Next Article in Journal
Optimization of Extraction Conditions for Water-Soluble Polysaccharides from the Roots of Adenophora tetraphylla (Thunb.) Fisch. and Its Effects on Glucose Consumption on HepG2 Cells
Next Article in Special Issue
A Series of Novel 1-H-isoindole-1,3(2H)-dione Derivatives as Acetylcholinesterase and Butyrylcholinesterase Inhibitors: In Silico, Synthesis and In Vitro Studies
Previous Article in Journal
Isolation Techniques, Structural Characteristics, and Pharmacological Effects of Phellinus Polysaccharides: A Review
Previous Article in Special Issue
Design, Synthesis, and Biological Evaluation of Novel Coumarin Analogs Targeted against SARS-CoV-2
 
 
Font Type:
Arial Georgia Verdana
Font Size:
Aa Aa Aa
Line Spacing:
Column Width:
Background:
Article

New 3-(Dibenzyloxyphosphoryl)isoxazolidine Conjugates of N1-Benzylated Quinazoline-2,4-diones as Potential Cytotoxic Agents against Cancer Cell Lines

by
Magdalena Łysakowska
1,
Iwona E. Głowacka
1,
Ewelina Honkisz-Orzechowska
2,
Jadwiga Handzlik
2 and
Dorota G. Piotrowska
1,*
1
Bioorganic Chemistry Laboratory, Faculty of Pharmacy, Medical University of Lodz, Muszynskiego 1, 90-151 Lodz, Poland
2
Department of Technology and Biotechnology of Drugs, Faculty of Pharmacy, Jagiellonian University Medical College, Medyczna 9, 30-688 Krakow, Poland
*
Author to whom correspondence should be addressed.
Molecules 2024, 29(13), 3050; https://doi.org/10.3390/molecules29133050
Submission received: 15 May 2024 / Revised: 24 June 2024 / Accepted: 25 June 2024 / Published: 27 June 2024

Abstract

In this study, a new series of cis and trans 5-substituted-3-(dibenzyloxyphosphoryl)isoxazolidines 16ag were synthesized by the 1,3-dipolar cycloaddition reaction of N-benzyl-C-(dibenzyloxyphosphoryl)nitrone and selected N1-allyl-N3-benzylquinazoline-2,4-diones. All the obtained trans-isoxazolidines 16ag and the samples enriched in respective cis-isomers were evaluated for anticancer activity against three tumor cell lines. All the tested compounds exhibited high activity against the prostate cancer cell line (PC-3). Isoxazolidines trans-16a and trans-16b and diastereoisomeric mixtures of isoxazolidines enriched in cis-isomer using HPLC, namely cis-16a/trans-16a (97:3) and cis-16b/trans-16b (90:10), showed the highest antiproliferative properties towards the PC-3 cell line (IC50 = 9.84 ± 3.69–12.67 ± 3.45 μM). For the most active compounds, induction apoptosis tests and an evaluation of toxicity were conducted. Isoxazolidine trans-16b showed the highest induction of apoptosis. Moreover, the most active compounds turned out safe in vitro as none affected the cell viability in the HEK293, HepG2, and HSF cellular models at all the tested concentrations. The results indicated isoxazolidine trans-16b as a promising new lead structure in the search for effective anticancer drugs.

Graphical Abstract

1. Introduction

Among various heterocyclic systems, isoxazolidine derivatives have numerous applications in organic synthesis and medicinal chemistry [1]. Compounds functionalized with an isoxazolidine moiety show a broad spectrum of biological activity, e.g., anticancer [2,3,4,5,6,7,8,9,10,11,12,13,14,15], antifungal [16,17,18], antibacterial [17,18,19,20,21], antiviral [2,10,22,23,24], antioxidant [25,26], anti-inflammatory [27], and antidiabetic [28,29]. Additionally, the isoxazolidine ring occurs in the structure of several alkaloids, e.g., 13 (Figure 1) isolated from various species of plants, aquatic invertebrates, and amphibians [30,31,32,33]. Among them, zetekitoxin AB (1) was found to be a potent blocker of voltage-dependent sodium channels expressed in Xenopus oocytes [30,31], while pyrinodemin A (2) isolated from the sea sponge Amphimedon was cytotoxic towards the murine leukemia cell line (L1210) (IC50 = 0.058 µg/mL) and the epidermoid carcinoma cell line (KB) (IC50 = 0.5 µg/mL) [32]. Although the biological activity of the trace racemic alkaloid Setigerumine I (3) naturally occurring in Papaveraceae family plants has not yet been investigated, studies on its biosynthetic availability have been undertaken [33].
The idea of the replacement of an isoxazolidine moiety by a furanose ring in nucleosides was first described by Tronchet and co-workers [34]. It resulted in the discovery of several isoxazolidine analogs of nucleosides and nucleotides exhibiting anticancer activity (Figure 2 and Figure 3). Cytotoxic activity of 1,2,3-triazole-isoxazolidine hybrids 4 (Figure 2) towards thyroid cancer cell lines (FTC-133) (IC50 = 3.87–3.95 µM) was recognized [4]. Compound 5 (Figure 2) showed an antitumor effect against the Jurkat cell line (IC50 = 8.8 ± 4.4 µM) [5]. Inhibitory properties of N-phenylisoxazolidines 6 (Figure 2) against colorectal adenoma cancer cell line growth (HT-29) (GI = 42–57%) were higher than those for the known anticancer drugs Mitomycin C (GI = 31%) and 5-Fluorouracil (GI = 34%), while the activity of 6 towards the breast cancer cell line was found to be (MCF-7) (GI = 26%), comparable to 5-Fluorouracil (GI = 31%) [6].
Among isoxazolidine analogs of nucleotides, compounds of general formula 7 (Figure 3) revealed cytotoxic activity against the human lung fibroblast cell line (HEL) (IC50 = 40.0–43.0 µM) [7]. 5-Naphthylisoxazolidines 8 (Figure 3) induced apoptosis in the HeLa and K562 cell lines with IC50 values of 0.05–0.2 mM and 0.03–0.2 mM for the HeLa and K562 cell lines, respectively [8]. A similar cytotoxicity of 3-(diethoxyphosphoryl)isoxazolidines 9 (Figure 3) towards K562 was also observed (IC50 = 0.07–0.09 mM) [9]. On the other hand, C-nucleotides 10 (Figure 3) exhibited anticancer activity against the human lymphocyte cell line (CEM) (IC50 = 9.6 ± 2.2–10.0 ± 0 µM), higher than 5-Fluorouracil used as the reference drug (IC50 = 18.0 ± 5.0 µM) [10]. Homonucleotides 11 and 12 (Figure 3) containing a methylene group incorporated between a modified nucleobase and isoxazolidine ring were found to be active anticancer compounds. Isoxazolidines 11 inhibited the proliferation of the murine leukemia cell line (L1210) at an IC50 = 33 ± 3.5 µM [3], whereas nucleotides 12 with a functionalized quinazoline-2,4-dione moiety as a false nucleobase were cytotoxic towards the CEM cell line (IC50 = 10.0 ± 6.0–17.0 ± 3.0 µM) [2].
Incorporation of the quinazoline-2,4-dione motif into the structure of compounds with the desired pharmacological effect is fully justified by the current knowledge about a wide range of biological functions of various derivatives within this class of compounds [35]. Taking into account the intention to achieve an optimal cytotoxic effect on cancer cells, several quinazoline-2,4-dione derivatives with well-documented anticancer properties should be mentioned [36,37,38]. And thus, 13 (Figure 4) exhibited promising cytotoxic activity against HCT-116 (IC50 = 1.184 ± 0.06 µM) and was found to be more active than the cabozantinib used as the positive control (IC50 = 16.35 ± 0.86 µM) [36]. While derivative 14 functionalized at both the N1 and N3 position of quinazoline-2,4-dione (Figure 4) showed significant antiproliferative activities against three cancer cell lines, namely, HepG2, HCT-116, and MCF-7 (GI50 = 9.16 ± 0.8, 5.69 ± 0.4, and 5.27 ± 0.2 µM, respectively) [37], the N1-monosubstituted quinazoline-2,4-dione 15 (Figure 4) inhibited both PARP1 and 2 (poly(ADP-ribose)polymerase 1 and 2) [38].
In continuation of our search for isoxazolidine analogs of homonucleotides 12 with anticancer activity and following the concept of combining two or more pharmacophores into one compound commonly applied in medicinal chemistry, we designed a new series of compounds of the general formula 16 (Scheme 1). The replacement of the diethoxyphosphoryl function with the dibenzyloxyphosphoryl group in the designed isoxazolidines 16 would result in obtaining compounds with better permeability through the cellular membrane [39]. The strategy relied on the application of the 1,3-dipolar cycloaddition of N-benzyl-C-(dibenzyloxyphosphoryl)nitrone 17 [40] with selected N1-allyl-N3-benzylquinazoline-2,4-diones 18 [2] as a key step in the synthesis of the designed series of homonucleotides 16 (Scheme 1).

2. Results and Discussion

2.1. Chemistry

The synthesis and full characteristics of nitrone 14 were recently reported [40]. The known N3-benzylated N1-allylquinazoline-2,4-diones 15ad were prepared from isatoic anhydride according to the methodology described previously [2]. The analogous reaction sequence was also applied for the preparation of N3-nitrobenzyl derivatives 15eg (Scheme 2).
The cycloaddition of N-benzyl-C-(dibenzyloxyphosphoryl)nitrone [40] 17 and respective N1-allyl-N3-benzylquinazoline-2,4-diones 18ag was carried out using the reaction conditions established before for analogous isoxazolidines 12 [2] and proceeded slowly at 60 °C for 5 days in anhydrous toluene. The corresponding mixtures of diastereomeric 3-(dibenzyloxyphosphoryl)isoxazolidines cis-16ag and trans-16ag with trans-isomer predominating were obtained (Scheme 3, Table 1). The diastereomeric ratios of cis-16ag and trans-16ag were determined by comparing the integrals of the appropriate signals in the 31P NMR spectra taken for the crude reaction mixtures (Supplementary Materials, Figures S7–S13). The reactions proceeded with low to moderate diastereoselectivities (d.e. 16–34%) and in good yields (61–69%). The reaction mixtures were purified on a silica gel column followed by HPLC; however, only pure major isomers trans-16ag were isolated. Although attempts at the additional chromatographic separation of the enriched fractions were undertaken, they have not resulted in the isolation of pure isomeric isoxazolidines cis-16ag. For this reason, for further configurational studies as well as biological assays, samples of pure trans-isomers trans-16ag and the selected fractions significantly enriched for minor cis-16ag were used.
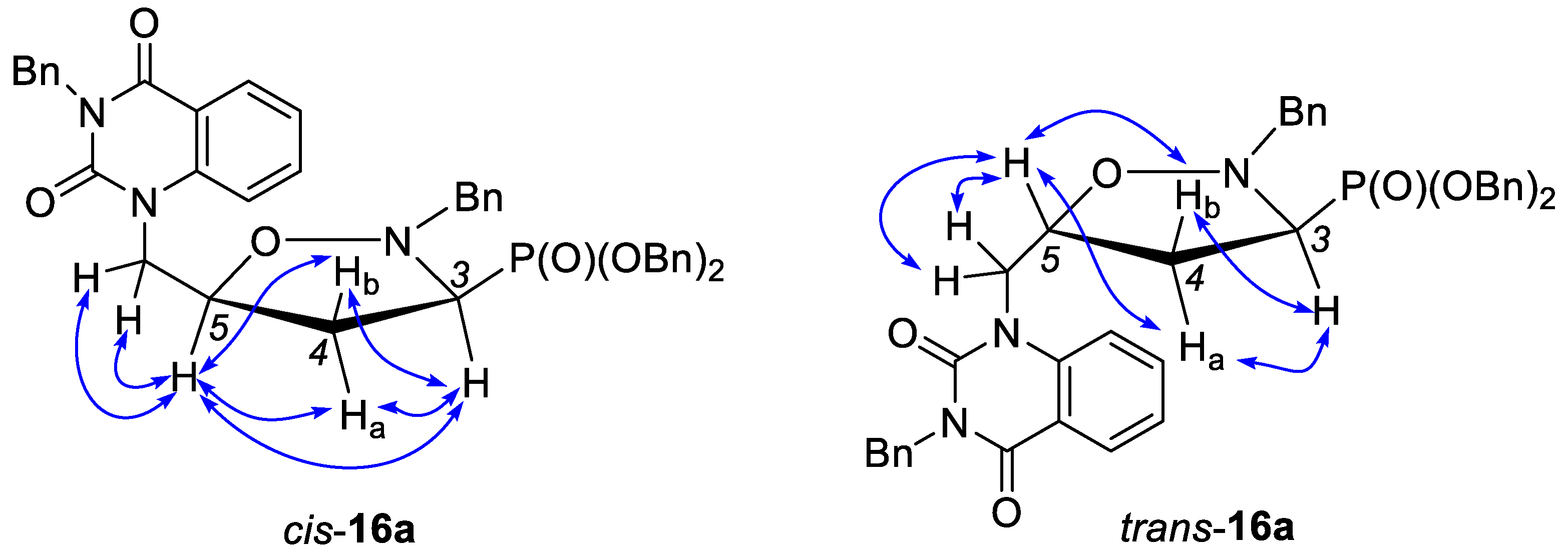
The relative configurations of cis- and trans-isoxazolidines 16ag were assigned based on 2D NOE experiments performed for cis-16a and trans-16a (Figure 5). For the isoxazolidine cis-16a, in addition to the expected NOESY signals between HC5 and both protons at H2C4 and H2C protons attached to the quinazoline-2,4-dione unit, a diagnostic signal between HC5 and HC3 was observed, which unequivocally proves the cis orientation of the substituents at C3 and C5. On the other hand, since the correlation between HC5 and HC3 was not observed in the NOESY spectrum taken for trans-16a, trans orientation between the substituents at C3 and C5 was deduced for this diastereoisomer. A slight modification of the substituents at N3 of the quinazoline-2,4-dione moiety has no influence on the stereochemical outcome of the cycloaddition; therefore, the configuration of all major isoxazolidines 16 was assigned as trans, whereas minor ones were identified as respective cis-isomers.

2.2. Pharmacology

2.2.1. Cytotoxicity towards Cancer Cell Lines

In this study, we applied the most extensively used MTS-based assay, which provides a valuable tool for determining cell viability by evaluating metabolic activity. The cytostatic activity of the tested compounds was defined as the half-maximal inhibitory concentration (IC50) causing a 50% decrease in the metabolic activity of the cells. It was determined against breast cancer (MCF-7), fibrosarcoma (HT-1080), and prostate cancer (PC-3) cells.
The inhibitory effect of the synthesized isoxazolidine 16ag against the proliferation of tumor cell lines MCF-7, HT-1080, and PC-3 is shown in Table 2. All the tested compounds exhibited high activity against prostate cancer cells (PC-3) (IC50 = 9.84 ± 3.69 to 26.57 ± 4.69 μM). Among them, isoxazolidines trans-16a and trans-16b, as well as the respective diastereoisomeric mixtures of isoxazolidines cis-16a/trans-16a (97:3) and cis-16b/trans-16b (90:10), were the most active with IC50 values in the range of 9.84 ± 3.69 μM to 12.67 ± 3.45 μM. Moreover, from the entire series of compounds, the mixture of isoxazolidines cis-16d/trans-16d (96:4) appeared to have the highest inhibitory properties towards fibrosarcoma cell line growth (IC50 = 10.36 ± 2.69 μM). The investigated isoxazolidines exhibited the lowest activity against the MCF-7 cell line (Table 2).

2.2.2. Mechanistic Studies: Induction of Apoptosis

Apoptosis induction tests were conducted using the IncuCyte system to test cells (PC-3) in an in vitro culture. Analysis was performed for the isoxazolidines or respective mixtures of diastereoisomers, i.e., cis-16a/trans-16a (97:3), cis-16b/trans-16b (90:10), and trans-16b exhibiting the highest antiproliferative properties. The compounds were tested at 1 µM and 10 µM concentrations, and apoptosis was monitored for 28 h (Figure 6). The incubation time was selected based on the induction of apoptosis in the control cells. Staurosporine (STA) at a concentration of 1 µM was used as the positive control, while the negative control cells were treated with 0.1% DMSO (vehicle control). The most active compound was trans-16b at 10 μM. As shown in Figure 6, apoptosis induction was most pronounced up to 12 h and was comparable to that induced with staurosporine.

2.2.3. Safety Studies In Vitro

To preliminarily assess the toxicity parameters against liver, kidney, and human fibroblast cells, selected cell lines were treated with cis-16a/trans-16a (97:3), cis-16b/trans-16b (90:10), and trans-16b in a wide range of concentrations (0.205–50 μM). The results are presented in Figure 7A–C. In both cellular models (HEK293 and HepG2), all the tested compounds showed excellent safety profiles, and the range of concentrations tested did not affect cell viability. Similarly, no adverse effect was observed in HSF. In comparison, DOX in the same concentration range exerted a significant cytotoxic effect on each cell type.

2.2.4. ADMET Studies In Silico

In order to predict potential “drug-likeness” for the investigated compounds (16ag), the comprehensive in silico ADMET simulation, with doxorubicin (DOX) as the reference drug, was performed using the bioinformatic tool pkCSM (https://biosig.lab.uq.edu.au/pkcsm/prediction, accessed on 8 June 2024) recommended in [41]. Detailed data are provided in the Supplementary Materials (Tables S1–S15). The corresponding diastereomers were drawn and calculated separately. However, the results indicated that the above-mentioned software did not discriminate configuration-dependent changes in the properties predicted for the respective diastereoisomers, and only assessed the impact of the presence of the respective substituents in the benzyl group located at N3 in the quinazoline-2,4-dione moiety on the ADMET profile of the obtained isoxazolidine 16. The results of the simulation indicate the probability of a lower than that of DOX water solubility for the whole investigated compounds (16ag) as well as their low volume of distribution (VDss). The unbound fraction was predicted in the range of 0.272 (for 16a) to 0.315 (for 16e), i.e., higher than that of DOX (0.232). An excellent intestine absorption (100%) can be expected for all the tested compounds 16ag, in this respect, making them clearly superior to doxorubicin. All 16ag and DOX displayed relatively low skin permeability in the examination in silico, while the Caco-2 permeability predicted indicates a better absorption of compounds 16ag (0.541–0.766) than doxorubicin (0.152), although in both cases, the compounds did not reach values classifying them as highly permeable (>0.9). Based on the pkCSM calculation, both the investigated series and DOX displayed a low ability to penetrate BBB and to reach CNS. Additionally, DOX is predicted as a substrate of the BBB transporter, Pgp, while all the tested compounds (16ag) as Pgp inhibitors. In contrast to DOX, the tested series is characterized by the risk of undesirable proarrhythmic effects related to hERG inhibition, and drug–drug interactions due to probable action on the isoforms of cytochrome P-450, i.e., as substrates for CYP3A4, and inhibitors for CYP2C9 (16ad, 16f, 16g) and CYP2C19 (16ad).
In similarity to DOX, the whole series showed neither signs of a renal OCT substrate nor the risk of skin sensitivity. Superior to DOX, no compound (16ag) displayed a risk of mutagenicity, and compounds 16e and 16f in accordance with DOX did not demonstrate hepatotoxic risk in the simulation. It is worth remembering that the results of our studies in vitro also excluded the hepatotoxicity risk for compounds 16a and 16b. The simulation with the pkCSM bioinformatic tool referring to several animal models suggests probable lower toxic doses for 16ag than for DOX, and the maximal tolerated dose recommended in humans, 0.42–0.51 and 0.654, for compounds 16ag and DOX, respectively.

3. Materials and Methods

3.1. General Information

1H, 13C, and 31P NMR spectra were taken in CDCl3 on the Bruker Avance III spectrometers (600 MHz, Bruker Instruments, Karlsruhe, Germany) with TMS as the internal standard at 600, 151, and 243 MHz, respectively. 1H–1H COSY and NOESY experiments were applied, when necessary, to support spectroscopic assignments. IR spectra were measured on an Infinity MI-60 FT-IR spectrometer (Bruker Optik GmbH, Ettlingen, Germany). Melting points were determined on a Boetius apparatus and were uncorrected. Elemental analyses were performed by the Microanalytical Laboratory of this Faculty on the Perkin-Elmer PE 2400 CHNS analyzer (Perkin Elmer Corp., Norwalk, CT, USA). The following adsorbents were used: column chromatography, Merck silica gel 60 (70–230 mesh); analytical TLC, Merck TLC plastic sheets silica gel 60 F254. HPLC separations were performed using a Waters HPLC system (Waters Corporation, Milford, MA, USA) consisting of a binary HPLC pump (Waters 2545), a diode array detector (Waters 2998), an autosampler (Waters 2767), and an XBridge C18 column OBD, 19 × 100 mm with a particle size of 5 µm.
N1-Allyl-N3-(fluorobenzyl)quinazoline-2,4(1H,3H)-diones 18ad [2] and N-benzyl-C-(dibenzyloxyphosphoryl)nitrone 17 [40] were obtained according to the literature.
31P-NMR spectra of raw materials and 1H-, 13C-, and 31P-NMR spectra and analytical chromatograms of all newly synthesized compounds are provided in Supplementary Materials (Figures S1–S73).

3.2. General Procedure for the Preparation of Quinazoline-2,4-Diones 18eg

To a suspension of N1-allylquinazoline-2,4-dione 19 (1.00 mmol) in dry DMF (5 mL), potassium carbonate (1.20 mmol) was added followed by the respective nitrobenzyl bromide (1.50 mmol). The reaction mixture was stirred at room temperature for 72 h and co-evaporated several times with toluene. The residue was dissolved in methylene chloride (10 mL) and washed with water (3 × 10 mL). The organic phase was dried over MgSO4, filtered, and concentrated. The crude product was chromatographed on a silica gel column with methylene chloride–hexane mixture (1:1, v/v) and methylene chloride and crystallized from a methylene chloride–petroleum ether mixture.
  • N1-Allyl-N3-(2-nitrobenzyl)quinazoline-2,4(1H,3H)-dione (18e). According to the general procedure from N1-allylquinazoline-2,4-dione 19 (0.400 g, 1.98 mmol), potassium carbonate (0.328g, 2.38 mmol), and 2-nitrobenzyl bromide (0.642 g, 2.97 mmol), N1-allyl-N3-(2-nitrobenzyl)quinazoline-2,4-dione 18e (0.370 g, 55%) was obtained as a white amorphous solid, m.p. = 126–128 °C. IR (KBr, cm–1) νmax: 3081, 2851, 1708, 1652, 1526, 1483, 1412, 1336, 977, 763. 1H NMR (600 MHz, CDCl3): δ = 8.29 (dd, J = 7.9 Hz, J = 1.6 Hz, 1H), 8.10 (dd, J = 8.2 Hz, J = 1.1 Hz, 1H), 7.72 (dt, J = 7.3 Hz, J = 1.6 Hz, 1H), 7.55–7.52 (m, 1H), 7.45–7.42 (m, 1H), 7.32 (t, J = 7.9 Hz, 1H), 7.26 (t, J = 8.0 Hz, 2H), 5.95 (ddt, 3J = 17.3 Hz, 3J = 10.5 Hz, 3J = 5.2 Hz, 1H, CH2–CH=CH2), 5.72 (s, 2H, CH2Ph), 5.31 (d, 3J = 10.5 Hz, 1H, CH2–CH=CHH), 5.24 (d, 3J = 17.3 Hz, 1H, CH2–CH=CHH), 4.83–4.82 (m, 2H, CH2–CH=CH2); 13C NMR (151 MHz, CDCl3): δ = 161.77 (C=O), 150.65 (C=O), 148.78, 139.98, 135.48, 133.52, 132.48, 131.07, 129.31, 128.02, 127.65, 125.11, 123.34, 117.86, 115.35, 114.42, 46.12, 42.28. Anal. calcd. For C18H15N3O4: C, 64.09; H, 4.48; N, 12.46. Found: C, 63.85; H, 4.18; N, 12.28.
  • N1-Allyl-N3-(3-nitrobenzyl)quinazoline-2,4(1H,3H)-dione (18f). According to the general procedure from N1-allylquinazoline-2,4-dione 19 (0.400 g, 1.98 mmol), potassium carbonate (0.328g, 2.38 mmol), and 3-nitrobenzyl bromide (0.642 g, 2.97 mmol), N1-allyl-N3-(3-nitrobenzyl)quinazoline-2,4-dione 18f (0.493 g, 74%) was obtained as a white amorphous solid, m.p. = 139–141 °C. IR (KBr, cm–1) νmax: 3081, 2853, 1702, 1641, 1609, 1527, 1483, 1419, 1329, 974, 739, 694. 1H NMR (600 MHz, CDCl3): δ = 8.35–8.34 (m, 1H), 8.25 (dd, J = 7.9 Hz, J = 1.6 Hz, 1H), 8.13–8.12 (m, 1H), 7.85 (d, J = 7.6 Hz, 1H), 7.67 (dt, J = 7.3 Hz, J = 1.6 Hz, 1H), 7.49 (t, J = 8.0 Hz, 1H), 7.29–7.26 (m, 1H), 7.19 (d, J = 8.5 Hz, 1H), 5.93 (ddt, 3J = 17.2 Hz, 3J = 10.2 Hz, 3J = 4.9 Hz, 1H, CH2–CH=CH2), 5.37 (s, 2H, CH2Ph), 5.28 (d, 3J = 10.2 Hz, 1H, CH2–CH=CHH), 5.21 (d, 3J = 17.2 Hz, 1H, CH2–CH=CHH), 4.79–4.78 (m, 2H, CH2–CH=CH2); 13C NMR (151 MHz, CDCl3): δ = 161.73 (C=O), 150.72 (C=O), 148.37, 139.87, 138.94, 135.43, 135.13, 131.01, 129.42, 129.22, 123.82, 123.32, 122.75, 117.84, 115.43, 114.37, 46.16, 44.37. Anal. calcd. For C18H15N3O4: C, 64.09; H, 4.48; N, 12.46. Found: C, 63.80; H, 4.18; N, 12.17.
  • N1-Allyl-N3-(4-nitrobenzyl)quinazoline-2,4(1H,3H)-dione (18g). According to the general procedure from N1-allylquinazoline-2,4-dione 19 (0.400 g, 1.98 mmol), potassium carbonate (0.328g, 2.38 mmol), and 4-nitrobenzyl bromide (0.642 g, 2.97 mmol), N1-allyl-N3-(4-nitrobenzyl)quinazoline-2,4-dione 18g (0.443g, 66%) was obtained as a white amorphous solid, m.p. = 139–141 °C. IR (KBr, cm–1) νmax: 3108, 3008, 1701, 1665, 1481, 1397, 1345, 1213, 959, 836 1H NMR (600 MHz, CDCl3): δ = 8.24 (dd, J = 9.4 Hz, J = 1.6 Hz, 1H), 8.17–8.15 (m, 2H), 7.68–7.65 (m, 3H), 7.28 (t, J = 7.7 Hz, 1H), 7.19 (d, J = 8.4 Hz, 1H), 5.77 (ddt, 3J = 17.2 Hz, 3J = 10.2 Hz, 3J = 5.0 Hz, 1H, CH2–CH=CH2), 5.36 (s, 2H, CH2Ph), 5.28 (d, 3J = 10.2 Hz, 1H, CH2–CH=CHH), 5.20 (d, 3J = 17.2 Hz, 1H, CH2–CH=CHH), 4.78–4.77 (m, 2H, CH2–CH=CH2); 13C NMR (151 MHz, CDCl3): δ = 161.74 (C=O), 150.69 (C=O), 147.42, 144.20, 139.84, 135.47, 130.97, 129.72, 129.20, 123.74, 123.37, 117.87, 115.40, 114.38, 46.17, 44.44. Anal. calcd. For C18H15N3O4: C, 64.09; H, 4.48; N, 12.46. Found: C, 63.79; H, 4.24; N, 12.31.

3.3. General Procedure for the Preparation of Isoxsazolidines 16ag

A mixture of N-benzyl-C-(dibenzyloxyphosphoryl)nitrone 17 (1.00 mmol) and the respective N1-allyl-N3-benzylquinazoline-2,4-dione 18ag (1.00 mmol) in toluene was stirred at 60 °C for 5 days. After solvents were removed, crude products were purified by silica gel chromatography with a toluene–ethyl acetate mixture (20:1, 5:1 v/v). Diastereoisomers cis-16ag/trans-16ag were separated by HPLC with a mobile phase of water–isopropanol (60:40–57:43, v/v) at a flow rate of 17 mL/min to yield trans-16ag and mixture of cis-16ag and trans-16ag.
Dibenzyl cis- and trans-2-benzyl-5-((3-benzyl-3,4-dihydro-2,4-dioxoquinazolin-1(2H)-yl)methyl)isoxazolidin-3-yl-3-phosphonate (cis-16a and trans-16a).
According to the general procedure from N-benzyl-C-(dibenzyloxyphosphoryl)nitrone 17 (0.100 g, 0.322 mmol) and N1-allyl-N3-benzylquinazoline-2,4-dione 18a (0.127 g, 0.322 mmol), pure trans-16a (0.064 g, 27%) and a mixture of cis-16a and trans-16a (0.085 g, 35%) were obtained by column chromatography (toluene–ethyl acetate 20:1, 5:1, v/v) and next by HPLC with a mobile phase of water–isopropanol (59:41, v/v).
  • Compound cis-16a. Data noted below correspond to a 97:3 mixture of cis-16a and trans-16a. A colorless oil. IR (film, cm–1) νmax: 3453, 3061, 2954, 1951, 1892, 1817, 1698, 1485, 1304, 1233, 1008. NMR signals of cis-16a were extracted from the spectrum of a 97:3 mixture of cis-16a and trans-16a. 1H NMR (600 MHz, CDCl3): δ = 8.12 (dd, J = 7.8 Hz, J = 1.5 Hz, 1H), 7.52 (d, J = 7.3 Hz, 2H), 7.42–7.37 (m, 7H), 7.36–7.30 (m, 5H), 7.29–7.23 (m, 6H), 7.15 (d, J = 8.5 Hz, 1H), 7.07 (t, J = 7.4 Hz, 1H), 7.01–6.98 (m, 1H), 5.28 (AB, JAB = 13.8 Hz, 1H, HCHN), 5.21 (AB, JAB = 13.8 Hz, 1H, HCHN), 5.21–5.18 (m, 2H, CH2OP), 5.15–5.09 (m, 2H, CH2OP), 4.56 (dddd, 3J(H5–H4α) = 9.6 Hz, 3J(H5–CH) = 7.8 Hz, 3J(H5–H4β) = 3.8 Hz, 3J(H5–CH) = 3.8 Hz, 1H, HC5), 4.39 (d, 2J = 13.7 Hz, 1H, HCHPh), 4.05 (dAB, JAB = 15.0 Hz, 3J(H5–CH) = 3.8 Hz, 1H, HCHN), 4.03 (dAB, JAB = 15.0 Hz, 3J(H5–CH) = 7.8 Hz, 1H, HCHN), 3.85 (d, 2J = 13.7 Hz, 1H, HCHPh), 3.23 (ddd, 3J(H3–H4α) = 9.6 Hz, 3J(H3–H4β) = 7.2 Hz, 2J(H3–P) = 2.6 Hz, 1H, HC3), 2.75 (dddd, 2J(H4α–H4β) = 13.2 Hz, 3J(H4α–H3) = 9.6 Hz, 3J(H4α–H5) = 9.6 Hz, 3J(H4α–P) = 9.4 Hz, 1H, HαC4), 2.38 (dddd, 3J(H4β–P) = 19.6 Hz, 2J(H4β–H4α) = 13.2 Hz, 3J(H4β–H3) = 7.2 Hz, 3J(H4β–H5) = 3.8 Hz, 1H, HβC4); 13C NMR (151 MHz, CDCl3): δ = 161.98 (C=O), 151.22 (C=O), 140.37, 137.03, 136.42, 136.02 (d, 3J(CCOP) = 6.0 Hz), 135.82 (d, 3J(CCOP) = 5.4 Hz), 134.82, 129.99, 129.08, 128.76, 128.74, 128.72, 128.43, 128.28, 128.22, 128.17, 128.13, 127.59, 127.56, 122.65, 115.39, 115.02, 75.84 (d, 3J(CCCP) = 6.6 Hz, C5), 68.37 (d, 2J(COP) = 6.4 Hz, CH2OP), 68.15 (d, 2J(COP) = 6.7 Hz, CH2OP), 62.24 (d, 3J(CNCP) = 5.1 Hz, CH2Ph), 60.75 (d, 1J(CP) = 170.2 Hz, C3), 47.62 (CH2N), 44.87 (CH2Ph), 34.97 (C4); 31P NMR (243 MHz, CDCl3): δ = 23.70. Anal. calcd. for C40H38N3O6P × 0.25 H2O: C, 69.41; H, 5.61; N, 6.07. Found: C, 69.57; H, 5.81; N, 5.89 (obtained on 97:3 mixture of cis-16a and trans-16a).
  • Compound trans-16a. A colorless oil. IR (film, cm–1) νmax: 3454, 3061, 2955, 1952, 1892, 1817, 1698, 1485, 1304, 1233, 1008. 1H NMR (600 MHz, CDCl3): δ = 8.26 (dd, J = 7.9 Hz, J = 1.4 Hz, 1H), 7.63–7.61 (m, 1H), 7.52 (d, J = 7.3 Hz, 2H), 7.33–7.31 (m, 12H), 7.30–7.25 (m, 8H), 5.31 (AB, JAB = 13.9 Hz, 1H, HCHN), 5.25 (AB, JAB = 13.9 Hz, 1H, HCHN), 5.16–5.06 (m, 4H, 2 × CH2OP), 4.45 (dd, 2J = 15.1 Hz, 3J(HC–H5) = 4.2 Hz, 1H, HCHN), 4.41 (d, 2J = 13.8 Hz, 1H, HCHPh), 4.31 (dddd, 3J(H4β–H5) = 8.4 Hz, 3J(H4α–H5) = 6.6 Hz, 3J(HC–H5) = 5.9 Hz, 3J(HC–H5) = 4.2 Hz, 1H, HC5), 4.13 (dd, 2J = 15.1 Hz, 3J(HC–H5) = 5.9 Hz, 1H, HCHN), 3.90 (d, 2J = 13.8 Hz, 1H, HCHPh), 3.34 (ddd, 3J(H3–H4β) = 10.2 Hz, 3J(H3–H4α) = 6.6 Hz, 2J(H3–P) = 1.8 Hz, 1H, HC3), 2.67 (dddd, 3J(H4α–P) = 18.6 Hz, 2J(H4α–H4β) = 12.8 Hz, 3J(H4α–H3) = 6.6 Hz, 3J(H4α–H5) = 6.6 Hz, 1H, HαC4), 2.33 (dddd, 3J(H4β–P) = 16.8 Hz, 2J(H4β–H4α) = 12.8 Hz, 3J(H4β–H3) = 10.2 Hz, 3J(H4β–H5) = 8.4 Hz, 1H, HβC4); 13C NMR (151 MHz, CDCl3): δ = 161.63 (C=O), 151.26 (C=O), 140.13, 136.92, 136.38, 136.17 (d, 3J(CCOP) = 5.7 Hz), 136.04 (d, 3J(CCOP) = 5.8 Hz), 134.85, 129.70, 128.99, 128.95, 128.65, 128.62, 128.59, 128.53, 128.48, 128.17, 128.15, 127.66, 127.17, 123.54, 115.59, 114.90, 75.81 (d, 3J(CCCP) = 6.1 Hz, C5), 68.75 (d, 2J(COP) = 6.4 Hz, CH2OP), 67.97 (d, 2J(COP) = 6.7 Hz, CH2OP), 62.74 (d, 3J(CNCP) = 4.7 Hz, CH2Ph), 60.97 (d, 1J(CP) = 170.4 Hz, C3), 45.63 (CH2N), 45.08 (CH2Ph), 35.04 (C4); 31P NMR (243 MHz, CDCl3): δ = 22.81. Anal. calcd. for C40H38N3O6P × 0.25 H2O: C, 69.41; H, 5.61; N, 6.07. Found: C, 69.57; H, 5.83; N, 5.87.
Dibenzyl cis- and trans-5-((3-(2-fluorobenzyl)-3,4-dihydro-2,4-dioxoquinazolin-1(2H)-yl)methyl)-2-benzylisoxazolidin-3-yl-3-phosphonate (cis-16b and trans-16b).
According to the general procedure from N-benzyl-C-(dibenzyloxyphosphoryl)nitrone 17 (0.100 g, 0.322 mmol) and N1-allyl-N3-(2-fluorobenzyl)quinazoline-2,4-dione 18b (0.127 g, 0.322 mmol), pure trans-16b (0.079 g, 35%) and a mixture of cis-16b and trans-16b (0.076 g, 33%) were obtained by column chromatography (toluene–ethyl acetate 20:1, 5:1, v/v) and next by HPLC with a mobile phase of water–isopropanol (60:40, v/v).
  • Compound cis-16b. Data noted below correspond to a 90:10 mixture of cis-16b and trans-16b. A colorless oil. IR (film, cm–1) νmax: 3453, 3063, 2956, 1956, 1885, 1817, 1662, 1483, 1318, 1230, 1008, 734. NMR signals of cis-16b were extracted from the spectrum of a 90:10 mixture of cis-16b and trans-16b. 1H NMR (600 MHz, CDCl3): δ = 8.14 (dd, J = 7.8 Hz, J = 1.4 Hz, 1H), 7.42–7.39 (m, 7H), 7.37–7.31 (m, 3H), 7.30–7.22 (m, 7H), 7.20 (d, J = 8.5 Hz, 1H), 7.10–7.05 (m, 3H), 7.03–7.01 (m, 1H), 5.38 (AB, JAB = 14.6 Hz, 1H, HCHN), 5.32 (AB, JAB = 14.6 Hz, 1H, HCHN), 5.23–5.18 (m, 2H, CH2OP), 5.15–5.08 (m, 2H, CH2OP), 4.59–4.55 (m, 1H, HC5), 4.40 (d, 2J = 13.7 Hz, 1H, HCHPh), 4.07 (d, 3J = 5.7 Hz, 2H, HCHN), 3.86 (d, 2J = 13.7 Hz, 1H, HCHPh), 3.23 (ddd, 3J(H3–H4α) = 10.1 Hz, 3J(H3–H4β) = 7.2 Hz, 2J(H3–P) = 2.6 Hz, 1H, HC3), 2.74 (dddd, 2J(H4α–H4β) = 13.2 Hz, 3J(H4α–H3) = 10.1 Hz, 3J(H4α–H5) = 9.6 Hz, 3J(H4α–P) = 9.0 Hz,1H, HαC4), 2.38 (dddd, 3J(H4β–P) = 19.8 Hz, 2J(H4β–H4α) = 13.2 Hz, 3J(H4β–H3) = 7.2 Hz, 3J(H4β–H5) = 4.2 Hz, 1H, HβC4); 13C NMR (151 MHz, CDCl3): δ = 161.94 (C=O), 160.74 (d, 1J(CF) = 247.3 Hz), 151.04 (C=O), 140.45, 136.47, 136.49 (d, 3J(CCOP) = 5.4 Hz), 136.05 (d, 3J(CCOP) = 5.6 Hz), 134.96, 129.96, 129.49 (d, 3J(CCCF) = 8.4 Hz), 129.39 (d, 4J(CCCCF) = 3.6 Hz), 128.76, 128.74, 128.72, 128.30, 128.23, 128.17, 127.58, 124.09 (d, 3J(CCCF) = 3.5 Hz), 123.94 (d, 2J(CCF) = 14.3 Hz), 122.74, 115.47 (d, 2J(CCF) = 21.7 Hz), 115.51, 114.92, 75.38 (d, 3J(CCCP) = 6.1 Hz, C5), 68.37 (d, 2J(COP) = 6.6 Hz, CH2OP), 68.18 (d, 2J(COP) = 6.9 Hz, CH2OP), 62.28 (d, 3J(CNCP) = 5.3 Hz, CH2Ph), 60.77 (d, 1J(CP) = 169.9 Hz, C3), 47.63 (CH2N), 38.59 (d, 3J(CCCF) = 4.5 Hz, CH2Ph), 34.97 (C4); 31P NMR (243 MHz, CDCl3): δ = 23.73. Anal. calcd. for C40H37FN3O6P × 3.25 H2O: C, 62.87; H, 5.74; N, 5.50. Found: C, 62.65; H, 5.88; N, 5.21 (obtained on 90:10 mixture of cis-16b and trans-16b).
  • Compound trans-16b. A colorless oil. IR (film, cm–1) νmax: 3453, 3063, 2956, 1956, 1886, 1817, 1663, 1482, 1347, 1231, 1008, 735. 1H NMR (600 MHz, CDCl3): δ = 8.27 (dd, J = 7.9 Hz, J = 1.2 Hz, 1H), 7.64 (t, J = 8.2 Hz, 1H), 7.35–7.30 (m, 11H), 7.29–7.23 (m, 7H), 7.22–7.20 (m, 1H), 7.07–7.02 (m, 2H), 5.40 (AB, JAB = 14.8 Hz, 1H, HCHN), 5.36 (AB, JAB = 14.8 Hz, 1H, HCHN), 5.14–5.05 (m, 4H, 2 × CH2OP), 4.46 (dd, 2J = 15.1 Hz, 3J(HC–H5) = 4.1 Hz, 1H, HCHN), 4.40 (d, 2J = 13.7 Hz, 1H, HCHPh), 4.35–4.31 (m, 1H, HC5), 4.16 (dd, 2J = 15.1 Hz, 3J(HC–H5) = 5.9 Hz, 1H, HCHN), 3.90 (d, 2J = 13.7 Hz, 1H, HCHPh), 3.33 (ddd, 3J(H4β–H3) = 10.1 Hz, 3J(H4α–H3) = 6.3 Hz, 2J(H3–P) = 1.8 Hz, 1H, HC3), 2.66 (dddd, 3J(H4α –P) = 18.6 Hz, 2J(H4α–H4β) = 12.7 Hz, 3J(H4α–H3) = 6.3 Hz, 3J(H4α–H5) = 6.3 Hz, 1H, HαC4), 2.32 (dddd, 3J(H4β–P) = 16.8 Hz, 2J(H4β–H4α) = 12.7 Hz, 3J(H4β–H3) = 10.1 Hz, 3J(H4β–H5) = 9.2 Hz, 1H, HβC4); 13C NMR (151 MHz, CDCl3): δ = 161.64 (C=O), 160.74 (d, 1J(CF) = 247.4 Hz), 151.09 (C=O), 140.20, 136.35, 136.16 (d, 3J(CCOP) = 5.6 Hz), 136.03 (d, 3J(CCOP) = 5.7 Hz), 134.97, 129.69, 129.28 (d, 4J(CCCCF) = 3.8 Hz), 129.04 (d, 3J(CCCF) = 6.7 Hz), 128.64, 128.61, 128.58, 128.51, 128.16, 128.13, 128.11, 127.53, 124.11 (d, 3J(CCCF) = 3.8 Hz), 123.78 (d, 2J(CCF) = 14.3 Hz), 123.25, 115.50 (d, 2J(CCF) = 21.4 Hz), 115.47, 114.98, 75.76 (d, 3J(CCCP) = 6.1 Hz, C5), 68.72 (d, 2J(COP) = 6.5 Hz, CH2OP), 67.95 (d, 2J(COP) = 6.7 Hz, CH2OP), 62.71 (d, 3J(CNCP) = 5.1 Hz, CH2Ph), 60.93 (d, 1J(CP) = 170.1 Hz, C3), 45.61 (CH2N), 38.94 (d, 3J(CCCF) = 4.5 Hz, CH2Ph), 34.97 (C4); 31P NMR (243 MHz, CDCl3): δ = 22.80. Anal. calcd. for C40H37FN3O6P × 2.5 H2O: C, 64.00; H, 5.64; N, 5.60. Found: C, 63.74; H, 5.96; N, 5.34.
Dibenzyl cis- and trans-5-((3-(3-fluorobenzyl)-3,4-dihydro-2,4-dioxoquinazolin-1(2H)-yl)methyl)-2-benzylisoxazolidin-3-yl-3-phosphonate (cis-16c and trans-16c).
According to the general procedure from N-benzyl-C-(dibenzyloxyphosphoryl)nitrone 17 (0.100 g, 0.322 mmol) and N1-allyl-N3-(3-fluorobenzyl)quinazoline-2,4-dione 18c (0.127 g, 0.322 mmol), pure trans-16c (0.075 g, 34%) and a mixture of cis-16c and trans-16c (0.078 g, 35%) were obtained by column chromatography (toluene–ethyl acetate 20:1, 5:1, v/v) and next by HPLC with a mobile phase of water–isopropanol (58:42, v/v).
  • Compound cis-16c. Data noted below correspond to a 90:10 mixture of cis-16c and trans-16c. A colorless oil. IR (film, cm–1) νmax: 3442, 3063, 2954, 1960, 1893, 1820, 1657, 1485, 1346, 1233, 1010, 698. NMR signals of cis-16c were extracted from the spectrum of a 90:10 mixture of cis-16c and trans-16c. 1H NMR (600 MHz, CDCl3): δ = 8.12 (dd, J = 7.8 Hz, J = 1.0 Hz, 1H), 7.42–7.37 (m, 6H), 7.36–7.30 (m, 4H), 7.29–7.24 (m, 7H), 7.20–7.18 (m, 1H), 7.17 (d, J = 8.5 Hz, 1H), 7.08 (t, J = 7.4 Hz, 1H), 7.01–6.95 (m, 2H), 5.26 (AB, JAB = 14.2 Hz, 1H, HCHN), 5.20 (AB, JAB = 14.2 Hz, 1H, HCHN), 5.15–5.08 (m, 2H, CH2OP), 5.23–5.18 (m, 2H, CH2OP), 4.58–4.54 (m, 1H, HC5), 4.40 (d, 2J = 13.6 Hz, 1H, HCHPh), 4.05 (d, 3J = 5.6 Hz, 2H, HCHN), 3.85 (d, 2J = 13.6 Hz, 1H, HCHPh), 3.23 (ddd, 3J(H3–H4α) = 10.1 Hz, 3J(H3–H4β) = 7.4 Hz, 2J(H3–P) = 2.4 Hz, 1H, HC3), 2.76 (dddd, 2J(H4α–H4β) = 12.6 Hz, 3J(H4α–P) = 10.1 Hz, 3J(H4α–H3) = 10.1 Hz, 3J(H4α–H5) = 9.0 Hz, 1H, HαC4), 2.38 (dddd, 3J(H4β–P) = 19.2 Hz, 2J(H4β–H4α) = 12.6 Hz, 3J(H4β–H3) = 7.4 Hz, 3J(H4β–H5) = 4.1 Hz, 1H, HβC4); 13C NMR (151 MHz, CDCl3): δ = 162.78 (d, 1J(CF) = 245.7 Hz), 161.89 (C=O), 151.15 (C=O), 140.38, 139.37 (d, 3J(CCCF) = 7.1 Hz), 136.43, 136.03 (d, 3J(CCOP) = 5.7 Hz), 135.97 (d, 3J(CCOP) = 5.6 Hz), 134.97, 129.98, 129.89 (d, 3J(CCCF) = 8.4 Hz), 128.77, 128.75, 128.73, 128.29, 128.23, 128.18, 128.15, 128.13, 127.57, 124.60 (d, 4J(CCCCF) = 2.3 Hz), 122.76, 115.96 (d, 2J(CCF) = 21.9 Hz), 115.49, 114.91, 114.55 (d, 2J(CCF) = 21.0 Hz), 75.82 (d, 3J(CCCP) = 6.7 Hz, C5), 68.38 (d, 2J(COP) = 6.6 Hz, CH2OP), 68.18 (d, 2J(COP) = 7.2 Hz, CH2OP), 62.27 (d, 3J(CNCP) = 5.2 Hz, CH2Ph), 60.77 (d, 1J(CP) = 169.8 Hz, C3), 47.66 (CH2N), 44.41 (CH2Ph), 34.98 (C4); 31P NMR (243 MHz, CDCl3): δ = 23.70. Anal. calcd. for C40H37FN3O6P × 0.25 H2O: C, 67.65; H, 5.32; N, 5.92. Found: C, 67.76; H, 5.25; N, 5.90 (obtained on 90:10 mixture of cis-16c and trans-16c).
  • Compound trans-16c. A colorless oil. IR (film, cm–1) νmax: 3441, 3063, 2954, 1960, 1893, 1820, 1657, 1485, 1346, 1233, 1010, 698. 1H NMR (600 MHz, CDCl3): δ = 8.26 (dd, J = 7.8 Hz, J = 1.0 Hz, 1H), 7.63 (t, J = 7.4 Hz, 1H), 7.35–7.31 (m, 11H), 7.29–7.21 (m, 9H), 6.97–6.95 (m, 1H), 5.28 (AB, JAB = 14.0 Hz, 1H, HCHN), 5.23 (AB, JAB = 14.0 Hz, 1H, HCHN), 5.15–5.05 (m, 4H, 2 × CH2OP), 4.45 (dd, 2J = 15.1 Hz, 3J(HC–H5) = 4.1 Hz, 1H, HCHN), 4.40 (d, 2J = 13.8 Hz, 1H, HCHPh), 4.34–4.29 (m, 1H, HC5), 4.14 (dd, 2J = 15.1 Hz, 3J(HC–H5) = 6.1 Hz, 1H, HCHN), 3.90 (d, 2J = 13.8 Hz, 1H, HCHPh), 3.34 (ddd, 3J(H4β–H3) = 10.2 Hz, 3J(H4α–H3) = 6.3 Hz, 2J(H3–P) = 1.2 Hz, 1H, HC3), 2.67 (dddd, 3J(H4α –P) = 18.5 Hz, 2J(H4α–H4β) = 12.6 Hz, 3J(H4α–H3) = 6.3 Hz, 3J(H4α–H5) = 6.3 Hz, 1H, HαC4), 2.32 (dddd, 3J(H4β–P) = 15.0 Hz, 2J(H4β–H4α) = 12.6 Hz, 3J(H4β–H3) = 10.2 Hz, 3J(H4β–H5) = 10.2 Hz, 1H, HβC4); 13C NMR (150 MHz, CDCl3): δ = 162.79 (d, 1J(CF) = 246.1 Hz), 161.63 (C=O), 151.18 (C=O), 140.13, 139.23 (d, 3J(CCCF) = 7.1 Hz), 136.34, 136.15 (d, 3J(CCOP) = 5.6 Hz), 136.03 (d, 3J(CCOP) = 5.6 Hz), 134.99, 129.95 (d, 3J(CCCF) = 8.5 Hz), 129.70, 128.97, 128.64, 128.61, 128.59, 128.53, 128.15, 128.13, 127.54, 124.54 (d, 4J(CCCCF) = 3.0 Hz), 123.28, 115.83 (d, 2J(CCF) = 21.7 Hz), 115.47, 114.97 114.62 (d, 2J(CCF) = 21.1 Hz), 75.74 (d, 3J(CCCP) = 5.8 Hz, C5), 68.74 (d, 2J(COP) = 6.4 Hz, CH2OP), 67.98 (d, 2J(COP) = 6.8 Hz, CH2OP), 62.73 (d, 3J(CNCP) = 4.7 Hz, CH2Ph), 60.95 (d, 1J(CP) = 170.3 Hz, C3), 45.71 (CH2N), 44.59 (CH2Ph), 35.05 (d, 2J(CCP) = 1.8 Hz, C4); 31P NMR (243 MHz, CDCl3): δ = 22.78. Anal. calcd. for C40H37FN3O6P × H2O: C, 66.39; H, 5.43; N, 5.81. Found: C, 66.20; H, 5.34; N, 5.72.
Dibenzyl cis- and trans-5-((3-(4-fluorobenzyl)-3,4-dihydro-2,4-dioxoquinazolin-1(2H)-yl)methyl)-2-benzylisoxazolidin-3-yl-3-phosphonate (cis-16d and trans-16d).
According to the general procedure from N-benzyl-C-(dibenzyloxyphosphoryl)nitrone 17 (0.100 g, 0.322 mmol) and N1-allyl-N3-(4-fluorobenzyl)quinazoline-2,4-dione 18d (0.127 g, 0.322 mmol), pure trans-16d (0.088 g, 39%) and a mixture of cis-16d and trans-16d (0.067 g, 30%) were obtained by column chromatography (toluene–ethyl acetate 20:1, 5:1, v/v) and next by HPLC with a mobile phase of water–isopropanol (57:43, v/v).
  • Compound cis-16d. Data noted below correspond to a 96:4 mixture of cis-16d and trans-16d. A colorless oil. IR (film, cm–1) νmax: 3457, 3063, 2957, 1956, 1893, 1816, 1658, 1496, 1347, 1220, 1007, 825. NMR signals of cis-16d were extracted from the spectrum of a 96:4 mixture of cis-16d and trans-16d. 1H NMR (600 MHz, CDCl3): δ = 8.12 (dd, J = 7.9 Hz, J = 1.4 Hz, 1H), 7.54–7.51 (m, 2H), 7.41–7.35 (m, 7H), 7.34–7.30 (m, 3H), 7.29–7.22 (m, 5H), 7.17 (d, J = 8.5 Hz, 1H), 7.08 (t, J = 7.5 Hz, 1H), 7.01–6.98 (m, 3H), 5.24–5.15 (m, 4H, HCHN, CH2OP), 5.14–5.09 (m, 2H, CH2OP), 4.59–4.55 (m, 1H, HC5), 4.40 (d, 2J = 13.7 Hz, 1H, HCHPh), 4.06 (d, 3J = 5.7 Hz, 2H, HCHN), 3.85 (d, 2J = 13.7 Hz, 1H, HCHPh), 3.23 (ddd, 3J(H3–H4α) = 9.8 Hz, 3J(H3–H4β) = 7.3 Hz, 2J(H3–P) = 2.5 Hz, 1H, HC3), 2.76 (dddd, 2J(H4α–H4β) = 12.8 Hz, 3J(H4α–P) = 11.4 Hz, 3J(H4α–H3) = 9.8 Hz, 3J(H4α–H5) = 9.8 Hz, 1H, HαC4), 2.39 (dddd, 3J(H4β–P) = 19.0 Hz, 2J(H4β–H4α) = 12.8 Hz, 3J(H4β–H3) = 7.3 Hz, 3J(H4β–H5) = 4.3 Hz, 1H, HβC4); 13C NMR (151 MHz, CDCl3): δ = 162.27 (d, 1J(CF) = 245.9 Hz), 161.90 (C=O), 151.18 (C=O), 140.37, 136.44, 136.04 (d, 3J(CCOP) = 5.5 Hz), 135.98 (d, 3J(CCOP) = 5.5 Hz), 134.90, 132.69 (d, 4J(CCCCF) = 3.2 Hz), 131.00 (d, 3J(CCCF) = 8.2 Hz), 129.96, 128.77, 128.75, 128.73, 128.29, 128.23, 128.17, 127.57, 122.71, 115.46, 115.22 (d, 2J(CCF) = 21.2 Hz), 114.98, 75.82 (d, 3J(CCCP) = 6.7 Hz, C5), 68.38 (d, 2J(COP) = 6.6 Hz, CH2OP), 68.18 (d, 2J(COP) = 7.1 Hz, CH2OP), 62.27 (d, 3J(CNCP) = 5.1 Hz, CH2Ph), 60.79 (d, 1J(CP) = 170.2 Hz, C3), 47.63 (CH2N), 44.16 (CH2Ph), 34.98 (C4); 31P NMR (243 MHz, CDCl3): δ = 23.70. Anal. calcd. for C40H37FN3O6P × 0.75 H2O: C, 66.80; H, 5.40; N, 5.84. Found: C, 66.78; H, 5.56; N, 5.91 (obtained on 96:4 mixture of cis-16d and trans-16d).
  • Compound trans-16d. A colorless oil. IR (film, cm–1) νmax: 3455, 3063, 2957, 1956, 1896, 1817, 1659 1497, 1347, 1220, 993, 855. 1H NMR (600 MHz, CDCl3): δ = 8.24 (dd, J = 7.9 Hz, J = 1.5 Hz, 1H), 7.64–7.61 (m, 1H), 7.54–7.50 (m, 2H), 7.36–7.31 (m, 10H), 7.30–7.23 (m, 7H), 6.99–6.95 (m, 2H), 5.25 (AB, JAB = 13.8 Hz, 1H, HCHN), 5.20 (AB, JAB = 13.8 Hz, 1H, HCHN), 5.12–5.05 (m, 4H, 2 × CH2OP), 4.45 (dd, 2J = 15.1 Hz, 3J(HC–H5) = 4.1 Hz, 1H, HCHN), 4.39 (d, 2J = 13.8 Hz, 1H, HCHPh), 4.32–4.28 (m, 1H, HC5), 4.13 (dd, 2J = 15.1 Hz, 3J(HC–H5) = 6.1 Hz, 1H, HCHN), 3.89 (d, 2J = 13.8 Hz, 1H, HCHPh), 3.33 (ddd, 3J(H3–H4β) = 9.9 Hz, 3J(H3–H4α) = 6.3 Hz, 2J(H3–P) = 1.7 Hz, 1H, HC3), 2.67 (dddd, 3J(H4α–P) = 18.5 Hz, 2J(H4α–H4β) = 12.6 Hz, 3J(H4α–H3) = 6.3 Hz, 3J(H4α–H5) = 6.3 Hz, 1H, HαC4), 2.32 (dddd, 3J(H4β–P) = 16.7 Hz, 2J(H4β–H4α) = 12.6 Hz, 3J(H4β–H3) = 9.9 Hz, 3J(H4β–H5) = 8.8 Hz, 1H, HβC4); 13C NMR (151 MHz, CDCl3): δ = 162.30 (d, 1J(CF) = 246.5 Hz), 161.66 (C=O), 151.20 (C=O), 140.09, 136.33, 136.59 (d, 3J(CCOP) = 6.0 Hz), 136.13 (d, 3J(CCOP) = 5.5 Hz), 134.92, 132.69 (d, 4J(CCCCF) = 3.3 Hz), 131.05 (d, 3J(CCCF) = 8.0 Hz), 129.68, 128.92, 128.64, 128.61, 128.53, 128.15, 128.13, 128.12, 127.54, 123.23, 115.53, 115.26 (d, 2J(CCF) = 21.1 Hz), 114.92, 75.74 (d, 3J(CCCP) = 5.7 Hz, C5), 68.73 (d, 2J(COP) = 6.5 Hz, CH2OP), 67.97 (d, 2J(COP) = 6.8 Hz, CH2OP), 62.73 (CH2Ph), 60.95 (d, 1J(CP) = 170.2 Hz, C3), 45.67 (CH2N), 44.33 (CH2Ph), 35.05 (d, 2J(CCP) = 2.2 Hz, C4); 31P NMR (243 MHz, CDCl3): δ = 22.76. Anal. calcd. for C40H37FN3O6P × 0.5 H2O: C, 67.22; H, 5.36; N, 5.88. Found: C, 67.38; H, 5.37; N, 5.63.
Dibenzyl cis- and trans- (2-benzyl-5-((3-(2-nitrobenzyl)-2,4-dioxo-3,4-dihydroquinazolin-1(2H)-yl)methyl)isoxazolidin-3-yl)phosphonate (cis-16e and trans-16e).
According to the general procedure from N-benzyl-C-(dibenzyloxyphosphoryl)nitrone 17 (0.059 g, 0.148 mmol) and N1-allyl-N3-(2-nitrobenzyl)quinazoline-2,4-dione 18e (0.050 g, 0.148 mmol), pure trans-16e (0.018 g, 17%) and a mixture of cis-16e and trans-16e (0.048 g, 44%) were obtained by column chromatography (toluene–ethyl acetate 20:1, 5:1, v/v) and next by HPLC with a mobile phase of water–isopropanol (60:40, v/v).
  • Compound cis-16e. Data noted below correspond to a 70:30 mixture of cis-16e and trans-16e. A colorless oil. IR (film, cm–1) νmax: 3442, 3062, 2956, 1957, 1896, 1658, 1482, 1338, 1246, 1019, 760. NMR signals of cis-16e were extracted from the spectrum of a 70:30 mixture of cis-16e and trans-16e. 1H NMR (600 MHz, CDCl3): δ = 8.13 (dd, J = 7.8 Hz, J = 1.4 Hz, 1H), 8.07 (d, J = 8.2 Hz, 1H), 7.51–7.50 (m, 1H), 7.42–7.39 (m, 5H), 7.35–7.32 (m, 5H), 7.29–7.22 (m, 8H), 7.11 (t, J = 7.5 Hz, 1H), 7.07–7.04 (m, 1H), 5.67–5.64 (m, 2H, HCHN), 5.22–5.07 (m, 4H, 2 CH2OP), 4.57–4.53 (m 1H, HC5), 4.40 (d, 2J = 13.7 Hz, 1H, HCHPh), 4.12 (dd, 2J = 14.9 Hz, 3J(HC–H5) = 9.1 Hz, 1H, HCHN), 4.05 (dd, 2J = 14.9 Hz, 3J(HC–H5) = 2.2 Hz, 1H, HCHN), 3.86 (d, 2J = 13.7 Hz, 1H, HCHPh), 3.23 (ddd, 3J(H3–H4α) = 10.0 Hz, 3J(H3–H4β) = 7.3 Hz, 2J(H3–P) = 2.7 Hz, 1H, HC3), 2.74 (dddd, 2J(H4α–H4β) = 12.0 Hz, 3J(H4α–P) = 10.0 Hz, 3J(H4α–H3) = 10.0 Hz, 3J(H4α–H5) = 10.0 Hz, 1H, HαC4), 2.37 (dddd, 3J(H4β–P) = 19.7 Hz, 2J(H4β–H4α) = 12.0 Hz, 3J(H4β–H3) = 7.3 Hz, 3J(H4β–H5) = 4.0 Hz, 1H, HβC4); 13C NMR (151 MHz, CDCl3): δ = 161.94 (C=O), 151.00 (C=O), 148.77, 140.51, 136.04, 135.97 (d, 3J(CCOP) = 5.7 Hz), 135.95 (d, 3J(CCOP) = 5.4 Hz), 135.23, 135.22, 133.50, 129.92, 128.77, 128.74, 128.72, 128.65, 128.62, 128.56, 128.23, 128.17, 128.14, 125.01, 122.94, 115.68, 114.70, 75.79 (d, 3J(CCCP) = 6.6 Hz, C5), 68.38 (d, 2J(COP) = 6.6 Hz, CH2OP), 68.22 (d, 2J(COP) = 7.0 Hz, CH2OP), 62.27 (d, 3J(CNCP) = 5.3 Hz, CH2Ph), 61.81 (d, 1J(CP) = 145.3 Hz, C3), 47.61 (CH2N), 42.00 (CH2Ph), 34.91 (C4); 31P NMR (243 MHz, CDCl3): δ = 23.62. Anal. calcd. for C40H37N4O8P × 1.5 H2O: C, 63.24; H, 5.31; N, 7.38. Found: C, 63.50; H, 5.09; N, 7.55 (obtained on 70:30 mixture of cis-16e and trans-16e).
  • Compound trans-16e. A colorless oil. IR (film, cm–1) νmax: 3441, 3063, 2957, 1957, 1884, 1660, 1482, 1338, 1259, 1020, 760. 1H NMR (600 MHz, CDCl3): δ = 8.26 (dd, J = 7.9 Hz, J = 1.3 Hz, 1H), 8.07 (dd, J = 8.2 Hz, J = 1.0 Hz, 1H), 7.67 (t, J = 7.5 Hz, 1H), 7.46–7.43 (m, 1H), 7.39–7.31 (m, 12H), 7.27–7.23 (m, 6H), 7.19 (d, J = 7.8 Hz, 1H), 5.68 (AB, JAB = 16.3 Hz, 1H, HCHN), 5.65 (AB, JAB = 16.3 Hz, 1H, HCHN), 5.14–5.03 (m, 4H, 2 × CH2OP), 4.43 (dd, 2J = 15.0 Hz, 3J(HC–H5) = 4.0 Hz, 1H, HCHN), 4.40 (d, 2J = 13.7 Hz, 1H, HCHPh), 4.36–4.30 (m 1H, HC5), 4.18 (dd, 2J = 15.0 Hz, 3J(HC–H5) = 6.1 Hz, 1H, HCHN), 3.91 (d, 2J = 13.7 Hz, 1H, HCHPh), 3.37–3.30 (br m, 1H, HC3), 2.64 (dddd, 3J(H4α–P) = 18.5 Hz, 2J(H4α–H4β) = 12.7 Hz, 3J(H4α–H3) = 6.3 Hz, 3J(H4α–H5) = 6.3 Hz, 1H, HαC4), 2.32–2.25 (m, 1H, HβC4); 13C NMR (151 MHz, CDCl3): δ = 161.65 (C=O), 151.04 (C=O), 148.73, 140.21, 136.10, 136.08 (d, 3J(CCOP) = 5.4 Hz), 135.95 (d, 3J(CCOP) = 5.5 Hz), 135.26, 133.54, 132.33, 129.74, 129.11, 128.66, 128.62, 128.57, 128.17, 128.14, 128.02, 127.68, 127.61, 125.07, 123.46, 115.25, 115.08, 75.71 (d, 3J(CCCP) = 5.4 Hz, C5), 68.75 (d, 2J(COP) = 6.5 Hz, CH2OP), 67.86 (d, 2J(COP) = 6.9 Hz, CH2OP), 62.59 (CH2Ph), 60.83 (d, 1J(CP) = 170.3 Hz, C3), 45.68 (CH2N), 42.27 (CH2Ph), 34.96 (d, 2J(CCP) = 1.4 Hz, C4); 31P NMR (243 MHz, CDCl3): δ = 22.47. Anal. calcd. for C40H37N4O8P × 1.75 H2O: C, 62.87; H, 5.34; N, 7.33. Found: C, 62.71; H, 5.03; N, 7.03.
Dibenzyl cis- and trans-2-benzyl-5-((3-(3-nitrobenzyl)-2,4-dioxo-3,4-dihydroquinazolin-1(2H)-yl)methyl)isoxazolidin-3-yl)phosphonate (cis-16f and trans-16f).
According to the general procedure from N-benzyl-C-(dibenzyloxyphosphoryl)nitrone 17 (0.059 g, 0.148 mmol) and N1-allyl-N3-(3-nitrobenzyl)quinazoline-2,4-dione 18f (0.050 g, 0.148 mmol), pure trans-16f (0.042 g, 38%) and a mixture of cis-16f and trans-16f (0.031 g, 28%) were obtained by column chromatography (toluene–ethyl acetate 20:1, 5:1, v/v) and next by HPLC with a mobile phase of water–isopropanol (61:39, v/v).
  • Compound cis-16f. Data noted below correspond to a 96:4 mixture of cis-16f and trans-16f. A colorless oil. IR (film, cm–1) νmax: 3441, 3063, 2924, 1960, 1885, 1658, 1482, 1347, 1235, 1018, 696. NMR signals of cis-16f were extracted from the spectrum of a 96:4 mixture of cis-16f and trans-16f. 1H NMR (600 MHz, CDCl3): δ = 8.36 (s, 1H), 8.15–8.11 (m, 2H), 7.84 (d, J = 7.6 Hz, 1H), 7.49 (t, J = 7.9 Hz, 1H), 7.42–7.37 (m, 7H), 7.36–7.32 (m, 3H), 7.30–7.23 (m, 5H), 7.20 (d, J = 8.5 Hz, 1H), 7.10 (t, J = 7.4 Hz, 1H), 7.03–7.01 (m, 1H), 5.34 (AB, JAB = 14.0 Hz, 1H, HCHN), 5.29 (AB, JAB = 14.0 Hz, 1H, HCHN), 5.23–5.18 (m, 2H, CH2OP), 5.14–5.09 (m, 2H, CH2OP), 4.59–4.55 (m 1H, HC5), 4.40 (d, 2J = 13.7 Hz, 1H, HCHPh), 4.09 (dd, 2J = 14.9 Hz, 3J(HC–H5) = 8.8 Hz, 1H, HCHN), 4.04 (dd, 2J = 14.9 Hz, 3J(HC–H5) = 2.5 Hz, 1H, HCHN), 3.85 (d, 2J = 13.7 Hz, 1H, HCHPh), 3.23 (dd, 3J(H3–H4α) = 9.9 Hz, 3J(H3–H4β) = 7.3 Hz, 2J(H3–P) = 2.5 Hz, 1H, HC3), 2.77 (dddd, 2J(H4α–H4β) = 12.0 Hz, 3J(H4α–P) = 10.0 Hz, 3J(H4α–H3) = 9.9 Hz, 3J(H4α–H5) = 9.9 Hz, 1H, HαC4), 2.39 (dddd, 3J(H4β–P) = 19.9 Hz, 2J(H4β–H4α) = 12.0 Hz, 3J(H4β–H3) = 7.3 Hz, 3J(H4β–H5) = 4.0 Hz, 1H, HβC4); 13C NMR (151 MHz, CDCl3): δ = 161.87 (C=O), 151.10 (C=O), 148.33, 140.39, 138.95, 136.33, 136.02 (d, 3J(CCOP) = 5.7 Hz), 135.95 (d, 3J(CCOP) = 5.4 Hz), 135.22, 135.16, 129.97, 129.38, 128.78, 128.77, 128.74, 128.28, 128.24, 128.18, 128.16, 127.60, 124.00, 122.91, 122.72, 115.62, 114.77, 75.79 (d, 3J(CCCP) = 6.6 Hz, C5), 68.40 (d, 2J(COP) = 6.6 Hz, CH2OP), 68.21 (d, 2J(COP) = 6.7 Hz, CH2OP), 62.23 (d, J = 4.9 Hz, CH2Ph), 60.76 (d, 1J(CP) = 169.8 Hz, C3), 47.69 (CH2N), 44.22 (CH2Ph), 34.92 (C4); 31P NMR (243 MHz, CDCl3): δ = 23.57. Anal. calcd. for C40H37N4O8P × 1.5 H2O: C, 63.24; H, 5.31; N, 7.38. Found: C, 63.50; H, 5.09; N, 7.55 (obtained on 96:4 mixture of cis-16f and trans-16f).
  • Compound trans-16f. A colorless oil. IR (film, cm–1) νmax: 3441, 3063, 2955, 1959, 1815, 1658, 1482, 1347, 1235, 993, 696. 1H NMR (600 MHz, CDCl3): δ = 8.37 (s, 1H), 8.25 (d, J = 7.9 Hz, 1H), 8.12 (d, J = 8.2 Hz, 1H), 7.84 (d, J = 7.7 Hz, 1H), 7.65 (t, J = 7.9 Hz, 1H), 7.46 (t, J = 7.9 Hz, 1H), 7.37–7.29 (m, 12H), 7.27–7.23 (m, 5H), 5.36 (AB, JAB = 14.2 Hz, 1H, HCHN), 5.32 (AB, JAB = 14.2 Hz, 1H, HCHN), 5.14–5.05 (m, 4H, 2 × CH2OP), 4.45 (dd, 2J = 15.1 Hz, 3J(HC–H5) = 3.8 Hz, 1H, HCHN), 4.40 (d, 2J = 13.8 Hz, 1H, HCHPh), 4.35– 4.31 (m, 1H, HC5), 4.17 (dd, 2J = 15.1 Hz, 3J(HC–H5) = 6.2 Hz, 1H, HCHN), 3.90 (d, 2J = 13.8 Hz, 1H, HCHPh), 3.36–3.34 (m, 1H, HC3), 2.69 (dddd, 3J(H4α–P) = 19.1 Hz, 2J(H4α–H4β) = 13.2 Hz, 3J(H4α–H3) = 6.8 Hz, 3J(H4α–H5) = 6.8 Hz, 1H, HαC4), 2.36–2.28 (m, 1H, HβC4); 13C NMR (151 MHz, CDCl3): δ = 161.60 (C=O), 151.14 (C=O), 148.34, 140.13, 138.81, 136.20, 136.13 (d, 3J(CCOP) = 5.7 Hz), 136.01 (d, 3J(CCOP) = 5.5 Hz), 135.18, 135.13, 129.71, 129.43, 129.00, 128.65, 128.61, 128.55, 128.15, 127.57, 123.93, 123.43, 122.77, 115.34, 115.07, 75.75 (d, 3J(CCCP) = 5.7 Hz, C5), 68.74 (d, 2J(COP) = 6.5 Hz, CH2OP), 68.03 (d, 2J(COP) = 6.7 Hz, CH2OP), 62.69 (d, J = 2.5 Hz, CH2Ph), 60.95 (d, 1J(CP) = 170.3 Hz, C3), 45.79 (CH2N), 44.38 (CH2Ph), 35.03 (C4); 31P NMR (243 MHz, CDCl3): δ = 22.69 Anal. calcd. for C40H37N4O8P × 0.75 H2O: C, 64.39; H, 5.20; N, 7.51. Found: C, 64.69; H, 5.15; N, 7.22.
Dibenzyl cis- and trans- (2-benzyl-5-((3-(4-nitrobenzyl)-2,4-dioxo-3,4-dihydroquinazolin-1(2H)-yl)methyl)isoxazolidin-3-yl)phosphonate (cis-16g and trans-16g).
According to the general procedure from N-benzyl-C-(dibenzyloxyphosphoryl)nitrone 17 (0.059 g, 0.148 mmol) and N1-allyl-N3-(4-nitrobenzyl)quinazoline-2,4-dione 18g (0.050 g, 0.148 mmol), pure trans-16g (0.028 g, 26%) and a mixture of cis-16g and trans-16g (0.043 g, 39%) were obtained by column chromatography (toluene–ethyl acetate 20:1, 5:1, v/v) and next by HPLC with a mobile phase of water–isopropanol (61:39, v/v).
  • Compound cis-16g. Data noted below correspond to an 88:12 mixture of cis-16g and trans-16g. A colorless oil. IR (film, cm–1) νmax: 3442, 3062, 2956, 1954, 1657, 1609, 1482, 1343, 1214, 1023, 803. NMR signals of cis-16g were extracted from the spectrum of a 88:12 mixture of cis-16g and trans-16g. 1H NMR (600 MHz, CDCl3): δ = 8.18–8.16 (m, 2H), 8.12 (d, J = 7.8 Hz, J = 1.6 Hz, 1H), 7.64 (t, J = 8.8 Hz, 2H), 7.41–7.37 (m, 6H), 7.36–7.32 (m, 4H), 7.30–7.25 (m, 2H), 7.24–7.21 (m, 4H), 7.10 (t, J = 7.4 Hz, 1H), 7.05–7.02 (m, 1H), 5.33 (AB, JAB = 14.2 Hz, 1H, HCHN), 5.29 (AB, JAB = 14.2 Hz, 1H, HCHN), 5.23–5.17 (m, 2H, CH2OP), 5.14–5.08 (m, 2H, CH2OP), 4.58–4.55 (m 1H, HC5), 4.40 (d, 2J = 13.7 Hz, 1H, HCHPh), 4.11 (dd, 2J = 14.9 Hz, 3J(HC–H5) = 9.1 Hz, 1H, HCHN), 4.03 (dd, 2J = 14.9 Hz, 3J(HC–H5) = 2.3 Hz, 1H, HCHN), 3.86 (d, 2J = 13.7 Hz, 1H, HCHPh), 3.23 (ddd, 3J(H3–H4α) = 10.0 Hz, 3J(H3–H4β) = 7.4 Hz, 2J(H3–P) = 2.7 Hz, 1H, HC3), 2.76 (dddd, 2J(H4α–H4β) = 12.7 Hz, 3J(H4α–H3) = 10.0 Hz, 3J(H4α–H5) = 10.0 Hz, 3J(H4α–P) = 9.3 Hz, 1H, HαC4), 2.39 (dddd, 3J(H4β–P) = 19.1 Hz, 2J(H4β–H4α) = 12.7 Hz, 3J(H4β–H3) = 7.4 Hz, 3J(H4β–H5) = 4.0 Hz, 1H, HβC4); 13C NMR (151 MHz, CDCl3): δ = 161.88 (C=O), 151.07 (C=O), 147.37, 144.23, 140.38, 136.35, 136.01 (d, 3J(CCOP) = 5.6 Hz), 135.94 (d, 3J(CCOP) = 5.4 Hz), 135.21, 129.94, 129.70, 128.78, 128.75, 128.60, 128.29, 128.23, 128.17, 128.14, 127.61, 123.70, 122.97, 115.65 114.75, 75.76 (d, 3J(CCCP) = 5.9 Hz, C5), 68.40 (d, 2J(COP) = 6.6 Hz, CH2OP), 68.22 (d, 2J(COP) = 7.1 Hz, CH2OP), 62.25 (d, J = 4.6 Hz, CH2Ph), 60.76 (d, 1J(CP) = 170.0 Hz, C3), 47.68 (CH2N), 44.28 (CH2Ph), 34.92 (C4); 31P NMR (243 MHz, CDCl3): δ = 23.50. Anal. calcd. for C40H37N4O8P × 3 H2O: C, 61.07; H, 5.51; N, 7.12. Found: C, 60.81; H, 5.45; N, 6.82 (obtained on 88:12 mixture of cis-16g and trans-16g).
  • Compound trans-16g. A colorless oil. IR (film, cm–1) νmax: 3454, 3062, 2926, 1954, 1812, 1660, 1612, 1485, 1346, 1216, 1043, 806. 1H NMR (600 MHz, CDCl3): δ = 8.25 (dd, J = 7.9 Hz, J = 1.4 Hz, 1H), 8.15 (d, J = 10.9 Hz, 2H), 7.67–7.63 (m, 3H), 7.39–7.29 (m, 12H), 7.27–7.23 (m, 5H), 5.33 (AB, JAB = 14.3 Hz, 1H, HCHN), 5.31 (AB, JAB = 14.3 Hz, 1H, HCHN), 5.14–5.05 (m, 4H, 2 × CH2OP), 4.44 (dd, 2J = 15.1 Hz, 3J(HC–H5) = 3.8 Hz, 1H, HCHN), 4.40 (d, 2J = 13.8 Hz, 1H, HCHPh), 4.35–4.31 (m, 1H, HC5), 4.15 (dd, 2J = 15.1 Hz, 3J(HC–H5) = 6.5 Hz, 1H, HCHN), 3.91 (d, 2J = 13.8 Hz, 1H, HCHPh), 3.36–3.34 (m, 1H, HC3), 2.69 (dddd, 3J(H4α–P) = 18.5 Hz, 2J(H4α–H4β) = 12.7 Hz, 3J(H4α–H3) = 6.4 Hz, 3J(H4α–H5) = 6.4 Hz, 1H, HαC4), 2.35–2.28 (m, 1H, HβC4); 13C NMR (151 MHz, CDCl3): δ = 161.60 (C=O), 151.09 (C=O), 147.41, 144.06, 140.10, 136.25, 136.49 (d, 3J(CCOP) = 5.6 Hz), 136.10 (d, 3J(CCOP) = 5.3 Hz), 135.22, 129.67, 128.99, 128.65, 128.62, 128.56, 128.24, 128.16, 128.13, 127.57, 123.73, 123.47, 115.31, 115.07, 75.71 (d, 3J(CCCP) = 5.7 Hz, C5), 68.73 (d, 2J(COP) = 6.5 Hz, CH2OP), 68.04 (d, 2J(COP) = 6.7 Hz, CH2OP), 62.69 (d, J = 3.5 Hz, CH2Ph), 60.95 (d, 1J(CP) = 170.2 Hz, C3), 45.88 (CH2N), 44.45 (CH2Ph), 35.11 (C4); 31P NMR (243 MHz, CDCl3): δ = 22.63. Anal. calcd. for C40H37N4O8P × 1.5 H2O: C, 63.24; H, 5.31; N, 7.38. Found: C, 63.54; H, 5.30; N, 7.18.

3.4. Biological Study In Vitro

3.4.1. Cytotoxicity Assay

The tested compounds were tested against three different human cancer cell lines (breast adenocarcinoma MCF-7 ATCC® HTB-22TM, fibrosarcoma HT-1080 ATCC® CCL121TM, and prostate adenocarcinoma PC-3 ATCC® CRL-1435TM). For the cell viability experiment, cells were seeded in transparent 96-well plates (FALCON no. 353072, Corning, Durham, NC, USA) in MEM (Gibco no. 31095-029, UK) supplemented with 10% heat-inactivated FBS (Gibco no. 10500-064, UK). The cell seeding density was as follows: MCF-7 12,000 cells/well, HT-1080 7000 cells/well, PC-3 10,000 cells/well. Cells were seeded one day before treatment with the tested compounds and cultured overnight. The confluence on the treatment day was around 30%. The tested compounds were dissolved in DMSO as 10 mM stock solutions and kept under −4 °C. On the day of experimentation, the medium was removed and replaced with a fresh one that contained the following: (1) dimethylsulfoxide (DMSO < 0.1%, vehicle control (Veh)); (2) increasing the concentration of compounds (0.205–50 μM, performed as a 2.5-fold serial dilution for dose–response analysis). Treatment with compounds was carried out for 72 h. Each treatment was replicated three times in a single experiment, with three separate experiments conducted. (n = 9). When significant variability in the results occurred, an additional test was performed on certain compounds. During the incubation, the cells were examined under an inverted microscope to check if the compounds had not precipitated in the culture medium. The inhibitory effect of compounds on the cell was examined using an MTS-based assay (Promega, Madison, WI, USA) following the manufacturer’s protocol. The absorbance was measured at 490 nm using Tecan Spark’s multimode plate reader (Tecan, Männedorf, Switzerland). A reference wavelength of 630 nm was used to subtract the background. IC50 values were calculated by fitting a non-linear regression to a sigmoidal dose–response curve in GraphPad Prism version 8.0.1.

3.4.2. Safety Studies

In drug development, particular attention should be paid to studying the safety profile of compounds. Promising drug candidates should not cause adverse effects on essential organ systems like the liver, kidney, or healthy cells in general. Systemic toxicity of the compound is the main factor limiting its therapeutic application and efficiency. In our study, a preliminary study on nephrotoxicity and hepatotoxicity was evaluated in human embryonic kidney cells (HEK293, ATCC® CRL1573™) and human hepatoma cells (HepG2, ATCC® HB8065™), respectively. HEK293 is commonly used to evaluate the cytotoxicity of nephrotoxic compounds [42]. HepG2 is a well-established in vitro human cell system to study liver toxicity [43]. We also used healthy human skin fibroblast (HSF) to extend the cytotoxicity profile. All three cell lines were cultured in DMEM (Gibco no. 61965-026, UK) supplemented with 10% FBS (Gibco no. 10500-064, UK). For the experiment, cells were seeded (8 × 103 cells/100μL/well) in transparent 96-well plates (FALCON no. 353072, Corning, Durham, DC, USA) and cultured overnight. The next day, the medium was removed and replaced with a fresh one that contained the following: (1) dimethylsulfoxide (DMSO < 0.1%, vehicle control (Veh)); (2) increasing concentration of the compounds cis-16a/trans-16a (97:3), cis-16b/trans-16b (90:10), and trans-16b (0.205 × 10−6–50 × 10−6 μM, 2.5-fold dilution); (3) doxorubicin (DOX, 0.205 × 10−6–50 × 10−6 μM, 2.5-fold dilution). DOX was a reference compound that adversely affected the liver, kidney, and healthy cells [44,45]. Treatment with compounds was carried out for 72 h. Cell viability was examined using an MTS-based CellTiter96® AQueous One Solution Cell Proliferation Assay (Promega, Madison, WI, USA) following the manufacturer’s protocol.

3.4.3. Apoptosis Assay

An IncuCyte S3 live cell imaging system (Essen Bioscience, Ann Arbor, MI, USA) was used to kinetically monitor the apoptotic activity of the most active compound trans-13b in the PC3 cell line. Apoptosis was monitored in real time using the Incucyte® Caspase-3/7 for Metabolism Dyes (Cat. No. 4776, Sartorius, Ann Arbor, MI, USA). The principle of this test is based on binding a DNA intercalating dye with the activation motif (DEVD) of caspase-3/7, allowing a quantitative analysis of cells to undergo caspase-3/7-mediated apoptosis in real time. For the experiment, PC3 cells were seeded in a black 96-well plate with transparent bottom (cat. no. 165305, ThermoScientific, Waltham, MA, USA) at 10,000 cells/well density and cultured overnight. The next day, the medium was removed, and the cells were treated with the tested compound. The compound was prepared in a complete culture medium containing apoptosis reagent diluted 1000× for a final assay concentration of 1 μM. The IncuCyte S3 imaging system recorded kinetic measures of the number of caspase-3/7 positive cells. Repeat scanning to record phase and fluorescence images were every 2 h, for up to 28 h. Objective 10× and 800 ms acquisition were applied.

4. Conclusions

The cis and trans compounds 16ag were efficiently synthesized from N-benzyl-C-(dibenzyloxyphosphoryl)nitrone 17 and selected N1-allyl-N3-benzylquinazoline-2,4-diones 18ag with good yields (61–69%) and low to moderate diastereoselectivities (d.e. 16–34%). The relative configurations in the (isoxazolidine)phosphonates cis-16ag and trans-16ag were established based on the analysis of the 2D NOE experiments performed for cis-16a and trans-16a.
Among all the tested compounds, isoxazolidines trans-16a and trans-16b and mixtures of isoxazolidines enriched in minor cis-isomer, i.e., cis-16a/trans-16a (97:3) and cis-16b/trans-16b (90:10), exhibited the highest inhibitory properties towards the growth of the prostate cancer cell line (PC-3) with IC50’s in the 9.84 ± 3.69–12.67 ± 3.45 μM range, while the mixture of isoxazolidines cis-16d/trans-16d (97:3) appeared the most active against the fibrosarcoma cell line (HT-1080) (IC50 = 10.36 ± 2.69 μM). For the most active compounds, namely trans-16b and mixtures of isoxazolidines cis-16a/trans-16a (97:3) and cis-16b/trans-16b (90:10), an apoptosis induction test and an assessment of toxicity were carried out. Isoxazolidine trans-16b strongly induced apoptosis at 10 μM in the PC-3 cell line. All the active compounds tested showed excellent safety profiles in three cellular models (HEK293, HepG2, and HSF).
Among the tested isoxazolidines, dibenzyl 5-((3-(2-fluorobenzyl)-3,4-dihydro-2,4-dioxoquinazolin-1(2H)-yl)methyl)-2-benzylisoxazolidin-3-yl-3-phosphonate trans-16b turned out to be the most promising cancer-cytotoxic and “drug-like” compound, which can serve as a new lead structure for both extended biological study and further modification in the search for effective anticancer drugs.

Supplementary Materials

The following are available online at https://www.mdpi.com/article/10.3390/molecules29133050/s1, Figure S1: 1H NMR spectrum for 18e in CDCl3 and expanded spectral regions; Figure S2: 13C NMR spectrum for 18e in CDCl3 and expanded spectral regions; Figure S3: 1H NMR spectrum for 18f in CDCl3 and expanded spectral regions; Figure S4: 13C NMR spectrum for 18f in CDCl3 and expanded spectral regions; Figure S5: 1H NMR spectrum for 18g in CDCl3 and expanded spectral regions; Figure S6: 13C NMR spectrum for 18g in CDCl3 and expanded spectral regions; Figure S7: 31P NMR spectrum of the raw product of the synthesis of isoxazolidines cis-16a/trans-16a in CDCl3; Figure S8: 31P NMR spectrum of the raw product of the synthesis of isoxazolidines cis-16b/trans-16b in CDCl3; Figure S9: 31P NMR spectrum of the raw product of the synthesis of isoxazolidines cis-16c/trans-16c in CDCl3; Figure S10: 31P NMR spectrum of the raw product of the synthesis of isoxazolidines cis-16d/trans-16d in CDCl3; Figure S11: 31P NMR spectrum of the raw product of the synthesis of isoxazolidines cis-16e/trans-16e in CDCl3; Figure S12: 31P NMR spectrum of the raw product of the synthesis of isoxazolidines cis-16f/trans-16f in CDCl3; Figure S13: 31P NMR spectrum of the raw product of the synthesis of isoxazolidines cis-16g/trans-16g in CDCl3; Figure S14: 1H NMR spectrum for mixture of cis-16a/trans-16a (97:3) in CDCl3 and expanded spectral regions; Figure S15: 31P NMR spectrum for mixture of cis-16a/trans-16a (97:3) in CDCl3; Figure S16: 13C NMR spectrum for mixture of cis-16a/trans-16a (97:3) in CDCl3 and expanded spectral regions; Figure S17: HPLC chromatogram for mixture of cis-16a/trans-16a (97:3); Figure S18: 1H NMR spectrum for trans-16a in CDCl3 and expanded spectral regions; Figure S19: 31P NMR spectrum for trans-16a in CDCl3; Figure S20: 13C NMR spectrum for trans-16a in CDCl3 and expanded spectral regions; Figure S21: HPLC chromatogram for trans-16a; Figure S22: 1H NMR spectrum for mixture of cis-16b/trans-16b (90:10) in CDCl3 and expanded spectral regions; Figure S23: 31P NMR spectrum for mixture of cis-16b/trans-16b (90:10) in CDCl3; Figure S24: 13C NMR spectrum for mixture of cis-16b/trans-16b (90:10) in CDCl3 and expanded spectral regions; Figure S25: HPLC chromatogram for mixture of cis-16b/trans-16b (90:10); Figure S26: 1H NMR spectrum for trans-16b in CDCl3 and expanded spectral regions; Figure S27: 31P NMR spectrum for trans-16b in CDCl3; Figure S28: 13C NMR spectrum for trans-16b in CDCl3 and expanded spectral regions; Figure S29: HPLC chromatogram for trans-16b; Figure S30: 1H NMR spectrum for mixture of cis-16c/trans-16c (90:10) in CDCl3 and expanded spectral regions; Figure S31: 31P NMR spectrum for mixture of cis-16c/trans-16c (90:10) in CDCl3; Figure S32: 13C NMR spectrum for mixture of cis-16c/trans-16c (90:10) in CDCl3 and expanded spectral regions; Figure S33: HPLC chromatogram for mixture of cis-16c/trans-16c (90:10); Figure S34: 1H NMR spectrum for trans-16c in CDCl3 and expanded spectral regions; Figure S35: 31P NMR spectrum for trans-16c in CDCl3; Figure S36: 13C NMR spectrum for trans-16c in CDCl3 and expanded spectral regions; Figure S37: HPLC chromatogram for trans-16c; Figure S38: 1H NMR spectrum for mixture of cis-16d/trans-16d (96:4) in CDCl3 and expanded spectral regions; Figure S39: 31P NMR spectrum for mixture of cis-16d/trans-16d (96:4) in CDCl3; Figure S40: 13C NMR spectrum for mixture of cis-16d/trans-16d (96:4) in CDCl3 and expanded spectral regions; Figure S41: HPLC chromatogram for mixture of cis-16d/trans-16d (96:4); Figure S42: 1H NMR spectrum for trans-16d in CDCl3 and expanded spectral regions; Figure S43: 31P NMR spectrum for trans-16d in CDCl3; Figure S44: 13C NMR spectrum for trans-16d in CDCl3 and expanded spectral regions; Figure S45: HPLC chromatogram for trans-16d; Figure S46: 1H NMR spectrum for mixture of cis-16e/trans-16e (70:30) in CDCl3 and expanded spectral regions; Figure S47: 31P NMR spectrum for mixture of cis-16e/trans-16e (70:30) in CDCl3; Figure S48: 13C NMR spectrum for mixture of cis-16e/trans-16e (70:30) in CDCl3 and expanded spectral regions; Figure S49: HPLC chromatogram for mixture of cis-16e/trans-16e (70:30); Figure S50: 1H NMR spectrum for trans-16e in CDCl3 and expanded spectral regions; Figure S51: 31P NMR spectrum for trans-16e in CDCl3; Figure S52: 13C NMR spectrum for trans-16e in CDCl3 and expanded spectral regions; Figure S53: HPLC chromatogram for trans-16e; Figure S54: 1H NMR spectrum for mixture of cis-16f/trans-16f (96:4) in CDCl3 and expanded spectral regions; Figure S55: 31P NMR spectrum for mixture of cis-16f/trans-16f (96:4) in CDCl3; Figure S56: 13C NMR spectrum for mixture of cis-16f/trans-16f (96:4) in CDCl3 and expanded spectral regions; Figure S57: HPLC chromatogram for mixture of cis-16f/trans-16f (96:4); Figure S58: 1H NMR spectrum for trans-16f in CDCl3 and expanded spectral regions; Figure S59: 31P NMR spectrum for trans-16f in CDCl3; Figure S60: 13C NMR spectrum for trans-16f in CDCl3 and expanded spectral regions; Figure S61: HPLC chromatogram for trans-16f; Figure S62: 1H NMR spectrum for mixture of cis-16g/trans-16g (88:12) in CDCl3 and expanded spectral regions; Figure S63: 31P NMR spectrum for mixture of cis-16g/trans-16g (88:12) in CDCl3; Figure S64: 13C NMR spectrum for mixture of cis-16g/trans-16g (88:12) in CDCl3 and expanded spectral regions; Figure S65: HPLC chromatogram for mixture of cis-16g/trans-16g (88:12); Figure S66: 1H NMR spectrum for trans-16g in CDCl3 and expanded spectral regions; Figure S67: 31P NMR spectrum for trans-16g in CDCl3; Figure S68: 13C NMR spectrum for trans-16g in CDCl3 and expanded spectral regions; Figure S69: HPLC chromatogram for trans-16g; Figure S70: 1H–1H COSY spectrum for mixture of cis-16a/trans-16a (97:3) in CDCl3; Figure S71: NOESY spectrum for mixture of cis-16a/trans-16a (97:3) in CDCl3; Figure S72: 1H–1H COSY spectrum for trans-16a in CDCl3; Figure S73: NOESY spectrum for trans-16a in CDCl3; Table S1: ADMET properties in silico for compound trans-16a; Table S2: ADMET properties in silico for compound cis-16a; Table S3: ADMET properties in silico for compound trans-16b; Table S4: ADMET properties in silico for compound cis-16b; Table S5: ADMET properties in silico for compound trans-16c; Table S6: ADMET properties in silico for compound cis-16c; Table S7: ADMET properties in silico for compound trans-16d; Table S8: ADMET properties in silico for compound cis-16d; Table S9: ADMET properties in silico for compound trans-16e; Table S10: ADMET properties in silico for compound cis-16e; Table S11: ADMET properties in silico for compound trans-16f; Table S12: ADMET properties in silico for compound cis-16f; Table S13 ADMET properties in silico for compound trans-16g; Table S14: ADMET properties in silico for compound cis-16g; Table S15: ADMET properties in silico for Doxorubicin.

Author Contributions

Conceptualization, M.Ł., I.E.G., J.H. and D.G.P.; methodology and investigation, M.Ł., I.E.G., E.H.-O., J.H. and D.G.P. (M.Ł., I.E.G. and D.G.P. carried out the synthesis of the compounds, interpreted the results, and characterized all the obtained compounds; E.H.-O. and J.H. conducted cell culture studies and data analysis); project administration, M.Ł. and D.G.P.; writing—original draft preparation, M.Ł., E.H.-O., and D.G.P.; writing—review and editing, M.Ł., I.E.G., E.H.-O., J.H. and D.G.P. All authors have read and agreed to the published version of the manuscript.

Funding

The synthetic part of the project was supported by the Medical University of Lodz internal funds (503/3-014-01/503-31-001). The biological assays were partly supported by the Jagiellonian University projects no. N42/DBS/000331 and N42/DBS/000332.

Institutional Review Board Statement

Not applicable.

Informed Consent Statement

Not applicable.

Data Availability Statement

Data are contained within the article.

Conflicts of Interest

The authors declare no conflicts of interest.

References

  1. Berthet, M.; Cheviett, T.; Dujardin, G.; Parrot, I.; Martinez, J. Isoxazolidine: A privileged scaffold for organic and medicinal chemistry. Chem. Rev. 2016, 116, 15235–15283. [Google Scholar] [CrossRef] [PubMed]
  2. Piotrowska, D.G.; Andrei, G.; Schols, D.; Snoeck, R.; Lysakowska, M. Synthesis, anti-varicella-zoster virus and anti-cytomegalovirus activity of quinazoline-2,4-diones containing isoxazolidine and phosphonate substructures. Eur. J. Med. Chem. 2017, 126, 84–100. [Google Scholar] [CrossRef] [PubMed]
  3. Lysakowska, M.; Balzarini, J.; Piotrowska, D.G. Design, Synthesis, Antiviral, and Cytostatic Evaluation of Novel Isoxazolidine Analogs of Homonucleotides. Arch. Pharm. 2014, 347, 341–353. [Google Scholar] [CrossRef] [PubMed]
  4. Romeo, R.; Giofre, S.V.; Carnovale, C.; Campisi, A.; Parenti, R.; Bandini, L.; Chiacchio, M.A. Synthesis and biological evaluation of 3-hydroxymethyl-5-(1H-1,2,3-triazol) isoxazolidines. Bioorg. Med. Chem. 2013, 21, 7929–7937. [Google Scholar] [CrossRef] [PubMed]
  5. Bortolini, O.; De Nino, A.; Eliseo, T.; Gavioli, R.; Maiuolo, L.; Russo, B.; Sforza, F. Synthesis and biological evaluation of diastereoisomerically pure N,O-nucleosides. Bioorg. Med. Chem. 2010, 18, 6970–6976. [Google Scholar] [CrossRef] [PubMed]
  6. Singh, R.; Bhella, S.S.; Sexana, A.K.; Shanmugavel, M.; Faruk, A.; Ishar, M.P.S. Investigations of regio- and stereoselectivities in the synthesis of cytotoxic isoxazolidines through 1,3-dipolar cycloadditions of nitrones to dipolarophiles bearing an allylic oxygen. Tetrahedron 2007, 63, 2283–2291. [Google Scholar] [CrossRef]
  7. Piotrowska, D.G.; Balzarini, J.; Glowacka, I.E. Design, synthesis, antiviral and cytostatic evaluation of novel isoxazolidine nucleotide analogues with a 1,2,3-triazole linker. Eur. J. Med. Chem. 2012, 47, 501–509. [Google Scholar] [CrossRef]
  8. Piotrowska, D.G.; Cieslak, M.; Krolewska, K.; Wroblewski, A.E. Design, Synthesis and Cytotoxicity of a New Series of Isoxazolidine Based Nucleoside Analogues. Arch. Pharm. 2011, 344, 301–310. [Google Scholar] [CrossRef] [PubMed]
  9. Piotrowska, D.G.; Cieslak, M.; Krolewska, K.; Wroblewski, A.E. Design, synthesis and cytotoxicity of a new series of isoxazolidines derived from substituted chalcones. Eur. J. Med. Chem. 2011, 46, 1382–1389. [Google Scholar] [CrossRef]
  10. Grabkowska-Druzyc, M.; Andrei, G.; Schols, D.; Snoeck, R.; Piotrowska, D.G. Isoxazolidine Conjugates of N3-Substituted 6-Bromoquinazolinones-Synthesis, Anti-Varizella-Zoster Virus, and Anti-Cytomegalovirus Activity. Molecules 2018, 23, 1889. [Google Scholar] [CrossRef]
  11. Eneama, W.A.; Salman, H.H.; Mousa, M.N. Synthesis of a New Isoxazolidine and Evaluation Anticancer Activity against MCF 7 Breast Cancer Cell Line. Radiother. Oncol. 2023, 17, 1–8. [Google Scholar]
  12. Wang, Q.; He, X.; Li, R.; Le, Y.; Liu, L. New isoxazolidine derivatives: Synthesis, spectroscopic analysis, X-ray, DFT calculation, biological activity studies. J. Mol. Struct. 2024, 1312, 138547. [Google Scholar] [CrossRef]
  13. Mellaoui, M.D.; Zaki, K.; Abbiche, K.; Imjjad, A.; Rachid Boutiddar, R.; Sbai, A.; Jmiai, A.; Issami, S.E.; Lamsabhi, A.M.; Zejli, H. In silico anticancer activity of isoxazolidine and isoxazolines derivatives: DFT study, ADMET prediction, and molecular docking. J. Mol. Struct. 2024, 1308, 138330. [Google Scholar] [CrossRef]
  14. Alminderej, F.; Ghannay, S.; Elsamani, M.O.; Alhawday, F.; Albadri, A.; Elbehairi, S.E.I.; Alfaifi, M.Y.; Kadri, A.; Aouadi, K. In Vitro and In Silico Evaluation of Antiproliferative Activity of New Isoxazolidine Derivatives Targeting EGFR: Design, Synthesis, Cell Cycle Analysis, and Apoptotic Inducers. Pharmaceuticals 2023, 16, 1025. [Google Scholar] [CrossRef] [PubMed]
  15. Stadániová, R.; Sahulcík, M.; Dohánosová, J.; Moncol, J.; Janotka, L.; Simonicová, K.; Messingerová, L.; Fischer, R. Synthesis of 1,2,3-Triazoles Bearing a 4-Hydroxyisoxazolidine Moiety from 4,5-Unsubstituted 2,3-Dihydroisoxazoles. Eur. J. Org. Chem. 2020, 2020, 4775–4786. [Google Scholar] [CrossRef]
  16. Al-Adhreai, A.; Alsaeedy, M.; Alrabie, A.; Al-Qadsy, I.; Dawbaa, S.; Alaizeri, Z.M.; Alhadlaq, H.A.; Al-Kubati, A.; Ahamed, M.; Farooqui, M. Design and synthesis of novel enantiopure Bis(5-Isoxazolidine) derivatives: Insights into their antioxidant and antimicrobial potential via in silico drug-likeness, pharmacokinetic, medicinal chemistry properties, and molecular docking studies. Heliyon 2022, 8, e09746. [Google Scholar] [CrossRef] [PubMed]
  17. Arwa Al Adhreai, Mohammed Alsaeedy, Mazahar Farooqui and Usama Al-Timari, Regio-and stereoselectivity of 1,3-dipolar cycloaddition reaction of cinnarizine drug with chiral nitrones, and their antimicrobial activity. Rasayan J. Chem. 2021, 4, 2728–2738. [CrossRef]
  18. Al-Adhreai, A.; Alsaeedy, M.; Alrabie, A.; Al-Horaibi, S.A.; Al-Qadsy, I.; Alezzy, A.A.; Al-Odayni, A.B.; Saeed, W.S.; Farooqui, M. Enhanced synthesis of novel multisubstituted isoxazolidines as potential antimicrobial and antioxidant agents using zinc (II) catalyst, and in silico studies. J. Mol. Struct. 2023, 1292, 136146. [Google Scholar] [CrossRef]
  19. Singh, G.; Sharma, A.; Kaur, H.; Ishar, M.P.S. Chromanyl-isoxazolidines as Antibacterial agents: Synthesis, Biological Evaluation, Quantitative Structure Activity Relationship, and Molecular Docking Studies. Chem. Biol. Drug Des. 2016, 87, 213–223. [Google Scholar] [CrossRef]
  20. Hussam Hamza Salman, H.H. Synthesis and Antimicrobial Evaluation of Some Isoxazolidine Derivatives. J. Educ. Pure Sci. 2019, 9, 217–225. [Google Scholar] [CrossRef]
  21. Yanmaz, V.; Disli, A.; Yavuz, S.; Ogutcu, H.; Dilek, G. Synthesis of Some Novel Isoxazolidine Derivatives via 1,3-Dipolar Cycloaddition and Their Biological Evaluation. GU J. Sci. 2019, 32, 78–89. [Google Scholar]
  22. Lysakowska, M.; Glowacka, I.E.; Andrei, G.; Schols, D.; Snoeck, R.; Lisiecki, P.; Szemraj, M.; Piotrowska, D.G. Design, Synthesis, Anti-Varicella-Zoster and Antimicrobial Activity of (Isoxazolidin-3-yl)Phosphonate Conjugates of N1-Functionalised Quinazoline-2,4-Diones. Molecules 2022, 27, 6526. [Google Scholar] [CrossRef] [PubMed]
  23. Leggio, A.; Liguori, A.; Procopio, A.; Siciliano, C.; Sindona, G. A novel class of 4′-aza analogues of 2′,3′-dideoxynucleosides as potential anti-HIV drugs. Nucleosides Nucleotides 1997, 16, 1515–1518. [Google Scholar] [CrossRef]
  24. Romeo, R.; Iannazzo, D.; Veltri, L.; Gabriele, B.; Macchi, B.; Frezza, C.; Marino-Merlo, F.; Giofre, S.V. Pyrimidine 2,4-Diones in the Design of New HIV RT Inhibitors. Molecules 2019, 24, 1718. [Google Scholar] [CrossRef]
  25. Ghannay, S.; Bakari, S.; Msaddek, M.; Vidal, S.; Kadri, A.; Aouadi, K. Design, synthesis, molecular properties and in vitro antioxidant and antibacterial potential of novel enantiopure isoxazolidine derivatives. Arab. J. Chem. 2020, 13, 2121–2131. [Google Scholar] [CrossRef]
  26. Mosbah, H.; Chahdoura, H.; Mannai, A.; Snoussi, M.; Aouadi, K.; Abreu, R.M.V.; Bouslama, A.; Achour, L.; Selmi, B. Biological activities evaluation of enantiopure isoxazolidine derivatives: In vitro, in vivo and in silico studies. Appl. Biochem. Biotechnol. 2019, 187, 1113–1130. [Google Scholar] [CrossRef]
  27. Sadashiva, M.P.; Nataraju, A.; Mallesha, H.; Rajesh, R.; Vishwanath, B.S.; Rangappa, K.S. Synthesis and evaluation of trimethoxyphenyl isoxazolidines as inhibitors of secretory phospholipase A(2) with anti-inflammatory activity. Int. J. Mol. Med. 2005, 16, 895–904. [Google Scholar] [CrossRef]
  28. Ghabi, A.; Brahmi, J.; Alminderej, F.; Messaoudi, S.; Vidal, S.; Kadri, A.; Aouadi, K. Multifunctional isoxazolidine derivatives as α-amylase and α-glucosidase inhibitors. Bioorganic Chem. 2020, 98, 103713. [Google Scholar] [CrossRef]
  29. Ghannay, S.; Aldhafeeri, B.S.; Ahmad, I.; Albadri, A.; Patel, H.; Kadri, A.; Aouadi, K. Identification of dual-target isoxazolidine-isatin hybrids with antidiabetic potential: Design, synthesis, in vitro and multiscale molecular modeling approaches. Heliyon 2024, 10, e25911. [Google Scholar] [CrossRef]
  30. Yotsu-Yamashita, M.; Kim, Y.H.; Dudley, S.C., Jr.; Choudhary, G.; Pfahnl, A.; Oshima, Y.; Daly, J.W. The structure of zetekitoxin AB, a saxitoxin analog from the Panamanian golden frog Atelopus zeteki: A potent sodium-channel blocker. Proc. Natl. Acad. Sci. USA 2004, 101, 4346–4351. [Google Scholar] [CrossRef]
  31. Nishikawa, T.; Wang, C.; Akimoto, T.; Koshino, H.; Nagasawa, K. Synthesis of an Advanced Model of Zetekitoxin AB Focusing on the N-Acylisoxazolidine Amide Structure Corresponding to C13-C17. Asian J. Org. Chem. 2014, 3, 1308–1311. [Google Scholar] [CrossRef]
  32. Tsuda, M.; Hirano, K.; Kubota, T.; Kobayashi, J. Pyrinodemin A, a cytotoxic pyridine alkaloid with an isoxazolidine moiety from sponge Amphimedon sp. Tetrahedron Lett. 1999, 40, 4819–4820. [Google Scholar] [CrossRef]
  33. Serna, A.V.; Kurti, L.; Siitonen, J.H. Synthesis of (+/−)-Setigerumine I: Biosynthetic Origins of the Elusive Racemic Papaveraceae Isoxazolidine Alkaloids**. Angew. Chem. Int. Ed. Engl. 2021, 60, 27236–27240. [Google Scholar] [CrossRef] [PubMed]
  34. Tronchet, J.M.J.; Iznaden, M.; Barbalatrey, F.; Dhimane, H.; Ricca, A.; Balzarini, J.; Declercq, E. Isoxazolidine analogs of nucleosides. Eur. J. Med. Chem. 1992, 27, 555–560. [Google Scholar] [CrossRef]
  35. Gheidari, D.; Mehrdad, M.; Maleki, S. The quinazoline-2,4(1H,3H)-diones skeleton: A key intermediate in drug synthesis. Sustain. Chem. Pharm. 2022, 27, 100696. [Google Scholar] [CrossRef]
  36. Hassan, A.; Mosallam, A.M.; Ibrahim, A.O.A.; Badr, M.; Abdelmonsef, A.H. Novel 3-phenylquinazolin-2,4(1H,3H)-diones as dual VEGFR-2/c-Met-TK inhibitors: Design, synthesis, and biological evaluation. Sci. Rep. 2023, 13, 18567. [Google Scholar] [CrossRef]
  37. El-Adl, K.; El-Helby, A.G.A.; Sakr, H.; El-Hddad, S.S.A. Design, synthesis, molecular docking, and anticancer evaluations of 1-benzylquinazoline-2,4(1H,3H)-dione bearing different moieties as VEGFR-2 inhibitors. Arch. Pharm. Chem. Life Sci. 2020, 353, e2000068. [Google Scholar] [CrossRef]
  38. Zhou, J.; Du, T.; Wang, X.; Yao, H.P.; Deng, J.; Li, Y.; Chen, X.; Sheng, L.; Ji, M.; Xu, B. Discovery of Quinazoline-2,4(1H,3H)-dione Derivatives Containing a Piperizinone Moiety as Potent PARP-1/2 Inhibitors-Design, Synthesis, In Vivo Antitumor Activity, and X-ray Crystal Structure Analysis. J. Med. Chem. 2023, 66, 14095–14115. [Google Scholar] [CrossRef]
  39. Pradere, U.; Garnier-Amblard, E.C.; Coats, S.J.; Amblard, F.; Schinazi, R.F. Synthesis of Nucleoside Phosphate and Phosphonate Prodrugs. Chem. Rev. 2014, 114, 9154–9218. [Google Scholar] [CrossRef]
  40. Piotrowska, D.G.; Mediavilla, L.; Cuarental, L.; Glowacka, I.E.; Marco-Contelles, J.; Hadjipavlou-Litina, D.; Lopez-Munoz, F.; Oset-Gasque, M.J. Synthesis and Neuroprotective Properties of N-Substituted C-Dialkoxyphosphorylated Nitrones. Acs Omega 2019, 4, 8581–8587. [Google Scholar] [CrossRef]
  41. Pires, D.E.V.; Blundell, T.L.; Ascher, D.B. pkCSM: Predicting Small-Molecule Pharmacokinetic and Toxicity Properties Using Graph-Based Signatures. J. Med. Chem. 2015, 58, 4066–4072. [Google Scholar] [CrossRef] [PubMed]
  42. Park, E.K.; Mak, S.K.; Kültz, D.; Hammock, B.D. Determination of cytotoxicity of nephrotoxins on murine and human kidney cell lines. J. Environ. Sci. Heal. B 2008, 43, 71–74. [Google Scholar] [CrossRef] [PubMed]
  43. Ramirez, T.; Strigun, A.; Verlohner, A.; Huener, H.A.; Peter, E.; Herold, M.; Bordag, N.; Mellert, W.; Walk, T.; Spitzer, M.; et al. Prediction of liver toxicity and mode of action using metabolomics in vitro in HepG2 cells. Arch. Toxicol. 2018, 92, 893–906. [Google Scholar] [CrossRef] [PubMed]
  44. Ayla, S.; Seckin, I.; Tanriverdi, G.; Cengiz, M.; Eser, M.; Soner, B.C.; Oktem, G. Doxorubicin Induced Nephrotoxicity: Protective Effect of Nicotinamide. Int. J. Cell Biol. 2011, 2011, 390238. [Google Scholar] [CrossRef]
  45. Prasanna, P.L.; Renu, K.; Gopalakrishnan, A.V. New molecular and biochemical insights of doxorubicin-induced hepatotoxicity. Life Sci. 2020, 250, 117599. [Google Scholar] [CrossRef]
Figure 1. Structures of alkaloids with isoxazolidine ring.
Figure 1. Structures of alkaloids with isoxazolidine ring.
Molecules 29 03050 g001
Figure 2. Structures of isoxazolidine analogs of nucleosides with anticancer activity.
Figure 2. Structures of isoxazolidine analogs of nucleosides with anticancer activity.
Molecules 29 03050 g002
Figure 3. Structures of isoxazolidine analogs of nucleotides with anticancer activity.
Figure 3. Structures of isoxazolidine analogs of nucleotides with anticancer activity.
Molecules 29 03050 g003
Figure 4. Structures of quinazoline-2,4-diones with anticancer activity.
Figure 4. Structures of quinazoline-2,4-diones with anticancer activity.
Molecules 29 03050 g004
Scheme 1. Retrosynthesis of isoxazolidine conjugates of quinazoline-2,4-dione 16.
Scheme 1. Retrosynthesis of isoxazolidine conjugates of quinazoline-2,4-dione 16.
Molecules 29 03050 sch001
Scheme 2. Reaction and conditions: (a) details for the preparation of N1-allylquinazoline-2,4-dione 19 given in [2]; (b) respective benzyl bromide KOH, MeCN, reflux, 4h for the synthesis of 18ad [2]; (c) respective nitrobenzyl bromide, K2CO3, DMF, rt. 72 h, for the synthesis of 18eg.
Scheme 2. Reaction and conditions: (a) details for the preparation of N1-allylquinazoline-2,4-dione 19 given in [2]; (b) respective benzyl bromide KOH, MeCN, reflux, 4h for the synthesis of 18ad [2]; (c) respective nitrobenzyl bromide, K2CO3, DMF, rt. 72 h, for the synthesis of 18eg.
Molecules 29 03050 sch002
Scheme 3. Reaction and conditions: (a) toluene, 60 °C, 5 days.
Scheme 3. Reaction and conditions: (a) toluene, 60 °C, 5 days.
Molecules 29 03050 sch003
Figure 5. Observed NOEs for cis-16a and trans-16a.
Figure 5. Observed NOEs for cis-16a and trans-16a.
Molecules 29 03050 g005
Figure 6. Induction of apoptosis by compounds: cis-16a/trans-16a (97:3), cis-16b/trans-16b (90:10), and trans-16b.
Figure 6. Induction of apoptosis by compounds: cis-16a/trans-16a (97:3), cis-16b/trans-16b (90:10), and trans-16b.
Molecules 29 03050 g006
Figure 7. The cytotoxicity effect of cis-16a/trans-16a (97:3), cis-16b/trans-16b (90:10), trans-16b, and doxorubicin (DOX) on HEK293 (A), HepG2 (B), and HSF (C) cells after 72 h. Each point represents the mean ± SEM of three independent experiments, each consisting of four replicates per treatment group (n = 12). Statistical analyses were performed using GraphPad Prism 8.0 software. Statistical significance was evaluated by one-way ANOVA with post hoc Dunnett test at significance level α = 0.05 (*** p < 0.001).
Figure 7. The cytotoxicity effect of cis-16a/trans-16a (97:3), cis-16b/trans-16b (90:10), trans-16b, and doxorubicin (DOX) on HEK293 (A), HepG2 (B), and HSF (C) cells after 72 h. Each point represents the mean ± SEM of three independent experiments, each consisting of four replicates per treatment group (n = 12). Statistical analyses were performed using GraphPad Prism 8.0 software. Statistical significance was evaluated by one-way ANOVA with post hoc Dunnett test at significance level α = 0.05 (*** p < 0.001).
Molecules 29 03050 g007
Table 1. Cycloaddition of the nitrone 17 and N1-allyl-N3-benzylquinazoline-2,4-diones 18ag.
Table 1. Cycloaddition of the nitrone 17 and N1-allyl-N3-benzylquinazoline-2,4-diones 18ag.
EntryAlkene 18 (R)Ratio of cis-16:trans-16Yield (%)
aH35:65trans-16a (27%) a + cis-16a and trans-16a (35%) b
b2-F33:67trans-16b (35%) a + cis-16b and trans-16b (33%) b
c3-F39:61trans-16c (34%) a + cis-16c and trans-16c (35%) b
d4-F39:61trans-16d (39%) a + cis-16d and trans-16d (30%) b
e2-NO239:61trans-16e (17%) a + cis-16e and trans-16e (44%) b
f3-NO242:58trans-16f (38%) a + cis-16f and trans-16f (28%) b
g4-NO240:60trans-16g (26%) a + cis-16g and trans-16g (39%) b
a yield of pure trans-isomer. b yield of a pure mixture of cis- and trans-isomers; the 1H and 13P NMR spectra of the respective fractions were analyzed to determine the purity and ratio of isomers.
Table 2. Inhibitory effects of the tested compounds against the proliferation of breast cancer cells (MCF-7), fibrosarcoma cells (HT-1080), and prostate cancer cells (PC-3).
Table 2. Inhibitory effects of the tested compounds against the proliferation of breast cancer cells (MCF-7), fibrosarcoma cells (HT-1080), and prostate cancer cells (PC-3).
CompoundIC50 ± SEM [μM] a
MCF-7HT-1080PC-3
cis-16a/trans-16a (97:3)90.33 ± 4.5719.94 ± 8.1312.64 ± 5.56
trans-16a96.04 ± 4.6640.45 ± 5.4412.67 ± 3.45
cis-16b/trans-16b (90:10)103.69 ± 7.3827.29 ± 5.4311.21 ± 1.99
trans-16b78.66 ± 2.3534.56 ± 5.309.84 ± 3.69
cis-16c/trans-16c (90:10)237.55 ± 20.7220.47 ± 1.5617.64 ± 6.21
trans-16c130.35 ± 9.9742.34 ± 3.4816.37 ± 4.32
cis-16d/trans-16d (96:4)116.45 ± 5.7310.36 ± 2.6916.43 ± 3.69
trans-16d88.89 ± 3.8635.62 ± 3.0313.93 ± 2.14
cis-16e/trans-16e (70:30)59.08 ± 3.7759.60 ± 0.3626.57 ± 4.69
trans-16e57.87 ± 8.3629.80 ± 4.7526.58 ± 1.09
cis-16f/trans-16f (96:4)91.68 ± 1.4717.07 ± 5.7324.80 ± 2.15
trans-16f59.40 ± 0.7823.08 ± 9.2218.14 ± 0.98
cis-16g/trans-16g (88:12)116.45 ± 9.6916.45 ± 2.0321.51 ± 4.63
trans-16g142.49 ± 5.1116.64 ± 3.1116.68 ± 3.48
a 50% inhibitory concentration or compound required to inhibit tumor cell proliferation by 50%. IC50 values were calculated by fitting a non-linear regression to a sigmoidal dose–response curve in GraphPad Prism version 8.0.1.
Disclaimer/Publisher’s Note: The statements, opinions and data contained in all publications are solely those of the individual author(s) and contributor(s) and not of MDPI and/or the editor(s). MDPI and/or the editor(s) disclaim responsibility for any injury to people or property resulting from any ideas, methods, instructions or products referred to in the content.

Share and Cite

MDPI and ACS Style

Łysakowska, M.; Głowacka, I.E.; Honkisz-Orzechowska, E.; Handzlik, J.; Piotrowska, D.G. New 3-(Dibenzyloxyphosphoryl)isoxazolidine Conjugates of N1-Benzylated Quinazoline-2,4-diones as Potential Cytotoxic Agents against Cancer Cell Lines. Molecules 2024, 29, 3050. https://doi.org/10.3390/molecules29133050

AMA Style

Łysakowska M, Głowacka IE, Honkisz-Orzechowska E, Handzlik J, Piotrowska DG. New 3-(Dibenzyloxyphosphoryl)isoxazolidine Conjugates of N1-Benzylated Quinazoline-2,4-diones as Potential Cytotoxic Agents against Cancer Cell Lines. Molecules. 2024; 29(13):3050. https://doi.org/10.3390/molecules29133050

Chicago/Turabian Style

Łysakowska, Magdalena, Iwona E. Głowacka, Ewelina Honkisz-Orzechowska, Jadwiga Handzlik, and Dorota G. Piotrowska. 2024. "New 3-(Dibenzyloxyphosphoryl)isoxazolidine Conjugates of N1-Benzylated Quinazoline-2,4-diones as Potential Cytotoxic Agents against Cancer Cell Lines" Molecules 29, no. 13: 3050. https://doi.org/10.3390/molecules29133050

APA Style

Łysakowska, M., Głowacka, I. E., Honkisz-Orzechowska, E., Handzlik, J., & Piotrowska, D. G. (2024). New 3-(Dibenzyloxyphosphoryl)isoxazolidine Conjugates of N1-Benzylated Quinazoline-2,4-diones as Potential Cytotoxic Agents against Cancer Cell Lines. Molecules, 29(13), 3050. https://doi.org/10.3390/molecules29133050

Article Metrics

Back to TopTop