Abstract
The aim of this work was to obtain and evaluate, as antiprotozoals, new derivatives of benzoate imidazo-1,3,4-thiadiazole 18–23 based on the concepts of molecular repositioning and hybridization. In the design of these compounds, two important pharmacophoric subunits of the fexnidazole prototype were used: metronidazole was used as a repositioning molecule, p-aminobenzoic acid was incorporated as a bridge group, and 1,3,4-thiadiazole group was incorporated as a second pharmacophore, which at position 5 has an aromatic group with different substituents incorporated. The final six compounds were obtained through a five-step linear route with moderate to good yields. The biological results demonstrated the potential of this new class of compounds, since three of them 19–21 showed inhibitory activity on proliferation, in the order of 50%, in the in vitro assay against epimastigotes of T. cruzi (Strain Y sensitive to nifurtimox and benznidazole) and promastigotes of L. donovani, at a single concentration of 50 μM.
1. Introduction
Millions of people around the world are affected by trypanosomatids; parasites that cause serious illnesses in those who suffer from them. In the Americas, these kinetoplastids cause Chagas disease (CD) (Trypanosoma cruzi) and Leishmaniasis caused by over 20 Leishmania species. These neglected tropical diseases (NTDs) reduce human potential and they are especially harmful in vulnerable populations [1].
CD or American trypanosomiasis is a neglected tropical disease (NTD) caused by a hemoflagellate protozoan known as Trypanosoma cruzi (T. cruzi) [1,2,3]. It is endemic in 21 countries, and an estimated 8 million people are infected with T. cruzi worldwide, mainly in Latin America, where it remains one of the most serious public health problems, resulting in more than 10,000 deaths per year [4].
It is mostly transmitted when humans come into contact with feces and/or urine of infected blood-sucking triatomine bugs (vector-borne transmission). Other routes of transmission have been identified and include blood transfusion and congenital infections. There are even reported cases of oral infection through ingestion of contaminated foods [1,2]. Because of immigration from South and Central America, hundreds of thousands of people in countries such as Canada and the United States of America, and in much of Europe and some of Africa, the Eastern Mediterranean, and the Western Pacific can also carry the disease [3].
The disease is characterized by two clinical phases. The short acute phase (2 months) is relatively rare, and no specific symptoms are detected, but it can be fatal in children. The chronic phase can remain latent, without symptoms and with low parasitism, for the rest of the patient’s life, or severe symptoms may develop after asymptomatic onset. Approximately 40% of infected individuals progress from the asymptomatic to symptomatic chronic phase, which is mainly characterized by cardiac disorders and up to 10% experience digestive, neurological, or mixed disorders [2,5].
Leishmaniasis caused by various species of the genus Leishmania, transmitted by sand flies, currently infects around 12 million people worldwide and is spreading, with ca. 0.7–1 million new cases and around 30,000 deaths annually. The disease comprises three major syndromes: cutaneous, mucocutaneous and visceral leishmaniasis. Dramatically, its visceral form has a 95% fatality rate among the poorest people in the world [6].
To date, there is no perspective on an efficacious vaccine against trypanosomiasis or leishmaniasis, the alternative is the development of safe and efficient molecules to treat this disease. Currently, two drugs developed in the 1970s have been clinically used as treatments for this disease: the nitroheterocyclic agents benznidazole (Bnz) and nifurtimox (Nfx) (Figure 1). Both drugs have high antiparasitic efficacy in the acute phase, including the cases of congenital transmission. However, they show low effectiveness and toxicity during the chronic phase and thus a high drop-out rate of patients due to these effects [7,8,9]. Fexinidazole (Fx) represents an important advance in CD drug discovery (Figure 1) [10,11].
Figure 1.
Structures for benznidazole (Bnz), nifurtimox (Nfx), and fexinidazole (Fx).
These molecules act as prodrugs and are metabolized to exert biological activity. Bnz bioactivation occurs through a series of nonenzymatic reactions producing toxic and highly reactive metabolites capable of modifying lipids, proteins, and T. cruzi DNA. Nfx is bioactivated through two sequential reductions of two electrons of the nitro group through type I nitroreductases (TcNTR), resulting in the fragmentation of the heterocyclic ring, producing nitriles that are toxic metabolites to the parasite [12,13].
Despite the great importance of nitroimidazoles as molecules with broad biological activity, the introduction of new congeners has been a challenge to overcome, which has been attributed in the discussions to the high degree of cytotoxicity, genotoxicity, and mutagenicity due to the low selectivity of nitro group bioreduction products, which also affect mammalian cells [14,15]. Several studies have been published where it has been attempted to separate the positive effects of this type of molecule from their toxicity [14,15,16]. Once the low toxicity to the host has been clarified, the use of tools provided by medicinal chemistry is allowed, such as bioisosterism, molecular simplification, and hybridization, to propose new bioactive molecules for this class of structures [17].
The main chemotherapy for the treatment of leishmaniasis has been based for over 60 years on the use of pentavalent antimonial drugs, meglumine antimoniate (glucantime™) or sodium stibogluconate (pentostam™) being the first-choice drugs, which are highly toxic. Second-line drugs used when patients do not respond to antimonial drugs are amphotericin B and miltefosine. In addition to toxicity, significant drawbacks such as length of treatment, complex route of administration, emergence of drug resistance, and costs limit their use in endemic areas (Figure 2) [18,19,20].
Figure 2.
Structures for glucantime, amphotericin B, and miltefosine.
Based on the concepts of repositioning and hybridization, which have proven to be successful for the development of biologically effective agents [21,22,23,24,25], we designed and synthesized the benzoate derivatives imidazo-1,3,4-thiadiazole 1–6, which were also subjected to preliminary evaluation as trypanocides. Metronidazole (Mtz), a heterocycle clinically employed in the treatment of diseases caused by protozoa, was used as a repositioning molecule [26]. The pharmacophoric subunits 5-nitroimidazole were preserved, p-aminobenzoic acid was used as a bridge group, and the 1,3,4-thiadiazole group was incorporated as a second pharmacophore (Figure 3). This heterocycle constitutes the central structure of numerous molecules used in medicine, agriculture, and chemical materials (Figure 4) [27,28,29,30]. This time, 1,3,4-thiadiazole at position 5 has an aromatic group with different substituents incorporated.
Figure 3.
General structures for the benzoates imidazo-1,3,4-thiadiazole 18–23.
Figure 4.
Some active substances placed on the market containing 1,3,4-thiadiazole.
2. Results and Discussion
2.1. Synthesis
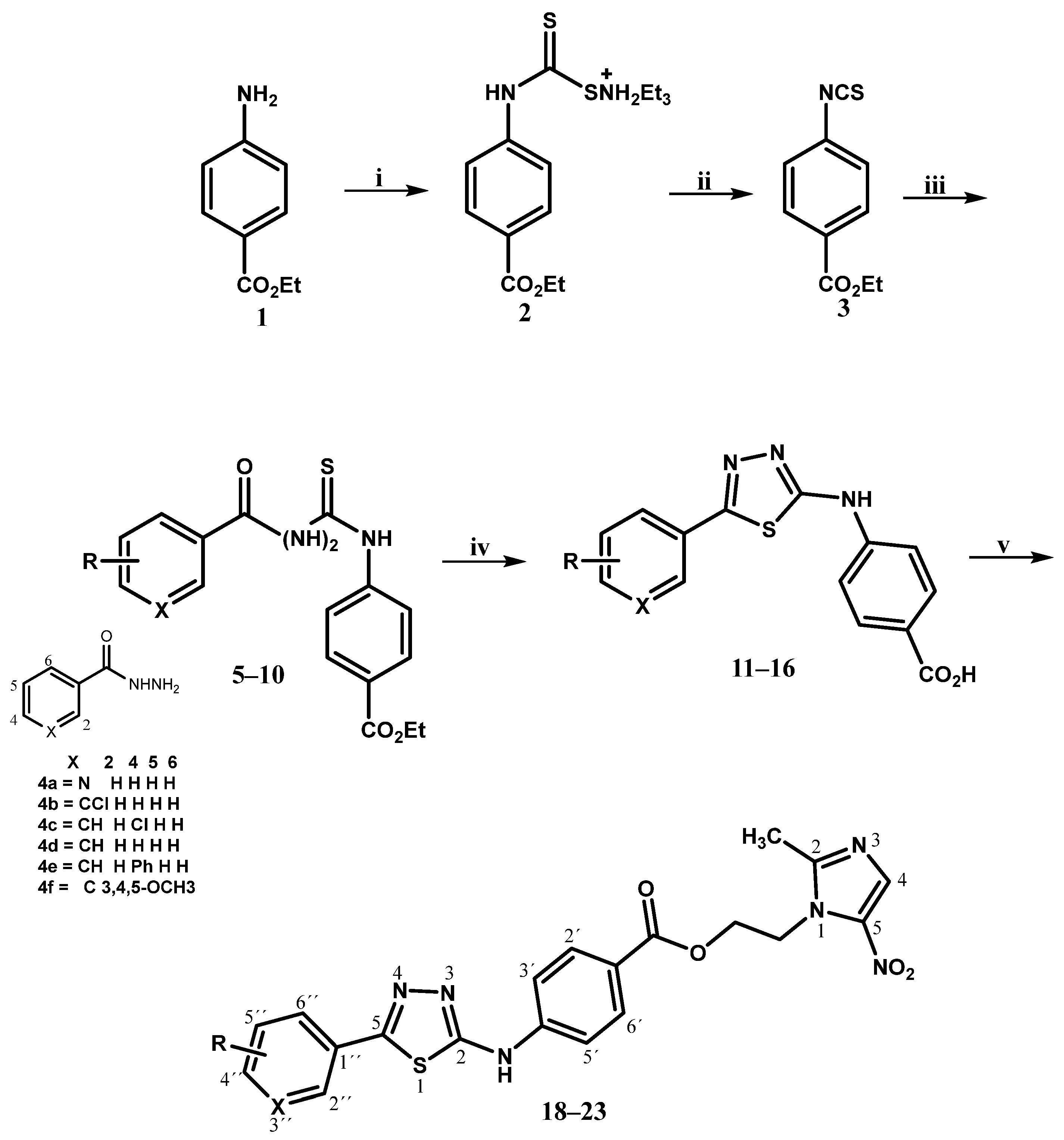
As shown in Scheme 1, the treatment of ethyl 4-aminobenzoate 1 with carbon disulfide in the presence of triethylamine led to the obtaining of the salt triethylammonium dithiocarbamate 2, which without prior characterization underwent an elimination reaction using triethylamine, methyl chloroformate, chloroform and room temperature [31]. 4-ethoxycarbonyl isothiocyanate 3 was obtained with excellent yield after purification through chromatographic column [32]. Following the proposed linear synthesis scheme, intermediate 3 was subjected to a reaction with the respective aromatic hydrazides 4a–f in an inert atmosphere to obtain the respective thiosemicarbazides 5–10 with a yield between 59–86% [33]. The formation of the 1,3,4-thiadiazole ring was promoted using concentrated sulfuric acid, which constitutes a modification of the methodology described [34], where the intramolecular attack of the sulfur atom on the carbonyl group activated by the strong reaction conditions is facilitated, which allows the obtaining of a mixture of the acid with a minimal portion of the non-hydrolyzed compound. We infer that acid hydrolysis is due to the small amount of water contained in the sulfuric acid used. To ensure complete hydrolysis, the mixture was subjected to a saponification process allowing intermediate compounds 11–16 to be obtained with yields above 70% [34]. The final compounds 18–23 were generated by a modified version of the Steglich esterification reaction, at room temperature, between acids 11–16 with Mtz 17 using N-(3-Dimethylamino propyl)-N′-ethyl carbodiimide (EDCI) hydrochloride and 4-(Dimethylamino)pyridine (DMAP) in DMF [35].
Scheme 1.
Synthesis of derivatives 18–23. i. Et3N, CS2, 72 h, rt ii. ClCO2Et, Et3N, CHCl3, rt iii. 4a–f, EtOH, 78 °C, 4 h iv. a. H2SO4, 0 °C ‣ rt, 24 h b. LiOH 2N, THF, H2O, 80 °C, 24 h v. EDCI, DMAP, DMF, Mtz 17, rt, 48 h.
| No | R2″ | X | R4″ | R5″ | R6″ |
| 18 | H | N | H | H | H |
| 19 | H | CCl | H | H | H |
| 20 | H | CH | Cl | H | H |
| 21 | H | CH | H | H | H |
| 22 | H | CH | Ph | H | H |
| 23 | H | COCH3 | OCH3 | OCH3 | H |
As a model to illustrate the discussion, the compound Benzoate of 2-(2-methyl-5-nitro-1H-imidazole-1-yl)-ethyl-4-[5-(4-chlorophenyl)-1,3,4-thiadiazole-2-yl]amino 20 was selected. This compound was obtained with a yield of 75%, as a white solid, soluble in DMSO, presenting a molecular formula C21H17ClN6O4S, with a melting point of 202–204 °C. The 1H NMR spectrum shows us in the high field a 2.45 ppm singlet, which integrates for 3H, which was assigned to the protons of the methyl group at position 2 of the imidazole, centered at 4.58 and 4.69 ppm. Two coupled triplets are observed, which integrate for 2H each, with coupling constants (J) around 5 Hz assigned to the CH2O and CH2N, respectively, of the ethyl chain attached to position 1 of imidazole, and the signals corresponding to the protons of the aromatic rings present an A′B′ pattern, appearing as centered doublets at 7.54, 7.72, 7.80 and 7.85 ppm with J in the order of 8 Hz. The signal corresponding to the proton at position 4 of the imidazole ring appears as a singlet at 8.02 ppm and finally, a brought singlet at 11.1 ppm was assigned to the amino group.
In the 13C NMR spectrum, the presence of the condensation product is also confirmed, based on the 17 signals corresponding to the carbon atoms that make up the aforementioned molecule, wherein the high field signals are seen at 14.4, 45.3 and 62.9 ppm assigned to the methyl group at position 2 of imidazole and CH2 bound to oxygen and nitrogen, respectively. The signals at 117.3, 128.9, 129.8, 131.1 ppm are assigned to the carbons of the two p-substituted aromatic systems and at 133.6 ppm the signal assigned is to the C-4 of the imidazole ring. These unambiguous assignments are based on the results of the DEPT 135° experiment. Other signals that were unequivocally assigned based on the analysis of the HMBC spectrum are 139.1 and 151.9 ppm assigned to imidazole carbons 5 and 2, respectively. The signals at 158.2, 163.9, and 165.3 ppm were assigned to carbons 5 and 2 of the thiadiazole ring and CO group of the ester, respectively. The signals at 122.3, 129.4, 135.5 and 145.1 ppm correspond to the quaternary carbons of the 1,4-substituted aromatic rings. For the unambiguous assignments, it was also necessary to study the analysis of the COSY HMQC, and HMBC spectra (Supplementary Information).
In the IR spectrum, intense bands were observed at 3273 and 3199 cm−1, corresponding to the N-H stretch. At 3114–3070 cm−1 characteristic bands of stretches =C-H of the aromatic zone can be seen, between 3000 and 2880 cm−1 characteristic bands of C-H stretches of the aliphatic zone appear, and at 1711 cm−1 there is a typical band of carbonyl carbon C=O of the ester and at 1613, 1480, 1271 cm−1 bands corresponding to the aromatic stretches (-C=C-) can be seen, and at 1271 cm−1 (C-O-C) (C=C) of the alkoxy groups is present in the molecule. The analytical data for all compounds are summarized in the experimental section.
2.2. Antiprotozoal Activity
The in vitro antiproliferative activity of final compounds 18–23 was evaluated after 72 h of incubation on epimastigotes of T. cruzi [36] and promastigotes of L. donovani at a single concentration of 50 μM. A drug-free control (negative control) was included and positive controls were Metronidazole (Mtz), Benznidazole (Bnz), Amphotericin B (Aph), and Nifurtimox (Nfx), (50 μM). The percentage of parasite proliferation inhibition was determined by quantitative metabolic staining with 3-(4,5-dimethyl-2-thiazoyl)-2,5-diphenyltetrazole (MTT) bromide, and the results are described in Figure 5 and Table 1 [37,38].
Figure 5.
Proliferation of T. cruzi epimastigotes and L. donovani promastigotes at a concentration of 50 μM for compounds 18–23. Metronidazole, Benznidazole, Amphotericin B and Nifurtimox as treatment control, U.C, untreated control of the parasites.
Table 1.
Antiproliferative activity (%) of compounds 18–23, Mtz, Aph, Nfx, and Bnz (50μM) after 72 h of incubation with T. cruzi epimastigotes and L. donovani promastigotes, and IC50 μM for compounds more actives.
The results show that the compounds presented antiprotozoal activity against T. cuzi and L. donovani, with the exception of compounds 18, 22 and 23 which presented an inhibition percentage of 17.44 ± 14.42, 7.00 ± 2.28, and 20.30 ± 6.73, respectively, on epimastigotes of T. cruzi, and compound 19 that showed an inhibition percentage of 31.77 ± 1.95 on promastigotes of L. donovani. The rest of the compounds (19, 20 and 21) presented an inhibition percentage on T. cruzi epimastigotes in the order of 50%, with IC50 = 56.34 μM, 51.70 μM and 55.48 μM, respectively. In addition, it can be observed that these three compounds are more potent than Bnz and four times more powerful than Mtz; however, they are less powerful than Nfx. Relative to the activity against promastigotes of L. donovani, compound 21 appeared to be more potent than amphotericin B, with an IC50 of 10.07 μM, and an inhibition percentage of 71.42 ± 5.28. The cytotoxicity of all compounds was evaluated on Vero cells by the MTT method and showed low toxicity on mammalian cells (Table 2). From the antiproliferative activities observed, it can be inferred that the hybridization process increased the potency of Mtz, particularly when position 5 of 1,3,4-thiadiazole is occupied by aromatic rings containing low-polarity substituent groups. In this case, with H and halogen atoms such as Cl, polar or bulky groups do not favor the increase in power.
Table 2.
Cytotoxicity on Vero cells of the hybrid molecules with imidazole-1,3,4-thiadiazole core.
3. Materials and Methods
IR spectra were determined using a Perkin-Elmer™ Spectrum two ATR spectrophotometer (Waltham, MA, USA) and are expressed in cm−1. The 1H and 13C NMR spectra were performed using a spectrometer NanalysisTM 100 MHz PRO Benchtop (Calgary, AB, Canada), JEOLTM Eclipse 270 (Akishima, Japan) or BrukerTM DRX-500 Avance spectrometer (Billerica, MA, USA) (at 100, 270, and 500 MHz for 1H and 25.8, 67.9, and 125 MHz for 13C) using CDCl3 or DMSO-d6 as the solvents, and are reported in ppm downfield from the residual CHCl3 δ 7.25 for 1H NMR and 77.0 for 13C NMR or DMSO δ 2.54 ppm for 1H NMR and 44.5 ppm for 13C NMR, respectively. Elemental analyses were achieved using a Perkin ElmerTM 2400 CHN elemental analyzer, and the results were within ±0.4% of the predicted values. Melting points were determined on a Fisher-Johns™ fusiometer (Thermo Fisher Scientific, Waltham, MA, USA) and were not corrected. Thin-layer chromatography (TLC) was carried out on MerckTM silica F254 0.255-mm plates (Darmstadt, Germany), and spots were visualized by UV fluorescence at 254 nm. Chemical reagents were obtained from Aldrich Chemical CoTM, St. Louis, MO, USA. All solvents were distilled and dried in the usual manner.
3.1. Synthesis of 4-Ethoxycarbonylphenylphenyl Isothiocyanate 3
A mixture of 3.75 g (22.7 mmol) of 4-aminobenzoate ethyl 1 in 75 mL of freshly distilled triethylamine was stirred at room temperature (rt) for 15 min, after which 1.5 mL (24.8 mmol) of carbon disulfide was added drop by drop. The mixture was stirred to rt for a time of 24 h, the solid formed was filtered and washed with cold diethyl ether, then it was subjected to vacuum drying at rt for 10 h, producing 6.05 g, 78% of the crude product 4-Ethoxycarbonylphenyltriethyllammonium thiocarbamate 2, which without prior purification 2.53 g (7.39 mmol) was dissolved in a mixture formed by freshly distilled chloroform 60 mL and 1 mL of triethylamine (7.18 mmol) being subjected to agitation at 0 °C for 30 min. Drop by drop, 0.6 mL (7.75 mmol) of ethyl chloroformate was added. Once the addition was finished, the mixture was allowed to reach rt and the agitation was continued for 24 h, after the reaction the mixture was washed with two portions of HCl 1N 25 mL and then with two portions of a solution saturated with sodium bicarbonate, the organic phase was washed with aqueous solution saturated with NaCl. It was dried in anhydrous magnesium sulfate, filtered, and solvent was removed at reduced pressure. The solid obtained was purified using a chromatographic column using a mixture of hexane: ethyl acetate (97:3) as an eluent, to give a white solid with a yield of 1.29 g, 86%, m.p. 55 °C (Lit. 56–58) [32]. IR (cm−1): 3100–3070 (CHarom), 3000–2910 (CHali), 2100 (NCS), 1710 (C=O), 1600 (C=C), 1280 (C-O). 1H NMR (100 MHz, CDCl3) δ ppm: 1,38 (t, 3H, CH3, J = 7 Hz), 4.40 (q, 2H, CH2, J = 7 Hz), 7.30 (d, 2H, H2,6, J = 8 Hz), 8.08 (d, 2H, H3,5, J = 8 Hz). 13C NMR (25.8 MHz, CDCl3) δ ppm: 11.8, 58.9, 123.1, 126.6, 128.5, 131.3, 134.9, 162.9. Anal. Calcd for C10H9NO2S: C, 57.96; H, 4.38; N, 6.76; S, 15.47. Found: C, 58.01, H, 4.39; N, 6.93; S, 15.32.
3.2. General Procedure for the Synthesis of Thiosemicarbazides 5–10
To a mixture of intermediate 3, 0.3 g (1.45 mmol) in 25 mL of dry ethanol, 1 equivalent of the hydrazides 4a–f was added, and the mixture was subjected to reflux with constant agitation for 4 h, after the reaction time was taken to rt, the formed solid was filtered, washed with diethyl ether and dried at 40 °C for 24 h.
- Ethyl 4-(2-nicotinoylhydrazine-1-carbothioamido)benzoate (5). Solid beige, yield: 74%, mp: 200–202 °C. IR (cm−1): 3361 (NH), 3181 (CHarom), 2979 (CHali), 1710 (C=O), 1656 (C=O), 1601 (C=C), 1366 (NCS), 1273 (C-O). 1H NMR (100 MHz, DMSO d6) δ ppm: 1.35 (t, 3H, CH3, J = 7 Hz), 4.34 (q, 2H, CH2O, J = 7 Hz), 7.58 (dd, 1H, H5″, J = 7 Hz), 7.75 (d, 2H, H2′,6′, J = 8 Hz), 7.97 (d, 2H, H3′,5′, J = 8 Hz), 8.32 (d, 1H, H4″, J = 7 Hz), 8.79 (d, 1H, H6″, J = 5 Hz), 9.15 (s, 1H, H2″), 10.07 (brs, 2H, NH), 10.80 (brs, 1H, NH). 13C NMR (25.8 MHz, DMSO d6) δ ppm: 14.7, 61.1, 123.9, 124.8, 126.4, 128.7, 129.7, 136.0, 144.2, 149.4, 152.9, 165.2, 165.9, 181.8. Calcd for C16H16N4O3S: C, 55.80; H, 4.68; N, 16.27; S, 9.31. Found: C, 55.82; H, 4.67; N, 16.35; S, 9.43.
- Ethyl 4-[2-(3-chlorobenzoyl)hydrazine-1-carbothioamido]benzoate (6). White solid, yield: 62%, mp: 188–190 °C. IR (cm−1): 3317 (NH), 3160 (CHarom), 2981 (CHali), 1718 (C=O), 1634 (C=O), 1610 (C=C), 1352 (NCS), 1282 (C-O). 1H NMR (100 MHz, DMSO d6) δ ppm: 1.36 (t, 3H, CH3, J = 7 Hz), 4.38 (q, 2H, CH2O, J = 7 Hz), 7.50–8.05 (m, 8H, Ar), 9.95 (brs, 1H, NH), 10.06 (brs, 1H, NH), 10.72 (brs, 1H, NH). 13C NMR (25.8 MHz, DMSO d6) δ ppm: 14.7, 61.0, 124.6, 127.1, 128.2, 129.7, 130.8, 132.2, 133.6, 135.0, 144.3, 165.2, 181.8. Calcd for C17H16ClN3O3S: C, 54.04; H, 4.27; N, 11.12; S, 8.49. Found: C, 53.97, H, 4.32; N, 11.29; S, 8.73.
- Ethyl 4-[2-(4-chlorobenzoyl)hydrazine-1-carbothioamido]benzoate (7). White solid, yield: 59%, mp: 185–186 °C. IR (cm−1): 3300, 3211 (NH), 3174 (CHarom), 2975 (CHali), 1715 (C=O), 1612 (C=C), 1338 (NCS), 1277 (C-O). 1H NMR (100 MHz, DMSO d6) δ ppm: 1.28 (t, 3H, CH3, J = 7 Hz), 4.27 (q, 2H, CH2O, J = 7 Hz), 7.57 (d, 2H, H2′,6′, J = 8 Hz), 7.68 (brs, 2H, H3″,5″), 7.89 (d, 2H, H3′,5′, J = 8 Hz), 7.94 (d, 2H, H2″,6″, J = 8 Hz), 9.93 (brs, 1H, NH), 10.02 (brs, 1H, NH), 10.67 (brs, 1H, NH). 13C NMR(125 MHz, DMSO d6) δ ppm: 14.7, 61.1, 125.6, 126.6, 128.9, 129.6, 130.3, 131.7, 137.3, 144.2, 165.9, 180.2. Calcd for C17H16ClN3O3S: C, 54.04; H, 4.27; N, 11.12; S, 8.49. Found: C, 54.11, H, 4.29; N, 11.35; S, 8.61.
- Ethyl 4-(2-benzoylhydrazine-1-carbothioamido)benzoate (8). White solid, yield: 81%, mp: 176–178 °C. IR (cm−1): 3300 (NH), 3211 (NH), 3174 (CHarom), 2975 (CHali), 1698 (C=O), 1604 (C=C), 1338 (CNS), 1280 (C-O). 1H NMR (500 MHz, DMSO d6) δ ppm: 1.39 (t, 3H, CH3, J = 7 Hz), 4.36 (q, 2H, CH2O, J = 7 Hz), 7.53 (t, 1H, H4″, J = 8 Hz), 7.62–7.64 (m, 4H, Ar), 7.86 (d, 2H, H3′,5′, J = 8 Hz), 8.00–8.02 (m, 2H, Ar), 9.21 (brs, 1H, NH), 10.24 (brs, 1H, NH), 10.67 (brs, 1H, NH). 13C NMR (125 MHz, DMSO d6) δ ppm: 14.7, 61.0, 125.5, 126.6, 128.4, 128.8, 129.5, 132.4, 144.3, 165.9, 180.7. Calcd for C17H17N3O3S: C, 59.46; H, 4.99; N, 12.24; S, 9.34. Found: C, 59.53, H, 5.10; N, 12.41; S, 9.57.
- Ethyl 4-{2-[(1,1′-biphenyl)-4-carbonyl]hydrazine-1-carbothioamido}benzoate (9). White solid, yield: 78%, mp: 190–192 °C. IR (cm−1): 3307 (NH), 3254 (NH), 3152 (CHarom), 2981 (CHali), 1693 (C=O), 1659 (C=O), 1603 (C=C), 1284 (C-O). 1H NMR (500 MHz, DMSO d6) δ ppm: 1.25 (t, 3H, CH3, J = 7 Hz), 4.23 (q, 2H, CH2O, J = 7 Hz), 7.37 (t, 1H, 4′′′, J = 8 Hz), 7.45 (t, 2H, H3′′′, 5′′′, J = 8 Hz), 7.66 (d, 2H, H2′′′, 6′′′), 7.74 (d, 4H, H2″,6″,2′,6′, J = 8 Hz), 7.87 (d, 2H, Ar), 7.97 (d, 2H, H3′,5′, J = 8 Hz), 9.84 (brs, 1H, NH), 9.99 (brs, 1H, NH), 10.62 (brs, 1H, NH). 13C NMR (125 MHz, DMSO d6) δ ppm: 14.5, 61.4, 127.0, 128.8, 129.6, 139.3, 144.1, 166.2, 180.1. Calcd for C23H21N3O3S: C, 65.85; H, 5.05; N, 10.02; S, 7.64. Found: C, 65.91, H, 5.07; N, 9.87; S, 7.85.
- Ethyl 4-[2-(3,4,5-trimethoxybenzoyl)hydrazine-1-carbothioamido]benzoate (10). White solid, yield: 86%, mp: 196–198 °C. IR (cm−1): 3314 (NH), 3277 (NH), 3161 (CHarom), 2984 (CHali), 1728 (C=O), 1663 (C=C), 1610 (C=C), 1281 (C-O). 1H NMR (100 MHz, DMSO d6) δ ppm: 1.35 (t, 3H, CH3, J = 7 Hz), 3.77 (s, 3H, OCH3), 3.88 (s, 6H, OCH3), 4.33 (c, 2H, CH2O, J = 7 Hz), 7.33 (s, 2H, H2″,6″,), 7.74 (d, 2H, H2′,6′, J = 8 Hz), 7.95 (d, 2H, H3′,5′, J = 8 Hz), 10.02 (brs, 2H, NH), 10.54 (brs, 1H, NH). 13C NMR (25.8 MHz, DMSO d6) δ ppm: 14.7, 56.7, 60.8, 61.0, 106.2, 124.5, 127.9, 129.7, 144.3, 153.1, 165.8, 180.7. Calcd for C20H23N3O6S: C, 55.42; H, 5.35; N, 9.69; S, 7.40. Found: C, 55.29, H, 5.37; N, 9.93; S, 7.61.
3.3. General Procedure for the Synthesis of 4-[(1,3,4-Thiadiazol-2-yl)amino]benzoic Acid Derivatives 11–16
To one equivalent of thiosemicarbazide 5–10 in an ice bath was added drop to drop 5 mL of cold concentrated H2SO4, after the addition the ice bath was removed, allowing it to react to rt and with constant agitation for 24 h. After the reaction time, ice was added to the mixture, and the solid obtained was filtered by suction and washed with small portions of distilled water and diethyl ether, then dried in a vacuum oven at 40 °C for 24 h. The solid obtained was dissolved in 5 mL of tetrahydrofuran (THF), then 5 mL of a 2N LiOH solution was added, and the mixture was refluxed under constant agitation at 80 °C for 24 h. The solution obtained was washed 3 times with aliquots of 10 mL of CHCl3, discarding the organic phase in each case. The aqueous phase was acidified with 20% HCl to a pH of 4–5. The solid obtained corresponding to the acid thiadiazoles was filtered by suction and then dried in a vacuum oven, at 40 °C for 24 h.
- 4-{[5-(Pyridin-3-yl)-1,3,4-thiadiazol-2-yl]amino}benzoic Acid (11). White solid, purification by recrystallization in ethanol–water, yield: 87%, mp: >300 °C. IR (cm−1): 3252 (NH), 3187 (NH), 3056 (CHarom), 2741 (OH), 1681 (C=O), 1601 (C=C), 1557 (C=N), 1418 (OH), 1268 (C-O). 1H NMR (500 MHz, DMSO d6) δ ppm: 7.55 (t, 1H, H5″, J = 5 Hz), 7.72 (d, 2H, H3′,5′, J = 8 Hz), 7.92 (d, 2H, H2′,6′, J = 8 Hz), 8.23 (d, 1H, H4″, J = 7 Hz), 8.65 (brs, 1H, H6″), 9.02 (brs, 1H, H2″), 10.99 (brs, 1H, COOH). 13C NMR (125 MHz, DMSO d6) δ ppm: 117.3, 124.9, 131.3, 133.6, 134.8, 139.1, 147.7, 151.5, 156.5, 161.1, 167.4. Calcd for C14H10N4O2S: C, 56.37; H, 3.38; N, 18.78; S, 10.75. Found: C, 56.31, H, 3.39; N, 18.95; S, 10.67.
- 4-{[5-(3-Chlorophenyl)-1,3,4-thiadiazol-2-yl]amino}benzoic Acid (12). Light yellow solid, purification by recrystallization in ethanol–water, yield: 75%, mp: 232–234 °C. IR (cm−1): 3255 (NH), 3187 (NH), 3056 (CHarom), 2981 (OH), 1674 (C=O), 1605 (C=C), 1553 (C=N), 1422 (OH), 1293 (C-O). 1H NMR (500 MHz, DMSO d6) δ ppm: 7.50–755 (m, 2H, H4″,6″), 7.75 (d, 2H, H3′,5′, J = 8 Hz), 7.79 (t, 1H, H5″, J = 8 Hz), 7.88 (s, 1H, H2″), 7.93 (d, 2H, H2′,6′, J = 8 Hz), 11.11 (brs, 1H, COOH). 13C NMR (125 MHz, DMSO d6) δ ppm: 117.3, 124.4, 126.2, 126.5, 130.6, 131.3, 131.7, 132.5, 134.4, 144.5, 157.6, 164.4, 167.4. Calcd for C15H10ClN3O2S: C, 54.30; H, 3.04; N, 12.67; S, 9.66. Found: C, 54.38, H, 2.98; N, 12.63; S, 9.78.
- 4-{[5-(4-Chlorophenyl)-1,3,4-thiadiazol-2-yl]amino}benzoic Acid (13). White solid, purification by recrystallization in ethanol–water, yield: 71%, mp: > 300 °C. IR (cm−1): 3248 (NH), 3187 (NH), 3174 (CHarom), 2920 (OH), 1640 (C=O), 1560 (C=N), 1480 (C=C), 1240 (C-O). 1H NMR (270 MHz, DMSO d6) δ ppm: 7.59 (d, 2H, Ar), 7.76 (d, 2H, H3′,5′, J = 8 Hz), 7.90 (d, 2H, Ar, J = 8 Hz), 7.97 (d, 2H, H2′,6′, J = 8 Hz), 10.98 (brs, 1H, NH), 12.70 (brs, 1H, COOH). 13C NMR (67.9 MHz, DMSO d6) δ ppm: 117.3, 124.4, 129.1, 129.5, 129.9, 131.4, 135.5, 144.6, 158.2, 164.2, 167.5. Calcd for C15H10ClN3O2S: C, 54.30; H, 3.04; N, 12.67; S, 9.66. Found: C, 54.27, H, 3.09; N, 12.81; S, 9.93.
- 4-[(5-Phenyl-1,3,4-thiadiazol-2-yl)amino]benzoic Acid (14). White crystalline solid, purification by recrystallization in ethanol–water, yield: 95%, mp: >300 °C. IR (cm−1): 3281 (NH), 3207 (NH), 3089 (CHarom), 2981 (OH), 1689 (C=O), 1611 (C=C), 1501 (OH), 1249 (C-O). 1H NMR (270 MHz, DMSO d6) δ ppm: 7.50–7.52 (m, 3H, Ar), 7.78 (d, 2H, H2′,6′, J = 8 Hz), 7.88–7.89 (m, 2H, Ar), 7.96 (d, 2H, H3′,5′, J = 8 Hz), 10.98 (brs, 1H, NH), 12.29 (brs, 1H, COOH). 13C NMR (67.9 MHz, DMSO d6) δ ppm: 117.3, 124.5, 127.5, 129.9, 130.7, 131.0, 131.4, 144.8, 159.2, 163.9, 167.5. Calcd for C15H11N3O2S: C, 60.59; H, 3.73; N, 14.13; S, 10.78. Found: C, 60.64, H, 3.73; N, 14.47; S, 10.87.
- 4-{[5-((1,1’-Biphenyl)-4-yl)-1,3,4-thiadiazol-2-yl]amino}benzoic Acid (15). White crystalline solid, purification by recrystallization in ethanol–water, yield: 84%, mp: >300 °C. IR (cm−1): 3281 (NH), 3207 (NH), 3089 (CHarom), 2981 (OH), 1689 (C=O), 1611 (C=C), 1501 (OH), 1249 (C-O). 1H NMR (500 MHz, DMSO d6) δ ppm: 7.68–7.72 (m, 5H, Ar), 7.75 (d, 2H, H3′,5′, J = 8 Hz), 7.82 (d, 2H, H3″,5″, J = 8 Hz), 7.93–7.95 (m, 4H, Ar), 10.90 (brs, 1H, COOH). 13C NMR (125 MHz, DMSO d6) δ ppm: 117.2, 126.5, 126.8, 127.9, 128.0, 129.7, 131.3, 139.4, 141.9, 148.5, 158.7, 163.9, 167.6. Calcd for C21H15N3O2S: C, 67.54; H, 4.05; N, 11.25; S, 8.59. Found: C, 67.43, H, 3.97; N, 11.43; S, 8.71.
- 4-{[5-(3,4,5-Trimethoxyphenyl)-1,3,4-thiadiazol-2-yl]amino}benzoic Acid (16). Brown solid, purification by recrystallization in ethanol–water, yield: 91%, mp: >300 °C. IR (cm−1): 3249 (NH), 3199 (NH), 3048 (CHarom), 2982 (OH), 1687 (C=O), 1601 (C=C), 1415 (OH), 1286 (C-O). 1H NMR (500 MHz, DMSO d6) δ ppm: 3.67 (s, 3H, OCH3), 3.79 (s, 3H, OCH3), 3.81 (s, 3H, OCH3), 6.09–7.06 (m, 3H, Ar), 7.75 (d, 2H, H2′,6′, J = 8 Hz), 11.54 (brs, 1H, COOH). 13C NMR (125 MHz, DMSO d6) δ ppm: 56.5, 56.6, 60.9, 104.8, 117.1, 120.8, 123.8, 126.1, 131.2, 138.4, 144.8, 148.6, 153.7, 159.7, 163.7, 167.6. Calcd for C18H17N3O5S, C, 55.81; H, 4.42; N, 10.85; S, 8.28. Found: C, 55.78, H, 4.49; N, 11.09; S, 8.53.
3.4. General Procedure for the Synthesis of 2-(2-Methyl-5-nitro-1H-imidazol-1-yl)ethyl 4-[(5-phenyl-1,3,4-thiadiazol-2-yl)amino]benzoate Derivatives 18–23
A mixture of 1.0 equivalent of the corresponding acid 11–16 in 5 mL of dry dimethylformamide (DMF) was stirred to rt for 10 min, then 1-Ethyl-3-(3-dimethylaminopropyl)carbodiimide hydrochloride (EDCI) (1.5 equivalents) was added. The resulting mixture was stirred at 0 °C for 30 min, then 4-dimethylamine pyridine (DMAP) 5% and metronidazole 17 (1 equivalent) dissolved in 2 mL of dry DMF were added. The reaction mixture was left under an inert atmosphere at rt and constant agitation for 24 h. After this time, the mixture was washed with three portions of 20 mL of 10% NaHCO3, then with water and aqueous solution saturated with NaCl, dried on anhydrous sodium sulfate, filtered, the organic phase was eliminated at reduced pressure. The solid formed was washed with diethyl ether, and drying was carried out at reduced pressure at 40 °C for 24 h.
- 2-(2-Methyl-5-nitro-1H-imidazol-1-yl)ethyl-4-[(5-(pyridin-3-yl)-1,3,4-thiadiazol-2-yl]amino)benzoate (18). Beige solid, recrystallization from ethanol–water, yield: 55%, mp: 232–234 °C. IR (cm−1): 3273 (NH), 3199 (NH), 3057 (CHarom), 3000–2800 (CHali), 1715 (C=O), 1610 (C=C), 1491 (C=C), 1270 (C-O). 1H NMR (500 MHz, DMSO d6) δ ppm: 2.45 (s, 3H, CH3), 4.59 (t, 2H, CH2O, J = 5 Hz), 4.70 (t, 2H, CH2N, J = 5 Hz), 7.54 (m, 1H, H5”), 7.74 (d, 2H, H3′,5′, J = 9 Hz), 7.84 (d, 2H, H2′,6′, J = 9 Hz), 8.03 (s, 1H, H3), 8.25 (m, 1H, H4”), 8.67 (s, 1H, H2”), 9.05 (m, 1H, H6″), 11.06 (brs, 1H, NH). 13C NMR (125 MHz, DMSO d6) δ ppm: 14.4, 45.3, 62.9, 117.4, 122.4, 131.1, 133.6, 134.7, 145.1, 147.9, 151.6, 156.5, 164.3, 165.3. Calcd for C20H17N7O4S: C, 53.21; H, 3.80; N, 21.72; S, 7.10. Found: C, 53.32, H, 3.86; N, 21.84; S, 6.91.
- 2-(2-Methyl-5-nitro-1H-imidazol-1-yl)ethyl-4-{[5-(3-chlorophenyl)-1,3,4-thiadiazol-2-yl]amino}benzoate (19). White solid, recrystallization from ethanol–water, yield: 40%, mp: 202–204 °C. IR (cm−1): 3327 (NH), 3199 (NH), 3140–3070 (CHarom), 3000–2800 (CHali), 1690 (C=O), 1604 (C=C), 1496 (C=C), 1276 (C-O). 1H NMR (500 MHz, DMSO d6) δ ppm: 2.48 (s, 3H, CH3), 4.62 (t, 2H, CH2O, J = 5 Hz), 4.73 (t, 2H, CH2N, J = 5 Hz), 7.43 (m, 1H, H5”), 7.47 (d, 2H, H3′,5′, J = 8 Hz), 7.48 (m, 1H, H4″), 7.80 (d, 2H, H2′,6′, J = 8 Hz), 7.91 (m, 2H, H4, H6″), 7.95 (s, 1H, H2″), 11.01 (brs, 1H, NH). 13C NMR (125 MHz, DMSO d6) δ ppm: 14.7, 43.7, 62.3, 116.7, 120.1, 134.9, 129.0, 131.7, 132.9, 134.7, 134.8, 138.4, 144.0, 151.7, 152.7, 165.9, 174.1. Calcd for C21H17ClN6O4S: C, 52.02; H, 3.53; N, 17.33; S, 6.61. Found: C, 51.93, H, 3.61; N, 17.62; S, 6.87.
- 2-(2-Methyl-5-nitro-1H-imidazol-1-yl)ethyl-4-{[5-(4-chlorophenyl)-1,3,4-thiadiazol-yl]amino}benzoate (20). Beige solid, recrystallization from ethanol–water, yield: 54%, mp: 242–244 °C. IR (cm−1): 3273 (NH), 3199 (NH), 3114–3070 (CHarom), 3000–2800 (CHali), 1711 (C=O), 1613 (C=C), 1480 (C=C), 1271 (C-O). 1H NMR (500 MHz, DMSO d6) δ ppm: 2.45 (s, 3H, CH3), 4.58 (t, 2H, CH2O, J = 5 Hz), 4.69 (t, 2H, CH2N, J = 5 Hz), 7.54 (d, 2H, H3”,5”, J = 8,5 Hz), 7.72 (d, 2H, H3′,5′, J = 8.5 Hz), 7.80 (d, 2H, H2′,6′, J = 8.5 Hz), 7.85 (d, 2H, H2”,6”, J = 8.5 Hz), 8.02 (s, 1H, H4), 11.1 (brs, 1H, NH). 13C NMR (125 MHz, DMSO d6) δ ppm: 14.4, 45.3, 62.9, 117.3, 122.3, 128.9, 129.4, 129.8, 131.1, 133.6, 135.5, 139.1, 145.1, 151.9, 158.2, 163.9, 165.3. Calcd for C21H17ClN6O4S: C, 52.02; H, 3.53; N, 17.33; S, 6.61. Found: C, 52.17, H, 3.54; N, 17.29; S, 6.94.
- 2-(2-Methyl-5-nitro-1H-imidazol-1-yl)ethyl-4-[(5-phenyl-1,3,4-thiadiazol-2-yl)amino]benzoate (21). Beige solid, recrystallization from ethanol–water, yield: 60%, mp: 240–242 °C. IR (cm−1): 3277 (NH), 3200 (NH), 3120–3072 (CHarom), 2970 (CHali), 1702 (C=O), 1611 (C=C), 1492 (C=C), 1286 (C-O). 1H NMR (500 MHz, DMSO d6) δ ppm: 2.46 (s, 3H, CH3), 4.60 (t, 2H, CH2O, J = 5 Hz), 4.71 (t, 2H, CH2N, J = 5 Hz), 7.49–7.58 (m, 2H, Ar), 7.74 (d, 2H, H3′,5′, J = 8.5 Hz), 7.83 (d, 2H, H2′,6′, J = 8.5 Hz), 7.85–7.87 (m, 3H, Ar), 10.92 (brs, 1H, NH). 13C NMR (125 MHz, DMSO d6) δ ppm: 14.4, 45.3, 62.9, 117.3, 122.3, 127.4, 129.8, 129.9, 130.6, 130.9, 131.1, 133.6, 145.3, 159.4, 163.8, 165.4. Calcd for C21H18N6O4S: C, 55.99; H, 4.03; N, 18.66; S, 7.12. Found: C, 56.075, H, 4.01; N, 18.83; S, 7.37.
- 2-(2-Methyl-5-nitro-1H-imidazol-1-yl)ethyl-4-{[5-((1,1’-biphenyl)-4-yl)-1,3,4-thiadiazol-2-yl]amino}benzoate (22). Light yellow solid, recrystallization from ethanol–water, yield: 60%, mp: >300 °C. IR (cm−1): 3327 (NH), 3199 (NH), 3140 (CHarom), 3000–2800 (CHali), 1690 (C=O), 1604 (C=C), 1496 (C=C), 1276 (C-O). 1H NMR (500 MHz, DMSO d6) δ ppm: 2.49 (s, 3H, CH3), 4.61 (t, 2H, CH2O, J = 4.5 Hz), 4.74 (t, 2H, CH2N, J = 4.5 Hz), 7.70 (m, 5H, H Ar), 7.84 (d, 2H, H3′,5′, J = 8.5 Hz), 7.88 (2d, 4H, H Ar), 7.93 (d, 2H, H2’,6’, J = 8.5 Hz), 8.05 (s, 1H, H4), 11.04 (brs, 1H, NH). 13C NMR (125 MHz, DMSO d6) δ ppm: 14.3, 44.7, 62.4, 117.5, 121.8, 127.6, 127.9, 129.2, 129.9, 130.7, 132.9, 138.4, 140.6, 145.3, 151.4, 152.1, 163.4, 165.8. Calcd for C27H22N6O4S: C, 61.59; H, 4.21; N, 15.96; S, 6.09. Found: C, 61.75, H, 3.97; N, 15.83; S, 7.28.
- 2-(2-Methyl-5-nitro-1H-imidazol-1-yl)ethyl-4-{[5-(3,4,5-trimethoxyphenyl)-1,3,4-thiadiazol-2-yl]amino}benzoate (23). Yellow solid, recrystallization from ethanol–water, yield: 66%, mp: 252 °C. IR (cm−1): 3278 (NH), 3192 (NH), 3061 (CHarom), 3000–2820 (CHali), 1731 (C=O), 1604 (C=C), 1496 (C=C), 1267 (C-O). 1H NMR (500 MHz, DMSO d6) δ ppm: 2.48 (s, 3H, CH3), 3.70 (s, 3H, OCH3), 3.84 (s, 6H, OCH3), 4.59 (t, 2H, CH2O, J = 5 Hz), 4.70 (t, 2H, CH2N, J = 5 Hz), 7.12 (s, 2H, H6”), 7.39 (d, 2H, H3’,5’, J = 8 Hz), 7.74 (d, 2H, H2’,6’, J = 8 Hz), 8.11 (s, 1H, H4), 11.06 (brs, 1H, NH). 13C NMR (125 MHz, DMSO d6) δ ppm: 14.3, 45.2, 56.1, 60.8, 62.3, 105.3, 117.8, 122.1, 127.3, 130.7, 132.2, 138.4, 139.2, 144.8, 147.4, 152.7, 153.4, 164.5, 165.7. Calcd for C24H24N6O7S: C, 53.33; H, 4.48; N, 15.55; S, 5.93. Found: C, 53.37, H, 4.52; N, 15.71; S, 6.25.
3.5. Biology
3.5.1. Biological Material
Trypanosoma cruzi epimastigotes (Y strain (TCII)) were used [36], with culture in axenic conditions in liver infusion tryptose medium (LIT) supplemented with 10% inactive fetal bovine serum, by weekly ringing at 28 °C. Parasites were collected in the logarithmic phase of growth before the experiments.
Leishmania donovani promastigotes (LD51 strain) were grown in liver infusion tryptose medium (LIT), with 100% inactive fetal bovine serum. Parasites were collected in the logarithmic phase of growth before the experiments.
3.5.2. In Vitro Evaluation of the Effect of Derivatives 17–22 on the Proliferation of Epimastigotes of Trypanosoma cruzi: MTT Test
It was arranged in plates of 96 wells, 2 × 105 epimastigotes per well and incubated at 28 °C for 24 h. Subsequently, the compounds to be evaluated, dissolved in DMSO (0.1% final), were added at a single concentration of 50 μM. A drug-free control (negative control) was included, and benznidazole and nifurtimox were included as positive controls. To select those compounds active on T. cruzi epimastigotes, it was incubated for 72 h after the compounds to be evaluated were added and then MTT (5 mg/mL), dissolved in Phosphate buffered saline (PBS), was added and incubated for 4 h in the dark. Finally, the cells were lysed with DMSO and the plate was read in a spectrophotometer at 570 nm [37,38].
3.5.3. In Vitro Evaluation of the Effect of Derivatives 17–22 on the Proliferation of Promastigotes of Leishmania donovani: MTT Test
It was arranged in plates of 96 wells, 4 × 105 promastigotes per well and incubated at room temperature °C for 24 h. Subsequently, the compounds to be evaluated, dissolved in DMSO (0.1% final), were added at a single concentration of 50 μM, a drug-free control (negative control) was included, and amphotericin B was used as leishmanicidal control. To select those compounds active on promastigotes, it was incubated for 72 h after and then MTT (5 mg/mL), dissolved in PBS, was added and incubated for 4 h in the dark. Finally, the cells were lysed with DMSO and the plate was read in a spectrophotometer at 570 nm [37].
3.5.4. Estimation of Half Maximal Inhibitory Concentration (IC50) of Derivatives 19, 20, and 21 on Epimastigotes of T. cruzi and Promastigotes of L. donovani: MTT Test
The test compounds, as well as the reference drugs, metronidazole, nifurtimox and amphotericin B, were previously dissolved in DMSO and then in LIT medium and added to the cultures at the required concentrations; the final DMSO concentration in cultures was 1% (v/v). Eight concentrations of each compound in the range 5–500 µM were tested and assayed in triplicate. Growth inhibition was assessed after 72 h incubation in the presence of the compounds by MTT (5 mg/mL), dissolved in PBS, and incubated for 4 h in the dark. Finally, the parasites were lysed with DMSO and the plate was read in a spectrophotometer at 570 nm.
3.5.5. Host Cell Toxicity Assay
To determine the possible toxic effects of the compounds on the host cells, uninfected Vero cells, maintained in DMEM, BSF 10%, incubated at 37 °C in humidified 5% CO2, were counted in suspension in a Neubauer chamber and seeded at 2 × 104 cells/well in a 96-well plate. After 24 h compounds were added. The viability of the cells was measured at 48 h using MTT [3-(4,5-Dimethyl-2-thiazolyl)-2,5-diphenyl-2H-tetrazolium bromide] colorimetric assay. A total of 5 mg/mL of MTT was added and incubated in darkness for 4 h. After this time, DMSO was added and the plate was read at 540 nm in a spectrophotometer Synergy HT (Biotek, Winooski, VT, USA). The test was carried out in triplicate in different concentrations: 5, 15, 25, 50, 100, 200 and 300 μM, including untreated cells and reference drug controls.
4. Conclusions
In summary, we present the synthesis of six molecules in which the nuclei of 5-nitroimidazole and thiadiazole were integrated, making use of the hybridization concept widely used in medicinal chemistry. Each final compound was obtained with moderate yields through a synthesis strategy that was very useful and feasible. Different spectroscopic tools were used for its identification and characterization. As trypanocidal, only three compounds showed activity as inhibitors of the proliferation of T. cruzi epimastigotes, compounds 19–21 with an activity of 53.10 ± 3.68, 49.37 ± 4.45, and 58.35 ± 2.05%, respectively, compared to the activity shown by the reference compound Bnz 45.39 ± 6.21 and Mtz 12.18 ± 5.30; however, they are less potent than Nfx 83.00 ± 1.60%. Regarding leishmanicidal activity, only compound 21 showed a more moderate activity than Aph with an IC50 of 10.07 compared to 0.33 ± 0.02 presented by Aph. The compounds appear to have a little cytotoxic effect on Vero cells when compared to the value presented by Bnz and Nfx against these mammalian cells. From the antiproliferative activities observed, it can be inferred that the hybridization process increased the potency of Mtz against T. cruzi and L. donovani, particularly when position 5 of 1,3,4-thiadiazole is occupied by aromatic rings containing low-polarity substituent groups. More detailed studies are required to confirm the quality of derivatives as a new class of antiparasitic agents.
Supplementary Materials
The following supporting information can be downloaded at: https://www.mdpi.com/article/10.3390/molecules29174125/s1, The following are available: 1H/13C NMR, DEPT 135°, COSY, HMQC, and HMBC for compounds 3, 7–9, 11, 15, 18, 20–22.
Author Contributions
Conceptualization, A.M., H.R. and E.F.-M.; methodology, A.M., Z.B., S.E. and N.P.-G.; validation, X.S., N.P.-G. and J.E.C.; formal analysis, H.R, E.F.-M., X.S. and J.E.C.; NMR investigation, S.E. and J.E.C.; resources, E.F.-M., N.P.-G. and J.E.C.; writing—original draft preparation, N.P.-G. and J.E.C.; writing—review and editing, E.F.-M. and J.E.C.; supervision, N.P.-G. and J.E.C.; project administration, N.P.-G. and J.E.C. All authors have read and agreed to the published version of the manuscript.
Funding
This research was funded by Ministerio de Ciencia, Tecnología e Innovación de Venezuela, grants number 20240PGP82 and 20220PGP65.
Institutional Review Board Statement
Not applicable.
Informed Consent Statement
Not applicable.
Data Availability Statement
Data is contained within the article and Supplementary Materials.
Acknowledgments
The authors acknowledge the Instituto de Investigaciones Farmacéuticas de la Facultad de Farmacia, Universidad Central de Venezuela.
Conflicts of Interest
The authors declare no conflict of interest.
References
- World Health Organization. Ending the Neglect to Attain the Sustainable Development Goals: A Road Map for Neglected Tropical Diseases 2021–2030; World Health Organization: Geneva, Switzerland, 2020; Available online: https://www.who.int/publications/i/item/9789240010352 (accessed on 7 March 2024).
- World Health Organization. Available online: http://www.who.int/chagas/en/ (accessed on 5 March 2024).
- Castillo-Riquelme, M. Chagas disease in non-endemic countries. Lancet Glob. Health 2017, 5, e379–e380. [Google Scholar] [CrossRef]
- World Health Organization|Epidemiology, WHO. 2021. Available online: http://www.who.int/chagas/epidemiology/en/ (accessed on 5 March 2024).
- Coura, J.R.; Borges-Pereira, J. Chagas disease: 100 years after its discovery. A systemic review. Acta Tropica. 2010, 115, 5–13. [Google Scholar] [CrossRef]
- Burza, S.; Croft, S.L.; Boelaert, M. Leishmaniasis. Lancet 2018, 392, 951–970. [Google Scholar] [CrossRef]
- Santos-Cruz, L.F.; Ramírez-Cruz, B.G.; García-Salomé, M.; Olvera-Romero, Z.Y.; Hernández-Luis, F.; Hernández-Portilla, L.B.; Durán-Díaz, Á.; Dueñas-García, I.E.; Castañeda-Partida, L.; Piedra-Ibarra, E.; et al. Genotoxicity assessment of four novel quinazoline-derived trypanocidal agents in the Drosophila wing somatic mutation and recombination test. Mutagenesis 2020, 35, 299–309. [Google Scholar] [CrossRef] [PubMed]
- Symptoms, Transmission, and Current Treatments for Chagas Disease DNDi. 2020. Available online: https://dndi.org/diseases/chagas/facts/ (accessed on 7 March 2024).
- Ribeiro, V.; Dias, N.; Paiva, T.; Hagström-Bex, L.; Nitz, N.; Pratesi, R.; Hecht, M. Current trends in the pharmacological management of Chagas disease. Int. J. Parasitol. Drugs Drug Resi. 2020, 12, 7–17. [Google Scholar] [CrossRef]
- Fexinidazole for Chagas DNDi. 2020. Available online: https://dndi.org/research-development/portfolio/fexinidazole-chagas/ (accessed on 7 March 2024).
- Torrico, F.; Gascón, J.; Ortiz, L.; Pinto, J.; Rojas, G.; Palacios, A.; Barreira, F.; Blum, B.; Schijman, A.G.; Vaillant, M.; et al. A Phase 2, randomized, multicenter, placebo-controlled, proof-of-concept trial of oral fexinidazole in adults with chronic indeterminate Chagas Disease. Clin. Infect. Dis. 2023, 76, e1186–e1194. [Google Scholar] [CrossRef]
- Do Vale Chaves e Mello, F.; Castro Salomão Quaresma, B.M.; Resende Pitombeira, M.C.; Araújo de Brito, M.; Farias, P.P.; Lisboa de Castro, S.; Salomão, K.; Silva de Carvalho, A.; Oliveira de Paula, J.I.; de Brito Nascimento, S.; et al. Novel nitroimidazole derivatives evaluated for their trypanocidal, cytotoxic, and genotoxic activities. Eur. J. Med. Chem. 2020, 186, 111887. [Google Scholar] [CrossRef]
- Patterson, S.; Wyllie, S. Nitro drugs for the treatment of trypanosomatid diseases: Past, present, and future prospects. Trends Parasitol. 2014, 30, 289–298. [Google Scholar] [CrossRef]
- Boechat, N.; Carvalho, A.S.; Salomão, K.; de Castro, S.L.; Araujo-Lima, C.F.; Mello, F.V.; Felzenszwalb, I.; Aiub, C.A.; Conde, T.R.; Zamith, H.P.; et al. Studies of genotoxicity and mutagenicity of nitroimidazoles: Demystifying this critical relationship with the nitro group. Mem. Inst. Oswaldo Cruz. 2015, 110, 492–499. [Google Scholar] [CrossRef]
- Mello, F.V.C.; Carvalho, A.S.; Bastos, M.M.; Boechat, N.; Aiub, C.A.F.; Felzenszwalb, I. Evaluation of genotoxic effects of new molecules with possible trypanocidal activity for Chagas disease treatment. Sci. World J. 2013, 2013, 287319. [Google Scholar] [CrossRef]
- De Carvalho, A.S.; Salomão, K.; de Castro, S.L.; Conde, T.R.; da Silva Zamith, H.P.; Caffarena, E.R.; Hall, B.S.; Wilkinson, S.R.; Boechat, N. Megazol and its bioisostere 4H-1,2,4-triazole: Comparing the trypanocidal, cytotoxic and genotoxic activities and their in vitro and in silico interactions with the Trypanosoma brucei nitroreductase enzyme. Mem. Inst. Oswaldo Cruz 2014, 109, 315–323. [Google Scholar] [CrossRef] [PubMed]
- Barreiro, E.J. A Química Medicinal e o paradigma do composto-protótipo. Rev. Virtual Quim. 2009, 1, 26–34. [Google Scholar] [CrossRef]
- Zauli-Nascimento, R.C.; Miguel, D.C.; Yokoyama-Yasunaka, J.K.; Pereira, L.I.; Pelli de Oliveira, M.A.; Ribeiro-Dias, F.; Dorta, M.L.; Uliana, S.R. In vitro sensitivity of Leishmania (Viannia) braziliensis and Leishmania (Leishmania) amazonensis Brazilian isolates to meglumine antimoniate and amphotericin B. Trop. Med. Int. Health 2010, 15, 68–76. [Google Scholar] [CrossRef]
- Chakravarty, J.; Sundar, S. Drug resistance in leishmaniasis. J. Glob. Infect. dis. 2010, 2, 167–176. [Google Scholar] [CrossRef] [PubMed]
- Savoia, D. Recent updates and perspectives on leishmaniasis. J. Infect. Dev. Ctries 2015, 9, 588–596. [Google Scholar] [CrossRef]
- Fortin, S.; Bérubé, G. Advances in the development of hybrid anticancer drugs. Expert Opin. Drug Discov. 2013, 8, 1029–1047. [Google Scholar] [CrossRef]
- Morphy, R.; Rankovic, Z. Designed multiple ligands. An emerging drug discovery paradigm. J. Med. Chem. 2005, 48, 6523–6543. [Google Scholar] [CrossRef] [PubMed]
- Pawełczyk, A.; Sowa-Kasprzak, K.; Olender, D.; Zaprutko, L. Molecular consortia—Various structural and synthetic concepts for more effective therapeutics synthesis. Int. J. Mol. Sci. 2018, 19, 1104. [Google Scholar] [CrossRef]
- Sampath, H.M.; Herrmann, L.; Tsogoeva, S.B. Structural hybridization as a facile approach to new drug candidates. Bioorg. Med. Chem. Lett. 2020, 30, 127514. [Google Scholar] [CrossRef]
- Soltan, O.M.; Shoman, M.F.; Abdel-Aziz, S.A.; Narumi, A.; Konno, H.; Abdel-Aziz, M. Molecular hybrids: A five-year survey on structures of multiple targeted hybrids of protein kinase inhibitors for cancer therapy. Eur. J. Med. Chem. 2021, 225, 113768. [Google Scholar] [CrossRef]
- Leitsch, D. A review on metronidazole: An old warhorse in antimicrobial chemotherapy. Parasitology 2019, 146, 1167–1168. [Google Scholar] [CrossRef] [PubMed]
- Kumar, D.; Kumar, H.; Kumar, V.; Deep, A.; Sharma, A.; Marwaha, M.G.; Marwaha, R.K. Mechanism-based approaches of 1,3,4-thiadiazole scaffolds as potent enzyme inhibitors for cytotoxicity and antiviral activity. Med. Drug Dis. 2023, 17, 100150. [Google Scholar] [CrossRef]
- Rossi, R.; Ciofalo, M. An updated review on the synthesis and antibacterial activity of molecular hybrids and conjugates bearing imidazole moiety. Molecules 2020, 25, 5133. [Google Scholar] [CrossRef]
- Hu, Y.; Li, C.-Y.; Wang, X.-M.; Yang, Y.-H.; Zhu, H.-L. 1,3,4-Thiadiazole: Synthesis, reactions, and applications in medicinal, agricultural, and materials chemistry. Chem. Rev. 2014, 114, 5572–5610. [Google Scholar] [CrossRef]
- Atmaram, U.A.; Roopan, S.M. Biological activity of oxadiazole and thiadiazole derivatives. Appl. Microbiol. Biotechnol. 2022, 106, 3489–3505. [Google Scholar] [CrossRef] [PubMed]
- Segawa, J.; Kitano, M.; Kazuno, K.; Matsuoka, M.; Shirahase, I.; Ozaki, M.; Matsuda, M.; Tomii, Y.; Kise, M. Studies on pyridonecarboxylic acids. 1. Synthesis and antibacterial evaluation of 7-substituted-6-halo-4-oxo-4H[1,3]thiazeto[3,2-a]quinoline-3-carboxylic acids. J. Med. Chem. 1992, 35, 4727–4738. [Google Scholar] [CrossRef]
- Vinkler, E.; Klinényi, F.; Stájer, G.; Ferenczy, L. Contibutions to the synthesis of mustard oil carbonic acid esters of antimicronial action. Acta Pharm. Hung. 1967, 37, 250–253. [Google Scholar] [PubMed]
- Rollas, S.; Karakuş, S.; Barlas–Durgun, B.; Kiraz, M.; Erdeniz, H. Synthesis and antimicrobial activity of some 1,4-disubstituted thiosemicarbazide and 2,5-disubstituted-1,3,4-thiadiazole derivatives. Farmaco 1996, 51, 811–814. [Google Scholar] [CrossRef]
- Hoggarth, E. Compounds related to thiosemicarbazide. Part II. 1-Benzoylthiosemicarbazides. J. Chem. Soc. 1949, 1163–1167. [Google Scholar] [CrossRef]
- Neises, B.; Steglich, W. Simple method for the esterification of carboxylic acids. Angew. Chem. Int. Engl. 1978, 17, 522–524. [Google Scholar] [CrossRef]
- Zingales, B.; Andrade, S.G.; Briones, M.R.S.; Campbell, D.A.; Chiari, E.; Fernandes, O.; Guhl, F.; Lages-Silva, E.; Macedo, A.M.; Machado, C.R.; et al. A new consensus for Trypanosoma cruzi intraspecific nomenclature: Second revision meeting recommends TcI to TcVI. Mem. Inst. Oswaldo Cruz 2009, 104, 1051–1054. [Google Scholar] [CrossRef] [PubMed]
- Mosmann, T. Rapid colorimetric assay for cellular growth and survival: Application to proliferation and cytotoxicity assays. J. Immunol. Methods 1983, 65, 55–63. [Google Scholar] [CrossRef] [PubMed]
- Mijoba, A.; Fernandez-Moreira, E.; Parra-Giménez, N.; Espinosa-Tapia, S.; Blanco, Z.; Ramírez, H.; Charris, J.E. Synthesis of Benzocycloalkanone-based Michael Acceptors and Biological Activities as Antimalarial and Antitrypanosomal Agents. Molecules 2023, 28, 5569. [Google Scholar] [CrossRef] [PubMed]
Disclaimer/Publisher’s Note: The statements, opinions and data contained in all publications are solely those of the individual author(s) and contributor(s) and not of MDPI and/or the editor(s). MDPI and/or the editor(s) disclaim responsibility for any injury to people or property resulting from any ideas, methods, instructions or products referred to in the content. |
© 2024 by the authors. Licensee MDPI, Basel, Switzerland. This article is an open access article distributed under the terms and conditions of the Creative Commons Attribution (CC BY) license (https://creativecommons.org/licenses/by/4.0/).





