Abstract
Dispersants, serving as an essential raw material in the formulation of coal water slurry, offer an economical and convenient solution for enhancing slurry concentration, thus stimulating significant interest in the development of novel and efficient dispersants. This paper intends to illuminate the evolution of dispersants by examining both the traditional and the newly conceived types and elaborating on their respective mechanisms of influence on slurry performance. Dispersants can be classified into anionic, cationic, amphoteric, and non-ionic types based on their dissociation properties. They can be produced by modifying either natural or synthetic products. The molecular structure of a dispersant allows for further categorization into one-dimensional, two-dimensional, or three-dimensional structure dispersants. This document succinctly outlines dispersants derived from natural products, three-dimensional structure dispersants, common anionic dispersants such as lignin and naphthalene, and amphoteric and non-ionic dispersants. Subsequently, the adsorption mechanism of dispersants, governed by either electrostatic attraction or functional group effects, is elucidated. The three mechanisms through which dispersants alter the surface properties of coal, namely the wetting dispersion effect, electrostatic repulsion effect, and steric hindrance effect, are also explained. The paper concludes with an exploration of the challenges and emerging trends in the domain of dispersants.
1. Introduction
Coal serves a pivotal role in the energy frameworks of countries like China and India [1,2]. Considering the energy development trajectory in these nations, the dominance of coal as a primary energy source is unlikely to alter significantly [3]. Notably, coal is a non-renewable energy resource. The judicious extraction and consumption of coal resources exemplify effective strategies to conserve energy and safeguard the ecological environment. Such an approach carries immense practical relevance for achieving sustainable development within the coal industry. Moreover, in light of low oil reserves and energy shortcomings in numerous countries, the advancement of coal-based alternative fuels and exploration for viable oil substitutes is deemed crucial [4]. Coal water slurry (CWS) is considered a promising oil substitute. It is a coal-based, fluid clean fuel, characterized by low pollution levels, economical cost, and superior combustion efficiency [5,6].
A typical CWS primarily comprises 60–75% coal, 25–40% water, and approximately 1% additives [7]. Despite exhibiting high viscosity, CWS is susceptible to stratification and instability due to the coal surface’s hydrophobic nature [8]. Dispersants, the most critical additive in CWS preparation, are amphoteric substances with both hydrophilic and hydrophobic groups. They enhance adsorption on the potential coal surface, enabling uniform dispersion of coal particles in water. This consequently decreases the viscosity of CWS, thereby improving its flowability [9].
The efficacy of CWS is primarily influenced by the quality of the coal, dispersants, and the gradation of the particle size. Among these, dispersants, alongside coal quality, are perceived as the most crucial factors constraining CWS performance [10]. In recent times, low-rank coals, primarily lignite, non-sticky coal, and long-flame coal, known for their subpar slurry properties, have been extensively employed in CWS preparation. This necessitates the chosen dispersants to exhibit superior viscosity reduction and slurry stabilization properties [11,12,13]. Nevertheless, the diverseness of coal properties and the preferential use of industrial wastewater for pulping in practical applications considerably restrict the universality of dispersants. This necessitates the design of specific dispersants for diverse coal types [14]. The development of new dispersants has revealed that their structure significantly influences their performance. Hence, targeted structure design is pivotal to augment the efficacy of dispersants. Moreover, in industrial contexts, the utilization of low-cost and eco-friendly raw materials is a vital strategy to curtail dispersant costs. This paper supplements existing classification methods of dispersants from structural and raw material source perspectives and elaborates on their mechanisms in detail.
2. Classification and Characteristics of CWS Dispersants
Dispersants denote the surfactants added to CWS that enable stable dispersion of coal particles in water, preventing stratification and precipitation over extended periods [15]. As significant additives in CWS preparation, dispersants can adhere to the coal surface, altering its properties and thereby enhancing CWS performance [16].
We provide a comprehensive summarization of coal water slurry dispersants [17]. Diverse types of CWS dispersants exist, as illustrated in Table 1. Currently, based on their dissociation attributes, they are categorized into non-ionic and ionic dispersants [18]. Non-ionic dispersants chiefly comprise polyoxyethylene ether, non-ionic aliphatic compounds, and some natural compounds. Ionic dispersants are subdivided into anionic, cationic, and amphoteric categories, contingent on their charge properties. Common anionic dispersants predominantly encompass lignin dispersants, naphthalene dispersants, humic acid dispersants, and polycarboxylic acid dispersants. Furthermore, various modified starches have been developed as dispersants. Among all types, the anionic variant exhibits the lowest production cost, hence its widespread usage [19,20].
Dispersants possess unique structural characteristics. One-dimensional dispersants encompass a linear hydrophobic end, while two-dimensional comb-like dispersants incorporate numerous hydrophilic and hydrophobic groups. Both types adhere to the coal surface via their hydrophobic ends. To enhance the adsorption capacity, a third type of dispersant, known as three-dimensional structure dispersants, has been developed. These typically comprise linear and comb structures to cater to the polar groups of coal [21,22]. The hydrophobic end and the hydrophilic end of the one-dimensional linear structure dispersant are in a straight line, such as naphthalene sulfonate formaldehyde condensate (NSF) [23,24], sodium dodecyl benzene sulfonate, and sodium dodecyl sulfate (SDS) [25], while the two-dimensional structure dispersant contains a large number of hydrophobic and polar groups, such as comb polymer sodium polystyrene sulfonate (PSS) [26]. The latter is formed by copolymerization of polymer monomer, polyethylene glycol acrylate monoester, sodium p-Phenylethane sulfonate, and acrylamide [27,28]. Preparation of these comb-like polymers involves initiation and copolymerization between diverse unsaturated monomers, which can facilitate a high coal content and low apparent viscosity via the use of super-performance one-dimensional or two-dimensional dispersants [29,30]. However, apart from the coal surface’s abundance of hydrophobic groups, it also hosts polar groups, including substances containing O, S, and N [31,32]. Therefore, the three-dimensional structure dispersant developed for this situation has more polar groups. Zhang [33] utilized renewable resources, such as tannic acid and acrylic acid, to formulate an eco-friendly polymer dispersant that possesses a jellyfish-like three-dimensional structure. Tannic acid, which comprises both hydrophobic aromatic rings and polar hydroxyl groups, closely resembles the surface properties of coal. Hence, long side chains were grafted onto the tannic acid’s plane structure, and under electrostatic repulsion and steric hindrance, aligned in parallel. This led to the formation of a hydration film on the surface of the coal particles, substantially improving the stability and reducing the viscosity of CWS. Consequently, these studies significantly reduced the production cost of dispersants, and achieved environmental sustainability during the production and use of dispersants.
Dispersants can be obtained by modifying or synthesizing natural products. Natural products such as lignin, starch, and cellulose are widely available and are indeed very low-cost and environmentally friendly. Synthetic dispersants such as naphthalene sulfonate dispersants have good performance but relatively higher costs [34]. Starch, owing to its abundance and eco-friendliness, is a frequently employed natural raw material for dispersants. However, due to its high molecular weight, starch is not chemically stable and requires degradation. This necessitates the introduction of certain groups to elevate starch’s efficacy as a dispersant, fulfilling the pulping requirements of CWS [35]. Generally, the dispersants obtained by modification are starch sulfonate, starch xanthin compound, and starch phosphate [36]. For instance, a comb-like CWS dispersant can be synthesized by polymerizing starch, acrylic acid, and styrene (SAS), which boasts numerous hydroxyl groups contributing to the hydrophilic segment [37]. These hydroxyl groups interact with water via hydrogen bonding. The hydrophobic component, the phenyl from the grafted polystyrene chains, influences the dispersant’s adsorption on coal. The molecular structure of the SAS dispersant facilitates connections between the hydrophobic groups on the coal surface and the hydrophilic groups in the water, enabling the even dispersion of coal particles in water. Natural products like starch and cellulose, which are sourced widely, are advantageous due to their low cost, renewability, eco-friendly nature, natural biodegradability, chemical stability, and biocompatibility [38,39]. Dispersants produced from these raw materials are cost-effective, cause minimal environmental pollution, and demonstrate exceptional performance. This expands the selection of dispersants, making them a prime candidate for extensive industrial application in future research [40].
In this paper, the common anionic, cationic, and non-ionic dispersants will be summarized in detail from the classification of dissociation characteristics.
Table 1.
Dispersant types.
Table 1.
Dispersant types.
| Basis of Classification | Subtype | Example | Characterization | Reference |
|---|---|---|---|---|
| Dissociation properties | Anionic | Lignin-based dispersants, naphthalene-based dispersants | Largest variety, relatively low dispersant price | [41,42] |
| Cationic | Quaternary ammonium salts, heterocycles, and octadecenylamine acetate | Good dispersion | [43] | |
| Amphoteric | Amphoteric polycarboxylic acid dispersant | Better adsorption effect | [44] | |
| Non-ionic | Polyoxyethylene ether and polyoxyethylene/polyoxypropane block polyether surfactants | Easily regulated and controlled, independent of water quality and soluble matter in coal | [45] | |
| Raw material sources | Natural product | Lignin-based dispersants, starch-based dispersants | Low-cost, abundant, and renewable | [36,46] |
| Synthetic | Naphthalene sulfonate-based dispersants, polyolefin-based dispersants | Targeted modification | [34] | |
| Dispersant structure | One-dimensional dispersants | Naphthalene sulfonic acid formaldehyde condensate (NSF), sodium salt of dodecylbenzene sulfonate, and sodium dodecyl sulfate (SDS) | With linear hydrophobic ends | [23,24,25] |
| Two-dimensional dispersants | Sodium polystyrene sulfonate (PSS), polycarboxylic acid-type dispersant | Contains many hydrophilic and hydrophobic groups | [27,28] | |
| Three-dimensional dispersants | Dispersant TAA | Linear and comb structures | [33] |
2.1. Anionic Dispersants
Anionic dispersants are the most researched and applied CWS dispersants at present owing to their outstanding dispersing ability, wide sources, and low price. Common anionic dispersants include lignin dispersants, humic acid-based dispersants, naphthalene-based dispersants, and polycarboxylic acid-based dispersants. The classification of anionic dispersants is shown in Table 2.
Table 2.
Anionic dispersant types.
2.1.1. Lignin Dispersants
Lignin dispersants are mainly obtained by modifying alkali lignin or lignosulfonate, a by-product of the paper industry. In addition to having a wide range of sources and economy, lignin dispersants can be employed to prepare coal water slurry with relatively superior stability than naphthalene-based dispersants [47]. However, the CWS viscosity prepared by such dispersants is relatively high, and the performance of lignin dispersants can be improved by modification methods such as sulfonation, polycondensation modification, and graft copolymerization modification [41,51,52].
Sulfonation modification is used to improve the hydrophilic properties of dispersants and the stability of CWS by replacing the benzene ring of lignin sulfonate molecules or the hydrogen, hydroxyl, and methoxy groups on the side chain of a benzene ring with the sulfonic group [53]. The sulfonation reaction can endow alkali lignin with good water solubility, surface activity, and reactivity. Sulfated lignin can be modified by oxidation and sulfomethylation to prepare sulfomethylated lignin [54]. Oxidation and sulfomethylation can raise the carboxyl and sulfonate contents of lignin, leading to an increase in the anion charge density. Sulfomethylated lignin can be adsorbed on coal particles and improve the fluidity of slurry more effectively.
Polycondensation modification is aimed at the phenol hydroxyl, alcohol hydroxyl, and aldehyde groups, and other unit structures of lignin sulfonate molecules that are prone to polycondensation reactions of aldehydes, phenols, lipids, and other molecules. The dispersion and adsorption of lignin dispersants can be strengthened through polycondensation modification [55]. The polycondensation reaction can endow the resulting products with certain relative molecular weights and adsorption and dispersion properties [56]. Chen et al. modified horsetail pine alkali lignin into an efficient coal water slurry dispersant, ALB, by sulfomethylation polycondensation reactions using sulfomethylated alkali lignin and sulfonated acetone formaldehyde as raw materials [41]. The experiment revealed that ALB dispersants displayed a comparatively stable viscosity reduction effect, surpassing the performance of conventional lignin dispersants. Furthermore, the molecular weight and sulfonic acid group content were identified as key factors influencing the dispersion and viscosity reduction capability of CWS. Graft copolymerization leverages the properties of lignin and its derivatives. Under the initiation process, lignin molecules can react with acrylic acid, acrylamide, styrene, hydroxyethyl methacrylate, vinyl acetate, and other functional branches, thereby enhancing their dispersion and stability. Maryam et al. [1] extracted kraft lignin and sulfonated lignin from papermaking wastewater as the source of lignin and chemical structure for acrylamide graft radical copolymerization modification initiated by thermal or redox initiators. Aliphatic hydroxyl groups were identified as the active sites of graft copolymerization, and the number of these functional groups in the lignin chain caused an important influence on the progress of graft copolymerization.
Lu et al. [57] copolymerized β-cyclodextrin (β-CD) and chlorotrione epoxide into alkali lignin to synthesize a modified alkali lignin dispersant (β-CD-AL), which dramatically increased the stability of the lignin dispersant pulping and reduced the viscosity of the slurry in their study. The synthesis scheme of the dispersant is described in Figure 1. The effects of the β-CD content on the dispersibility, zeta potential, and adsorption properties of β-CD-AL were also investigated. It was found that the stability was gradually enhanced with the increase in the copolymerized β-CD dosage under the synergistic effect of electrostatic repulsion and spatial site resistance. In addition, the amount of copolymerized β-CD reached a peak value for the optimal viscosity reduction effect.
Figure 1.
Synthetic schematic diagram of β-CD-AL.
2.1.2. Humic Acid-Based Dispersants
Low-rank coal, such as lignite, contains a large amount of humic acid. Humic acid dispersants, extracted from low-rank coal such as lignite, present good dispersion performance and can be used alone [58]. It has been confirmed that the lower the maturity of raw coal, the better the viscosity reduction effect of the prepared dispersants for CWS. However, the disadvantages are that these dispersants are sensitive to metal ions, propensity form precipitates, lead to prepared slurry with poor stability, and propose correspondingly higher requirements for pulping water quality [42,48].
Humic acid is rich in condensed aromatic units, which are similar to the structure of coal, and thus can be tightly adsorbed on the coal surface [59,60]. In addition, humic acid encompasses active groups, such as hydroxyl and carboxyl groups, providing the possibility for chemical modification of humic acid [61]. Currently, studies on the modification of humic acid as a dispersant focus on the sulfonation, nitration, sulfomethylation, and graft copolymerization of humic acid molecules. The purpose is to introduce functional groups with strong hydrophilicity into humic acid molecules [62,63]. Zhang et al. [48] fabricated a novel humic acid-based dispersant, humic acid-grafted sodium polystyrene sulfonate (HA-g-pssNa). This dispersant possesses a hydrophobic humic acid core and a hydrophilic sodium polystyrene sulfonate side chain, synthesized through a surface acylation reaction and atom transfer radical polymerization of humic acid. Various properties of HA-g-pssNa, pssNa, and naphthalene sulfonate formaldehyde condensate (NSF) as dispersants for the preparation of CWS were compared. The results revealed that the pulping properties of HA-g-pssNa were reinforced with the increase in pssNa side chain length. In the case of the appropriate chain length of HA-g-pssNa, the CWS prepared with this dispersant achieved good apparent viscosity and static stability, with superior performance than pssNa and NSF.
Kang et al. [42] modified sodium humate solution by sulfomethylation to prepare sulfomethylated humic acid dispersant (LSHA dispersant) and determined the optimal process conditions for modification through orthogonal experiments. Compared with the slurry-forming performance of commercial sodium naphthalenesulfonate dispersants, both of them can meet the requirements of CWS gasification, but the LSHA dispersant is better in terms of stability.
A humic acid-based polycarboxylate dispersant for CWS can be synthesized by copolymerizing humic acid, acrylic acid, and maleic acid, and its dispersion performance is much better than that of humic acid before copolymerization modification. The synthesis scheme of the dispersant is described in Figure 2 [64]. When the dosage of the dispersant reached 0.5 wt%, the apparent viscosity of the CWS was 505 mPa·s, while the permeability reached 85.45% after 96 h. The stability of the CWS was 12.87% higher than that of CWS prepared directly with humic acid as a dispersant. And the maximum concentration of the coal water slurry could reach up to 70 wt%. Overall, the aforementioned studies have greatly broadened the application scope of humic acid dispersants.
Figure 2.
Humic acid-based dispersant polymerization reaction scheme.
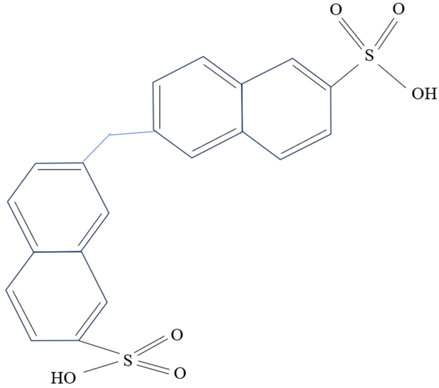
2.1.3. Naphthalene-Based Dispersants
Naphthalene-based dispersants, primarily comprised of naphthalene sulfonic acid polymers, are the most prevalent dispersants on the market. The structure of typical naphthalene dispersants is depicted in Figure 3. These dispersants offer superior dispersion performance, viscosity reduction, and slurry fluidity when compared with lignin-based dispersants. However, they also have notable disadvantages including high cost, suboptimal slurry stability, and a propensity for precipitation [47,49].
Figure 3.
Structural formula of sodium methylene naphthalene sulfonate.
The dispersion performance of naphthalene-based dispersants can primarily be adjusted by varying the degree of condensation and sulfonation [65]. An increased degree of condensation correlates positively with the binding strength and slurry effect of coal. However, for coal molecules with medium and low degrees of metamorphism, there exists a significant steric hindrance effect. This results in a weakened bond between the dispersant and the coal, despite an increase in the molecular chain length of the dispersants concurrent with the condensation degree. This suggests an optimal value for the coagulability of coal water slurries derived from medium and low-grade coals exists [66,67]. Another strategy for improving the performance of naphthalene dispersants is graft modification. Modifying the branch chain length through graft copolymerization can produce modified naphthalene dispersants with varying chain lengths. This can be achieved by adjusting the ratio of ethylene oxide to aromatic monomer.
Currently, naphthalene sulfonate formaldehyde condensate (NSFC) has emerged as a widely used dispersant in CWS applications due to its effective viscosity reduction properties. At present, scholars mainly study the effects of the reaction conditions, sulfonation quality, and degree of polymerization on its dispersion performance [34]. Upon the addition of NSFCs to CWS, the coal surface’s hydrophobicity decreases while the conversion of weakly bound water to free water is facilitated, thereby enhancing water fluidity. Consequently, the hydrophilicity of the coal surface is increased and the viscosity is significantly reduced [68]. Due to its cost-effectiveness and superior viscosity control characteristics, NSFC holds potential for broader industrial applications compared to other dispersants [69].
2.1.4. Polycarboxylic Acid Dispersants
The molecular structure of polycarboxylate-based additives consists of comb-shaped surfactants with graft copolymers. The main chain is polymerized by active monomers comprising functional groups, and the side chain is grafted onto active monomers containing functional groups and the main chain [27,50]. The structure is easy to design and can be modified according to different needs. Therefore, the viscosity reduction effect of polycarboxylate-based dispersants is stronger than that of traditional lignin dispersants and naphthalene dispersants. Combined with the advantage of low pollution, such dispersants enjoy a wider range of applications [70,71]. The structure of common polycarboxylate dispersant is shown in Figure 4 [72].
Figure 4.
Structure of polycarboxylate dispersant.
Polycarboxylate dispersants are easy to prepare because they can regulate the adsorption capacity on coal surfaces and improve the chemical properties of coal surfaces by introducing polycarboxylate. Zhu [70] and others adopted ammonium persulfate sodium bisulfite as a redox catalyst to synthesize a new amphoteric polycarboxylate dispersant for CWS by using sodium p-phenylethylsulfonate, polyethylene glycol acrylate monoester, and ethyl trimethyl ammonium methacrylate. When the dosage of the dispersant was 0.3 wt%, the maximum concentration of CWS could reach 65.0 wt%. Polycarboxylate dispersants containing anionic and cationic groups lead to a better anchoring effect on coal through ion adsorption.
In recent years, it is a research hotspot to adjust the synthesis scheme of polycarboxylate dispersants to obtain better-performing dispersants, such as controlling the ratio of acrylic acid to sodium phenylene sulfonate, initiator composition, and temperature. The most suitable PC dispersants for pulping were selected according to the viscosity of each type of CWS at 100 s−1, shear thinning behavior, static stability (>14), and maximum solid loads (>55 wt%). Polycarboxylate dispersants are effectively adsorbed on the surface of coal particles through horizontal multipoint adsorption, mainly through the interaction between the hydrophobic groups of dispersant molecules and the hydrophobic regions of coal particles, finally intensifying the hydrophilicity of coal particles and the stability of the hydration membrane [73].
2.2. Cationic Dispersants
The molecular structure of cationic dispersants typically comprises two components: positively charged non-polar hydrophilic groups and lipophilic hydrocarbon chains. Unlike anionic types, cationic dispersants facilitate the dispersion of particles in water into a colloidal solution via interaction between the positively charged molecular groups and the negatively charged particle surface. Currently, quaternary ammonium salts, heterocycles, and octadecenylamine acetate represent some of the widely used cationic dispersants on the market [43]. The classification of cationic dispersants is shown in Table 3. Figure 5 presents a typical molecular structure diagram of a quaternary ammonium salt dispersant.
Table 3.
Cationic dispersant types.
Figure 5.
Structure diagram of cetyltrimethylammonium bromide.
Nurcan Acet investigated the impact of the cationic dispersant polyethyleneimine (PEI) on the dispersion performance of TiC nanoparticles in electrolytes [74]. Experimental results indicated that PEI at a concentration of 125 ppm optimized the dispersion of TiC nanoparticles in electrolytes, allowing particles to be uniformly distributed within the deposition layer without affecting the kinetics of electrodeposition. Without a dispersant, the TiC concentration in the coating remained largely unaffected by current density. However, in a bath containing PEI, an increase in current density corresponded to a reduction in TiC concentration.
While cationic dispersants offer excellent dispersion effects, they should not be combined with anionic dispersants to prevent reaction with the carboxyl in materials. Consequently, some researchers have explored the combination of cationic dispersants with non-ionic dispersants. Routray et al. [75] examined the interaction between the non-ionic dispersant saponin and the cationic surfactant di-dialkyl ammonium bromide (DDAB) in high-concentration CWS containing four types of coal samples with bimodal particle size distribution. The observed surface tension was used to explain the dispersion stability of the mixed additive system and to optimize the ratio of the two dispersants. Both saponin and DDAB formed robust water dispersion bonds tightly adhering to the coal surface, resulting in a highly stable CWS system.
2.3. Non-Ionic Dispersants
The primary types of non-ionic CWS dispersants are polyoxyethylene ether and polyoxyethylene block polyether surfactants, with the former attracting more attention. Characterized by their non-ionization in water, non-ionic dispersants can control both hydrophilic and hydrophobic groups, making them less susceptible to the influence of water quality and the substances in coal on the dispersion effect compared to other dispersants. At the same time, there is no need for a stabilizer when using non-ionic dispersants. They are also the most expensive dispersants for CWS [76]. Several common non-ionic dispersants are shown in Table 4. A CWS dispersant prepared by non-ionic surfactants extracted from natural plants is a relatively low-cost, environment-friendly, and strong non-ionic dispersant. Figure 6 illustrates the structure of a typical non-ionic dispersant.
Figure 6.
Molecular structure of alkylphenol polyoxyethylene ether.
The minimum apparent viscosity that CWS can achieve with polyoxyethylene ether as a dispersant is closely related to the polyoxyethylene adduct number [45]. Alkyl polyoxyethylene ethers with more alkyl carbon atoms have an optimal addition number. Li [77] utilized two non-ionic dispersants, polyoxyethylene dodecyl phenol ether (PDPE) and polyoxyethylene lauryl ether (PLE), as CWS dispersants and compared their slurry forming performance. Both dispersants contained 30% ethylene oxide. At a CWS viscosity of 1000 mPa·s, the maximum concentrations of PDPE and PLE were 67.60% and 62.95%, respectively. PDPE displayed easier adsorption onto coal than PLE and formed more stable bonds due to the P-P stacking effect, leading to more uniform coal dispersion in the solution.
Lauryl alcohol polyoxyethylene ether, with the molecular formula (C2H4O) n·C12H26O, is a non-ionic copolymer exhibiting good water solubility, resistance to acid and alkali, hard water resistance, and high stability. Zhao [78] analyzed the influence of dispersant mass fraction and CWS mass fraction on the ultimate settlement concentration, and concluded that the maximum pulping mass fraction reached 72% when the dispersant mass fraction was 1.0%, which was less than the ultimate settlement concentration. A dispersant mass fraction of 1.0% yielded the maximum and minimum values for the ultimate settlement concentration and apparent viscosity, respectively.
Table 4.
Non-ionic dispersant types.
Table 4.
Non-ionic dispersant types.
| Category | Type | Characteristic | Reference |
|---|---|---|---|
| Non-ionic dispersant | Polyoxyethylene ether | Good wettability, permeability, and dispersion | [76] |
| Polyoxyethylene block polyether | High chemical stability | [79] | |
| Polyoxyethylene alkyl alcohol amide | Good stability and hydrolysis resistance | [78] |
3. Mechanism of CWS Dispersants
The effectiveness of dispersants correlates strongly with the chemical characteristics of the coal particle surface [36]. Besides numerous hydrophobic groups, the coal surface also contains several polar groups, comprising O, S, and N elements. Figure 7 illustrates that the dispersant is adsorbed onto the coal surface through charge adsorption or functional groups, thereby affecting the steric resistance, electrostatic interaction, and hydrophilicity between particles. This, in turn, alters the rheological properties of the slurry [80]. Consequently, the impact of dispersants on the chemical properties of coal surfaces has become a focal point of research. Currently, studies on the viscosity reduction mechanism of dispersants primarily focus on three aspects: the wetting dispersion effect, the electrostatic repulsion effect, and the steric hindrance effect [71,81,82].
Figure 7.
Adsorption mechanism of dispersant.
3.1. Wetting and Dispersing
In the process of preparing CWS, coal particles are thoroughly mixed with water, transitioning the gas–solid interface into a solid–liquid one. Hence, a fundamental requirement for CWS preparation is the complete wetting of coal particles in water. Given that coal is hydrophobic and CWS dispersants possess an amphiphilic structure [46,75], these dispersants, when adsorbed onto the coal surface, can interact with water molecules to fully saturate the coal particles.
Figure 8 illustrates that the hydrophobic end of the SAS dispersant binds to the hydrophobic groups on the coal particle surface, while the hydrophilic end extends into the water, establishing a directional arrangement. This alters the coal particle surface into a hydrophilic one, promoting the adsorption of numerous water molecules to form a hydration film, ensuring complete wetting [30,83]. Evidence for this can be seen in the changes in the coal particle contact angle before and after dispersant use [84]. Moreover, dispersants alter the surface tension of water, further boosting the wetting and dispersion of coal in water [33]. The hydrophobicity of the coal surface and its spontaneous aggregation in an aqueous solution are linked to its wettability. The lower the surface tension of the aqueous solution, the easier it is for the coal particles to be wetted [85].
Figure 8.
Wetting mechanism of dispersant.
3.2. Electrostatic Repulsion
Based on the DLVO theory, for the stable existence of colloidal particles, the electrostatic repulsion between particles must exceed the van der Waals attractive forces [86]. Therefore, when ionic dispersants are adsorbed on the surface of coal particles, the electrostatic repulsion between the coal particles is generated due to carrying the same charge. When this repulsion force is greater than the van der Waals force between coal particles, the coal water slurry system can maintain relative stability. Based on the extended DLVO theory, the van der Waals interaction energy (Ev), electrostatic interaction energy (Ee), hydrophobic interaction energy (Eh), and spatial stability energy (ES) are compared. The total interaction energy (ET) is calculated as follows [87]:
In the calculation process, it is assumed that all solid particles are spheres with a characteristic average size. The two spherical particles of van der Waals interaction energy (Ev) are represented by the following equations [88]:
R1 and R2 represent the average radii of particle 1 and particle 2. H is the distance between particles (nm). A132 refers to the Hamaker constant of particle 1 and particle 2 involving in medium 3.
Two spherical particles with electrostatic interaction energy (Ee) can be calculated by the Formula (4) [89]:
denotes the relative dielectric constant of water, with a value of 78.5 C2·m/J. is the dielectric constant of vacuum [90], with its value of 8.854 × 10−12 C2·m/J. and represent the surface potential of two particles respectively; K−1 is the Debye length [91], about 0.104 nm.
The hydrophobic interaction energy (Eh) can be determined by Formula (5) [92]:
and are the corresponding contact angles of the two particles. The optimal values of parameters a and b are −7.0 and −18.0, respectively [93].
The spatial potential resistance stabilization energy (Es) of two spherical particles can be calculated as follows [87]:
where k indicates the Boltzmann constant with a value of 1.381 × 10−23 J/K; T means the experimental temperature, with its value of 298 K; AP is the area of dispersant absorbed on the particle surface (m2); M is the relative molecular mass of dispersant molecules; ρ refers to the density of dispersant molecules; and δ1 and δ2 are the thickness of the adsorbed layers of the two particles.
The addition of ionic CWS dispersants in CWS can change the wetting degree and potential of coal. When the coal particles are adsorbed with anionic dispersants, the coal particles are dispersed due to the increase in electrostatic repulsion on the surface, which makes the CWS system stable. As shown in Figure 9, the hydrophobic group of the main chain of anionic dispersants is bonded to the coal surface, which plays an anchoring role in improving the adsorption force between anionic dispersants and coal particles. The hydrophilic group of the branched chain in dispersants stretches from the coal surface to the solution and changes the wettability and surface potential of the coal particle surface, achieving the effects of dispersion and viscosity reduction [94,95].
Figure 9.
Electrostatic repulsion mechanism of dispersant.
However, the presence of soluble minerals in both industrial water and coal introduces significant amounts of high-valence metal ions, such as Mg2+ and Ca2+, into the CWS system. These metal ions reduce the coal surface potential, which remains largely unaffected by the addition of dispersants. This suggests that the enhancement of electrostatic repulsion between coal particles is not the sole determining factor contributing to particle dispersion, and the synergistic effect of other factors must also be considered [11,14]. In a study by Chen et al. [23] on the dispersion mechanism of naphthalene sulfonate formaldehyde (NSF) in CWS, it was discovered that the apparent viscosity and yield stress of CWS significantly decreased with the addition of 1.5% NSF, aligning with the saturated adsorption value of NSF on superfine coal. Furthermore, the zeta potential and contact angle of finely pulverized coal decreased with increasing NSF dosage, indicating that the coal surface experienced greater electrostatic repulsion force and improved wetting ability after NSF addition. This observation supports the notion that electrostatic repulsion alone is not the sole factor influencing coal particle dispersion in CWS.
3.3. Spatial Steric Effects
The formation of an adsorption layer on the surface of coal particles creates a barrier that hinders particle aggregation in the CWS system. This spatial barrier effect prevents the particles from approaching each other, making aggregation difficult. Entropy repulsive dispersion refers to the phenomenon where particles with an adsorption layer experience a decrease in the freedom of polymer dispersants within the layer, resulting in a decrease in the entropy of the adsorbed molecules. The system then spontaneously tends to increase entropy, causing the particles to separate again [96,97]. Using the mechanism of action of a novel amphoteric copolymer dispersant, P (SS-co-AA-co-DMDAAC), as an example (refer to Figure 10), the dispersant is adsorbed onto the coal surface through the attraction of heterogeneous charges and hydrogen bonding. The dispersion effect is achieved through the formation of a surface water adsorption film and electrostatic repulsion [44]. The adsorption of the dispersant onto the coal surface primarily relies on spatial steric effects, supplemented by electrostatic repulsion, working together to enhance the performance of the CWS.
Figure 10.
Mechanism of action of the novel dispersant P (SS-co-AA-co-DMDAAC).
4. Conclusions and Prospects
Given the rapid advancement and extensive application of coal water slurry (CWS) dispersants, this paper assimilates information on the classification and mechanism of these dispersants to facilitate a comprehensive understanding. To elucidate the characteristics of CWS dispersants, we propose a classification based on dissociation properties, product source, and structure, in addition to summarizing the adsorption and action mechanisms. Despite their widespread use, CWS dispersants present many challenges that necessitate resolution. Consequently, we propose future research directions: (1) The suitability of dispersants is relatively exclusive, making the development of dispersants apt for a range of coal samples often costly. To address multitasking demands and cost-effectiveness, compound dispersant development is a targeted research direction. (2) Many dispersants exhibit toxicity, hence the increasing demand for eco-friendly options. (3) While some novel CWS types demonstrate impressive performance, the associated costs are relatively high. Consequently, the development of low-cost and high-performance CWS is a vital research focus. For instance, the utilization of industrial waste and low-cost natural products like engine oil, natural resin, and starch in dispersant preparation is an area of active research. Future trends in CWS dispersant research are likely to emphasize cost reduction, performance enhancement, and environmental sustainability.
Author Contributions
Writing—original draft preparation, X.L. and N.L.; writing—review and editing, S.W. and T.A.; supervision, B.W.; project administration, X.L.; funding acquisition, B.W. All authors have read and agreed to the published version of the manuscript.
Funding
This work was supported by the Natural Science Foundation of Xinjiang Uygur Autonomous Region (Program No. 2022D01C670), National key laboratory open project (FSKLCCA2201), the National Natural Science Foundation of China (Grant NO. 22178298), the Tianshan Innovation Team Plan of Xinjiang Uygur autonomous Region (2023D14010).
Institutional Review Board Statement
Not applicable.
Informed Consent Statement
Not applicable.
Data Availability Statement
No new data were created or analyzed in this study. Data sharing is not applicable to this article.
Conflicts of Interest
The authors declare no conflict of interest.
References
- Pourmahdi, M.; Abdollahi, M.; Nasiri, A. Effect of lignin source and initiation conditions on graft copolymerization of lignin with acrylamide and performance of graft copolymer as additive in water- based drilling fluid. J. Pet. Sci. Eng. 2023, 220, 111253. [Google Scholar] [CrossRef]
- Guo, H.; Yu, Y.; Wang, K.; Yang, Z.; Wang, L.; Xu, C. Kinetic characteristics of desorption and diffusion in raw coal and tectonic coal and their influence on coal and gas outburst. Fuel 2023, 343, 127883. [Google Scholar] [CrossRef]
- Wei, X.; Wang, J.; Ding, Y. Progress and Development Trend of Clean and Efficient Coal Utilization Technology. Bull. Chin. Acad. Sci. 2019, 34, 409–416. [Google Scholar]
- Wan, G.; Yu, J.; Wang, X.; Sun, L. Study on the pyrolysis behavior of coal-water slurry and coal-oil-water slurry. J. Energy Inst. 2022, 100, 10–21. [Google Scholar] [CrossRef]
- Nyashina, G.S.; Kuznetsov, G.V.; Strizhak, P.A. Energy efficiency and environmental aspects of the combustion of coal-water slurries with and without petrochemicals. J. Clean. Prod. 2018, 172, 1730–1738. [Google Scholar] [CrossRef]
- Dmitrienko, M.A.; Strizhak, P.A. Coal-water slurries containing petrochemicals to solve problems of air pollution by coal thermal power stations and boiler plants: An introductory review. Sci. Total Environ. 2018, 613–614, 1117–1129. [Google Scholar] [CrossRef]
- Zhu, J.; Wang, P.; Zhang, W.; Li, J.; Zhang, G. Polycarboxylate adsorption on coal surfaces and its effect on viscosity of coal-water slurries. Powder Technol. 2017, 315, 98–105. [Google Scholar] [CrossRef]
- Tu, Y.; Feng, P.; Ren, Y.; Cao, Z.; Wang, R.; Xu, Z. Adsorption of ammonia nitrogen on lignite and its influence on coal water slurry preparation. Fuel 2019, 238, 34–43. [Google Scholar] [CrossRef]
- Hong, N.; Qiu, X. Structure-Adsorption Behavior-Dispersion Property Relationship of Alkyl Chain Cross-Linked Lignosulfonate with Different Molecular Weights. ACS Omega 2020, 5, 4836–4843. [Google Scholar] [CrossRef]
- Gao, X.R.; Chang, H.H.; Wei, W.L.; Wang, L.Z.; Zhang, Z.L.; Wang, Z.Z. The Influence of the Amount of Dispersants and Slurry Content on the Slurry Ability of Coal Pitch Water Slurry. Energy Sources Part A-Recovery Util. Environ. Eff. 2011, 33, 194–201. [Google Scholar] [CrossRef]
- Huang, J.; Xu, J.; Wang, D.; Li, L.; Guo, X. Effects of Amphiphilic Copolymer Dispersants on Rheology and Stability of Coal Water Slurry. Ind. Eng. Chem. Res. 2013, 52, 8427–8435. [Google Scholar] [CrossRef]
- Li, X.T.; Ma, C.D.; Lyu, J.Q.; He, M.; Wang, J.X.; Wang, Q.B.; Wang, Z.H.; You, X.F.; Li, L. Influence and mechanism of alkali-modified sludge on coal water slurry properties. Environ. Sci. Pollut. Res. 2023, 30, 27372–27381. [Google Scholar] [CrossRef] [PubMed]
- Li, H.; Song, X.L.; Li, G.; Kong, L.X.; Li, H.Z.; Bai, J.; Li, W. Effect of Coal Blending on Ash Fusibility and Slurryability of Xinjiang Low-Rank Coal. Processes 2022, 10, 1693. [Google Scholar] [CrossRef]
- Liu, J.; Wang, S.; Li, N.; Wang, Y.; Li, D.; Cen, K. Effects of Metal Ions in Organic Wastewater on Coal Water Slurry and Dispersant Properties. Energy Fuels 2019, 33, 7110–7117. [Google Scholar] [CrossRef]
- LiZhuang, Z.O.U.; Shuquan, Z.H.U.; Xiaoling, W.; Xiangkun, G.U.O.; Guangwen, C.U.I. Interaction between different CWS dispersants and coal—X Adsorptive characteristics of dispersant on coal surface. J. Fuel Chem. Technol. 2006, 34, 10–14. [Google Scholar]
- Wang, S.; Liu, J.; Wu, H.; Wang, Y.; Li, N. Research status of compound dispersant of coal water slurry. Appl. Chem. Ind. 2017, 46, 1616. [Google Scholar]
- Shen, Y.; Miao, P.; Liu, S.; Gao, J.; Han, X.; Zhao, Y.; Chen, T. Preparation and Application Progress of Imprinted Polymers. Polymers 2023, 15, 2344. [Google Scholar] [CrossRef]
- Konduri, M.K.R.; Fatehi, P. Alteration in interfacial properties and stability of coal water slurry by lignosulfonate. Powder Technol. 2019, 356, 920–929. [Google Scholar] [CrossRef]
- Guanghua, Z.; Xuedan, Z.H.U.; Pan, X.I.E.; Jingjing, Q.I. Preparation and characterization of new type anion: Coal-water slurry dispersant. Appl. Chem. Ind. 2008, 37, 1267. [Google Scholar]
- Lv, D.M.; Yan, H.; Wu, H.J.; Zheng, Z.Q.; Zhang, X.J.; Li, J.; Gong, S.W. Effect of modification by Gemini cationic surfactant on the properties of slurries prepared with petroleum coke: Experiments and molecular dynamics simulation. Fuel 2022, 317, 123541. [Google Scholar] [CrossRef]
- Li, L.; Zhao, L.Y.; Wang, Y.X.; Wu, J.N.; Meng, G.H.; Liu, Z.Y.; Zhang, J.S.; Hu, B.X.; He, Q.H.; Guo, X.H. Novel Dispersant with a Three-Dimensional Reticulated Structure for a Coal-Water Slurry. Energy Fuels 2018, 32, 8310–8317. [Google Scholar] [CrossRef]
- Zhu, J.F.; Li, J.L.; Liu, R.Q.; Wang, J.Q.; Tang, Y.W.; Zhang, W.B.; Zhang, G.H. Synthesis and evaluation of a multi-block polycarboxylic acid for improving low-rank coal to make the slurry. Colloids Surf. A—Physicochem. Eng. Asp. 2022, 646, 128966. [Google Scholar] [CrossRef]
- Chen, Y.; Song, Z.; Sun, Q.; Liu, K.; Hu, S.; Li, J. Insights into the Dispersion Mechanism of Microfine Coal Particles Modified with Naphthalene Sulfonate Formaldehyde Based on EDLVO Theory. Energy Fuels 2023, 37, 7777–7787. [Google Scholar] [CrossRef]
- Xu, R.; He, Q.; Cai, J.; Pan, Y.; Shen, J.; Hu, B. Effects of chemicals and blending petroleum coke on the properties of low-rank Indonesian coal water mixtures. Fuel Process. Technol. 2008, 89, 249–253. [Google Scholar] [CrossRef]
- Zhang, M.; Hu, T.; Ren, G.; Zhu, Z.; Yang, Y. Research on the Effect of Surfactants on the Biodesulfurization of Coal. Energy Fuels 2017, 31, 8116–8119. [Google Scholar] [CrossRef]
- Yi, F.; Gopan, A.; Axelbaum, R.L. Characterization of coal water slurry prepared for PRB coal. J. Fuel Chem. Technol. 2014, 42, 1167–1171. [Google Scholar] [CrossRef]
- Zhou, M.; Huang, K.; Yang, D.; Qiu, X. Development and evaluation of polycarboxylic acid hyper-dispersant used to prepare high-concentrated coal–water slurry. Powder Technol. 2012, 229, 185–190. [Google Scholar] [CrossRef]
- Zhu, J.; Zhang, G.; Liu, G.; Qu, Q.; Li, Y. Investigation on the rheological and stability characteristics of coal–water slurry with long side-chain polycarboxylate dispersant. Fuel Process. Technol. 2014, 118, 187–191. [Google Scholar] [CrossRef]
- Yu, Y.J.; Liu, J.Z.; Hu, Y.X.; Gao, F.Y.; Zhou, J.H.; Cen, K.F. The properties of Chinese typical brown coal water slurries. Energy Sources Part A—Recovery Util. Environ. Eff. 2016, 38, 1176–1182. [Google Scholar] [CrossRef]
- Li, J.; Zhang, G.; Shang, T.; Zhu, J. Synthesis, characterization and application of a dispersant based on rosin for coal-water slurry. Int. J. Min. Sci. Technol. 2014, 24, 695–699. [Google Scholar] [CrossRef]
- Silva, L.F.O.; Oliveira, M.L.S.; Sampaio, C.H.; de Brum, I.A.S.; Hower, J.C. Vanadium and Nickel Speciation in Pulverized Coal and Petroleum Coke Co-combustion. Energy Fuels 2013, 27, 1194–1203. [Google Scholar] [CrossRef]
- Cutruneo, C.M.N.L.; Oliveira, M.L.S.; Ward, C.R.; Hower, J.C.; de Brum, I.A.S.; Sampaio, C.H.; Kautzmann, R.M.; Taffarel, S.R.; Teixeira, E.C.; Silva, L.F.O. A mineralogical and geochemical study of three Brazilian coal cleaning rejects: Demonstration of electron beam applications. Int. J. Coal Geol. 2014, 130, 33–52. [Google Scholar] [CrossRef]
- Zhang, K.; Zhang, X.; Jin, L.E.; Cao, Q.; Li, P. Synthesis and evaluation of a novel dispersant with jellyfish-like 3D structure for preparing coal–water slury. Fuel 2017, 200, 458–466. [Google Scholar] [CrossRef]
- Hu, S.; Li, J.; Liu, K.; Chen, Y. Comparative study on distribution characteristics of anionic dispersants in coal water slurry. Colloids Surf. A Physicochem. Eng. Asp. 2022, 648, 129176. [Google Scholar] [CrossRef]
- Zhu, N.; Zhang, G. Synthesis of Benzylated Hydrophobic Modified Starch and Dispersion Property of Coal Water Slurry. Coal Convers. 2020, 43, 81–88. [Google Scholar]
- Zhu, J.; Wang, P.; Li, Y.; Li, J.; Zhang, G. Dispersion performance and mechanism of polycarboxylates bearing side chains of moderate length in coal-water slurries. Fuel 2017, 190, 221–228. [Google Scholar] [CrossRef]
- Zhu, J.; Zhang, G.; Li, J.; Zhao, F. Synthesis, adsorption and dispersion of a dispersant based on starch for coal–water slurry. Colloids Surf. A Physicochem. Eng. Asp. 2013, 422, 165–171. [Google Scholar] [CrossRef]
- Shen, J.; Fatehi, P.; Ni, Y.H. Biopolymers for surface engineering of paper-based products. Cellulose 2014, 21, 3145–3160. [Google Scholar] [CrossRef]
- Kontturi, E.; Vuorinen, T. Indirect evidence of supramolecular changes within cellulose microfibrils of chemical pulp fibers upon drying. Cellulose 2009, 16, 65–74. [Google Scholar] [CrossRef]
- Ding, C.; Zhu, X.; Ma, X.; Yang, H. Synthesis and Performance of a Novel Cotton Linter Based Cellulose Derivatives Dispersant for Coal-Water Slurries. Polymers 2022, 14, 1103. [Google Scholar] [CrossRef]
- Chen, X.; Liu, M.; Liu, Y.; Chen, Z. Study on Performance of Masson Pine Alkali Lignin Prepared as a Dispersant of Coal Water Slurry. J. Fujian Norm. Univ. Nat. Sci. Ed. 2013, 29, 63–67. [Google Scholar]
- Zhang, K.; Tian, Y.; Zhang, R.; Shi, G.; Zhou, B.; Zhang, G.; Niu, Y.; Tian, Z.; Gong, J. Interactions of amphiphilic humic acid-based polymers with coal and effect on preparation of coal-water slurry. Powder Technol. 2020, 376, 652–660. [Google Scholar] [CrossRef]
- Ionkin, A.S.; Fish, B.M.; Li, Z.R.; Liang, L.; Lewittes, M.E.; Cheng, L.K.; Westphal, C.; Pepin, J.G.; Gao, F. Quaternary phosphonium salts as cationic selective dispersants in silver conductive pastes for photovoltaic applications. Sol. Energy Mater. Sol. Cells 2014, 124, 39–47. [Google Scholar] [CrossRef]
- Du, L.; Zhang, G.H.; Yang, D.D.; Luo, J.; Liu, Y.W.; Zhang, W.B.; Zhang, C.; Li, J.G.; Zhu, J.F. Synthesis of a novel amphoteric copolymer and its application as a dispersant for coal water slurry preparation. R. Soc. Open Sci. 2021, 8, 201480. [Google Scholar] [CrossRef]
- Yi, S.U.; Shuquan, Z.H.U. Slurryability of single chain alkylphenol polyoxyethylene as coal water slurry dispersant. J. China Coal Soc. 2011, 36, 1396–1400. [Google Scholar]
- Zhang, K.; Ma, J.; Lyu, B.; Shi, G.; Zhou, B.; Tian, Y. Influence of “tentacle structure” on the properties of jellyfish-like 3D dispersants based on tannic acid for preparing high-concentrated coal–water slurry. Fuel 2020, 274, 117860. [Google Scholar] [CrossRef]
- Li, P.-W.; Yang, D.-J.; Lou, H.-M.; Qiu, X.-Q. Study on the stability of coal water slurry using dispersion-stability analyzer. J. Fuel Chem. Technol. 2008, 36, 524–529. [Google Scholar] [CrossRef]
- Zhang, W.B.; Luo, J.; Huang, Y.; Zhang, C.; Du, L.; Guo, J.; Wu, J.; Zhang, X.; Zhu, J.F.; Zhang, G.H. Synthesis of a novel dispersant with topological structure by using humic acid as raw material and its application in coal water slurry preparation. Fuel 2020, 262, 116576. [Google Scholar] [CrossRef]
- Ra, H.W.; Yoon, S.M.; Mun, T.Y.; Seo, M.W.; Moon, J.H.; Yoon, S.J.; Kim, J.H.; Lee, J.G.; Jung, M.Z.; Lee, J.D. Influence of surfactants and experimental variables on the viscosity characteristics of coal water mixtures. Korean J. Chem. Eng. 2018, 35, 1219–1224. [Google Scholar] [CrossRef]
- Wang, C.; Hou, Y.; Cao, H.; Wang, T.; Zhou, L.; Zhang, K. Preparation and properties of amphoteric polycarboxylate coal tar pitch water slurry dispersant. Appl. Chem. Ind. 2022, 51, 2215. [Google Scholar]
- Yang, D.; Guo, W.; Li, X.; Wang, Y.; Qiu, X. Effects of molecular weight of grafted sulfonated lignin on its dispersion and adsorption properties as a dispersant for coal water slurries. J. Fuel Chem. Technol. 2013, 41, 20–25. [Google Scholar]
- Yang, D.; Li, X.; Li, H.; Jiang, H.; Li, Q. Application of High-Efficiency Bamboo Lignin-Based Dispersant to Coal Phenol-Water Slurry. J. South China Univ. Technology. Nat. Sci. Ed. 2014, 42, 1–7. [Google Scholar]
- Li, P.; Yang, D.; Qiu, X.; Feng, W. Study on Enhancing the Slurry Performance of Coal–Water Slurry Prepared with Low-Rank Coal. J. Dispers. Sci. Technol. 2014, 36, 1247–1256. [Google Scholar] [CrossRef]
- He, W.; Fatehi, P. Preparation of sulfomethylated softwood kraft lignin as a dispersant for cement admixture. RSC Adv. 2015, 5, 47031–47039. [Google Scholar] [CrossRef]
- Wenxin, J.I.; Liqiong, W. Preparation and Study of High Concentration Coal-water-slurry of Ningdong Coal Suited to Texco Gasification Process. J. Henan Norm. Univ. Nat. Sci. 2011, 39, 92–94. [Google Scholar]
- Gong, Z.; Shuai, L. Lignin condensation, an unsolved mystery. Trends Chem. 2023, 5, 163–166. [Google Scholar] [CrossRef]
- Lu, H.Y.; Li, X.F.; Zhang, C.Q.; Li, W.H.; Xu, D.P. beta-Cyclodextrin grafted on alkali lignin as a dispersant for coal water slurry. Energy Sources Part A–Recovery Util. Environ. Eff. 2019, 41, 1716–1724. [Google Scholar] [CrossRef]
- Zhang, G.; Liu, L.; Li, J.; Shang, T.; Xu, H.; Qiang, Y. Synthesis And properties research of sulfonated humic acid grafted copolymer. Coal Convers. 2013, 36, 92–96. [Google Scholar]
- Doskočil, L.; Grasset, L.; Válková, D.; Pekař, M. Hydrogen peroxide oxidation of humic acids and lignite. Fuel 2014, 134, 406–413. [Google Scholar] [CrossRef]
- Wang, C.-F.; Fan, X.; Zhang, F.; Wang, S.-Z.; Zhao, Y.-P.; Zhao, X.-Y.; Zhao, W.; Zhu, T.-G.; Lu, J.-L.; Wei, X.-Y. Characterization of humic acids extracted from a lignite and interpretation for the mass spectra. RSC Adv. 2017, 7, 20677–20684. [Google Scholar] [CrossRef]
- Ge, L.; Li, J. Study on the Influence of Pulping Process on Rheological Properties of Coal Water Slurry. IOP Conf. Ser. Earth Environ. Sci. 2019, 384, 012107. [Google Scholar] [CrossRef]
- Zhang, G.; Wei, Y.; Li, J.; Niu, Y.; Qu, Q. Synthesis and properties of sulfomethlated humic acid dispersant for coal-water-slurry. Mod. Chem. Ind. 2014, 34, 72. [Google Scholar]
- Wu, J.; Zhang, G.; Zhang, W.; Du, L.; Li, J.; Duan, Q.; Liu, J. New humic acid dispersants and their dispersion to coal water slurries. Appl. Chem. Ind. 2018, 47, 2638–2642. [Google Scholar]
- Zhang, K.; Deng, S.; Li, P.; Jin, L.E.; Cao, Q. Synthesis of a novel humic acid-based polycarboxylic dispersant for coal water slurry. Int. J. Green Energy 2016, 14, 205–211. [Google Scholar] [CrossRef]
- Xiong, W.; Zhang, G.; Zhu, J. Performance of sulfonated naphthol formaldehyde/naphthalene composites dispersant for coal water slurry. Coal Convers. 2013, 36, 40–43. [Google Scholar]
- Shang, Y.; Wang, X.G.; Lei, X.; Shang, L. Performance of Sodium Ligninsulfonate/naphthalene Composites Dispersant. Coal Convers. 2018, 41, 36. [Google Scholar]
- Qiu, X.Q.; Zhou, M.S.; Yang, D.J.; Lou, H.M.; Ouyang, X.P.; Pang, Y.X. Evaluation of sulphonated acetone-formaldehyde (SAF) used in coal water slurries prepared from different coals. Fuel 2007, 86, 1439–1445. [Google Scholar] [CrossRef]
- Lu, H.-Y.; Li, X.-F.; Zhang, C.-Q.; Chen, J.-Y.; Ma, L.-G.; Li, W.-H.; Xu, D.-P. Experiments and molecular dynamics simulations on the adsorption of naphthalenesulfonic formaldehyde condensates at the coal-water interface. Fuel 2020, 264, 116838. [Google Scholar] [CrossRef]
- Hu, S.; Jiang, F.; Li, J.; Wu, C.; Liu, K.; Chen, Y. Understanding the adsorption behaviors of naphthalene sulfonate formaldehyde in coal water slurry. Colloids Surf. A Physicochem. Eng. Asp. 2021, 628, 127245. [Google Scholar] [CrossRef]
- Zhu, J.F.; Zhang, G.H.; Miao, Z.; Shang, T. Synthesis and performance of a comblike amphoteric polycarboxylate dispersant for coal-water slurry. Colloids Surf. A-Physicochem. Eng. Asp. 2012, 412, 101–107. [Google Scholar] [CrossRef]
- Hong, N.L.; Zhang, S.W.; Yi, C.H.; Qiu, X.Q. Effect of Polycarboxylic Acid Used as High-Performance Dispersant on Low-Rank Coal-Water Slurry. J. Dispers. Sci. Technol. 2016, 37, 415–422. [Google Scholar] [CrossRef]
- Xun, W.; Wu, C.; Li, J.; Yang, C.; Leng, X.; Xin, D.; Li, Y. Effect of Functional Polycarboxylic Acid Superplasticizers on Mechanical and Rheological Properties of Cement Paste and Mortar. Appl. Sci. 2020, 10, 5418. [Google Scholar] [CrossRef]
- Wu, H.; Lv, D.; Nie, Y.; Jiang, T.; Li, J.; Gong, S.; Yan, H. Experimental and computational studies of polycarboxylate dispersant effect on the properties of low-rank coal water slurries. Asia-Pac. J. Chem. Eng. 2022, 17, e2837. [Google Scholar] [CrossRef]
- Acet, N.; Eroglu, D. Electrodeposition of Ni/TiC Nanocomposites in the Presence of a Cationic Dispersant. J. Electrochem. Soc. 2018, 165, D31–D36. [Google Scholar] [CrossRef]
- Routray, A.; Senapati, P.K.; Padhy, M.; Das, D.; Mohapatra, R.K. Effect of mixture of a non-ionic and a cationic surfactant for preparation of stabilized high concentration coal water slurry. Int. J. Coal Prep. Util. 2022, 42, 925–940. [Google Scholar] [CrossRef]
- Slaczka, A.; Piszczynski, Z. Effect of selected additives on the stability and rheology of Coal-Water Slurry Fuels (CWSF). Gospod. Surowcami Miner. -Miner. Resour. Manag. 2008, 24, 363–373. [Google Scholar]
- Li, L.; Ma, C.; Hu, S.; He, M.; Yu, H.; Wang, Q.; Cao, X.; You, X. Effect of the benzene ring of the dispersant on the rheological characteristics of coal-water slurry: Experiments and theoretical calculations. Int. J. Min. Sci. Technol. 2021, 31, 515–521. [Google Scholar] [CrossRef]
- Zhao, L.A.; Wang, T.; Guo, K. Study on Rheological Parameters and Hydraulic Gradient of High Concentration Coal Water Slurry. Coal Convers. 2020, 43, 88–96. [Google Scholar]
- Rao, H.; Li, W.; Zhao, F.; Song, Y.; Liu, H.; Zhu, L.; Chen, H. Electrodeposition of High-Quality Ni/SiC Composite Coatings by Using Binary Non-Ionic Surfactants. Molecules 2023, 28, 3344. [Google Scholar] [CrossRef]
- Zhou, C.; Cao, Q.; Chang, H. Influence of dispersant structure on the performance of coal—Water slurry. China Surfactant Deterg. Cosmet. 2015, 45, 404–408. [Google Scholar]
- Miao, Z.; Li, T.; Meng, X.; Chu, R.; Zhang, Y.; Wu, G. Effect of Gemini dispersing additive on performances of coal water slurry prepared from low-rank coal. J. China Univ. Min. Technol. 2013, 42, 1054–1059. [Google Scholar]
- Zhu, J.; Wang, P.; Zhang, G.; Li, J. Synthesis andproperties of comb-like polycarboxylates AMPS/MAA/MAAMPEG. J. Funct. Mater. 2017, 48, 5205–5210. [Google Scholar]
- Guo, J.; Zhang, G.; Zhang, W.; Zhu, J.; Wu, J.; Du, L. Effect on surface hydrophobic modification and slurribility of lignite coal by alkyl ketone dimer. Chem. Ind. Eng. Prog. 2019, 38, 4705–4711. [Google Scholar]
- Zhang, G.; Yang, D.; Zhang, W.; Du, L.; Ren, J.; Ni, M.; Liu, J.; Luo, J. Preparation and properties of polyamide double comb type amphoteric coal water slurry dispersant. Appl. Chem. Ind. 2021, 50, 2088–2094. [Google Scholar]
- Qin, Y.; Yang, D.; Guo, W.; Qiu, X. Investigation of grafted sulfonated alkali lignin polymer as dispersant in coal–water slurry. J. Ind. Eng. Chem. 2015, 27, 192–200. [Google Scholar] [CrossRef]
- Jiang, X.; Chen, S.; Cui, L.; Xu, E.; Chen, H.; Meng, X.; Wu, G. Eco-friendly utilization of microplastics for preparing coal water slurry: Rheological behavior and dispersion mechanism. J. Clean. Prod. 2022, 330, 129881. [Google Scholar] [CrossRef]
- Wang, S.; Liu, J.; Pisupati, S.V.; Li, D.; Wang, Z.; Cheng, J. Dispersion mechanism of coal water slurry prepared by mixing various high-concentration organic waste liquids. Fuel 2021, 287, 119340. [Google Scholar] [CrossRef]
- Li, Y.; Xia, W.; Wen, B.; Xie, G. Filtration and dewatering of the mixture of quartz and kaolinite in different proportions. J. Colloid Interface Sci. 2019, 555, 731–739. [Google Scholar] [CrossRef]
- Hu, P.; Liang, L. The role of hydrophobic interaction in the heterocoagulation between coal and quartz particles. Miner. Eng. 2020, 154, 106421. [Google Scholar] [CrossRef]
- Song, H.; Cao, Z.; Xie, W.; Cheng, F.; Gasem, K.A.M.; Fan, M. Improvement of dispersion stability of filler based on fly ash by adding sodium hexametaphosphate in gas-sealing coating. J. Clean. Prod. 2019, 235, 259–271. [Google Scholar] [CrossRef]
- Huang, X.-T.; Xiao, W.; Zhao, H.-B.; Cao, P.; Hu, Q.-X.; Qin, W.-Q.; Zhang, Y.-S.; Qiu, G.-Z.; Wang, J. Hydrophobic flocculation flotation of rutile fines in presence of styryl phosphonic acid. Trans. Nonferrous Met. Soc. China 2018, 28, 1424–1432. [Google Scholar] [CrossRef]
- Yoon, R.-H.; Flinn, D.H.; Rabinovich, Y.I. Hydrophobic Interactions between Dissimilar Surfaces. J. Colloid Interface Sci. 1997, 185, 363–370. [Google Scholar] [CrossRef] [PubMed]
- Zhang, Y.; Xu, Z.; Tu, Y.; Wang, J.; Li, J. Study on properties of coal-sludge-slurry prepared by sludge from coal chemical industry. Powder Technol. 2020, 366, 552–559. [Google Scholar] [CrossRef]
- Hu, S.X.; Chen, Y.M.; Wu, C.N.; Li, J.G.; Liu, K. The performance and dispersing mechanism of anionic dispersants in slurries prepared by upgraded coal. Colloids Surf. A-Physicochem. Eng. Asp. 2020, 606, 125450. [Google Scholar] [CrossRef]
- Jiang, H.; Yang, D.; Zhou, M. Effect of sodium tripolyphosphate on cws dispersants. Coal Convers. 2011, 34, 29–34. [Google Scholar]
- Shuai, W.; Wang, S.; Sun, T.; Yin, H.; Zu, Y.; Yao, G.; Li, Z.; Qi, Z.; Zhong, M. Improving the steric hindrance effect of linear sulfonated acetone-formaldehyde dispersant and its performance in coal-water slurry. RSC Adv. 2022, 12, 35508–35516. [Google Scholar] [CrossRef] [PubMed]
- Zhang, Y.; Qiu, X.; Wang, W. Development of coal water slurry additives. Mod. Chem. Ind. 2004, 24, 16–19. [Google Scholar]
Disclaimer/Publisher’s Note: The statements, opinions and data contained in all publications are solely those of the individual author(s) and contributor(s) and not of MDPI and/or the editor(s). MDPI and/or the editor(s) disclaim responsibility for any injury to people or property resulting from any ideas, methods, instructions or products referred to in the content. |
© 2023 by the authors. Licensee MDPI, Basel, Switzerland. This article is an open access article distributed under the terms and conditions of the Creative Commons Attribution (CC BY) license (https://creativecommons.org/licenses/by/4.0/).









