Abstract
Alkaloids represent a large family of natural products with diverse structures and bioactivities. These compounds and their derivatives have been widely used in clinics to treat various diseases. The endophytic Aspergillus is a filamentous fungus renowned for its extraordinary ability to produce active natural products of high therapeutic value and economic importance. This review is the first to focus on Aspergillus-derived alkaloids. Through an extensive literature review and data analysis, 263 alkaloids are categorized according to their structural features into those containing cytochalasans, diketopiperazine alkaloids, quinazoline alkaloids, quinoline alkaloids, indole alkaloids, pyrrolidine alkaloids, and others. These metabolites exhibited diverse biological activities, such as antibacterial activity, cytotoxicity, anti-inflammatory activity, and α-glucosidase, ACE, and DPPH inhibitory activities. The bioactivity, structural diversity, and occurrence of these alkaloids are reviewed in detail.
1. Introduction
Endophytic fungi are an important class of plant-associated microorganisms that have provided a bountiful source of bioactive metabolites which benefit human health and have for decades attracted increasing attention from researchers [1,2,3]. Among them, the genus Aspergillus is one of the most widely studied filamentous fungi and renowned for its extraordinary productivity when it comes to active natural products with therapeutic values, making it of economic importance [4,5,6]. At present, the genus Aspergillus is known to comprise more than 340 species, such as the common A. terreus, A. flavipes, A. fumigatus, and A. ochraceus species [7]. These species have been reported to produce a large and chemodiverse range of metabolites, including polyketides, steroids, alkaloids, and terpenoids. These have been shown to exhibit significant anticancer, antibacterial, antifungal, and anti-inflammatory activity properties [6,8].
Alkaloids represent a large family of low-molecular-weight organic compounds containing at least one nitrogen atom. They are mainly derived from amino acids and incorporated in complex cyclic structures. To date, dozens of alkaloids have been separated from endophytic fungi and have been shown to display biodiversity [9]. Some of them have been widely applied to treat a variety of diseases [10]. Examples include vinblastine and vincristine from Talaromyces radicus CrP20 of Catharanthus roseus [11]; 9-methoxycamptothecin and 10-hydroxycamptothecin from Fusarium solani of Apodytes dimidiata E. Mey. ex Arn (Icacinaceae) [12]; camptothecin from Entrophospora infrequens of Nothapodytes foetida (well-known anticancer agents) [13], huperzine A from various endophytic fungi collected from Huperzia sp., and Phlegmariurus sp. (used as a neuroprotective agent) [14]. Thus, the alkaloids have great therapeutic and application value in clinics. It is worthy to continue to explore the alkaloids with novel structures and potent biological activities or new mechanism of action.
Alkaloids are also one of the major types of metabolites produced by Aspergillus species. These alkaloids possess diverse structures with significant physiological effects, including anti-inflammatory activity, antimicrobial activity, cytotoxicity, and α-glucosidase inhibition activity. According to structural features, alkaloids from Aspergillus are mainly divided into cytochalasans, diketopiperazine alkaloids, quinazoline alkaloids, quinoline alkaloids, indole alkaloids, and pyrrolidine alkaloids, though there are others. A number of excellent reviews on the chemical structures and biological activities of alkaloids have been published in recent years [9,10,15,16,17,18,19,20,21,22,23]. Two of these reviews are on alkaloids from Aspergillus genus. In 2020, Xu K., et al. summarized the chemistry and bioactivity of heterocyclic alkaloids from marine-derived Aspergillus species [22]. In 2021, Youssef FS et al. reviewed structures and activities of alkaloids from Aspergillus derived from marine organisms [23]. At present, comprehensive literature with special focus on the alkaloids derived from the plant endophytic fungi Aspergillus have not been retrieved. Herein, this review focuses on structural diversity and bioactivity, as well as source information of alkaloids to fill the research gap. A total of 263 alkaloids (1–263) were comprehensively summarized, including the name of the fungus from which it is derived and its host plant, as well as the compound names, chemical structures, and bioactivity of isolated metabolites. We hope that the review can provide a valuable reference for drug discovery and development of alkaloids derived from plant endophytic fungi Aspergillus species.
2. Methodology
Preparation for the present study began in May 2023, thus this review mainly presents the literature published from January 2004 to May 2023 using the PubMed and Web of Science databases. The literature search was performed using keywords endophytic fungi, Aspergillus, and alkaloids to retrieve information focused on the discovery of natural products. The research papers written in English, and the abstracts in English and full text in Chinese were included in this review.
3. Bioactive Compounds from Plant Endophytic Fungi
3.1. Cytochalasans
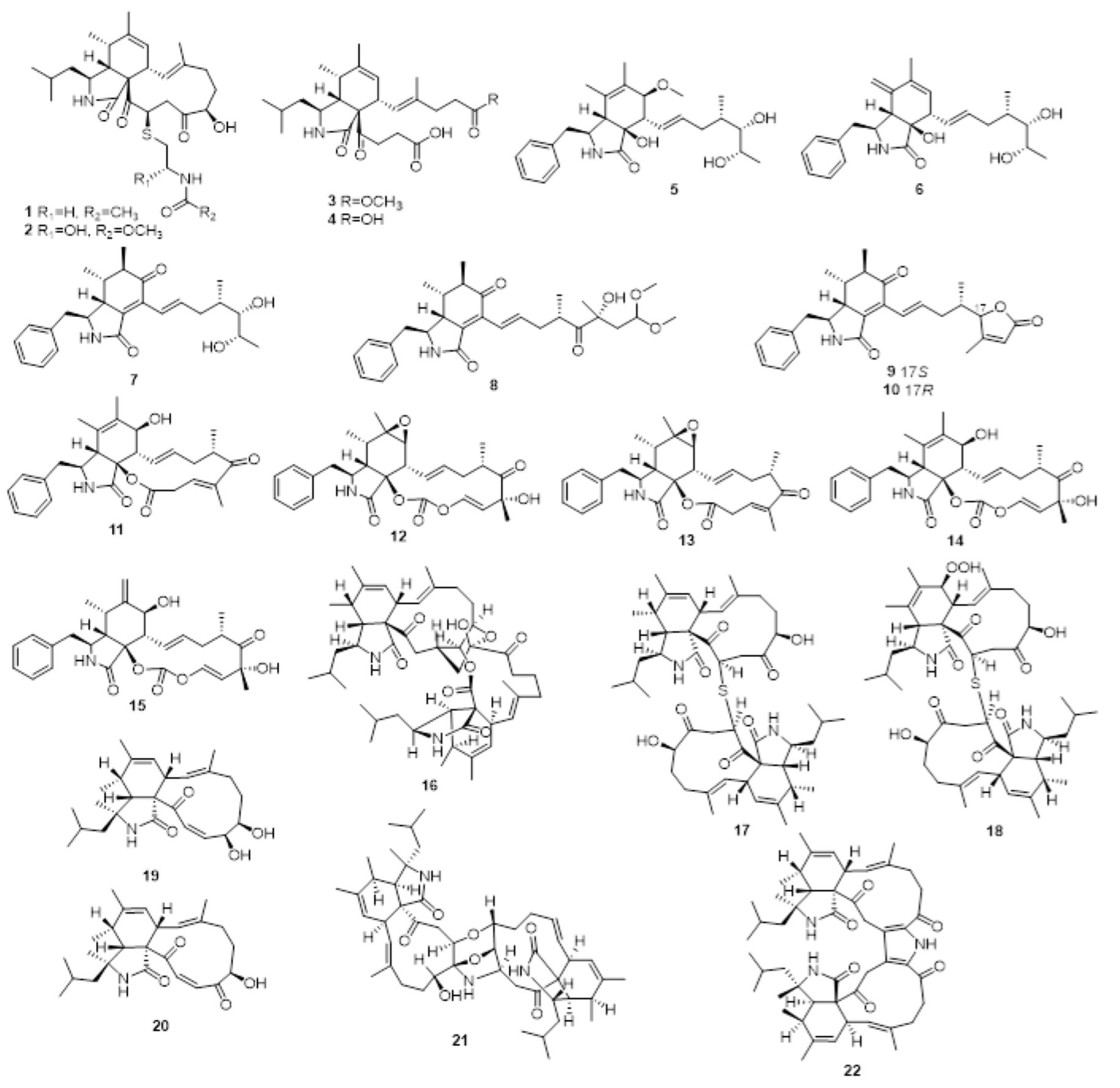
Detailed chemical research into A. micronesiensis from Phyllanthus glaucus revealed new merocytochalasans cyschalasins A (1) and B (2) (Figure 1, Table 1), as well as secochalasins A (3) and B (4). Compounds 1 and 2 possessed moderate antimicrobial activities against methicillin-resistant Staphylococcus aureus (MRSA), Candida albicans, and S. aureus with 50% minimum inhibitory concentration (MIC50) values from 10.6 ± 0.1 to 94.7 ± 1.3 μg/mL, and moderate cytotoxicities against HL60, A549, Hep3B, MCF-7 and SW480 with half maximal inhibitory concentration (IC50) values from 3.0 to 19.9 μM. But compounds 3 and 4 were inactive against these microbials and human cancer cell lines [24].
Figure 1.
Structures of cytochalasans (1−22) produced by the endophytic fungi of the Aspergillus genus.
Table 1.
Cytochalasans from endophytic fungi of Aspergillus genus and their biological activities, metabolite class, fungus, host plant(s), reference.
The endophytic fungus Aspergillus sp., associated with the Pinellia ternata tubers, produced six new seco-cytochalasins A–F (5–10), and three known cytochalasins; cytochalasin Z17 (11), cytochalasin E (12), and rosellichalasin (13). These isolates exhibited cytotoxicity against A549 with IC50 values from 7.8 to 70.2 μM. Compound 9 could reverse multidrug resistance (MDR) in a doxorubicin (DOX)-resistant human breast cancer (MCF7/DOX) cell line at 16 μM [25].
Chemical investigation of A. terreus IFB-E030, a fungus found on Artemisia annua, resulted in the identification of four known metabolites: 12, 13, 5,6-dehydro-7-hydroxy cytochalasin E (14), and Δ6,12-isomer of 5,6-dehydro-7-hydroxy cytochalasin E (15). Compounds 12–15 showed moderate to weak cytotoxicity against KB and HSC-T6 cells and acetylcholinesterase (AChE) [26].
The endophytic fungus A. flavipes KIB-536 collected from Hevea brasiliensis generated three homodimers, bisaspochalasins A−C (16−18), and two known isolates, aspochalasins B (19) and D (20). Compound 16 displayed human T-cell proliferation inhibitory activity with an IC50 of 15.8 μM, and exhibited low cytotoxic activity to T-cells [27]. In addition, A. flavipes KIB-392 collected from Hevea brasiliensis produced new bisaspochalasins D (21) and E (22). Compound 21 showed cytotoxic activity against HL-60, SMMC-7721, A-549, MCF-7, and SW-480 cells with IC50 values in the range of 4.45 to 22.99 μM. Compound 21 also displayed neurite-outgrowth activity for PC12 cells with a differentiation rate of 12.52% at 10 μM [28].
3.2. Diketopiperazine Alkaloids
The chemical research into the endophytic fungus A. fumigatus from the plant stem Erythrophloeum fordii Oliv. (Leguminosae) revealed a new compound, spirotryprostatin K (23) (Figure 2, Table 2), and two known compounds, spiro[5H,10H-dipyrrolo[1,2-a:1′,2′-d]pyrazine-2(3H),2′-[2H]-indole]-3′,5,10(1′H) trione (24) and 6-methoxyspirotryprostatin B (25). None of them inhibited nitric oxide (NO) production with IC50 values beyond 10 μM [29]. Chemical investigation into A. fumigatus D, an endophyte which grows on Edgeworthia chrysantha Lindl., resulted in the isolation of 25, bisdethiobis(methylthio)gliotoxin (26), gliotoxin (27), and spirotryprostatin A (28). Compounds 25 and 26 displayed potent inhibitory activity against C. albicans with the same MIC of 0.39 μg/mL. Compound 28 demonstrated the strongest inhibition on S. aureus and Escherichia coli with the same MIC of 0.39 μg/mL [30].
Figure 2.
Structures of diketopiperazine alkaloids (23−84, and 93) from endophytic fungi of the Aspergillus genus.
The endophytic fungus A. fumigatus LN-4 separated from the stem bark of Melia azedarach generated 24 natural products containing 24, 26, tryprostatin A (29), brevianamide F (30), fumitremorgin B (31), verruculogen (32), cyclotryprostatin B (33), cyclotryprostatin A (34), verruculogen TR-2 (35), 12β-hydroxy-13α-methoxyverruculogen TR-2 (36), and 12β-hydroxyverruculogen TR-2 (37), fumitremorgin C (38), terezine D (39), and cyclo-(Pro-Gly) (40), cyclo-(Pro-Ala) (41), cyclo(D-Pro-L-Ala) (42), cyclo-(Pro-Ser) (43), cyclo-(Ser-trans-4-OH-Pro) (44), cyclo-(Leu-4-OH-Pro) (45), cyclo-(Alatrans-4-OH-Pro) (46), cyclo-(cis−OH-D-Pro-L-Phe) (47), cyclo-(Gly-Phe) (48), cyclo-(Pro-trans-4-OH-Pro) (49), and cyclo-(Gly-Ala) (50) [31]. Continuing research on the fungus A. fumigatus LN-4 using the one strain many compounds (OSMAC) method, compound 25, 12α-fumitremorgin C (51), and 18-oxotryprostatin A (52) were also identified [32]. Compounds 24, 31, 32, and 38 exhibited antifeedant activity against armyworm larvae with antifeedant indexes (AFI) of 5.0%, 50%, 55.0%, and 15.0%, respectively. Compounds 26, 29−33, 35−38, and 46 showed significant and weak toxicities against brine shrimps with median lethal concentration (LC50) values of 13.6−83.7 μg/mL. Compound 30 exhibited inhibition on turnip (Raphanus sativus) shoots and root elongation with a response index (RI) of −0.76 and −0.70 at 120 ppm, respectively, and possesses a potent inhibitory effect on amaranth (Amaranthus mangostanus) seedling growth with high RI of –0.9 at 40 ppm. Compounds 31, 32, and 36 displayed antifungal activity, with MIC values from 6.25 to 50 μg/mL [31,32].
A new metabolite, asperfumigatin (53), together with nine known compounds, 30, 35, 38, demethoxyfumitremorgin C (54), cyclotryprostatin C (55), 12,13-dihydroxyfumitremorgin C (56), 20-hydroxycyclotryprostatin B (57), spirotryprostatin B (58), and 13-dehydroxycyclotryprostatin C (59) were separated from A. fumigatus, an endophyte associated with the Chinese liverwort, Heteroscyphus tener (Steph.) Schiffn. All isolates displayed weak to moderate cytotoxicity against PC3, PC3D, A549, and NCI-H460 cells [33].
A chemical study of A. fumigatus associated with Diphylleia sinensis L. generated a new compound, fumitremorgin D (60), which exhibited thin cytotoxicity on HepG2 with an IC50 value of 47.5 μM [34].
Seven alkaloids—3-isobutypyrrolopiperazine-2,5-dione (61), 3-isopropyl-pyrrolopiperazine-2,5-dione (62), 3-seco-butyl-pyrrolopiperazine-2,5-dione (63), 3-benzyl-pyrrolopiperrazine-2,5-dione (64), 3-benzyl-6-(p-hydroxy benzyl) piperazine-2,5-dione (65), 3,6-dimethylpiperazine-2,5-dione (66), and 3-isobutyl-6-isopropylpiperazine-2,5-dione (67)—were separated from an endophytic Aspergillus sp. TPXq isolated from Saussurea medusa.
All compounds showed weak cytotoxicity against A549 and MCF-7 cell lines with IC50 values beyond 50 μg/mL [35].
The known compounds okaramine A (68) and JBIR 75 (69) were isolated from the endophyte A. aculeatus associated with leaves of the papaya plant Carica papaya. None of them showed cytotoxicity against the L5178Y mouse lymphoma cell line at 10 μg/mL [36].
The endophytic fungus Aspergillus sp. SK-28 isolated from the leaves of a mangrove plant, Kandelia candel, was fermented and yielded (−)-and (+)-asperginulin A (70 and 71), along with three known alkaloids, deoxybrevianamide E (72), brevianamides V (73), and K (74). Compound 71 and 72 showed antifouling activity against the barnacle Balanus reticulatus [37].
The known compounds echinulin (75), tardioxopiperazine B (76), arestrictin A (77), neochinulin D (78), and variecolorin O (79) were identified in A. amstelodami derived from marine white beans. Compounds 75, 76, 78, and 79 inhibited melanin production in B16 cells with IC50 values of 98.0 ± 1.16, 30.8 ± 5.57, 112.0 ± 0.22, and 38.5 ± 6.08 µM, respectively. None of them led to any allergic activity in RBL-2H3 cells [38].
Research into endophyte Aspergillus sp. GZWMJZ-258 derived from Garcinia multiflora (Guttiferae) led to three new indolyl diketopiperazines, gartryprostatins A−C (80−82), which displayed inhibitory activity against MV4-11 cells with IC50 values of 7.2, 10.0, and 0.22 μM, respectively [39].
Research on the endophytic fungus Aspergillus sp. (w-6) which grows on Acanthus ilicifolius resulted in the isolation of two compounds that have been previously reported, acetylaranotin (83) and acetylapoaranotin (84) [40]. Scetylapoaranotin (84) was isolated from the endophytic fungus, A. terreus IFB-E030 collected from Artemisia annua, and exhibited slight inhibitory activity against KB cells, HSC-T6 cells and AChE, with IC50 values of 71.4 ± 15.6, 144.2 ± 11.9 and 127.4 ± 17.3 μM, respectively [26].
The known compounds notoamide B (85) (Figure 3) and selerotiamide (86), isolated from the endophyte A. ochraceus, which grows on the marine brown alga Sargassum kjellmanianum, did not demonstrate any antimicrobial activity against S. aureus, E. coli, or A. niger [41].
Figure 3.
Structures of diketopiperazine alkaloids (85−92, and 94−125) from endophytic fungi of the Aspergillus genus.
The detailed chemical investigation for endophyte A. versicolor F210, associated with the bulbs of Lycoris radiate, generated a new alkaloid, 21-epi-taichunamide D (87), along with four known analogues: dehydronotoamide C (88), notoamide E (89), notoamide Q (90), and (+)-stephacidine A (91). Compound 87 showed cytotoxicity against HL60 and A549 cells with IC50 values of 26.8 and 36.5 μM, respectively. Compound 90 displayed cytotoxicity against HL60 and SW480 with IC50 values of 19.2 and 25.5 μM, respectively. Other compounds were inactive against HL60, SMMC7721, A549, MCF7, SW480, and NCM460 cells with IC50 values beyond 40 μM [42].
The endophyte A. cristatus collected from Pinellia ternate tubers was studied and revealed three new alkaloids, aspergillines A–C (92–94). None of them inhibited Bacillus subtilis and S. aureus [43].
The known compounds 85, versicolamide B (95), taichunamide E (96), and notoamide C (97) were separated from the moss endophyte Aspergillus sp. Compound 85 exhibited obvious inhibition of lipopolysaccharide (LPS)-induced NO production in RAW 264.7; the IC50 value was 49.85 μM [44].
An investigation into endophyte Aspergillus sp. Y-2 harbored on needles of Abies beshanzuensis led to the identification of a new compound, beshanzuamide A (98), together with five known isolates: 72, 85, 89, 91, and asperochramide A (99). None of the metabolites displayed any obvious activity against A549 or HeLa cells with IC50 values beyond 50 μM [45].
Six known alkaloids—72, 95, 97, notoamide D (100), notoamide M (101), and cyclo (D-Pro-L-Trp) (102)—were acquired from the Nicotiana tabacum-derived fungus A. versicolor. All compounds exhibited anti-mosaic virus (TMV) activity with IC50 values from 22.8 to 45.6 μM [46].
A study on Aspergillus sp. 87 derived from mangrove led to the isolation of compounds 28, 30, 58, cyclo(L-Pro-L-tyr) (103), and cyclo-trans-4-OH-(L)-Pro-(L)-Phe (104). None of them displayed antibacterial activity against E. coli, S. aureus, Acinetobacter baumannii, or Pseudomonas aeruginosa [47]. Five new alkaloids, aspergiamides A–E (105–109), and eight known compounds—30, brevianamide Q (110), brevianamide R (111), brevianamide K (112), brevianamide W (113), N-prenyl-cyclo-L-tryptophyl-L-proline (114), epi-deoxybrevianamide E (115), and cyclo-(tryptophyl-phenylalanyl) (116)—were identified from the mangrove endophyte Aspergillus sp. 16-5c. Compounds 105, 107, and 112–114 displayed α-glucosidase inhibition, with IC50 values from 7.6 to 83.9 µM. None of the compounds exhibited significant inhibition of protein tyrosine phosphatase 1B (PTP1B) enzyme [48].
The sea cucumber-derived fungus A. fumigatus M580 was cultivated and the known compounds 25, 26, 30, 56, tryprostatin B (117), cyclo(L-prolinyl-L-phenylalanine) (118), and cyclo(Lprolinyl-L-valine) (119) were obtained. Compound 117 clearly inhibited Enterococcus faecalis, with an MIC value of 64 µg/mL. Compound 118 indicated α-glucosidase inhibition with an inhibition rate of 10.3 ± 0.8% at 100 μg/mL [49].
The endophyte Aspergillus sp. HAB10R12, obtained from the roots of Garcinia scortechinii, was fermented on potato dextrose agar (PDA), yielding three new alkaloids—aspergillinine A (120), C (121) and D (122)—none of which demonstrated cytotoxicity against HepG2 and A549 cells [50].
Comprehensive chemical research into Aspergillus sp., derived from the stem bark of Melia azedarach L revealed three new compounds, aspertryptanthrins A–C (123–125), which exhibited no cytotoxicity against U-2OS, MCF-7, HepG2 or HeLa cells at 50 μM [51].
Table 2.
Diketopiperazine Alkaloids from endophytic fungi of Aspergillus genus and their biological activities, metabolite class, fungus, host plant(s), reference.
Table 2.
Diketopiperazine Alkaloids from endophytic fungi of Aspergillus genus and their biological activities, metabolite class, fungus, host plant(s), reference.
| Fungus | Host Plant(s) | Compounds Isolated | Biological Target | Biological Activity | Reference |
|---|---|---|---|---|---|
| A. fumigatus | Erythrophloeum fordii Oliv. (Leguminosae) | Spirotryprostatin K (23) | Inhibitory activity on NO production | IC50 > 10 μM | [29] |
| Erythrophloeum fordii Oliv. (Leguminosae)/Melia azedarach L. | Spiro[5H,10H-dipyrrolo[1,2-a:1′,2′-d]pyrazine-2(3H),2′-[2H]-indole]-3′,5,10(1′H) trione (24) | Antifeedant activity against armyworm larvae | AFI of 5.0% | [29,31], | |
| A. fumigatus/A. fumigatus D/A. fumigatus LN-4/A.fumigatus M580 | Erythrophloeum fordii Oliv. (Leguminosae)/Edgeworthia chrysantha Lindl./Melia azedarach L./sea cucumber | 6-Methoxyspirotryprostatin B (25) | Inhibitory activity against E. coli, S. aureus, and C. albicans | MIC, 12.5, >25, 0.39 μg/mL | [29,30,31,49], |
| A. fumigatus D/A. fumigatus M580 | Edgeworthia chrysantha Lindl./sea cucumber | Bisdethiobis(methylthio)gliotoxin (26) | Inhibitory activity against E. Coli, S. aureus, C. albicans; Toxicities against Brine Shrimps | MIC, >25, 0.78, 0.39 μg/mL; LC50 of 50%; | [30,49] |
| A. fumigatus D | Edgeworthia chrysantha Lindl. | Gliotoxin (27) | Inhibitory activity against E. Coli, S. aureus, C. albicans; | MIC, 0.78, 6.25, >25 μg/mL | [30] |
| A. fumigatus D/A. fumigatus LN-4/Aspergillus sp. 87 | Edgeworthia chrysantha Lindl./Melia azedarach L/mangrove | Spirotryprostatin A (28) | MIC, 0.39, 0.39, 0.78 μg/mL | [30,31,47] | |
| A. fumigatus LN-4 | Melia azedarach L | Tryprostatin A (29) | Allelopathic activity against lettuce (Lactuca sativa) with response index (RI) of germination rates, root and shoot elongation at 200 ppm; Toxicities against brine shrimps with median lethal concentration (LC50); | RI of 0.82 ± 0.06, −0.13 ± 0.00 and −0.17 ± 0.13, respectively; LC50 of 44.8 μg/mL | [31,47,48,49] |
| A. fumigatus LN-4/Aspergillus sp. 87/Aspergillus sp. 16-5c/A. fumigatus M580 | Melia azedarach L/mangrove/Mangrove/Sea cucumber | Brevianamide F (30) | RI of 0.54 ± 0.08, −0.91 ± 0.01, and −0.88 ± 0.02, respectively LC50 of 83.7 μg/mL | ||
| A. fumigatus LN-4 | Melia azedarach L. | Fumitremorgin B (31) | Allelopathic activity against lettuce (Lactuca sativa) with response index (RI) of germination rates, root and shoot elongation at 200 ppm; Toxicities against brine shrimps with median lethal concentration (LC50); | RI of 0.63 ± 0.06, −0.32 ± 0.02, −0.36 ± 0.07, respectively; LC50 of 13.6 μg/mL | [31] |
| Verruculogen (32) | RI of 0.79 ± 0.08, 0.08 ± 0.03, 0.41 ± 0.01, respectively; LC50 of 15.8 μg/mL | ||||
| Cyclotryprostatin B (33) | RI of 0.74 ± 0.06, −0.33 ± 0.02, 0.00 ± 0.00, respectively; LC50 of 37.9 μg/mL | ||||
| Cyclotryprostatin A (34) | RI of 0.74 ± 0.06, 0.03 ± 0.02, and −0.21 ± 0.07, respectively; LC50 > 100 μg/mL | ||||
| Verruculogen TR-2 (35) | RI of 0.85 ± 0.06, −0.25 ± 0.01, 0.21 ± 0.02, respectively; LC50 of 26.9 μg/mL | ||||
| 12β-Hydroxy-13α-methoxyverruculogen TR-2 (36) | RI of 0.85 ± 0.06, 0.04 ± 0.01, 0.19 ± 0.03, respectively; LC50 of 60.7 μg/mL | ||||
| 12β-Hydroxyverruculogen TR-2 (37) | RI of 0.78 ± 0.00, −0.21 ± 0.01, −0.05 ± 0.01, respectively; LC50 of 73.2 μg/mL | ||||
| Fumitremorgin C (38) | LC50 of 40.5 μg/mL | ||||
| Terezine D (39) | LC50 > 100 μg/mL | ||||
| Cyclo-(Pro-Gly) (40) | LC50 > 100 μg/mL | ||||
| Cyclo-(Pro-Ala) (41) | LC50 > 100 μg/mL | ||||
| Cyclo(D-Pro-L-Ala) (42) | LC50 > 100 μg/mL | ||||
| Cyclo-(Pro-Ser) (43) | LC50 > 100 μg/mL | ||||
| Cyclo-(Ser-trans-4-OH-Pro) (44) | LC50 > 100 μg/mL | ||||
| Cyclo-(Leu-4-OH-Pro) (45) | LC50 > 100 μg/mL | ||||
| Cyclo-(Ala-trans-4-OH-Pro) (46) | LC50 of 66.1 μg/mL | ||||
| Cyclo-(Cis−OH-D-Pro-L-Phe) (47) | LC50 > 100 μg/mL | ||||
| Cyclo-(Gly-Phe) (48) | LC50 > 100 μg/mL | ||||
| Cyclo-(Pro-trans-4-OH-Pro) (49) | LC50 > 100 μg/mL | ||||
| Cyclo-(Gly-Ala) (50) | LC50 > 100 μg/mL | ||||
| 12α-Fumitremorgin C (51) | RI: 0.63 ± 0.06, 0.03 ±0.01, 0.20 ± 0.02, respectively | ||||
| 18-Oxotryprostatin A (52) | RI: 0.82 ± 0.06, −0.06 ± 0.02, −0.34 ± 0.09, respectively | ||||
| A. fumigatus | Heteroscyphus tener (Steph.)Schiffn | Asperfumigatin (53) | Cytotoxicity against PC3, PC3D, A549, and NCI-H460 | IC50, 30.6 ± 0.2, >40, >40, >40 μM | [33] |
| Demethoxyfumitremorgin C (54) | IC50, 32.0 ± 0.5, >40, >40, >40 μM | ||||
| Cyclotryprostatin C (55) | IC50, 33.9 ± 0.2, >40, >40, >40 μM | ||||
| A. fumigatus/A. fumigatus M580 | Heteroscyphus tener (Steph.)Schiffn/sea cucumber | 12,13-Dihydroxyfumitremorgin C (56) | IC50, 36.2 ± 0.4, 39.6 ± 1.0, >40, >40 μM | [33,49] | |
| A. fumigatus | Heteroscyphus tener (Steph.)Schiffn | 20-Hydroxycyclotryprostatin B (57) | IC50, 32.5 ± 0.8, >40, >40, >40 μM | [33] | |
| A. fumigatus/Aspergillus sp. 87 | Heteroscyphus tener (Steph.)Schiffn/mangrove | Spirotryprostatin B (58) | IC50, 35.2 ± 0.5, >40, >40, >40 μM | [33,47] | |
| A. fumigatus | Heteroscyphus tener (Steph.)Schiffn | 3-Dehydroxycyclotryprostatin C (59) | IC50, 35.9 ± 0.6, 39.9 ± 1.3, >40, >40 μM | [34] | |
| A. fumigatus | Diphylleia sinensis | Fumitremorgin D (60) | Cytotoxicity on HepG2 | IC50, 47.5 μM | |
| Aspergillus sp. TPXq | Saussurea medusa | 3-Isobutypyrrolopiperazine-2,5-dione (61) | Cytotoxicities against A549 and MCF-7 cell lines | IC50 > 50 μg/mL | [35] |
| 3-Isopropyl-pyrrolopiperazine-2,5-dione (62) | |||||
| 3-Seco-butyl-pyrrolopiperazine-2,5-dione (63) | |||||
| 3-Benzyl-pyrrolopiperrazine-2,5-dione (64) | |||||
| 3-Benzyl-6-(p-hydroxy benzyl) piperazine-2,5-dione (65) | |||||
| 3,6-Dimethylpiperazine-2,5-dione (66) | |||||
| 3-Isobutyl-6-isopropylpiperazine-2,5-dione (67) | |||||
| A. aculeatus | Carica papaya | Okaramine A (68) | Cytotoxity against L5178Y mouse lymphoma cell line | IC50 > 50 μg/mL | [36] |
| JBIR 75 (69) | |||||
| Aspergillus sp. SK-28 | Kandelia candel | (−)-Asperginulin A (70) | Antifouling activity against the barnacle Balanus reticulatus | Inactive | [37] |
| (+)-Asperginulin A (71) | Antifouling activity | ||||
| Aspergillus sp. SK-28/Aspergillus sp. Y-2/A. versicolor | Kandelia candel/Abies beshanzuensis/Nicotiana tabacum | Deoxybrevianamide E (72) | Antifouling activity against the barnacle Balanus reticulatus; Anti-TMV activities | Antifouling activity; IC50 of 38.7 µM | [37,45,46] |
| Aspergillus sp. SK-28 | Kandelia candel | Brevianamide V (73) | Antifouling activity against the barnacle Balanus reticulatus | Inactive | [37] |
| Brevianamide K (74) | |||||
| A. amstelodami | Marine white beans | Echinulin (75) | Inhibition of melanin production in B16 cells | IC50 of 98.0 ± 1.16 µM | [38] |
| Tardioxopiperazine B (76) | IC50 of 30.8 ± 5.57 µM | ||||
| Arestrictin A (77) | - | ||||
| Neochinulin D (78) | IC50 of 112.0 ± 0.22 µM | ||||
| Variecolorin O (79) | IC50 of 38.5 ± 6.08 µM | ||||
| Aspergillus sp. GZWMJZ-258 | Garcinia multiflora (Guttiferae) | Gartryprostatin A (80) | Inhibitory activity against MV4-11 cells | IC50 of 7.2 μM | [39] |
| Gartryprostatin B (81) | IC50 of 10.0 μM | ||||
| Gartryprostatin C (82) | IC50 of 0.22 μM | ||||
| Aspergillus sp. (w-6) | Acanthus ilicifolius | Acetylaranotin (83) | - | - | [40] |
| Aspergillus sp. (w-6)/A. terreus IFB-E030 | Acanthus ilicifolius/Artemisia annua | Acetylapoaranotin (84) | Cytotoxic activity against KB and HSC-T6 cell lines; AChE inhibition | IC50 of 71.4 ± 15.6, 144.2 ± 11.9 μM IC50 of 127.4 ± 17.3 μM | [26,40] |
| A. ochraceus/Aspergillus sp/Aspergillus sp. Y-2 | Sargassum kjellmanianum/moss/Abies beshanzuensis | Notoamide B (85) | Inhibition on LPS-induced NO production in RAW 264.7; Antimicrobial activity of Staphylococcus aureus, Escherichia coli, and A. niger | IC50 of 49.85 μM; Inactive | [41,44,45] |
| A. ochraceus | Sargassum kjellmanianum | Selerotiamide (86) | antimicrobial activity of Staphylococcus aureus, Escherichia coli, and A. niger | Inactive | [41] |
| A. versicolor F210 | Lycoris radiate | 21-Epi-taichunamide D (87) | Cytotoxicity against HL60 and A549 | IC50 of 26.8 and 36.5 μM | [42] |
| Dehydronotoamide C (88) | Cytotoxicity against HL60, SMMC7721, A549, MCF7, SW480, and NCM460 | IC50 > 40 μM | [42] | ||
| A. versicolor F210/Aspergillus sp. Y-2 | Lycoris radiate/Abies beshanzuensis | Notoamide E (89) | [42,45] | ||
| A. versicolor F210 | Lycoris radiate | Notoamide Q (90) | Cytotoxicity against HL60 and SW480 with | IC50 of 19.2 and 25.5 μM, respectively | [42] |
| A. versicolor F210/Aspergillus sp. Y-2 | Lycoris radiate/Abies beshanzuensis | (+)-Stephacidine A (91) | Cytotoxicity against A549 and the human cervical carcinoma HeLa cells | IC50 > 50 μM | [42,45] |
| A. cristatus | Pinellia ternate | Aspergilline A (92) | Inhibition against Bacillus subtilis and Staphylococcus aureus | Inactive | [43] |
| Aspergilline B (93) | |||||
| Aspergilline C (94) | |||||
| Aspergillus sp. | Moss | Versicolamide B (95) | Inhibition on LPS-induced NO production in RAW 264.7; Anti-TMV activities | Inactive; IC50 of 40.2 μM | [44,46] |
| Taichunamide E (96) | Inhibition on LPS-induced NO production in RAW 264.7 | Inactive; | [44] | ||
| Notoamide C (97) | Inhibition on LPS-induced NO production in RAW 264.7; Anti-TMV activities | Inactive; IC50 of 36.4μM | [44,46] | ||
| Aspergillus sp. Y-2 | Abies beshanzuensis | Beshanzuamide A (98) | Cytotoxicity against A549 and the human cervical carcinoma HeLa cells | IC50 > 50 μM | [45] |
| Asperochramide A (99) | |||||
| A. versicolor | Nicotiana tabacum | Notoamide D (100) | Anti-TMV activities | IC50 of 33.6 μM | [46] |
| Notoamide M (101) | IC50 of 22.8 μM | ||||
| Cyclo (D-Pro-L-Trp) (102) | IC50 of 45.6 μM | ||||
| Aspergillus sp. 87 | Mangrove | Cyclo(L- Pro- L- tyr) (103) | Antibacterial activities against Escherichia coli, Staphylococcus aureus, Acinetobacter baumannii, and Pseudomonas aeruginosa | Inactive | [47] |
| Cyclo-trans-4-OH-(L)-Pro-(L)-Phe (104) | |||||
| Aspergillus sp. 16-5c | Mangrove | Aspergiamide A (105) | Inhibitory activities against α-glucosidase (IC50); PTP1B Inhibition Ratio (%) | IC50 of 18.2 μM; Inhibition Ratio of 20% at 100 μg/mL | [48] |
| Aspergiamide B (106) | IC50 of 130.7 μM; Inhibition Ratio, <10% at 100 μg/mL | ||||
| Aspergiamide C (107) | IC50 of 83.9 μM; Inhibition Ratio, <10% at 100 μg/mL | ||||
| Aspergiamide D (108) | IC50 of 144.2 μM; Inhibition Ratio, <10% at 100 μg/mL | ||||
| Aspergiamide E (109) | IC50 of 1093.5 μM; Inhibition Ratio, <10% at 100 μg/mL | ||||
| Brevianamide Q (110) | IC50 of 198.2 μM; Inhibition Ratio, <10% at 100 μg/mL | ||||
| Brevianamide R (111) | IC50 of 364.3 μM; Inhibition Ratio, <10% at 100 μg/mL | ||||
| Brevianamide K (112) | IC50 of 7.6 μM; Inhibition Ratio, <10% at 100 μg/mL | ||||
| Brevianamide W (113) | IC50 of 40.7 μM; Inhibition Ratio, <10% at 100 μg/mL | ||||
| N-Prenyl-cyclo-L-tryptophyl-L-proline (114) | IC50 of 353.2 μM; Inhibition Ratio, <10% at 100 μg/mL | ||||
| Epi-deoxybrevianamide E (115) | IC50 of 480.5 μM; Inhibition Ratio, <10% at 100 μg/mL | ||||
| Cyclo-(tryptophyl-phenylalanyl) (116) | IC50 of 353.2 μM; Inhibition Ratio, <10% at 100 μg/mL | ||||
| A. fumigatus M580 | Sea cucumber | Tryprostatin B (117) | Inhibition on Enterococcus faecalis | MIC of 64 µg/Ml; | [49] |
| Cyclo(L-prolinyl-L-phenylalanine) (118) | α-Glucosidase inhibition | Inhibiting rate of 10.3 ± 0.8% at 100 μg/Ml; | |||
| Cyclo(Lprolinyl-L-valine) (119) | Antimicrobial activity | Inactive | |||
| Aspergillus sp. HAB10R12 | Garcinia scortechinii | Aspergillinine A (120) | Cytotoxicity against HepG2 and A549 cells | IC50 > 30 μM | [50] |
| Aspergillinine C (121) | |||||
| Aspergillinine D (122) | |||||
| Aspergillus sp. | Melia azedarach L. | Aspertryptanthrin A (123) | Cytotoxicity against U-2OS, MCF-7, HepG2 and HeLa cells | IC50 > 50 μM | [51] |
| Aspertryptanthrin C (124) | |||||
| Aspertryptanthrin D (125) |
“-” not test.
3.3. Quinazoline Alkaloids
Two alkaloids, asperflaloid A (126) (Figure 4, Table 3) and 2-(4-hydroxybenzyl)quinazolin-4(3H)one (127), were obtained from A. flavipes DZ-3, derived from twigs of Eucommia ulmoides Oliver. Compound 127 showed α-glucosidase inhibition with an IC50 value of 750.8 µM [52].
Figure 4.
Structures of diketopiperazine alkaloids (126−171) from endophytic fungi of the Aspergillus genus.
A new quinazoline derivative, versicomide E (128), was identified from the moss endophytic fungus Aspergillus sp. This compound was not found to exhibit anti-inflammatory activity to suppress NO production induced by LPS in RAW 264.7 cells [44].
The known alkaloid isochaetominine (129), from the mangrove-derived fungus A. sp. 87, was devoid of antibacterial activity against P. aeruginosa, S. aureus, A. baumannii, and
E. coli, with MIC values beyond 100 µM [47]. Chaetominine (130) was separated from Saussurea medusa-derived endophyte Aspergillus sp. TPXq. The IC50 values of 130 against A549 and MCF-7 tumor cells were 0.18 and 0.89 μg/mL, respectively [35].
As well as the metabolites 129 and 130, fumiquinazoline J (131) and fumiquinazoline C (132) were also isolated from endophyte A. fumigatus from liverwort Heteroscyphus tener (Steph.) Schiffn.s [33]. Fumiquinazoline J (131) was also identified from mangrove-derived A. fumigatus HQD24 [53]. In addition, 131, 132, and fumiquinazoline D (133) were obtained from A. fumigatus M580 [49]. Compound 131 proved to exert immunosuppression on concanavalin A (ConA)-stimulated T-cell proliferation and LPS-stimulated B-cell proliferation, with IC50 values of 29.38 ± 0.21 and 162.58 ± 2.39 μM, respectively. It also displayed cytotoxicity against Huh7 and HT29 cells, with IC50 values of 9.7 ± 0.9 and 10.3 ± 0.9 μM, respectively [53]. Compounds 129, 130, and 132 showed moderate activity against PC3, with IC50 values of 32.2 ± 0.5, 30.1 ± 0.7, and 27.8 ± 0.4 μM, respectively. Compounds 131 and 132 indicated moderate cytotoxic activity against NCI-H460, with IC50 values of 26.9 ± 0.6 and 33.4 ± 0.7 μM, respectively [33]. The MIC values of 132 and 133 against Enterococcus faecalis were 32 and 32 µg/mL, respectively. The α-glucosidase inhibition ratio of 132 was 13.6% at 100 μg/mL [49].
Detailed chemical investigation of A. nidulans MA-143 associated with Rhizophora stylosa resulted in the discovery of four new metabolites, aniquinazolines A–D (134–137). Compounds 134–137 showed potent brine shrimp lethality activity, with median lethal dose (LD50) values of 1.27, 2.11, 4.95, and 3.42 μΜ, respectively. None of them exhibited cytotoxicity against BEL-7402, MDA-MB-231, HL-60, or K562 cell lines, nor did they display antibacterial activity against E. coli or S. aureus [54]. Compounds 134, 135, 137, and 14-epi-isochaetominine C (138) were obtained from endophyte A. versicolor MA-229 from Lumnitzera racemosa, and 138 had an inhibiting effect on Fusarium graminearum, with an MIC value of 16 μg/mL [55].
A study on Melia azedarach-derived A. fumigatus LN-4 revealed previously reported metabolites—fumiquinazolines F (139), G (140), D (133), and A (141) and tryptoquivaline O (142)—as well as a new alkaloid, 3-hydroxyfumiquinazoline A (143). Compounds 133, 139, 141, and 143 possessed antifeedant activities against armyworm larvae, with AFI values of 10%, 30.0%, 45%, and 7.5%, respectively. Furthermore, compounds 139–142 exerted weak lethality toward brine shrimps, with LC50 values of 55.3, 78.8, 39.7, and 72.8 μg/mL [31].
Quinadoline C (144), identified from Aspergillus sp. HS02 associated with Sonneratia hainanensis, did not show any anti-fungal activity with mango or rubber anthracnose fungus [56].
Two new glucosidated alkaloids, fumigatosides G (145) and H (146), were separated from the mangrove-derived fungus A. fumigatus SAl12 [57].
An extensive investigation of A. fumigatus Y0107 derived from the lateral buds of Crocus sativus Linn (saffron) resulted in the identification of known alkaloids 130, 131, 18-epi-fumiquinazolin C (147), fumigatoside F (148), 2′-epi-fumiquinazoline D (149), and oxoglyantrypine (150). Compound 147 had a mild inhibitory effect on Erwinia sp. with an MIC value of 100 μg/mL. Other compounds did not show any activity against A. tumefaciens, P. agglomerans, R. solanacearum, or Erwinia sp. (MIC > 100 μg/mL) [58].
The marine red algae-derived endophytic fungus A. creber EN-602 was studied, yielding three new diketopiperazines: 3-hydroxyprotuboxepin K (151), 3,15-dehydroprotuboxepin K (152), and versiamide A (153), as well as known analogues brevianamide P (154), protuboxepin J (155), and 156. Compounds 151, 154, and 155 showed ACE inhibition with IC50 values of 11.2, 16.0, and 22.4 μM, respectively. Compounds 152 and 153 exhibited different aquatic bacteria inhibition with MIC values in the range of 8 to 64 μg/mL [59].
A chemical study on the mangrove endophyte Aspergillus sp. 16-5c led to the discovery of a new alkaloid, aspergiamide F (157), along with known metabolites brevianamide M (158) and brevianamide N (159). The IC50 values of compounds 157–159 inhibiting α-glucosidase were 267.3, 67.8, and 362.6 μM, respectively. All the compounds were inactive when it came to PTP1B enzyme activity [48].
The endophyte A. versicolor from Nicotiana tabacum was cultured, producing four new alkaloids, isoaspergillines B–E (153, 160–162), as well as the known compounds (1R,4S)-4-benzyl-1-isopropyl-2,4-dihydro-1H-pyrazino-[2,1-b]quinazoline-3,6-dione (163) and protuboxepin K (164). Compounds 153, 160–164 exhibited mosaic virus TMV inhibitory activity, with IC50 values of 34.8, 37.9, 32.2, 42.4, 39.5, and 35.2 μM, respectively [46].
A study on Sargassum kjellmanianum-derived endophyte A. ochraceus revealed a new compound, 2-hydroxycircumdatin C (165), and two known analogues, circumdatin F (166) and circumdatin C (167). Compound 165 exhibited obvious 2,2-diphenyl-1-picrylhydrazyl (DPPH) inhibition, with an IC50 of 9.9 μM. However, none of them displayed antibacterial activity [41].
The fungus A. terreus IFB-E030 collected from Artemisia annua was found to generate a new compound, 16α-hydroxy-5N-acetylardeemin (168), and two previously reported metabolites, 5N-acetylardeemin (169) and 15b-β-hydroxy-5N-acetylardeemin (170). Compounds 168–170 exhibited AChE inhibitory activity, with IC50 values of 58.3, 149.4, and 116.9 µM, respectively, and showed moderate-to-weak cytotoxicity against KB cells, with IC50 values of 149.6, 106.7, and 61.4 µM, respectively. Compounds 168 and 170 showed mid inhibitory activity against HSC-T6 cells, with IC50 values of 69.2 and 47.3 µM, respectively [26].
Four compounds—168–170 and 5-N-acetyl15b-didehydroardeemin (171)—were purified from endophytic fungus A. fumigatus SPS-02 harbored by Artemisia annua L. Compound 168 reversed MDR in K562/DOX and A549/DDP cell lines with 5.2 ± 0.18-fold, and 8.2 ± 0.23-fold at 5 μM, respectively. Compounds 170 and 171 significantly improved anti-SK-OV-S/DDP cell line activity, with 10.8 ± 0.28-fold, and 8.7 ± 0.21-fold, respectively [60].
Table 3.
Quinazoline Alkaloids from endophytic fungi of Aspergillus genus and their biological activities, metabolite class, fungus, host plant(s), reference.
Table 3.
Quinazoline Alkaloids from endophytic fungi of Aspergillus genus and their biological activities, metabolite class, fungus, host plant(s), reference.
| Fungus | Host Plant(s) | Compounds Isolated | Biological Target | Biological Activity | Reference |
|---|---|---|---|---|---|
| A. flavipes DZ-3 | Eucommia ulmoides Oliver | Asperflaloid A (126) | α-Glucosidase inhibitory and antioxidant activities | Inactive | [52] |
| 2-(4-Hydroxybenzyl)quinazolin-4(3H)one (127) | α-Glucosidase inhibition | IC50 of 750.8 µM | |||
| Aspergillus sp. | Moss | Versicomide E (128) | Anti-inflammatory activity to suppress NO production in RAW 264.7 cells stimulated by LPS | Inactive | [44] |
| Aspergillus sp. 87/A. fumigatus | Mangrove/Heteroscyphus tener (Steph.)Schiffn.s | Isochaetominine (129) | Antibacterial activities against Pseudomonas aeruginosa, Staphylococcus aureus, Acinetobacter baumannii, and Escherichia coli; Cytotoxicity against PC3; | MIC > 100µM; IC50 of 32.2 ± 0.5 µM | [35,47,53] |
| Aspergillus sp. TPXq/A. fumigatus/A. fumigatus Y0107 | Saussurea medusa/Heteroscyphus tener (Steph.)Schiffn.s/Crocus sativus Linn (saffron) | Chaetominine (130) | Cytotoxicity against A549, MCF-7 and PC3 | IC50 of 0.18 μg/mL, 0.89 μg/mL, 30.1 ± 0.7 µM, respectively | [33,35,53,58] |
| A. fumigatus/A. fumigatus HQD24/A. fumigatus Y0107 | Heteroscyphus tener (Steph.)Schiffn.s/mangrove/Crocus sativus Linn (saffron) | Fumiquinazoline J (131) | Immunosuppression on ConA-induced T-cell proliferation and LPS-induced B-cell proliferation | IC50 of 29.38 ± 0.21 and 162.58 ± 2.39 μM, respectively | [33,53,59] |
| Cytotoxicity against Huh7, HT29, NCI-H460 cells | IC50 of 9.7 ± 0.9, 10.3 ± 0.9, and 26.9 ± 0.6 μM, respectively | ||||
| A. fumigatus/A. fumigatus M580 | Heteroscyphus tener (Steph.)Schiffn.s/cucumber | Fumiquinazoline C (132) | Cytotoxicity against PC3, and NCI-H460 | IC50 of 27.8 ± 0.4, and 33.4 ± 0.7 μM, respectively | [33,49] |
| Antimicrobial activity against Enterococcus faecalis | MIC of 32 µg/mL | ||||
| A. fumigatus/A. fumigatus M580/A. fumigatus LN-4 | Heteroscyphus tener (Steph.)Schiffn.s/cucumber/Melia azedarach | Fumiquinazoline D (133) | Antimicrobial activity against Enterococcus faecalis | MIC of 32 µg/mL | [31,49] |
| α-Glucosidase inhibition ratio | Inhibition ratio 13.6% at 100 μg/mL | ||||
| Inhibitory activity against armyworm larvae | AFI of 10% | ||||
| A. nidulans MA-143/A. versicolor MA-229 | Rhizophora stylosa/Lumnitzera racemosa | Aniquinazoline A (134) | Brine shrimp lethality activity | LD50 of 1.27 μΜ | [54,55] |
| Aniquinazoline B (135) | LD50 of 2.11 μΜ | ||||
| A. nidulans MA-143 | Rhizophora stylosa | Aniquinazoline C (136) | LD50 of 4.95 μΜ | [54] | |
| A. nidulans MA-143/A. versicolor MA-229 | Rhizophora stylosa/Lumnitzera racemosa | Aniquinazoline D (137) | LD50 of 3.42 μΜ | [54,55] | |
| A. versicolor MA-229 | Lumnitzera racemosa | 14-Epi-isochaetominine C (138) | Inhibiting effect on Fusarium graminearum | MIC of 16 μg/mL | [55] |
| A. fumigatus LN-4 | Melia azedarach | Fumiquinazoline F (139) | Inhibitory activity against armyworm larvae | AFI of 30% | [31] |
| Lethality toward brine shrimps | LC50 of 55.3 μΜ | ||||
| Fumiquinazoline G (140) | Lethality toward brine shrimps | LC50 of 78.8 μΜ | |||
| Fumiquinazoline A (141) | Inhibitory activity against armyworm larvae | AFI of 40% | |||
| Lethality toward brine shrimps | LC50 of 39.7 μΜ | ||||
| Tryptoquivaline O (142) | Lethality toward brine shrimps | LC50 of 72.8 μΜ | |||
| 3-Hydroxyfumiquinazoline A (143) | Inhibitory activity against armyworm larvae | AFI of 7.5% | |||
| Lethality toward brine shrimps | LC50 of 80.8 μΜ | ||||
| Aspergillus sp. HS02 | Sonneratia hainanensis | Quinadoline C (144) | Anti-fungi activity with mango and rubber anthracnose fungus | Inactive | [56] |
| A. fumigatus SAl12 | Mangrove | Fumigatoside G (145) | - | - | [57] |
| Fumigatoside H (146) | |||||
| A. fumigatus Y0107 | Crocus sativus Linn (saffron) | 18-Epi-fumiquinazolin C (147) | Antimicrobial activity against A. Tumefaciens, P. agglomerans, R. solanacearum, Erwinia sp. | Inhibition on Erwinia sp. with MIC of 100 μg/mL; others MIC > 100 μg/mL | [58] |
| Fumigatoside F (148) | MIC > 100 μg/mL | ||||
| 2′-Epi-fumiquinazoline D (149) | |||||
| Oxoglyantrypine (150) | |||||
| A. creber EN-602 | Marine red algal | 3-Hydroxyprotuboxepin K (151) | ACE inhibition | IC50 of 11.2 μM | [59] |
| 3,15-D K (152) | Aquatic bacteria inhibition | MIC values from 8 to 64 μg/mL | |||
| Versiamide A (153) | MIC values from 16 to 64 μg/mL | ||||
| Brevianamide P (154) | ACE inhibition | IC50 of 16.0 μM | |||
| Protuboxepin J (155) | IC50 of 22.4 μM | ||||
| 156 | - | - | |||
| Aspergillus sp. 16-5c | Mangrove | Aspergiamide F (157) | α-Glucosidase inhibition | IC50 of 267.3 μM | [48] |
| Brevianamide M (158) | IC50 of 67.8 μM | ||||
| Brevianamide N (159) | IC50 of 362.6 μM | ||||
| A. versicolor | Nicotiana tabacum | Isoaspergilline B (153) | TMV inhibitory activities | IC50 of 34.8 μM | [48] |
| Isoaspergilline C (160) | IC50 of 37.9 μM | ||||
| Isoaspergilline D (161) | IC50 of 32.2 μM | ||||
| Isoaspergilline E (162) | IC50 of 42.4 μM | ||||
| (1R,4S)-4-Benzyl-1-isopropyl-2,4-dihydro-1H-pyrazino-[2,1-b]quinazoline-3,6-dione (163) | IC50 of 39.5 μM | ||||
| Protuboxepin K (164) | IC50 of 35.2 μM | ||||
| A. ochraceus | Sargassum kjellmanianum | 2-Hydroxycircumdatin C (165) | DPPH inhibition | IC50 of 9.9 μM; | [41] |
| Antibacterial activity | Inactive | ||||
| Circumdatin F (166) | Antibacterial activity | Inactive | |||
| Circumdatin C (167) | |||||
| A. terreus IFB-E030/A. fumigatus SPS-02 | Artemisia annua | 16α-Hydroxy-5N-acetylardeemin (168) | AChE inhibitory activity | IC50 of 58.3 µM | [26,60] |
| Cytotoxicity against KB cells and HSC-T6 cells | IC50 of 149.6 and 69.2 µM | ||||
| Reverse multidrug resistancce (MDR) in K562/DOX and A549/DDP cell lines | Improving 5.2 ± 0.18-fold, and 8.2 ± 0.23-fold at 5 μM | ||||
| 5N-acetylardeemin (169) | AChE inhibitory activity | IC50 of 149.4 µM | |||
| Cytotoxicity against KB cells | IC50 of 106.7 µM | ||||
| 15b-β-Hydroxy-5N-acetylardeemin (170) | AChE inhibitory activity | IC50 of 116.9 µM | |||
| Cytotoxicity against KB and HSC-T6 cells | IC50 of 61.4 and 67.3 µM | ||||
| Improving anti-SK-OV-S/DDP cell line activity | Improving 10.8 ± 0.28-fold | ||||
| A. fumigatus SPS-02 | Artemisia annua L. | 5-N-acetyl15b-didehydroardeemin (171) | Improving anti-SK-OV-S/DDP cell line activity | Improving 8.7 ± 0.21-fold | [60] |
“-” not test.
3.4. Quinoline Alkaloids
A new 4-phenyl-3,4-dihydroquinolone derivative, 22-epi-aflaquinolone B (172) (Figure 5, Table 4), together with four related known derivatives, aflaquinolone A (173), isoaflaquinolone E (174), 6-deoxyaflaquinolone E (175), and aflaquinolone G (176), were collected from A. versicolor MA-229 of Lumnitzera racemosa. Compound 172 demonstrated anti-gaeumannomyces graminis activity, with an MIC value of 32 μg/mL, and potent Artemia salina brine shrimp lethality, with an LD50 value of 1.73 μM [55].
Figure 5.
Structures of quinoline alkaloids (172−186) from endophytic fungi of the Aspergillus genus.
Research on A. creber EN-602 led to the discovery of 175, 9-hydroxy-3-methoxyviridicatin (177), aflaquinolone F (178), and aflaquinolone E (179). The MICs of 177 against Edwardsiella tarda, E. coli, and Micrococcus luteus were 64, 32, and 32 μg/mL, respectively [59].
The detailed investigation of A. nidulans MA-143 collected from the fresh leaves of Rhizophora stylosa revealed new compounds 173–175, aniduquinolones A−C (180−182), and 14-hydroxyaflaquinolone F (183). The LD50 values of compounds 173, 181, and 182 against brine shrimp (Artemia salina) were 5.5, 7.1, and 4.5 μM, respectively. None of them displayed any obvious cytotoxic or antibacterial activity [61].
Table 4.
Quinoline alkaloids from endophytic fungi of Aspergillus genus and their biological activities, metabolite class, fungus, host plant(s), reference.
Table 4.
Quinoline alkaloids from endophytic fungi of Aspergillus genus and their biological activities, metabolite class, fungus, host plant(s), reference.
| Fungus | Host Plant(s) | Compounds Isolated | Biological Target | Biological Activity | Reference |
|---|---|---|---|---|---|
| A. versicolor MA-229 | Lumnitzera racemosa | 22-Epi-aflaquinolone B (172) | Anti-gaeumannomyces graminis activity | MIC of 32 μg/mL | [55] |
| Brine shrimp lethality of Artemia salina | LD50 of 1.73 μM | ||||
| A. versicolor MA-229/A. nidulans MA-143 | Lumnitzera racemose/Rhizophora stylosa | Aflaquinolone A (173) | Brine shrimp lethality of Artemia salina | LD50 of 5.5 μM | [55,61] |
| Isoaflaquinolone E (174) | Antibacterial activity against Vibrio harveyi | MIC of 64 μg/mL | |||
| A. versicolor MA-229/A. creber EN-602/A. nidulans MA-143 | Lumnitzera racemose/marine red algal/Rhizophora stylosa | 6-Deoxyaflaquinolone E (175) | Antibacterial activity against Vibrio anguillarum | MIC of 64 μg/mL | [55,59,61] |
| A. versicolor MA-229 | Lumnitzera racemosa | Aflaquinolone G (176) | |||
| A. creber EN-602 | Marine red algal | 9-Hydroxy-3-methoxyviridicatin (177) | ACE inhibitory activity | Inactive | [59] |
| Aflaquinolone F (178) | |||||
| Aflaquinolone E (179) | |||||
| A. nidulans MA-143 | Rhizophora stylosa | Aniduquinolone A (180) | Brine shrimp lethality of Artemia salina | Inactive | [61] |
| Aniduquinolone B (181) | LD50 value of 7.1 μM | ||||
| Aniduquinolone C (182) | LD50 value of 4.5 μM | ||||
| 14-Hydroxyaflaquinolone F (183) | Inactive | ||||
| Aspergillus sp | Moss | 6-Hydroxy-3-methoxyviridicatin (184) | Inhibition on LPS-induced NO production in RAW 264.7 cells | IC50 of 22.14 μM | [44] |
| 3-O-methylviridicatol (185) | IC50 of 46.02 μM | ||||
| A. fumigatus CY018 | Cynodon dactylon | Asperfumoid (186) | Antimicrobial activity against Candida albicans | MIC of 75 μg/mL | [62] |
The compounds 6-hydroxy-3-methoxyviridicatin (184) and 3-O-methylviridicatol (185), identified from Aspergillus sp., were found to strongly inhibit NO production induced by LPS in RAW 264.7 cells, with IC50 values of 22.14 and 46.02 μM, respectively [44].
The endophyte A. fumigatus CY018 obtained from the leaf of Cynodon dactylon produced new compound, asperfumoid (186), which acted as an antifungal against C. albicans, with an MIC of 75 μg/mL [62].
3.5. Indole Alkaloids
Chemical research into A. amstelodami generated the compound claudine A (187) (Figure 6, Table 5) [38]. A study on A. fumigatus from Erythrophloeum fordii Oliv. (Leguminosae), resulted in the separation of N-β-lacetyltryptamine (188), which did not inhibit NO production [29].
Figure 6.
Structures of diketopiperazine alkaloids (187−247) from endophytic fungi of the Aspergillus genus.
Table 5.
Indole Alkaloids from endophytic fungi Aspergillus genus and their biological activities, metabolite class, fungus, host plant(s), reference.
The fungus A. fumigatus M580 was investigated, producing a new indole glucoside, named 6-methoxyindole-3-carboxylic acid O-β-D-glucopyranosyl ester (189) which did not exhibit inhibition of C. albicans, S. aureus, Enterococcus faecalis, Salmonella enterica, or E. coli [49].
Two new indolic enamides, terpeptin A (190) and B (191) and known metabolite 192 were isolated from Aspergillus sp. (w-6) growing on Acanthus ilicifolius. The IC50 values of 190−192 against A549 cells were 23.3, 28.0, and 15.0 µM, respectively [40].
1-Acetyl-b-carboline (193) was collected from A. fumigatus HQD24 associated with Rhizophora mucronata. This compound was inactive against HepG2 and conA-induced T-cell proliferation at 10 mg/mL [63].
New alkaloid derivatives, isoaspergilline A (194) and aspergillines F–J (195–199), together with known metabolites aspergilline A (200), aspergilline C (201), and cyclopiamide E (202) were acquired from A. versicolor of Nicotiana tabacum. Compound 194 exhibited anti-TMV activity with an IC50 value of 20.0 μM. Compounds 196 and 199 significantly suppressed TMV, with inhibiting rates of 41.2% and 56.8%, respectively, at 20 μM [46,64].
Fumigaclavine B (203), obtained from A. fumigatus LN-4 of Melia azedarach, showed no toxicity to brine shrimps [31].
Two new metabolites, 9-deacetylfumigaclavine C (204) and 9-deacetoxyfumigaclavine C (205), along with the known compound fumigaclavine C (206), were obtained from A. fumigatus of Cynodon dactylon. Compound 205 exhibited clear inhibition of K562 cells, with an IC50 value of 3.1 µM [65]. Compound 206 was also isolated from Bauhinia guianensis-derived Aspergillus sp. EJC08 [66], Heteroscyphus tener (Steph.) Schiffn-derived A. fumigatus [71], mangrove-derived fungus Aspergillus sp. 87 [47], and mangrove-derived A. fumigatus HQD24 [53]. The bio-assay showed that this compound exhibited cytotoxicity towards PC3, with an IC50 value of 26.6 ± 0.7 μM [33], and immunosuppressive activity against T-cell proliferation induced by ConA, with an IC50 value of 52.13 ± 0.13 μM [53]. It was devoid of antibacterial activity [47].
A study of the fungus A. fumigatus led to the discovery of five new compounds, fumigaclavines D–H (207–211), and three known isolates, 206, festuclavine (212), and fumigaclavine A (213). Compounds 210 and 213 demonstrated clear Veillonella parvula inhibition with the same MIC of 16 µg/mL [67].
A detailed study into A. flavus GZWMJZ-288 from Garcinia multiflora revealed new alkaloids, 19-amino-19-dehydroxy 5-epi-α-cyclopiazonic acid (214/215) and known analogues 19-amino-19-dehydroxy α-cyclopiazonic acid (216/217) and α-cyclopiazonic acid (218). The IC50 values of compounds 214/215, 216/217 and 218 for inhibiting α-glucosidase activity were 41.97 ± 0.97, 232.57 ± 11.45, and 243.95 ± 3.36 μM, respectively [68].
The fungus A. flavipes DZ-3 of Eucommia ulmoides Olive produced the known compound oxaline (219), which displayed no antioxidant or α-glucosidase activity [52].
The fungus A. vesicolor collected from rhizomes of Paris polyphylla var. yunnanensis was studied in depth and generated five new cyclopiazonic acid (CPA) derivatives, aspergillines A−E (220−224). The IC50 values of 220−224 for anti-TMV activity were 15.2, 22.8, 41.3, 37.5, and 48.6 μM, respectively. Compound 224 was inactive against PC3, but compounds 220−224 had obvious cytotoxicity against NB4, A549, SHSY5Y, PC3, and MCF7 cells, with IC50 values ranging from 1.2 to 7.2 μM [69].
Giluterrin (225) was produced by the Axonopus leptostachyus-derived fungus A. terreus P63 and showed inhibitory activity on 786-0, HaCat and PC-3 cells with IC50 values of 22.93 ± 8.67, 49.79 ± 10.74 and 48.55 ± 8.06 μM, respectively [70].
The endophyte A. aculeatus from Carica papaya yielded 10 new alkaloids, aculeatines A–J (226–235), and known compounds 219, N-[(2S)-2-hydroxy-1-oxo-3- phenylpropyl]-L-tryptophan methyl ester (236), N-[(2S)-2hydroxy-1-oxo-3-phenylpropyl]-L-tryptophan (237), acudioxomorpholine (238), and emindole SB (239) [36].
A new alkaloid, aspergillinine B (240), was generated by Aspergillus sp. HAB10R12 of Garcinia, which had inactivity against HepG2 and A549 cells [50].
3.6. Pyrrolidine Alkaloids
The fungus A. ochraceus from Sargassum kjellmanianum generated (11aS)-2,3-dihydro-7-methoxy-1H-pyrrolo[2,1-c][1,4]benzodiazepine-5,11(10H,11aH)-dione (241) (Figure 6, Table 6), which was inactive against E. coli, S. aureus, and A. niger [41]. The fungus A. aculeatus associated with Carica papaya produced 16-keto-aspergillimide (242) [36].
Table 6.
Pyrrolidine Alkaloids from endophytic fungi of Aspergillus and their biological activities, metabolite class, fungus, host plant(s), reference.
The endophyte A. fumigatus was studied and yielded the known metabolites 14-norpseurotin (243) and pseurotin A (244). Compound 243 promoted the neurite outgrowth of PC12 cells at 10.0 µM [65]. Compound 244 was also produced from Aspergillus sp. EJC08 associated with Bauhinia guianensis [66], A. fumigatus associated with Erythrophloeum fordii Oliv [29], A. fumigatus associated with Heteroscyphus tener (Steph.) Schiffn [33], A. fumigatus D associated with Edgeworthia chrysantha Lindl [30], and Aspergillus sp. 87 [47]. Compound 244 exhibited inhibition of S. aureus, B. subtilis, Pseudomonas aeruginosa, and E. coli, with MICs of 15.62, 31.25, 31.25, and 15.62 μg/mL, respectively [66], and inhibited lipopolysaccharide-induced proinflammatory factors in BV2 cells, with an IC50 value of 5.20 µM [29].
A chemical study of A. fumigatus LN-4 obtained from Melia azedarach led to the discovery of 244 and pseurotin A1 (245), which demonstrated nontoxicity toward brine shrimps [31].
A new alkaloid, 11-acetyl-pseurotin A2 (246), and the known compound 11-O-methylpseurotin A (247) were collected from A. fumigatus Y0107 of Crocus sativus Linn (saffron). These compounds were inactive against Pantoea agglomerans, Agrobacterium tumefaciens, Erwinia sp, and Ralstonia solanacearum [58].
3.7. Other Alkaloids
A chemical study on A. amstelodami revealed compounds 248 (Figure 7, Table 7), thymine (249) and adenine (250). Compound 248 was also isolated from A. fumigatus LN-4 obtained from Melia azedarach. Compounds 248 and 250 suppressed melanin production in B16 melanoma cells with IC50 values of 144.7 ± 2.35 and 100.4 ± 3.05 µM, respectively [31,38].
Figure 7.
Structures of diketopiperazine alkaloids (248−263) from endophytic fungi of the Aspergillus genus.
Table 7.
Other Alkaloids from endophytic fungi of Aspergillus and their biological activities, metabolite class, fungus, host plant(s), reference.
The known alkaloid lumichrome (251), obtained from A. fumigatus collected from Erythrophloeum fordii Oliv. (Leguminosae), did not inhibit NO production [29].
The endophyte Aspergillus sp. TJ23 collected from leaves of Hypericum perforatum (St John’ Wort) yielded a new pyridone alkaloid, asperpyridone A (252), which improved glucose uptake in HepG2 cells at 50 μM [71].
New alkaloids 2-Hydroxymethyl-5-(3-oxobutan-2-yl)aminopyran-4(4H)-one (253) and 4-amino-2-hydroxymethylpyridin-5-ol (254) and the known compound 5-hydroxy-2-hydroxymethylpyridine-4(1H)-one (255) were obtained from A. flavus GZWMJZ-288 on Garcinia multiflora. None of them demonstrated any inhibitory activity against gram-positive S. aureus ATCC6538, S. aureus ATCC25923, MRSA, gram-negative Pseudomonas aeruginosa ATCC10145, or E. coli ATCC11775, nor against the pathogenic fungi C. albicans ATCC10231 or C. glabrata ATCC2001 at 100 μg/mL [68].
A study on A. creber EN-602 revealed three previously reported compounds: benzodiazeinedione (256), cyclopeptine (257), and trans-3-(3′-hydroxybenzylidene)-3,4-dihydro-4-methyl-1H-1,4-benzodiazepin2,5-dione (258). None of them showed any AChE inhibitory activity [59].
A new alkaloid, asperflaloid B (259), together with known compounds penipanoid A (260), and fuscoatramide (261) were obtained from A. flavipes DZ-3 of Eucommia ulmoides Oliver. These compounds were inactive against antioxidant and α-glucosidase capacities [52].
A new alkaloid, aspergilamide A (262), obtained from the fungus Aspergillus sp. 87, was devoid of antibacterial activity [47].
N,N’-((1Z,3Z)-1-(4-hydroxy-phenyl)-4-(4-methoxyphenyl)buta-1,3-diene-2,3-diyl)diformamide (263) was isolated from the A. fumigatus HQD24, but it did not display inhibition of splenic lymphocyte growth [53].
4. Summary and Discussion
Endophytic fungi are a promising source for novel secondary metabolites. The genus Aspergillus is a major reservoir of alkaloids with various structures and diverse bioactivities. In this review, a total of 263 alkaloids derived from endophytic Aspergillus (Figure 8), containing 22 cytochalasans, 104 diketopiperazines, 46 quinazolines, 14 quinolines, 54 indoles, 7 pyrrolidines, and 16 others, were acquired from studies on Aspergillus genus in the past decades (Figure 8). Among them, diketopiperazine and indole compounds were the main metabolites derived from plant endophytic fungi of the genus Aspergillus. All these metabolites were identified from 46 Aspergillus strains (Figure 9), of which A. fumigatus accounted for 28.26% (13 strains), followed by A. versicolor (5, 10.87%), A. flavipes (4, 8.70%), A. terreus (2, 4.35%), A. nidulans (2, 4.35%), other species (6, 13.04%) including A. aculeatus (1), A. amstelodami (1), A. cristatus (1), A. creber (1), A. micronesiensis (1), and A. ochraceus (1), and Aspergillus unknown species (14, 30.43%). Detailed analysis revealed that the discovery probability of known alkaloids is high (61.98%) (Figure 10). The microbials inhibited in a special bioenvironment have unique metabolic pathways and potent potential to produce novel bioactive natural products [72]. Therefore, the research of new biological resources is more conducive to the discovery of new biologically active alkaloids. Furthermore, the growing number of Aspergillus genome sequences proved that the potential of biosynthetic metabolites is far from having been mined, and bioinformatics analysis revealed that many biosynthetic gene clusters are silent or have low expression under standard laboratory conditions [4,5]. With the development of new research strategies, such as heterologous expression, epigenetic modifiers, and OSMAC, silent and low-expression biosynthetic gene clusters encoding alkaloids in Aspergillus might be discovered, and more structurally diverse alkaloids with potent pharmaceutical applications will be found for drug research.
Figure 8.
Different classes of Alkaloids from plant endophytic fungi Aspergillus.
Figure 9.
The proportions of Aspergillus species reviewed in this paper.
Figure 10.
The proportion of new and known alkaloids from plant endophytic fungi Aspergillus.
The alkaloids summarized in this literature exhibited antibacterial activity; cytotoxicity; anti-inflammatory activity; and α-glucosidase, ACE, and DPPH inhibitory activities. Many of these metabolites demonstrated potent biological activity. For example, gartryprostatin C (82) displayed potent inhibitory activity against the human FLT3-ITD mutant AML cell line MV4-11, with an IC50 value of 0.22 μM [39]. Asperpyridone A (252) improved glucose uptake and is a potential hypoglycemic agent [71]. However, it is noteworthy that most compounds (114, 43.35%) were inactive in the assays or untested. Further studies for these isolated compounds are necessary to discover their different bioactivity. In addition, some potent active compounds have only been studied in vitro, without further research in vivo and mechanisms of action, which may be limited by the yield of compounds. As we know, some metabolites are generated by endophytic fungi in low quantities under laboratory culture conditions, which make separation difficult and hinder further investigation. Therefore, it requires the interdisciplinary cooperation of chemists, pharmacologists, and biologists to conduct in-depth research on chemical synthesis and modification, as well as genetic regulation to increase the production of active compounds and new analogues, providing chemical research foundation for drug discovery.
5. Conclusions
Plant endophytic fungi have provided abundant resources of natural products with unique structural features and diverse biological activities, which play a critical role for drug development. The plant endophytic Aspergillus is a dominant community in natural products exploration. In this literature, the bioactivity, structural diversity, and biosources of alkaloids derived from plant endophytic Aspergillus species during January 2004 to May 2023 were described. Approximately 263 alkaloids isolated from 46 strains of Aspergillus species were reviewed according to their structural features, including cytochalasans, diketopiperazine alkaloids, quinazoline alkaloids, quinoline alkaloids, indole alkaloids, pyrrolidine alkaloids, and others. Among them, 149 alkaloids have significant physiological activities, such as antibacterial activity, cytotoxicity, anti-inflammatory activity, and α-glucosidase, ACE, and DPPH inhibitory activities. Therefore, these active alkaloids have tremendous potential as lead compounds for the exploitation of new drugs. The interdisciplinary research of chemistry, biology, and pharmacology for alkaloids derived from plant endophytic Aspergillus sp. has attributed to driving the application of alkaloids in the drug discovery and development.
Author Contributions
Literature search and data analysis: J.Z., L.S. and W.F.; Writing—original draft: J.Z. and L.S.; Writing—review and editing: S.S., Y.Z. and L.L. All authors have read and agreed to the published version of the manuscript.
Funding
This work was co-funded by the Beijing Natural Science Foundation (7224358) and the Fundamental Research Funds for the Central Public Welfare Research Institutes (ZZ13-YQ-054, ZXKT22041, and ZXKT18008).
Institutional Review Board Statement
Not applicable.
Informed Consent Statement
Not applicable.
Data Availability Statement
Not applicable.
Conflicts of Interest
The authors declare no conflict of interest.
Abbreviations
| AChE | Acetylcholinesterase |
| AFI | Antifeedant indexes |
| CPA | Cyclopiazonic acid |
| ConA | Concanavalin A |
| IC50 | Half maximal inhibitory concentration |
| LC50 | Median lethal concentration |
| LD50 | Median lethal dose |
| LPS | Lipopolysaccharide |
| MCF7/DOX | Doxorubicin resistant human breast cancer |
| MDR | Multidrug resistance |
| MIC | Minimum inhibitory concentration |
| MRSA | Methicillin-resistant Staphylococcus aureus |
| NO | Nitric oxide |
| OSMAC | One strain many compounds |
| PDA | Potato dextrose agar |
| PTP1B | Protein tyrosine phosphatase 1B |
| RI | Response index |
| TMV | Tobacco mosaic virus |
| Cell lines in the review | |
| 786-0 | Renal cell adenocarcinoma |
| A549 | Lung epithelial cell line |
| A549/DDP | Human lung adenocarcinoma cis-platin resistant |
| Bel-7402 | Papillomavirus endocervical adenocarcinoma |
| BV2 | Microglia |
| B16 | Melanoma cells |
| HepG2 | Hepatocellular carcinoma |
| Hep3B | Hepatocellular carcinoma |
| HL-60 | Promyelocytic leukemia |
| HSC-T6 | Rat hepatic stellate |
| HeLa | Human epithelial carcinoma |
| HT29 | Colorectal cancer |
| Huh7 | Hepatoma |
| HaCat | Human keratinocyte |
| K562 | Myelogenous leukemia |
| K562/DOX | Leukemia doxorubicin resistant cell |
| KB | Papilloma epithelial carcinoma |
| L5178Y | Mouse lymphoblast |
| MCF-7 | Breast ductal carcinoma |
| MDA-MB-231 | Breast epithelial carcinoma |
| MV4-11 | Human acute myeloid leukemi |
| NCI-H460 | Lung giant cell carcinoma |
| NCM460 | Normal colonic epithelial |
| NB4 | Human acute promyelocytic leukemia |
| PC-3 | Prostate adenocarcinoma |
| PC12 | Rat pheochromocytoma |
| RBL-2H3 | Rat basophilic leukemia |
| RAW 264.7 | Murine macrophage |
| SHSY5Y | Neuroblastoma |
| SMMC-7721 | Hepatocarcinoma |
| SW-480 | Colorectal adenocarcinoma |
| U-2OS | Human osteosarcoma |
References
- Tiwari, P.; Bae, H. Endophytic Fungi: Key Insights, Emerging Prospects, and Challenges in Natural Product Drug Discovery. Microorganisms 2022, 10, 360. [Google Scholar] [CrossRef] [PubMed]
- Wen, J.; Okyere, S.K.; Wang, S.; Wang, J.; Xie, L.; Ran, Y.; Hu, Y. Endophytic Fungi: An Effective Alternative Source of Plant-Derived Bioactive Compounds for Pharmacological Studies. J. Fungi 2022, 8, 205. [Google Scholar] [CrossRef]
- Ancheeva, E.; Daletos, G.; Proksch, P. Bioactive Secondary Metabolites from Endophytic Fungi. Curr. Med. Chem. 2020, 27, 1836–1854. [Google Scholar] [CrossRef]
- Sanchez, J.F.; Somoza, A.D.; Keller, N.P.; Wang, C.C. Advances in Aspergillus secondary metabolite research in the post-genomic era. Nat. Prod. Rep. 2012, 29, 351–371. [Google Scholar] [CrossRef] [PubMed]
- Park, H.S.; Jun, S.C.; Han, K.H.; Hong, S.B.; Yu, J.H. Diversity, Application, and Synthetic Biology of Industrially Important Aspergillus Fungi. Adv. Appl. Microbiol. 2017, 100, 161–202. [Google Scholar] [CrossRef] [PubMed]
- Hagag, A.; Abdelwahab, M.F.; Abd El-Kader, A.M.; Fouad, M.A. The endophytic Aspergillus strains: A bountiful source of natural products. J. Appl. Microbiol. 2022, 132, 4150–4169. [Google Scholar] [CrossRef] [PubMed]
- Samson, R.A.; Visagie, C.M.; Houbraken, J.; Hong, S.B.; Hubka, V.; Klaassen, C.H.; Perrone, G.; Seifert, K.A.; Susca, A.; Tanney, J.B.; et al. Phylogeny, identification and nomenclature of the genus Aspergillus. Stud. Mycol. 2014, 78, 141–173. [Google Scholar] [CrossRef]
- Huang, X.; Men, P.; Tang, S.; Lu, X. Aspergillus terreus as an industrial filamentous fungus for pharmaceutical biotechnology. Curr. Opin. Biotechnol. 2021, 69, 273–280. [Google Scholar] [CrossRef]
- Zhang, Y.Y.; Han, T.; Ming, Q.L.; Wu, L.S.; Rahmanc, K.; Qin, L.Q. Alkaloids Produced by Endophytic Fungi: A Review. Nat. Prod. Commun. 2012, 7, 963–968. [Google Scholar] [CrossRef] [PubMed]
- Mondal, A.; Gandhi, A.; Fimognari, C.; Atanasov, A.G.; Bishayee, A. Alkaloids for cancer prevention and therapy: Current progress and future perspectives. Eur. J. Pharmacol. 2019, 858, 172472. [Google Scholar] [CrossRef] [PubMed]
- Palem, P.P.; Kuriakose, G.C.; Jayabaskaran, C. An Endophytic Fungus, Talaromyces radicus, Isolated from Catharanthus roseus, Produces Vincristine and Vinblastine, Which Induce Apoptotic Cell Death. PLoS ONE 2015, 10, e0144476. [Google Scholar] [CrossRef]
- Shweta, S.; Zuehlke, S.; Ramesha, B.T.; Priti, V.; Mohana Kumar, P.; Ravikanth, G.; Spiteller, M.; Vasudeva, R.; Uma Shaanker, R. Endophytic fungal strains of Fusarium solani, from Apodytes dimidiata E. Mey. ex Arn (Icacinaceae) produce camptothecin, 10-hydroxycamptothecin and 9-methoxycamptothecin. Phytochemistry 2010, 71, 117–122. [Google Scholar] [CrossRef]
- Puri, S.C.; Verma, V.; Amna, T.; Qazi, G.N.; Spiteller, M. An endophytic fungus from Nothapodytes foetida that produces camptothecin. J. Nat. Prod. 2005, 68, 1717–1719. [Google Scholar] [CrossRef] [PubMed]
- Daley, S.K.; Cordell, G.A. Biologically Significant and Recently Isolated Alkaloids from Endophytic Fungi. J. Nat. Prod. 2021, 84, 871–897. [Google Scholar] [CrossRef] [PubMed]
- Akaberi, T.; Shourgashti, K.; Emami, S.A.; Akaberi, M. Phytochemistry and pharmacology of alkaloids from Glaucium spp. Phytochemistry 2021, 191, 112923. [Google Scholar] [CrossRef] [PubMed]
- Bhambhani, S.; Kondhare, K.R.; Giri, A.P. Diversity in Chemical Structures and Biological Properties of Plant Alkaloids. Molecules 2021, 26, 3374. [Google Scholar] [CrossRef] [PubMed]
- Kong, Y.R.; Tay, K.C.; Su, Y.X.; Wong, C.K.; Tan, W.N.; Khaw, K.Y. Potential of Naturally Derived Alkaloids as Multi-Targeted Therapeutic Agents for Neurodegenerative Diseases. Molecules 2021, 26, 728. [Google Scholar] [CrossRef]
- Liu, C.; Yang, S.; Wang, K.; Bao, X.; Liu, Y.; Zhou, S.; Liu, H.; Qiu, Y.; Wang, T.; Yu, H. Alkaloids from Traditional Chinese Medicine against hepatocellular carcinoma. Biomed. Pharmacother. 2019, 120, 109543. [Google Scholar] [CrossRef]
- Munekata, P.E.S.; Pateiro, M.; Conte-Junior, C.A.; Dominguez, R.; Nawaz, A.; Walayat, N.; Movilla Fierro, E.; Lorenzo, J.M. Marine Alkaloids: Compounds with In Vivo Activity and Chemical Synthesis. Mar. Drugs 2021, 19, 374. [Google Scholar] [CrossRef]
- Shang, X.F.; Yang, C.J.; Morris-Natschke, S.L.; Li, J.C.; Yin, X.D.; Liu, Y.Q.; Guo, X.; Peng, J.W.; Goto, M.; Zhang, J.Y.; et al. Biologically active isoquinoline alkaloids covering 2014–2018. Med. Res. Rev. 2020, 40, 2212–2289. [Google Scholar] [CrossRef]
- Vrabec, R.; Blunden, G.; Cahlikova, L. Natural Alkaloids as Multi-Target Compounds towards Factors Implicated in Alzheimer’s Disease. Int. J. Mol. Sci. 2023, 24, 4399. [Google Scholar] [CrossRef] [PubMed]
- Xu, K.; Yuan, X.L.; Li, C.; Li, A.X. Recent Discovery of Heterocyclic Alkaloids from Marine-Derived Aspergillus Species. Mar. Drugs 2020, 18, 54. [Google Scholar] [CrossRef] [PubMed]
- Youssef, F.S.; Alshammari, E.; Ashour, M.L. Bioactive Alkaloids from Genus Aspergillus: Mechanistic Interpretation of Their Antimicrobial and Potential SARS-CoV-2 Inhibitory Activity Using Molecular Modelling. Int. J. Mol. Sci. 2021, 22, 1866. [Google Scholar] [CrossRef] [PubMed]
- Wu, Z.; Zhang, X.; Anbari, W.H.A.; Zhou, Q.; Zhou, P.; Zhang, M.; Zeng, F.; Chen, C.; Tong, Q.; Wang, J.; et al. Cysteine Residue Containing Merocytochalasans and 17,18-seco-Aspochalasins from Aspergillus micronesiensis. J. Nat. Prod. 2019, 82, 2653–2658. [Google Scholar] [CrossRef] [PubMed]
- Xin, X.-Q.; Chen, Y.; Zhang, H.; Li, Y.; Yang, M.H.; Kong, L.-Y. Cytotoxic seco-cytochalasins from an endophytic Aspergillus sp. harbored in Pinellia ternata tubers. Fitoterapia 2019, 132, 53–59. [Google Scholar] [CrossRef] [PubMed]
- Ge, H.M.; Peng, H.; Guo, Z.K.; Cui, J.T.; Song, Y.C.; Tan, R.X. Bioactive Alkaloids from the Plant Endophytic Fungus Aspergillus terreus. Planta Med. 2010, 76, 822–824. [Google Scholar] [CrossRef] [PubMed]
- Wang, L.; Yang, J.; Huang, J.P.; Li, J.; Luo, J.; Yan, Y.; Huang, S.X. Bisaspochalasins A-C: Three Cytochalasan Homodimers with Highly Fused Ring System from an Endophytic Aspergillus flavipes. Org. Lett. 2020, 22, 7930–7935. [Google Scholar] [CrossRef] [PubMed]
- Wang, L.; Yu, Z.; Guo, X.; Huang, J.P.; Yan, Y.; Huang, S.X.; Yang, J. Bisaspochalasins D and E: Two Heterocycle-Fused Cytochalasan Homodimers from an Endophytic Aspergillus flavipes. J. Org. Chem. 2021, 86, 11198–11205. [Google Scholar] [CrossRef]
- Shi, Y.S.; Zhang, Y.; Chen, X.Z.; Zhang, N.; Liu, Y.B. Metabolites Produced by the Endophytic Fungus Aspergillus fumigatus from the Stem of Erythrophloeum fordii Oliv. Molecules 2015, 20, 10793–10799. [Google Scholar] [CrossRef]
- Zhang, H.; Ruan, C.; Bai, X.; Chen, J.; Wang, H. Heterocyclic Alkaloids as Antimicrobial Agents of Aspergillus fumigatus D Endophytic on Edgeworthia chrysantha. Chem. Nat. Compd. 2018, 54, 411–414. [Google Scholar] [CrossRef]
- Li, X.J.; Zhang, Q.; Zhang, A.L.; Gao, J.M. Metabolites from Aspergillus fumigatus, an endophytic fungus associated with Melia azedarach, and their antifungal, antifeedant, and toxic activities. J. Agric. Food Chem. 2012, 60, 3424–3431. [Google Scholar] [CrossRef] [PubMed]
- Zhang, Q.; Wang, S.Q.; Tang, H.Y.; Li, X.J.; Zhang, L.; Xiao, J.; Gao, Y.Q.; Zhang, A.L.; Gao, J.M. Potential allelopathic indole diketopiperazines produced by the plant endophytic Aspergillus fumigatus using the one strain-many compounds method. J. Agric. Food Chem. 2013, 61, 11447–11452. [Google Scholar] [CrossRef]
- Xie, F.; Li, X.B.; Zhou, J.C.; Xu, Q.Q.; Wang, X.N.; Yuan, H.Q.; Lou, H.X. Secondary Metabolites from Aspergillus fumigatus, an Endophytic Fungus from the Liverwort Heteroscyphus tener (Steph.) Schiffn. Chem. Biodivers. 2015, 12, 1312–1321, Erratum in Chem. Biodivers. 2015, 12, 1954. [Google Scholar]
- Liang, Z.; Zhang, T.; Zhang, X.; Zhang, J.; Zhao, C. An alkaloid and a steroid from the endophytic fungus Aspergillus fumigatus. Molecules 2015, 20, 1424–1433. [Google Scholar] [CrossRef]
- Tong, Y.C.; HE, L.; Fan, J.J.; Liu, Y.R.; Sun, Y. Secondary metabolites from the Endophyte fungus Aspergillus so. Tpxq. Tpxq. J. Nanjing Univ. Tradit. Chin. Med. 2016, 32, 367–370. [Google Scholar]
- Wang, H.; Eze, P.M.; Hofert, S.P.; Janiak, C.; Hartmann, R.; Okoye, F.B.C.; Esimone, C.O.; Orfali, R.S.; Dai, H.; Liu, Z.; et al. Substituted l-tryptophan-l-phenyllactic acid conjugates produced by an endophytic fungus Aspergillus aculeatus using an OSMAC approach. RSC Adv. 2018, 8, 7863–7872. [Google Scholar] [CrossRef] [PubMed]
- Cai, R.; Jiang, H.; Xiao, Z.; Cao, W.; Yan, T.; Liu, Z.; Lin, S.; Long, Y.; She, Z. (-)- and (+)-Asperginulin A, a Pair of Indole Diketopiperazine Alkaloid Dimers with a 6/5/4/5/6 Pentacyclic Skeleton from the Mangrove Endophytic Fungus Aspergillus sp. SK-28. Org. Lett. 2019, 21, 9633–9636. [Google Scholar] [CrossRef] [PubMed]
- Elsbaey, M.; Sallam, A.; El-Metwally, M.; Nagata, M.; Tanaka, C.; Shimizu, K.; Miyamoto, T. Melanogenesis Inhibitors from the Endophytic Fungus Aspergillus amstelodami. Chem. Biodivers. 2019, 16, e1900237. [Google Scholar] [CrossRef] [PubMed]
- He, W.; Xu, Y.; Fu, P.; Zuo, M.; Liu, W.; Jiang, Y.; Wang, L.; Zhu, W. Cytotoxic Indolyl Diketopiperazines from the Aspergillus sp. GZWMJZ-258, Endophytic with the Medicinal and Edible Plant Garcinia multiflora. J. Agric. Food Chem. 2019, 67, 10660–10666. [Google Scholar] [CrossRef]
- Lin, Z.; Zhu, T.; Fang, Y.; Gu, Q. 1H and 13C NMR assignments of two new indolic enamide diastereomers from a mangrove endophytic fungus Aspergillus sp. Magn. Reson. Chem. 2008, 46, 1212–1216. [Google Scholar] [CrossRef]
- Cui, C.M.; Li, X.M.; Li, C.S.; Sun, H.F.; Gao, S.S.; Wang, B.G. Benzodiazepine Alkaloids from Marine-Derived Endophytic Fungus Aspergillus ochraceus. Helv. Chim. Acta 2009, 92, 1366–1370. [Google Scholar] [CrossRef]
- Li, H.; Xu, Q.; Sun, W.; Zhang, R.; Wang, J.; Lai, Y.; Hu, Z.; Zhang, Y. 21-Epi-taichunamide D and (±)-versicaline A, three unusual alkaloids from the endophytic Aspergillus versicolor F210. Tetra Lett. 2020, 61, 152219. [Google Scholar] [CrossRef]
- Wang, M.L.; Chen, R.; Sun, F.J.; Cao, P.-R.; Chen, X.R.; Yang, M.H. Three alkaloids and one polyketide from Aspergillus cristatus harbored in Pinellia ternate tubers. Tetra Lett. 2021, 68, 152914. [Google Scholar] [CrossRef]
- Wang, N.N.; Liu, C.Y.; Wang, T.; Li, Y.L.; Xu, K.; Lou, H.X. Two New Quinazoline Derivatives from the Moss Endophytic Fungus Aspergillus sp. and Their Anti-inflammatory Activity. Nat. Prod. Bioprospect. 2021, 11, 105–110. [Google Scholar] [CrossRef] [PubMed]
- Zhu, Y.X.; Ding, W.; Hu, J.F.; Xiong, J.; Li, J. Beshanzuamide A, an unprecedented prenylated indole alkaloid produced by Aspergillus sp. Y-2 from the critically endangered conifer Abies beshanzuensis. RSC Adv. 2022, 12, 10534–10539. [Google Scholar] [CrossRef] [PubMed]
- Dai, J.M.; Mi, Q.L.; Li, X.M.; Gang, D.; Yang, G.Y.; Zhang, J.D.; Wang, J.; Li, Y.K.; Yang, H.Y.; Miao, D.; et al. The anti-TMV potency of the tobacco-derived fungus Aspergillus versicolor and its active alkaloids, as anti-TMV activity inhibitors. Phytochemistry 2023, 205, 113485. [Google Scholar] [CrossRef]
- Luo, G.; Lang, J.; She, Z.; Yan, S.; Tian, G.; Li, J.; Liu, L. Nitrogen-Containing Compounds From Mangrove-Derived Fungus Aspergillus sp. 87. Nat. Prod. Commun. 2020, 15, 1–4. [Google Scholar] [CrossRef]
- Ye, G.; Huang, C.; Li, J.; Chen, T.; Tang, J.; Liu, W.; Long, Y. Isolation, Structural Characterization and Antidiabetic Activity of New Diketopiperazine Alkaloids from Mangrove Endophytic Fungus Aspergillus sp. 16-5c. Mar. Drugs 2021, 19, 402. [Google Scholar] [CrossRef]
- Tuan, C.D.; Minh, L.T.H.; Lien, H.T.H.; Chae, J.W.; Yun, H.Y.; Kim, Y.H.; Cuong, P.V.; Huong, D.T.M.; Hung, N.V. A New Indole Glucoside and Other Constituents from the Sea Cucumber-Derived Aspergillus fumigatus M580 and Their Antimicrobial, Cytotoxic, and Inhibitory α-Glucosidase Activities. Rec. Nat. Prod. 2022, 16, 633–638. [Google Scholar] [CrossRef]
- Al-Khdhairawi, A.A.Q.; Loo, J.S.E.; Abd Mutalib, N.; Abd Latip, N.; Manshoor, N.; Abu Bakar, H.; Babu Shivanagere Nagojappa, N.; Weber, J.F. Diketopiperazine and isoindolinone alkaloids from the endophytic fungus Aspergillus sp. HAB10R12. Phytochemistry 2023, 211, 113685. [Google Scholar] [CrossRef]
- Lhamo, S.; Wang, X.B.; Li, T.X.; Wang, Y.; Li, Z.R.; Shi, Y.M.; Yang, M.H.; Kong, L.-Y. Three unusual indole diketopiperazine alkaloids from a terrestrial-derived endophytic fungus, Aspergillus sp. Tetra Lett. 2015, 56, 2823–2826. [Google Scholar] [CrossRef]
- Liu, W.; Liu, Y.; Yang, F.; Han, S.; Zhang, J.; Yang, H.; Cheng, Z.; Li, Q. Asperflaloids A and B from Aspergillus flavipes DZ-3, an Endophytic Fungus of Eucommia ulmoides Oliver. Molecules 2021, 26, 3514. [Google Scholar] [CrossRef] [PubMed]
- Xu, Z.Y.; Zhang, X.X.; Ma, J.K.; Yang, Y.; Zhou, J.; Xu, J. Secondary metabolites produced by mangrove endophytic fungus Aspergillus fumigatus HQD24 with immunosuppressive activity. Biochem. Syst. Ecol. 2020, 93, 104166. [Google Scholar] [CrossRef]
- An, C.Y.; Li, X.M.; Li, C.S.; Wang, M.H.; Xu, G.M.; Wang, B.G. Aniquinazolines A-D, four new quinazolinone alkaloids from marine-derived endophytic fungus Aspergillus nidulans. Mar. Drugs 2013, 11, 2682–2694. [Google Scholar] [CrossRef] [PubMed]
- Luo, H.; Li, X.D.; Li, X.M.; Liu, Y.; Meng, L.H.; Wang, B.G. Secondary metabolites from Aspergillus versicolor MA-229, an endophytic fungus isolated from the mangrove plant Lumnitzera racemosa. Chin. J. Antibiot. 2017, 42, S14–S20. [Google Scholar] [CrossRef]
- Guo, Z.K.; Gai, C.J.; Cai, C.H.; Zeng, Y.B.; Yuan, J.Z.; Men, W.L.; Dai, H.F. Quinadoline C, a new alkaloid from mangrove Sonneratia hainanensis-associated Aspergillus sp. J. Shenzhen Univ. Sci. Eng. 2018, 35, 335–338. [Google Scholar] [CrossRef]
- Guo, S.; Zhou, H.; Huang, X.; Peng, S.; Li, J.; Ding, B.; Tao, Y.; Huang, H. New glucosidated indole-quinazoline alkaloids from mangrove endophytic fungus Aspergillus fumigatus SAl12. Nat. Prod. Res. 2023, 8, 1–6. [Google Scholar] [CrossRef]
- Jiang, Y.; Tong, Y.; Wang, P.; Jiang, C.; Zhou, Q. A New Alkaloid from the Endophytic Fungus of Crocus sativus L., Aspergillus fumigatus Y0107. Rec. Nat. Prod. 2022, 16, 463–470. [Google Scholar] [CrossRef]
- Li, H.L.; Yang, S.Q.; Li, X.M.; Li, X.; Wang, B.G. Structurally diverse alkaloids produced by Aspergillus creber EN-602, an endophytic fungus obtained from the marine red alga Rhodomela confervoides. Bioorg. Chem. 2021, 110, 104822. [Google Scholar] [CrossRef]
- Zhang, H.W.; Ying, C.; Tang, Y.F. Four ardeemin analogs from endophytic Aspergillus fumigatus SPS-02 and their reversal effects on multidrug-resistant tumor cells. Chem. Biodivers. 2014, 11, 85–91. [Google Scholar] [CrossRef]
- An, C.Y.; Li, X.M.; Luo, H.; Li, C.S.; Wang, M.H.; Xu, G.M.; Wang, B.G. 4-Phenyl-3,4-dihydroquinolone derivatives from Aspergillus nidulans MA-143, an endophytic fungus isolated from the mangrove plant Rhizophora stylosa. J. Nat. Prod. 2013, 76, 1896–1901. [Google Scholar] [CrossRef]
- Liu, J.Y.; Song, Y.C.; Zhang, Z.; Wang, L.; Guo, Z.J.; Zou, W.X.; Tan, R.X. Aspergillus fumigatus CY018, an endophytic fungus in Cynodon dactylon as a versatile producer of new and bioactive metabolites. J. Biotechnol. 2004, 114, 279–287. [Google Scholar] [CrossRef] [PubMed]
- Zou, R.; Wei, C.; Zhang, X.; Zhou, D.; Xu, J. Alkaloids from endophytic fungus Aspergillus fumigatus HQD24 isolated from the Chinese mangrove plant Rhizophora mucronata. Nat. Prod. Res. 2022, 36, 5069–5073. [Google Scholar] [CrossRef] [PubMed]
- Yang, G.Y.; Dai, J.M.; Mi, Q.L.; Li, Z.J.; Li, X.M.; Zhang, J.D.; Wang, J.; Li, Y.K.; Wang, W.G.; Zhou, M.; et al. Cyclopiazonic acid type indole alkaloids from Nicotiana tabacum-derived fungus Aspergillus versicolor and their anti-tobacco mosaic virus activities. Phytochemistry 2022, 198, 113137. [Google Scholar] [CrossRef]
- Ge, H.M.; Yu, Z.G.; Zhang, J.; Wu, J.H.; Tan, R.X. Bioactive alkaloids from endophytic Aspergillus fumigatus. J. Nat. Prod. 2009, 72, 753–755. [Google Scholar] [CrossRef]
- Pinheiro, E.A.; Carvalho, J.M.; dos Santos, D.C.; Feitosa Ade, O.; Marinho, P.S.; Guilhon, G.M.; de Souza, A.D.; da Silva, F.M.; Marinho, A.M. Antibacterial activity of alkaloids produced by endophytic fungus Aspergillus sp. EJC08 isolated from medical plant Bauhinia guianensis. Nat. Prod. Res. 2013, 27, 1633–1638. [Google Scholar] [CrossRef]
- Xu, J.; Song, Y.C.; Guo, Y.; Mei, Y.N.; Tan, R.X. Fumigaclavines D-H, new ergot alkaloids from endophytic Aspergillus fumigatus. Planta Med. 2014, 80, 1131–1137. [Google Scholar] [CrossRef]
- He, W.; Xu, Y.; Wu, D.; Wang, D.; Gao, H.; Wang, L.; Zhu, W. New alkaloids from the diversity-enhanced extracts of an endophytic fungus Aspergillus flavus GZWMJZ-288. Bioorg. Chem. 2021, 107, 104623. [Google Scholar] [CrossRef] [PubMed]
- Zhou, M.; Miao, M.M.; Du, G.; Li, X.N.; Shang, S.Z.; Zhao, W.; Liu, Z.H.; Yang, G.Y.; Che, C.T.; Hu, Q.F.; et al. Aspergillines A-E, highly oxygenated hexacyclic indole-tetrahydrofuran-tetramic acid derivatives from Aspergillus versicolor. Org. Lett. 2014, 16, 5016–5019. [Google Scholar] [CrossRef] [PubMed]
- Gubiani, J.R.; Oliveira, M.C.S.; Neponuceno, R.A.R.; Camargo, M.J.; Garcez, W.S.; Biz, A.R.; Soares, M.A.; Araujo, A.R.; Bolzani, V.d.S.; Lisboa, H.C.F.; et al. Cytotoxic prenylated indole alkaloid produced by the endophytic fungus Aspergillus terreus P63. Phytochem. Lett. 2019, 32, 162–167. [Google Scholar] [CrossRef]
- Qiao, Y.; Xu, Q.; Feng, W.; Tao, L.; Li, X.N.; Liu, J.; Zhu, H.; Lu, Y.; Wang, J.; Qi, C.; et al. Asperpyridone A: An Unusual Pyridone Alkaloid Exerts Hypoglycemic Activity through the Insulin Signaling Pathway. J. Nat. Prod. 2019, 82, 2925–2930. [Google Scholar] [CrossRef] [PubMed]
- Song, B.; Li, L.Y.; Shang, H.; Liu, Y.; Yu, M.; Ding, G.; Zou, Z.M. Trematosphones A and B, Two Unique Dimeric Structures from the Desert Plant Endophytic Fungus Trematosphaeria terricola. Org. Lett. 2019, 21, 2139–2142. [Google Scholar] [CrossRef] [PubMed]
Disclaimer/Publisher’s Note: The statements, opinions and data contained in all publications are solely those of the individual author(s) and contributor(s) and not of MDPI and/or the editor(s). MDPI and/or the editor(s) disclaim responsibility for any injury to people or property resulting from any ideas, methods, instructions or products referred to in the content. |
© 2023 by the authors. Licensee MDPI, Basel, Switzerland. This article is an open access article distributed under the terms and conditions of the Creative Commons Attribution (CC BY) license (https://creativecommons.org/licenses/by/4.0/).









