Abstract
1,2,3,4,5-pentathiepines (PTEs) are naturally occurring polysulfides of increasing scientific interest based on their identified pharmacological activities. Artificial PTEs with N-heterocyclic backbones are efficiently synthesized via mediation by a molybdenum–oxo-bistetrasulfido complex. A common feature of all precursor alkynes successfully used to date in this reaction is the presence of a –CH(OEt)2 group since the previously postulated mechanism requires the presence of one OEt– as the leaving group, and the second must become a transient ethoxonium moiety. This raised the question of whether there really is a need for two, maybe only one, or possibly even zero ethoxy substituents. This research problem was systematically addressed by respective variations in the precursor-alkyne derivatives and by employing one related allene species. It was found that the total absence of ethoxy substituents prevents the formation of PTEs entirely, while the presence of a single ethoxy group results in the possibility to distinctly functionalize the position on the resulting N-heterocyclic pyrrole five ring in the target compound. This position was previously exclusively occupied by an –OEt for all products of the molybdenum-mediated reaction. The allene was applied with similar success as precursor as with the related alkyne. The now-employable significant change in precursor composition gives access to a whole new PTE subfamily, allowing further modulation of (physico)-chemical properties such as solubility, and provides additional insight into the mechanism of PTE formation; it comprises a merely partial validation of the previous hypothesis. The new alkyne precursors and pentathiepines were characterized by a variety of instrumental analyses (NMR, mass spec, UV–vis) and in six cases (one alkyne precursor, one unexpected side product, and four PTEs) by single-crystal X-ray diffraction. Syntheses, isolation procedures, analytical data, and the impact of the findings on the previously proposed mechanism are described in detail herein.
1. Introduction
Polysulfide-bearing compounds of marine origin, most notably cyclic polysulfide metabolites, represent a distinctive, relatively uncommon, yet significant category of natural products. Numerous studies have revealed their beneficial biological activities comprising antitumor, antibiotic, anti-inflammatory, and enzyme-inhibitory effects [1]. Peculiar as their chemical structures may look on paper, pentathiepines (PTEs) in general are therefore not only chemically but also pharmacologically quite notable [2,3,4,5,6]. 1,2,3,4,5-pentathiepines are heterocyclic unsaturated polysulfides featuring a seven-membered ring consisting of a chain of five sulfur atoms, the ends of which are tethered together by a –C=C– moiety or, more generally, two sp2 hybridized carbon atoms. Simple artificial pentathiepines were first reported in the early 1970s [7]. A significant breakthrough occurred in 1991 with the discovery of these compound types in animals belonging to a group of non-vertebrate marine filter feeders: the ascidians or sea squirts [8]. Since then, it has become well known that these animals are quite adept in the production of a variety of sulfur-rich compounds, which include PTEs but also some alkaloids, which are employed as self-defense mechanisms against pathogens [9,10]. Trying to exploit the pentathiepines’ medicinal potential with new synthetic compounds was for a long time based on procedures at relatively or even very harsh conditions [7,11,12,13,14]. In 2013, merely by accident, a new procedure was discovered that facilitates the synthesis of structurally complex N-heterocyclic pentathiepines under rather benign conditions [15]. This molybdenum-mediated protocol turned out to be broadly applicable with a tolerance for and compatibility with a large variety of functional groups in the starting materials [16,17].
The key and, at the same time, limiting factor of this route is the employment of 2-(3,3-diethoxyprop-1-yn-1-yl)azine precursors. These are –CH(OEt)2 functionalized N-heterocyclic alkynes, which can be easily obtained by Sonogashira coupling reactions [18]. Such a synthon, upon reaction with one equivalent of elemental sulfur (cyclo-S8) and half an equivalent of bistetrasulfido(oxo)molybdate(IV) complex ((NEt4)2[MoIVO(S4)2]), leads to the formation of PTEs. The products may be distinctly substituted on the N-heterocyclic six-membered ring of the backbone. However, to date, every single one of the reported respective products from the molybdenum-mediated synthetic procedures exclusively bears an ethoxy group on the pyrrolic five-membered central ring.
In this work, we systematically investigated the necessity of the presence of two, one, or zero –OEt substituents on the precursor alkynes for PTE formation. Considering the, by now, vast experience we have with this type of chemistry, we hypothesized that the crucial event in PTE formation is the detachment of one alcoholate monoanion, which thus comprises an essential functional group, while the second crucial event is the formation of a cationic moiety adjacent to the alkyne, which in all likelihood might not have to be limited to an ethoxonium species. We thereby discovered access to the functionalization of the pyrrolic central ring with a variety of substituents, which will also facilitate the future additional targeted modulation of the chemical and electronic structures as well as their (physico-)chemical properties, such as solubility or stability (Figure 1). In order to evaluate the previously proposed mechanism postulated in the primal work of Zubair et al. [15] with regard to molybdenum-mediated PTE formation, for the first time, the alkyne precursor was derivatized from the as of yet omnipresent –CH(OEt)2 group. This, consequently, results in a new PTE subfamily with its unprecedented varied functionalization on the central pyrrolic ring.
Figure 1.
General reaction scheme for the synthesis of 1,2,3,4,5-pentathiepino[6,7-a]indolizines, from diversely substituted 2-(3-ethoxyprop-1-yn-1-yl)pyridines. In all previous reports: R = –OEt; in this report: R = –Me, –Ph, –CH2CH2OH, and –CH2CH2CH2OH. The blue digits represent the atom numbering scheme for this type of tricyclic pentathiepine.
Aside from supporting the initial and likely most crucial step in the postulated mechanism of molybdenum-mediated PTE formation, these findings will also broaden the scope for drug design and potential therapeutic applications [19]. All newly synthesized pentathiepines were fully characterized spectroscopically/analytically, and some individual molecular structures of precursors, side products, and products were determined with single-crystal X-ray diffraction.
2. Results and Discussion
In order to test the hypothesis, i.e., for the molybdenum-mediated pentathiepine formation, a single –OEt substituent or, more generally, a single aliphatic ether function on the alkyne precursor should be sufficient, respective suitable starting materials had to be developed. This required the simultaneous presence of one –OEt moiety and of a distinct substituent on the tertiary propargyl carbon. To this end, the most suitable sequence of transformations had to be identified, for which various general approaches for their synthesis were investigated, adapted, and refined. The generation of the ether, functioning as the very last step of precursor synthesis, turned out to be the most feasible pathway (Figure 2).
Figure 2.
Most feasible general synthetic route for the preparation of the precursor alkynes bearing a single ethoxy substituent; retrosynthetic presentation with precursor numbering pattern to be used throughout.
In addition to these precursors, alkyne species were also used in typical PTE syntheses without bearing any ether function: those with cyclic di-ether functions and even one allene compound. This was performed in order to obtain evidence for or against the suggested mechanism of molybdenum-mediated PTE formation, i.e., to (at least partially) validate the mechanism that was postulated already in 2013 [15].
2.1. Testing the Postulated Mechanism—An Overview
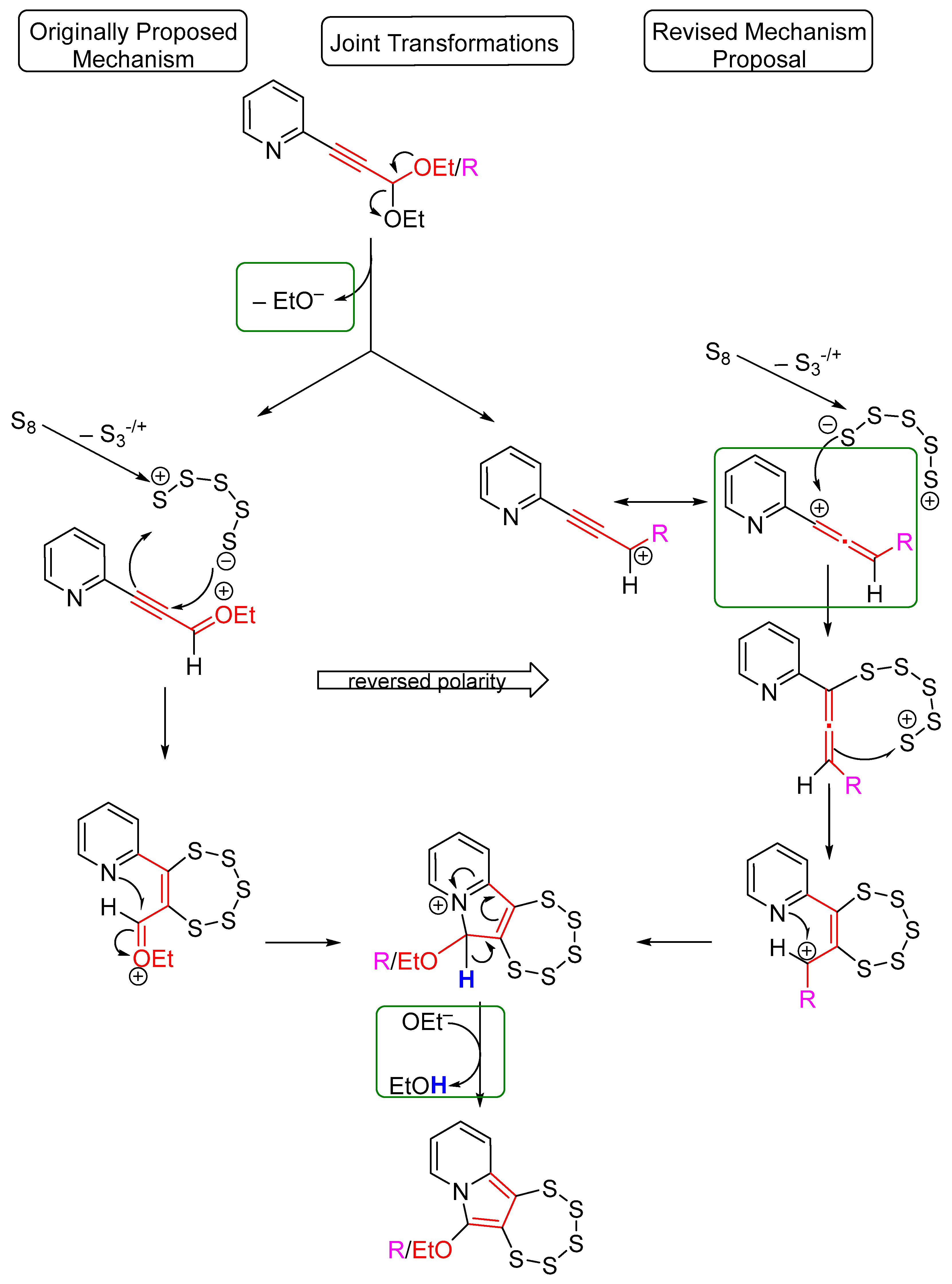
It was originally hypothesized that the first step in the molybdenum-mediated pentathiepine synthesis involves the elimination of one negatively charged OEt– group from the acetal, resulting in the formation of an ethoxonium ion (R2C=O+Et) [15] (see Figure 3 for a comparison of old and newly considered mechanistic proposals). The OEt− abstraction may be facilitated by interaction with the molybdate complex, but to date, that is not supported by any evidence. The C≡C triple bond in subsequence was proposed to react with a pentasulfido zwitterion (−S··S3··S+) generated from S8 with the help of the molybdate complex’s tetrasulfido ligands. A polarization of the triple bond was presumed due to the presence of the positively charged ethoxonium moiety. However, it appears similarly likely that the immediately formed propargylcation engages in resonance in the opposite direction, i.e., towards the alkyne moiety instead of moving the positive charge to the oxygen. Such a cation is typically stabilized via an allene resonance structure, which would reverse the polarity of the attack of the S5+/− moiety. Since the sulfur fragment to be attached is symmetrical, the outcome will be the same either way. Considering all this, the presence of an ethoxonium may not be necessary per se according to the revised hypothetical mechanism. Upon the formation of the pentathiepine ring, a rearrangement of the delocalized electrons was anticipated to facilitate the nucleophilic attack of the aza group’s nitrogen on the carbonyl moiety. This may, in fact, be an even more imminent interaction with a carbocation. Then, proton loss occurs, followed by re-aromatization of the newly formed tricyclic skeleton in either of the two mechanisms. Besides the N-heterocyclic pentathiepine, an actual ethanol molecule results from this reaction [15].
Figure 3.
Proposed reaction mechanism(s) for the molybdenum-mediated pentathiepine formation. To the left: the originally proposed transformations [15]; to the right: those we consider more likely based on the observations described below. In the green boxes, events are shown that are strongly supported by the study presented here.
One result of the study by Zubair et al. was confirmation of the impossibility to generate a pentathiepine from an alcohol-modified precursor alkyne (propargylic alcohol) devoid of any –OEt group. We tested the analogous precursor 3a, which is a pyridine rather than a pyrazine species, as in said reference [15], under typical reaction conditions for PTE formation. As anticipated, the reaction towards the PTE, which was repeatedly carried out, did not yield any product whatsoever (Table 1). Similar results were obtained with the propyl-substituted precursor 4′a. (The prime is applied to the label since the compound does not bear an ethoxy substituent, as shown in Figure 2 above.) This confirms the previous observation that in the absence of –OEt, the reaction does not occur, and it also supports the elimination of the alcoholate anion to be an early, if not the very first, and a truly crucial step of molybdenum-mediated pentathiepine formation.
Table 1.
Summary of the starting materials tested for the C-6 functionalization of indolizine-derived PTEs.
We next looked at alkyne precursor species with only one ethoxy substituent, the first one being 4b. In this case, the –OEt-bearing carbon was also a methylene, as in 3a and 4′a. Not surprisingly, the reactivity here is also notably modified from previous reports since the –CH(OEt)2 group is in fact a di-acetal protected aldehyde, while the –CH2(OEt) in 4b is an ether. Still, the adjacency to a triple bond and potential conjugation to an aromatic system may support removal of the OEt– group and stabilize the subsequent intermediate. In case of 4b, this would result in a primary carbenium cation, which has a substantially high reactivity. While a pentathiepine product was indeed found, it was, quite surprisingly, the –OEt-substituted one, namely 5b (confirmed crystallographically), and it was formed only in traces. We propose that in an intermolecular interaction of precursors and/or transient intermediates, it is likely that one –OEt is transferred onto an activated precursor, and from this, the reaction proceeds as typical. However, due to the high reactivity of the intermediate carbenium cation, this scenario takes place only for a negligible number of reactants, and the resulting reaction mixture contains a considerably broad variety of side products, which could not be isolated or characterized. Employing a methylene carbon as the one to become part of the pyrrolic 5-ring system therefore appears unsuitable.
Following this, the aforementioned position was substituted by a methyl (4c) and a phenyl group (4d). Here, the transient species during the reaction are secondary carbenium cations, which are significantly more stable than the primary ones. Supposedly, the lifespans of these species during PTE formation are longer compared to the primary one by an extent that allows the reaction to proceed as normal and thereby to outrun unwanted side reactions and/or spontaneous decomposition [20,21]. The small and electron-donating methyl group was employed to explore changes in the reactivity without significantly altering the molecular size. In contrast, the phenyl group was used to introduce a planar, aromatic system that can engage in π–π interactions and potentially stabilize reactive intermediates through conjugation. Two precursors with cyclic analogs of the acetal-protecting group (4e and 4f) were tested to obtain evidence for the reunion of the two components that are split from the precursors (OEt− and H+) according to the proposed mechanism. This does indeed take place, as was proven with these particular experiments. In addition, two very interesting PTEs were thereby accessed, now bearing aliphatically linked free alcohol functions on position C-6, which should alter their solvent preferences quite notably. Finally, the allene variation 4g was taken into the tests to bring in support for the importance of the delocalization and flexibility of the electron density in the π system, showing that an allene may also be one intermediate form of the reaction mechanism.
All in all, four new PTEs (5c–f) were successfully synthesized, all bearing distinct substituents at position C-6, which corresponds to the only available location for functionalization directly adjacent to the poly-sulfur ring. Detailed descriptions of all syntheses are provided in the following sections.
2.2. Complete Absence of –OEt
A key test in order to evaluate the significance (or insignificance) of the –OEt substituent was to run a reaction in the complete absence of any –OEt group. Precursor 3a was readily available, as it was also used as starting material for another derivative, and it is the close pyridine relative of a previously employed pyrazine derivative [15]. All respective reactions towards a pentathiepine failed. In addition to the propargyl derivative, one precursor alkyne was also investigated, which has a non-functionalized substituent at the alkyne. The respective precursor 2-(pent-1-yn-1-yl)pyridine (4′a) was synthesized without any complication via a Sonogashira coupling reaction between 2-bromopyridine 1 and 1-pentyne. Employing this precursor, however, did not facilitate the isolation or identification of any product resembling a pentathiepine; i.e., the absence of –OEt prevents the formation of the pentathiepine via the molybdenum-mediated pathway, providing direct evidence for the importance of OEt− elimination as a crucial transformation in the reaction sequence.
2.3. Presence of a Single –OEt
The simplest version of the alkyne precursor with a single –OEt substituent is the one with the ethoxy residing on a methylene carbon. Obtaining precursor compound 4b, in contrast to the others, was synthetically relatively straightforward. It involves comparably few synthetic steps due to the commercial availability of the propargyl alcohol starting material. A Sonogashira coupling reaction of 2-bromopyridine 1 with propargyl alcohol led to the desired product with satisfying yields. This was followed by an etherification via the Williamson procedure to yield 4b [22]. However, optimizing compound purification proved to be complex and laborious. The synthesized species were not bench-stable. Isolation required multiple chromatographic columns, and these most often needed to be run on gradient due to the high polarity. The thermal stability turned out to be a key issue, as intermediate 3a is unstable above 40 °C.
Precursor alkyne 4b was then tested for pentathiepine synthesis. In contrast to what was observed in reality, a pentathiepine with a hydrogen attached to position C-6 (5b’) was expected to result from this trial (Figure 4). Employing 4b resulted in an undefined mixture of products, which was impossible to isolate and characterize comprehensively. In a proof-of-principle test reaction, a modest amount of a substance in the characteristic yellow PTE color was collected after column chromatography. However, when dissolving it in dichloromethane (DCM), which is part of the typical work-up process, this led to an abrupt color change of the solution to green. A green coloration observed in these reactions was already noted in the past to be a sign of PTE degradation [2,16,17]. In subsequent experiments, carefully avoiding any contact with DCM allowed the isolation of trace amounts of compound 5b, which was characterized by single-crystal X-ray diffraction (SCXRD) from the very few crystals grown. Its molecular structure was already reported previously [16].
Figure 4.
Expected (5b’) and actual (5b, only traces found) reaction products employing precursor 4b.
The trace detection of 5b does not invalidate the hypothesis that the elimination of OEt− is a crucial event during pentathiepine formation. As stated above the simultaneous presence of the activated precursor bearing a primary carbenium cation, free ethanolate and –OEt groups in adjacent activated precursors may well result in the generation of a small portion of intermediate that rearranges eventually to PTE 5b. The fact that this is found only in traces rather supports the too-high reactivity of transient primary carbenium cation intermediates.
With regard to a methyl group being attached to position C-6 in the resultant PTE, the synthesis of the starting material 4c followed the same concept as for 4b. 2-Bromopyridine 1 and 3-butyn-2-ol 3c were reacted in a Sonogashira coupling reaction, followed by etherification with EtI. Remarkably, the use of compound 4c as precursor led to the formation of the first pentathiepine 5c bearing a methyl group as a new substituent, which replaces the otherwise omnipresent –OEt in position C-6 (Figure 5).
Figure 5.
(Left): Synthesis of 5c from 4c via the molybdenum-mediated pathway providing access to the first indolizine derived PTE lacking the usual –OEt on C-6. (Right): Molecular structure of 5c. Ellipsoids are shown at the 50% probability level.
The product exhibits a typical bright yellow-orange hue, consistent with other pentathiepine derivatives (UV–vis absorption maxima appear typically around 405 nm), with a maximum absorption in the UV–vis spectrum of 393.5 nm (Figure 6). The replacement of the –OEt substituent by a –CH3 substituent therefore induces a blue shift of approximately 10 nm, which does not change the coloration of the compound much but is consistent with a subtle change in the electronic structure. The peak shape, on the other hand, is essentially identical to those in previously recorded UV–vis spectra. It was recently established [16] that this absorption of 5b and closely related compounds (all with an –OEt on C-6) is due to an excitation from HOMO to LUMO. The HOMO has partial oxygen character in the investigated molecules, while the LUMO does not. It can therefore be tentatively concluded that the change in substituents from ethoxy to methyl increases the HOMO–LUMO gap slightly, most likely due to a relative decrease in energy of the HOMO, which widens the gap.
Figure 6.
UV–vis spectrum of 5c compared to the reported spectrum of 5b (both with normalized absorbance) showing that replacing an ethoxy by a methyl substituent has only a moderate impact on the frontier orbitals (i.e., the molecule’s electronic structure).
An immediately notable difference between this new PTE and the more classical ones is evident in the 1H-NMR spectrum: the normally very characteristic “fingerprint” at around 4.5 ppm attributed to the diastereotopic –CH2O– protons is absent in the spectrum of 5c (see Figure S27). While mass and elemental analyses corroborated the proposed composition, single-crystal X-ray diffraction (SCXRD; Figure 5 and Table S3) unambiguously proved the molecular/chemical structure of this new derivative. The metrical parameters of crystalline 5c are unremarkable, as they do not deviate from the tight ranges observed in previously published closely related structures [16,17,23].
Finally, a phenyl substituent was introduced at position C-6 in order to install a substituent with a different electronic influence compared to the methyl group and to investigate whether a larger size or aromaticity of the substituent might negatively impact PTE formation. The synthesis of precursor alkyne 4d proved to be particularly challenging and required quite sophisticated adaptations. The intermediates involved in its synthesis are light-sensitive, thermo-labile, and simply nowhere near bench stability. The pursuit of the synthesis of 4d commenced based on the hypothesis that reducing the diethoxy acetal-protected aldehyde 6, an already well-known starting material for PTEs [16], should provide an easy access. A formal nucleophilic substitution was contemplated with a carbanion species such as Grignard arylmagnesium bromide 7 [24]. However, the reaction yielded a double-substituted species 8 with residual starting material (Figure 7). Variations in the reaction conditions, such as significantly low temperature (−60/−11/0 °C) and exploring the use of other carbanion sources, e.g., aryl lithium [25,26,27], exclusively led to compound 8. While the nucleophilic attack in the ortho-position on the aza group was somewhat predictable based on the literature precedence, it was hoped to be observed only to a minor extent and not as the by-far major component. The observations associated with this process can be attributed to the stabilization of intermediate 9, facilitated by coordination of the magnesium salt to the nitrogen atom.
Figure 7.
Attempt to replace one –OEt group of 6 by a phenyl substituent leading to 8 instead. (Top): hypothesized reaction and product 4d. (Bottom): Actual reaction/product 8 plus unreacted starting material. On the right: The postulated stabilized intermediate 9 likely supporting the formation of 8.
It was briefly considered that 8 could be used for the synthetic procedure towards the pentathiepine. However, the inclusion of multiple aromatic rings would have inevitably led to a pronounced decrease of the solubility in aqueous media, which is already comparably poor in the typical PTEs derived from the molybdenum-mediated synthesis and would make utilization for subsequent biological testing entirely impossible [2,28,29].
An alternative approach towards 4d was pursued via synthesizing it essentially from scratch by adapting a procedure for related compounds from the literature [30]. First, benzaldehyde 10 was reduced using ethynylmagnesium bromide 11. The reaction proceeded comparably efficiently at 0 °C in dry THF and yielded the desired alkyne 2d (Figure 8).
Figure 8.
Synthesis of 2d. N.B.: Lower temperatures lead to an increased amount of side products such as compound 12, which was isolated from a reaction at −60 °C.
A synthesis at −60 °C in order to slow conversion down and have better control of the reaction unexpectedly resulted in the very opposite, i.e., a messier mixture of (side) products. It was possible to isolate one of the latter (known compound 12 [31,32,33]) in trace amounts from this attempt, which could then be characterized by SCXRD (Figure 9).
Figure 9.
Chemical (left) and molecular (right) structures of 1-phenylprop-2-yn-1-one 12, the side product from the Grignard reaction conducted at −60 °C. Ellipsoids are shown at the 50% probability level.
The subsequent classic Williamson-type etherification reaction [22] employing compound 2d proved challenging. Even though the product could be detected by mass spectrometry, the reaction yielded a rather complex mixture of side products. Hence, a Sonogashira cross-coupling reaction with 2-bromopyridine 1 was attempted prior to etherification rather than later to eliminate the acetylenic proton and potentially render the follow-up intermediate compound more manageable. Standard conditions were employed, utilizing DMF as solvent with PdCl2, CuI, and PPh3. Notably, a high volume of the base NEt3 (10 equiv.) turned out to be a decisive factor, as the use of lower amounts (5 equiv. or less) resulted in the formation of a side product (13, Figure 10). Likely, 13 is the result of a domino coupling–isomerization reaction, as observed previously [34]. The reported respective rearrangement was supported by the presence of Pd(II), i.e., Lewis acid-catalyzed. In consequence, a significantly higher concentration of NEt3 facilitated the formation of 3d in our case by serving as a counter Lewis and Brønsted base. Notably, 3d required swift handling and protection from light, as it spontaneously and entirely converted itself over time to 13.
Figure 10.
Sonogashira coupling reaction towards 3d and complications arising from Lewis acid-supported or spontaneous rearrangements to 13.
The subsequently attempted transformation of 3d to 4d employing conventional Williamson etherification protocols did not yield the desired product. The reactions gave complex mixtures of impurities devoid of the target molecule. Variations including temperature adjustments from 0 °C down to −11 °C, replacing dry DMF solvent with dry THF, and employing distinct bases such as NEt3, Na2CO3, K2CO3, and NaH all failed. Notably, the use of alkoxide bases [35] offered a clean and reliable route for obtaining the related allene, as will be described below. Eventually Irvine–Purdie etherification was pursued as an alternative, which was initially developed for the methylation of sugars [36]. This method requires the use of Ag2O instead of more conventional bases [37] and the addition of activated zeolites to promote a more anhydrous environment. In our case, the reaction was run in darkness for 3 days at room temperature and indeed resulted in the successful formation of the desired product (Figure 11).
Figure 11.
Top: Irvine–Purdie etherification of 3d to yield 4d followed by pentathiepine formation of 5d. Bottom: Failed Williamson etherification.
Once the alkyne precursor 4d was synthesized, thankfully, the subsequent PTE formation of 5d under typical conditions progressed without any complications (Figure 11). The maximum in the UV–vis absorption spectrum of 5d is even slightly more blue-shifted to 390.0 nm compared to 5c (392.0 nm), although this difference is not significant. Both compounds deviate in their electronic structure from the previously investigated –OEt, bearing PTEs with a smaller HOMO–LUMO gap, which goes back to the presence of the oxygen bound to C-6 in the –OEt derivatives. The very close similarity of the spectra of 5c and 5d implies that the methyl and phenyl groups, which have different inductive/electronic effects as substituents, do not contribute (or at least do not contribute distinctly) to the molecules’ frontier orbitals. The molecular structure of 5d was determined by SCXRD structural analysis (Figure 12). As usual, the metrical parameters observed are essentially in line with previous structural reports. Apparently, not even the substitution with a relatively large phenyl ring changes the preferred structural geometries of the pentathiepine. However, the two atom–atom distances within the 5-ring involving position C-6 (atom C1 in the structure) are slightly elongated for the phenyl derivative compared to the methyl derivative by roughly 0.01 Å, and for the bond to the substituent (C1–C9), the opposite is the case, with a respective 0.01 Å elongation for the methyl substituent relative to the phenyl substituent. Likely, in the case of the phenyl, the resonant π system of the backbone is extended so that it includes to a certain extent the aromatic substituent as well. However, the differences are rather subtle (see overlay of both structures, which shows hardly any variation of relative atom positions; Figure 12), and the electronic structure is likely affected only to a very minor extent, which is in accordance with the recorded very similar UV–vis absorption spectra of 5c and 5d.
Figure 12.
(Left): Molecular structure of 5d. Ellipsoids are shown at the 50% probability level. (Right): Superimposition of the structures of 5c (methyl carbon shown in dark blue) and 5d (phenyl carbons shown in green). Overlay computed and visualized with Mercury [38].
2.4. Cyclic Acetal Precursors
Next, cyclic acetals were tested as starting materials for pentathiepine synthesis. This was carried out for three main reasons. (i) Naturally occurring pentathiepines possess an ethylamine side chain (–CH2CH2NH2) adjacent to the polysulfide ring. It was previously shown that the terminal –NH2 group, being both basic and nucleophilic, facilitates activating the bio-defensive mechanism by initiating an intramolecular nucleophilic attack on the polysulfur ring, resulting in its opening and the release of sulfur-based nucleophiles [39,40]. The pentathiepine product from cyclic acetal precursors was expected to bear a respective alcohol analogue of the amine functional group, albeit with a milder nucleophilicity, i.e., less prone to self-destruction as the amine would be [41,42] but at the same time a very good model thereof. (ii) The presence of a free alcohol function in the product should improve the pentathiepine’s solubility in water or aqueous solvent mixtures, a lack of which impairs biological testing and application. Poor aqueous solubility is one of the PTE characteristics that we often struggled with previously when assessing their biological activity [23]. And (iii) the cyclic acetal is an ideal precursor in order to investigate the fate of the abstracted OEt− or, more generally, OR− functional groups. The removal of the OEt− ion is supposed to be the initiating mechanistic step in PTE formation, and the subsequent combination with the proton, which is eventually released as well, is expected to lead to the ethanol side product. With the cyclic acetal precursors, the dissociation of one of the two C–O bonds to the alkyne-bound carbon (later C-6 in the pentathiepine) will mimic the release of OEt−, while the fragment stays on the molecule during further transformations, by which the transfer of the proton to the alcoholate can also be evidenced with the chemical structure of the PTE product.
The synthesis of the two precursor alkynes 4e and 4f was performed using classical aldehyde-protection protocols, which, in these specific cases, served as protecting-group-swapping reactions [43,44]. Both products were obtained by refluxing a toluene solution of precursor 6, ethylene, or propylene glycol in the presence of catalytic amounts of trifluoromethanesulfonic acid (Figure 13). Toluene was then distilled off together with the formed ethanol. For the synthesis of the smaller cycle, it was also possible to isolate a partially substituted product, namely 14.
Figure 13.
(Left): Synthesis of precursors 4e and 4f from 6 and transformation to the pentathiepines 5e and 5f, bearing free alcohol functions linked aliphatically to carbon C-6. (Right): Incompletely reacted side product 14 in the reaction towards 4e.
In subsequence, the two cyclic acetal precursors 4e and 4f were used for PTE synthesis under the typical conditions of the molybdenum-mediated pentathiepine formation. Both reactions succeeded, and the products were isolated and characterized. Their syntheses were unambiguously confirmed by the diastereoisotopic 1H-NMR patterns stemming from the protons of their –OCH2– moieties (Figure 14). The absorbance maxima in their UV–vis spectra lie exactly where those of previous species with the ethoxy substituents in position C-6 were found: 402.5 nm for 5e and 403.5 nm for 5f. This further confirms that the contribution of the ether oxygen atom to the HOMO is responsible for the red shift of the absorption peaks in the spectra of ether derivatives relative to those of 5c and 5d.
Figure 14.
1H-NMR spectroscopic fingerprint sections for 5b (left), 5e (center), and 5f (right), showing the diastereoisotopic –CH2– pattern, which confirms PTE formation for all known species bearing an –OCH2– moiety on the pyrrolic carbon C-6. (For full spectra, see previous publication for 5b [16], Figure S31 for 5e, and Figure S33 for 5f.)
It was further possible to obtain single crystals of both products (5e and 5f), which were then investigated by X-ray diffraction structural analysis (Figure 15). The alcohol hydrogen atoms in both cases were found in the electron density maps and refined nearly freely. In case of 5e, the O–H distance had to be restrained, as in the crystal packing, two alcohol functions are located very close two each other, and the hydrogen atoms might be mobile to some extent in between the two adjacent oxygen atoms. In the case of 5f, because of the disorder problem, the occupancies were constrained to that of the respective parent oxygen atom, while the locations were refined entirely freely.
Figure 15.
Molecular structures of 5e (left) and 5f (right) with free alcohol functions attached to carbon C-6 by an aliphatic linker. Ellipsoids are shown at the 50% probability level. The structure of 5f is disordered in the –C3H6OH chain; only the major component (accounting for 52% of occupancy) is shown.
With the confirmed chemical structures of 5e and 5f, it was possible to unambiguously confirm that the proton, which is released during the transformation from alkyne to pentathiepine, ends up on the alcoholate oxygen, which is generated in the initial, or at least a very early, step in the mechanism. It was also shown that it does not necessarily have to be an ethoxy that is part of the precursor, while the presence of at least one ether function is with a very high likelihood essential considering all observed or found to be impossible transitions investigated in this study.
2.5. Allene Precursor Variation
In the originally proposed reaction mechanism [15], the C≡C triple bond has two roles: (i) It will become oxidized; i.e., it is the reducing agent for the two sulfur atoms binding to the two carbon atoms and thereby becomes an inherent component of the pentathiepine unit (S–C=C–S); this is undisputedly proven by the chemical structure of the pentathiepine product. (ii) It is also part of the resonant π system of the molecule before, during, and after the transformation and helps in facilitating the formation of the N-heterocyclic 5-ring by allowing π-electron density to flow in between the N-heterocyclic 6-ring and the –CH2OEt moiety. With regard to the latter, an allene might be considered a putative intermediate resulting from a potential molecule rearrangement after OEt− abstraction if such a rearrangement takes place prior to the attachment of the S5-moiety. In order to assess this hypothesis, an allene precursor (4g) was synthesized as a derivative of 4c. Specifically in the context of indolizine derivative synthesis, a respective tautomerism in between alkyne and allene was proposed previously [45]. Various procedures for the synthesis of an allene ether from the corresponding alkyne tautomer have been reported in the literature. Methods involving the use of strong base or highly reactive BuLi [46] were tested but failed to produce the target compound. Eventually, the procedure described by Hoff et al. [47] was adapted, exposing 4c to t-BuOK in dry THF, which efficiently yielded 4g.
This allene derivative could indeed be transformed to 5c when exposed to the same reaction conditions as 4c (Figure 16), with even comparable yields. The successful reaction does not comprise unambiguous evidence for the allene intermediate in the proposed new reaction mechanism since the proton to be abstracted resides in distinct positions (here adjacent to the heterocycle/in the mechanism on the opposite end of the allene intermediate). Still, employing 4g successfully at least strongly implies that the allene is indeed an active intermediate in the molybdenum-mediated pentathiepine formation.
Figure 16.
Synthesis of precursor 4g from 4c and transformation to the pentathiepine 5c under standard conditions.
3. Materials and Methods
3.1. Materials, Methods, and Instrumentation
3.1.1. General Experimental Procedures
Most experiments were conducted under either nitrogen or argon atmosphere employing standard Schlenk techniques. Instances where reactions were exposed to air are explicitly indicated. Reagents and starting materials were utilized without additional purification. Tetrahydrofuran (THF) underwent pre-drying over KOH and CuCl, followed by further drying over Na prior to usage. Dimethylformamide (DMF) was dried by refluxing under argon for 48 h over P2O5. Compounds including Sonogashira products (3a, 3c, 3d, 4′a, and 6), Williamson etherification (4b and 4c), and pentathiepines (5a, 5c, 5d, 5e, and 5f) were synthesized following the literature procedures [16,18,22,35]. Compound 4d was synthesized with an adaptation of the Irvine–Purdie procedure [36,37]. Column chromatography purification was conducted using silica gel from VWR (particle size of 0.063–0.200 mm; 70–230 mesh ASTM). Flash chromatography purification was performed on an Interchim instrument 5.020 with columns PF-30SIHP-JP-F0080 and PF-30SIHP-JP-F0120 provided by the same company (Interchim, Montluçon, France). 1H- and 13C-NMR spectra were recorded on a Bruker Avance II 300 spectrometer (300 and 75.5 MHz, respectively, Bruker, Ettlingen, Germany) employing CD2Cl2, acetone-d6, and CD3CN dried over activated zeolites as solvents. Chemical shifts (δ) are reported in parts per million (ppm). Residual protons of the deuterated solvent were used as reference for 1H-NMR spectra, while the deuterated solvent itself was used as reference for 13C-NMR. Multiplicities are abbreviated as follows: s (singlet), d (doublet), t (triplet), q (quartet), m (multiplet), and J (coupling constant in Hertz). UV–vis spectra were recorded on a UV-3600 SHIMADZU UV–Vis-NIR spectrophotometer (Shimadzu, Tokyo, Japan). Mass spectra were obtained with an Advion Expression CMS with an APCI ionization source (Advion, Ithaca, NY, USA).
3.1.2. Singe-Crystal X-ray Diffraction
The single-crystal X-ray diffraction (SCXRD) data of 3a, 5d–f, and 12 were recorded at 100 K or at room temperature on an XtaLAB Synergy diffractometer from Rigaku (Neu-Isenburg, Germany), with mirror-monochromated Cu-Kα-radiation (λ = 1.54184 Å) and a hybrid pixel array detector (HyPix). Samples were mounted on LithoLoops produced by Molecular Dimensions (Sheffield, UK) and fixed on pins produced by Hampton Research (Aliso Viejo, CA, USA). The data for 5c were collected at 170 K on a STOE-IPDS 2T diffractometer with graphite-monochromated Mo-Kα-radiation (λ = 0.71073 Å). The sample was mounted on a glass fiber. Absorption corrections were performed using X-Red32 and X-Shape (by STOE & Cie GmbH 2010, Darmstadt, Germany) in the case of the Mo source or CrysAlisPro (different versions; Rigaku OD, 2022, Tokyo, Japan) in the case of the Cu source. All structures were solved by dual methods with SHELXT-2018 and refined by full-matrix least-squares techniques using the SHELXL-2018/19 executables and the WingX GUI [48,49,50]. All non-hydrogen atoms were refined with anisotropic displacement parameters. In the structure of 5c, all hydrogen atoms were refined freely, as the data were of exceptionally good quality. All other C-bound hydrogen atoms in the other structures were refined isotropically at calculated positions using a riding model, with their Uiso values constrained to 1.2 times Ueq of their pivot atoms for aromatic or methylene hydrogen atoms and to 1.5 times Ueq for the methyl hydrogen atoms. All oxygen-bound hydrogen atoms were found and refined as freely as possible. In the case of 5e, the O–H distance was fixed (DFIX), as the hydrogen tended to come too close to another adjacent alcohol function. In the case of 5f, the displacement parameters were constrained to the parent oxygen atom (1.5 times Ueq). The –C3H6OH chain of this molecule is also disordered over two orientations, which were modelled with SIMU and gave refined occupancies of 52% and 48%. General crystallographic, crystal, and refinement data are provided in the Supplementary Data Files. Crystallographic data were deposited with the Cambridge Crystallographic Data Centre, CCDC, 12 Union Road, Cambridge CB21EZ, UK. These data can be obtained free of charge upon providing the depository numbers CCDC 2363324 (5d), 2363325 (5e), 2363326 (5f), 23633247 (5c), 2363328 (3a), and 2363324 (12) by email (deposit@ccdc.cam.ac.uk) or their web interface (at http://www.ccdc.cam.ac.uk accessed on 8 August 2024).
3.2. Syntheses
3.2.1. Sonogashira Cross-Coupling Reactions
Unless stated otherwise, Sonogashira coupling reactions were performed as follows: A mix of DMF (5.00 mL) and NEt3 (8.75 mL, 63.00 mmol, 10.00 equiv.) was introduced into an oven-dried Schlenk tube equipped with a side-arm stopcock and a stirring rod. The solution was degassed with nitrogen (N2) for 10 min and kept under N2 atmosphere throughout the preparation of the synthesis. Reactants were added in the following sequence: CuI (120 mg, 0.63 mmol, 0.10 equiv.) and then the proper alkyne (7.56 mmol, 1.20 equiv.), upon which the solution turned yellow. PPh3 (330 mg, 1.26 mmol, 0.20 equiv.) was added along with 2-bromopyridine (1.00 g, 6.30 mmol, 1.00 equiv.). Finally, Pd(OAc)2 (71 mg, 0.315 mmol, 0.05 equiv.) was introduced, causing the solution to rapidly change to a reddish-brown color. The mixture was stirred at 50 °C for 72 h. The reaction progress was monitored using TLC (eluent ratio 80/20 = Hex/EtOAc, v/v; 254 nm UV lamp; KMnO4 stain) and MS. Upon completion, the solvent was evaporated to dryness under vacuum using a cooling trap. The remaining residue was extracted with DCM and washed three times with saturated NH4Cl solution. The organic phase was recovered, dried over Na2SO4, and dried with a rotary evaporator. Lastly, column chromatography was carried out (eluent mix ratio Hex/EtOAc v/v specified for every product).
3-(pyridin-2-yl)prop-2-yn-1-ol (3a): Purified via flash chromatography (Hex/EtOAc = 50/50), reaction performed in THF at 40 °C, yield: 83%, white crystals, Rf = 0.2 (Hex/EtOAc = 50/50). 1H NMR (CD2Cl2, 300 MHz): δ 8.59–8.46 (m, 1H), 7.65 (td, 1H, J = 7.8, 1.8 Hz), 7.41 (dt, 1H, J = 7.8, 1.1 Hz), 7.23 (ddd, 1H, J = 7.5, 5.0, 1.3 Hz), 4.84 (t, 1H, J = 6.2 Hz), 4.52 (d, 2H, J = 6.1 Hz). 13C{1H} NMR (CD2Cl2, 75.5 MHz): δ 149.60, 142.70, 136.59, 127.25, 123.13, 89.01, 83.57, 50.60. MS (APCI) m/z: [M + H]+ calculated for C8H8NO 134.1; found 134.1.
4-(pyridine-2-yl)but-3-yn-2-ol (3c): Purified via flash chromatography (Hex/EtOAc = 60/40), yield: 78%, colorless oil, Rf = 0.3 (Hex/EtOAc = 50/50). 1H NMR (Acetone-d6, 300 MHz): δ 8.57 (dt, 1H, J = 5.0, 1.4 Hz), 7.77 (tt, 1H, J = 7.7, 1.8 Hz), 7.45 (dd, 1H, J = 7.8, 1.3 Hz), 7.34 (ddd, 1H, J = 7.8, 4.9, 1.3 Hz), 5.01 (d, 1H, J = 4.5 Hz), 4.76 (dt, 1H, J = 11.0, 5.2 Hz), 1.51 (d, 3H, J = 6.6 Hz). 13C{1H} NMR (Acetone-d6, 75.5 MHz): δ 151.76, 145.00, 138.32, 128.91, 124.93, 94.02, 84.20, 59.31, 25.81. MS (APCI) m/z: [M + H]+ calculated for C9H10NO 148.1; found 148.1.
1-phenyl-3-(pyridin-2-yl)prop-2-yn-1-ol (3d): Purified twice via flash chromatography (Hex/EtOAc = 70/30), yield: 52%, colorless oil, Rf = 0.3 (Hex/EtOAc = 85/15). 1H NMR (Acetone-d6, 300 MHz): δ 8.63–8.45 (m, 1H), 7.75 (td, 1H, J = 7.7, 1.8 Hz), 7.62 (dd, 1H, J = 7.1, 1.9 Hz), 7.50–7.22 (m, 5H), 5.72 (d, 1H, J = 4.5 Hz), 5.34 (d, 1H, J = 5.6 Hz). 13C{1H} NMR (Acetone-d6, 75 MHz): δ 151.48, 144.51, 143.21, 137.82, 129.81, 129.29, 128.55, 128.10, 124.65, 91.32, 86.20, 65.22, 65.12. MS (APCI) m/z: [M + H]+ calculated for C14H12NO 210.1; found 210.2.
2-(pent-1-yn-1-yl)pyridine (4′a): Purified via column chromatography (Hex/EtOAc = 90/10), yield: 81%, pale-yellow oil, Rf = 0.3 (Hex/EtOAc = 85/15). 1H NMR (CD2Cl2, 300 MHz): δ 8.47 (dt, 1H, J = 5.0, 1.3 Hz), 7.56 (td, 1H, J = 7.7, 1.9 Hz), 7.32 (dt, 1H, J = 7.8, 1.2 Hz), 7.13 (ddd, 1H, J = 7.7, 5.0, 1.2 Hz), 2.38 (t, 2H, J = 7.1 Hz), 1.61 (h, 2H, J = 7.2 Hz), 1.02 (t, 3H, J = 7.4 Hz). 13C{1H} NMR (CD2Cl2, 75.5 MHz): δ 150.14, 144.32, 136.23, 127.15, 122.58, 90.79, 81.02, 22.32, 21.50, 13.70. MS (APCI) m/z: [M + H]+ calculated for C10H12N 146.1; found 146.1.
2-(3,3-diethoxyprop-1-yn-1-yl)pyridine (6): Purified via flash chromatography (Hex/EtOAc = 90/10), yield: 58%, pale-brown oil, Rf = 0.2 (Hex/EtOAc = 80/20). 1H NMR (CD2Cl2, 300 MHz): δ 8.47 (ddd, 1H, J = 5.0, 1.8, and 1.0 Hz), 7,57 (td, 1H, J = 7.8 and 1.8 Hz), 7,37 (dt, 1H, J = 7.9 and 1.5 Hz), 7.17 (ddd, 1H, J = 7.61, 4.86, and 1.2 Hz), 5.38 (s, 1H), 3.75–3.50 (m, 4H), and 1.15 (t, 6H, J = 7.0 Hz). 13C{1H} NMR (CD2Cl2, 75.5 MHz): δ 150.5, 142.6, 136.4, 127.7, 123.7, 92.9, 84.4, 61.5, 15.2. MS (APCI) m/z: [M + H]+ calculated for C12H16NO2 206.1; found 206.1.
(E)-1-phenyl-3-(pyridin-2-yl)prop-2-en-1-one (13): Purified via column chromatography (Hex/EtOAc = 70/30), yield: 85%, colorless oil, Rf = 0.5 (Hex/EtOAc = 85/15). 1H NMR (CD3CN, 300 MHz): δ 8.65 (dd, 1H, J = 4.8, 1.7 Hz), 8.14–7.98 (m, 3H), 7.84–7.48 (m, 7H), 7.39–7.30 (m, 1H). 13C{1H} NMR (CD3CN, 75.5 MHz): δ 190.15, 153.18, 150.18, 142.83, 137.87, 137.06, 133.14, 128.81, 128.51, 125.48, 124.98, 124.65. MS (APCI) m/z: [M + H]+ calculated for C14H12NO 210.1; found 210.2.
3.2.2. Ethylation via Williamson Reaction
In a two-neck 100 mL round-bottom flask equipped with a side arm stopcock, flamed under vacuum, the proper alkynol (7.50 mmol, 1.00 equiv.) was added with anhydrous DMF (5.00 mL). This was followed by the addition of K2CO3 (3.11 g, 22.50 mmol, 3.00 equiv.), previously dried at 150 °C under vacuo for 8 h, and iodoethane (0.72 mL, 9 mmol, 1.20 equiv.). The reaction was stirred at rt and under N2 atmosphere throughout its preparation. The reaction was monitored via TLC (eluent ratio 80/20 = Hex/EtOAc, v/v; 254 nm UV lamp; KMnO4 stain). Upon completion, the solvent was evaporated to dryness under vacuum using a cooling trap. The remaining residue was extracted with DCM and washed three times with distilled water.
2-(3-ethoxyprop-1-yn-1-yl)pyridine (4b): Purification required chromatographic column (Hex/EtOAc = 70/30) followed by a distillation with a Kugelrohr apparatus (80 °C, 0.1 bar), yield: 47%, pale-yellow oil, Rf = 0.3 (Hex/EtOAc = 70/30). 1H NMR (CD2Cl2, 300 MHz): δ 8.53–8.40 (m, 1H), 7.57 (td, 1H, J = 7.7, 1.8 Hz), 7.35 (dt, 1H, J = 7.8, 1.1 Hz), 7.15 (ddd, 1H, J = 7.7, 4.9, 1.2 Hz), 3.55 (q, 2H, J = 7.0 Hz), 1.15 (t, 3H, J = 7.0 Hz). 13C{1H} NMR (CD2Cl2, 75.5 MHz): δ 149.98, 142.84, 136.06, 127.10, 122.99, 85.40, 85.13, 65.65, 58.20, 14.83. MS (APCI) m/z: [M + H]+ calculated for C10H12NO 162.1; found 162.1.
2-(3-ethoxybut-1-yn-1-yl)pyridine (4c): Purified via flash chromatography (Hex/EtOAc = 90/10), yield: 56%, colorless oil, Rf = 0.3 (Hex/EtOAc = 90/10). 1H NMR (CD2Cl2, 300 MHz): δ 8.44 (ddd, 1H, J = 4.9, 1.8, 1.0 Hz), 7.55 (td, 1H, J = 7.7, 1.8 Hz), 7.32 (dt, 1H, J = 7.8, 1.1 Hz), 7.13 (ddd, 1H, J = 7.7, 4.9, 1.2 Hz), 4.30 (q, 1H, J = 6.6 Hz), 3.73 (dq, 1H, J = 9.1, 7.0 Hz), 3.40 (dq, 1H, J = 9.1, 7.0 Hz), 1.40 (d, 3H, J = 6.7 Hz), 1.12 (t, 3H, J = 7.0 Hz). 13C{1H} NMR (CD2Cl2, 75.5 MHz): δ 150.29, 143.30, 136.37, 127.43, 123.22, 89.66, 84.36, 65.63, 64.67, 22.20, 15.37. MS (APCI) m/z: [M + H]+ calculated for C11H14NO 176.1; found 176.1.
3.2.3. Ethylation via Irvine–Purdie Reaction
In a two-neck 100 mL round-bottom flask equipped with a side arm stopcock, flamed under vacuo, alkynol 3d (0.50 g, 2.392 mmol, 1.00 equiv.) was added with anhydrous DMF (10.00 mL), followed by the addition of activated zeolites, iodoethane (0.23 mL, 2.870 mmol, 1.20 equiv.), and lastly Ag2O (1.69 g, 7.176 mmol, 3.00 equiv.), previously dried at 150 °C under vacuo for 8 h. The reaction was stirred at rt under N2 atmosphere and protected from light throughout its preparation. The reaction was monitored via TLC (eluent ratio 80/20 = Hex/EtOAc, v/v; 254 nm UV lamp; KMnO4 stain). Upon completion, the solvent was evaporated to dryness under vacuum using a cooling trap. The remaining residue was extracted with DCM and washed three times with distilled water. The organic phase was recovered, dried over Na2SO4, and dried with a rotary evaporator. Lastly, the product was purified via flash chromatography (eluent Hex/EtOAc = 85/15, v/v).
2-(3-ethoxy-3-phenylprop-1-yn-1-yl)pyridine (4d): yield: 32%, Rf = 0.2 (Hex/EtOAc = 80/20). 1H NMR (CD2Cl2, 300 MHz): δ 9.13–8.98 (m, 1H), 8.21–8.06 (m, 3H), 8.00–7.86 (m, 4H), 7.76 (ddd, 1H, J = 7.7, 4.8, 1.3 Hz), 7.00 (s, 1H), 4.71 (qd, 2H, J = 7.1, 2.2 Hz), 1.79 (t, 3H, J = 7.1 Hz). 13C{1H} NMR (CD2Cl2, 75 MHz): δ 154.52, 150.49, 142.53, 136.63, 136.53, 129.68, 129.15, 128.03, 127.77, 123.87, 87.26, 84.84, 69.72, 65.02, 14.38. MS (APCI) m/z: [M + H]+ calculated for C16H16NO 238.1; found 238.2.
3.2.4. Aldehyde Reduction
In a two-neck 200 mL round-bottom flask equipped with a side arm stopcock and a dropping funnel, flamed under vacuum, benzaldehyde 10 (5.00 g, 4.81 mL, 47.081 mmol, 1.00 equiv.) was added and cooled to 0 °C with an ice bath. A 0.5 M molar solution of ethynylmagnesium bromide 11 (94.16 mL) was added to the dropping funnel. The solution was added to the aldehyde in 2 h while stirring. The final mix was left to warm up to room temperature and stirred for another 12 h. The reaction was monitored via TLC (eluent ratio 80/20 = Hex/EtOAc, v/v; 254 nm UV lamp; KMnO4 stain). Upon completion, the final mixture was quenched and then washed three times with NH4Cl saturated solution. The organic phase was recovered, dried over Na2SO4, and dried with a rotary evaporator. Lastly, the product was purified via flash chromatography (Hex/EtOAc = 85/15, v/v).
1-phenylprop-2-yn-1-ol (2d): yield: 48%, pale-yellow oil, Rf = 0.2 (Hex/EtOAc = 80/20). 1H NMR (Acetone-d6, 300 MHz): δ 7.67–7.49 (m, 2H), 7.45–7.23 (m, 3H), 5.49 (dd, 1H, J = 5.9, 2.3 Hz), 5.05 (dd, 1H, J = 6.0, 1.5 Hz), 3.06 (d, 1H, J = 2.4 Hz). 13C{1H} NMR (Acetone, 75 MHz): δ 143.18, 129.66, 129.15, 127.91, 86.27, 75.60, 64.73. MS (APCI) m/z: [M + H]+ calculated for C9H9O 133.1; found 133.2.
3.2.5. Nucleophilic Attack on Diethyl Acetal
To a three-neck 250 mL round-bottom flask equipped with a side arm stopcock and a reflux condenser, magnesium turnings (0.28 g, 11.690 mmol, 1.20 equiv.) were added and flamed under vacuum with a heating gun. After cooling to room temperature, three cycles of nitrogen–vacuum were performed, and 100 mL of anhydrous THF was added. Subsequently, phenyl bromide (2.00 g, 10.716 mmol, 1.1 equiv.) and a catalytic amount of iodine I2 (0.12 g, 0.487 mmol, 0.05 equiv.) were added. The reddish color of the dissolved iodine immediately disappeared to give a limpid, colorless solution. The reaction was stirred at room temperature until the exothermicity of the reaction decreased. (No more boiling of the solvent was observed.) The mixture was then refluxed until the magnesium was almost consumed and let to cool down to room temperature. Under nitrogen atmosphere, the solution was transferred with a cannula to a dropping funnel connected to a two-neck 250 mL round-bottom flask previously flamed under vacuum and containing 7 (2.00 g, 9.742 mmol, 1.00 equiv.) dissolved in 50 mL of anhydrous THF. The Grignard solution was slowly added at room temperature, and the reaction was further stirred for 12 h. Upon completion, the final mixture was quenched and then washed three times with NH4Cl saturated solution. The organic phase was recovered, dried over Na2SO4, and dried with a rotary evaporator. Lastly, the product was purified via column chromatography (Hex/EtOAc = 80/20, v/v).
2-(3-ethoxy-3-phenylprop-1-yn-1-yl)-6-phenylpyridine (8): yield: 39%, pale-yellow oil, Rf = 0.3 (Hex/EtOAc = 80/20). 1H NMR (CD2Cl2, 300 MHz): δ 8.41 (d, 1H, J = 4.9 Hz), 7.43 (td, 1H, J = 7.7, 1.9 Hz), 7.28–6.91 (m, 12H), 6.37 (s, 1H), 5.57 (s, 1H), 3.76–3.48 (m, 2H), 0.93 (t, 3H, J = 7.1 Hz). 13C{1H} NMR (CD2Cl2, 75.5 MHz): δ 163.58, 148.99, 146.49, 142.12, 140.61, 135.97, 129.79, 128.44, 128.32, 127.77, 126.46, 126.33, 124.74, 124.14, 121.24, 121.19, 68.57, 54.52, 54.48, 54.16, 53.80, 53.44, 53.08, 32.03, 15.29. MS (APCI) m/z: [M + H]+ calculated for C22H20NO 314.2; found 314.3.
3.2.6. Diethyl Acetal Exchange Reaction
Compound 7 (2.00 g, 9.742 mmol, 1.00 equiv.), p-toluenesulfonic acid (0.08 g, 0.487 mmol, 0.05 equiv.), and the proper glycole (48.71 mmol, 5.00 equiv.) were dissolved with toluene (1.00 L) in a two-neck 2 L round-bottom flask equipped with a stirring rod and a Claisen distillation apparatus. Toluene was distilled out until the complete disappearance of the starting material. The reaction was monitored via TLC (eluent Et2O; 254 nm UV lamp). When the starting material was not completely converted, more toluene was added to the reaction, and the distillation continued until completion. The residue was quenched and washed three times with NaHCO3-saturated solution. The organic phase was recovered, dried over Na2SO4, and dried with a rotary evaporator. Lastly, the product was purified with column chromatography (Et2O).
2-((1,3-dioxolan-2-yl)ethynyl)pyridine (4e): yield: 68%, pale-yellow oil, Rf = 0.7 (Et2O). 1H NMR (CD2Cl2, 300 MHz): δ 8.54 (ddd, 1H, J = 4.9, 1.8, 1.0 Hz), 7.65 (td, 1H, J = 7.7, 1.8 Hz), 7.43 (dt, 1H, J = 7.8, 1.1 Hz), 7.25 (ddd, 1H, J = 7.7, 4.9, 1.2 Hz), 5.86 (s, 1H), 4.16–3.87 (m, 4H). 13C{1H} NMR (CD2Cl2, 75.5 MHz): δ 150.39, 142.24, 136.44, 127.70, 123.82, 93.38, 84.37, 84.17, 64.91. MS (APCI) m/z: [M + H]+ calculated for C10H10NO2 176.1; found 176.1.
2-((1,3-dioxan-2-yl)ethynyl)pyridine (4f): yield: 79%, colorless oil, Rf = 0.6 (Et2O). 1H NMR (Acetone-d6, 300 MHz): δ 8.47 (ddd, 1H, J = 4.9, 1.8, 1.0 Hz), 7.58 (td, 1H, J = 7.7, 1.8 Hz), 7.38 (dt, 1H, J = 7.8, 1.1 Hz), 7.18 (ddd, 1H, J = 7.7, 4.9, 1.2 Hz), 5.52 (s, 1H), 4.27–4.07 (m, 2H), 3.85–3.66 (m, 2H), 1.90–1.48 (m, 2H). 13C{1H} NMR (Acetone-d6, 75 MHz): δ 150.38, 142.22, 136.43, 127.70, 123.83, 90.76, 84.86, 83.49, 65.19, 25.94, 25.70. MS (APCI) m/z: [M + H]+ calculated for C11H12NO2 190.1; found 190.1.
2-((1-ethoxy-3-(pyridin-2-yl)prop-2-yn-1-yl)oxy)ethan-1-ol (14): yield: 15%, pale-yellow oil, Rf = 0.2 (Et2O). 1H NMR (CD2Cl2, 300 MHz): δ 8.48 (ddd, J = 4.9, 1.8, 0.9 Hz, 1H), 7.59 (td, J = 7.7, 1.8 Hz, 1H), 7.38 (dt, J = 7.8, 1.1 Hz, 1H), 7.18 (ddd, J = 7.7, 4.9, 1.2 Hz, 1H), 5.45 (s, 1H), 3.87–3.45 (m, 6H), 2.95 (s, 1H), 1.15 (t, J = 7.1 Hz, 3H). 13C{1H} NMR (CD2Cl2, 75.5 MHz): δ 150.39, 142.25, 136.60, 127.75, 123.89, 92.28, 84.75, 84.03, 67.64, 61.90, 30.40, 15.14. MS (APCI) m/z: [M + H]+ calculated for C12H16NO3 222.1; found 222.2.
3.2.7. Tautomerization from Alkyne to Allene
In a three-neck 100 mL round-bottom flask equipped with a side-arm stopcock, a stirring rod, and a reflux condenser and previously flamed under vacuum, 4c (1.50 g, 8.567 mmol, 1.00 equiv.) was dissolved in 50 mL of anhydrous THF under N2 atmosphere. A catalytic amount of tBuOK (0.10 g, 0.857 mmol, 0.10 equiv.) was added, and the solution was refluxed for 2 h. The reaction was monitored via TLC (eluent ratio 80/20 = Hex/EtOAc, v/v; 254 nm UV lamp; KMnO4 stain). Upon completion, the reaction was quenched and washed three times with NaHCO3-saturated solution. The organic phase was recovered, dried over Na2SO4, and dried with a rotary evaporator. Lastly, the product was purified via column chromatography (eluent Hex/EtOAc = 90/10, v/v).
2-(3-ethoxybuta-1,2-dien-1-yl)pyridine (4g): yield 41%, colorless oil, Rf = 0.7 (Hex/EtOAc = 80/20). 1H NMR (300 MHz, CD2Cl2): δ 8.53 (dt, 1H, J = 4.8, 1.5 Hz), 7.62 (td, 1H, J = 7.7, 1.9 Hz), 7.28 (dd, 1H, J = 7.9, 1.2 Hz), 7.17–6.89 (m, 3H), 4.46–4.25 (m, 2H), 3.88 (q, 2H, J = 7.0 Hz), 1.39 (t, 3H, J = 7.0 Hz). 13C{1H} NMR (CD2Cl2, 75 MHz): δ 158.53, 155.51, 149.94, 136.68, 129.19, 128.17, 122.84, 122.42, 89.76, 63.40, 14.64. MS (APCI) m/z: [M + H]+ calculated for C11H14NO 176.1; found 176.1.
3.2.8. Synthetic Procedures for Pentathiepine Formation
Pentathiepine syntheses were executed following the method described by Zubair et al. [15]. The appropriate quantities of alkynes (1.00 mmol, 1.00 equiv.), molybdenum–oxo-bistetrasulfido complex (0.50 mmol, 0.50 equiv.), and elemental sulfur (1.00 mmol, 1.00 equiv.) were introduced into flame-sealed Schlenk tubes containing a magnetic stirring bar and purged of air under vacuum. Then, the system underwent three cycles of nitrogen–vacuum purging, after which 3 mL of dry DMF was added. The resulting heterogeneous solution was stirred at 50 °C for 48 h. The reaction was stopped, and the solvent was removed under vacuum using a cooling trap. The product was purified using column chromatography commencing with 100% hexane and, when necessary, transitioning in gradient to an increased polarity of the eluent up to a mix of hexane and EtOAc, the ratio of which (v/v) is specified for every molecule below. This ensured the removal of sulfur. Its presence (Rf = 0.95) was checked via TLC with a 254 nm UV lamp.
6-methyl-[1,2,3,4,5]pentathiepino[6,7-a]indolizine (5c): yield: 32%, orange crystalline solid, Rf = 0.2 (hexane). 1H NMR (CD2Cl2, 300 MHz): δ 7.67 (d, J = 7.1 Hz, 1H), 7.57 (dt, J = 9.1, 1.2 Hz, 1H), 7.04–6.92 (m, 1H), 6.74 (td, J = 6.8, 1.3 Hz, 1H), 2.57 (s, 3H). 13C{1H} NMR (CD2Cl2, 75 MHz): δ 136.21, 128.83, 126.66, 123.54, 121.83, 118.68, 113.19, 111.42, 10.64. MS (APCI) m/z: [M + H]+ calculated for C9H8NS5 289.9; found 290.0.
6-phenyl-[1,2,3,4,5]pentathiepino[6,7-a]indolizine (5d): yield: 38%, orange crystalline solid, Rf = 0.2 (hexane). 1H NMR (CD2Cl2, 300 MHz): δ 7.84 (d, 1H, J = 8.1 Hz), 7.63–7.28 (m, 6H), 6.95 (dd, 1H, J = 9.1, 6.6 Hz), 6.57 (t, 1H, J = 6.9 Hz). 13C{1H} NMR (CD2Cl2, 75 MHz): δ 136.59, 131.36, 129.55, 129.27, 129.14, 124.05, 122.95, 118.90, 113.49. MS (APCI) m/z: [M + H]+ calculated for C14H10NS5 351.9; found 352.1.
2-([1,2,3,4,5]pentathiepino[6,7-a]indolizin-6-yloxy)ethan-1-ol (5e): flash chromatography in gradient up to Hex/EtOAc = 60/40. Yield: 47%, orange crystalline solid, Rf = 0.2 (Hex/EtOAc = 60/40). 1H NMR (CD2Cl2, 300 MHz): δ 7.86 (dd, 1H, J = 7.1, 1.2 Hz), 7.50 (dd, 1H, J = 9.1, 1.3 Hz), 6.90 (ddd, J = 9.2, 6.6, 1.1 Hz, 1H), 6.66 (td, 1H, J = 6.8, 1.2 Hz), 4.56–4.35 (m, 2H), 3.95 (q, 2H, J = 4.7 Hz), 2.07 (t, 1H, J = 5.8 Hz). 13C{1H} NMR (CD2Cl2, 75 MHz): δ 141.99, 132.78, 123.37, 123.07, 119.95, 115.90, 114.33, 110.74, 79.50, 63.30.MS (APCI) m/z: [M + H]+ calculated for C10H10NO2S5 335.9; found 336.0.
3-([1,2,3,4,5]pentathiepino[6,7-a]indolizin-6-yloxy)propan-1-ol (5f): flash chromatography in gradient up to Hex/EtOAc = 50/50. Yield: 52%, orange crystalline solid, Rf = 0.2 (Hex/EtOAc = 60/40). 1H NMR (CD2Cl2, 300 MHz): δ 7.77 (dt, 1H, J = 7.1, 1.1 Hz), 7.47 (dt, 1H, J = 9.2, 1.2 Hz), 6.87 (ddd, 1H, J = 9.2, 6.6, 1.1 Hz), 6.63 (ddd, 1H, J = 7.1, 6.6, 1.2 Hz), 4.51 (qt, 2H, J = 9.6, 6.1 Hz), 4.00–3.81 (m, 2H), 2.07 (p, 2H, J = 6.1 Hz), 1.76–1.63 (m, 1H). 13C{1H} NMR (CD2Cl2, 75 MHz): δ 140.53, 130.81, 121.35, 121.06, 118.09, 113.28, 112.41, 108.89, 73.58, 59.20, 54.18, 53.82, 53.46, 53.10, 52.74, 32.70. MS (APCI) m/z: [M + H]+ calculated for C11H12NO2S5 349.9; found 350.1.
4. Conclusions
In the course of trying to validate the reaction mechanism proposed for pentathiepine formation, as early as 2013, significant changes were made to the employed precursors with regard to the otherwise omnipresent two –OEt functional groups in the alkyne starting materials, resulting in one of these being always present in the products in the past. This study confirms that a single –OEt or, more generally, one ether function is sufficient to facilitate pentathiepine formation; yet, without it, the reaction does not proceed. It was further confirmed that in the case that two ether functions are present, only one is disconnected, while the second remains bound to the molecule. The proton, which is also released during the reaction, inevitably ends up on the oxygen that was initially discharged to jointly form the neutral alcohol. This study grants access to a functionalization of the C-6 atom of the pyrrolic ring, which is the only position directly adjacent to the PTE moiety that can be addressed. The successful application of an allene for PTE synthesis confirms that the delocalization of π-electron density is likely crucial for the reaction and that an allene may be an active intermediate in the reaction sequence. Four new pentathiepines were synthesized in course of this study, which comprise the very first at C-6 non-OEt functionalized derivatives from the molybdenum-mediated reaction. By this, it is possible to install functional groups that can improve, e.g., solubility in water or aqueous solvent mixtures (glycol ethers). It further facilitates investigating the effect that electron withdrawing or pushing substituents on this position may have on the electronic structures; from the first spectroscopic and metrical data of this study, the respective effect does not appear to be strong. However, this work still provides a starting point to modulating the resultant pentathiepines’ (physico)-chemical characteristics, which has not been attempted or exploited before and thereby comprises an unprecedented synthetic strategy.
Supplementary Materials
The following supporting information can be downloaded at: https://www.mdpi.com/article/10.3390/molecules29163806/s1, Figures S1–S38: 1H, 13C NMR spectra of 3a, 3c, 4’a, 3d, 6, 4b, 4c, 4d, 2d, 8, 4e, 4f, 4g, 5c, 5d, 5e, 5f, 13, 14. Figures S39–S42: UV-vis spectra of 5c, 5d, 5e, 5f. Figures S43–S60: APCI Mass spectra of 3a, 3c, 4c, 4g, 4b, 4’a, 2d, 3d, 4d, 13, 14, 8, 4e, 4f, 5c, 5d, 5e, 5f. Figure S61: Tautomerism of precursor 4g (2-(3-ethoxybuta-1,2-dien-1-yl)pyridine to the left and 2-(3-ethoxybuta-1,3-dien-1-yl)pyridine to the right). Tables S1–S6: Crystal data and structure refinement for 3a, 12, 5c, 5d, 5e, 5f.
Author Contributions
R.T., investigation, methodology, formal analysis, visualization, and writing—original draft preparation; L.M.J., funding acquisition, investigation, and methodology; S.S.M.B., investigation, formal analysis, and data curation; B.J.E., investigation, formal analysis, and data curation; C.S., conceptualization, validation, formal analysis, data curation, resources, supervision, project administration, and writing—review and editing. All authors have read and agreed to the published version of the manuscript.
Funding
L.M.J. received a Ph.D. scholarship from the county of Mecklenburg-Vorpommern, which is gratefully acknowledged (Landesgraduiertenstipendium).
Institutional Review Board Statement
Not applicable.
Informed Consent Statement
Not applicable.
Data Availability Statement
The crystallographic data were deposited with the CCDC and are available by download via the deposition numbers (see experimental Section 3.1.2). Spectra, if not part of the manuscript, are provided in the Supplementary Materials. Original data are available from the authors upon request.
Conflicts of Interest
The authors declare no conflicts of interest.
References
- Arumugam, V.; Venkatesan, M.; Ramachandran, K.; Sundaresan, U.; Ramachandran, S. Ascidians. In Encyclopedia of Marine Biotechnology; Kim, S.-K., Ed.; Wiley VCH: Weinheim, Germany, 2020; pp. 2487–2508. [Google Scholar] [CrossRef]
- Jacobsen, L.M.; Tallarita, R.; Bandaru, S.S.M.; Schulzke, C. Chapter 14 Synthesis of pharmacologically significant pentathiepins: A journey from harsh to mild conditions. In Non-Conventional Synthesis; György, K., Bubun, B., Eds.; De Gruyter: Berlin, Germany; Boston, MA, USA, 2024; pp. 403–466. [Google Scholar] [CrossRef]
- Khomenko, T.M.; Korchagina, D.V.; Baev, D.S.; Vassiliev, P.M.; Volcho, K.P.; Salakhutdinov, N.F. Antimicrobial Activity of Substituted Benzopentathiepin-6-amines. J. Antibiot. 2019, 72, 590–599. [Google Scholar] [CrossRef] [PubMed]
- Rybalova, T.V.; Rogachev, A.D.; Khomenko, T.M.; Volcho, K.P.; Salakhutdinov, N.F. Molecular and Supramolecular Structure of 8-(Trifluoromethyl)Benzo[f][1,2,3,4,5] Pentathiepin-6-Amine—A Representative of Condensed Arene Pentathiepines. J. Struct. Chem. 2018, 59, 1753–1758. [Google Scholar] [CrossRef]
- Mahendran, A.; Ghogare, A.A.; Bittman, R.; Arthur, G.; Greer, A. Synthesis and antiproliferative properties of a new ceramide analog of varacin. Chem. Phys. Lipids 2016, 194, 165–170. [Google Scholar] [CrossRef] [PubMed]
- Zakharenko, A.; Khomenko, T.; Zhukova, S.; Koval, O.; Zakharova, O.; Anarbaev, R.; Lebedeva, N.; Korchagina, D.; Komarova, N.; Vasiliev, V.; et al. Synthesis and biological evaluation of novel tyrosyl-DNA phosphodiesterase 1 inhibitors with a benzopentathiepine moiety. Biorg. Med. Chem. 2015, 23, 2044–2052. [Google Scholar] [CrossRef] [PubMed]
- Fehér, F.; Langer, M. Contribution to the chemistry of sulfur, no. 104 Synthesis of pentathiepin and benzopentathiepin. Tetrahedron Lett. 1971, 12, 2125–2126. [Google Scholar] [CrossRef]
- Davidson, B.S.; Molinski, T.F.; Barrows, L.R.; Ireland, C.M. Varacin: A novel benzopentathiepin from Lissoclinum vareau that is cytotoxic toward a human colon tumor. J. Am. Chem. Soc. 1991, 113, 4709–4710. [Google Scholar] [CrossRef]
- Palanisamy, S.K.; Rajendran, N.M.; Marino, A. Natural Products Diversity of Marine Ascidians (Tunicates; Ascidiacea) and Successful Drugs in Clinical Development. Nat. Product. Bioprospecting 2017, 7, 1–111. [Google Scholar] [CrossRef] [PubMed]
- Jacob, C. A scent of therapy: Pharmacological implications of natural products containing redox-active sulfur atoms. Nat. Prod. Rep. 2006, 23, 851–863. [Google Scholar] [CrossRef] [PubMed]
- Bergman, J.; St»lhandske, C. Transformation of isatin with P4S10 to pentathiepino[6,7-b]indole in one step. Tetrahedron Lett. 1994, 35, 5279–5282. [Google Scholar] [CrossRef]
- Chenard, B.L.; Harlow, R.L.; Johnson, A.L.; Vladuchick, S.A. Synthesis, structure, and properties of pentathiepins. J. Am. Chem. Soc. 1985, 107, 3871–3879. [Google Scholar] [CrossRef]
- Rewcastle, G.W.; Janosik, T.; Bergman, J. Reactions of 2-lithiated indoles with elemental sulfur. Formation of pentathiepino[6,7-b]indoles and indoline-2-thiones. Tetrahedron 2001, 57, 7185–7189. [Google Scholar] [CrossRef]
- Sato, R.; Ohyama, T.; Kawagoe, T.; Baba, M.; Nakajo, S.; Kimura, T.; Ogawa, S. Synthesis and characterization of functionalized benzopentathiepins. Heterocycles 2001, 55, 145–154. [Google Scholar] [CrossRef]
- Zubair, M.; Ghosh, A.C.; Schulzke, C. The unexpected and facile molybdenum mediated formation of tri- and tetracyclic pentathiepins from pyrazine-alkynes and sulfur. Chem. Commun. 2013, 49, 4343–4345. [Google Scholar] [CrossRef] [PubMed]
- Tallarita, R.; Jacobsen, L.M.; Elvers, B.J.; Richter, S.; Bandaru, S.S.M.; Correia, J.V.; Schulzke, C. Synthesis of Seven Indolizine-Derived Pentathiepines: Strong Electronic Structure Response to Nitro Substitution in Position C-9. Molecules 2024, 29, 216. [Google Scholar] [CrossRef] [PubMed]
- Behnisch-Cornwell, S.; Bandaru, S.S.M.; Napierkowski, M.; Wolff, L.; Zubair, M.; Urbainsky, C.; Lillig, C.; Schulzke, C.; Bednarski, P.J. Pentathiepins: A Novel Class of Glutathione Peroxidase 1 Inhibitors that Induce Oxidative Stress, Loss of Mitochondrial Membrane Potential and Apoptosis in Human Cancer Cells. ChemMedChem 2020, 15, 1515–1528. [Google Scholar] [CrossRef] [PubMed]
- Chinchilla, R.; Nájera, C. The Sonogashira Reaction: A Booming Methodology in Synthetic Organic Chemistry. Chem. Rev. 2007, 107, 874–922. [Google Scholar] [CrossRef] [PubMed]
- Biala, G.; Kedzierska, E.; Kruk-Slomka, M.; Orzelska-Gorka, J.; Hmaidan, S.; Skrok, A.; Kaminski, J.; Havrankova, E.; Nadaska, D.; Malik, I. Research in the Field of Drug Design and Development. Pharmaceuticals 2023, 16, 1283. [Google Scholar] [CrossRef] [PubMed]
- Naredla, R.R.; Klumpp, D.A. Contemporary Carbocation Chemistry: Applications in Organic Synthesis. Chem. Rev. 2013, 113, 6905–6948. [Google Scholar] [CrossRef]
- Li, J.J. Carbocation Chemistry: Applications in Organic Synthesis; CRC Press: Boca Raton, FL, USA, 2016. [Google Scholar] [CrossRef]
- Williamson, A. XLV. Theory of ætherification. Lond. Edinb. Dublin Philos. Mag. J. Sci. 1850, 37, 350–356. [Google Scholar] [CrossRef]
- Wolff, L.; Bandaru, S.S.M.; Eger, E.; Lam, H.N.; Napierkowski, M.; Baecker, D.; Schulzke, C.; Bednarski, P.J. Comprehensive Evaluation of Biological Effects of Pentathiepins on Various Human Cancer Cell Lines and Insights into Their Mode of Action. Int. J. Mol. Sci. 2021, 22, 7631. [Google Scholar] [CrossRef]
- Grard, J. Several reactions of propargylic acetal. Compt. Rend. 1929, 189, 541–543. [Google Scholar]
- González-Bello, C.; Castedo, L. Six-Membered Heterocycles: Pyridines. In Modern Heterocyclic Chemistry; Alvarez-Builla, J., Vaquero, J.J., Barluenga, J., Eds.; Wiley VCH: Weinheim, Germany, 2011; pp. 1431–1525. [Google Scholar] [CrossRef]
- Barnes, R.A. Properties and Reactions of Pyridine and its Hydrogenated Derivatives. In The Chemistry of Heterocyclic Compounds; Klingsberg, E., Ed.; Interscience Publishers, Inc.: New York, NY, USA, 1960; pp. 1–97. [Google Scholar] [CrossRef]
- Tenenbaum, L.E. Alkylpyridines and Arylpyridines. In The Chemistry of Heterocyclic Compounds; Klingsberg, E., Ed.; Interscience Publishers, Inc.: New York, NY, USA, 1961; pp. 155–298. [Google Scholar] [CrossRef]
- Konstantinova, L.S.; Rakitin, O.A.; Rees, C.W. Pentathiepins. Chem. Rev. 2004, 104, 2617–2630. [Google Scholar] [CrossRef] [PubMed]
- Napierkowski, M.; Janke, U.; Rong, A.; Delcea, M.; Bandaru, S.S.M.; Schulzke, C.; Bednarski, P.J. Liposomal formulation of model pentathiepin improves solubility and stability toward glutathione while preserving anticancer activity. Arch. Pharm. 2023, 356, e2300087. [Google Scholar] [CrossRef] [PubMed]
- Ieronimo, G.; Palmisano, G.; Maspero, A.; Marzorati, A.; Scapinello, L.; Masciocchi, N.; Cravotto, G.; Barge, A.; Simonetti, M.; Ameta, K.L.; et al. A novel synthesis of N-hydroxy-3-aroylindoles and 3-aroylindoles. Org. Biomol. Chem. 2018, 16, 6853–6859. [Google Scholar] [CrossRef] [PubMed]
- Kueny-Stotz, M.; Isorez, G.; Chassaing, S.; Brouillard, R. Straightforward Synthesis of Highly Hydroxylated Phloroglucinol-Type 3-Deoxyanthocyanidins. Synlett 2007, 2007, 1067–1070. [Google Scholar] [CrossRef]
- Fu, R.; Liu, Y.; Wu, T.; Zhang, X.; Zhu, Y.; Luo, J.; Zhang, Z.; Jiang, Y. Metal-free synthesis of β-aminoketones by the reductive hydroamination of ynones. Chem. Commun. 2022, 58, 3525–3528. [Google Scholar] [CrossRef] [PubMed]
- Weiss, H.M. Side Reactions in a Grignard Synthesis. J. Chem. Educ. 1999, 76, 76. [Google Scholar] [CrossRef]
- D’Souza, D.M.; Kiel, A.; Herten, D.-P.; Rominger, F.; Müller, T.J.J. Synthesis, Structure and Emission Properties of Spirocyclic Benzofuranones and Dihydroindolones: A Domino Insertion–Coupling–Isomerization– Diels–Alder Approach to Rigid Fluorophores. Chem. Eur. J. 2008, 14, 529–547. [Google Scholar] [CrossRef] [PubMed]
- Wang, Z. Williamson Ether Synthesis. In Comprehensive Organic Name Reactions and Reagents; Wang, Z., Ed.; Wiley VCH: Weinheim, Germany, 2010; pp. 3026–3030. [Google Scholar] [CrossRef]
- Purdie, T.; Irvine, J.C. The alkylation of sugars. J. Chem. Soc., Trans. 1903, 83, 1021–1037. [Google Scholar] [CrossRef]
- Wang, Z. Irvine-Purdie Methylation. In Comprehensive Organic Name Reactions and Reagents; Wang, Z., Ed.; Wiley VCH: Weinheim, Germany, 2010; pp. 1526–1529. [Google Scholar] [CrossRef]
- Macrae, C.F.; Sovago, I.; Cottrell, S.J.; Galek, P.T.A.; McCabe, P.; Pidcock, E.; Platings, M.; Shields, G.P.; Stevens, J.S.; Towler, M.; et al. Mercury 4.0: From visualization to analysis, design and prediction. J. Appl. Crystallogr. 2020, 53, 226–235. [Google Scholar] [CrossRef]
- Greer, A. On the Origin of Cytotoxicity of the Natural Product Varacin. A Novel Example of a Pentathiepin Reaction That Provides Evidence for a Triatomic Sulfur Intermediate. J. Am. Chem. Soc. 2001, 123, 10379–10386. [Google Scholar] [CrossRef] [PubMed]
- Davison, E.K.; Sperry, J. Natural Products with Heteroatom-Rich Ring Systems. J. Nat. Prod. 2017, 80, 3060–3079. [Google Scholar] [CrossRef] [PubMed]
- Brzostowska, E.M.; Greer, A. The Role of Amine in the Mechanism of Pentathiepin (Polysulfur) Antitumor Agents. J. Am. Chem. Soc. 2003, 125, 396–404. [Google Scholar] [CrossRef] [PubMed]
- Brzostowska, E.M.; Paulynice, M.; Bentley, R.; Greer, A. Planar Chirality due to a Polysulfur Ring in Natural Pentathiepin Cytotoxins. Implications of Planar Chirality for Enantiospecific Biosynthesis and Toxicity. Chem. Res. Toxicol. 2007, 20, 1046–1052. [Google Scholar] [CrossRef] [PubMed]
- Wuts, P.G.M.; Green, T.W. Chapter 4: Protection for the Carbonyl Group. In Greene’s Protective Groups in Organic Synthesis; Wuts, P.G.M., Green, T.W., Eds.; Wiley-Interscience: Hoboken, NJ, USA, 2006; pp. 431–532. [Google Scholar] [CrossRef]
- Wuts, P.G.M.; Green, T.W. Chapter 5: Protection for the Carboxyl Group. In Greene’s Protective Groups in Organic Synthesis; Wuts, P.G.M., Green, T.W., Eds.; Wiley-Interscience: Hoboken, NJ, USA, 2006; pp. 533–646. [Google Scholar] [CrossRef]
- Yan, B.; Zhou, Y.; Zhang, H.; Chen, J.; Liu, Y. Highly Efficient Synthesis of Functionalized Indolizines and Indolizinones by Copper-Catalyzed Cycloisomerizations of Propargylic Pyridines. J. Org. Chem. 2007, 72, 7783–7786. [Google Scholar] [CrossRef] [PubMed]
- Deagostino, A.; Prandi, C.; Toppino, A.; Venturello, P. Palladium-catalysed Heck reaction on 1,2-dien-1-ols: A stereoselective synthesis of α-arylated α,β-unsaturated aldehydes. Tetrahedron 2008, 64, 10344–10349. [Google Scholar] [CrossRef]
- Hoff, S.; Brandsma, L.; Arens, J.F. Preparation, metallation and alkylation of allenyl ethers. Recl. Trav. Chim. Pays-Bas-J. Roy. Neth. Chem. Soc. 1968, 87, 916–924. [Google Scholar] [CrossRef]
- Sheldrick, G.M. SHELXT-integrated space-group and crystal-structure determination. Acta Cryst. A 2015, 71, 3–8. [Google Scholar] [CrossRef]
- Sheldrick, G.M. Crystal structure refinement with SHELXL. Acta Cryst. C 2015, 71, 3–8. [Google Scholar] [CrossRef]
- Farrugia, L.J. WinGX and ORTEP for Windows: An update. J. Appl. Crystallogr. 2012, 45, 849–854. [Google Scholar] [CrossRef]
Disclaimer/Publisher’s Note: The statements, opinions and data contained in all publications are solely those of the individual author(s) and contributor(s) and not of MDPI and/or the editor(s). MDPI and/or the editor(s) disclaim responsibility for any injury to people or property resulting from any ideas, methods, instructions or products referred to in the content. |
© 2024 by the authors. Licensee MDPI, Basel, Switzerland. This article is an open access article distributed under the terms and conditions of the Creative Commons Attribution (CC BY) license (https://creativecommons.org/licenses/by/4.0/).





























