Thin Polymer Films by Oxidative or Reductive Electropolymerization and Their Application in Electrochromic Windows and Thin-Film Sensors
Abstract
1. Introduction
2. Methods of Electropolymerization
3. Assembly and Operation of Electrochromic Windows
4. Adhesion of Electrochemically Deposited Films and Thin Film Morphology
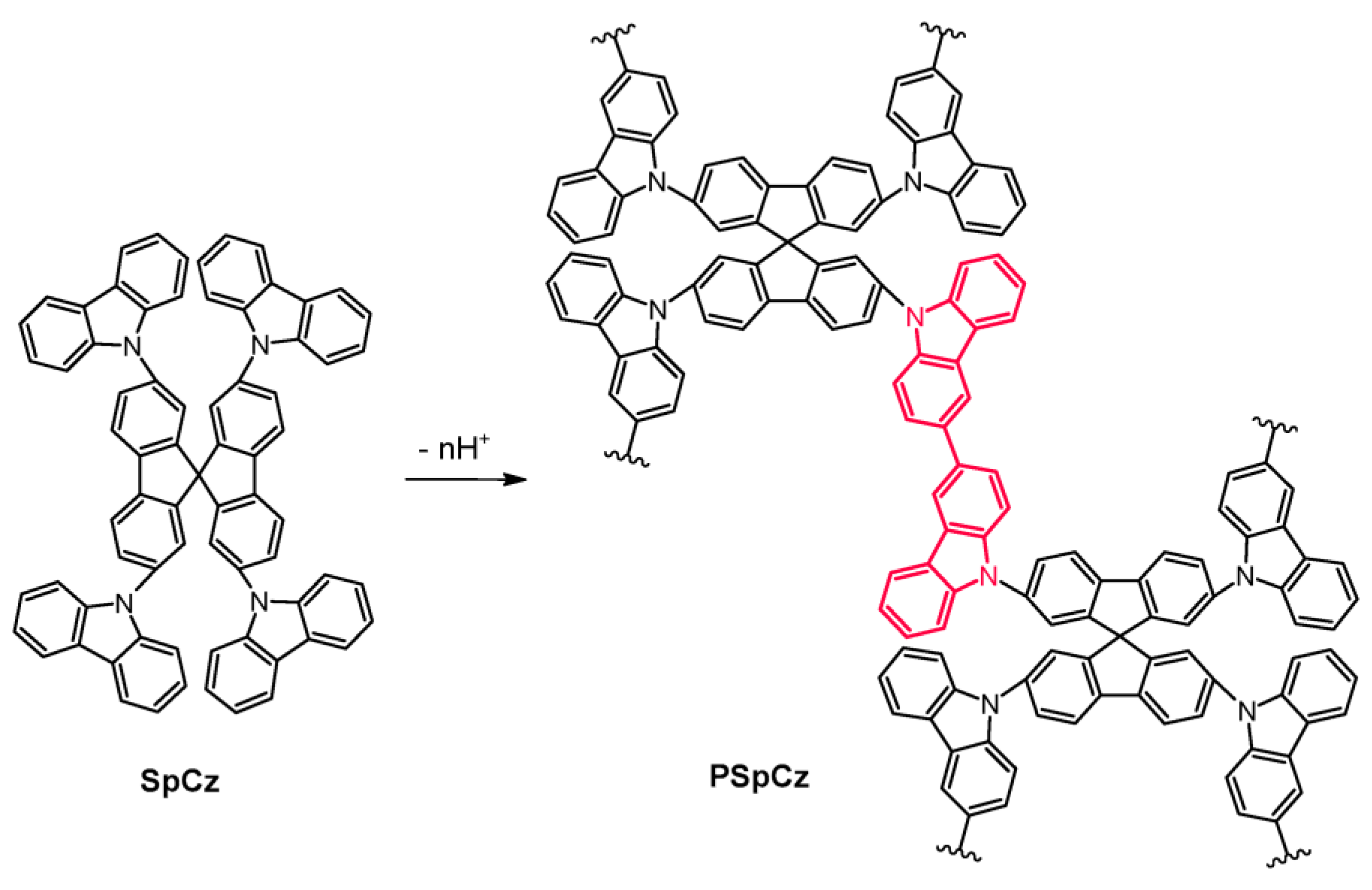
5. Electrochemical Deposition of Polymer Networks
6. Materials and Methods
6.1. Reagents and Methods
6.2. Determination of the Optimum Voltage for Electropolymerization
6.3. Assembly and Operation of Electrochromic Windows
- (1)
- A FTO-glass slide covered with the respective electropolymerized layer was coated with two drops of an “adhesive” mixture. This mixture was prepared as 1:1 blend of PC and PEG-DA (see Scheme 1). The mixture also contains DMPA (0.02 mol/L) and LITFMS (0.1 mol/L, see Scheme 1). The “adhesive” mixture was prepared in a small brown glass container by mixing 1 mL PC, 1.3 g of PEG-DA, 5.0 mg of DMPA and 0.2 g of LITFMS. This mixture was homogenized in an ultrasonic bath for 15 min.
- (2)
- A second untreated, but clean FTO-glass was placed on top. The “adhesive” mixture was homogeneously distributed between the two glass slides by squeezing.
- (3)
- To accomplish the photo-crosslinking of PEG-DA, the loosely connected glass slides were irradiated with a UV-lamp at a λ = 365 nm for 15 min.
6.4. Adhesion of the Electrochemically Deposited Films
6.5. Oxidative Electrochemical Polymerization of SpCz and Characterization of PSpCz on ITO Electrodes
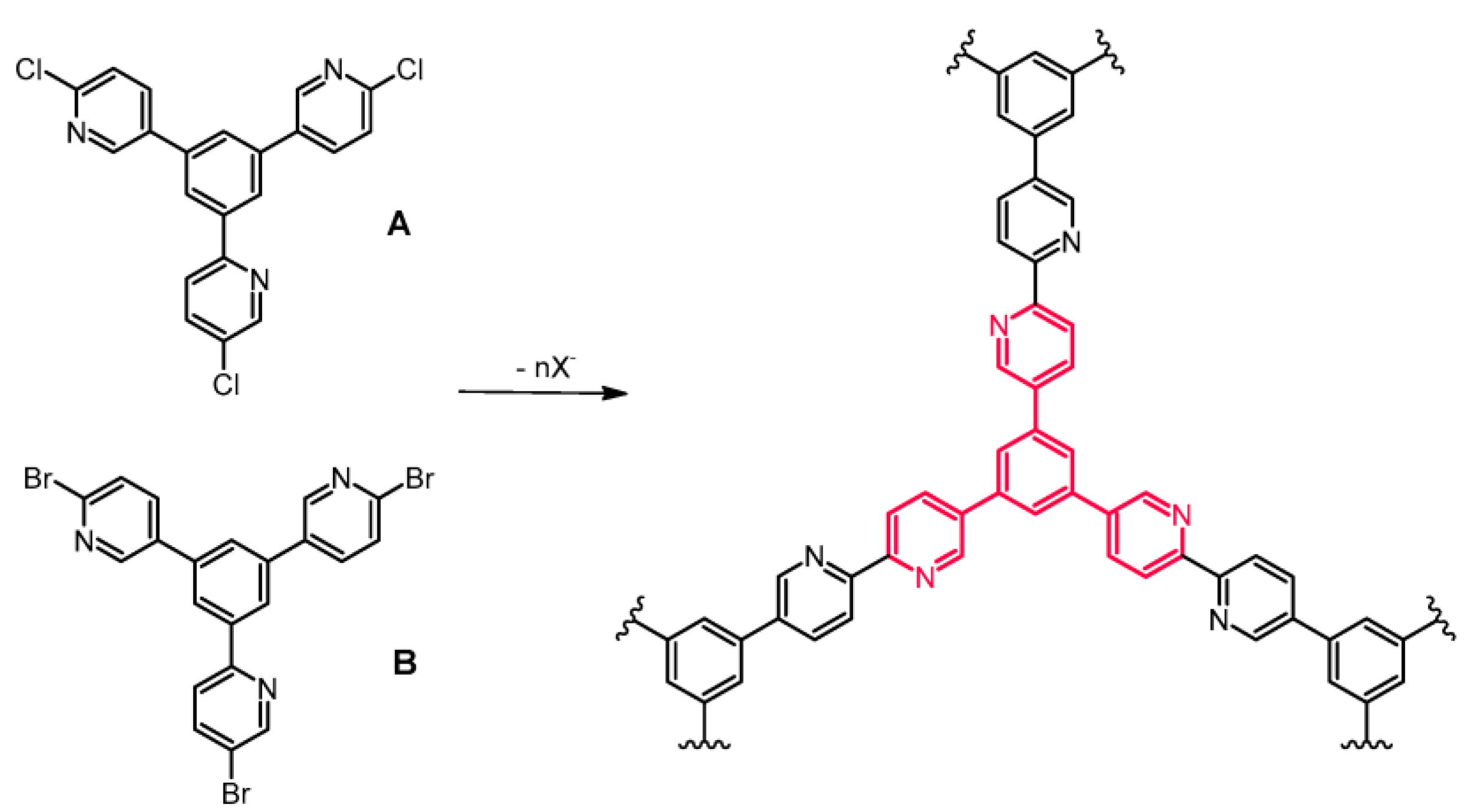
6.6. Monomers for Reductive Electrochemical Polymerization
6.7. Reductive Electrochemical Polymerization of Monomers A and B on ITO or Pt/Quartz Crystal Electrodes (EQCM)
7. Outlook
Author Contributions
Funding
Data Availability Statement
Acknowledgments
Conflicts of Interest
Sample Availability
References
- Ding, Y.; Invernale, M.A.; Mamangun, D.M.D.; Kumar, A.; Sotzing, G.A. A simple, low waste and versatile procedure to make polymer electrochromic devices. J. Mater. Chem. 2011, 21, 11873–11878. [Google Scholar] [CrossRef]
- Rendon-Enriquez, I.N.; Tausch, M.W.; Scherf, U. Elektrochrome Fenster mit leitenden Polymeren. ChiuZ 2016, 50, 400–405. [Google Scholar] [CrossRef]
- Rendon-Enriquez, I.N. Elektrochemische Abscheidung und Charakterisierung von Polymeren auf FTO beschichteten Gläsern. Ph.D. Thesis, Bergische Universität Wuppertal, Wuppertal, Germany, 2017. [Google Scholar]
- Skompska, M.; Vorotyntsev, M.A.; Refczynska, M.; Goux, J.; Lesniewska, E.; Boni, G.; Moise, C. Electrosynthesis and properties of poly(3,4-ethylenedioxythiophene) films functionalized with titanocene dichloride complex. Electrochim. Acta 2006, 51, 2108–2119. [Google Scholar] [CrossRef]
- Skompska, M.; Chmielewski, M.J.; Tarajko, A. Poly(1,8-diaminocarbazole)—A novel conducting polymer for sensor applications. Electrochem. Commun. 2007, 9, 540–544. [Google Scholar] [CrossRef]
- Fomo, G.; Waryo, T.; Feleni, U.; Baker, P.; Iwuoha, E. Electrochemical Polymerization. In Functional Polymers, Polymers and Polymeric Composites: A Reference Series; Jafar Mazumder, M.A., Sheardown, H., Al-Ahmed, A., Eds.; Springer: Geneva, Switzerland, 2019; pp. 105–131. [Google Scholar]
- Sadki, S.; Schottland, P.; Brodiec, N.; Sabouraud, G. The mechanisms of pyrrole electropolymerization. Chem. Soc. Rev. 2000, 29, 283–293. [Google Scholar]
- Zhou, M.; Pagels, M.; Geschke, B.; Heinze, J. Electropolymerization of Pyrrole and Electrochemical Study of Polypyrrole. 5. Controlled Electrochemical Synthesis and Solid-State Transition of Well-Defined Polypyrrole Variants. J. Phys. Chem. B 2002, 106, 10065–10073. [Google Scholar] [CrossRef]
- Ates, M.; Uludag, N. Carbazole derivative synthesis and their electropolymerization. J. Solid State Electrochem. 2016, 20, 2599–2612. [Google Scholar] [CrossRef]
- Tanaka, K.; Shichiri, K.; Wang, S.; Yamabe, T. A study of the electropolymerization of thiophene. Synth. Met. 1998, 24, 203–215. [Google Scholar] [CrossRef]
- Sharma, P.S.; Pietrzyk-Le, A.; D’Souza, F.; Kutner, W. Electrochemically synthesized polymers in molecular imprinting for chemical sensing. Anal. Bioanal. Chem. 2012, 402, 3177–3204. [Google Scholar] [CrossRef]
- Tajik, S.; Beitollahi, H.; Nejad, F.G.; Shoaie, I.S.; Khalilzadeh, M.A.; Asl, M.S.; Van Le, Q.; Zhang, K.; Jang, H.W.; Shokouhimehr, M. Recent developments in conducting polymers: Applications for electrochemistry. RSC Adv. 2020, 10, 37834–37856. [Google Scholar] [CrossRef]
- Monk, P.M.S.; Mortimer, R.J.; Rosseinsky, D.R. Electrochromism and Electrochromic Devices; Cambridge University Press: Cambridge, UK, 2007. [Google Scholar]
- Turbiez, M.; Frère, P.; Allain, M.; Videlot, C.; Ackermann, J.; Roncali, J. Design of Organic Semiconductors: Tuning the Electronic Properties of π-Conjugated Oligothiophenes with the 3,4-Ethylenedioxythiophene (EDOT) Building Block. Chem. Eur. J. 2005, 11, 3742–3752. [Google Scholar] [CrossRef] [PubMed]
- Han, L.; Bao, X.; Hu, T.; Du, Z.; Chen, W.; Zhu, D.; Liu, Q.; Sun, M.; Yang, R. Novel Donor–Acceptor Polymer Containing 4,7-Bis(thiophen-2-yl)benzo[c][1,2,5]thiadiazole for Polymer Solar Cells with Power Conversion Efficiency of 6.21%. Macromol. Rapid Commun. 2014, 35, 1153–1157. [Google Scholar] [CrossRef] [PubMed]
- D’Alessandro, M.; Amadei, A.; Daidone, I.; Po’, R.; Alessi, A.; Aschi, M. Toward a Realistic Modeling of the Photophysics of Molecular Building Blocks for Energy Harvesting: The Charge-Transfer State in 4,7-Dithien-2-yl-2,1,3-benzothiadiazole As a Case Study. J. Phys. Chem. C 2013, 117, 13785–13797. [Google Scholar] [CrossRef]
- Chen, W.-C.; Wen, T.-C.; Gopalan, A. Electrochemical and Spectroelectrochemical Evidences for Copolymer Formation Between 2-Aminodiphenylamine and Aniline. J. Electrochem. Soc. 2001, 148, E427–E434. [Google Scholar] [CrossRef]
- Palma-Cando, A.; Scherf, U. Electrochemically Generated Thin Films of Microporous Polymer Networks: Synthesis, Properties, and Applications. Macromol. Chem. Phys. 2016, 217, 827–841. [Google Scholar] [CrossRef]
- Palma-Cando, A.; Scherf, U. Electrogenerated Thin Films of Microporous Polymer Networks with Remarkably Increased Electrochemical Response to Nitroaromatic Analytes. ACS Appl. Mater. Interfaces 2015, 7, 11127–11133. [Google Scholar] [CrossRef]
- Räupke, A.; Palma-Cando, A.; Shkura, E.; Teckhausen, P.; Polywka, A.; Görrn, P.; Scherf, U.; Riedl, T. Highly sensitive gas-phase explosive detection by luminescent microporous polymer networks. Sci. Rep. 2016, 6, 29118. [Google Scholar] [CrossRef]
- Tanaka, S.; Iso, T. Reductive Electropolymerizationof 2,5-Dichlorobenzonitrile. J. Chem. Soc. Chem. Commun. 1994, 1071–1072. [Google Scholar] [CrossRef]
- Saito, N.; Yamamoto, T. Poly(l,5-naphthyridine-2,6-diyl) Having a Highly Extended and Electron-Withdrawing p-Conjugation System. Preparation, Optical Properties, and Electrochemical Redox Reaction. Macromolecules 1995, 28, 4260–4267. [Google Scholar] [CrossRef]
- Tetsuyuki, S.; Tomokazu, I.; Takeo, S. Electropolymerization of Bis(4-cyano-1-pyridinio) Derivatives for the Preparation of Polyviologen Films on Electrodes. Bull. Chem. Soc. Japan 1993, 66, 2054–2060. [Google Scholar]
- Körber, F. Synthese mehrfachfunktioneller Monomere und ihre reduktive Elektropolymerisation. Ph.D. Thesis, Bergische Universität Wuppertal, Wuppertal, Germany, 2020. [Google Scholar]
- Bircan, H.; Seshadri, V.; Padilla, J.; Invernale, M.; Otero, T.F.; Sotzing, G.A. Use of polymer/ionic liquid plasticizers as gel electrolytes in electrochromic devices. J. Phys. Conf. Ser. 2008, 127, 012011. [Google Scholar] [CrossRef]
- Invernale, M.A.; Ding, Y.; Mamangun, D.M.D.; Yavuz, M.S.; Sotzing, G.A. Preparation of Conjugated Polymers Inside Assembled Solid-State Devices. Adv Mater. 2010, 22, 1379–1382. [Google Scholar] [CrossRef] [PubMed]














| Monomer | Concen-Tration (mmol/L) | Solvent | Conducting Salt Concentration (mol/L) | Deposition Voltage | Time (min) | 
|---|---|---|---|---|---|
| DTBT | 0.5 | ACN | TBAP 0.1 | 0.8 V vs. Ag/AgNO3 | 2 | 
| EDOT | 0.3 | ACN | TBAP 0.1 | 1.0 V vs. Ag/AgNO3 | 5 | 
| Pyrrole | 50 | aqueous buffer solution | NaNO3 0.1 HNO3 0.1 | 0.6 V vs. Ag/AgCl | 5 | 
| Aniline | 400 | water | H2SO4 0.5 | 0.7 V vs. Ag/AgCl | 5 | 
| Bithiophene | 10 | ACN | TBAP 0.1 | 0.85 V vs. Ag/AgNO3 | 5 | 
| DTBT EDOT | 0.5 0.3 | ACN | TBAP 0.1 | 0.8 V vs. Ag/AgNO3 | 5 | 
| Disclaimer/Publisher’s Note: The statements, opinions and data contained in all publications are solely those of the individual author(s) and contributor(s) and not of MDPI and/or the editor(s). MDPI and/or the editor(s) disclaim responsibility for any injury to people or property resulting from any ideas, methods, instructions or products referred to in the content. | 
© 2023 by the authors. Licensee MDPI, Basel, Switzerland. This article is an open access article distributed under the terms and conditions of the Creative Commons Attribution (CC BY) license (https://creativecommons.org/licenses/by/4.0/).
Share and Cite
Rendón-Enríquez, I.; Palma-Cando, A.; Körber, F.; Niebisch, F.; Forster, M.; Tausch, M.W.; Scherf, U. Thin Polymer Films by Oxidative or Reductive Electropolymerization and Their Application in Electrochromic Windows and Thin-Film Sensors. Molecules 2023, 28, 883. https://doi.org/10.3390/molecules28020883
Rendón-Enríquez I, Palma-Cando A, Körber F, Niebisch F, Forster M, Tausch MW, Scherf U. Thin Polymer Films by Oxidative or Reductive Electropolymerization and Their Application in Electrochromic Windows and Thin-Film Sensors. Molecules. 2023; 28(2):883. https://doi.org/10.3390/molecules28020883
Chicago/Turabian StyleRendón-Enríquez, Ibeth, Alex Palma-Cando, Florian Körber, Felix Niebisch, Michael Forster, Michael W. Tausch, and Ullrich Scherf. 2023. "Thin Polymer Films by Oxidative or Reductive Electropolymerization and Their Application in Electrochromic Windows and Thin-Film Sensors" Molecules 28, no. 2: 883. https://doi.org/10.3390/molecules28020883
APA StyleRendón-Enríquez, I., Palma-Cando, A., Körber, F., Niebisch, F., Forster, M., Tausch, M. W., & Scherf, U. (2023). Thin Polymer Films by Oxidative or Reductive Electropolymerization and Their Application in Electrochromic Windows and Thin-Film Sensors. Molecules, 28(2), 883. https://doi.org/10.3390/molecules28020883
 
        




 
       