Recent Progress in Solid-State Room Temperature Afterglow Based on Pure Organic Small Molecules
Abstract
1. Introduction
2. Construction of Solid ORTA System
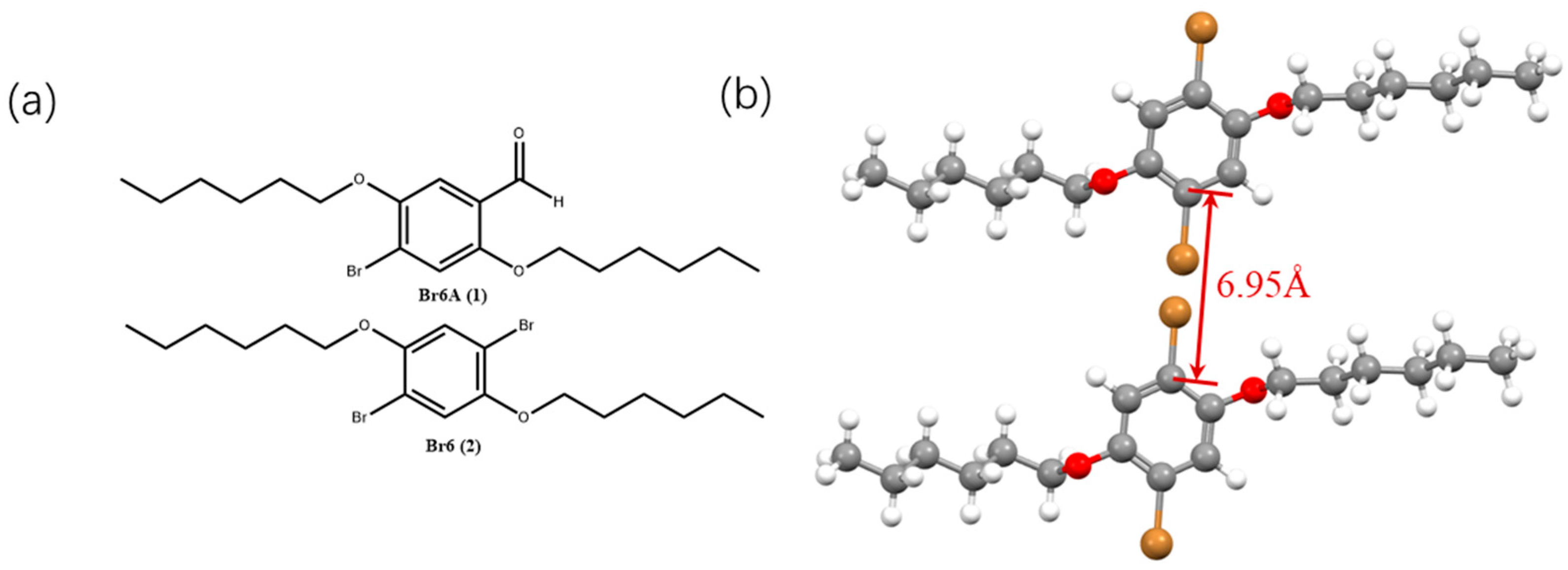
2.1. Crystallization
2.2. Polymer Host-Guest Doped System
2.3. Multiple ORTA Luminescence of Organic Molecules
3. Regulation of Solid ORTA
4. Summary and Outlook
Author Contributions
Funding
Institutional Review Board Statement
Informed Consent Statement
Data Availability Statement
Conflicts of Interest
References
- Dexter, D.L. A Theory of Sensitized Luminescence in Solids. J. Chem. Phys. 1953, 21, 836–850. [Google Scholar] [CrossRef]
- Monguzzi, A.; Mezyk, J.; Scotognella, F.; Tubino, R.; Meinardi, F. Publisher’s Note: Upconversion-induced fluorescence in multicomponent systems: Steady-state excitation power threshold. Phys. Rev. B 2008, 80, 195112. [Google Scholar] [CrossRef]
- Reineke, S.; Lindner, F.; Schwartz, G.; Seidler, N.; Walzer, K.; Lüssem, B.; Leo, K. White organic light-emitting diodes with fluorescent tube efficiency. Nature 2009, 459, 234–238. [Google Scholar] [CrossRef] [PubMed]
- Wu, Z.; Li, Y.; Ma, X. Recent Advances in Pure-Organic Host–Guest Room-Temperature Phosphorescence Systems Toward Bioimaging. Trans. Tianjin Univ. 2023, 29, 432–443. [Google Scholar] [CrossRef]
- Yan, X.; Peng, H.; Xiang, Y.; Wang, J.; Yu, L.; Tao, Y.; Li, H.; Huang, W.; Chen, R. Recent Advances on Host–Guest Material Systems toward Organic Room Temperature Phosphorescence. Small 2022, 18, 2104073. [Google Scholar] [CrossRef] [PubMed]
- Yu, X.; Liang, W.; Huang, Q.; Wu, W.; Chruma, J.J.; Yang, C. Room-temperature phosphorescent γ-cyclodextrin-cucurbit[6]uril-cowheeled [4]rotaxanes for specific sensing of tryptophan. Chem. Commun. 2019, 55, 3156–3159. [Google Scholar] [CrossRef]
- Yu, X.; Wan, S.; Wu, W.; Yang, C.; Lu, W. γ-Cyclodextrin-based [2]rotaxane stoppered with gold(i)–ethynyl complexation: Phosphorescent sensing for nitroaromatics. Chem. Commun. 2022, 58, 6284–6287. [Google Scholar] [CrossRef]
- Yu, X.; Wu, W.; Zhou, D.; Su, D.; Zhong, Z.; Yang, C. Bisindole [3]arenes—Indolyl Macrocyclic Arenes Having Significant Iodine Capture Capacity. CCS Chem. 2021, 4, 1806–1814. [Google Scholar] [CrossRef]
- Zhang, D.; Liang, W.; Yi, J.; Chen, J.; Lv, Y.; Zhao, T.; Xiao, C.; Xie, X.; Wu, W.; Yang, C. Photochemical graft of γ-cyclodextrin’s interior leading to in-situ charge-transfer complexes with unusual regioselectivity and its application in 3D photo-printing. Sci. China. Chem. 2022, 65, 1149–1156. [Google Scholar] [CrossRef]
- Wei, L.; Gao, F.; He, C.; He, Q.; Jin, P.; Rong, Y.; Zhao, T.; Yang, C.; Wu, W. A new sensitization strategy for achieving organic RTP in aqueous solution: Tunable RTP and UC emission in supramolecular TTA-UC systems. Sci. China. Chem. 2023, 66, 3546–3554. [Google Scholar] [CrossRef]
- Gao, F.; Yu, X.; Liu, L.; Chen, J.; Lv, Y.; Zhao, T.; Ji, J.; Yao, J.; Wu, W.; Yang, C. Chiroptical switching of molecular universal joint triggered by complexation/release of a cation: A stepwise synergistic complexation. Chin. Chem. Lett. 2023, 34, 107558. [Google Scholar] [CrossRef]
- Lv, Y.; Xiao, C.; Ma, J.; Zhou, D.; Wu, W.; Yang, C. Solvent and guest-binding-controlled chiroptical inversion of molecular devices based on pseudo[1]catenane-type pillar[5]arene derivatives. Chin. Chem. Lett. 2024, 35, 108757. [Google Scholar] [CrossRef]
- Qu, G.; Zhang, Y.; Ma, X. Recent progress on pure organic room temperature phosphorescence materials based on host-guest interactions. Chin. Chem. Lett. 2019, 30, 1809–1814. [Google Scholar] [CrossRef]
- Bolton, O.; Lee, K.; Kim, H.-J.; Lin, K.Y.; Kim, J. Activating efficient phosphorescence from purely organic materials by crystal design. Nat. Chem. 2011, 3, 205–210. [Google Scholar] [CrossRef] [PubMed]
- Fateminia, S.M.A.; Mao, Z.; Xu, S.; Yang, Z.; Chi, Z.; Liu, B. Organic Nanocrystals with Bright Red Persistent Room-Temperature Phosphorescence for Biological Applications. Angew. Chem. Int. Ed. 2017, 56, 12160–12164. [Google Scholar] [CrossRef] [PubMed]
- Huang, L.; Chen, B.; Zhang, X.; Trindle, C.O.; Liao, F.; Wang, Y.; Miao, H.; Luo, Y.; Zhang, G. Proton-Activated “Off–On” Room-Temperature Phosphorescence from Purely Organic Thioethers. Angew. Chem. Int. Ed. 2018, 57, 16046–16050. [Google Scholar] [CrossRef] [PubMed]
- Li, J.-A.; Zhou, J.; Mao, Z.; Xie, Z.; Yang, Z.; Xu, B.; Liu, C.; Chen, X.; Ren, D.; Pan, H.; et al. Transient and Persistent Room-Temperature Mechanoluminescence from a White-Light-Emitting AIEgen with Tricolor Emission Switching Triggered by Light. Angew. Chem. Int. Ed. 2018, 57, 6449–6453. [Google Scholar] [CrossRef]
- Tian, S.; Ma, H.; Wang, X.; Lv, A.; Shi, H.; Geng, Y.; Li, J.; Liang, F.; Su, Z.-M.; An, Z.; et al. Utilizing d–pπ Bonds for Ultralong Organic Phosphorescence. Angew. Chem. Int. Ed. 2019, 58, 6645–6649. [Google Scholar] [CrossRef]
- Yang, Z.; Mao, Z.; Zhang, X.; Ou, D.; Mu, Y.; Zhang, Y.; Zhao, C.; Liu, S.; Chi, Z.; Xu, J.; et al. Intermolecular Electronic Coupling of Organic Units for Efficient Persistent Room-Temperature Phosphorescence. Angew. Chem. Int. Ed. 2016, 55, 2181–2185. [Google Scholar] [CrossRef]
- Yuan, W.Z.; Shen, X.Y.; Zhao, H.; Lam, J.W.Y.; Tang, L.; Lu, P.; Wang, C.; Liu, Y.; Wang, Z.; Zheng, Q.; et al. Crystallization-Induced Phosphorescence of Pure Organic Luminogens at Room Temperature. J. Phys. Chem. C 2010, 114, 6090–6099. [Google Scholar] [CrossRef]
- Zhan, L.; Chen, Z.; Gong, S.; Xiang, Y.; Ni, F.; Zeng, X.; Xie, G.; Yang, C. A Simple Organic Molecule Realizing Simultaneous TADF, RTP, AIE, and Mechanoluminescence: Understanding the Mechanism Behind the Multifunctional Emitter. Angew. Chem. Int. Ed. 2019, 58, 17651–17655. [Google Scholar] [CrossRef] [PubMed]
- Song, J.; Ma, L.; Sun, S.; Tian, H.; Ma, X. Reversible Multilevel Stimuli-Responsiveness and Multicolor Room-Temperature Phosphorescence Emission Based on a Single-Component System. Angew. Chem. Int. Ed. 2022, 61, e202206157. [Google Scholar] [CrossRef] [PubMed]
- Chen, K.; Luo, Y.; Sun, M.; Liu, C.; Jia, M.; Fu, C.; Shen, X.; Li, C.; Zheng, X.; Pu, X.; et al. Acquiring Charge-Transfer-Featured Single-Molecule Ultralong Organic Room Temperature Phosphorescence via Through-Space Electronic Coupling. Angew. Chem. Int. Ed. 2024, 63, e202314447. [Google Scholar] [CrossRef] [PubMed]
- Wang, C.-R.; Gong, Y.-Y.; Yuan, W.-Z.; Zhang, Y.-M. Crystallization-induced phosphorescence of pure organic luminogens. Chin. Chem. Lett. 2016, 27, 1184–1192. [Google Scholar] [CrossRef]
- Wang, Z.; Li, T.; Ding, B.; Ma, X. Achieving room temperature phosphorescence from organic small molecules on amino acid skeleton. Chin. Chem. Lett. 2020, 31, 2929–2932. [Google Scholar] [CrossRef]
- Xiong, Q.; Xu, C.; Jiao, N.; Ma, X.; Zhang, Y.; Zhang, S. Pure organic room-temperature phosphorescent N-allylquinolinium salts as anti-counterfeiting materials. Chin. Chem. Lett. 2019, 30, 1387–1389. [Google Scholar] [CrossRef]
- Ma, X.; Xu, C.; Wang, J.; Tian, H. Amorphous Pure Organic Polymers for Heavy-Atom-Free Efficient Room-Temperature Phosphorescence Emission. Angew. Chem. Int. Ed. 2018, 57, 10854. [Google Scholar]
- Chen, K.; Zhang, Y.; Lei, Y.; Dai, W.; Liu, M.; Cai, Z.; Wu, H.; Huang, X.; Ma, X. Twofold rigidity activates ultralong organic high-temperature phosphorescence. Nat. Commun. 2024, 15, 1269. [Google Scholar] [CrossRef] [PubMed]
- Deng, L.; Ma, Z.; Zhou, J.; Chen, L.; Wang, J.; Qiao, X.; Hu, D.; Ma, D.; Peng, J.; Ma, Y. Regulating excited state of sulfone-locked triphenylamine heteroaromatics for high-efficiency ultralong room-temperature phosphorescence. Chem. Eng. J. 2022, 449, 137834. [Google Scholar] [CrossRef]
- Huang, Z.; He, Z.; Ding, B.; Tian, H.; Ma, X. Photoprogrammable circularly polarized phosphorescence switching of chiral helical polyacetylene thin films. Nat. Commun. 2022, 13, 7841. [Google Scholar] [CrossRef]
- Liu, R.; Liu, C.; Fu, C.; Zhu, Z.; Chen, K.; Li, C.; Wang, L.; Huang, Y.; Lu, Z. Ambient Phosphor with High Efficiency and Long Lifetime in Poly(Methyl Methacrylate) Through Charge-Transfer-Mediated Triplet Exciton Formation for Photolithography Applications. Angew. Chem. Int. Ed. 2024, 63, e202312534. [Google Scholar] [CrossRef] [PubMed]
- Xu, L.; Wei, H.; Xie, G.; Xu, B.; Zhao, J. Ultralong MRTADF and Room-Temperature Phosphorescence Enabled Color-Tunable and High-Temperature Dual-Mode Organic Afterglow from Indolo[3,2-b]carbazole. Adv. Funct. Mater. 2024, 2402428. [Google Scholar] [CrossRef]
- Zhou, L.; Song, J.; He, Z.; Liu, Y.; Jiang, P.; Li, T.; Ma, X. Achieving Efficient Dark Blue Room-Temperature Phosphorescence with Ultra-Wide Range Tunable-Lifetime. Angew. Chem. Int. Ed. 2024, 63, e202403773. [Google Scholar] [CrossRef] [PubMed]
- Xu, Q.; Ma, L.; Lin, X.; Wang, Q.; Ma, X. Influence of the alkyl side chain length on the room-temperature phosphorescence of organic copolymers. Chin. Chem. Lett. 2022, 33, 2965–2968. [Google Scholar] [CrossRef]
- Chen, J.; Yu, T.; Ubba, E.; Xie, Z.; Yang, Z.; Zhang, Y.; Liu, S.; Xu, J.; Aldred, M.P.; Chi, Z. Achieving Dual-Emissive and Time-Dependent Evolutive Organic Afterglow by Bridging Molecules with Weak Intermolecular Hydrogen Bonding. Adv. Opt. Mater. 2019, 7, 1801593. [Google Scholar] [CrossRef]
- Chen, K.; Jiang, Y.; Zhu, Y.; Lei, Y.; Dai, W.; Liu, M.; Cai, Z.; Wu, H.; Huang, X.; Dong, Y. Host to regulate the T1–S1 and T1–S0 processes of guest excitons in doped systems to control the TADF and RTP emissions. J. Mater. Chem. C 2022, 10, 11607–11613. [Google Scholar] [CrossRef]
- Deng, H.; Li, G.; Xie, H.; Yang, Z.; Mao, Z.; Zhao, J.; Yang, Z.; Zhang, Y.; Chi, Z. Dynamic Ultra-long Room Temperature Phosphorescence Enabled by Amorphous Molecular “Triplet Exciton Pump” for Encryption with Temporospatial Resolution. Angew. Chem. Int. Ed. 2024, 63, e202317631. [Google Scholar] [CrossRef]
- Jin, J.; Jiang, H.; Yang, Q.; Tang, L.; Tao, Y.; Li, Y.; Chen, R.; Zheng, C.; Fan, Q.; Zhang, K.Y.; et al. Thermally activated triplet exciton release for highly efficient tri-mode organic afterglow. Nat. Commun. 2020, 11, 842. [Google Scholar] [CrossRef] [PubMed]
- Jin, J.; Xue, P.; Zhang, L.; Jiang, H.; Wang, W.; Yang, Q.; Tao, Y.; Zheng, C.; Chen, R.; Huang, W. Modulating Tri-Mode Emission for Single-Component White Organic Afterglow. Angew. Chem. Int. Ed. 2021, 60, 24984–24990. [Google Scholar] [CrossRef]
- Kawaguchi, K.; Sugawara, N.; Ito, M.; Kubo, Y. Thermochromic Afterglow from Benzene-1,4-Diboronic Acid-Doped Co-crystals. Chem. Eur. J. 2024, 30, e202303924. [Google Scholar] [CrossRef]
- Li, M.; Xie, W.; Cai, X.; Peng, X.; Liu, K.; Gu, Q.; Zhou, J.; Qiu, W.; Chen, Z.; Gan, Y.; et al. Molecular Engineering of Sulfur-Bridged Polycyclic Emitters Towards Tunable TADF and RTP Electroluminescence. Angew. Chem. Int. Ed. 2022, 61, e202209343. [Google Scholar] [CrossRef] [PubMed]
- Mao, Z.; Yang, Z.; Xu, C.; Xie, Z.; Jiang, L.; Gu, F.L.; Zhao, J.; Zhang, Y.; Aldred, M.P.; Chi, Z. Two-photon-excited ultralong organic room temperature phosphorescence by dual-channel triplet harvesting. Chem. Sci. 2019, 10, 7352–7357. [Google Scholar] [CrossRef] [PubMed]
- Song, J.; Wang, Y.; Qu, L.; Fang, L.; Zhou, X.; Xu, Z.-X.; Yang, C.; Wu, P.; Xiang, H. Room-Temperature Phosphorescence of Pure Axially Chiral Bicarbazoles. J. Phys. Chem. Lett. 2022, 13, 5838–5844. [Google Scholar] [CrossRef] [PubMed]
- Song, T.; Liu, H.; Ren, J.; Wang, Z. Achieving TADF and RTP with Stimulus-Responsiveness and Tunability from Phenothiazine-Based Donor−Acceptor Molecules. Adv. Opt. Mater. 2024, 12, 2301215. [Google Scholar] [CrossRef]
- Wang, J.-X.; Fang, Y.-G.; Li, C.-X.; Niu, L.-Y.; Fang, W.-H.; Cui, G.; Yang, Q.-Z. Time-Dependent Afterglow Color in a Single-Component Organic Molecular Crystal. Angew. Chem. Int. Ed. 2020, 59, 10032–10036. [Google Scholar] [CrossRef]
- Wang, Y.; Gao, M.; Ren, J.; Liang, J.; Zhao, Y.; Fang, M.; Yang, J.; Li, Z. Exciplex-induced TADF, persistent RTP and ML in a host–guest doping system. Mater. Chem. Front. 2023, 7, 1093–1099. [Google Scholar] [CrossRef]
- Yang, Y.; Liang, Y.; Zheng, Y.; Li, J.-A.; Wu, S.; Zhang, H.; Huang, T.; Luo, S.; Liu, C.; Shi, G.; et al. Efficient and Color-Tunable Dual-Mode Afterglow from Large-Area and Flexible Polymer-Based Transparent Films for Anti-Counterfeiting and Information Encryption. Angew. Chem. Int. Ed. 2022, 61, e202201820. [Google Scholar] [CrossRef] [PubMed]
- Zang, L.; Shao, W.; Bolton, O.; Ansari, R.; Yoon, S.J.; Heo, J.-M.; Kieffer, J.; Matzger, A.J.; Kim, J. Polarity-induced dual room-temperature phosphorescence involving the T2 states of pure organic phosphors. J. Mater. Chem. C 2022, 10, 14746–14753. [Google Scholar] [CrossRef]
- Bian, L.; Shi, H.; Wang, X.; Ling, K.; Ma, H.; Li, M.; Cheng, Z.; Ma, C.; Cai, S.; Wu, Q.; et al. Simultaneously Enhancing Efficiency and Lifetime of Ultralong Organic Phosphorescence Materials by Molecular Self-Assembly. J. Am. Chem. Soc. 2018, 140, 10734–10739. [Google Scholar] [CrossRef]
- Zhang, X.; Chong, K.C.; Xie, Z.; Liu, B. Color-Tunable Dual-Mode Organic Afterglow for White-Light Emission and Information Encryption Based on Carbazole Doping. Angew. Chem. Int. Ed. 2023, 62, e202310335. [Google Scholar] [CrossRef]
- Zhou, Y.; Jin, L.; Chen, J.; Hong, W.; Liang, G.; Qin, W. Five-in-one: Dual-mode ultralong persistent luminescence with multiple responses from amorphous polymer films. Chem. Eng. J. 2023, 463, 142506. [Google Scholar] [CrossRef]
- Guo, D.; Wang, Y.; Chen, J.; Cao, Y.; Miao, Y.; Huang, H.; Chi, Z.; Yang, Z. Intrinsic persistent room temperature phosphorescence derived from 1H-benzo[f]indole itself as a guest. Chin. Chem. Lett. 2023, 34, 107882. [Google Scholar] [CrossRef]
- Wang, Y.; Wang, C.; Zhang, J.; Guo, Y.; Zhao, P.; Fang, X.; Zhao, G. Ultralong room temperature phosphorescence via the charge transfer-separation-recombination mechanism based on organic small molecule doping strategy. Chin. Chem. Lett. 2023, 34, 108062. [Google Scholar] [CrossRef]
- Chen, B.; Huang, W.; Nie, X.; Liao, F.; Miao, H.; Zhang, X.; Zhang, G. An Organic Host–Guest System Producing Room-Temperature Phosphorescence at the Parts-Per-Billion Level. Angew. Chem. Int. Ed. 2021, 60, 16970–16973. [Google Scholar] [CrossRef] [PubMed]
- Chen, B.; Huang, W.; Su, H.; Miao, H.; Zhang, X.; Zhang, G. An Unexpected Chromophore–Solvent Reaction Leads to Bicomponent Aggregation-Induced Phosphorescence. Angew. Chem. Int. Ed. 2020, 59, 10023–10026. [Google Scholar] [CrossRef] [PubMed]
- Chen, B.; Huang, W.; Zhang, G. Observation of Chiral-selective room-temperature phosphorescence enhancement via chirality-dependent energy transfer. Nat. Commun. 2023, 14, 1514. [Google Scholar] [CrossRef] [PubMed]
- Ding, B.; Ma, L.; Huang, Z.; Ma, X.; Tian, H. Engendering persistent organic room temperature phosphorescence by trace ingredient incorporation. Sci. Adv. 2021, 7, eabf9668. [Google Scholar] [CrossRef] [PubMed]
- Wang, Y.; Gao, H.; Yang, J.; Fang, M.; Ding, D.; Tang, B.Z.; Li, Z. High Performance of Simple Organic Phosphorescence Host–Guest Materials and their Application in Time-Resolved Bioimaging. Adv. Mater. 2021, 33, 2007811. [Google Scholar] [CrossRef] [PubMed]
- Wang, Y.; Yang, J.; Fang, M.; Yu, Y.; Zou, B.; Wang, L.; Tian, Y.; Cheng, J.; Tang, B.Z.; Li, Z. Förster Resonance Energy Transfer: An Efficient Way to Develop Stimulus-Responsive Room-Temperature Phosphorescence Materials and Their Applications. Matter 2020, 3, 449–463. [Google Scholar] [CrossRef]
- Wei, J.; Liang, B.; Duan, R.; Cheng, Z.; Li, C.; Zhou, T.; Yi, Y.; Wang, Y. Induction of Strong Long-Lived Room-Temperature Phosphorescence of N-Phenyl-2-naphthylamine Molecules by Confinement in a Crystalline Dibromobiphenyl Matrix. Angew. Chem. Int. Ed. 2016, 55, 15589–15593. [Google Scholar] [CrossRef]
- Xiao, L.; Wu, Y.; Chen, J.; Yu, Z.; Liu, Y.; Yao, J.; Fu, H. Highly Efficient Room-Temperature Phosphorescence from Halogen-Bonding-Assisted Doped Organic Crystals. J. Phys. Chem. A 2017, 121, 8652–8658. [Google Scholar] [CrossRef] [PubMed]
- Zhang, X.; Du, L.; Zhao, W.; Zhao, Z.; Xiong, Y.; He, X.; Gao, P.F.; Alam, P.; Wang, C.; Li, Z.; et al. Ultralong UV/mechano-excited room temperature phosphorescence from purely organic cluster excitons. Nat. Commun. 2019, 10, 5161. [Google Scholar] [CrossRef]
- Zhao, S.; Yang, Z.; Zhang, X.; Liu, H.; Lv, Y.; Wang, S.; Yang, Z.; Zhang, S.-T.; Yang, B. A functional unit combination strategy for enhancing red room-temperature phosphorescence. Chem. Sci. 2023, 14, 9733–9743. [Google Scholar] [CrossRef]
- Zhao, Y.-Q.; Zhu, L.; Lu, J.-M.; Yu, L.; Zhang, L.; Zhou, Y. New charge transfer-based organic room temperature phosphorescent trace doping systems. Chem. Commun. 2023, 59, 8396–8399. [Google Scholar] [CrossRef] [PubMed]
- Chen, Y.; Li, A.; Li, X.; Tu, L.; Xie, Y.; Xu, S.; Li, Z. Multi-Stimuli-Responsive Amphiphilic Pyridinium Salt and Its Application in the Visualization of Level 3 Details in Latent Fingerprints. Adv. Mater. 2023, 35, 2211917. [Google Scholar] [CrossRef] [PubMed]
- Gao, M.; Tian, Y.; Yang, J.; Li, X.; Fang, M.; Li, Z. The same molecule but a different molecular conformation results in a different room temperature phosphorescence in phenothiazine derivatives. J. Mater. Chem. C 2021, 9, 15375–15380. [Google Scholar] [CrossRef]
- Huang, Y.; Zheng, X.; Yao, Z.; Lv, W.; Xiang, S.; Ling, Q.; Lin, Z. Multimode stimuli responsive dual-state organic room temperature phosphorescence from a phenanthrene derivative. Chem. Eng. J. 2022, 444, 136629. [Google Scholar] [CrossRef]
- Liao, Q.; Li, A.; Huang, A.; Wang, J.; Chang, K.; Li, H.; Yao, P.; Zhong, C.; Xie, P.; Wang, J.; et al. Controllable π–π coupling of intramolecular dimer models in aggregated states. Chem. Sci. 2024, 15, 4364–4373. [Google Scholar] [CrossRef] [PubMed]
- Wang, X.; Wu, X.; Wang, T.; Wu, Y.; Shu, H.; Cheng, Z.; Zhao, L.; Tian, H.; Tong, H.; Wang, L. A high-contrast polymorphic difluoroboron luminogen with efficient RTP and TADF emissions. Chem. Commun. 2023, 59, 1377–1380. [Google Scholar] [CrossRef]
- Song, J.; Zhou, Y.; Pan, Z.; Hu, Y.; He, Z.; Tian, H.; Ma, X. An elastic organic crystal with multilevel stimuli-responsive room temperature phosphorescence. Matter 2023, 6, 2005–2018. [Google Scholar] [CrossRef]
- Gu, L.; Shi, H.; Gu, M.; Ling, K.; Ma, H.; Cai, S.; Song, L.; Ma, C.; Li, H.; Xing, G.; et al. Dynamic Ultralong Organic Phosphorescence by Photoactivation. Angew. Chem. Int. Ed. 2018, 57, 8425–8431. [Google Scholar] [CrossRef]
- Hamzehpoor, E.; Ruchlin, C.; Tao, Y.; Liu, C.-H.; Titi, H.M.; Perepichka, D.F. Efficient room-temperature phosphorescence of covalent organic frameworks through covalent halogen doping. Nat. Chem. 2023, 15, 83–90. [Google Scholar] [CrossRef] [PubMed]
- Ma, L.; Xu, Q.; Sun, S.; Ding, B.; Huang, Z.; Ma, X.; Tian, H. A Universal Strategy for Tunable Persistent Luminescent Materials via Radiative Energy Transfer. Angew. Chem. Int. Ed. 2022, 61, e202115748. [Google Scholar] [CrossRef] [PubMed]
- Liu, H.; Pan, G.; Yang, Z.; Wen, Y.; Zhang, X.; Zhang, S.-T.; Li, W.; Yang, B. Dual-Emission of Fluorescence and Room-Temperature Phosphorescence for Ratiometric and Colorimetric Oxygen Sensing and Detection Based on Dispersion of Pure Organic Thianthrene Dimer in Polymer Host. Adv. Opt. Mater. 2022, 10, 2102814. [Google Scholar] [CrossRef]
- Ren, J.; Gao, M.; Liu, Z.; Yang, Y.; Wu, R.; Liang, J.; Yang, J.; Fang, M.; Li, Z. The Impact of Molecular Packing on Organic Room Temperature Phosphorescence and Corresponding Stimulus Response Effect. Adv. Funct. Mater. 2024, 34, 2311659. [Google Scholar] [CrossRef]
- Zhang, Y.; Su, Y.; Wu, H.; Wang, Z.; Wang, C.; Zheng, Y.; Zheng, X.; Gao, L.; Zhou, Q.; Yang, Y.; et al. Large-Area, Flexible, Transparent, and Long-Lived Polymer-Based Phosphorescence Films. J. Am. Chem. Soc. 2021, 143, 13675–13685. [Google Scholar] [CrossRef] [PubMed]
- Chen, R.; Guan, Y.; Wang, H.; Zhu, Y.; Tan, X.; Wang, P.; Wang, X.; Fan, X.; Xie, H.-L. Organic Persistent Luminescent Materials: Ultralong Room-Temperature Phosphorescence and Multicolor-Tunable Afterglow. ACS Appl. Mater. Interfaces 2021, 13, 41131–41139. [Google Scholar] [CrossRef] [PubMed]
- Gao, M.; Tian, Y.; Li, X.; Gong, Y.; Fang, M.; Yang, J.; Li, Z. The Effect of Molecular Conformations and Simulated “Self-Doping” in Phenothiazine Derivatives on Room-Temperature Phosphorescence. Angew. Chem. Int. Ed. 2023, 62, e202214908. [Google Scholar] [CrossRef]
- Ren, J.; Wang, Y.; Tian, Y.; Liu, Z.; Xiao, X.; Yang, J.; Fang, M.; Li, Z. Force-Induced Turn-On Persistent Room-Temperature Phosphorescence in Purely Organic Luminogen. Angew. Chem. Int. Ed. 2021, 60, 12335–12340. [Google Scholar] [CrossRef]
- Zheng, K.; Ni, F.; Chen, Z.; Zhong, C.; Yang, C. Polymorph-Dependent Thermally Activated Delayed Fluorescence Emitters: Understanding TADF from a Perspective of Aggregation State. Angew. Chem. Int. Ed. 2020, 59, 9972–9976. [Google Scholar] [CrossRef]
- He, C.; Huang, R.; Wei, L.; He, Q.; Liu, J.; Chen, J.; Gao, G.; Yang, C.; Wu, W. Uncovering the mask of sensitizers to switch on the TTA-UC emission by supramolecular host-guest complexation. Chin. Chem. Lett. 2024, 110103. [Google Scholar] [CrossRef]












Disclaimer/Publisher’s Note: The statements, opinions and data contained in all publications are solely those of the individual author(s) and contributor(s) and not of MDPI and/or the editor(s). MDPI and/or the editor(s) disclaim responsibility for any injury to people or property resulting from any ideas, methods, instructions or products referred to in the content. |
© 2024 by the authors. Licensee MDPI, Basel, Switzerland. This article is an open access article distributed under the terms and conditions of the Creative Commons Attribution (CC BY) license (https://creativecommons.org/licenses/by/4.0/).
Share and Cite
Shen, X.; Wu, W.; Yang, C. Recent Progress in Solid-State Room Temperature Afterglow Based on Pure Organic Small Molecules. Molecules 2024, 29, 3236. https://doi.org/10.3390/molecules29133236
Shen X, Wu W, Yang C. Recent Progress in Solid-State Room Temperature Afterglow Based on Pure Organic Small Molecules. Molecules. 2024; 29(13):3236. https://doi.org/10.3390/molecules29133236
Chicago/Turabian StyleShen, Xin, Wanhua Wu, and Cheng Yang. 2024. "Recent Progress in Solid-State Room Temperature Afterglow Based on Pure Organic Small Molecules" Molecules 29, no. 13: 3236. https://doi.org/10.3390/molecules29133236
APA StyleShen, X., Wu, W., & Yang, C. (2024). Recent Progress in Solid-State Room Temperature Afterglow Based on Pure Organic Small Molecules. Molecules, 29(13), 3236. https://doi.org/10.3390/molecules29133236

