by/4.0/).




