The Impact of Compounds Extracted from Wood on the Quality of Alcoholic Beverages
Abstract
1. Introduction
2. Wood in the Production of Alcoholic Beverages
2.1. Contemporary Use of Wood in the Production of Alcoholic Beverages
2.2. Aromatic Compounds Naturally Present in Wood
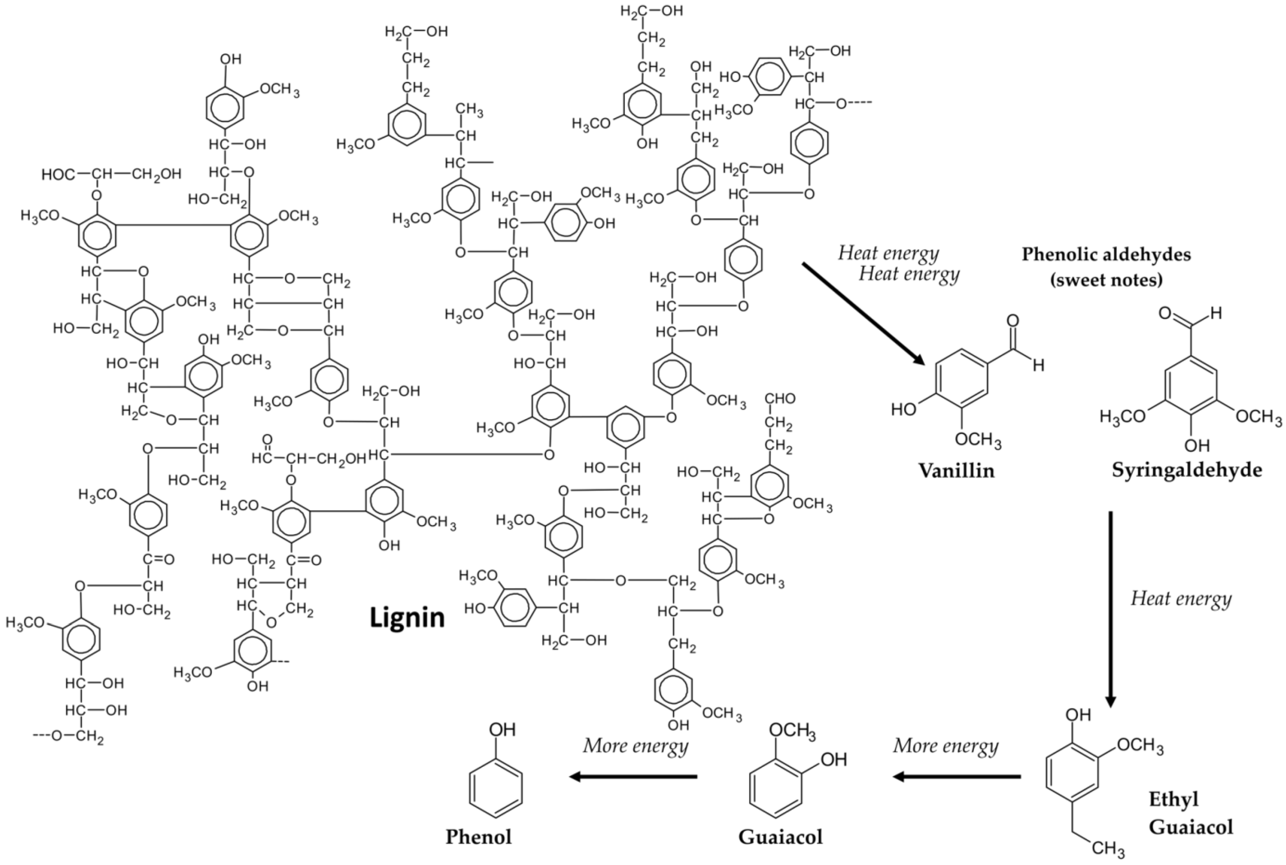
2.3. Aromatic Compounds Formed as a Result of Thermal Treatment of Wood
3. The Influence of Wood on the Quality of Alcoholic Beverages
3.1. Wine
3.2. Beer
3.3. Whisky
3.4. Brandy
3.5. Extractivity of Aroma Compounds from Wood by Alcoholic Beverages
4. Innovative Techniques Using Wood to Give Quality Features to Alcoholic Beverages
4.1. Ultrasound
4.2. High Presure
4.3. Pulsed Electric Field
Author Contributions
Funding
Institutional Review Board Statement
Informed Consent Statement
Data Availability Statement
Conflicts of Interest
References
- Maga, J.A. The contribution of wood to the flavor of alcoholic beverages. Food Rev. Int. 1989, 5, 39–99. [Google Scholar] [CrossRef]
- Díaz-Maroto, M.C.; Guchu, E.; Castro-Vázquez, L.; de Torres, C.; Pérez-Coello, M.S. Aroma-active compounds of American, French, Hungarian and Russian oak woods, studied by GC–MS and GC–O. Flavour Fragr. J. 2008, 23, 93–98. [Google Scholar] [CrossRef]
- Híc, P.; Horák, M.; Balík, J.; Martinák, K. Assessment of spirit aging on different kinds of wooden fragments. Wood Sci. Technol. 2021, 55, 257–270. [Google Scholar] [CrossRef]
- Carpena, M.; Pereira, A.G.; Prieto, M.A.; Simal-Gandara, J. Wine Aging Technology: Fundamental Role of Wood Barrels. Foods 2020, 9, 1160. [Google Scholar] [CrossRef] [PubMed]
- Martińez Gil, A.; Alamo-Sanza, M.; Barrio-Galán, R.; Nevares, I. Alternative Woods in Oenology: Volatile Compounds Characterisation of Woods with Respect to Traditional Oak and Effect on Aroma in Wine, a Review. Appl. Sci. 2022, 12, 2101. [Google Scholar] [CrossRef]
- Martińez Gil, A.; Alamo-Sanza, M.; Sánchez-Gómez, R.; Nevares, I. Different Woods in Cooperage for Oenology: A Review. Beverages 2018, 4, 94. [Google Scholar] [CrossRef]
- Jordão, A.; Cosme, F. The Application of Wood Species in Enology: Chemical Wood Composition and Effect on Wine Quality. Appl. Sci. 2022, 12, 3179. [Google Scholar] [CrossRef]
- Baiano, A.; de Gianni, A.; Mentana, A.; Quinto, M.; Centonze, D.; Nobile, M. Effects of the treatment with oak chips on color-related phenolics, volatile composition, and sensory profile of red wines: The case of Aglianico and Montepulciano. Eur. Food Res. Technol. 2016, 242, 745–767. [Google Scholar] [CrossRef]
- OIV—International Organisation of Vine and Wine. Compendium of International Methods of Wine and Must Analysis; OIV—International Organisation of Vine and Wine: Paris, France, 2014. [Google Scholar]
- Costa, M.; Fontes, L.; Correia, A.; Miljić, U.; Jordão, A. Impact of oak (Q. pyrenaica and Q. pubescens) and cherry (P. avium) wood chip contact on phenolic composition and sensory profile evolution of red wines during bottle storage. OENO One 2020, 54, 1159–1181. [Google Scholar]
- Jordão, A.; Lozano, V.; Correia, A.; Ortega-Heras, M.; González-SanJosé, M.L. Comparative analysis of volatile and phenolic composition of alternative wood chips from cherry, acacia and oak for potential use in enology. BIO Web Conf. 2016, 7, 02012. [Google Scholar] [CrossRef]
- Ghadiriasli, R.; Wagenstaller, M.; Buettner, A. Identification of odorous compounds in oak wood using odor extract dilution analysis and two-dimensional gas chromatography-mass spectrometry/olfactometry. Anal. Bioanal. Chem. 2018, 410, 6595–6607. [Google Scholar] [CrossRef] [PubMed]
- Zhang, B.; Cai, J.; Duan, C.Q.; Reeves, M.; He, F. A Review of Polyphenolics in Oak Woods. Int. J. Mol. Sci. 2015, 16, 6978–7014. [Google Scholar] [CrossRef] [PubMed]
- Guerrero-Chanivet, M.; Valcárcel-Muñoz, M.J.; García-Moreno, M.V.; Guillén-Sánchez, D.A. Characterization of the Aromatic and Phenolic Profile of Five Different Wood Chips Used for Ageing Spirits and Wines. Foods 2020, 9, 1613. [Google Scholar] [CrossRef] [PubMed]
- Alañón, M.E.; Díaz-Maroto, M.C.; Pérez-Coello, M.S. Analysis of volatile composition of toasted and non-toasted commercial chips by GC-MS after an accelerated solvent extraction method. Int. J. Food Sci. Technol. 2012, 47, 816–826. [Google Scholar] [CrossRef]
- Martínez-Gil, A.; Cadahía, E.; de Simón, B.F.; Gutiérrez-Gamboa, G.; Nevares, I.; del Álamo-Sanza, M. Quercus humboldtii (Colombian oak): Characterisation of wood phenolic composition with respect to traditional oak wood used in oenology. Ciênc. E Téc. Vitivinícola 2017, 32, 93–101. [Google Scholar] [CrossRef]
- Carrillo, J.D.; Garrido-López, Á.; Tena, M.T. Determination of volatile oak compounds in wine by headspace solid-phase microextraction and gas chromatography-mass spectrometry. J. Chromatogr. A 2006, 1102, 25–36. [Google Scholar] [CrossRef]
- Pollnitz, A.P.; Pardon, K.H.; Sykes, M.; Sefton, M.A. The effects of sample preparation and gas chromatograph injection techniques on the accuracy of measuring guaiacol, 4-methylguaiacol and other volatile oak compounds in oak extracts by stable isotope dilution analyses. J. Agric. Food Chem. 2004, 52, 3244–3252. [Google Scholar] [CrossRef]
- Marín, J.; Zalacain, A.; de Miguel, C.; Alonso, G.L.; Salinas, M.R. Stir bar sorptive extraction for the determination of volatile compounds in oak-aged wines. J. Chromatogr. A 2005, 1098, 1–6. [Google Scholar] [CrossRef]
- Chira, K.; Anguellu, L.; da Costa, G.; Richard, T.; Pedrot, E.; Jourdes, M.; Teissedre, P.-L. New C-Glycosidic Ellagitannins Formed upon Oak Wood Toasting, Identification and Sensory Evaluation. Foods 2020, 9, 1477. [Google Scholar] [CrossRef]
- Chira, K.; Teissedre, P.-L. Relation between volatile composition, ellagitannin content and sensory perception of oak wood chips representing different toasting processes. Eur. Food Res. Technol. 2013, 236, 735–746. [Google Scholar] [CrossRef]
- García-Estévez, I.; Escribano-Bailón, M.T.; Rivas-Gonzalo, J.C.; Alcalde-Eon, C. Effect of the type of oak barrels employed during ageing on the ellagitannin profile of wines: Ellagitannin profile depending on the oak barrel. Aust. J. Grape Wine Res. 2017, 23, 334–341. [Google Scholar] [CrossRef]
- Jordão, A.M.; Correia, A.C.; DelCampo, R.; González SanJosé, M.L. Antioxidant capacity, scavenger activity, and ellagitannins content from commercial oak pieces used in winemaking. Eur. Food Res. Technol. 2012, 235, 817–825. [Google Scholar] [CrossRef]
- Gadrat, M.; Capell, Y.; Emo, C.; Lavergne, J.; Quideau, S.; Jourdes, M.; Teissèdre, P.L.; Chira, K. Identification, quantitation and sensory contribution of new C-glucosidic ellagitannin-derived spirit compounds. Food Chem. 2022, 384, 132307. [Google Scholar] [CrossRef] [PubMed]
- Rodríguez-Bencomo, J.J.; Ortega-Heras, M.; Pérez-Magariño, S.; González-Huerta, C. Volatile compounds of red wines macerated with Spanish, American, and French Oak chips. J. Agric. Food Chem. 2009, 57, 6383–6391. [Google Scholar] [CrossRef]
- Culleré, L.; Escudero, A.; Cacho, J.; Ferreira, V. Gas Chromatography—Olfactometry and Chemical Quantitative Study of the Aroma of Six Premium Quality Spanish Aged Red. J. Agric. Food Chem. 2004, 53, 1653–1660. [Google Scholar] [CrossRef]
- Pereira, V.; Cacho, J.; Marques, J.C. Volatile profile of Madeira wines submitted to traditional accelerated ageing. Food Chem. 2014, 162, 122–134. [Google Scholar] [CrossRef]
- Herrero, P.; Sáenz-Navajas, M.P.; Avizcuri, J.M.; Culleré, L.; Balda, P.; Antón, E.C.; Ferreira, V.; Escudero, A. Study of Chardonnay and Sauvignon blanc wines from D.O.Ca Rioja (Spain) aged in different French oak wood barrels: Chemical and aroma quality aspects. Food Res. Int. 2016, 89, 227–236. [Google Scholar] [CrossRef]
- Lopez, R.; Aznar, M.; Cacho, J.; Ferreira, V. Determination of minor and trace volatile compounds in wine by solid-phase extraction and gas chromatography with mass spectrometric detection. J. Chromatogr. A 2002, 966, 167–177. [Google Scholar] [CrossRef]
- Cutzach, I.; Chatonnet, P.; Henry, R.; Dubourdieu, D. Identifying new volatile compounds in toasted oak. J. Agric. Food Chem. 1999, 47, 1663–1667. [Google Scholar] [CrossRef]
- Brown, R.C.; Sefton, M.A.; Taylor, D.K.; Elsey, G.M. An odour detection threshold determination of all four possible stereoisomers of oak lactone in a white and a red wine. Aust. J. Grape Wine Res. 2006, 12, 115–118. [Google Scholar] [CrossRef]
- Juan, F.S.; Cacho, J.; Ferreira, V.; Escudero, A. Aroma chemical composition of red wines from different price categories and its relationship to quality. J. Agric. Food Chem. 2012, 60, 5045–5056. [Google Scholar] [CrossRef] [PubMed]
- Caldeira, I.; de Sousa, R.B.; Belchior, A.P.; Clímaco, M.C. A sensory and chemical approach to the aroma of wooden aged lourinhã wine brandy. Ciência Tec. Vitiv. 2008, 23, 97–110. [Google Scholar]
- Cadahía, E.; Fernández de Simón, B.; Vallejo, R.; Sanz, M.; Broto, M. Volatile compound evolution in Spanish oak wood (Quercus petraea and Quercus pyrenaica) during natural seasoning. Am. J. Enol. Vitic. 2007, 58, 163–172. [Google Scholar] [CrossRef]
- Jordao, A.M.; Ricardo-da-Silva, J.M.; Laureano, O. Comparison of volatile composition of cooperage oak wood of different origins (Quercus pyrenaica vs. Quercus alba and Quercus petraea). Mitt. Klost. 2005, 55, 22–31. [Google Scholar]
- Cadahía, E.; Fernández de Simón, B.; Jalocha, J. Volatile compounds in Spanish, French, and American oak woods after natural seasoning and toasting. J. Agric. Food Chem. 2003, 51, 5923–5932. [Google Scholar] [CrossRef]
- Fernández de Simõn, B.; Sanz, M.; Cadahía, E.; Esteruelas, E.; Muñoz, A.M. Nontargeted GC-MS approach for volatile profile of toasting in cherry, chestnut, false acacia, and ash wood. J. Mass Spectrom. 2014, 49, 353–370. [Google Scholar] [CrossRef]
- Alañón, M.E.; Castro-Vázquez, L.; Díaz-Maroto, M.C.; Hermosín-Gutiérrez, I.; Gordon, M.H.; Pérez-Coello, M.S. Antioxidant capacity and phenolic composition of different woods used in cooperage. Food Chem. 2011, 129, 1584–1590. [Google Scholar] [CrossRef]
- Chatonnet, P.; Cutzach, I.; Pons, M.; Dubourdieu, D. Monitoring Toasting Intensity of Barrels by Chromatographic Analysis of Volatile Compounds from Toasted Oak Wood. J. Agric. Food Chem. 1999, 47, 4310–4318. [Google Scholar] [CrossRef]
- Doussot, F.; de Jéso, B.; Quideau, S.; Pardon, P. Extractives Content in Cooperage Oak Wood during Natural Seasoning and Toasting; Influence of Tree Species, Geographic Location, and Single-Tree Effects. J. Agric. Food Chem. 2002, 50, 5955–5961. [Google Scholar] [CrossRef]
- Setzer, W.N. Volatile components of oak and cherry wood chips used in aging of beer, wine, and sprits. Am. J. Essent. Oils Nat. Prod. 2016, 4, 37–40. [Google Scholar]
- Cadahía, E.; Muñoz, L.; Fernández de Simón, B.; García-Vallejo, M.C. Changes in Low Molecular Weight Phenolic Compounds in Spanish, French, and American Oak Woods during Natural Seasoning and Toasting. J. Agric. Food Chem. 2001, 49, 1790–1798. [Google Scholar] [CrossRef] [PubMed]
- Spedding, G. Eighty Years of Rapid Maturation Studies; American Distilling Institute: Hayward, CA, USA, 2018; p. 16. [Google Scholar]
- Duval, C.J.; Sok, N.; Laroche, J.; Gourrat, K.; Prida, A.; Lequin, S.; Chassagne, D.; Gougeon, R.D. Dry vs soaked wood: Modulating the volatile extractible fraction of oak wood by heat treatments. Food Chem. 2013, 138, 270–277. [Google Scholar] [CrossRef] [PubMed]
- Viviani, A.; Moreno, J.; Peinado, R.A. Differentiation of young red wines obtained in a warm climate region. Int. J. Food Sci. Technol. 2007, 5, 523–527. [Google Scholar] [CrossRef]
- Styger, G.; Prior, B.; Bauer, F.F. Wine flavor and aroma. J. Indust. Microb. Biotechnol. 2011, 38, 1145–1159. [Google Scholar] [CrossRef] [PubMed]
- Ivanova, V.; Vojnoski, B.; Stefova, M. Effect of winemaking treatment and wine aging on phenolic content in Vranec wines. Int. J. Food Sci. Technol. 2012, 49, 161–172. [Google Scholar] [CrossRef]
- Black, C.A.; Parker, M.; Siebert, T.E.; Capone, D.L.; Francis, I.L. Terpenoids and their role in wine flavour: Recent advances. Aust. J. Grape Wine Res. 2015, 21, 582–600. [Google Scholar] [CrossRef]
- Recamales, A.F.; Sayago, A.; Gonzalez-Miret, M.L.; Hernanz, D. The effect of time and storage conditions on the phenolic composition and colour of white wines. Food Res. Int. 2006, 39, 220–229. [Google Scholar] [CrossRef]
- Tarko, T.; Duda-Chodak, A.; Sroka, P.; Siuta, M. The Impact of Oxygen at Various Stages of Vinification on the Chemical Composition and the Antioxidant and Sensory Properties of White and Red Wines. Int. J. Food Sci. 2020, 2020, 7902974. [Google Scholar] [CrossRef]
- Alanon, M.E.; Diaz-Maroto, M.C.; Pérez-Coello, M.S. New Strategies to Improve Sensorial Quality of White Wines by Wood Contact. Beverages 2018, 4, 91. [Google Scholar] [CrossRef]
- Castellari, M.; Piermattei, B.; Arfelli, G.; Amati, A. Influence of Aging Conditions on the Quality of Red Sangiovese Wine. J. Agric. Food Chem. 2001, 49, 3672–3676. [Google Scholar] [CrossRef]
- Dumitriu, G.-D.; Peinado, R.A.; Cotea, V.V.; de Lerma, N.L. Volatilome fingerprint of red wines aged with chips or staves: Influence of the aging time and toasting degree. Food Chem. 2020, 310, 125801. [Google Scholar] [CrossRef]
- Dumitriu, G.-D.; Teodosiu, C.; Gabur, I.; Cotea, V.V.; Peinado, R.A.; López de Lerma, N. Evaluation of Aroma Compounds in the Process of Wine Ageing with Oak Chips. Foods 2019, 8, 662. [Google Scholar] [CrossRef] [PubMed]
- Tarko, T.; Duda-Chodak, A.; Sroka, P.; Januszek, M. Effect of Musts Oxygenation at Various Stages of Cider Production on Oenological Parameters, Antioxidant Activity, and Profile of Volatile Cider Compounds. Biomolecules 2020, 10, 890. [Google Scholar] [CrossRef] [PubMed]
- Quideau, S.; Jourdes, M.; Lefeuvre, D.; Montaudon, D.; Saucier, C.; Glories, Y.; Pardon, P.; Pourquier, P. The chemistry of wine polyphenolic C-glycosidic ellagitannins targeting human topoisomerase II. Chemistry 2005, 11, 6503–6513. [Google Scholar] [CrossRef]
- Dumitriu, G.-D.; de Lerma, N.L.; Cotea, V.V.; Zamfir, C.-I.; Peinado, R.A. Effect of aging time, dosage and toasting level of oak chips on the color parameters, phenolic compounds and antioxidant activity of red wines (var. Fetească neagră). Eur. Food Res. Technol. 2016, 242, 2171–2180. [Google Scholar] [CrossRef]
- Alcalde, C.; Escribano, M.T.; Santos, C.; Rivas, J.C. Changes in the detailed pigment composition of red wine during maturity and ageing. A comprehensive study. Anal. Chim. Acta 2006, 563, 238–254. [Google Scholar] [CrossRef]
- Arapitsas, P.; Antonopoulos, A.; Stefanou, E.; Dourtoglou, V.G. Artificial aging of wines using oak chips. Food Chem. 2004, 86, 563–570. [Google Scholar] [CrossRef]
- Bautista-Ortn, A.B.; Lencina, A.G.; Cano-Lopez, M.; Pardo-Minguez, F.; Lopez-Roca, J.M.; Gomez-Plaza, E. The use of oak chips during the ageing of a red wine in stainless steel tanks or used barrels: Effect of the contact time and size of the oak chips on aroma compounds. Aust. J. Grape Wine Res. 2008, 14, 63–70. [Google Scholar] [CrossRef]
- Cameleyre, M.; Madrelle, V.; Lytra, G.; Barbe, J.-C. Impact of Whisky Lactone Diastereoisomers on Red Wine Fruity Aromatic Expression in Model Solution. J. Agric. Food Chem. 2020, 68, 10808–10814. [Google Scholar] [CrossRef]
- Dumitriu, G.-D.; López de Lerma, N.; Zamfir, C.-I.; Cotea, V.V.; Peinado, R.A. Volatile and phenolic composition of red wines subjected to aging in oak cask of different toast degree during two periods of time. LWT 2017, 86, 643–651. [Google Scholar] [CrossRef]
- Del Fresno, J.M.; Morata, A.; Loira, I.; Escott, C.; Suárez Lepe, J.A. Evolution of the Phenolic Fraction and Aromatic Profile of Red Wines Aged in Oak Barrels. ACS Omega 2020, 5, 7235–7243. [Google Scholar] [CrossRef] [PubMed]
- González-Centeno, M.R.; Thibon, C.; Teissedre, P.-L.; Chira, K. Does barrel size influence white wine aging quality? IVES Tech. Rev. Vine Wine 2020. [Google Scholar] [CrossRef]
- Stegarus, D.I.; Calugar, A.; Tanase, C.; Musca, A.; Botoran, O.R.; Manolache, M.; Babes, A.C.; Bunea, C.; Gál, E.; Bunea, A.; et al. Influence of Oak Chips and Oak Barrel Ageing on Volatile Profile in Chardonnay Wine of Romania. Appl. Sci. 2021, 11, 3691. [Google Scholar] [CrossRef]
- Aleixandre, J.L.; Padilla, A.I.; Navarro, L.L.; Suria, A.; García, M.J.; Álvarez, I. Optimization of making barrel-fermented dry Muscatel wines. J. Agric. Food Chem. 2003, 51, 1889–1893. [Google Scholar] [CrossRef]
- Călugăr, A.; Coldea, T.E.; Pop, C.R.; Pop, T.I.; Babes, A.C.; Bunea, C.I.; Manolache, M.; Gal, E. Evaluation of Volatile Compounds during Ageing with Oak Chips and Oak Barrel of Muscat Ottonel Wine. Processes 2020, 8, 1000. [Google Scholar] [CrossRef]
- Ortega-Heras, M.; González-SanJosé, M.L.; González-Huerta, C. Consideration of the influence of aging process, type of wine and oenological classic parameters on the levels of wood volatile compounds present in red wines. Food Chem. 2007, 103, 1434–1448. [Google Scholar] [CrossRef]
- Nikolantonaki, M.; Daoud, S.; Noret, L.; Coelho, C.; Badet-Murat, M.-L.; Schmitt-Kopplin, P.; Gougeon, R.D. Impact of Oak Wood Barrel Tannin Potential and Toasting on White Wine Antioxidant Stability. J. Agric. Food Chem. 2019, 67, 8402–8410. [Google Scholar] [CrossRef]
- Liberatone, M.T.; Pati, S.; Del Nobile, M.A.; La Notte, E. Aroma quality improvement of Chardonnay White wine by fermentation and ageing in barrique on lees. Food Res. Int. 2010, 43, 996–1002. [Google Scholar] [CrossRef]
- Rodríguez-Nogales, J.M.; Fernández-Fernández, E.; Vila-Crespo, J. Characterisation and classification of Spanish Verdejo young white wines by volatile and sensory analysis with chemometric tools. J. Sci. Food Agric. 2009, 89, 1927–1935. [Google Scholar] [CrossRef]
- Gutiérrez Afonso, V.L. Sensory descriptive analysis between white wines fermented with oak chips and in barrels. J. Food Sci. 2002, 67, 2415–2419. [Google Scholar] [CrossRef]
- Herjavec, S.; Jeromel, A.; da Silva, A.; Orlic, S.; Redzepovic, S. The quality of white wines fermented in Croatian oak barrels. Food Chem. 2007, 100, 124–128. [Google Scholar] [CrossRef]
- Nunes, P.; Muxagata, S.; Correia, A.C.; Nunes, F.M.; Cosme, F.; Jordao, A.M. Effect of oak wood barrel capacity and utilization time on phenolic and sensorial profile evolution of an Encruzado white wine. J. Sci. Food Agric. 2017, 97, 4847–4856. [Google Scholar] [CrossRef] [PubMed]
- Lukic, I.; Jedrejcic, N.; KovacevicGanic, K.; Staver, M.; Persuric, D. Phenolic and aroma composition of white wines produced by prolonged maceration and maturation in wooden barrels. Food Tech. Biotech. 2015, 53, 407–418. [Google Scholar]
- Bajerski, M.; Klimczak, K.; Cioch-Skoneczny, M. Application of the oak wood chips in brewing®. Post. Tech. Przetw. Spoż./Technol. Progress Food Process. 2021, 1, 124–129. [Google Scholar]
- Jung, R.; Karabín, M.; Jelínek, L.; Dostálek, P. Balance of volatile phenols originating from wood- and peat-smoked malt during the brewing process. Eur. Food Res. Technol. 2022, 249, 33–45. [Google Scholar] [CrossRef]
- Wyler, P.; Angeloni, H.L.P.; Alcarde, A.R.; da Cruz, S.H. Effect of oak wood on the quality of beer. J. Inst. Brew. 2015, 121, 62–69. [Google Scholar] [CrossRef]
- Kowalczyk, D.; Świeca, M.; Cichocka, J.; Gawlik-Dziki, U. The phenolic content and antioxidant activity of the aqueous and hydroalcoholic extracts of hops and their pellets. J. Inst. Brew. 2013, 119, 103–110. [Google Scholar] [CrossRef]
- Callemien, D.; Collin, S. Structure, organoleptic properties, quantification methods and stability of phenolic compounds in beer: A review. Food Rev. Int. 2009, 26, 1–84. [Google Scholar] [CrossRef]
- Sterckx, F.L.; Saison, D.; Delvaux, F.R. Wood Aging of Beer. Part I: Influence on Beer Flavor and Monophenol Concentrations. J. Am. Soc. Brew. Chem. 2012, 70, 55–61. [Google Scholar] [CrossRef]
- Guimarães, B.P.; Pereira Neves, L.E.; Guimarães, M.G.; Ghesti, G.F. Evaluation of maturation congeners in beer aged with Brazilian woods. J. Brew. Distill. 2020, 9, 1–7. [Google Scholar]
- Sterckx, F.L.; Saison, D.; Delvaux, F.R. Wood Aging of Beer. Part II: Influence on Beer Flavor and Monophenol Concentrations. J. Am. Soc. Brew. Chem. 2012, 70, 62–69. [Google Scholar]
- Nicola, P.D.M. Production and Bioactivity Assessment of Beer Aged with Oak Wood Chips. Master’s Dissertation, Universidade do Porto, Porto, Portugal, 2020. [Google Scholar]
- Aoshima, H.; Hossain, S.; Koda, H.; Kiso, Y. Why Is an Aged Whiskey Highly Valued? Curr. Nutr. Food Sci. 2009, 5, 204–208. [Google Scholar] [CrossRef]
- Conner, J.M.; Paterson, A.; Piggott, J.R. Changes in wood extractives from oak cask staves through maturation of Scotch malt whisky. J. Sci. Food Agric. 1993, 62, 169–174. [Google Scholar] [CrossRef]
- Withers, S.J.; Piggott, J.R.; Conner, J.M.; Paterson, A. Comparison of Scotch malt whisky maturation in oak miniature casks and American standard barrels. J. Inst. Brew. 1995, 101, 359–364. [Google Scholar] [CrossRef]
- Aoshima, H.; Tsunoue, H.; Koda, H.; Kiso, Y. Aging of Whiskey Increases 1,1-Diphenyl-2-picrylhydrazyl Radical Scavenging Activity. J. Agric. Food Chem. 2004, 52, 5240–5244. [Google Scholar] [CrossRef]
- Boothroyd, E.L. Investigation of the Congeners Responsible for Nutty/Cereal Aroma Character in New Make Malt Whisky. Available online: http://eprints.nottingham.ac.uk/50903/ (accessed on 20 November 2022).
- Coelho, A.P.C. Development of Strategies for Whisky Production Applying Shorter Ageing Periods. Master’s Dissertation, Universidade do Minho, Braga, Portugal, 2021. [Google Scholar]
- Mosedale, J.R. Effects of oak wood on the maturation of alcoholic beverages with particular reference to whisky. Forestry 1995, 68, 203–230. [Google Scholar] [CrossRef]
- Mosedale, J.R.; Puech, J.-L. Wood maturation of distilled beverages. Trends Food Sci. Technol. 1998, 9, 95–101. [Google Scholar] [CrossRef]
- Krstic, J.; Kostic-Stankovic, M.; Veljovic, S. Traditional and innovative aging technologies of distilled beverages: The influence on the quality and consumer preferences of aged spirit drinks. J. Agric. Sci. Belgrade 2021, 66, 209–230. [Google Scholar] [CrossRef]
- Caldeira, I.; Anjos, O.; Portal, V.; Belchior, A.P.; Canas, S. Sensory and chemical modifications of wine-brandy aged with chestnut and oak wood fragments in comparison to wooden barrels. Anal. Chim. Acta 2010, 660, 43–52. [Google Scholar] [CrossRef]
- Eliseev, M.; Gribkova, I.; Kosareva, O.; Alexeyeva, O. Effect of organic compounds on cognac sensory profile. Foods Raw Mater. 2021, 9, 244–253. [Google Scholar] [CrossRef]
- Gadrat, M.; Lavergne, J.; Emo, C.; Teissedre, P.L.; Chira, K. Sensory characterisation of Cognac eaux-de-vie aged in barrels subjected to different toasting processes. OENO One 2022, 56, 17–28. [Google Scholar] [CrossRef]
- Snakkers, G.; Boulesteix, J.-M.; Estréguil, S.; Gaschet, J.; Lablanquie, O.; Faure Et, R.A. Cantagrel Effect of oak wood heating on cognac spirit matured in new barrel: A pilot study. OENO One 2003, 37, 243–255. [Google Scholar] [CrossRef]
- Valcárcel-Muñoz, M.J.; Guerrero-Chanivet, M.; García-Moreno, M.V.; Rodríguez-Dodero, M.C.; Guillén-Sánchez, D.A. Comparative Evaluation of Brandy de Jerez Aged in American Oak Barrels with Different Times of Use. Foods 2021, 10, 288. [Google Scholar] [CrossRef] [PubMed]
- Coelho, E.; Teixeira, J.A.; Domingues, L.; Tavares, T.; Oliveira, J.M. Factors affecting extraction of adsorbed wine volatile compounds and wood extractives from used oak wood. Food Chem. 2019, 295, 156–164. [Google Scholar] [CrossRef] [PubMed]
- Caldeira, I.; Belchior, A.P.; Climaco, M.C.; de Sousa, R.B. Aroma profile of Portuguese brandies aged in chestnut and oak woods. Anal. Chim. Acta 2002, 458, 55–62. [Google Scholar] [CrossRef]
- Madrera, R.R.; Hevia, A.G.; Valles, B.S. Comparative study of two aging systems for cider brandy making. Changes in chemical composition. LWT 2013, 54, 513–520. [Google Scholar] [CrossRef]
- Caldeira, I.; Vitória, C.; Anjos, O.; Fernandes, T.A.; Gallardo, E.; Fargeton, L.; Boissier, B.; Catarino, S.; Canas, S. Wine Spirit Ageing with Chestnut Staves under Different Micro-Oxygenation Strategies: Effects on the Volatile Compounds and Sensory Profile. Appl. Sci. 2021, 11, 3991. [Google Scholar] [CrossRef]
- Coelho, E.; Teixeira, J.A.; Tavares, T.; Domingues, L.; Oliveira, J.M. Reuse of oak chips for modification of the volatile fraction of alcoholic beverages. LWT 2021, 135, 110046. [Google Scholar] [CrossRef]
- Rodriguez-Solana, R.; Rodriguez-Freigedo, S.; Salgado, J.M.; Domínguez, J.M.; Cortes-Dieguez, S. Optimisation of accelerated ageing of grape marc distillate on amicro-scale process using a box–benhken design: Influence of oak origin, fragment size and toast level on the composition of the final product. Aust. J. Grape Wine Res. 2017, 23, 5–14. [Google Scholar] [CrossRef]
- Kek, S.P.; Chin, N.L.; Yusof, Y.A. Direct and indirect power ultrasound assisted pre-osmotic treatments in convective drying of guava slices. Food Bioprod. Process. 2013, 91, 495–506. [Google Scholar] [CrossRef]
- Fornairon-Bonnefond, C.; Camarasa, C.; Moutounet, M.; Salmon, J. New trends on yeast autolysis and wine ageing on lees: A bibliographic review. OENO One 2002, 408, 49–59. [Google Scholar] [CrossRef]
- Del Fresno, J.M.; Loira, I.; Morata, A.; González, C.; Suárez-Lepe, J.A.; Cuerda, R. Application of ultrasound to improve lees ageing processes in red wines. Food Chem. 2018, 261, 157–163. [Google Scholar] [CrossRef] [PubMed]
- Tao, Y.; Zhang, Z.; Sun, D.-W. Experimental and modeling studies of ultrasound-assisted release of phenolics from oak chips into model wine. Ultrason. Sonochem. 2014, 21, 1839–1848. [Google Scholar] [CrossRef] [PubMed]
- Taloumi, T.; Makris, D. Accelerated aging of the traditional greek distillate tsipouro using wooden chips. part i: Effect of static maceration vs. ultrasonication on the polyphenol extraction and antioxidant activity. Beverages 2017, 3, 5. [Google Scholar] [CrossRef]
- Balcerek, M.; Pielech-Przybylska, K.; Dziekońska-Kubczak, U.; Patelski, P.; Strak, E. Changes in the chemical composition of plum distillate during maturation with oak chips under different conditions. Food Technol. Biotechnol. 2017, 55, 333–359. [Google Scholar] [CrossRef]
- Delgado-González, M.J.; Sánchez-Guillén, M.M.; García-Moreno, M.V.; Rodríguez-Dodero, M.C.; García-Barroso, C.; Guillén-Sánchez, D.A. Study of a laboratory-scaled new method for the accelerated continuous ageing of wine spirits by applying ultrasound energy. Ultrason. Sonochem. 2017, 36, 226–235. [Google Scholar] [CrossRef]
- Tao, Y.; Sun, D.-W.; Górecki, A.; Błaszczak, W.; Lamparski, G.; Amarowicz, R.; Fornal, J.; Jeliński, T. A preliminary study about the influence of high hydrostatic pressure processing in parallel with oak chip maceration on the physicochemical and sensory properties of a young red wine. Food Chem. 2016, 94, 545–554. [Google Scholar] [CrossRef]
- Lukic, K.; Curko, N.; Tomaševic, M.; Ganic, K.K. Phenolic and aroma changes of red and white wines during aging induced by high hydrostatic pressure. Foods 2020, 9, 1034. [Google Scholar] [CrossRef]
- Santos, M.C.; Nunes, C.; Jourdes, M.; Teissedre, P.L.; Rodrigues, A.; Amado, O.; Saraiva, J.A.; Coimbra, M.A. Evaluation of the potential of high pressure technology as an enological practice for red wines. Innov. Food Sci. Emerg. Technol. 2016, 33, 76–83. [Google Scholar] [CrossRef]
- Valdés, M.E.; Ramírez, R.; Martínez-Cañas, M.A.; Frutos-Puerto, S.; Moreno, D. Accelerating aging of white and red wines by the application of hydrostatic high pressure and maceration with holm oak (Quercus ilex) chips. influence on physicochemical and sensory characteristics. Foods 2021, 10, 899. [Google Scholar] [CrossRef]
- Álvarez, I.; Pagán, R.; Condón, S.; Raso, J. The influence of process parameters for the inactivation of Listeria monocytogenes by pulsed electric fields. Int. J. Food Microb. 2003, 87, 87–95. [Google Scholar] [CrossRef] [PubMed]
- Puertolas, E.; Lopez, N.; Condon, S.; Alvarez, I.; Raso, J. Potential applications of PEF to improve red wine quality. Trends Food Sci. Technol. 2010, 21, 247–255. [Google Scholar] [CrossRef]
- Zhao, D.; Zeng, X.; Sun, D.; Liu, D. Effects of pulsed electric field treatment on (+)-catechin–acetaldehyde condensation. Innov. Food Sci. Emerg. Technol. 2013, 20, 100–105. [Google Scholar] [CrossRef]
- Ntourtoglou, G.V.; Drosou, F.; Enoch, Y.; Tsapou, E.A.; Bozinou, E.; Athanasiadis, V.; Chatzilazarou, A.; Dourtoglou, E.G.; Lalas, S.I.; Dourtoglou, V.G. Extraction of volatile aroma compounds from toasted oak wood using pulsed electric field. J. Food Process. Preserv. 2021, 45, e15577. [Google Scholar] [CrossRef]
- Zhang, B.; Zeng, X.; Tie, W.; Sun, D.; Cai, J. Effects of electric field treatments on phenol compounds of brandy aging in oak barrels. Innov. Food Sci. Emerg. Technol. 2013, 20, 106–114. [Google Scholar] [CrossRef]
- Martínez, J.M.; Delso, C.; Maza, M.A.; Álvarez, I.; Raso, J. Pulsed electric fields accelerate release of mannoproteins from Saccharomyces cerevisiae during aging on the lees of Chardonnay wine. Food Res. Int. 2018, 116, 795–801. [Google Scholar] [CrossRef]




| Common Name | IUPAC Name | Aroma Notes | Olfactory Threshold |
|---|---|---|---|
| Volatile phenols | |||
| Guaiacol | 2-Methoxyphenol | smoke, sweet, medicine | 9.5 µg/L |
| 4-Ethylguaiacol | 4-Ethyl-2-methoxyphenol | phenolic, smoked, leather | 47 µg/L |
| 4-Methylguaiacol | 4-Methyl-2-methoxyphenol | spicy, phenolic, light green | 20 µg/L |
| 4-Vinylguaiacol | 4-Vinyl-2-methoxyphenol | clove | 40 µg/L |
| Eugenol | 2-Methoxy-4-(prop-2-enyl) phenol | clove, honey, spicy, cinnamon | 6 µg/L |
| Isoeugenol | 1-Methoxy-4-(prop-2-enyl) phenol | floral, clove, woody | 6 µg/L |
| Syringol | 2,6-Dimethoxyphenol | smoke, burned, wood | 570 µg/L |
| Furanic compounds | |||
| Furfural | 2-Furancarboxaldehyde | bread, almond, sweet | 15 mg/L |
| 5-Methylfurfural | 5-Methyl-2-furancarboxaldehyde | almond, caramel, burnt, sugar | 16 mg/L |
| Maltol | 3-Hydroxy-2-methyl-4H-pyran-4-one | honey, toasty, caramel | 5 mg/L |
| 5-Hydroxy-methylfurfural | 5-Hydroxymethyl-2-furaldehyde | caramel | 100 mg/L |
| Lactones | |||
| trans-β-Methyl-γ- octalactone | trans-4-Methyl-5-butyldihydro-2-(3H)-furanone | coconut, woody, vanilla | 140–370 µg/L |
| cis-β-Methyl-γ- octalactone | cis-4-Methyl-5-butyldihydro-2-(3H)-furanone | coconut, woody, vanilla | 20–46 µg/L |
| Phenolic aldehydes/Phenyl ketones | |||
| Vanillin | 4-Hydroxy-3- methoxybenzaldehyde | vanilla | 1 mg/L |
| Syringaldehyde | 4-Hydroxy-3,5- dimethoxybenzaldehyde | vanilla | 50 mg/L |
| Acetovanillone | 1-(4-hydroxy-3- methoxyphenyl)ethanone | vanilla | 1 mg/L |
| Compounds | Quercus pyrenaica | Quercus alba | Quercus petraea | Quercus robur | Castanea sativa | Robinia pseudoacacia | Prunus avium |
|---|---|---|---|---|---|---|---|
| Guaiacol | nd–0.5 | 0.0–3.3 | nd–4.5 | 0.1 | 0.1–0.2 | 0.1–0.9 | 0.2–0.5 |
| 4-Ethylguaiacol | 0.0–0.1 | nd | nd–0.0 | 0.1 | 0.0 | 0.1 | 0.0 |
| 4-Methylguaiacol | nd–0.4 | 0.1–1.5 | nd–0.6 | 0.2–0.7 | 0.1–0.2 | 0.0–0.1 | 0.0–0.1 |
| 4-Vinylguaiacol | 0.9–2.2 | 0.2 | 0.2–1.0 | 1.0–1.3 | 0.3 | 0.4 | 0.3 |
| Eugenol | nd–7.3 | 1.4–6.0 | 1.1–6.5 | 1.1–1.6 | 2.0–4.5 | 0.1–0.9 | 0.1–0.1 |
| Isoeugenol | nd–1.4 | 1.1–1.8 | 0.7–4.3 | 0.3 | 2.2–2.4 | 1.0–3.4 | 0.0–0.6 |
| Syringol | 1.1–1.7 | 0.1 | 0.1–0.2 | 0.2 | 0.1–0.3 | 0.8–1.9 | 0.4–1.5 |
| Furfural | 3.2–11 | 1.2–5.8 | 3.4–12.9 | 8.9–11.0 | 5.5–6.7 | 0.5–0.9 | nd–0.7 |
| 5-Methylfurfural | 0.2–1.0 | 0.2 | 0.1–0.2 | 1.1–2.0 | 0.1–0.2 | 0.0–0.1 | 0.0–0.1 |
| Maltol | 0.3–1.4 | 0.5 | 0.2–0.8 | 0.3–0.4 | 1.1–2.0 | 0.9–1.4 | 0.4–0.5 |
| 5-Hydroxy-methylfurfural | 0.9–13.0 | 0.4–6.3 | 0.3–4.0 | 0.8–2.7 | 14.0–21.0 | 0.2–0.5 | 0.2–0.5 |
| trans-β-Methyl-γ- octalactone | 5.3–34.0 | 1.6–5.0 | 2.1–15.0 | 3.4–4.0 | nd | nd | nd |
| cis-β-Methyl-γ- octalactone | 5.3–68.0 | 22.0–37.4 | 6.1–56.0 | 2.8–23.0 | nd | nd | nd |
| Vanillin | 1.6–32.6 | 6.8–309.8 | 2.0–45.7 | 9.3–94.8 | 17.0–71.8 | 1.7–4.7 | 1.1–37.8 |
| Syringaldehyde | 4.2–104.7 | 16.0–52.8 | 2.7–514.7 | 14.0–218. | 38.0–240.1 | 6.0–10 | 2.6–52.8 |
| Acetovanillone | 0.6–0.7 | 0.4 | 0.4 | 0.7–1.0 | 0.4–0.5 | 0.2–0.3 | 0.2–0.3 |
| Butyrovanillone | 0.1–3.1 | 1.5 | 1.4–1.9 | 1.7–2.5 | 1.9–2.0 | 0.7–1.0 | 0.4–1.0 |
| Gallic acid | 43.0–96.2 | 44.1–105.3 | 36.0–108.0 | 36.3–374.3 | 189.3–349.3 | ns | 2.6–116.1 |
| Ellagic acid | 66.5–219.0 | 132.1–277.0 | 109.4–198.3 | 84.4–227.8 | 74.0–140.4 | ns | 10.5–22.1 |
| Protocatechuic acid | 59.2–74.3 | 34.5–63.6 | 79.9–269.5 | 118.1–435.7 | 88.5–154.4 | ns | 8.1–114.6 |
| Vanillinic acid | 6.0–31.0 | 30.5–61.2 | 67.5–142.9 | 0.0–17.1 | 40.0–66.7 | ns | 25.0–34.7 |
| p-Coumaric acid | 26.5–51.9 | 14.5–48.7 | 13.4–43.3 | 2.7–135.7 | 48.3–154.2 | ns | 4.5–28.0 |
| Sinapic acid | 58.7–81.7 | 32.4–38.5 | 143.3–728.0 | 102.9–185.7 | 207.3–225.3 | ns | 47.2–146.1 |
| Syringic acid | 26.7–48.9 | 30.2–53.6 | 83.9–349.1 | 47.0–120.6 | 57.5–84.6 | ns | 37.5–48.3 |
| Caffeic acid | 1.2–2.8 | 3.5–5.6 | 4.9–15.0 | 3.5–5.0 | 3.4–5.1 | ns | 6.1–15.6 |
| Ferulic acid | 3.4–8.4 | 4.1–15.8 | 9.6–22.3 | 3.0–21.0 | 10.1–16.0 | ns | 11.7–18.5 |
| Roburin A | 47.8–68.5 | 27.8–38.1 | 42.8–53.5 | 72.7–108.8 | 40.4–52.0 | ns | 0.0 |
| Roburin B | 32.3–50.7 | 17.8–27.8 | 29.8–40.6 | 77.4–101.7 | 16.2–25.4 | ns | 0.0 |
| Roburin C | 34.5–56.1 | 19.3–30.1 | 30.9–45.8 | 127.8–206.1 | 11.1–18.5 | ns | 0.0 |
| Grandinin | 137.9–200.4 | 65.4–81.0 | 87.5–134.5 | 278.9–457.1 | 26.9–43.4 | ns | 0.0 |
| Roburin D | 64.1–88.7 | 21.7–34.9 | 42.3–66.7 | 150.3–222.0 | 22.5–31.0 | ns | 0.0 |
| Vescalagin | 486.0–728.5 | 124.8–166.3 | 315.4–484.2 | 739.4–1096.7 | 1725.4–1998.7 | ns | 0.1–19.0 |
| Roburin E | 380.6–604.2 | 117.3–173.2 | 326.6–493.6 | 652.1–942.5 | 843.4–1089.9 | ns | 0.0–8.8 |
| Castalagin | 1054.2–1641.9 | 321.4–467.2 | 757.6–1067.8 | 1042.0–1660.7 | 1485.3–1932.1 | ns | 8.8–127.7 |
| Compounds | American | French | Hungarian | Russian | ||||
|---|---|---|---|---|---|---|---|---|
| Untoasted | Toasted | Untoasted | Toasted | Untoasted | Toasted | Untoasted | Toasted | |
| Furfural | 23.8 | 139.8 | 18.7 | 186.4 | 21.9 | 234.2 | 20.8 | 114.2 |
| 5-Methylfurfural | 0.96 | 16.1 | 0.81 | 50.1 | 1.45 | 29.9 | 1.43 | 30.3 |
| 2-Methylphenol | 0.02 | 0.09 | 0.03 | 0.19 | 0.03 | 0.24 | 0.02 | 0.12 |
| 4-Methylphenol | 0.08 | 0.20 | 0.01 | 0.24 | 0.03 | 0.46 | 0.03 | 0.22 |
| Guaiacol | 1.02 | 4.88 | 0.21 | 5.82 | 0.16 | 12.3 | 0.07 | 3.81 |
| Nonanal | 2.11 | 1.08 | 1.30 | 0.41 | 1.70 | 0.67 | 1.08 | 0.58 |
| trans-2-Nonenal | 0.80 | 0.49 | 1.86 | 0.86 | 4.12 | 1.51 | 2.46 | 0.98 |
| 4-Methylguaiacol | 0.05 | 4.71 | 0.04 | 5.35 | 0.04 | 11.7 | 0.03 | 4.93 |
| Decanal | 0.83 | 0.46 | 0.55 | 0.25 | 0.93 | 0.42 | 0.45 | 0.36 |
| trans-β-Methyl-γ- octalactone | 30.4 | 9.67 | 14.0 | 5.39 | 0.08 | 0.02 | 0.06 | 0.02 |
| cis-β-Methyl-γ- octalactone | 104.1 | 39.3 | 96.3 | 32.4 | 0.29 | 0.09 | 0.37 | 0.08 |
| Eugenol | 7.71 | 3.82 | 4.52 | 3.50 | 2.41 | 5.33 | 0.6 | 2.57 |
| Vanillin | 0.62 | 3.77 | 0.07 | 1.28 | 0.16 | 3.81 | 0.03 | 2.96 |
| cis-Isoeugenol | Tr | 0.76 | Tr | 0.58 | Tr | 0.94 | Tr | 0.76 |
| 4-Propylguaiacol | 0.01 | 0.38 | 0.01 | 0.16 | 0.01 | 0.57 | Tr | 0.29 |
| trans-Isoeugenol | 0.09 | 4.81 | 0.25 | 2.74 | 0.08 | 5.80 | 0.03 | 4.01 |
| Syringaldehyde | 0.06 | 0.10 | 0.03 | 0.11 | 0.04 | 0.77 | 0.02 | 0.24 |
| Maltol | 0.05 | 0.86 | 0.06 | 1.62 | 0.06 | 1.34 | 0.06 | 1.22 |
| Compound | B | B40 | BW40 | W | W40 | WW40 | S | S40 | SW40 |
|---|---|---|---|---|---|---|---|---|---|
| ethyl butyrate | 41.0 | 40.7 | 46.8 | 106.6 | 100.0 | 111.2 | 1605.2 | 1677.0 | 1566.0 |
| isoamyl acetate | 988.0 | 982.8 | 1029.7 | 580.1 | 604.3 | 556.3 | 4703.7 | 5001.5 | 4690.9 |
| ethyl hexanoate | 137.9 | 140.7 | 126.6 | 257.5 | 288.3 | 235.6 | 6393.0 | 6867.9 | 5964.1 |
| ethyl lactate | nd | nd | 59.0 | 3454.7 | 3576.2 | 3907.3 | 1297.2 | 1411.6 | 1660.5 |
| ethyl octanoate | 129.0 | 133.4 | 68.0 | 237.5 | 316.3 | 152.8 | 24,531.9 | 26,831.5 | 20,902.4 |
| ethyl decanoate | 18.6 | 20.7 | 11.1 | 30.0 | 33.7 | 11.7 | 25,557.4 | 32,014.4 | 11,350.1 |
| diethyl succinate | nd | nd | 666.1 | 7562.9 | 7296.9 | 8087.6 | 8252.1 | 8317.3 | 8551.1 |
| 2-phenylethyl acetate | 788.9 | 809.4 | 735.0 | 128.4 | 119.6 | 106.1 | 904.2 | 913.4 | 752.3 |
| diethyl malate | nd | nd | 35.3 | 151.4 | 150.2 | 200.6 | nd | nd | 54.8 |
| 2-methyl-1-propanol | 140.7 | 139.5 | 198.5 | 749.1 | 869.3 | 821.5 | 5820.2 | 5929.5 | 5984.5 |
| 2-methyl-1-butanol + 3-methyl-1-butanol | 5781.5 | 5787.7 | 7796.4 | 20,560.5 | 23,359.9 | 23,400.2 | 103,415.4 | 116,358.1 | 128,263.2 |
| 1-octanol | 6.9 | 7.4 | 8.6 | 18.4 | 17.2 | 16.9 | 1481.4 | 1478.1 | 1414.6 |
| benzyl alcohol | 11.1 | 13.1 | 17.8 | 154.0 | 104.2 | 124.5 | 228.1 | 231.1 | 281.1 |
| 2-phenylethanol | 6027.0 | 6477.9 | 7893.9 | 9337.1 | 9286.7 | 9969.5 | 9463.2 | 10,462.5 | 11,003.2 |
| linalool | 8.9 | 9.9 | 9.5 | 11.7 | 10.4 | 8.8 | 391.6 | 391.63 | 368.3 |
| α-terpineol | 5.6 | 7.4 | 7.6 | 34.9 | 33.1 | 30.0 | 861.6 | 889.9 | 864.0 |
| β-citronellol | nd | nd | nd | nd | nd | nd | 558.7 | 540.2 | 503.0 |
| cis-nerolidol | nd | nd | nd | nd | nd | nd | 377.3 | 355.9 | 315.3 |
| acetic acid | 40.0 | 83.4 | 46.6 | 303.4 | 298.6 | 305.0 | nd | nd | nd |
| isovaleric acid | 17.8 | 20.6 | 21.5 | 91.9 | 93.9 | 92.8 | 1272.2 | 1345.5 | 1505.3 |
| hexanoic acid | 295.1 | 214.4 | 327.0 | 742.8 | 660.2 | 742.6 | 3721.9 | 1833.9 | 1976.4 |
| octanoic acid | 1896.3 | 2040.3 | 2182.2 | 1606.8 | 1555.1 | 1574.4 | 13,013.4 | 14,085.0 | 12,475.1 |
| decanoic acid | 444.8 | 462.8 | 257.7 | 466.8 | 460.1 | 292.2 | 17,977.0 | 16,888.1 | 17,033.0 |
| furfural | 84.7 | 102.9 | 342.3 | 76.0 | 96.8 | 320.6 | 4207.7 | 4518.0 | 4894.0 |
| 5-methylfurfural | nd | 1.5 | 109.7 | nd | nd | 133.6 | 678.8 | 719.4 | 783.5 |
| 5-hydroxymethylfurfural | 13.1 | 16.7 | 24.6 | nd | nd | nd | nd | nd | nd |
| cis-oak lactone | nd | nd | 364.2 | nd | nd | 359.4 | nd | nd | 548.6 |
| trans-oak lactone | nd | nd | 66.3 | nd | nd | 144.1 | nd | nd | 163.3 |
| γ-nonalactone | 38.3 | 42.3 | 39.2 | 11.5 | 10.6 | 10.6 | 233.8 | 231.6 | 210.3 |
| benzaldehyde | nd | 5.1 | 16.3 | nd | nd | nd | 2337.5 | 2427.9 | 2295.7 |
| vanillin | 15.6 | 14.7 | 459.0 | nd | nd | 480.8 | nd | nd | 542.1 |
| syringaldehyde | nd | nd | 2513.2 | 147.3 | 317.0 | 2573.9 | nd | nd | 2812.3 |
| sinapaldehyde | nd | nd | 2377.4 | nd | nd | 2258.2 | nd | nd | 4012.7 |
| 4-methylguaiacol | nd | nd | 18.7 | nd | nd | nd | nd | nd | 68.6 |
| 4-ethylguaiacol | 0.8 | 0.6 | 4.4 | nd | nd | nd | 229.2 | 263.2 | 263.4 |
| eugenol | nd | nd | 17.6 | 1.3 | 5.9 | 14.1 | 456.2 | 423.6 | 422.1 |
| 4-ethylphenol | nd | nd | nd | nd | nd | nd | 281.8 | 236.4 | 249.4 |
| 4-vinylguaiacol | 94.8 | 104.3 | 38.2 | nd | nd | nd | nd | nd | nd |
| 2,6-dimethoxyphenol | nd | nd | 71.4 | 31.5 | 32.5 | 112.3 | nd | nd | nd |
| 4-vinylphenol | 11.2 | 16.2 | 5.5 | nd | nd | nd | nd | nd | nd |
| acetovanillone | 8.3 | 11.3 | 90.9 | nd | nd | nd | nd | nd | nd |
Disclaimer/Publisher’s Note: The statements, opinions and data contained in all publications are solely those of the individual author(s) and contributor(s) and not of MDPI and/or the editor(s). MDPI and/or the editor(s) disclaim responsibility for any injury to people or property resulting from any ideas, methods, instructions or products referred to in the content. |
© 2023 by the authors. Licensee MDPI, Basel, Switzerland. This article is an open access article distributed under the terms and conditions of the Creative Commons Attribution (CC BY) license (https://creativecommons.org/licenses/by/4.0/).
Share and Cite
Tarko, T.; Krankowski, F.; Duda-Chodak, A. The Impact of Compounds Extracted from Wood on the Quality of Alcoholic Beverages. Molecules 2023, 28, 620. https://doi.org/10.3390/molecules28020620
Tarko T, Krankowski F, Duda-Chodak A. The Impact of Compounds Extracted from Wood on the Quality of Alcoholic Beverages. Molecules. 2023; 28(2):620. https://doi.org/10.3390/molecules28020620
Chicago/Turabian StyleTarko, Tomasz, Filip Krankowski, and Aleksandra Duda-Chodak. 2023. "The Impact of Compounds Extracted from Wood on the Quality of Alcoholic Beverages" Molecules 28, no. 2: 620. https://doi.org/10.3390/molecules28020620
APA StyleTarko, T., Krankowski, F., & Duda-Chodak, A. (2023). The Impact of Compounds Extracted from Wood on the Quality of Alcoholic Beverages. Molecules, 28(2), 620. https://doi.org/10.3390/molecules28020620

