Comparison of Synthetic Methods and Identification of Several Artificial Antigens of Deoxynivalenol
Abstract
1. Introduction
2. Results
2.1. Physical and Chemical Property Test Results of Artificial Antigens
2.1.1. Determination of Protein Concentration
2.1.2. UV Identification
2.1.3. IR Identification
2.1.4. SDS–PAGE Identification
2.2. Immunological Characteristic Test Results of Artificial Antigens
2.2.1. Potency Determination
2.2.2. Sensitivity Determination
2.2.3. Specificity Identification
3. Discussion
3.1. Molecular Design of DON Haptens
3.2. Preparation Method of DON Artificial Antigens
3.3. Analysis of the Immunological Characteristics of DON pAb
4. Materials and Methods
4.1. Reagents and Materials
4.2. Instruments and Equipment
4.3. Test Methods
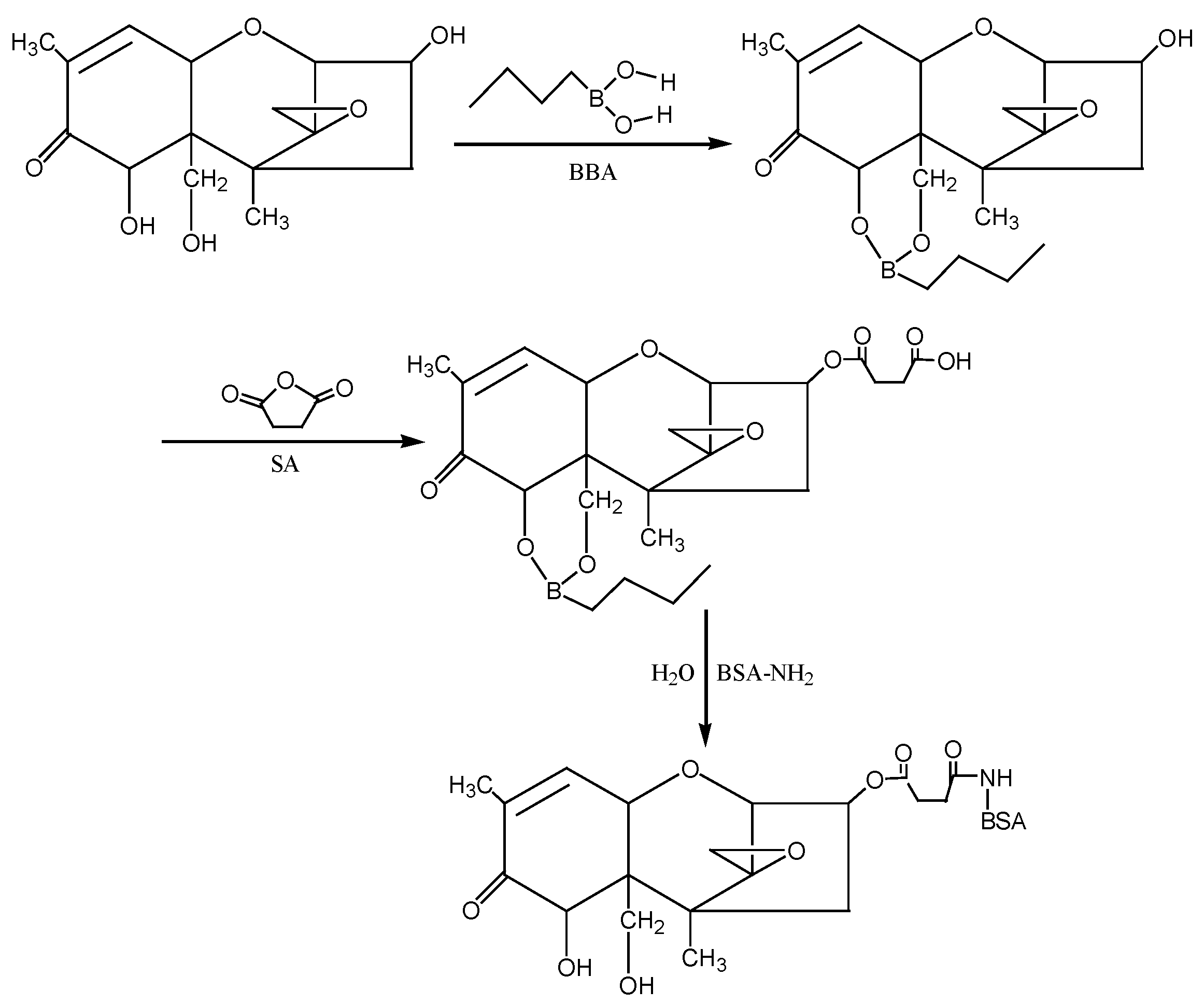
4.3.1. Preparation of DON Artificial Antigens
4.3.2. Identification of the Physical and Chemical Properties of the Artificial Antigen DON-BSA
Determination of Protein Content
UV Scanning Identification
IR Scanning Identification
SDS–PAGE Identification Method
4.3.3. Identification of Immunological Characteristics of Artificial Antigens
Preparation of DON pAb
Determination of the Titre of DON pAb
Determination of DON pAb Sensitivity
Specific Identification of DON pAb
5. Conclusions
Author Contributions
Funding
Institutional Review Board Statement
Informed Consent Statement
Data Availability Statement
Conflicts of Interest
Sample Availability
References
- Zuo, H.G.; Zhu, J.X.; Shi, L.; Zhan, C.R.; Guo, P.; Wang, Y.; Zhang, Y.M.; Liu, J.P. Development of a novel immunoaffinity column for the determination of deoxynivalenol and its acetylated derivatives in cereals. Food Anal. Method 2018, 11, 2252–2260. [Google Scholar] [CrossRef]
- Jiang, D.; Chen, J.; Li, F.; Li, W.; Wang, X. Deoxynivalenol and its acetyl derivatives in bread and biscuits in Shandong province of China. Food Addit. Contam. B 2017, 11, 43–48. [Google Scholar] [CrossRef] [PubMed]
- Dezhao, K.; Xiaoling, W.; Yue, L.; Liqiang, L.; Shanshan, S.; Qiankun, Z.; Hua, K.; Chuanlai, X. Ultrasensitive and eco-friendly immunoassays based monoclonal antibody for detection of deoxynivalenol in cereal and feed samples. Food Chem. 2019, 270, 130–137. [Google Scholar]
- Bennett, J.W.; Klich, M. Mycotoxins. Clin. Microbiol. Rev. 2003, 16, 497–516. [Google Scholar] [CrossRef] [PubMed]
- Mishra, S.; Srivastava, S.; Dewangan, J.; Divakar, A.; Kumar Rath, S. Global occurrence of deoxynivalenol in food commodities and exposure risk assessment in humans in the last decade: A survey. Crit. Rev. Food Sci. Nutr. 2019, 60, 1346–1374. [Google Scholar] [CrossRef]
- Pestka, J.J.; Smolinski, A.T. Deoxynivalenol: Toxicology and potential effects on humans. J. Toxicol. Environ. Health B 2005, 8, 39–69. [Google Scholar] [CrossRef]
- Ji, F.; Li, H.; Xu, J.; Shi, J. Enzyme-linked immunosorbent-assay for deoxynivalenol (DON). Toxins 2011, 3, 968–978. [Google Scholar] [CrossRef]
- Liao, Y.; Peng, Z.; Chen, L.; Nüssler, A.K.; Liu, L.; Yang, W. Deoxynivalenol, gut microbiota and immunotoxicity: A potential approach? Food Chem. Toxicol. 2018, 112, 342–354. [Google Scholar] [CrossRef]
- Young, J.C.; Fulcher, R.G.; Hayhoe, J.H.; Scott, P.M.; Dexter, J.E. Effect of milling and baking on deoxynivalenol (vomitoxin) content of eastern Canadian wheats. J. Agric. Food Chem. 1984, 32, 659–664. [Google Scholar] [CrossRef]
- Nagy, C.M.; Fejer, S.N.; Berek, L.; Molnar, J.; Viskolcz, B. Hydrogen bondings in deoxynivalenol (DON) conformations—A density functional study. J. Mol. Struct. 2005, 726, 55–59. [Google Scholar] [CrossRef]
- Rai, M.; Jogee, P.S.; Ingle, A.P. Emerging nanotechnology for detection of mycotoxins in food and feed. Int. J. Food Sci. Nutr. 2015, 66, 363–370. [Google Scholar] [CrossRef] [PubMed]
- Tima, H.; Berkics, A.; Hannig, Z.; Ittzés, A.; Kecskésné Nagy, E.; Mohácsi-Farkas, C.; Kiskó, G. Deoxynivalenol in wheat, maize, wheat flour and pasta: Surveys in Hungary in 2008–2015. Food Addit. Contam. B 2017, 11, 37–42. [Google Scholar] [CrossRef]
- Park, J.; Chang, H.; Kim, D.; Chung, S.; Lee, C. Long-term occurrence of deoxynivalenol in feed and feed raw materials with a special focus on south Korea. Toxins 2018, 10, 127. [Google Scholar] [CrossRef] [PubMed]
- European Commission. Commission Regulation (EC) No 1881/2006 of 19 December 2006 Setting Maximum Levels for Certain Contaminants in Foodstuffs; European Commission: Brussels, Belgium, 2006. [Google Scholar]
- European Commission. Commission Recommendation of 17 August 2006 on the Presence of Deoxynivalenol, Zearalenone, Ochratoxin A, T-2 and HT-2 and Fumonisins in Products Intended for Animal Feeding; European Commission: Brussels, Belgium, 2006; Volume 229. [Google Scholar]
- Li, M.; Sun, M.; Hong, X.; Duan, J.; Du, D. Survey of deoxynivalenol contamination in agricultural products in the Chinese market using an ELISA kit. Toxins 2019, 11, 6. [Google Scholar] [CrossRef]
- China Food and Drug Administration. China National Standard No. GB2761-2017; Ministry of Health of China: Beijing, China, 2017. [Google Scholar]
- Thapa, A.; Horgan, K.A.; White, B.; Walls, D. Deoxynivalenol and zearalenone—Synergistic or antagonistic agri-food chain co-contaminants? Toxins 2021, 13, 561. [Google Scholar] [CrossRef]
- Mokhtar, H.E.; Xu, A.D.; Xu, Y.; Fadlalla, M.H.; Wang, S.H. Preparation of monoclonal antibody against deoxynivalenol and development of immunoassays. Toxins 2022, 14, 533. [Google Scholar] [CrossRef]
- Han, L.; Li, Y.T.; Jiang, J.Q.; Li, R.F.; Fan, G.Y.; Lv, J.M.; Zhou, Y.; Zhang, W.J.; Wang, Z.L. Development of a direct competitive ELISA kit for detecting deoxynivalenol contamination in wheat. Molecules 2020, 25, 50. [Google Scholar] [CrossRef]
- Tian, Y.; Tan, Y.; Liu, N.; Yan, Z.; Liao, Y.; Chen, J.; De Saeger, S.; Yang, H.; Zhang, Q.; Wu, A. Detoxification of deoxynivalenol via glycosylation represents novel insights on antagonistic activities of trichoderma when confronted with fusarium graminearum. Toxins 2016, 8, 335. [Google Scholar] [CrossRef]
- Ueno, Y.; Nakajima, M.; Sakai, K.; Ishii, K.; Sato, N.; Shimada, N. Comparative toxicology of trichothec mycotoxins: Inhibition of protein synthesis in animal cells. J. Biochem. 1973, 74, 285–296. [Google Scholar]
- Karlovsky, P. Biological detoxification of the mycotoxin deoxynivalenol and its use in genetically engineered crops and feed additives. Appl. Microbiol. Biotechnol. 2011, 91, 491–504. [Google Scholar] [CrossRef] [PubMed]
- Wu, Q.; Dohnal, V.; Kuca, K.; Yuan, Z. Trichothecenes: Structure-toxic activity relationships. Curr. Drug Metab. 2013, 14, 641–660. [Google Scholar] [CrossRef] [PubMed]
- Casale, W.L.; Pestka, J.J.; Hart, L.P. Enzyme-linked immunosorbent assay employing monoclonal antibody specific for deoxynivalenol (vomitoxin) and several analogues. J. Agr. Food Chem. 1988, 36, 663–668. [Google Scholar] [CrossRef]
- Li, Y.; Shi, W.; Shen, J.; Zhang, S.; Cheng, L.; Wang, Z. Development of a rapid competitive indirect ELISA procedure for the determination of deoxynivalenol in cereals. Food Agric. Immunol. 2012, 23, 41–49. [Google Scholar] [CrossRef]
- Wang, Y.N.; Wang, X.F.; Niu, L.L.; Lei, Z.; Zhang, H.T.; Wang, Z.L. Research progress in molecular design of hapten, antigen synthesis and antibody characteristics of aflatoxin B1. Sci. Technol. Food Ind. 2016, 37, 376. [Google Scholar]
- Maragos, C.M.; Mccormick, S.P. Monoclonal antibodies for the mycotoxins deoxynivalenol and 3-acetyl-deoxynivalenol. Food Agric. Immunol. 2000, 12, 181–192. [Google Scholar] [CrossRef]
- Han, L.; Li, Y.T.; Jiang, J.Q.; Li, R.F.; Fan, G.Y.; Lei, Z.; Wang, H.J.; Wang, Z.L.; Zhang, W.J. Preparation and characterization of monoclonal antibodies against deoxynivalenol. Ital. J. Anim. Sci. 2020, 19, 560–568. [Google Scholar] [CrossRef]
- Lee, H.M.; Song, S.O.; Cha, S.H.; Wee, S.B.; Bischoff, K.; Park, S.W.; Son, S.W.; Kang, H.G.; Cho, M.H. Development of a monoclonal antibody against deoxynivalenol for magnetic nanoparticle-based extraction and an enzyme-linked immunosorbent assay. J. Vet. Sci. 2013, 14, 143–150. [Google Scholar] [CrossRef]
- Sun, Z.; Feng, C.W.; Li, Y.; Wu, P.; Feng, J.; Han, J.P. Preparation and identification of monoclonal antibody against vomiting. Progr. Vet. Med. 2012, 33, 90–94. [Google Scholar]
- Deng, S.Z.; You, S.Z.; Xu, Y. Preparation of deoxynivalenol artificial antigen. Food Sci. 2007, 28, 131–134. [Google Scholar]
- Zhang, Y.; Ma, D.Y.; Duan, S.X.; Jiang, X.M.; Wang, S. Preparation of artificial antigen and polyclonal antibody against deoxynivalenol. Food Mach. 2010, 26, 36–39. [Google Scholar]
- Wang, D.J.; Zhou, X.Y.; Jin, T.M. Application of near-infrared spectroscopy in agriculture and food analysis. Spectrosc. Spect. Anal. 2004, 24, 447–450. [Google Scholar]
- Sakamoto, S.; Nagamitsu, R.; Yusakul, G.; Miyamoto, T.; Tanaka, H.; Morimoto, S. Ultrasensitive immunoassay for monocrotaline using monoclonal antibody produced by N, N’-carbonyldiimidazole mediated hapten-carrier protein conjugates. Talanta 2017, 168, 67–72. [Google Scholar] [CrossRef] [PubMed]










| Number | Diluted Multiple of Antiserum | Negative | Blank | |||||||
|---|---|---|---|---|---|---|---|---|---|---|
| 1:200 | 1:400 | 1:800 | 1:1600 | 1:3200 | 1:6400 | 1:12,800 | 1:25,600 | |||
| EDC | 1.779 | 1.43 | 1.029 | 0.617 | 0.323 | 0.169 | 0.136 | 0.115 | 0.064 | 0.055 |
| NHS | 1.285 | 0.878 | 0.569 | 0.182 | 0.085 | 0.079 | 0.075 | 0.068 | 0.062 | 0.060 |
| CDI | 2.182 | 1.724 | 1.279 | 0.809 | 0.446 | 0.256 | 0.164 | 0.135 | 0.089 | 0.075 |
| IBCF | 1.579 | 1.123 | 0.789 | 0.445 | 0.223 | 0.107 | 0.097 | 0.086 | 0.085 | 0.072 |
| Serial Number | Regression Equation | R2 Value | IC50 (ng/mL) |
|---|---|---|---|
| DON-BSA (EDC) | y = −36.744x + 117 | 0.98 | 66.53 |
| DON-BSA (NHS) | y = −35.206x + 119.96 | 0.997 | 97.05 |
| DON-BSA (CDI) | y = −37.056x + 112.23 | 0.97 | 47.75 |
| DON-BSA (IBCF) | y = −33.717x + 113.29 | 0.997 | 75.34 |
| Compounds | DON-BSA (CDI) | DON-BSA (EDC) | DON-BSA (IBCF) | DON-BSA (HS) | ||||
|---|---|---|---|---|---|---|---|---|
| IC50 (ng/mL) | CR (%) | IC50 (ng/mL) | CR (%) | IC50 (ng/mL) | CR (%) | IC50 (ng/mL) | CR (%) | |
| DON | 47.75 | 100 | 70.96 | 100 | 91.35 | 100 | 112.72 | 100 |
| 3-AcDON | 135.2 | 35.3 | 121.9 | 58.2 | 126.5 | 72.2 | 138.4 | 81.4 |
| 15-AcDON | >6.4 × 103 | <1.0 | >6.4 × 103 | <1.0 | >6.4 × 103 | <1.0 | >6.4 × 103 | <1.0 |
| T-2 toxin | >6.4 × 103 | <1.0 | >6.4 × 103 | <1.0 | >6.4 × 103 | <1.0 | >6.4 × 103 | <1.0 |
| ZEN | >6.4 × 103 | <1.0 | >6.4 × 103 | <1.0 | >6.4 × 103 | <1.0 | >6.4 × 103 | <1.0 |
| AFB1 | >6.4 × 103 | <1.0 | >6.4 × 103 | <1.0 | >6.4 × 103 | <1.0 | >6.4 × 103 | <1.0 |
Disclaimer/Publisher’s Note: The statements, opinions and data contained in all publications are solely those of the individual author(s) and contributor(s) and not of MDPI and/or the editor(s). MDPI and/or the editor(s) disclaim responsibility for any injury to people or property resulting from any ideas, methods, instructions or products referred to in the content. |
© 2023 by the authors. Licensee MDPI, Basel, Switzerland. This article is an open access article distributed under the terms and conditions of the Creative Commons Attribution (CC BY) license (https://creativecommons.org/licenses/by/4.0/).
Share and Cite
Han, L.; Li, Y.; Jiang, J.; Liu, C.; Hou, J.; Wang, B.; Wang, Z. Comparison of Synthetic Methods and Identification of Several Artificial Antigens of Deoxynivalenol. Molecules 2023, 28, 2789. https://doi.org/10.3390/molecules28062789
Han L, Li Y, Jiang J, Liu C, Hou J, Wang B, Wang Z. Comparison of Synthetic Methods and Identification of Several Artificial Antigens of Deoxynivalenol. Molecules. 2023; 28(6):2789. https://doi.org/10.3390/molecules28062789
Chicago/Turabian StyleHan, Li, Yuetao Li, Jinqing Jiang, Changzhong Liu, Jie Hou, Bo Wang, and Ziliang Wang. 2023. "Comparison of Synthetic Methods and Identification of Several Artificial Antigens of Deoxynivalenol" Molecules 28, no. 6: 2789. https://doi.org/10.3390/molecules28062789
APA StyleHan, L., Li, Y., Jiang, J., Liu, C., Hou, J., Wang, B., & Wang, Z. (2023). Comparison of Synthetic Methods and Identification of Several Artificial Antigens of Deoxynivalenol. Molecules, 28(6), 2789. https://doi.org/10.3390/molecules28062789

