Abstract
With low background radiation, tritiate compounds exclusively emit intense beta particles without structural changes. This makes them a useful tool in the drug discovery arsenal. Thanks to the recent rapid progress in tritium chemistry, the preparation and analysis of tritium-labeled compounds are now much easier, simpler, and cheaper. Pharmacokinetics, autoradiography, and protein binding studies have been much more efficient with the employment of tritium-labeled compounds. This review provides a comprehensive overview of tritium-labeled compounds regarding their properties, synthesis strategies, and applications.
1. Introduction
Radionuclide-labeled compounds have been widely used in a vast number of studies, especially in the life sciences [1,2,3,4]. Radionuclides are attractive in drug development as they exclusively emit intense signals without structural changes to the drugs. The high specific activity of molecules labeled with tritium is easy to visualize, track, and quantify, which makes them powerful tools for pharmaceutical studies. In addition to the drug metabolism and pharmacokinetics studies, tritium-labeled compounds are widely employed in other research areas such as receptor binding and autoradiography [5,6,7,8,9,10].
The International System of Units quantifies the radioactivity of tritium-labeled compounds in terms of the Becquerel (Bq), whereas the Curie (Ci) is the traditional unit of measure [11]. Another important parameter in radionuclide chemistry is specific activity (SA), which is expressed in terms of radioactivity per molar unit. It is the level of SA that determines the application of radionuclides. The SA of tritium is much higher than that of carbon-14 [12], which enables tritium-labeled compounds to be employed in the studies of autoradiography, protein binding, and permeability assays.
The main method to detect the emission of tritium is liquid scintillation counting (LSC). The beta particle emitted by tritium can excite the fluor, which then emits light when relaxing to the ground state [13]. The light detected by the photomultiplier tube is directly related to the amount of radioactivity. A higher sensitivity can be obtained by solid scintillation. Techniques that utilize solid scintillation after automating fraction collection provide better approaches to online radioactivity detection. A higher radioactivity can even be detected by accelerator mass spectrometry techniques, which have a sensitivity of about 1000-fold that of LSC [14]. This technique, however, is limited by the high price of the equipment and the complexity of sample preparation.
One of the important reasons that labeling with tritium is preferred over other radionuclides is its faster, simpler, and cheaper synthesis approaches. On one hand, many classic approaches to labeling, such as tritiodehalogenation, tritiated methylation, and hydride reduction, have experienced a great improvement [15,16,17]. On the other hand, ortho-exchange chemistry has brought revolutionary developments to tritium chemistry [18,19]. Catalyzed by an appropriate metal, hydrogen in the compound can undergo an exchange with a tritium source, which is usually tritium gas or tritiated water.
This review gives an overview of tritium-labeled compounds in three areas. We will first discuss the physical, chemical, and biological properties of tritium-labeled compounds as well as their storage. Then, we introduce the strategies for incorporating tritium labeling. Finally, we discuss the application of tritium-labeled compounds.
2. Properties of Tritium-Labeled Compounds
2.1. Physical and Chemical Properties of Tritium
Some important properties of tritium in comparison with carbon-14 are listed in Table 1. Thanks to the short range of beta particles emitted by tritium, high-resolution autoradiography and autoradioluminography can be achieved, enabling autoradiographic studies at cellular and subcellular levels [20]. The high specific activity of tritium (28.8 Ci/mmol) is approximately 500 times greater than what can be achieved with carbon-14 (62.4 mCi/mmol) labeling. This makes tritium irreplaceable in macromolecular labeling at low molar concentrations, especially for biomolecules such as peptides, proteins, oligonucleotides, and antibodies. The energy of the beta particle emitted by tritium is much lower than that emitted by carbon-14. It can penetrate the air by only about 5 mm, which is safe enough for workers to manipulate it without special shielding [21]. However, internal exposure to tritium should be avoided. Tritium-labeled compounds must not be ingested or inhaled and must not make direct contact with open wounds. Therefore, wearing suitable gloves and working in fume hoods or glove boxes is required.
Table 1.
Physical properties of tritium versus those of carbon-14.
Tritium-NMR is a useful tool for the detection and analysis of tritiated compounds [22,23]. As tritium has almost the same chemical shifts as protium, tritium-NMR is widely used to assign the unambiguous site of the tritium label. In addition, diverse 2D-NMR techniques have been employed to analyze complex tritium-NMR spectra [24,25].
Different chromatographic behaviors have been observed between tritiated compounds and their unlabeled counterparts [26]. The shorter and stronger bonds of tritium and carbon result in a change in lipophilicity, which may explain the difference in chromatographic separation [27]. For compounds with high-tritiated labeling, isotopic fractionation is much clearer than that of single-labeled compounds, which are often neglected [28]. It is worth noting that tritiated compounds usually elute ahead of unlabeled compounds through reversed-phase high-performance liquid chromatography.
2.2. Storage of Tritiated Compounds
In addition to chemical degradation, the beta particle emitted by the tritium label continuously accelerates the decomposition of tritiated compounds, of which there are three types: internal, external, and secondary decomposition [29]. The first is caused by isotopic decay and accounts for about 5% of tritium decomposition per year [30]. The second is caused by the direct interaction with the high-energy beta particle. The emission energy of beta particles from tritium is about two to four orders of magnitude greater than the average energy of an organic bond. Hence, these bonds are quite vulnerable, especially in the solid or high-concentration liquid state. In addition to the drug molecules, the emitted beta particle can interact with other nearby solvent or air molecules, which are then activated [29]. These activated molecules can then cause secondary decomposition of drug molecules. This approach accounts for the primary aim of these decomposition processes.
The vulnerability of the tritium-labeled compounds emphasizes the importance of short and proper storage. A practical method to reduce external decomposition is to disperse tritiated compounds into an appropriate solvent [10]. It is important that the chosen solvent is highly pure, deoxygenated, and chemically compatible with the compounds. To address the problem of secondary decomposition, solvents are required to absorb and stabilize the energy of beta particles. Benzene and toluene are able to stabilize excited states through their π-orbitals [31] and are therefore often used to dissolve less polar radiochemical compounds. Alcohols such as methanol or ethanol acting as radical scavengers are widely used as solvents or as cosolvents of more polar compounds. On the other hand, solvents like chloroform, dichloromethane, ether, or water are poor choices due to their inclination toward forming radicals [32]. As the decomposition of radioactive compounds is temperature-dependent, it is recommended to store radioactive compounds at temperatures as low as −80 °C, which is usually adequate; however, storage in liquid nitrogen (−140 °C) is optimal [33,34].
2.3. Biological Properties of the Tritium Isotope
Potential isotope effects also raise concern in the switching metabolic process of labeled compounds [35]. There are two crucial factors in the kinetic isotope effect: the status of bond hybridization and the type of enzyme involved [36,37]. Many aromatic hydroxylation processes are not likely to show a notable kinetic isotope effect [38]. The rate-determining step of aromatic hydroxylation reactions is an epoxidation reaction through cytochrome p450 oxidation, which does not involve a direct C-H bond breaking [35]. On the other hand, an isotope effect on an aromatic heterocyclic ring was reported to shift the enzymatic oxidation [38]. The scale of isotope effects increases with the number of tritium atoms integrated into the compound. Pharmacological or even safety issues may arise. It is worthwhile to minimize isotope effects and avoid metabolic switching to establish the correct and accurate behavior of a target compound.
The primary concern about the biological properties of the tritium isotope is the risk of its biological instability. With modern labeling methodology and analytic techniques, loss of the tritium label resulting from chemical and radiochemical processes is no longer a key issue. Tritium loss is mainly due to the introduction of tritium atoms into metabolically vulnerable positions. Furthermore, tritium atom degradation by oxidation or cleavage may even undergo an incorporation with endogenous biomolecules [39,40,41], which would, however, raise the overall radiation in studies involving human beings. In the same molecules, labels at different positions lead to very diverse stabilities [7]. For instance, tritium in the ortho-position of a phenoxy moiety suffers from metabolic instability, while that in the meta position remains quite stable. It is, therefore, of great value to take into detailed consideration the possible metabolic pathways.
Many metabolically vulnerable positions deserve thoughtful consideration to place a tritium label. N- and O-tritiomethylated compounds are usually uninstable in the metabolic environment, which makes them unsuitable for in vivo studies [42]. The hydroxylation of aromatic systems is mainly through CYP-450-mediated metabolic pathways [43]. The meta or para position of an aromatic system, which often lies on the periphery of the molecule, is not advised when introducing a tritium label. This is worth considering when the tritium labels are incorporated through tritiodehalogenation. The primary hydroxyl group often suffers from hydroxylation by dehydrogenate, so the tritium label adjacent to it is not in an optimal position, while secondary and tertiary hydroxyl tolerates the dehydrogenase pretty well.
3. Synthesis of Tritium-Labeled Compounds
3.1. Tritium–Halogen Exchange
Great developments in tritium chemistry have been made in the last 30 years [44,45,46], and many improved classical approaches to tritium labeling are also used, such as tritiodehalogenation. With heterogeneous (usually Pd/C) catalysts, tritium can easily take the place of halide in the aryl iodides, aryl bromides, and aryl chlorides.
The main drawback of this approach is the tolerance of reducible groups (other aryl halides, unsaturated bonds, and ArNO2), which has been improved in recent decades [47]. By controlling the reaction conditions, tritiodeiodinate can be selectively achieved in the presence of chlorine and even bromine, while tritiodebromination in the presence of chlorine is also possible. A major advantage of this synthetic approach is that the precursor (aryl halides) can be readily synthesized using one-step halogenations.
Schou and his colleagues successfully detritiated anti-tumor agent CHS-828 in the presence of aryl chlorine with the brominate-then-tritiodebrominate approach [48] (Scheme 1a). The iodinate-then-tritiodeiodinate strategy is a milder alternative to the brominate-then-tritiodebrominate approach [15]. With this approach, Marco and his colleagues prepared the precursor using N-iodosuccinimide (NIS) in fluoromethanesulfonic acid and tritiodeiodinate to obtain tritium-labeled mephenytoin (Scheme 1b) [49].
Scheme 1.
(a) Synthesis of tritium-labeled CHS-828; (b) synthesis of tritium-labeled (S)-mephenytoin.
3.2. Tritide Reductions
The tritide reduction approach introduces tritium labels through tritium gas or tritium hydrides. Unlike tritium–halogen exchange methods, tritide reductions require a transformation of some precursor chemical. One of the major advantages of catalytic tritiation is that the region and chiral selectivity of tritium labeling can be achieved with a proper catalyst. However, due to the requirement of precursor preparation, this method is infrequently used.
Carbon–carbon multiple bonds can be readily reduced with the catalyst in a suitable solvent in the presence of tritium gas, while carbon heteroatom multiple bonds, because of their polar nature, are more favorable for reduction with complex tritides rather than catalytic tritiation. The efficiency of catalytic tritiation is determined by the substrate structure, the activity of the heterogeneous metal catalyst, the support material, and the property of the solvent. Generally, Pd or Rh dispersed on alumina or carbon in protic polar solvents has the greatest ability of reduction, while Ir or Ru dispersed on calcium in aprotic apolar solvents exhibits a much lower reducibility [50,51]. The main drawback of catalytic tritiation is that it can be spread over original carbon–carbon multiple bonds, which is called isotopic scrambling. According to a generally accepted theory, isotope scrambling occurs during catalytic reductions of carbon–carbon multiple bonds through the processes of isomerizations and migrations involving reversible hydrometallations [52,53]. Although tritium–halogen exchange may occur during catalytic tritiation, the selective reduction of unsaturated bonds in the presence of halogens can be accomplished through appropriate selection of the catalyst. Using a Wilkinson catalyst, Egan successfully reduced a double bond without tritiodehalogenation [54] (Scheme 2).
Scheme 2.
Selective reduction of a double bond without tritiodehalogenation.
Compared with the tritium gas, it is much easier, using other tritium sources such as LiBT4, NaBT4, and LiAlT4, to introduce tritium in a chemoselective and regioselective manner. Isotope scrambling is also difficult to find in the products of tritide reductions. In addition, higher degrees of stereocontrol can often be achieved by using bulky reagents, chiral tritides, or common achiral tritides in the presence of appropriate chiral catalysts [55].
3.3. Methylation
A well-established method for the labeling of drug molecules is the use of several small tritiated building blocks. These building blocks, such as tritiated water, tritiated diimide, tritiated methyl iodide, and tritiated formaldehyde, are of unique utility and commercially available. Especially tritiated methyl iodide and tritiated methyl triflate are the most common building blocks and enable fast and easy reactions with frequently high yields [56,57]. However, N- and O- tritiomethylated compounds are often metabolically unstable, making them unsuitable for many in vivo investigations [58]. In contrast, C-tritiomethylated compounds show much higher metabolic stability, which makes them feasible for in vivo studies as an alternative to tritium labeling. MacMillan et al. [59] reported the radio-methylation of aryl and alkyl bromide catalyzed by metal photoredox and achieved the rapid synthesis of a series of PET radioligands under mild conditions with a wide application range of substrates applied (Scheme 3). This is also the first example of tritium labeling by an alkyl–alkyl cross-coupling strategy to date.
Scheme 3.
Tritiation of aliphatic pharmaceuticals and radiotracers.
3.4. Metal-Catalyzed Hydrogen Isotope Exchange
Although tritium-labeled compounds can be prepared through chemical synthesis, they may also be prepared directly by exchanging hydrogen atoms with tritium without any change in the chemical structure of the substrates. This method is undoubtedly one of the most dramatic improvements in tritium chemistry [19]. In the presence of an appropriate metal catalyst (usually an Ir or Rh complex), tritium labeling can be achieved with the treatment of tritium gas or tritiated water [60]. Chemoselectivity and regioselectivity can be directed by a wide range of functional groups, most of which tolerate the tritium exchange condition. Compared with the aforementioned method, metal-catalyzed hydrogen-isotope exchange (HIE) labeling has a great advantage in terms of speed and confidence. Regarding these merits, hydrogen isotope exchange has been the method of choice [61].
The exchange labeling reactions usually utilize group 8, 9, and 10 metals in tritiated water or mildly acidic solutions. Platinum, palladium, rhodium, ruthenium nickel, and iridium are the most investigated metals for catalytic tritium–hydrogen isotope exchange [62,63].
The area of isotopic exchange over homogeneous iridium catalysts has undergone significant expansion since the inception of the technique in the early 1990s [64,65]. These iridium-containing catalysts have the ability to insert into the C-H bond of arenes regioselectivity by directing groups such as ketones, esters, and amides [61]. Along with new iridium-containing catalysts, the activity and selectivity of the iridium complex in the area of tritium labeling have been under detailed investigations, and the overall mechanism of the hydrogen isotope exchange process has been proposed [66,67,68,69]. Pieters et al. [70] reported a general method for the multiple site hydrogen isotope labelling of complex molecules using the commercially available and air-stable iridium precatalyst [Ir(COD)(OMe)]2. The multiple site isotope incorporation explained by the in situ formation of a catalytically active system including both monometallic Ir complexes and Ir nanoclusters, and can form complementary catalytic active substances in situ, monometallic iridium complexes, and iridium nanoparticles, which enabled the labeling of a wide range of pharmacologically relevant substructures, including pyridine, pyrazine, indole, carbazole, aniline, oxygen/thiazole, thiophene, and electron-rich phenyl (Scheme 4a). Additionally, many drug molecules on the market, such as Perebron, Celecoxib, and Nilutamide, were labeled with isotopes through hydrogen exchange labeling with iridium-containing catalysts [66]. Recently, HIE reactions using water-soluble Kerr catalysts at different pH solutions have been reported for the first time [71]. The tritium–hydrogen exchange of imidazole, benzoic acid, pyridine n-oxide, tetrazole, and other molecules was realized successfully.
Scheme 4.
Hydrogen/tritium exchange using an iridium-containing catalyst and a palladium-containing catalyst. (a) Multiple site hydrogen isotope labelling of complex molecules using iridium precatalyst [Ir(COD)(OMe)]2; (b) Chemo- and site-selective C-H tritiation via arylthianthrenium salt by homogeneous palladium catalysis; (c) Homogeneous transition Fe-catalysed hydrogen/tritium exchange using tritium gas.
Palladium was found to be generally the most active metal. The C-H tritiation of complex pharmaceuticals with T2 gas involving electrophilic C-H palladation offers a novel scope for this tritiation [72]. This practical conversion shows a new substrate range and greater functional group tolerance compared to other tritiation methods, and it has been applied to direct tritiated complex drugs and unprotected dipeptides. Hydrogen hydrolysis catalyzed by palladium is an effective method of molecular tritiation. Ritters et al. [73] reported a well-defined molecular palladium catalyst for homogeneous hydrolysis, with thianthracene as the leaving group for selective drug introduction through late C-H functionalization (Scheme 4b). Unlike the coordination capacity of the traditional leaving group-associated palladium (II) catalyst, an unprecedented dihydrogen catalysis was achieved. This unique reactivity does not require an inert atmosphere or dry conditions, making it practical and stable for having a direct impact on drug discovery and development. Except for single metal catalysis, platinum and palladium catalysts can also be utilized together to achieve synergy efficiency in labeling [74,75].
With the increase in structural complexity of bioactive molecules, it is of great significance to exploit more practical C-H tritiation methods so that valuable tritium radioactive ligands can continue to be used in the investigation of bioactivity. Professor Chirik and collaborators reported an iron-catalyzed method for direct tritium labeling [18]. The regioselectivity of the iron catalyst is orthogonal to that of iridium-containing catalysts (Scheme 4c). This catalyst is tolerated by a range of pharmaceutically relevant functional groups and operates efficiently in polar aprotic solvents at low pressures of tritium gas.
The efficient and specific introduction of isotopes at specific sites is one of the difficulties of HIE reactions. The usual tritiation conditions often lead to the introduction of multiple isotopes with low regional selectivity. The use of nanoparticles has appeared recently as an attractive solution to overcome this shortcoming. Many types of organometallic nanoparticles (NPs) have been developed to achieve high chemical and regionally selective isotope labeling by adjusting the catalytic activity of nanoparticle size and concentration and the surface ligand properties of metal nanoclusters, or different metals [76,77]. Pieters et al. performed a comprehensive review in this regard [78], so we do not detail it here.
3.5. Photoredox-Catalyzed Hydrogen Isotope Exchange
In addition to the methods mentioned above, there are several strategies that have been developed to achieve a high selectivity of reactions. In recent years, visible light-mediated photoredox catalytic reactions have rapidly developed in organic synthesis. Macmillan first reported in 2017 that photoredox and thiol hydrogen transfer (HAT) synergistic catalytic strategies enable efficient aliphatic hydrocarbon bond isotope exchange (Scheme 5a) [79]. It is worth noting that this strategy can only use tritium water as tritium sources, which faces drawbacks such as radioactive contamination due to the danger and instability of tritium water. Based on this, the MSD team proposed the use of metal catalyst Rh(PPh3)3Cl to activate tritium gas, and the generated metal hydride in situ was used to complete the hydrogen transfer catalysis, which realized the efficient isotope exchange of aliphatic hydrocarbon bonds and obtained tritium substitution drug molecules with high specific activity (Scheme 5b) [80].
Scheme 5.
(a) Tritiation of HIE through photoredox and HAT catalysis; (b) HIE with tritium gas through the merger of photoredox and hydrogenation catalysts.
4. Applications of the Tritium-Labeled Compounds
4.1. Cell Cytotoxicity Estimation
Evaluation of the anti-proliferative activity of drugs is one of the important methods for early drug discovery. The tritiated thymidine incorporation ([3H]-TdR) assay is used as an indicator of cellular proliferation and is particularly attractive for screening antimitotic agents for cancer [81,82]. Tritiated thymidine is a radiolabeled DNA precursor incorporated into newly synthesized DNA during the S-phase of the cell cycle [83,84,85]. The response value of the radioactive signal is related to the rate of proliferation, which makes it a successful agent to screen and optimize potential new drugs.
4.2. Human ADME Studies
The profile of a new drug’s absorption, distribution, metabolism, and excretion (ADME) properties is required for the registration, which is generally obtained in late phase I or in phase II clinical trials [86]. Preliminary metabolism data can be provided by in vitro studies. In vivo data are usually acquired by using a radiolabeled ADME study. Compared to non-radioactive techniques, such as HPLC-MS, radiolabeled compounds provide an easier and more accurate method due to their good tracer ability [87].
It is often the case that only when the carbon-14 option fails will the tritium-labeled compounds be used in ADME studies [88]. Many ADME scientists often carry the stereotype that tritium is a problematic isotope in terms of chemical and biological stability. However, based on the experiences and scientific data, the same ADME information can be achieved with tritium-labeled compounds as with carbon-14-labeled compounds. Along with the rapid advance in synthetic and analytic tritium chemistry and the convenient commercial reagents and equipment, the use of tritium has made major progress [2].
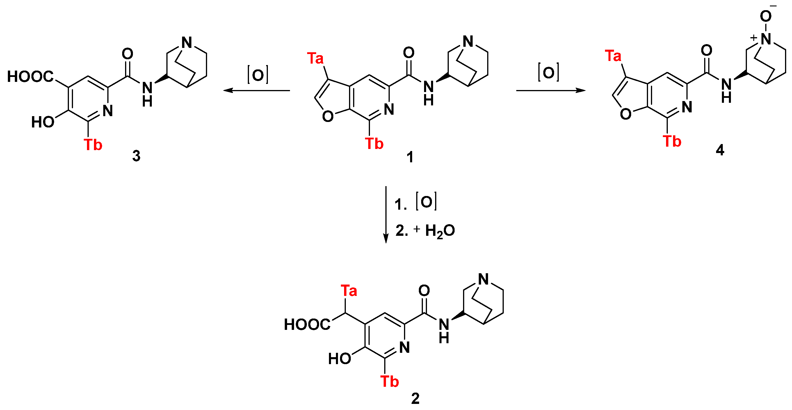
Metabolite profiling based on radioactivity monitoring of the LC eluent will provide a number of metabolites excreted via each route as well as the quantity (% of dose) or concentration (e.g., μmolEq/L). The amount of radioactivity in the analyzed sample tends to be measured using the radiological aerosol monitor (RAM) for high levels and LSC for low levels. By analyzing urine, bile, and feces, we could assess whether the drug clearance is governed by metabolism or excretion of the unchanged parent compound. Based on an agonist of the α7 nicotinic acetylcholinergic receptor, G. D. Fate et al. synthesized two tritium-labeled compounds (Scheme 6) [89]. Because of the intrinsic properties of tritium, all biological samples must undergo lyophilization to determine the content of urinary tritiated water. At the same time, using [3H]-1 confirmed the species-dependent metabolism for 3H loss from [3H]-1 in rats but not dogs. As the majority of rat metabolites resulted from furan–pyridine biotransformation, the loss of Ta was closely related to compound 3.
Scheme 6.
Tritium-labeled compounds in different sections (Ta and Tb) with metabolic structures that were detected analytically.
The late introduction property of tritium makes it highly favored in the field of labeling complex molecules. Based on this, molecules with complex structures, such as the macrolide antibiotic [90,91], oligonucleotides [92], and polypeptides [10], have been labeled to enable pharmacokinetic, distribution, and formulation studies.
Apart from drug metabolism and pharmacokinetics studies, tritium-labeled compounds are broadly used in many other fields, such as receptor-binding studies and autoradiography.
4.3. Autoradiography Distribution Studies
The effects of most drugs depend on their concentrations in target tissues, while concentrations of drugs and metabolites in plasma do not directly determine those in the tissues. To this end, autoradiography distribution studies are used to provide useful information regarding tissue distribution and pharmacokinetics in drug-related material [93,94]. By using tritium-labeled drugs, the autoradiography technique can nondestructively obtain drug distributional information, which can be crucial to the studies of pharmacology, pharmacokinetics, efficacy, and toxicity [93,95]. It is worth noticing that this technique can also be used to evaluate the uptake of radioactive material in tumors [96].
The classical radionuclide used in autoradiography distribution studies is iodine-125 [97]. However, as shown in Figure 1A, its distribution of iodine is often influenced by up-taking the free iodine to the thyroid, salivary glands, gastric mucosa, mammary glands, and ovarian follicles, resulting in an ambiguous image [8]. Fortunately, this is no issue in tritium-labeled compounds. The autoradiograms obtained from tritium have a high resolution in the images, resulting from the short path length of the beta particle emitted by tritium.
Figure 1.
Comparison of autoradiograms obtained using iodine-125 (A) and tritium (B); representative whole-body autoradiogram obtained following administration of tritium-labeled protein to the rat (C) [8].
Recently, Kristian et al. [98] reported that probes based on the high-affinity inhibitor AVLX-144 of PSD-95 were labeled with tritium as well as fluorescent tags (Figure 2a). Tracer binding showed saturable, translocatable, and heterogeneous distributions in rat brain sections and proved effective in quantitative autoradiography and cellular imaging studies (Figure 2b).
Figure 2.
(a) Radiosynthesis and structure of probe [3H]1; (b) autoradiography images of sagittal rat brain slices incubated with increasing concentrations of [3H]1.
Tritium-sucrose could be used to validate the dosing strategy in lung distribution studies of an isolated perfused mouse lung. After introducing the dose, the lung perfusion was immediately halted, and the trachea and major bronchi were isolated. All five lobes (superior, middle, inferior, post-caudal, and left) were separated using a surgical blade and separately weighed. The sample was transferred for radioactivity liquid scintillation analysis. The mass of tritium-sucrose distributed into each lobe was calculated and corrected for the lobar mass [99].
4.4. Tagging for Protein Binding
The high specific activity of tritium makes it a valuable tool in biological applications for detection of a variety of small molecules with their receptors. The easy detectability of the tritium also enabled the investigations of enzyme kinetics at the nanomolar level. The photoaffinity probe usually consists of three parts: a ligand with targeting properties, a photoreactive group, and a report label [100]. Compared with other identification tags, such as fluorescent dyes and affinity tags, a tritium label can minimize interference with the structure and activity of the ligand due to its small volume, thereby preserving the affinity of the ligand to the target receptor and improving the accuracy of receptor recognition [12]. In addition, the high specific activity and sensitivity of tritium can effectively reduce the background interference of non-target ligands, thus enabling in vivo activity evaluation in living cells.
A tritiated chemical probe origin from a DcpS inhibitor PF-0665247 was tested against a 9000 human protein microarray to assess its binding selectivity [101]. Then, its excellent selectivity was confirmed by assessing against whole cell extracts. The tritiated probe was prepared through the tritium–halogen exchange method (Scheme 7a). Two tritium atoms were incorporated to ensure adequate specific radioactivity. High-resolution array images were received after exposure on a tritium-sensitive phosphor screen and processing through software.
Scheme 7.
(a) Synthesis of tritium-labeled PF-0665247; (b) synthesis of tritium-labeled HOCPCA.
To investigate the high-affinity γ-hydroxybutyrate GHB binding sites in the central nervous system, tritium-labeled 3-hydroxycyclopent-1-enecarboxylic acid (tritium-HOCPCA) was prepared using in situ generated lithium trimethoxyborotritide (Scheme 7b) [102]. The tritium incorporation approach produced an almost theoretical radioactive yield with high radiochemical purity. Based on its brain permeability, the probe is useful for understanding the molecular mechanism of GHB at its high-affinity binding site and elucidating the pharmacology of the GHB system.
The very high but still reversible binding of probes to their receptors may be broken during the process of detection. A photoaffinity approach is commonly used to address this [103]. Photoaffinity probes replacing hydrogen atoms with tritium atoms without altering their structure will preserve the binding pattern of the drug to the maximum extent. The most extensively investigated photolabile groups are benzophenone, diazirine, and azide, among which the azide group is most widely used. By incorporating the tritium label through tritiodehalogenation, an azido- and tritium-labeled photoaffinity probe based on MX-126374 was successively synthesized (Scheme 8) [104]. Through the cell-based screening assay, a series of agents that selectively induce apoptosis in a novel pathway were found. Tail-interacting protein 47 (TIP47), a 47 kDa protein that is commonly considered a chaperone or cargo protein, is revealed as the primary target of MX-126374. The identification of the probe’s target discloses a novel and potential therapeutic selective apoptosis target.
Scheme 8.
Synthesis of the tritium-labeled MX-126374 probe.
5. Conclusions
Tritium labeling is an attractive field with tremendous potential for both pharmacy and chemical biology applications. With the advances in understanding of their properties, the great value of tritium-labeled compounds is emphasized in drug discovery and development. High-quality labeled compounds can be prepared rapidly and easily as a result of the rapid progress in analytical and synthesis approaches. Due to the merit of high specific activity and sensitivity, tritium-labeled compounds have been widely used in diverse fields such as human ADME studies, quantitative whole-body autoradiography, and activity-based protein profiling. We believe that their potential has not been completely exploited.
Author Contributions
Writing—original draft preparation, Y.T. (Yu Teng); writing—review and editing, H.Y. and Y.T. (Yulin Tian). All authors have read and agreed to the published version of the manuscript.
Funding
This research was supported by the CAMS Innovation Fund for Medical Sciences (2022-I2M-1-013).
Acknowledgments
We are grateful to the key Laboratory of Bioactive Substances and Function of Natural Medicine, Beijing Key Laboratory of Active Substances Discovery and Drugability Evaluation, Institute of Materia Medica, Peking Union Medical College, and Chinese Academy of Medical Sciences.
Conflicts of Interest
The authors declare no conflicts of interest.
References
- Wang, C.H.; Willis, D.L. Radioactive Isotopes. (Book Reviews: Radiotracer Methodology in Biological Science). Science 1965, 150, 877. [Google Scholar]
- Uhl, P.; Fricker, G.; Haberkorn, U.; Mier, W. Radionuclides in drug development. Drug Discov. Today 2015, 20, 198–208. [Google Scholar] [CrossRef]
- Isin, E.M.; Elmore, C.S.; Nilsson, G.N.; Thompson, R.A.; Weidolf, L. Use of radiolabeled compounds in drug metabolism and pharmacokinetic studies. Chem. Res. Toxicol. 2012, 25, 532–542. [Google Scholar] [CrossRef] [PubMed]
- Elmore, C.S.; Bragg, R.A. Isotope chemistry; a useful tool in the drug discovery arsenal. Bioorg. Med. Chem. Lett. 2015, 25, 167–171. [Google Scholar] [CrossRef] [PubMed]
- Marathe, P.H.; Shyu, W.C.; Humphreys, W.G. The use of radiolabeled compounds for ADME studies in discovery and exploratory development. Curr. Pharm. Des. 2004, 10, 2991–3008. [Google Scholar] [CrossRef]
- Elmore, C.S. Use of Isotopically Labeled Compounds in Drug Discovery. Annu. Rep. Med. Chem. 2009, 45, 515. [Google Scholar]
- Krauser, J.A. A perspective on tritium versus carbon-14: Ensuring optimal label selection in pharmaceutical research and development. J. Label. Compd. Radiopharm. 2013, 56, 441–446. [Google Scholar] [CrossRef]
- McEwen, A.; Henson, C. Quantitative whole-body autoradiography: Past, present and future. Bioanalysis 2015, 7, 557–568. [Google Scholar] [CrossRef]
- Sadaghiani, A.M.; Verhelst, S.H.; Bogyo, M. Tagging and detection strategies for activity-based proteomics. Curr. Opin. Chem. Biol. 2007, 11, 20–28. [Google Scholar] [CrossRef]
- Lockley, W.J.S.; McEwen, A.; Cooke, R. Tritium: A coming of age for drug discovery and development ADME studies. J. Label. Compd. Radiopharm. 2012, 55, 235–257. [Google Scholar] [CrossRef]
- Saljoughian, M.; Williams, P.G. Recent developments in tritium incorporation for radiotracer studies. Curr. Pharm. Des. 2000, 6, 1029–1056. [Google Scholar] [CrossRef]
- Atzrodt, J.; Derdau, V.; Kerr, W.J.; Reid, M. Deuterium- and Tritium-Labelled Compounds: Applications in the Life Sciences. Angew. Chem. Int. Ed. 2018, 57, 1758–1784. [Google Scholar] [CrossRef]
- Zouridakis, N.; Ochsenkuhn, K.M.; Savidou, A. Determination of uranium and radon in potable water samples. J. Environ. Radioact. 2002, 61, 225–232. [Google Scholar] [CrossRef]
- Palmblad, M.; Buchholz, B.A.; Hillegonds, D.J.; Vogel, J.S. Neuroscience and accelerator mass spectrometry. J. Mass Spectrom. 2005, 40, 154–159. [Google Scholar] [CrossRef]
- Elmore, C.S.; Brush, K.; Schou, M.; Palmer, W.; Dorff, P.N.; Powell, M.E.; Hoesch, V.; Hall, J.E.; Hudzik, T.; Halldin, C. Synthesis of a delta opioid agonist in [2H6], [2H4], [11C], and [14C] labeled forms. J. Label. Compd. Radiopharm. 2011, 54, 847. [Google Scholar] [CrossRef]
- Raja, S.N.; Surber, B.W.; Du, J.; Cross, J.L. Synthesis of [3H] ABT-518, a matrix metalloproteinase inhibitor (MMPI) labeled in the phenyl rings. J. Label. Compd. Radiopharm. 2009, 52, 98–102. [Google Scholar] [CrossRef]
- Elmore, C.S.; Dorff, P.N.; Powell, M.E.; Hall, J.E.; Simpson, T.R. Synthesis of the NK3 receptor antagonist AZD2624 in C-14-, H-3-and C-13-labeled forms. J. Label. Compd. Radiopharm. 2011, 54, 239–246. [Google Scholar] [CrossRef]
- Yu, R.P.; Hesk, D.; Rivera, N.; Pelczer, I.; Chirik, P.J. Iron-catalysed tritiation of pharmaceuticals. Nature 2016, 529, 195–199. [Google Scholar] [CrossRef] [PubMed]
- Lockley, W.J.S.; Heys, J.R. Metal-catalysed hydrogen isotope exchange labelling: A brief overview. J. Label. Compd. Radiopharm. 2010, 53, 635–644. [Google Scholar] [CrossRef]
- Tritiated 2-deoxy-D-glucose: A high-resolution marker for autoradiographic localization of brain metabolism. J. Comp. Neurol. 2010, 222, 128–139.
- Filer, C.N. Synthesis and characterization of tritium-labelled substances. Appl. Radiat. Isot. 2018, 137, 261–272. [Google Scholar] [CrossRef] [PubMed]
- Evans, E.A.; Warrell, D.; Elvidge, J.; Jones, J. Handbook of Tritium NMR Spectroscopy and Applications; John Wiley & Sons: Hoboken, NJ, USA, 1985. [Google Scholar]
- Schenk, D.J.; Dormer, P.G.; Hesk, D.; Pollack, S.R.; Lavey, C.F. NMR-based approach to the analysis of radiopharmaceuticals: Radiochemical purity, specific activity, and radioactive concentration values by proton and tritium NMR spectroscopy. J. Label. Compd. Radiopharm. 2015, 58, 291–298. [Google Scholar] [CrossRef]
- Vogt, F.G.; Freyer, A.J.; Levinson, S.H.; Shu, A.Y.L.; Richard Heys, J. Improved methods for 1H–3H heteronuclear shift correlation. Magn. Reson. Chem. 2005, 43, 147–155. [Google Scholar] [CrossRef] [PubMed]
- Williams, P.G.; Morimoto, H.; Wemmer, D.E. Application of modern sup 3H NMR techniques to analysis of complex isotopic products from a hydrogenation reaction. J. Am. Chem. Soc. 1988, 110, 8038–8044. [Google Scholar] [CrossRef]
- Filer, C.N. Isotopic fractionation of organic compounds in chromatography. J. Label. Compd. Radiopharm. 1999, 42, 169–197. [Google Scholar] [CrossRef]
- Waterbeemd, V.D. The parametrization of lipophilicity and other structural properties in drug design. Adv. Drug Res. 1987, 16, 85–225. [Google Scholar]
- Vliegen, M.; Janssen, C.; Verluyten, W.; Thijssen, J.; Cuyckens, F. Tritium labelling of a new tuberculosis drug, undesired isotope effects and alternative solution via ICP-MS. J. Label. Compd. Radiopharm. 2010, 53, 153–154. [Google Scholar]
- Wolf, J.R. Review: Self-radiolysis of compounds containing tritium and carbon-14. J. Label. Compd. Radiopharm. 2021, 64, 286–335. [Google Scholar] [CrossRef]
- Eyrolle, F.; Ducros, L.; Le Dizes, S.; Beaugelin-Seiller, K.; Charmasson, S.; Boyer, P.; Cossonnet, C. An updated review on tritium in the environment. J. Environ. Radioact. 2018, 181, 128–137. [Google Scholar] [CrossRef]
- Ekstrom, A.; Garnett, J.L. Recent developments in the mechanism of the protection effect of aromatic compounds on the radiolysis of aliphatics. J. Label. Compd. 1967, 3, 167–183. [Google Scholar] [CrossRef]
- Sheppard, G.; Sheppard, H.C.; Stivala, J.F. The stability of thymidine, uridine and their related nucleotides, labelled with tritium. J. Label. Compd. 1974, 10, 557–567. [Google Scholar] [CrossRef]
- Bayly, R.J.; Evans, E.A. Storage and stability of compounds labelled with radioisotopes—Part II. J. Label. Compd. 1967, 3, 349–379. [Google Scholar] [CrossRef]
- Evans, E.A.; Stanford, F.G. Stability of Thymidine Labelled with Tritium or Carbon-14. Nature 1963, 199, 762–765. [Google Scholar] [CrossRef]
- Browne, T.R.; Avenue, S.H. Stable Isotopes in Pharmaceutical Research; Elsevier: Amsterdam, The Netherlands, 1997. [Google Scholar]
- Guengerich, F.P. Kinetic deuterium isotope effects in cytochrome P450 oxidation reactions. J. Label. Compd. Radiopharm. 2013, 56, 428–431. [Google Scholar] [CrossRef] [PubMed]
- Guroff, G.; Daly, J.W.; Jerina, D.M.; Renson, J.; Witkop, B.; Udenfriend, S. Hydroxylation-induced migration: The NIH shift. Recent experiments reveal an unexpected and general result of enzymatic hydroxylation of aromatic compounds. Science 1967, 157, 1524. [Google Scholar] [CrossRef]
- Sharma, R.; Strelevitz, T.J.; Gao, H.; Clark, A.J.; Schildknegt, K.; Obach, R.S.; Ripp, S.L.; Spracklin, D.K.; Tremaine, L.M.; Vaz, A.D. Deuterium isotope effects on drug pharmacokinetics. I. System-dependent effects of specific deuteration with aldehyde oxidase cleared drugs. Drug Metab. Dispos. Biol. Fate Chem. 2011, 40, 625–634. [Google Scholar] [CrossRef]
- Brues, A.M.; Stroud, A.N.; Rietz, L. Toxicity of tritium oxide to mice. Proc. Soc. Exp. Biol. Med. 1952, 79, 174–176. [Google Scholar] [CrossRef]
- Yang, X.; Liu, H.; Jiang, X.; Jin, C.; Xu, Z.; Li, T.; Wang, Z.; Wang, J. Cyclooxygenase-2-mediated upregulation of heme oxygenase 1 mitigates the toxicity of deuterium-tritium fusion radiation. Int. J. Mol. Med. 2018, 42, 1945–1954. [Google Scholar] [CrossRef]
- Arcanjo, C.; Adam-Guillermin, C.; Murat El Houdigui, S.; Loro, G.; Della-Vedova, C.; Cavalie, I.; Camilleri, V.; Floriani, M.; Gagnaire, B. Effects of tritiated water on locomotion of zebrafish larvae: A new insight in tritium toxic effects on a vertebrate model species. Aquat. Toxicol. 2020, 219, 105384. [Google Scholar] [CrossRef]
- Edelmann, M.R.; Muser, T. Tritium O-Methylation of N-Alkoxy Maleimide Derivatives as Labeling Reagents for Biomolecules. Bioconjug. Chem. 2021, 32, 1027–1033. [Google Scholar] [CrossRef]
- Yue, D.; Hirao, H. Mechanism of Selective Aromatic Hydroxylation in the Metabolic Transformation of Paclitaxel Catalyzed by Human CYP3A4. J. Chem. Inf. Model. 2023, 63, 7826–7836. [Google Scholar] [CrossRef] [PubMed]
- Voges, R.; Heys, J.R.; Moenius, T. Preparation of Compounds Labeled With Tritium and Carbon-14; John Wiley & Sons: Hoboken, NJ, USA, 2009; Volume 26, pp. 645–648. [Google Scholar]
- Wang, X.-C.; Hu, Y.; Bonacorsi, S.; Hong, Y.; Burrell, R.; Yu, J.-Q. Pd(II)-Catalyzed C-H Iodination Using Molecular I2 as the Sole Oxidant. J. Am. Chem. Soc. 2013, 135, 10326–10329. [Google Scholar] [CrossRef] [PubMed]
- Allen, P.; Bragg, R.A.; Caffrey, M.; Ericsson, C.; Hickey, M.J.; Kingston, L.P.; Elmore, C.S. The synthesis of a tritium, carbon-14, and stable isotope-labeled cathepsin C inhibitors. J. Label. Compd. Radiopharm. 2017, 60, 124–129. [Google Scholar] [CrossRef] [PubMed]
- Rauh, J.J.; Lahm, G.P.; Pahutski, T.F.; Ullas, G.V.; Filer, C.N. Lindlar catalyst mediated tritiation of a triazole substituted isoxazoline insecticide. J. Label. Compd. 2010, 53, 51–52. [Google Scholar] [CrossRef]
- Schou, S.C.; Hunneche, C.S.; Binderup, E.; Grue-Sørensen, G. Synthesis of tritium labelled CHS 828 and its prodrug EB 1627. J. Label. Compd. Radiopharm. 2005, 48, 789–795. [Google Scholar] [CrossRef]
- Di Marco, A.; Cellucci, A.; Chaudhary, A.; Fonsi, M.; Laufer, R. High-Throughput Radiometric CYP2C19 Inhibition Assay Using Tritiated (S)-Mephenytoin. Drug Metab. Dispos. 2007, 35, 1737–1743. [Google Scholar] [CrossRef]
- Thomas, S.; Greenhalgh, M.D. Heterogeneous Catalytic Hydrogenation of C=C and C≡C; Elsevier: Amsterdam, The Netherlands, 2014. [Google Scholar]
- Rylander, P. Catalytic Hydrogenation in Organic Syntheses; Academic Press: New York, NY, USA, 1979; pp. 2193–2200. [Google Scholar]
- Dutton, H.J.; Scholfield, C.R.; Selke, E.; Rohwedder, W.K. Double bond migration, geometric isomerization, and deuterium distribution during heterogeneous catalytic deuteration of methyl oleate. J. Catal. 1968, 10, 316–327. [Google Scholar] [CrossRef]
- Wyrick, S.D.; Susan, M.N.; Lauf, P.K. Synthesis of tritiated bumetanide. J. Label. Compd. Radiopharm. 1984, 21, 173–180. [Google Scholar] [CrossRef]
- Egan, J.A.; Nugent, R.P.; Filer, C.N. Potent antiviral agent WIN 54954: High specific activity labelling with tritium. Appl. Radiat. Isot. 2004, 60, 851–853. [Google Scholar] [CrossRef]
- Zhang, Z.; Butt, N.A.; Zhang, W. Asymmetric Hydrogenation of Nonaromatic Cyclic Substrates. Chem. Rev. 2016, 116, 14769–14827. [Google Scholar] [CrossRef]
- Wheeler, W.J.; Clodfelter, D.K. Synthesis of the tritiated isotopomers of enzastaurin and its N-des-pyridylmethyl metabolite for use in ADME studies. J. Label. Compd. Radiopharm. 2008, 51, 175–181. [Google Scholar] [CrossRef]
- Bolton, R. Isotopic methylation. J. Label. Compd. Radiopharm. 2001, 44, 701–736. [Google Scholar] [CrossRef]
- Hintermann, S.; Vranesic, I.; Allgeier, H.; Brülisauer, A.; Hoyer, D.; Lemaire, M.; Moenius, T.; Urwyler, S.; Whitebread, S.; Gasparini, F. ABP688, a novel selective and high affinity ligand for the labeling of mGlu5 receptors: Identification, in vitro pharmacology, pharmacokinetic and biodistribution studies. Bioorg. Med. Chem. 2007, 15, 903. [Google Scholar] [CrossRef]
- Pipal, R.W.; Stout, K.T.; Musacchio, P.Z.; Ren, S.; Graham, T.J.A.; Verhoog, S.; Gantert, L.; Lohith, T.G.; Schmitz, A.; Lee, H.S.; et al. Metallaphotoredox aryl and alkyl radiomethylation for PET ligand discovery. Nature 2021, 589, 542–547. [Google Scholar] [CrossRef]
- Wang, L.; Xia, Y.; Derdau, V.; Studer, A. Remote Site-Selective Radical C(sp3)-H Monodeuteration of Amides using D2O. Angew. Chem. Int. Ed. 2021, 60, 18645–18650. [Google Scholar] [CrossRef]
- Heys, J.R. Organoiridium complexes for hydrogen isotope exchange labeling. J. Label. Compd. Radiopharm. 2007, 50, 770–778. [Google Scholar] [CrossRef]
- Levernier, E.; Tatoueix, K.; Garcia-Argote, S.; Pfeifer, V.; Kiesling, R.; Gravel, E.; Feuillastre, S.; Pieters, G. Easy-to-Implement Hydrogen Isotope Exchange for the Labeling of N-Heterocycles, Alkylkamines, Benzylic Scaffolds, and Pharmaceuticals. JACS Au 2022, 2, 801–808. [Google Scholar] [CrossRef]
- Kopf, S.; Bourriquen, F.; Li, W.; Neumann, H.; Junge, K.; Beller, M. Recent Developments for the Deuterium and Tritium Labeling of Organic Molecules. Chem. Rev. 2022, 122, 6634–6718. [Google Scholar] [CrossRef] [PubMed]
- Heys, R. Investigation of [IrH2(Me2CO)2(PPh3)2]BF4 as a catalyst of hydrogen isotope exchange of substrates in solution. J. Chem. Soc. Chem. Commun. 1992, 9, 680–681. [Google Scholar] [CrossRef]
- Hesk, D.; Das, P.R.; Evans, B. Deuteration of acetanilides and other substituted aromatics using [Ir(COD)(Cy3P)(Py)]PF6 as catalyst. J. Label. Compd. 1995, 36, 497–502. [Google Scholar] [CrossRef]
- Brown, J.A.; Cochrane, A.R.; Irvine, S.; Kerr, W.J.; Mondal, B.; Parkinson, J.A.; Paterson, L.C.; Reid, M.; Tuttle, T.; Andersson, S.; et al. The Synthesis of Highly Active Iridium(I) Complexes and their Application in Catalytic Hydrogen Isotope Exchange. Adv. Synth. Catal. 2014, 356, 3551–3562. [Google Scholar] [CrossRef]
- Cochrane, A.R.; Irvine, S.; Kerr, W.J.; Reid, M.; Andersson, S.; Nilsson, G.N. Application of neutral iridium(I) N-heterocyclic carbene complexes in ortho-directed hydrogen isotope exchange. J. Label. Compd. Radiopharm. 2013, 56, 451–454. [Google Scholar] [CrossRef]
- Di Giuseppe, A.; Castarlenas, R.; Oro, L.A. Mechanistic considerations on catalytic H/D exchange mediated by organometallic transition metal complexes. Comptes Rendus Chim. 2015, 18, 713–741. [Google Scholar] [CrossRef]
- Cochrane, A.R.; Idziak, C.; Kerr, W.J.; Mondal, B.; Paterson, L.C.; Tuttle, T.; Andersson, S.; Nilsson, G.N. Practically convenient and industrially-aligned methods for iridium-catalysed hydrogen isotope exchange processes. Org. Biomol. Chem. 2014, 12, 3598. [Google Scholar] [CrossRef]
- Daniel-Bertrand, M.; Garcia-Argote, S.; Palazzolo, A.; Mustieles Marin, I.; Fazzini, P.F.; Tricard, S.; Chaudret, B.; Derdau, V.; Feuillastre, S.; Pieters, G. Multiple Site Hydrogen Isotope Labelling of Pharmaceuticals. Angew. Chem. Int. Ed. 2020, 59, 21114–21120. [Google Scholar] [CrossRef] [PubMed]
- Stork, C.M.; Weck, R.; Valero, M.; Kramp, H.; Gussregen, S.; Waldvogel, S.R.; Sib, A.; Derdau, V. Hydrogen Isotope Exchange by Homogeneous Iridium Catalysis in Aqueous Buffers with Deuterium or Tritium Gas. Angew. Chem. Int. Ed. 2023, 62, e202301512. [Google Scholar] [CrossRef]
- Yang, H.; Dormer, P.G.; Rivera, N.R.; Hoover, A.J. Palladium(II)-Mediated C-H Tritiation of Complex Pharmaceuticals. Angew. Chem. Int. Ed. 2018, 57, 1883–1887. [Google Scholar] [CrossRef]
- Zhao, D.; Petzold, R.; Yan, J.; Muri, D.; Ritter, T. Tritiation of aryl thianthrenium salts with a molecular palladium catalyst. Nature 2021, 600, 444–449. [Google Scholar] [CrossRef]
- Derdau, V.; Atzrodt, J.; Holla, W. H/D-exchange reactions with hydride-activated catalysts. J. Label. Compd. Radiopharm. 2007, 50, 295–299. [Google Scholar] [CrossRef]
- Derdau, V.; Atzrodt, J. C-H/C-D Exchange Reactions of Aromatic Compounds in D2O with NaBD4—Activated Catalysts. Synlett 2006, 2006, 1918–1922. [Google Scholar] [CrossRef]
- Martinez-Prieto, L.M.; Chaudret, B. Organometallic Ruthenium Nanoparticles: Synthesis, Surface Chemistry, and Insights into Ligand Coordination. Acc. Chem. Res. 2018, 51, 376–384. [Google Scholar] [CrossRef] [PubMed]
- Derdau, V.; Elmore, C.S.; Hartung, T.; McKillican, B.; Mejuch, T.; Rosenbaum, C.; Wiebe, C. The Future of (Radio)-Labeled Compounds in Research and Development within the Life Science Industry. Angew. Chem. Int. Ed. 2023, 62, e202306019. [Google Scholar] [CrossRef] [PubMed]
- Lepron, M.; Daniel-Bertrand, M.; Mencia, G.; Chaudret, B.; Feuillastre, S.; Pieters, G. Nanocatalyzed Hydrogen Isotope Exchange. Acc. Chem. Res. 2021, 54, 1465–1480. [Google Scholar] [CrossRef] [PubMed]
- Loh, Y.Y.; Nagao, K.; Hoover, A.J.; Hesk, D.; Rivera, N.R.; Colletti, S.L.; Davies, I.W.; MacMillan, D.W.C. Photoredox-catalyzed deuteration and tritiation of pharmaceutical compounds. Science 2017, 358, 1182–1187. [Google Scholar] [CrossRef]
- Yang, H.; Huang, Z.; Lehnherr, D.; Lam, Y.H.; Ren, S.; Strotman, N.A. Efficient Aliphatic Hydrogen-Isotope Exchange with Tritium Gas through the Merger of Photoredox and Hydrogenation Catalysts. J. Am. Chem. Soc. 2022, 144, 5010–5022. [Google Scholar] [CrossRef]
- Goodlad, R.A. Quantification of epithelial cell proliferation, cell dynamics, and cell kinetics in vivo. Wiley Interdiscip. Rev. Dev. Biol. 2017, 6, e274. [Google Scholar] [CrossRef]
- Griffiths, M.; Sundaram, H. Drug design and testing: Profiling of antiproliferative agents for cancer therapy using a cell-based methyl-[3H]-thymidine incorporation assay. Cancer Cell Cult. Methods Protoc. 2011, 731, 451–465. [Google Scholar] [CrossRef]
- Mewissen, D.J.; Furedi, M.; Ugarte, A.; Rust, J.H. Comparative incorporation of tritium from tritiated water versus tritiated thymidine, uridine or leucine. Curr. Top. Radiat. Res. Q. 1978, 12, 225–254. [Google Scholar] [PubMed]
- Nagao, S.; Ikegami, S.; Tanaka, A. Inhibition of macrophage DNA synthesis by immunomodulators. II. Characterization of the suppression by muramyl dipeptide or lipopolysaccharide [3H]thymidine incorporation into macrophages. Cell. Immunol. 1984, 89, 427–438. [Google Scholar] [CrossRef]
- Prasad, H.K.; Nath, I. Incorporation of 3H-thymidine in Mycobacterium leprae within differentiated human macrophages. J. Med. Microbiol. 1981, 14, 279–293. [Google Scholar] [CrossRef]
- Liu, Y.; Hong, L.; Yu, L.S.; Jiang, H.D.; Chen, J.Z.; Meng, Q.; Chen, S.Q.; Zeng, S. The role of ADME evaluation in translation research of innovative drug. Yao Xue Xue Bao 2011, 46, 19–29. [Google Scholar]
- Goodman, K.J.; Brenna, J.T. High sensitivity tracer detection using high-precision gas chromatography-combustion isotope ratio mass spectrometry and highly enriched [U-13C]-labeled precursors. Anal. Chem. 1992, 64, 1088–1095. [Google Scholar] [CrossRef] [PubMed]
- Loewe, C.; Atzrodt, J.; Reschke, K.; Schofield, J. Conception, realization and qualification of a radioactive clean room lab facility dedicated to the synthesis of radiolabeled API for human ADME studies. J. Label. Compd. Radiopharm. 2016, 59, 611–614. [Google Scholar] [CrossRef] [PubMed]
- Shaffer, C.L.; Gunduz, M.; Thornburgh, B.A.; Fate, G.D. Using a tritiated compound to elucidate its preclinical metabolic and excretory pathways in vivo: Exploring tritium exchange risk. Drug Metab. Dispos. 2006, 34, 1615–1623. [Google Scholar] [CrossRef] [PubMed]
- Sutherland, I.H.; Campbell, W.C. Development, pharmacokinetics and mode of action of ivermectin. Acta Leiden. 1990, 59, 161–168. [Google Scholar] [PubMed]
- Rotert, G.; Fan, L.; Shevchenko, V.P.; Nagaev, I.Y.; Myasoedov, N.F.; Susan, A.B. Syntheses of radiolabeled ABT-578 for ADME studies. J. Label. Compd. Radiopharm. 2006, 49, 849–856. [Google Scholar] [CrossRef]
- Sands, H.; Gorey-Feret, L.J.; Ho, S.P.; Bao, Y.; Cocuzza, A.J.; Chidester, D.; Hobbs, F.W. Biodistribution and metabolism of internally 3H-labeled oligonucleotides. II. 3′,5′-blocked oligonucleotides. Mol. Pharmacol. 1995, 47, 636–646. [Google Scholar]
- Solon, E.G. Autoradiography: High-resolution molecular imaging in pharmaceutical discovery and development. Expert Opin. Drug Discov. 2007, 2, 503–514. [Google Scholar] [CrossRef]
- Solon, E.G. Autoradiography techniques and quantification of drug distribution. Cell Tissue Res. 2015, 360, 87–107. [Google Scholar] [CrossRef]
- Stumpf, W.E. Drug localization and targeting with receptor microscopic autoradiography. J. Pharmacol. Toxicol. Methods 2005, 51, 25–40. [Google Scholar] [CrossRef]
- Ciprotti, M.; Chong, G.; Gan, H.K.; Chan, A.; Murone, C.; Macgregor, D.; Lee, F.T.; Johns, T.G.; Heath, J.K.; Ernst, M. Quantitative intratumoural microdistribution and kinetics of 131I-huA33 antibody in patients with colorectal carcinoma. EJNMMI Res. 2014, 4, 22. [Google Scholar] [CrossRef] [PubMed]
- Dewanjee, M.K. Radioiodination: Theory, Practice, and Biomedical Applications; Springer: New York, NY, USA, 1992; p. 399. [Google Scholar]
- Fernandes, E.F.A.; Palner, M.; Raval, N.R.; Jeppesen, T.E.; Dankova, D.; Baerentzen, S.L.; Werner, C.; Eilts, J.; Maric, H.M.; Doose, S.; et al. Development of Peptide-Based Probes for Molecular Imaging of the Postsynaptic Density in the Brain. J. Med. Chem. 2024, 67, 11975–11988. [Google Scholar] [CrossRef]
- Al-Jayyoussi, G.; Price, D.F.; Francombe, D.; Taylor, G.; Smith, M.W.; Morris, C.; Edwards, C.D.; Eddershaw, P.; Gumbleton, M. Selectivity in the impact of P-glycoprotein upon pulmonary absorption of airway-dosed substrates: A study in ex vivo lung models using chemical inhibition and genetic knockout. J. Pharm. Sci. 2013, 102, 3382–3394. [Google Scholar] [CrossRef] [PubMed]
- Panov, M.S.; Voskresenska, V.D.; Ryazantsev, M.N.; Tarnovsky, A.N.; Wilson, R.M. 5-Azido-2-aminopyridine, a new nitrene/nitrenium ion photoaffinity labeling agent that exhibits reversible intersystem crossing between singlet and triplet nitrenes. J. Am. Chem. Soc. 2013, 135, 19167–19179. [Google Scholar] [CrossRef] [PubMed][Green Version]
- Hett, E.C.; Kyne, R.E.; Gopalsamy, A.; Tones, M.A.; Xu, H.; Thio, G.L.; Nolan, E.; Jones, L.H. Selectivity determination of a small molecule chemical probe using protein microarray and affinity capture techniques. ACS Comb. Sci. 2016, 18, 611–615. [Google Scholar] [CrossRef]
- Vogensen, S.B.; Marek, A.; Bay, T.; Wellendorph, P.; Kehler, J.; Bundgaard, C.; Frølund, B.; Pedersen, M.H.F.; Clausen, R.P. New Synthesis and Tritium Labeling of a Selective Ligand for Studying High-Affinity γ-Hydroxybutyrate (GHB) Binding Sites. J. Med. Chem. 2013, 56, 8201–8205. [Google Scholar] [CrossRef]
- Anabuki, T.; Tsukahara, M.; Matsuura, H.; Takahashi, K. Tandem photoaffinity labeling of a target protein using a linker with biotin, alkyne and benzophenone groups and a bioactive small molecule with an azide group. Biosci. Biotechnol. Biochem. 2016, 80, 432–439. [Google Scholar] [CrossRef][Green Version]
- Jessen, K.A.; English, N.M.; Wang, J.Y.; Maliartchouk, S.; Drewe, J.; Kuemmerle, J.; Zhang, H.Z.; Tseng, B.; Cai, S.X.; Kasibhatla, S. The discovery and mechanism of action of novel tumor-selective and apoptosis-inducing 3,5-diaryl-1,2,4-oxadiazole series using a chemical genetics approach. Mol Cancer Ther. 2005, 4, 761–771. [Google Scholar] [CrossRef]
Disclaimer/Publisher’s Note: The statements, opinions and data contained in all publications are solely those of the individual author(s) and contributor(s) and not of MDPI and/or the editor(s). MDPI and/or the editor(s) disclaim responsibility for any injury to people or property resulting from any ideas, methods, instructions or products referred to in the content. |
© 2024 by the authors. Licensee MDPI, Basel, Switzerland. This article is an open access article distributed under the terms and conditions of the Creative Commons Attribution (CC BY) license (https://creativecommons.org/licenses/by/4.0/).









