Next Article in Journal
Ti/CuO Nanothermite—Study of the Combustion Process
Previous Article in Journal
Solvent-Focused Gas Chromatographic Determination of Thymol and Carvacrol Using Ultrasound-Assisted Dispersive Liquid–Liquid Microextraction through Solidifying Floating Organic Droplets (USA-DLLME-SFO)
Previous Article in Special Issue
Electrochemistry of Thin Films and Nanostructured Materials
 
 
Font Type:
Arial Georgia Verdana
Font Size:
Aa Aa Aa
Line Spacing:
Column Width:
Background:
Article

Molecular Crystal Structure Simulations and Structure-Magnetic Properties of LiFePO4 Composite Particles Optimized by La

1
College of Biomedical Information and Engineering, Hainan Medical University, Haikou 571199, China
2
Guangxi Key Laboratory of Nuclear Physics and Nuclear Technology, College of Physics and Technology, Guangxi Normal University, Guilin 541004, China
3
Department of Civil Engineering, Jiangxi Water Resources Institute, Nanchang 330013, China
*
Authors to whom correspondence should be addressed.
These authors contributed equally to this work.
Molecules 2024, 29(16), 3933; https://doi.org/10.3390/molecules29163933
Submission received: 9 July 2024 / Revised: 15 August 2024 / Accepted: 16 August 2024 / Published: 20 August 2024

Abstract

In this study LiFePO4/C composite particles were synthesized using five different carbon sources via a one-step sol-gel method. La-doped LiFePO4 was also synthesized using the sol-gel method. The XRD pattern of LixLayFePO4 (x = 0.9~1.0, y = 0~0.1) after being calcined at 700 °C for 10 h indicates that as the doping ratio increased, the sample’s cell volume first increased then decreased, reaching a maximum value of 293.36 Å3 (x = 0.94, y = 0.06). The XRD patterns of Li0.92La0.08FePO4 after being calcined at different temperatures for 10 h indicate that with increasing calcination temperature, the (311) diffraction peak drifted toward a smaller diffraction angle. Similarly, the XRD patterns of Li0.92La0.08FePO4 after being calcined at 700 °C for different durations indicate that with increasing calcination times, the (311) diffraction peak drifted toward a larger diffraction angle. The infrared spectrum pattern of LixLayFePO4 (x = 0.9~1.0, y = 0~0.1) after being calcined at 700 °C for 10 h shows absorption peaks corresponding to the vibrations of the Li–O bond and PO43- group. An SEM analysis of LixLayFePO4 (x = 1, y = 0; x = 0.96, y = 0.04; x = 0.92, y = 0.08) after being calcined at 700 °C for 10 h indicates that the particles were irregular in shape and of uniform size. The hysteresis loops of Li0.92La0.08FePO4 after being calcined at 600 °C, 700 °C, or 800 °C for 10 h indicate that with increasing calcination temperature, the Ms gradually increased, while the Mr and Hc decreased, with minimum values of 0.08 emu/g and 58.21 Oe, respectively. The Mössbauer spectra of LixLayFePO4 (x = 1, y = 0; x = 0.96, y = 0.04; x = 0.92, y = 0.08) after being calcined at 700 °C for 10 h indicate that all samples contained Doublet(1) and Doublet(2) peaks, dominated by Fe2+ compounds. The proportions of Fe2+ were 85.5% (x = 1, y = 0), 89.9% (x = 0.96, y = 0.04), and 96.0% (x = 0.92, y = 0.08). The maximum IS and QS of Doublet(1) for the three samples were 1.224 mm/s and 2.956 mm/s, respectively.

1. Introduction

Compared with traditional rechargeable secondary batteries, lithium-ion batteries, as a new type of rechargeable battery, offer numerous advantages, including a high voltage, long cycle life, and environmental friendliness. The primary cathode materials for lithium-ion batteries include lithium cobalt oxide (LiCoO2), lithium nickel oxide (LiNiO2), lithium manganese oxide (LiMn2O4), lithium manganese dioxide (LiMnO2), and lithium iron phosphate (LiFePO4). In 1997, A.K. Padhi, K.S. Nanjundaswamy, and J.B. Goodenough proposed olivine-type LiFePO4 as a new cathode material [1]. The crystal structure of LiFePO4 is shown in Figure 1. Olivine-type LiFePO4, used as a cathode material in lithium-ion batteries, features a slightly distorted, hexagonal, close-packed arrangement of internal atoms. It belongs to the orthorhombic crystal system with a space group of Pnma [2], in which phosphorus (P) atoms are bonded to four oxygen (O) atoms to form the PO4 structure. Lithium (Li) and iron (Fe) atoms form octahedral structures, LiO6 and FeO6, respectively, with six surrounding O atoms. The magnetic properties of LiFePO4 are primarily antiferromagnetic below the Neél temperature TN, due to superexchange interactions between the internal Fe atoms through the Fe–O–P–O–Fe bond [3].
LiFePO4 offers several advantages, including inexpensive raw materials, a high theoretical capacity [4,5], high energy density, good stability, and non-toxicity [6,7]. However, its application as a cathode material is mainly limited by its low conductivity [8,9]. There are three primary methods to improve conductivity: reducing grain size, doping with other metal ions, and coating with conductive elements [10,11]. Guangcong Zeng et al. [12] prepared both coated and uncoated LiFePO4 materials and found that the sample that was coated with C-Nb2CTx exhibited superior electrochemical properties. Similarly, Xiaohua Chen et al. [13] prepared zinc oxide and carbon co-modified LiFePO4 nanoparticles (LFP/C-ZnO) using an inorganic-based hydrothermal route and found this to significantly boost its performance. Meanwhile, Abdurrahman Yolun et al. [14] prepared an Ru-substituted LiFePO4 cathode material and demonstrated that it exhibits excellent electrochemical performance. There are many synthetic methods for producing olivine-type LiFePO4, including the sol-gel method [15,16], hydrothermal method [17,18], co-precipitation method [19,20], high-temperature solid-state reaction method [21,22], microwave method [23,24], and thermal reduction method [24,25,26]. The sol-gel method, in particular, is an important approach for preparing LiFePO4; due to its homogeneous precursor, low heat treatment temperature, simplicity of equipment, and ease of control, this method is widely favored among researchers [27].
Furthermore, Dan Li et al. [28] prepared carbon-coated Li1-3xLaxFePO4/C (x = 0~0.025) materials with smaller particles and uniform morphology by combining solid state reaction and microwave heating. The results showed that the conductivity was improved after La-ions doping, thereby increasing the discharge capacity of the electrode material. Yung Da Cho et al. [29] prepared La-doped LiFePO4 materials, and the results showed that the structure remained unchanged after La-ion doping. However, the cyclic stability of the electrode materials’ capacity was effectively improved. Shaohua Luo et al. [30] prepared Li1-xLaxFePO4 (x = 0.0025~0.01) through a two-step solid state reaction. They found that the microstructure and grain size of samples doped with La ions hardly changed, and, among the samples, Li0.99La0.01FePO4 showed the most excellent electrochemical performance. The carbon source also has a significant influence on the performance of LiFePO4 [31]. Chaoqi Shen et al. [32] prepared high-performance LiFePO4/C composite using an optimized solid-state synthesis route. M. Swierczynski et al. [33] found that lithium iron phosphate carbon (LiFePO4/C) composite demonstrates excellent performance, with 8000 complete service cycles at 25 °C. Xingling Lei et al. [34] prepared LiFePO4 cathode material by introducing carbon and found that it exhibits good crystallinity and is of the olivine type, with a microscopic particle size of approximately 200 to 500 nm. Seo Hee Ju et al. [35] observed that pure olivine can be prepared by adding carbon, and increasing the amount of nano carbon black will, to a certain extent, increase the particle size of LiFePO4.
In this study, we systematically investigated the effects of different carbon sources and La doping on the structure and properties of LiFePO4. Five different carbon sources, including ethylene glycol (C2H6O2, analytical grade AR), polyethylene glycol 4000 (PEG4000; HO(CH2CH2O)nH, chemically pure CP), polyvinyl alcohol (PVA-124; [CH2CH(OH)]n, analytical grade AR), citric acid (C6H8O7·H2O, analytical grade AR), and glucose (C6H12O6·H2O, analytical grade AR), were used, and LiFePO4/C composite particles were synthesized using a one-step sol-gel method. Then, LixLayFePO4 (x = 0.9~1.0, y = 0~0.1) materials were prepared using the sol-gel method, which offers precise control, straightforward operation, and simple synthesis conditions. The magnetic properties of the samples with varying doping ratios, calcination temperatures, and calcination times were studied to select the optimal doping ratio, calcination temperature, and calcination time, thereby improving the properties of the samples for an improved application value.

2. Results and Discussion

2.1. XRD Analysis

To study the phase structure and average lattice parameters of the prepared LiFePO4/C composite particles, a crystal X-ray diffraction (XRD) analysis was conducted using an X-ray diffractometer. The obtained XRD data were analyzed using MDI Jade 6 software, and it was found that its results corresponded most closely with the standard card PDF#83-2092. Figure 2 presents the XRD diffraction patterns of the LiFePO4/C composites that were synthesized from five different carbon sources. The main diffraction peaks (200), (101), (111), (211), and (311) of each composite align precisely with those in the standard card PDF#83-2092, indicating that each composite sample has a complete pure phase LiFePO4 peak type, belonging to the space group Pnma [36], without any detected impurity peaks and demonstrating good crystallinity. The uneven baseline of the diffraction pattern may be attributed to the presence of amorphous carbon, which is consistent with the XRD diffraction patterns of the LiFePO4/C composites prepared by C. Chen et al. [37], Xiaozhen Liao et al. [38], and Jae Kwang Kim et al. [39]. In these studies, the diffraction patterns also displayed complete LiFePO4 peaks, but with a similarly uneven baseline.
Among the peaks, the main peak (311) of the XRD diffraction pattern of the sample using PEG4000 as the carbon source is notably sharp, which is similar to the XRD diffraction pattern reported by Zhihui Xu et al. [40] for the LiFePO4/C that was prepared with PEG4000. In contrast, the XRD diffraction peaks of some samples within the prepared materials are less distinct and not particularly sharp, which resembles the X-ray diffraction pattern of the composite material that was prepared using glucose as the carbon source. They believe that this phenomenon may be caused by amorphous or low crystalline carbon. The XRD diffraction pattern of the LiFePO4/C that was prepared with ethylene glycol as a carbon source is similar to the pattern reported by C. Guan et al. [41], who used ethylene glycol as an additive in the sol-gel method. The diffraction peak at the position of the corresponding size 2θ is sharp and distinct, exhibiting a complete LiFePO4 peak profile, and the relative intensity of the peak corresponds to the standard card.

2.2. Preparation Process

The average lattice constants of the LiFePO4/C composite samples that were synthesized from different carbon sources are shown in Table 1. It shows that the average lattice constants a-axis and b-axis of the composites are smaller than those of the standard pure phase LiFePO4 (PDF#83-2092), which aligns with the findings of Dragana Jugovića et al. [42] and Xiaodong Wang et al. [43], who prepared LiFePO4/C composites with similar lattice parameters. Similar to the approach used by Huisheng Huang et al. [44], who utilized Materials Studio 4.0 and other software to simulate LiFePO4/C, this study also employs these tools to understand the band gap and density of states of the energy band structure of the LiFePO4 composite. The average lattice parameters were obtained through XRD testing, as well as the file 2,100,916.
The band gap and density of states of the energy band structure for the prepared LiFePO4/C composite were calculated using Materials Studio 6.0, utilizing data from the Crystallography Open Database. The molecular crystal structure simulations are shown in Figure 3. The band gaps for LiFePO4/C prepared using ethylene glycol, PEG4000, PVA-124, and citric acid were 0.589 eV, 0.598 eV, 0.586 eV, and 0.586 eV, respectively. While the experimental samples show slight deviations from theoretical values, these deviations are not significant. LiFePO4 prepared with PVA-124 and citric acid as carbon sources exhibits smaller energy gaps, indicating the potential for higher conductivity. Dragana Jugovića et al. [42] believed that smaller lattice parameters indicate that smaller LiFePO4 particles could be relatively easily produced, which was conducive to the integration with conductive carbon. Similarly, Huisheng Huang et al. [44] demonstrated the use of Material Studio and other software to simulate LiFePO4/C, aiming to understand the band gap and density of states of the energy band structure of LiFePO4. LiFePO4 usually has low conductivity; Chen et al. [45] prepared LiFePO4/C and found that introducing carbon can improve the conductivity of LiFePO4, thereby enhancing its charge discharge power and other properties.
As shown in Figure 4, the main phase of all the synthesized samples is LiFePO4 [45], and all the obtained doped samples exhibit an orthorhombic crystal system belonging to the Pnma space group with an olivine structure. The main diffraction peaks (200, 101, 111, 211, 301, and 311) of all the samples align closely with those in the standard PDF card (JCPDS No. 83-2092) [6]. Table 2 shows the XRD parameters of LixLayFePO4 after being calcined at 700 °C for 10 h. No impurity phases were detected in any of the samples (x = 1.0, y = 0). However, with the doping of the La ions, several impurity peaks appeared at 2θ at approximately 26.7°, 28.5°, 30.8°, 34.3°, and 41.8°. These impurity phases of LaPO4 can be analyzed using Jade software, and are likely due to the incomplete incorporation of La ions into the lattice, resulting in side reactions [28,29]. The shift trend of the (311) peak on the right side of Figure 4 indicates that the (311) diffraction peak tends to shift to the left due to La-ions doping [46]. Hou et al. [47] prepared LiFePO4@C composite and improved the charge discharge performance and low-temperature characteristics of LiFePO4 through magnetization treatment. Due to the larger radius of La compared to Li, the crystal structure of the doped sample is distorted and increased. Cong J et al. [25] prepared LiFe0.98La0.02O4/C composite and, using an EDS analysis, demonstrated that the distribution of each element in the composite material was uniform. The crystal cell volume of La doped samples was larger than that of undoped samples, further inferring that La doping has entered the LiFePO4 structure [26,30].
It can be seen from Table 2 that as the doping ratio increases, the sample’s cell volume first increases and then decreases, which is consistent with the initial results analyzed using the Bragg equation [46]. Figure 5 and Figure 6 illustrate the effects of different calcination temperatures and durations on the crystal structure of the samples. The main diffraction peaks (200, 101, 111, 211, 301, and 311) of Li0.92La0.08FePO4 are generally consistent with the findings of J.B. Goodenough et al. [1]. However, the diffraction peaks of LaPO4 persist at 2θ at approximately 26.7°, 28.5°, 30.8°, 34.3°, and 41.8°, which can be attributed to the previously mentioned reason [28].
According to the Bragg equation [46,47], the cell volume initially increased. Due to the larger radius of La compared to Li, the crystal structure of the doped sample will undergo distortion and increase. The crystal cell volume of La doped samples was larger than that of undoped samples, further inferring that La doping has entered the LiFePO4 structure. The XRD data in this article are compared with the XRD patterns of Li1-xLaxFePO4 by Shaohua L et al. [30]. The conclusion of the XRD analysis is consistent, indicating that La doping has entered the LiFePO4 structure. Ji Z et al. [24] prepared LiFe0.98La0.02O4/C composite and, using an ICP analysis, F- was doped into the lattice of La–F-LiFePO4 with success; the result corresponded with the analysis of XRD.

2.3. Infrared Spectrum Analysis

To fully understand the infrared vibration absorption peaks of certain chemical bonds in the LiFePO4/C composites that were prepared from various carbon sources, the composites were tested and analyzed by Fourier transform infrared (FTIR) spectroscopy. The test results are shown in Figure 7. The analysis indicated that the main wave numbers of the five samples were approximately 3433 cm−1, 1632 cm−1, 1384 cm−1, 1138 cm−1, 1054 cm−1, 960 cm−1, 638 cm−1, 576 cm−1, 548 cm−1, 502 cm−1, and 470 cm−1.
The vibration peaks [48] of the PO43- ion in LiFePO4 primarily include 1082 cm−1, 980 cm−1, 515 cm−1, and 363 cm−1. The wave number ranges from 400 to 1200 cm−1 and mainly includes the infrared vibration absorption peaks of the P–O bond and the O–P–O bond [48]. The infrared vibration peaks of the Li–O bond are also present within this wave number range [49]. The group vibration modes of materials include symmetrical stretching vibration (v1), antisymmetric stretching vibration (v3), symmetrical bending vibration (v2), and antisymmetric bending vibration (v4) [50]. In LiFePO4, the P–O bond primarily corresponds to v1 and v3, while the O–P–O bond corresponds to v2 and v4 [51]. It is evident that the infrared spectra of the five samples show absorption peaks at wave numbers of 1138 cm−1 and 1054 cm−1, which are primarily attributed to v3 of the P–O bond, whereas the absorption peaks at of 960 cm−1 are mainly due to v1 of the P–O bond. Additionally, the absorption peaks around 638 cm−1, 576 cm−1, 548 cm−1, 502 cm−1, and 470 cm−1 are mainly caused by the mixed vibration of the v2 and v4 of the O–P–O bond [52]. In summary, the wave number ranges from approximately 372 to 1139 cm−1, primarily corresponding to the internal vibration mode of the PO43- ion [53]. Generally, the infrared vibrational absorption peaks of the five samples are similar to the FTIR vibrational absorption peaks of the LiFePO4 prepared by Abdul Halim et al. [54], which were observed at around 3400 cm−1, 1647 cm−1, 1095 cm−1, 984 cm−1, 630 cm−1, and 570 cm−1. By comparing the infrared absorption peaks of the five samples, it can be found that different carbon sources affect the LiFePO4/C composites differently, particularly with the wave number shifts at around 3400 cm−1. The absorption peak at 1138 cm−1 weakens when citric acid and PVA-124 are used as carbon sources, while the absorption peak at 1384 cm−1 weakens when glucose is used as the carbon source. The infrared vibration absorption peaks of the samples that were prepared with ethylene glycol and PEG4000 as carbon sources are relatively prominent.
Figure 8 shows the infrared spectra pattern of LixLayFePO4 after being calcined at 700 °C for 10 h. The O–P–O bond is weaker, primarily ranging between 400 and 700 cm−1. In the wavenumber range between 400 and 1200 cm−1, there is a strong absorption spectrum band from 900 to 1200 cm−1 and a moderately strong absorption spectrum band from 400 to 700 cm−1. The positions of the infrared absorption peaks for all samples are consistent with the literature [55,56].
Therefore, from Figure 8, it can be concluded that the absorption peaks at 1139 cm−1, 1094 cm−1, and 1057 cm−1 corresponded to v1, while the absorption peaks at 972 cm−1 corresponded to v3 [57]. In the low wavenumber region, the two absorption peaks easily overlap [58], making it difficult to clearly distinguish the vibrations.

2.4. Scanning Electron Microscopy Analysis

Scanning electron microscopy (SEM) is a crucial analytical technique for examining the microscopic surface morphology, particle size, and particle dispersion of materials [59]. To study the microscopic morphology and particle size of the LiFePO4/C composites that were synthesized via the sol-gel method from five different carbon sources, an SEM analysis was conducted on the five samples. The results are shown in Figure 9.
The SEM image of the sample using ethylene glycol as the carbon source reveals a microstructure resembling a porous network. When combined with a conductive agent and other additives in the electrode, this network structure is conducive to improving the material’s electronic conductivity [60]. Conversely, the SEM image of the sample using PEG4000 as the carbon source reveals a loose structure with no distinct particles, similar to the LiFePO4 composite studied by Ercan Avci [61]. According to the microscopic morphology of the sample using PVA-124 as the carbon source, it primarily consists of two types of particles. These particles are well-connected, which helps improve the material’s electronic conductivity [62]. The microscopic morphology of the sample using citric acid as the carbon source appears relatively uniform overall, with some fractured particles and small holes visible. The SEM images of the samples using glucose as the carbon source reveal clear, dispersed, and uniformly micron-sized particle structures. Some particles exhibit a crystalline shape and appearance similar to an olivine structure. SEM [59], a crucial characterization method for materials, was used to analyze the microscopic morphology of LixLayFePO4. Figure 10 shows the SEM images of LixLayFePO4 (x = 1.0, y = 0; x = 0.96, y = 0.04; x = 0.92, y = 0.08) after being calcined at 700 °C for 10 h. The particles are irregularly shaped with a consistent size. However, there is relatively severe agglomeration, possibly due to increased chemical stress between the crystals, which in turn causes shrinkage and subsequent agglomeration [63,64].

2.5. Magnetic Analysis

To comprehensively study the magnetic properties of the LiFePO4/C composites that were prepared from different carbon sources, a VSM-100 vibrating sample magnetometer (VSM) from Yingpu Magnetoelectric Company was used. The magnetic field range was set to ±8000 Oe, with a fieldincreasing step of 4 Oe. The hysteresis loops of the LiFePO4/C composites that were synthesized from five different carbon sources were tested at room temperature, and the results are presented in Figure 11 and Figure 12, and in Table 3. The hysteresis loop obtained from the test is similar to that of the LiFePO4/C composites prepared by Ming Chen et al. [65] at room temperature. The introduction of carbon significantly impacts the magnetism of LiFePO4. In their study, by controlling the amount of carbon, the saturation magnetization of LiFePO4 varied from Ms = 8.538 emu/g to Ms = 0.326 emu/g, and even to Ms = 0.313 emu/g. In this study, testing the hysteresis loops and statistically analyzing the data of the samples that were prepared with different carbon sources revealed that different carbon sources significantly influence the saturation magnetization of LiFePO4/C composites. The samples using PVA-124 as the carbon source exhibit the highest saturation magnetization (Ms), reaching 2.01 emu/g. In contrast, the samples using ethylene glycol as the carbon source show the highest coercivity, measured at 170.67 Oe. The hysteresis loop areas for all five samples are minimal and approach zero. The sample using glucose as the carbon source has the highest residual magnetization (Mr), recorded at 0.91 emu/g, and also the highest Mr/Ms ratio, at 2.107. For LiFePO4, the Neél temperature TN is 50 K [66]. Below this temperature, the material exhibits antiferromagnetic properties, while above 50 K, it becomes paramagnetic. The composite samples that were prepared using five different carbon sources were tested with VSM at room temperature, and thus should display paramagnetic behavior.
The test results shown in Figure 11 indicate that the hysteresis loop area of the sample is almost zero, but it exhibits relatively large coercivity, with a minimum of 58.03 Oe, indicating weak ferromagnetism. This behavior may be attributed to the presence of ferrous or ferromagnetic impurities in the sample [65,67]. However, no impurity phase was found in the previous XRD test, indicating that ferromagnetic impurities might be present in very small amounts and could be encapsulated by amorphous carbon or LiFePO4, or their XRD diffraction peak intensity might be too weak for its XRD characteristic peak to be easily identified. This is consistent with the findings of Ming Chen et al. [65], who reported no obvious impurity peaks in the XRD patterns of some LiFePO4/C composite samples, yet the hysteresis loop at room temperature showed weak ferromagnetism. Hu et al. [47] prepared LixFePO4 composite and used doped transition metal ions to alter the structure and magnetic properties of the material.
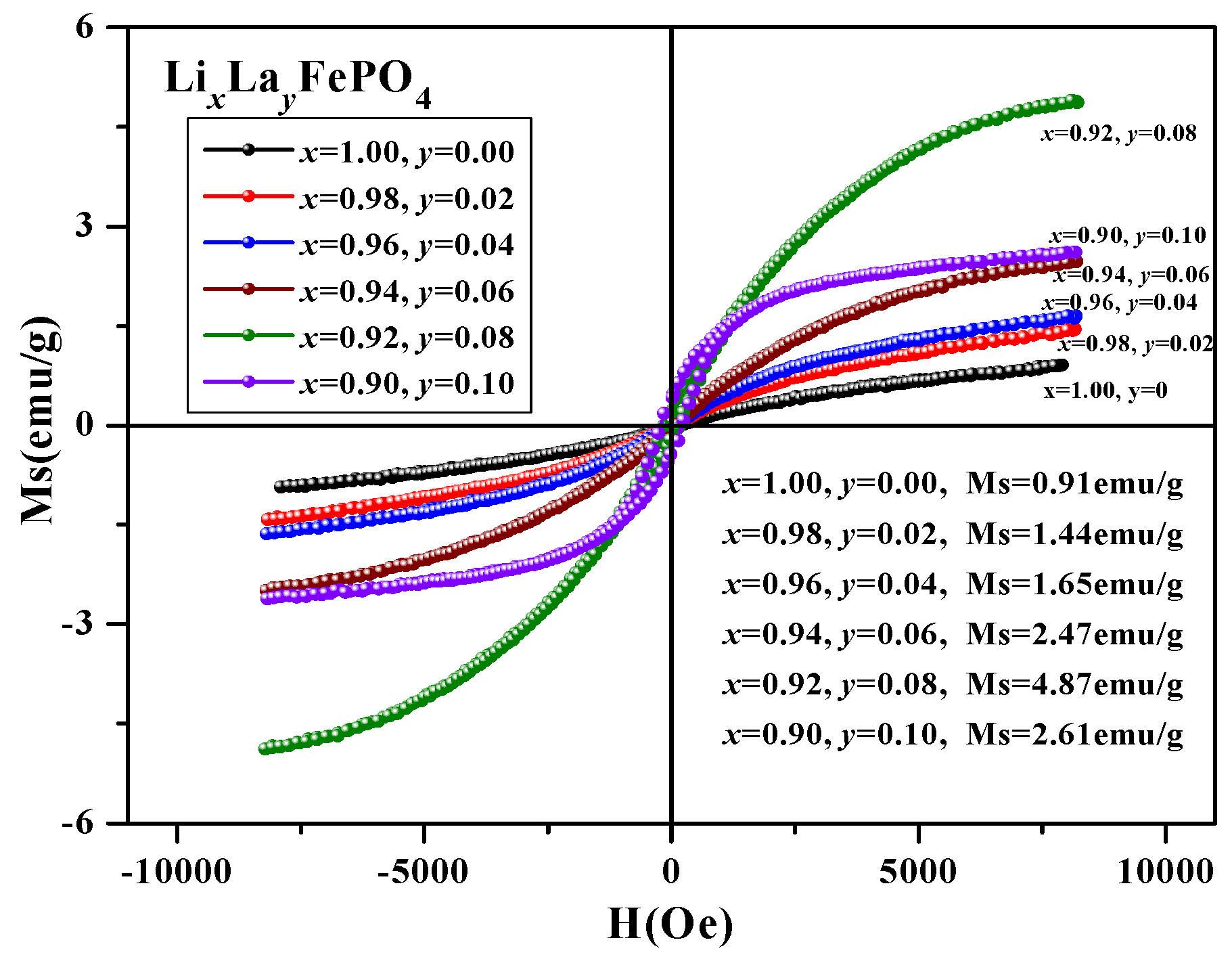
Figure 13 shows the hysteresis loop of LixLayFePO4. The hysteresis loop for LixLayFePO4 (x = 0.9~1.0, y = 0~0.10) after being calcined at 700 °C for 10 indicates that as the La-ion doping amount increased, the Ms of the samples first increased and then decreased, and the maximum Ms value was 4.87 emu/g (x = 0.92, y = 0.08). The magnetization of all the samples was substantially saturated. In addition, with increased La-ion doping, the Ms first increased and then decreased, with the sample at x = 0.92, y = 0.08 exhibiting the highest Ms [68,69,70,71]. Table 4 presents the magnetic parameters, and Figure 14 shows the trend of the changes in these parameters.
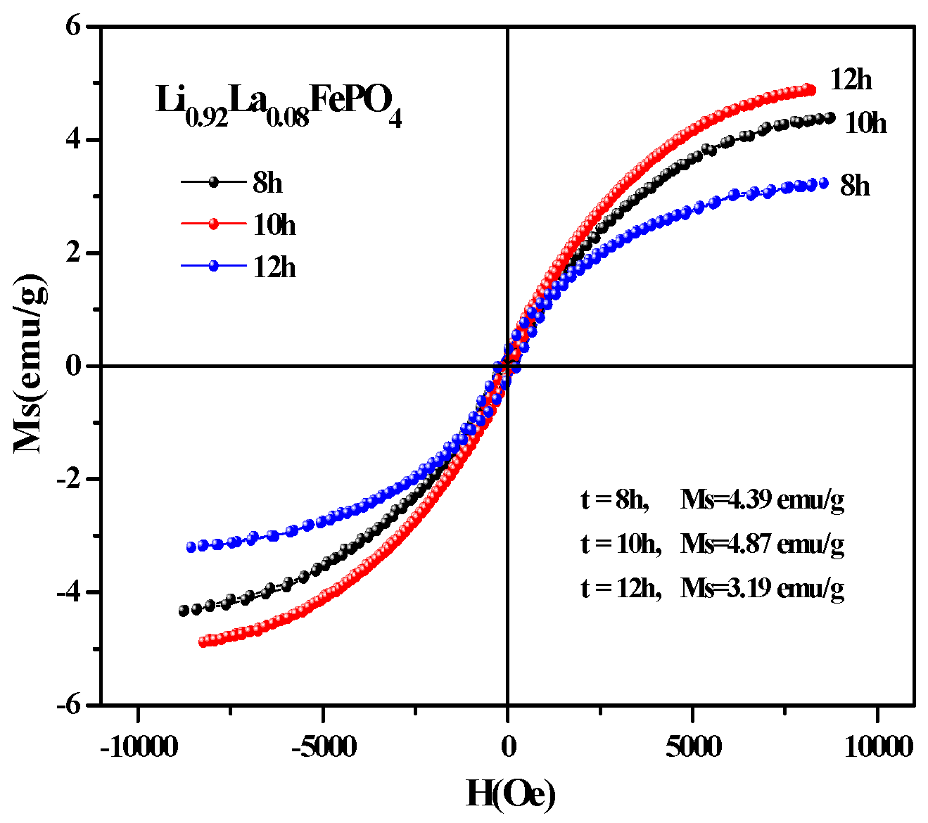
Figure 15 shows the hysteresis loop of Li0.92La0.08FePO4 after being calcined at 600 °C, 700 °C, or 800 °C for 10 h. It can be seen that the magnetization of all three samples was substantially saturated. As the calcination temperature increased, Ms also gradually increased. Table 5 indicates that the Ms values for the samples that were calcined at 600 °C, 700 °C, or 800 °C were 2.69 emu/g, 4.89 emu/g, and 7.26 emu/g, respectively. Additionally, the coercivity values shown in Table 4 reveal that the coercivity for the samples that were calcined at 600 °C, 700 °C, or 800 °C were 185.24 Oe, 147.39 Oe, and 58.21Oe, respectively, indicating weak ferromagnetic properties. This weak ferromagnetism may be attributed to ferromagnetic impurities [72]. Figure 16 shows the hysteresis loop of Li0.92La0.08FePO4 after being calcined at 700 °C for different durations. As the calcination time increased, Ms gradually increased. The hysteresis loop of Li0.92La0.08FePO4 after being calcined at 700 °C for different durations indicates that the maximum Ms value was 4.87 emu/g (calcination time 10 h) and the minimum Ms value was 3.19 emu/g (calcination time 12 h). The magnetic properties of LiFePO4 are closely related to the electron spin and distribution in its structure, which affect the conductivity of LiFePO4. Zhou et al. [73] prepared LixFePO4 composite and using doped transition metal ions to alter the magnetic orientation. The direction of the magnetic moment is closely related to the deintercalation of lithium in LiFePO4.

2.6. Mössbauer Spectra Analysis

The Mössbauer spectra of LixLayFePO4 (x = 1.00, y = 0; x = 0.96, y = 0.04; x = 0.92, y = 0.08) were measured at room temperature, and the original data were fitted using Mosswinn3.0 software. Figure 17 shows the Mössbauer spectra of LixLayFePO4. The final results were obtained by fitting the original data with two paramagnetic doublets. As shown in Table 6, the isomer shifts (ISs) of Doublet(1) for the three samples were 1.218 mm/s, 1.220 mm/s, and 1.224 mm/s, respectively, indicating the presence of Fe2⁺ compounds. In addition, A.A.M. Prince et al. [74] and Dominika Baster et al. [75] found that the quadrupole splitting (QS) of Doublet(1) was significant. As shown in Table 6, the proportions of Doublet(1) for the three samples were 85.5%, 89.9%, and 96.0%, respectively, while the proportions of Doublet(2) were 14.5%, 10.1%, and 4.0%, respectively. Therefore, the main component in the samples was the Fe2⁺ compound, with a certain proportion of the Fe3⁺ compound [76].

3. Experimental Section

The LiFePO4/C composites were prepared using the sol-gel method. This study focused on the effects of different carbon sources on the phase crystal structure, particle morphology, and magnetic properties of the LiFePO4/C composites. The chemical reagents used for their preparation included various carbon sources (C2H6O2, C2H6O2, HO(CH2CH2O)nH, [CH2CH(OH)]n, C6H8O7·H2O, and C6H12O6·H2O), a phosphorus source (NH4H2PO4), an iron source (Fe(NO3)3·9H2O), and a lithium source (LiOH·H2O). All of the reagents were purchased from Xilong Science Co., Ltd. The molar ratio of the carbon sources, phosphorus source, iron source, and lithium source was 2:1:1:1. HO(CH2CH2O)nH and [CH2CH(OH)]n were weighed to match the mass of C2H6O2. The dissolution sequence of the chemical reagents for the preparation of the LiFePO4/C is shown in Figure 18. Preparation process of LiFePO4/C was showed in Figure 19. LixLayFePO4 (x = 0.9~1.0, y = 0~0.1) materials were prepared by the sol-gel method with citric acid as a complexing agent to investigate the impact of different La2+ ratio, calcination temperature, and calcination time. The flow chart of the process is shown in Figure 20. La(NO3)3·6H2O was purchased from Tianjin Guangfu Fine Chemical Research Institute.
Specific implementation steps of preparation of LixLayFePO4 are:
Step 1: Calculate the raw materials of LixLayFePO4 (x = 1.0, y = 0; x = 0.98, y = 0.02; x = 0.96, y = 0.04; x = 0.94, y = 0.06; x = 0.92, y = 0.08; x = 0.90, y = 0.10) according to the stoichiometric ratio, and then weigh the raw materials into small beakers, numbered as A1–A6, according to the calculated amount;
Step 2: Add about 100 mL of deionized water to the A1 to A6 small beakers and stir continuously to obtain a red wine clear liquid of the A1 to A6 solutions after dissolving entirely;
Step 3: Transfer the aqueous solutions A1 to A6 to the fume hood, then add ammonia into the aqueous solution until the pH value is 9 while stirring continuously, and subsequently obtain about 100 to 120 mL of burgundy clear Sol precursor solution B1 to B6;
Step 4: Continuously stir the precursor solutions B1 to B6 in a water bath at 80 °C for about 3 h, and stop when a wet gel is formed;
Step 5: Dry the wet gel at 120 °C for 12 h in an air-drying oven after the wet gel is aged at 80 °C for 12 h;
Step 6: Grind the dry gel with an agate mortar before putting 5 mL of dry gel powder or smaller pieces of dry gel into a lidded porcelain crucible;
Step 7: Introduce nitrogen for about 40 min to remove the air in the quartz tube after transferring the dry gel powder from the porcelain crucible to the tube furnace, and then calcine and cool to room temperature in a nitrogen atmosphere;
Step 8: Put the loose-shaped samples from the porcelain crucible to the agate mortar, then finely grind it again with the agate mortar to obtain the final samples.
The various analytical techniques (TG-DTA, XRD, SEM, Mössbauer, VSM) were used to determine the following features: the impact of different doping amounts of La2+ ion, calcination temperature, and calcination time on the structure, functional groups, chemical bonding, particle shape and size, magnetic performance, and hyperfine interaction of samples

4. Conclusions

In this study, five different carbon sources, including ethylene glycol (C2H6O2, analytical grade AR), polyethylene glycol 4000 (PEG4000; HO(CH2CH2O)nH, chemically pure CP), polyvinyl alcohol (PVA-124; [CH2CH(OH)]n, analytical grade AR), citric acid (C6H8O7·H2O, analytical grade AR), and glucose (C6H12O6·H2O, analytical grade AR), were used, and LiFePO4/C composites were synthesized using a one-step sol-gel method. The crystal phase structure, functional groups, chemical bonds, microscopic surface morphology, and magnetic properties of the LiFePO₄/C composites were analyzed using XRD, FTIR, SEM, and VSM. The results indicate that the LiFePO₄/C composites that were prepared with these five carbon sources exhibit the complete standard peaks characteristic of pure LiFePO₄. The introduction of different carbon sources results in shifts in certain infrared characteristic peaks. These five carbon sources significantly affect the microstructure and magnetic properties of the composites. The sample using ethylene glycol as the carbon source forms a porous network structure, which is conducive to improving electronic conductivity. However, the sample using glucose as the carbon source exhibits distinct particles with good dispersion, resembling olivine crystal morphology. The sample using PVA-124 as the carbon source shows the highest relative Ms, measured at 2.01 emu/g, whereas the sample using ethylene glycol as the carbon source has the highest coercivity, recorded at 170.67 Oe. In short, among the five samples, the LiFePO₄/C composite that was prepared using ethylene glycol as the carbon source shows better electromagnetic properties. All of the synthesized LiFePO₄ samples doped with La have an olivine structure. However, the presence of LaPO4 impurities from side reactions indicates that the La ions were only partially doped into the lattice. The IR analysis indicates that all samples show characteristic infrared absorption peaks; the magnetic analysis suggests that the observed weak ferromagnetism may be due to the presence of weak ferromagnetic impurities; the Mössbauer spectroscopy indicates that Fe2+ compounds are the main components in the samples, accompanied by some Fe3⁺ compounds, indicating the coexistence of Fe3⁺/Fe2⁺ valence states. The Mössbauer spectra of LixLayFePO4 (x = 1.00, y = 0; x = 0.96, y = 0.04; x = 0.92, y = 0.08) after being calcined at 700 °C for 10 h indicate that all samples contain Doublet(1) and Doublet(2) peaks, dominated by Fe2+ compounds. The proportions of Fe2+ are 85.5% (x = 1.0, y = 0), 89.9% (x = 0.96, y = 0.04), and 96.0% (x = 0.92, y = 0.08). The maximum IS and QS of Doublet(1) for the three samples are 1.224 mm/s and 2.956 mm/s, respectively.

Author Contributions

Conceptualization, Q.L. and Y.H. (Yun He); validation, K.S., J.Z., X.Y. and Q.L.; formal analysis, K.S., J.Z. and Y.H. (Yun He); investigation, K.S., Y.H. (Yajun Huang), H.X. and Q.L.; writing-original draft preparation, K.S., J.Z. and Q.L.; writing-review and editing, H.X., Y.H. (Yun He) and Q.L.; supervision, Y.H. (Yun He), H.X. and X.Y. All authors have read and agreed to the published version of the manuscript.

Funding

This work was financially supported by the Hainan Provincial Natural Science Foundation of China (No.323QN241), and the National Natural Science Foundation of China (NO.12164006, 11364004), Hainan Medical University’s research start-up fund.

Data Availability Statement

The original contributions presented in the study are included in the article, further inquiries can be directed to the corresponding authors.

Conflicts of Interest

The authors declare no conflicts of interest.

References

  1. Padhi, A.K.; Nanjundaswamy, K.S.; Goodenough, J.B. Phospho-olivines as Positive-Electrode Materials for Rechargeable Lithium Batteries. J. Electrochem. Soc. 1997, 144, 1188–1194. [Google Scholar] [CrossRef]
  2. Tong, H.; Li, Y.; Mao, G.; Wang, C.; Yu, W.; Liu, Y.; Liu, M. Regeneration of spent LiFePO4 as a high-performance cathode material by a simultaneous coating and doping strategy. Int. J. Miner. Met. Mater. 2023, 30, 1162–1170. [Google Scholar] [CrossRef]
  3. Zhang, Q.; Zhou, J.; Zeng, G.; Ren, S. Effect of lanthanum and yttrium doped LiFePO4 cathodes on electrochemical performance of lithium-ion battery. J. Mater. Sci. 2023, 58, 8463–8477. [Google Scholar] [CrossRef]
  4. Shimoi, N.; Komatsu, M. Application of exfoliated graphene as conductive additive for lithium-ion secondary batteries. Powder Technol. 2021, 390, 268–272. [Google Scholar] [CrossRef]
  5. Popp, H.; Koller, M.; Jahn, M.; Bergmann, A. Mechanical methods for state determination of Lithium-Ion secondary batteries: A review. J. Energy Storage 2020, 32, 101859. [Google Scholar]
  6. Minakshi, M.; Bahri, P.A.; Paul, S.; Kumari, P.; Divakaran, A.M.; Manjunatha, K.N. Rational design on materials for developing next generation lithium-ion secondary battery. Prog. Solid State Chem. 2021, 62, 100298. [Google Scholar] [CrossRef]
  7. Yan, D.; Lu, A.-H.; Chen, Z.-Y.; He, L.; Li, W.-C. Pseudocapacitance-Dominated Li-Ion Capacitors Showing Remarkable Energy Efficiency by Introducing Amorphous LiFePO4 in the Cathode. ACS Appl. Energy Mater. 2021, 4, 1824–1832. [Google Scholar] [CrossRef]
  8. Yao, J.; Konstantinov, K.; Wang, G.X.; Liu, H.K. Electrochemical and magnetic characterization of LiFePO4 and Li0.95Mg0.05FePO4 cathode materials. J. Solid State Electrochem. 2007, 11, 177–185. [Google Scholar] [CrossRef]
  9. León, B.; Vicente, C.P.; Tirado, J.L.; Biensan, P.; Tessier, C. Optimized Chemical Stability and Electrochemical Performance of LiFePO4 Composite Materials Obtained by ZnO Coating. J. Electrochem. Soc. 2008, 155, A211–A216. [Google Scholar]
  10. Liu, S.; Yin, H.; Bin, H.; He, J.; Wang, H. Characterization and Electrochemical Performance of ZnO Modified LiFePO4/C Cathode Materials for Lithium-ion Batteries. Chin. J. Struct. Chem. 2014, 33, 353–360. [Google Scholar]
  11. Zhang, X.L.; Ruan, Z.Q.; He, Q.T.; Hong, X.J.; Song, X.; Zheng, Q.F.; Nie, J.-H.; Cai, Y.P.; Wang, H. Three-Dimensional (3D) Nanostructured Skeleton Substrate Composed of Hollow Carbon Fiber/Carbon Nanosheet/ZnO for Stable Lithium Anode. ACS Appl. Mater. Interfaces 2021, 13, 3078–3088. [Google Scholar]
  12. Zeng, G.; Zhou, J.; Ren, S. Two-dimensional Nb2CTx nanosheets decorated LiFePO4/C as cathode material for lithium-ion batteries. J. Mater. Sci. 2023, 58, 5413–5426. [Google Scholar]
  13. Chen, X.; Li, Y.; Wang, J. Enhanced Electrochemical Performance of LiFePO4 Originating from the Synergistic Effect of ZnO and C Co-Modification. Nanomaterials 2021, 11, 12. [Google Scholar] [CrossRef]
  14. Yolun, A.; Altin, E.; Altundag, S.; Arshad, M.; Abbas, S.M.; Altin, S. Investigation of structural and electrochemical performance of Ru-substituted LiFePO4 cathode material: An improvement of the capacity and rate performance. J. Mater. Sci. Mater. Electron. 2022, 33, 6670–6680. [Google Scholar] [CrossRef]
  15. Sugiyama, J.; Nozaki, H.; Kamazawa, K.; Ofer, O.; Månsson, M.; Ansaldo, E.J.; Brewer, J.H.; Chow, K.H.; Watanabe, I.; Ikedo, Y.; et al. Magnetic and Diffusive Nature of LiFePO4. Phys. Procedia 2012, 30, 190–193. [Google Scholar] [CrossRef]
  16. Al Shibli, H.; Chaturvedi, P.; Kanagaraj, A.B.; Zaghari, P.; Choi, D.S.; Ryu, J.E. Sol-gel fabricated one-dimensional LiFePO4 microstructures for carbon nanotube-based nanocomposite freestanding sheet as cathode material for Li ion batteries. J. Compos. Mater. 2024, 58, 435–440. [Google Scholar] [CrossRef]
  17. Jarolimek, K.; Risko, C. Modification of the LiFePO4 (010) Surface Due to Exposure to Atmospheric Gases. ACS Appl. Mater. Interfaces 2021, 13, 29034–29040. [Google Scholar] [CrossRef]
  18. Zou, W.; Feng, X.; Wang, R.; Wei, W.; Luo, S.; Zheng, R.; Yang, D.; Mi, H.; Chen, H. High-efficiency core-shell magnetic heavy-metal absorbents derived from spent-LiFePO4 Battery. J. Hazard. Mater. 2021, 402, 123583. [Google Scholar] [PubMed]
  19. Hou, H.; Li, D.; Liu, X.; Yao, Y.; Dai, Z.; Yu, C. Recovery of Expired Lithium Carbonate Tablets for LiFePO4/C Cathode. Waste Biomass Valor 2020, 11, 3097–3105. [Google Scholar]
  20. Lv, Y.; Wang, L.X.; Lu, D.; Sun, J.; Sun, J.C. Synthesis of LiFePO4 by Co-Precipitation and Optimization of its Performance. Key Eng. Mater. 2012, 519, 132–136. [Google Scholar] [CrossRef]
  21. Hu, Q.; Liao, J.Y.; Zou, B.K.; Yu, M.F.; Tang, Z.F.; Wen, Z.Y.; Chen, C.H. Improving the rate and low-temperature performance of LiFePO4 by tailoring the form of carbon coating from amorphous to graphene-like. J. Solid State Electrochem. 2018, 22, 797–805. [Google Scholar]
  22. Liu, X.H.; Zhao, Z.W. Synthesis of LiFePO4/C doped with Mg2+ by reactive extrusion method. Adv. Powder Technol. 2014, 25, 1339–1344. [Google Scholar]
  23. Świder, J.; Świętosławski, M.; Molenda, M.; Dziembaj, R. A Novel Concept for the Synthesis of Nanometric LiFePO4 by Co-precipitation Method in an Anhydrous Environment. Procedia Eng. 2014, 98, 36–41. [Google Scholar] [CrossRef]
  24. Ji, Z.; Sun, Y.; Guan, X.; Zhou, Y.; Qian, J.; Chen, F. Revealing the superior rate performance and cycle stability of the La and F Co-doping LiFePO4/C. Vacuum 2024, 227, 113452. [Google Scholar]
  25. Cong, J.; Luo, S.-H.; Li, K.; Wang, Y.-F.; Yan, S.-X.; Li, P.-W.; Chen, H.-H. Lanthanum-doped LiFePO4 cathode materials for lithium ion battery by citric acid-assisted carbothermal reduction method using acid-washed iron red as raw material. Ionics 2024, 30, 749–757. [Google Scholar] [CrossRef]
  26. Li, R.; Fan, C.; Zhang, W.; Tan, M.; Zeng, T.; Han, S. Structure and performance of Na+ and Fe2+ co-doped Li1-xNaxMn0.8Fe0.2PO4/C nanocapsule synthesized by a simple solvothermal method for lithium ion batteries. Ceram. Int. 2019, 45, 10501–10510. [Google Scholar]
  27. Latif, C.; Muyasaroh, A.F.; Firdausi, A.; Mardiana, D.; Klysubun, W.; Saiyasombat, C.; Prihandoko, B.; Zainuri, M.; Pratapa, S. Preparation and characterisation of LiFePO4 ceramic powders via dissolution method. Ceram. Int. 2021, 47, 31877–31885. [Google Scholar] [CrossRef]
  28. Li, D.; Huang, Y.; Jia, D.; Guo, Z.; Bao, S.-J. Synthesis and electrochemical properties of nanosized carbon-coated Li1−3x La x FePO4 composites. J. Solid State Electrochem. 2010, 14, 889–895. [Google Scholar] [CrossRef]
  29. Cho, Y.D.; Fey GT, K.; Kao, H.M. Physical and electrochemical properties of La-doped LiFePO4/C composites as cathode materials for lithium-ion batteries. J. Solid State Electrochem. 2008, 12, 815–823. [Google Scholar]
  30. Luo, S.; Tian, Y.; Li, H.; Shi, K.; Tang, Z.; Zhang, Z. Influence of lanthanum doping on performance of LiFePO4 cathode materials for lithium-ion batteries. J. Rare Earths 2010, 28, 439–442. [Google Scholar]
  31. Guan, L.; Liu, M.; Yu, F.; Qiu, T.; Zhou, T.; Lin, X. A LiFePO4 regeneration method based on PVAc alcoholysis reaction. Renew. Energy 2021, 175, 559–567. [Google Scholar] [CrossRef]
  32. Shen, C.; Li, G.; Liu, L.; Li, P.; Xu, H.; Hu, H.; Wang, L. Facile fabrication of compact LiFePO4/C composite with excellent atomically-efficient for high-energy-density Li-ion batteries. J. Power Sources 2021, 496, 229759. [Google Scholar]
  33. Swierczynski, M.; Stroe, D.I.; Stan, A.I.; Teodorescu, R.; Kær, S.K. Lifetime estimation of the nanophosphate LiFePO4/c battery chemistry used in full electric vehicles. Ind. Appl. IEEE Trans. 2015, 51, 3453–3461. [Google Scholar]
  34. Lei, X.; Zhang, H.; Chen, Y.; Wang, W.; Ye, Y.; Zheng, C.; Deng, P.; Shi, Z. A three-dimensional LiFePO4/carbon nanotubes/graphene composite as a catalyst material for lithium ion batteries with super high rate performance. J. Alloys Compd. 2015, 626, 280–286. [Google Scholar]
  35. Ju, S.H.; Kang, Y.C. LiFePO4/C cathode powders prepared by spray pyrolysis from the colloidal spray solution containing nano-sized carbon black. Mater. Chem. Phys. 2008, 107, 328–333. [Google Scholar]
  36. Altin, S.; Yolun, A. Fabrication and electrochemical performance of Ho-substituted C/LiFePO4: Improved battery performance. J. Mater. Sci. Mater. Electron. 2021, 32, 21568–21578. [Google Scholar]
  37. Chen, C.; Liu, G.B.; Wang, Y.; Li, J.L.; Liu, H. Preparation and electrical properties of LiFePO4/C nanocomposite using FePO4·2H2O nanoparticles by introduction of Fe3(PO4) 2·8H2O at low cost. Electrochem. Acta 2013, 113, 464–469. [Google Scholar]
  38. Liao, X.Z.; He, Y.S.; Ma, Z.F.; Zhang, X.M.; Wang, L. Effects of fluorine-substitution on the electrochemical behavior of LiFePO4/C cathode materials. J. Power Sources 2007, 174, 720–725. [Google Scholar]
  39. Kim, J.W.; Cheruvally, G.; Ahn, J.H.; Ahn, H.J. Electrical properties of LiFePO4/C composite catalyst material: Carbon coating by the precursor method and direct addition. J. Phys. Chem. Solids 2008, 69, 1257–1260. [Google Scholar]
  40. Xu, Z.; Xu, L.; Lai, Q.; Ji, X. Microemulsion synthesis of LiFePO4/C and its electrochemical properties as cathode materials for lithium-ion cells. Mater. Chem. Phys. 2007, 105, 80–85. [Google Scholar]
  41. Guan, C.; Huang, H. Complexing agents on carbon content and lithium storage capacity of LiFePO4/C cathode synthesized via sol-gel approach. Adv. Mater. Sci. Eng. 2016, 2016, 7213916. [Google Scholar]
  42. Jugović, D.; Mitrić, M.; Cvjetićanin, N.; Jančar, B.; Mentus, S.; Uskoković, D. Synthesis and characterization of LiFePO4/C composite obtained by sonochemical method. Solid State Ion. 2008, 179, 415–419. [Google Scholar]
  43. Wang, X.; Cheng, K.; Zhang, J.; Yu, L.; Yang, J. Effect of carbon content and calibration temperature on the electrical performance of lithium iron phosphate/carbon composites as catalyst materials for lithium ion batteries. Adv. Powder Technol. 2013, 24, 593–598. [Google Scholar]
  44. Huang, H.; Hu, W.; Zhang, G.; Zhang, F.; Ding, S. Theoretical study of the electronic structure and crystal morphology of LiFePO4 as cathode material for lithium battery. J. At. Mol. Phys. 2015, 32, 870–874. [Google Scholar]
  45. Chen, M.; Liu, F.-M.; Chen, S.-S.; Zhao, Y.-J.; Sun, Y.; Li, C.-S.; Yuan, Z.-Y.; Qian, X.; Wan, R. In situ self-catalyzed formation of carbon nanotube wrapped and amorphous nanocarbon shell coated LiFePO4 microclew for high-power lithium ion batteries. Carbon 2023, 203, 661–670. [Google Scholar] [CrossRef]
  46. Kacher, J.; Landon, C.; Adams, B.L.; Fullwood, D. Bragg’s Law diffraction simulations for electron backscatter diffraction analysis. Ultramicroscopy 2009, 109, 1148–1156. [Google Scholar] [PubMed]
  47. Hu, J.; Zeng, H.; Chen, X.; Wang, Z.; Wang, H.; Wang, R.; Wu, L.; Huang, Q.; Kong, L.; Zheng, J.; et al. Revealing Insights into LixFePO4 Nanocrystals with Magnetic Order at Room Temperature Resulting in Trapping of Li Ions. J. Phys. Chem. Lett. 2019, 10, 4794–4799. [Google Scholar]
  48. Salah, A.A.; Jozwiak, P.; Garbarczyk, J.; Benkhouja, K.; Zaghib, K.; Gendron, F.; Julien, C. Local structure and redox energies of lithium phosphates with olivine- and Nasicon-like structures. J. Power Sources 2005, 140, 370–375. [Google Scholar] [CrossRef]
  49. Burba, C.M. Roger frech Raman and FTIR Spectroscopic Study of LixFePO4 (0<x<1). J. Electrochem. Soc. 2004, 151, 1032–1038. [Google Scholar]
  50. Salah, A.A.; Jozwiak, P.; Zaghib, K.; Garbarczyk, J.; Gendron, F.; Mauger, A.; Julien, C. FTIR features of lithium-iron phosphates as electrode materials for rechargeable lithium batteries. Spectrochim. Acta Part A Mol. Biomol. Spectrosc. 2006, 65, 1007–1013. [Google Scholar] [CrossRef]
  51. Salah, A.A.; Mauger, A.; Julien, C.M.; Gendron, F. Nano sized imprity phases in relation to the mode of preparation of LiFePO4. Mater. Sci. Eng. B Solid State Mater. Adv. Technol. 2006, 129, 232–244. [Google Scholar]
  52. Nageswara Rao, B.; Kiran, J.N.; Satyanarayana, N. Structural and Morphological Studies of Two-Step Synthesized LiCoO2 and Microwave Synthesized LiFePO4 Particles. T. Indian. Ceram. Soc. 2023, 82, 202–208. [Google Scholar] [CrossRef]
  53. Tang, D.; Ji, G.; Wang, J.; Liang, Z.; Chen, W.; Ji, H.; Ma, J.; Liu, S.; Zhuang, Z.; Zhou, G. A multifunctional amino acid enables direct recycling of spent LiFePO4 cathode material. Adv. Mater. 2024, 36, 2309722. [Google Scholar] [CrossRef]
  54. Halim, A.; Setyawan, H.; Machmudah, S.; Nurtono, T.; Winardi, S. Effect of Fuel Rate and Annealing Process of LiFePO4 Cathode Material for Li-ion Batteries synthesized by Flame Spray Pyrolysis Method. AIP Conf. Proc. 2014, 1586, 173–178. [Google Scholar]
  55. Shi, M.; Li, R.; Liu, Y. In situ preparation of LiFePO4/C with unique copolymer carbon resource for superior performance lithium-ion batteries. J. Alloys Compd. 2021, 854, 157162. [Google Scholar]
  56. ASarmadi; Masoudpanah, S.M.; Alamolhoda, S. L-Lysine-assisted solvothermal synthesis of hollow-like structure LiFePO4/C powders as cathode materials for Li-ion batteries. J. Mater. Res. Technol. 2021, 15, 5405–5413. [Google Scholar]
  57. Tang, H.; Tan, L.; Xu, J. Synthesis and characterization of LiFePO4 coating with aluminum doped zinc oxide. Trans. Nonferrous Met. Soc. China 2013, 23, 451–455. [Google Scholar] [CrossRef]
  58. Zhuang, Y.; Zhang, W.; Bao, Y.; Guan, M. Influence of the LiFePO4/C coating on the electrochemical performance of Nickel-rich cathode for lithium-ion batteries. J. Alloys Compd. 2022, 898, 162848. [Google Scholar]
  59. Zhang, L.; Zhang, Z.; Song, Y.; Wang, L.; Wang, H.; Fang, H.; Gao, H.; Yang, C.; Zhang, A.; Jia, X. In situ confined synthesis of LiFePO4/Ti3C2@C composites with high-rate and low-temperature long cycling performance. Ionics 2023, 29, 33–41. [Google Scholar]
  60. Böckenfeld, N.; Placke, T.; Winter, M.; Passerini, S.; Balducci, A. The influence of activated carbon on the performance of lithium iron phosphate based electrodes. Electrochim. Acta 2012, 76, 130–136. [Google Scholar] [CrossRef]
  61. Avci, E. Enhanced catalyst performance of nano sized lithium iron phosphate composite using polytetrafluoroethylene as carbon precursor. J. Power Sources 2014, 270, 142–150. [Google Scholar]
  62. Liu, H.; Zhang, P.; Li, G.C.; Wu, Q.; Wu, Y.P. LiFePO4/C composites from carbothermal reduction method. J. Solid State Electrochem. 2008, 12, 1011–1015. [Google Scholar]
  63. Li, Y.; Wang, L.; Liang, F.; Yao, Y.; Zhang, K. Enhancing high rate performance and cyclability of LiFePO4 cathode materials for lithium ion batteries by boron doping. J. Alloys Compd. 2021, 880, 160560. [Google Scholar]
  64. Selmi, A.; Sahbani, S.K.; Said, K.; Akriche, S.; Salem, R.B.; Kouass, S. Sol-gel synthesis of LiSICON compound and their studies by X-ray powder diffraction, infrared, magnetic and impedance spectroscopy. J. Mol. Struct. 2023, 1294, 136374. [Google Scholar] [CrossRef]
  65. Chen, M.; Shao, L.L.; Yang, H.B.; Zhao, Q.Y.; Yuan, Z.Y. Organophosphonic acid as precursor to prepare LiFePO4/carbon nanocomposites for high-power lithium ion batteries. Electrochim. Acta 2015, 168, 59–68. [Google Scholar]
  66. Lin, Y.; Wu, J.; Huang, X.; Cao, Y.; Guo, R. Effect of synthesis temperature on the structure and electrochemical performances of LiFePO4/C. Ionics 2019, 25, 5697–5707. [Google Scholar]
  67. Shang, W.; Kong, L.; Ji, X. Synthesis, characterization and electrochemical performances of LiFePO4/graphene cathode material for high power lithium-ion batteries. Solid State Sci. 2014, 38, 79–84. [Google Scholar]
  68. Karami, M.; Masoudpanah, S.M.; Rezaie, H.R. Solution combustion synthesis of hierarchical porous LiFePO4 powders as cathode materials for lithium-ion batteries. Adv. Powder Technol. 2021, 32, 1935–1942. [Google Scholar]
  69. Kumar, S.; Chand, P.; Kumar, A.; Anand, H. Effect of different aqueous electrolytes on electrochemical behavior of LiFePO4 as a cathode material: Lithium ion battery and renewable energy nexus. Energy Nexus 2021, 1, 100005. [Google Scholar] [CrossRef]
  70. Lu, J.; Tang, Z.; Zhang, Z.; Shen, W. Preparation of LiFePO4 with inverse opal structure and its satisfactory electrochemical properties. Mater. Res. Bull. 2005, 40, 2039–2046. [Google Scholar] [CrossRef]
  71. Zaghib, K.; Mauger, A.; Gendron, F.; Julien, C.M. Surface effects on the physical and electrochemical properties of thin LiFePO4 particles. Chem. Mater. 2008, 20, 462–469. [Google Scholar] [CrossRef]
  72. Koleva, V.; Zhecheva, E.; Stoyanova, R. A new phosphate-formate precursor method for the preparation of carbon coated nano-crystalline LiFePO4. J. Alloy. Compd. 2009, 476, 950–957. [Google Scholar] [CrossRef]
  73. Zhou, J.; Zhang, D.; Sun, G.; Chang, C. B-axis oriented alignment of LiFePO4 monocrystalline platelets by magnetic orientation for a high-performance lithium-ion battery. Solid State Ion. 2019, 338, 96–102. [Google Scholar] [CrossRef]
  74. Prince, A.; Mylswamy, S.; Chan, T.; Liu, R.; Hannoyer, B.; Jean, M.; Shen, C.; Huang, S.; Lee, J.; Wang, G. Investigation of Fe valence in LiFePO4 by Mössbauer and XANES spectroscopic techniques. Solid State Commun. 2004, 132, 455–458. [Google Scholar] [CrossRef]
  75. Baster, D.; Zheng, K.; Zając, W.; Świerczek, K.; Molenda, J. Toward elucidation of delithiation mechanism of zinc-substituted LiFePO4. Electrochim. Acta 2013, 92, 79–86. [Google Scholar] [CrossRef]
  76. Bazzi, K.; Mandal, B.; Nazri, M.; Naik, V.; Garg, V.; Oliveira, A.; Vaishnava, P.; Nazri, G.; Naik, R. Effect of surfactants on the electrochemical behavior of LiFePO4 cathode material for lithium ion batteries. J. Power Sources 2014, 265, 67–74. [Google Scholar] [CrossRef]
Figure 1. Crystal structure of LiFePO4.
Figure 1. Crystal structure of LiFePO4.
Molecules 29 03933 g001
Figure 2. XRD diagram of LiFePO4/C composite.
Figure 2. XRD diagram of LiFePO4/C composite.
Molecules 29 03933 g002
Figure 3. Energy band structure, band gap, and density of states of LiFePO4 composites. (Different carbon sources: (A) Ethylene glycol; (B) Polyethylene glycol 4000; (C) Polyvinyl alcohol PVA-124; (D) Citric acid; (E) Glucose).
Figure 3. Energy band structure, band gap, and density of states of LiFePO4 composites. (Different carbon sources: (A) Ethylene glycol; (B) Polyethylene glycol 4000; (C) Polyvinyl alcohol PVA-124; (D) Citric acid; (E) Glucose).
Molecules 29 03933 g003
Figure 4. XRD pattern of LixLayFePO4 (x = 0.9~1.0, y = 0~0.10) after being calcined at 700 °C for 10 h.
Figure 4. XRD pattern of LixLayFePO4 (x = 0.9~1.0, y = 0~0.10) after being calcined at 700 °C for 10 h.
Molecules 29 03933 g004
Figure 5. XRD pattern of Li0.92La0.08FePO4 after being calcined at different temperatures for 10 h.
Figure 5. XRD pattern of Li0.92La0.08FePO4 after being calcined at different temperatures for 10 h.
Molecules 29 03933 g005
Figure 6. XRD pattern of Li0.92La0.08FePO4 after being calcined at 700 °C for different durations.
Figure 6. XRD pattern of Li0.92La0.08FePO4 after being calcined at 700 °C for different durations.
Molecules 29 03933 g006
Figure 7. Infrared spectrum of LiFePO4/C composites.
Figure 7. Infrared spectrum of LiFePO4/C composites.
Molecules 29 03933 g007
Figure 8. Infrared spectra pattern of LixLayFePO4.
Figure 8. Infrared spectra pattern of LixLayFePO4.
Molecules 29 03933 g008
Figure 9. SEM of LiFePO4/c composites.
Figure 9. SEM of LiFePO4/c composites.
Molecules 29 03933 g009
Figure 10. SEM of LixLayFePO4 (x = 1.0, y = 0; x = 0.96, y = 0.04; x = 0.92, y = 0.08) after being calcined at 700 °C for 10 h.
Figure 10. SEM of LixLayFePO4 (x = 1.0, y = 0; x = 0.96, y = 0.04; x = 0.92, y = 0.08) after being calcined at 700 °C for 10 h.
Molecules 29 03933 g010
Figure 11. Hysteresis loop of LiFePO4/C composites.
Figure 11. Hysteresis loop of LiFePO4/C composites.
Molecules 29 03933 g011
Figure 12. Variation trend of magnetic parameters of LiFePO4/C composites.
Figure 12. Variation trend of magnetic parameters of LiFePO4/C composites.
Molecules 29 03933 g012
Figure 13. Hysteresis loop of LixLayFePO4.
Figure 13. Hysteresis loop of LixLayFePO4.
Molecules 29 03933 g013
Figure 14. Trend of changes in magnetic parameters of LixLayFePO4.
Figure 14. Trend of changes in magnetic parameters of LixLayFePO4.
Molecules 29 03933 g014
Figure 15. Hysteresis loop of Li0.92La0.08FePO4 after being calcined at different temperatures for 10 h.
Figure 15. Hysteresis loop of Li0.92La0.08FePO4 after being calcined at different temperatures for 10 h.
Molecules 29 03933 g015
Figure 16. Hysteresis loop of Li0.92La0.08FePO4 after being calcined at 700 °C for different durations.
Figure 16. Hysteresis loop of Li0.92La0.08FePO4 after being calcined at 700 °C for different durations.
Molecules 29 03933 g016
Figure 17. Mössbauer spectra of LixLayFePO4 (x = 1.00, y = 0; x = 0.96, y = 0.04; x = 0.92, y = 0.08) after being calcined at 700 °C for 10 h.
Figure 17. Mössbauer spectra of LixLayFePO4 (x = 1.00, y = 0; x = 0.96, y = 0.04; x = 0.92, y = 0.08) after being calcined at 700 °C for 10 h.
Molecules 29 03933 g017
Figure 18. Dissolution sequence of pharmaceutical reagents for preparation of LiFePO4/C.
Figure 18. Dissolution sequence of pharmaceutical reagents for preparation of LiFePO4/C.
Molecules 29 03933 g018
Figure 19. Preparation process of LiFePO4/C.
Figure 19. Preparation process of LiFePO4/C.
Molecules 29 03933 g019
Figure 20. Flow chart of the preparation process.
Figure 20. Flow chart of the preparation process.
Molecules 29 03933 g020
Table 1. XRD parameters of LiFePO4/C composites.
Table 1. XRD parameters of LiFePO4/C composites.
SamplesCarbon SourceAverage Lattice Constants
a-Axis (Å)b-Axis (Å)c-Axis (Å)
PDF#83-2092 10.33406.01004.6930
1Ethylene glycol10.27695.98704.6842
2PEG400010.25095.98774.6700
3PVA-12410.27845.95994.6906
4Citric acid10.26465.98444.6863
5Glucose10.02125.82094.7350
Table 2. XRD parameters of LixLayFePO4.
Table 2. XRD parameters of LixLayFePO4.
(x, y)Lattice ParametersCrystallite Size (Å)
a (Å)b (Å)c (Å)Vol (Å3)
(1.00, 0.00)10.341196.004424.70433292.10493
(0.98, 0.02)10.337086.008604.69580292.21678
(0.96, 0.04)10.342296.010884.69574292.52668
(0.94, 0.06)10.346526.013064.71540293.36488
(0.92, 0.08)10.371296.010884.69703292.82407
(0.90, 0.10)10.357306.022664.70102293.24497
Table 3. Magnetic parameters of LiFePO4/C composites.
Table 3. Magnetic parameters of LiFePO4/C composites.
Samples12345
Carbon sourceEthylene glycolPEG4000PVA-124Citric acidGlucose
Ms (emu/g)1.150.602.010.660.43
Mr (emu/g)0.130.010.280.030.91
Mr/Ms0.1150.0230.1400.0412.107
Hc (Oe)170.6758.03142.68154.1595.70
Area of hysteresis (kOe·emu/g)0.10.00.10.00.0
Table 4. Magnetic parameters of LixLayFePO4 after being calcined at 700 °C for 10 h.
Table 4. Magnetic parameters of LixLayFePO4 after being calcined at 700 °C for 10 h.
(x, y)(1.00, 0)(0.98, 0.02)(0.96, 0.04)(0.94, 0.06)(0.92, 0.08)(0.90, 0.10)
Ms (emu/g)0.911.441.652.474.892.61
Mr (emu/g)0.030.040.050.060.170.38
Hc (Oe)86.5598.10120.1589.68147.39218.59
Table 5. Magnetic parameters of Li0.92La0.08FePO4.
Table 5. Magnetic parameters of Li0.92La0.08FePO4.
T (°C)Ms (emu/g)Mr (emu/g)Hc (Oe)
6002.690.17185.24
7004.890.17147.39
8007.260.0858.21
Table 6. Mössbauer parameters of LixLayFePO4.
Table 6. Mössbauer parameters of LixLayFePO4.
(x, y)ComponentIS (mm/s)QS (mm/s)LW (mm/s)A (%)
(1.00, 0.00)Doublet(1)1.2182.9510.28585.5
Doublet(2)0.4520.7170.83214.5
(0.96, 0.04)Doublet(1)1.2202.9560.29789.9
Doublet(2)0.5030.6500.25510.1
(0.92, 0.08)Doublet(1)1.2242.9560.28296.0
Doublet(2)0.6050.7190.1094.0
Disclaimer/Publisher’s Note: The statements, opinions and data contained in all publications are solely those of the individual author(s) and contributor(s) and not of MDPI and/or the editor(s). MDPI and/or the editor(s) disclaim responsibility for any injury to people or property resulting from any ideas, methods, instructions or products referred to in the content.

Share and Cite

MDPI and ACS Style

Lin, Q.; Su, K.; Huang, Y.; He, Y.; Zhang, J.; Yang, X.; Xu, H. Molecular Crystal Structure Simulations and Structure-Magnetic Properties of LiFePO4 Composite Particles Optimized by La. Molecules 2024, 29, 3933. https://doi.org/10.3390/molecules29163933

AMA Style

Lin Q, Su K, Huang Y, He Y, Zhang J, Yang X, Xu H. Molecular Crystal Structure Simulations and Structure-Magnetic Properties of LiFePO4 Composite Particles Optimized by La. Molecules. 2024; 29(16):3933. https://doi.org/10.3390/molecules29163933

Chicago/Turabian Style

Lin, Qing, Kaimin Su, Yajun Huang, Yun He, Jianbiao Zhang, Xingxing Yang, and Huiren Xu. 2024. "Molecular Crystal Structure Simulations and Structure-Magnetic Properties of LiFePO4 Composite Particles Optimized by La" Molecules 29, no. 16: 3933. https://doi.org/10.3390/molecules29163933

APA Style

Lin, Q., Su, K., Huang, Y., He, Y., Zhang, J., Yang, X., & Xu, H. (2024). Molecular Crystal Structure Simulations and Structure-Magnetic Properties of LiFePO4 Composite Particles Optimized by La. Molecules, 29(16), 3933. https://doi.org/10.3390/molecules29163933

Article Metrics

Back to TopTop