Abstract
The zelkovamycin family is a class of cyclic octapeptides with potent antibacterial and antiviral activity. Due to their unique chemical structures and excellent bioactivity, zelkovamycins have consistently attracted the interest of synthetic chemists. However, only the total synthesis of zelkovamycin and zelkovamycin G has been reported until now. The current work presents, for the first time, the synthesis of zelkovamycin analogues, along with their anticancer activity assessment. Firstly, the corresponding chain peptide based on the amino acid sequence of zelkovamycin H was synthesized using the Fmoc solid-phase peptide strategy. This was followed by cyclization under high dilution conditions to obtain compound 21, and its structure was elucidated by NMR analysis. The results confirm that compound 21 is not the natural product of zelkovamycin H. We deduced that during the synthesis of peptide 12, the D-Abu residue epimerized to the L-Abu form, leading to the formation of peptide 20, which blocked our efforts during the synthesis of zelkovamycin H. Two more analogues, 22 and 23, were synthesized by changing the structure of amino acid residues using the same strategy. The anticancer activity of analogues 21–23 against Huh-7 cells was evaluated in vitro; however, their IC50 values were >50 μM.
1. Introduction
Natural products are an exceptional source of inspiration in drug discovery and frequently serve as valuable starting points in chemical probe synthesis [1,2]. Zelkovamycin (1, Figure 1) is a cyclic octapeptide consisting of glycine (Gly), 2-amino butyric acid (Abu), (Z)-dehydrobutyric acid (Z-Dhb), sarcosine (Sar), alanine–thiazole amino acid (Ala-Thz), 4-methoxy tryptophan (4-MeO-Trp), and 2-methyl-3-oxobutyrine (MeObu) amino acids (for unprecedented amino acids in a peptide natural product). It was discovered by the Ōmura research group in 1999 from Streptomyces sp. K96-0670 [3,4]. The stereochemistry of the different amino acids in zelkovamycin, however, was not reported in the original report. In 2021, Chan et al. found Actinomadura graeca sp. as a novel producer of zelkovamycin [5]. Gan et al. identified 10 other zelkovamycin congeners from the culture of endophytic Kitasatospora sp. CPCC 204717, named zelkovamycins B–K (2–11, Figure 1) [6,7]. From these cyclopeptides, zelkovamycin B was featured by an unprecedented 3-methyl-5-hydroxypyrrolidine-2,4-dione ring system linked to the cyclopeptide skeleton. Zelkovamycins F and G (6 and 7) possess unprecedented nonproteinogenic amino acid residues, namely L-α-methylthreonine and L-α-methyl-allo-threonine, respectively. These represent the first example of natural peptide products that contain the Cα-methyl-threonine monomer. Compared to the structure of other zelkovamycins, zelkovamycin H (8) was the only congener lacking the oxy group at C-34 and the α-methyl group at C-32. The incorporation of the Abu residue by replacing the MeObu unit in zelkovamycin H might be due to the low selectivity of the A domain in module 8 for biosynthetic gene cluster of zelkovamycins from Kitasatospora sp. CPCC 204717 [6].
Figure 1.
Structure of zelkovamycins.
In the literature, zelkovamycins are reported to have antibacterial and antiviral activity [6,7]. Compounds 1 and 4 were the most potent antibiotics against S. epidermidis, while 1 displayed the most potent activity against Staphylococcus aureus and S. aureus compared to other zelkovamycins. Compounds 6, 7 and 9 showed potent antibacterial activity against methicillin-resistant Staphylococcus aureus and Staphylococcus epidermidis. Compound 5 exhibited potent inhibitory activity against the H1N1 virus [EC50 0.3 μM, selective index (SI) = 149], 150- and 50-fold stronger than compound 1 and ribavirin (positive control), respectively. Compounds 1 and 5 exhibited significant antiviral activity against the hepatitis C virus. Recently, compound 1 was found to be a potent oxidative phosphorylation (OXPHOS) inhibitor, showing potential in cancer therapy [8]. Zelkovamycin is similar to the argyrin family, both consisting of 4-methoxytryptophan, an alanine–thiazole moiety, sarcosine, glycine, and α-aminobutyric acid [9,10,11]. Argyrins possess diverse biological activities, including immunosuppressive, antibacterial, and cytotoxic effects, and so on [9,10,11,12,13,14,15,16]. Given its structural similarity to the argyrin family, zelkovamycins are likely to exhibit comparable biological activity [17].
Due to their unique structure and promising biological properties, zelkovamycins have attracted considerable attention from chemists. The Kaiser research group achieved the first total synthesis of zelkovamycin in 2020 [8]. Its previously proposed molecular structure was revised, and the stereochemistry of Abu, Ala-Thz, and 4-MeO-Trp residues was confirmed by total synthesis. Firstly, zelkovamycin G (7) was synthesized by a [2 + 2 + 3] fragment splicing strategy, and then the complete synthesis of zelkovamycin was achieved with a Dess–Martin oxidation reaction.
So far, the chemical synthesis of other zelkovamycins has not been reported. Due to the unusual features of zelkovamycins and the lack of knowledge of their bioactivities, there is a need for their total synthesis study. Herein we report the synthesis of zelkovamycin analogues for the first time and the evaluation of their anticancer activity.
2. Results and Discussion
2.1. Synthesis of Zelkovamycin H
The retrosynthetic analysis of zelkovamycin H (8) is shown in Figure 2. Heptapeptide 12 can be obtained by cleaving the amide bond between Sar and Ala-Tzl residues. This heptapeptide can be assembled by the following amino acids: Fmoc-Sar-OH, Fmoc-Dhb-OH, Fmoc-D-Ala-OH, Fmoc-Gly-OH, Fmoc-D-Abu-OH, Fmoc-L-4-OMe-Trp-OH, and Boc-D-Ala-Thz-OH. All these amino acids are commercially available, except for Boc-D-Ala-Thz-OH, which is a thiazole-containing amino acid.
Figure 2.
Retrosynthetic analysis of zelkovamycin H.
To synthesize heptapeptide 12, the first step was to obtain amino acid 13. For the synthesis of building block 13, a straightforward route from Boc-D-Ala-OH that involved transformation to thioamide 15 via the intermediate amide and thiolation with Belleau’s reagent (Scheme 1) was followed [18,19]. Compound 15 was then reacted with ethyl bromopyruvate to obtain an intermediate, that on treatment with trifluoroacetic anhydride and 2,6-lutidine, gave the thiazole 16. This reaction was carried out via a modified Hantzsch thiazole synthesis leading to a 51.0% yield [20]. It was then hydrolyzed to obtain the key amino acid 13 with an 89.0% yield [21].
Scheme 1.
Synthetic route of Boc-D-Ala-Thz-OH 13.
After obtaining amino acid 13, the heptapeptide 12 was assembled. Solid phase peptide synthesis (SPPS) is preferred due to its simplicity in assembling peptide chains, rapid reaction times, and straightforward post-processing with repeated washes. These attributes make the process less time-consuming, economic, and enable one to employ the SPPS method for heptapeptide 12. Two strategies for the SPPS exist, the Boc/benzyl and Fmoc/tBu strategy. In the Boc/benzyl strategy, the α-amino group is protected by the Boc group and the side chain functional groups by benzyl-based protecting groups. The Boc group is removed by trifluoroacetic acid (TFA), whereas the side chain protecting groups require hydrogen fluoride (HF) for deprotection [22]. The α-amino group is protected by the base–labile Fmoc group and side chain functional groups by the acid–labile tBu or trityl-based protecting groups in the Fmoc/tBu strategy [23]. The Fmoc group is removed by piperidine, and the side chain protecting groups are cleaved using TFA. Since the Boc/benzyl strategy requires the use of HF for final deprotection, the Fmoc/tBu strategy is the most widely adopted. The 2-chlorotrityl chloride (2-CTC), which most often comes attached to a polystyrene resin, is well suited for the synthesis of peptide acids [24]. Moreover, protected peptide acids can be cleaved from the resin using 1% TFA or 10–20% acetic acid.
Therefore, the synthesis of heptapeptide 12, following the Fmoc/tBu strategy, began with the attachment of Fmoc-Sar-OH to the 2-CTC resin via its carboxyl group, using collidine as the base. This led to the first amino acid-loaded resin 17 (Scheme 2) [25]. Solid-phase peptide elongation was performed using the standard Fmoc/tBu protocol: removal of the Fmoc group with 20% piperidine/DMF, followed by acylation of the resulting amine with Fmoc amino acid using HATU/DIPEA as the coupling reagent [26]. Incomplete coupling was observed when DCC/HOBt, HBTU, or EDCI/HOBt were used as coupling reagents. Solid-phase peptide elongation, following the deprotection and coupling cycle according to the amino acid sequence shown in Scheme 2, provided resin-supported heptapeptide 18. Finally, cleavage of the heptapeptide 18 from the resin and removal of the Boc protecting group with trifluoroacetic acid (TFA) produced heptapeptide 20. It was then cyclized without further purification to give cyclopeptide 21, with HATU/HOAt/DIPEA used as the condensation reagent, in a highly diluted solution. The overall yield of 21 from the initial Fmoc-Sar-OH was 6.5%.
Scheme 2.
Synthetic route of compound 21.
The 13C NMR chemical shifts of zelkovamycin H and compound 21 are presented in Table 1. While most chemical shifts are consistent, there are significant discrepancies in Δδ for C-4, C-12, C-30, and C-32, with the largest Δδ of 2.6 observed for C-12. This indicates that compound 21 is not the natural product of zelkovamycin H. The 13C NMR chemical shifts for chiral centres C-3, C-14, and C-20 are generally consistent. However, the Δδ in chiral C-32 is 1, suggesting that the configuration of this chiral centre in D-Abu residue from the Fmoc-D-Abu-OH has been epimerized to L-Abu form in the coupling reaction (HATU/DIPEA). As a result, the desired peptide 12 was not obtained; instead, peptide 20 was produced during the SPPS. The racemization of the D-Abu residue may be attributed to the steric hindrance of the adjacent L-4-OMe-Trp residue.
Table 1.
Comparison of 13C NMR spectroscopic data obtained for natural zelkovamycin H and compound 21 in CDCl3.
2.2. Synthesis of Analogue
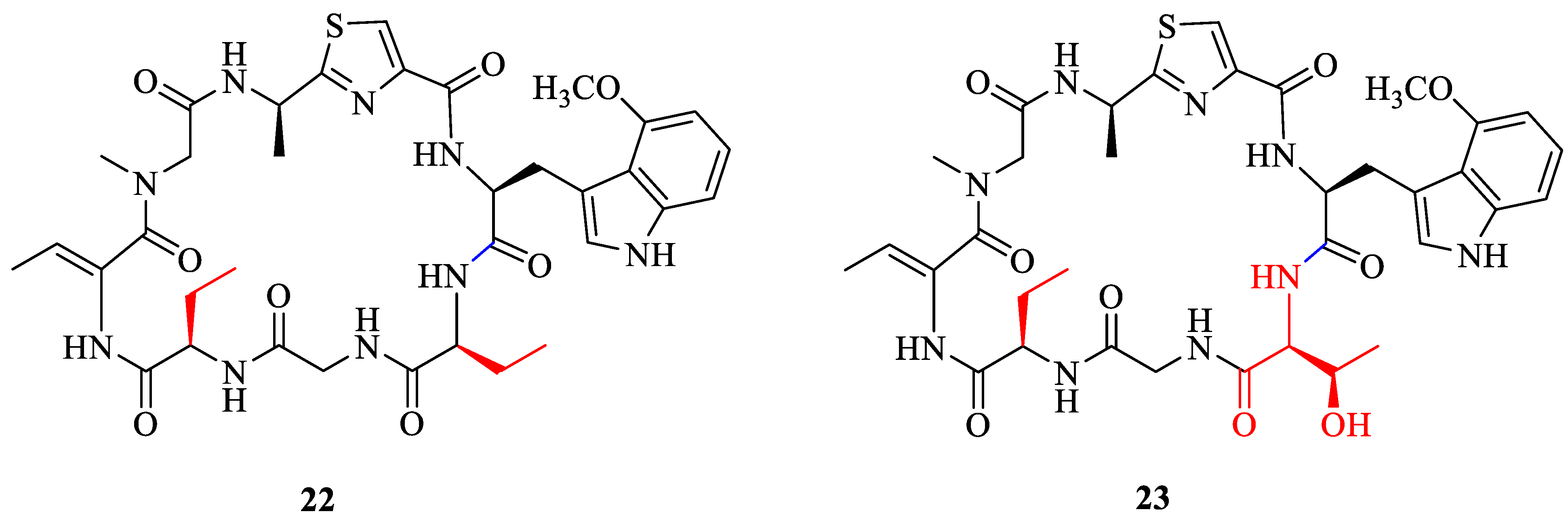
Compound 1 demonstrated the most potent activity against Staphylococcus aureus and Staphylococcus epidermidis with MICs of 3.1 and 1.6 μM, respectively. In contrast, Compound 5, which only differs from 1 by the substitution of Ala instead of Abu, exhibited a 4- to 32-fold reduction in activity against these strains. Compounds 6 and 7 displayed potent antibacterial activities against methicillin-resistant S. aureus (MRSA) ATCC33591 and S. epidermidis, with MICs ranging from 0.62 to 2.5 μM. However, Compound 8, which incorporates the D-Abu residue instead of MeObu, showed no activity (MIC > 160 μg/mL) against 7 strains. To obtain more structure–activity relationship information, two other analogues 22–23 were prepared to investigate the importance of the amino acid residue (Figure 3). Based on the structure of 8, analogue 22 replaces Ala residues with Abu residues, because this change reflects the zelkovamycin structure. Analogue 23 substitutes the Cα-Me-Thr-OH residue of 6 with the Thr-OH residue. These analogues share the same basic skeleton structure and were synthesized using the same method, with Fmoc-Sar-OH as the first amino acid and 2-CTC resin as the carrier. The overall yields of 22 and 23 from the initial Fmoc-Sar-OH were 4.8% and 5.6%, respectively.
Figure 3.
Structures of analogues.
2.3. Anticancer Evaluation
The cytotoxicity of compounds 21–23 was evaluated by MTT assay against Huh-7 cancer cells (Table 2). Our synthetic compounds 21–23 exhibited low cytotoxicity (IC50 > 50 μM), whereas the positive control 5-fluorouracil had an intermediate-level cytotoxic (IC50 = 15.3 μM) effect. The results showed that these synthetic peptides had poor anticancer activity.
Table 2.
Cytotoxic activity of analogues in Huh-7 cells a.
3. Materials and Methods
3.1. General Chemical Procedures
1H and 13C NMR spectra were recorded on a Bruker Avance-III 400 MHz spectrometer (Billerica, MA, USA), in the indicated solvent. Chemical shifts (δ) were expressed in ppm with reference to the solvent signals (CDCl3; 1H: 7.26 ppm; 13C: 77.00 ppm), and coupling constants (J) were reported in Hz. All NMR experiments were obtained using standard pulse sequences supplied by the vendor. Column chromatography (CC) was carried out on silica gel (200–400 mesh, Qingdao Marine Chemical Factory, Qingdao, China). Thin-layer chromatography was performed on Whatman glass-backed plates coated with 0.25 mm layers of silica gel 60. Reversed-phase flash chromatography was performed on an Agilent 1260 Infinity (Santa Clara, CA, USA) with ODS-A semi-preparative column (YMC-Pack, 5 μm, 250 mm × 10 mm). ESI-MS was recorded on a Micromass QTOF-2 (Milford, MA, USA). HepG2 cell lines were obtained from Shanghai Cell Bank (Shanghai, China). All commercially available reagents were purchased from commercial suppliers and used without further purification. All reagents or solvents were reagent or HPLC grade.
3.2. Synthesis of Boc-D-Ala-Thz-OH (13) [18,19,20,21]
Compound 14: Boc-D-Ala-OH (3.0 g, 15.9 mmol) and HOBt (2.2 g, 15.9 mmol) were dissolved in dichloromethane (DCM, 90.0 mL). At 0 °C, EDCI (3.8 g, 20.0 mmol) was added, and the mixture was stirred at room temperature for 2 h. After cooling the mixture back to 0 °C, a solution of ammonia in methanol (79.5 mL, 2 mol/L in MeOH) was added dropwise. The reaction mixture was allowed to warm to room temperature and stirred for 1 h. The reaction was then extracted with DCM and washed sequentially with H2O (10.0 mL) and brine (10.0 mL). The organic layer was dried with Na2SO4 and concentrated in vacuo. The resulting residue was purified by silica gel column chromatography (VDCM:VMeOH = 25:1) to afford amide 5 (white solid, 2.4 g, 78.6% yield). 1H NMR (400 MHz, CDCl3) δ (ppm): δ 6.27 (s, 1H), 5.67 (s, 1H), 5.08 (s, 1H), 4.20 (s, 1H), 1.43 (s, 9H), 1.36 (d, J = 7.20 Hz, 3H).
Compound 15: To a stirred solution of compound 14 (2.0 g, 10.6 mmol) in tetrahydrofuran (THF, 85.0 mL), Belleau reagent (3.4 g, 6.3 mmol) was added at 0 °C. The temperature was then gradually increased to room temperature, and the mixture was stirred for 2 h. The reaction mixture was poured into ice (80.0 g) and saturated NaHCO3 solution (80.0 mL). It was extracted with ethyl acetate (EtOAc, 3 × 100.0 mL), washed with brine (40.0 mL), and dried over anhydrous sodium sulphate. After concentrating, the residue was purified using column chromatography (VDCM:VMeOH = 5:1), yielding a white solid (1.9 g, 87.4% yield). 1H NMR (400 MHz, DMSO-d3) δ (ppm): 9.56 (s, 1H), 9.08 (s, 1H), 6.81 (d, J = 7.31 Hz, 1H), 4.25 (m, 1H), 1.37 (s, 9H), 1.24 (d, J = 7.23 Hz, 3H).
Compound 16: Ethyl bromopyruvate (3.3 mL) was added to a suspension of compound 15 (1.8 g, 8.8 mmol) and potassium bicarbonate (KHCO3, 7.1 g, 71.0 mmol), which was stirred in dimethoxyethane (DME, 15.0 mL) at −15 °C for 5 min. After 1 min, the reaction mixture was treated with a solution of trifluoroacetic anhydride (TFAA, 5.0 mL) and 2,6-lutidine (8.8 mL) in DME (4.5 mL) at −15 °C, and stirred for 4 h at the same temperature. The reaction was quenched with water (70.0 mL) and extracted with EtOAc (3 × 100.0 mL). The combined organic layer extract was washed with brine (40.0 mL) and dried with anhydrous sodium sulphate (Na2SO4). The mixture was concentrated and purified using column chromatography (VDCM:VMeOH = 8:1), yielding a white solid (1.4 g, 51.0% yield). 1H NMR (400 MHz, CDCl3) δ (ppm): 8.09 (s, 1H), 5.27 (s, 1H), 5.11 (s, 1H), 4.41 (dd, J = 14.4, 7.32 Hz, 2H), 1.62 (d, J = 6.92 Hz, 3H), 1.45 (s, 9H), 1.40 (t, J = 7.92 Hz, 3H).
Compound 13: Compound 16 was dissolved in methanol (3.0 mL), THF (4.5 mL), and H2O (3.0 mL) at 0 °C. Lithium hydroxide (LiOH, 0.5 N, 18.0 mL) was added and the mixture was stirred for 6 h. The pH was adjusted to 2, using saturated KHSO4. The mixture was extracted with EtOAc (3 × 100.0 mL), washed with brine (40.0 mL), dried over anhydrous sodium sulphate, and concentrated in vacuo. Chromatographic separation of the residue (VDCM:VMeOH = 10:1) on the silica gel column of the extract afforded compound 13 (white solid, 1.1 g, 89.0% yield). 1H NMR (400 MHz, CDCl3) δ (ppm): 8.21 (s, 1H), 5.30 (s, 1H), 5.12 (s, 1H), 1.64 (d, J = 7.25 Hz, 3H), 1.43 (s, 9H).
3.3. Synthesis of Analogue 21 {Cyclo-[(Sar-Dhb-Ala-Gly-Abu-Trp(4-OMe)-Ala(Thz)]}
3.3.1. Loading First Amino Acid Fmoc-Sar-OH to 2-CTC Resin for the Synthesis of 17
2-CTC resin (0.3 g) was pre-soaked with DCM for 1 h, and then DCM was filtered. A solution of Fmoc-Sar-OH (0.3 g, 1.1 mmol) and collidine (0.3 mL, 2.3 mmol) in DCM (8.0 mL) was added to the resin. The mixture was shaken at room temperature for 8 h. Later, the reaction solution was filtered, and the resin was washed successively with DCM (5.0 mL × 3) and DMF (5.0 mL × 3). A solution of DCM (8.5 mL), MeOH (1.0 mL), and DIPEA (0.5 mL) was added to the resin for capping the free amino group of resin and then washed alternately with DCM (5.0 mL × 3) and DMF (5.0 mL × 3) to give 17.
3.3.2. Synthesis of Chain Peptide on the Resin (18)
Deprotection of Fmoc group: A 20% piperidine/DMF solution (5.0 mL) was added to 17 and shaken for 15 min at room temperature. After this step, the resin was washed again alternately with DCM (5.0 mL × 3) and DMF (5.0 mL × 3).
Coupling reaction: Next, a mixture of Fmoc-Dhb-OH (0.3 g, 1.1 mmol), HATU (0.4 g, 1.1 mmol), and DIPEA (0.6 mL, 3.4 mmol) in DMF (2.0 mL) was added to the resin of deprotected Fmoc group and shaken for 3 h. The reaction mixture was filtered, and the resin was washed thrice alternately with DCM (5.0 mL × 3) and DMF (5.0 mL × 3).
The deprotection of the Fmoc group and coupling steps were repeated, sequentially coupling the remaining amino acids to the resin in the following order: Fmoc-D-Ala-OH, Fmoc-Gly-OH, Fmoc-D-Abu-OH, Fmoc-L-Trp(4-OMe)-OH, and Boc-D-Ala-Thz-OH. Then, 18 was obtained.
3.3.3. Cleavage of Peptide from Resin to Synthesize 19
18 was initially treated with TFA/DCM (0.5% 7.5 mL). After shaking for 20 min, the TFA/DCM solution was filtered and collected. The resin was then washed with DCM (20.0 mL × 3), and the DCM washes were collected. This procedure was repeated thrice. The combined organic solutions were concentrated under reduced pressure to yield a pale-yellow solid 19, which was used directly for the next step without purification.
3.3.4. Macrolactamization to Synthesize 21
The N-terminal protecting group (Boc) of 19 (86 mg, 0.1 mmol) was dissolved in a DCM-TFA (DCM/TFA = 1/1, 8.0 mL) mixture in an ice bath, and the mixture was stirred for 1 h at this temperature, and then DCM and TFA were removed to give 20 (40 mg, 52.6%), which was then used directly for the next step, without purification. The peptide 20 (0.05 mmol, 45.0 mg) was dissolved in DCM (100.0 mL) and stirred vigorously in an ice bath. Condensation agents HATU (0.1 mmol, 45.0 mg) and HOAt (0.1 mmol, 16.0 mg) were dissolved in DMF (1.0 mL) and added dropwise to the reaction mixture. DIPEA (4.5 eq, 0.25 mmol, 50.0 μL) was added at 0 °C, and the reaction was allowed to proceed at room temperature for 48 h. The reaction was quenched with 0.1 M HCl aq. (50.0 mL). The crude reaction mixture was extracted with DCM (3 × 60.0 mL), followed by saturated sodium bicarbonate solution (2 × 20.0 mL), and brine (2 × 30.0 mL). The organic layers were combined, dried over anhydrous Na2SO4, filtered, and concentrated in vacuo. The crude material was purified by preparative HPLC [flow rate: 2 mL/min; elution: C2H5CN/H2O = 75/25 (0.0–60.0 min)] to afford compound 21 (13.0 mg, 34.2%).
21: 1H NMR (400 MHz, CDCl3) δ 9.48 (s, 1H), 8.90 (d, J = 8.5 Hz, 1H), 8.50 (d, J = 7.4 Hz, 1H), 8.05 (d, J = 1.5 Hz, 1H), 7.15 (d, J = 6.7 Hz, 1H), 7.05 (d, J = 7.9 Hz, 1H), 7.01 (d, J = 2.9 Hz, 1H), 6.91 (d, J = 7.7 Hz, 1H), 6.84 (d, J = 8.1 Hz, 1H), 6.53 (d, J = 7.8 Hz, 1H), 5.50–5.47 (m, 1H), 5.40 (d, J = 6.7 Hz, 1H), 5.20 (d, J = 7.4 Hz, 1H), 4.98 (d, J = 16.9 Hz, 1H), 4.09 (d, J = 3.7 Hz, 1H), 4.05 (d, J = 3.9 Hz, 1H), 4.00 (s, 3H), 3.74 (d, J = 8.0 Hz, 1H), 3.53 (s, 1H), 3.41 (s, 1H), 3.13 (d, J = 12.9 Hz, 3H), 1.90–1.85 (m, 3H), 1.76 (d, J = 7.3 Hz, 1H), 1.72 (d, J = 7.2 Hz, 3H), 1.43 (d, J = 6.9 Hz, 3H), 0.95–0.90 (m, 3H).
13C NMR (10 MHz, CDCl3) δ 171.7, 171.3, 171.2, 169.8, 169.4, 169.0, 167.1, 160.0, 153.4, 150.2, 136.6, 130.4, 124.8, 122.8, 122.6, 116.3, 111.0, 106.4, 105.8, 99.8, 57.7, 55.5, 52.5, 51.1, 48.5, 45.5, 41.8, 37.6, 28.2, 21.4, 20.7, 14.1, 11.4, 11.3. ESIMS: m/z 760.3 [M + Na]+ (calcd for C34H43N9NaO8S, 760.3)
3.4. Synthesis of the Analogues
The synthetic procedure for analogues 22–23 was carried out following the same method (Section 3.3.1, Section 3.3.2, Section 3.3.3 and Section 3.3.4) as used for compound 21. For analogue 22 {cyclo-[(Sar-Dhb-Abu-Gly-Abu-Trp(4-OMe)-Ala(Thz)]}, the starting amino acid was Fmoc-Sar-OH, and the amino acids were sequentially coupled in the following order: Fmoc-Dhb-OH, Fmoc-D-Abu-OH, Fmoc-Gly-OH, Fmoc-D-Abu-OH, Fmoc-L-Trp(4-OMe)-OH and Boc-D-Ala-Thz-OH. The crude material was purified by preparative HPLC [flow rate: 2 mL/min; elution: C2H5CN/H2O = 75/25 (0.0–50.0 min)].
For analogue 23 {cyclo-[(Sar-Dhb-Abu-Gly-Thr-Trp(4-OMe)-Ala(Thz)]}, the synthesis also began with Fmoc-Sar-OH as the starting amino acid. The amino acids were then connected in the following order: Fmoc-Dhb-OH, Fmoc-D-Abu-OH, Fmoc-Gly-OH, Fmoc-D-Thr-OH, Fmoc-L-Trp(4-OMe)-OH and Boc-D-Ala-Thz-OH. The crude material was purified by preparative HPLC [flow rate: 2 mL/min; elution: C2H5CN/H2O = 75/25 (0.0–30.0 min)].
22: 1H NMR (400 MHz, CDCl3, J in Hz) δ (ppm): 10.73 (s, 1H), 9.38 (s, 1H), 8.91 (d, J = 8.52 Hz, 1H), 8.59 (d, J = 7.40 Hz, 1H), 8.03 (s, 1H), 7.57–7.38 (m, 1H), 7.11–6.95 (m, 3H), 6.83 (d, J = 8.12 Hz, 1H), 6.52 (d, J = 7.78 Hz, 1H), 5.59–5.43 (m, 2H), 5.28–5.13 (m, 2H), 5.00 (d, J = 16.93 Hz, 1H), 4.17 (d, J = 15.30 Hz, 1H), 4.12–4.02 (m, 1H), 3.99 (s, 3H), 3.75 (dd, J = 17.48, 7.92 Hz, 1H), 3.58 (dd, J = 15.50, 3.40 Hz, 1H), 3.51–3.37 (m, 2H), 3.10 (s, 3H), 2.27–2.09 (m, 1H), 2.07–1.95 (m, 1H), 1.89 (d, J = 7.08 Hz, 3H), 1.72 (d, J = 7.09 Hz, 3H), 1.63 (s, 3H), 0.95–0.86 (m, 6H);
13C NMR (100 MHz, CDCl3) δ171.9, 171.7, 171.4, 169.5, 169.5, 169.2, 167.3, 160.2, 153.6, 150.5, 136.9, 130.7, 125.1, 122.8, 122.7, 116.5, 110.7, 106.5, 106.0, 100.1, 57.9, 55.7, 54.6, 52.7, 51.2, 45.6, 42.0, 37.6, 28.5, 21.6, 21.3, 21.0, 11.5, 11. 5, 10.5. HRESITOFMS: m/z 774.3012 [M + Na]+ (calcd for C35H45N9NaO8S, 774.3004).
23: 1H NMR (400 MHz, CDCl3, J in Hz) δ (ppm): 10.73 (s, 1H), 9.38 (s, 1H), 8.91 (d, J = 8.52 Hz, 1H), 8.59 (d, J = 7.40 Hz, 1H), 8.03 (s, 1H), 7.60–7.55 (m, 1H), 7.11–6.95 (m, 3H), 6.83 (d, J = 8.12 Hz, 1H), 6.52 (d, J = 7.78 Hz, 1H), 5.59–5.43 (m, 2H), 5.28–5.13 (m, 2H), 5.00 (d, J = 16.93 Hz, 1H), 4.17 (d, J = 15.30 Hz, 1H), 4.12–4.02 (m, 1H), 3.99 (s, 3H), 3.75 (dd, J = 17.48, 7.92 Hz, 1H), 3.58 (dd, J = 15.50, 3.40 Hz, 1H), 3.51–3.37 (m, 2H), 3.10 (s, 3H), 2.27–2.09 (m, 1H), 2.07–1.95 (m, 1H), 1.89 (d, J = 7.08 Hz, 3H), 1.72 (d, J = 7.09 Hz, 3H), 1.63 (s, 3H), 0.95–0.86 (m, 6H);
13C NMR (100 MHz, CDCl3) δ 173.1, 171.5, 171.4, 169.8, 169.3, 169.2, 167.3, 160.5, 153.8, 150.0, 136.7, 130.6, 124.9, 123.2, 122.9, 116.3, 110.9, 106.6, 105.7, 99.7, 77.5, 77.2, 76.8, 66.9, 62.3, 55.5, 54.7, 52.9, 51.3, 45.5, 41.6, 37.7, 28.3, 21.3, 21.2, 20.7, 11.5, 10.7. HRESITOFMS: m/z 790.2959 [M + H]+ (calcd for C35H45N9NaO9S, 790.2953).
3.5. Anticancer Assays
Huh-7 cells were cultured in 1% penicillin-streptomycin mixture DMEM and (DMEM) medium containing 10% fetal bovine serum (FBS) at 37 °C, under 5% CO2 atmosphere. The medium was refreshed every 2–3 days, and cells in the near-confluency phase [27] at densities of 5000 cells/100.0 μL/well fresh culture medium, were typically passaged 3 to 4 times, before use in experiments.
The cells were detached with 0.25% trypsin and the suspension was inoculated overnight into 96-well culture plates. The target compound was dissolved in DMSO at a concentration of 20.0 μM, and DMSO was used as a blank control. About 10.0 μL of the sample and control solutions were sampled in 5 wells each and incubated for 24 h. The medium was discarded and replenished with sterile PBS. To each well 10.0 μL of DMEM complete medium was added, followed by 10.0 μL of MTT (5.0 mg/mL) solution and incubation at 37 °C under 5% CO2 atmosphere for 4 h. About 150.0 μL DMSO was added to each well, to lyse the Methazan precipitate. The optical density values (OD) were determined using a microplate reader at 570 nm with a reference wavelength of 450 nm. The corresponding concentration of cell proliferation inhibition rate was calculated according to the inhibition rate formula. All experiments were performed in triplicate to obtain the final values.
4. Conclusions
In summary, an efficient solid-phase synthesis of zelkovamycin analogues was achieved for the first time. The process began with the preparation of the crucial building block Boc-D-Ala-Thz-OH 13 through ammonolysis, vulcanization, cyclization, and hydrolysis using Boc-Ala-OMe as the starting material. Subsequently, peptide 20 was synthesized by SPPS, using 2-chlorotriphenylmethyl chloride resin as the carrier. Compound 21 was then obtained through macrocyclization using a liquid-phase method. However, NMR analysis shows that compound 21 is not the natural zelkovamycin H. Additionally, two more analogues, 22 and 23, were synthesized by the same method. Anticancer activity was evaluated, revealing that the synthesized analogues exhibited poor anticancer activity. Changing amino acid residues did not significantly influence their anticancer activity.
Supplementary Materials
The following supporting information can be downloaded at https://www.mdpi.com/article/10.3390/molecules29184483/s1. Figure S1. 1H NMR of compound 14; Figure S2. 1H NMR of compound 15; Figure S3. 1H NMR of compound 16; Figure S4. 1H NMR of compound 13; Figure S5. 1H NMR of compound 21; Figure S6. 13C NMR of compound 21; Figure S7. 1H NMR of compound 21; Figure S8. 13C NMR of compound 22; Figure S9. 1H NMR of compound 23; Figure S10. 13C NMR of compound 23; Figure S11. ESIMS of compound of compound 21; Figure S12. HRESITOFMS of compound 22; Figure S13. HRESITOFMS of compound 23; Figure S14. Preparative HPLC of compound 21; Figure S15. Preparative HPLC of compound 22; Figure S16. Preparative HPLC of compound 23.
Author Contributions
X.X. investigation, writing—original draft; H.H. investigation; Y.S.J. formal analysis, writing—original draft; S.S. formal analysis; L.Y. formal analysis; Y.F. formal analysis; Y.G. supervision, conceptualization, funding acquisition, project administration, writing—review and editing; L.L.W. validation, writing—review and editing; H.B. supervision, project administration, conceptualization. All authors have read and agreed to the published version of the manuscript.
Funding
This research work was financially supported by the National Natural Science Foundation of China (No. 21967005), the Natural Science Foundation of Guangxi (No. 2023GXNSFAA026340), and the Research Start-up Foundation of Guangxi Minzu University (No. 2019KJQD07).
Institutional Review Board Statement
Not applicable.
Informed Consent Statement
Not applicable.
Data Availability Statement
Data are contained within the article and Supplementary Materials.
Acknowledgments
The authors would like to thank Guoqing Chen from the Hong Kong Polytechnic University for the discussion of the anticancer section.
Conflicts of Interest
All authors declare no conflicts of interest.
References
- Harvey, A.L.; Edrada-Ebel, R.; Quinn, R.J. The Re-Emergence of Natural Products for Drug Discovery in the Genomics Era. Nat. Rev. Drug Discov. 2015, 14, 111–129. [Google Scholar] [CrossRef]
- Song, X.; Ku, C.F.; Si, T.X.; Jaiswal, Y.S.; Williams, L.L.; Lu, D.Y.; Huang, J.J.; He, Z.D.; Wang, M.Z. Synthesis and Biological Activities Assessment of 4-, 6-, and 9-Phenylphenalenone Derivatives. ChemistrySelect 2022, 7, e202203793. [Google Scholar] [CrossRef]
- Zhang, H.; Tomoda, H.; Tabata, N.; Oohori, M.; Shinose, M.; Takahashi, Y.; Omura, S. Zelkovamycin, a New Cyclic Peptide Antibiotic from Streptomyces sp. K96-0670. I. Production, Isolation and Biological Properties. J. Antibiot. 1999, 52, 29–33. [Google Scholar] [CrossRef][Green Version]
- Tabata, N.; Tomoda, H.; Zhang, H.; Uchida, R.; Omura, S. Zelkovamycin, a New Cyclic Peptide Antibiotic from Streptomyces sp. K96-0670 II. Structure Elucidation. J. Antibiot. 1999, 52, 34–39. [Google Scholar] [CrossRef]
- Tarantini, F.S.; Brunati, M.; Taravella, A.; Carrano, L.; Parenti, F.; Hong, K.W.; Williams, P.; Chan, K.G.; Heeb, S.; Chan, W.C. Actinomadura graeca sp. nov.: A novel producer of the macrocyclic antibiotic zelkovamycin. PLoS ONE 2021, 16, e0260413. [Google Scholar] [CrossRef]
- Hao, X.M.; Yu, J.Q.; Wang, Y.J.; Connolly, J.A.; Liu, Y.F.; Zhang, Y.Q.; Yu, L.Y.; Cen, S.; Goss, R.J.M.; Gan, M.L. Zelkovamycins B-E, Cyclic Octapeptides Containing Rare Amino Acid Residues from an Endophytic Kitasatospora sp. Org. Lett. 2020, 22, 9346–9350. [Google Scholar] [CrossRef]
- Hao, X.M.; Li, S.S.; Wang, G.Y.; Li, J.R.; Peng, Z.G.; Zhang, Y.Q.; Yu, L.Y.; Gan, M.L. Zelkovamycins F and G, Cyclopeptides with Cα-Methyl-Threonine Residues, from an Endophytic Kitasatospora sp. J. Nat. Prod. 2022, 85, 1715–1722. [Google Scholar] [CrossRef]
- Krahn, D.; Heilmann, G.; Vogel, F.C.E.; Papadopoulos, C.; Zweerink, S.; Kaschani, F.; Meyer, H.; Roesch, A.; Kaiser, M. Zelkovamycin is an OXPHOS Inhibitory Member of the Argyrin Natural Product Family. Chem. Eur. J. 2020, 26, 8524–8531. [Google Scholar] [CrossRef]
- Sasse, F.; Steinmetz, H.; Schupp, T.; Petersen, F.; Memmert, K.; Hofmann, H.; Heusser, C.; Brinkmann, V.; Matt, P.V.; Höfle, G.; et al. Argyrins, Immunosuppressive Cyclic Peptides from Myxobacteria I. Production, isolation, physico-chemical and biological properties. J. Antibiot. 2002, 55, 543–551. [Google Scholar] [CrossRef]
- Vollbrecht, L.; Steinmetz, H.; Höfle, G. Argyrins, Immunosuppressive Cyclic Peptides from Myxobacteria II. Structure Elucidation and Stereochemistry. J. Antibiot. 2002, 55, 715–721. [Google Scholar] [CrossRef]
- Pogorevc, D.; Tang, Y.; Hoffmann, M.; Zipf, G.; Bernauer, H.S.; Popoff, A.; Steinmetz, H.; Wenzel, S.C. Biosynthesis and Heterologous Production of Argyrins. ACS Synth. Biol. 2019, 8, 1121–1133. [Google Scholar] [CrossRef]
- Nickeleit, I.; Zender, S.; Sasse, F.; Geffers, R.; Brandes, G.; Sörensen, I.; Steinmetz, H.; Kubicka, S.; Carlomagno, T.; Menche, D.; et al. Argyrin A Reveals a Critical Role for the Tumor Suppressor Protein p27kip1 in Mediating Antitumor Activities in Response to Ptoteasome Inhibition. Cancer Cell 2008, 14, 23–35. [Google Scholar] [CrossRef]
- Stauch, B.; Simon, B.; Basile, T.; Schneider, G.; Malek, N.P.; Kalesse, M.; Priv-Doz, T.C. Elucidation of the Structure and Intermolecular Interaction of a Reversible Cyclic-Peptide Inhibitor of the Proteasome by NMR Spectroscopy and Molecular Modeling. Angew. Chem. Int. Ed. 2010, 49, 3934–3938. [Google Scholar] [CrossRef]
- Allardyce, D.J.; Bell, C.M.; Loizidou, E.Z. Argyrin B, a non-competitive inhibitor of the human immunoproteasome exhibiting preference for β1i. Chem. Biol. Drug Des. 2019, 94, 1556–1567. [Google Scholar] [CrossRef]
- Nyfeler, B.; Hoepfner, D.; Palestrant, D.; Kiiby, C.A.; Whitehead, L.; Yu, R.; Deng, D.; Cauhglan, R.E.; Woods, A.L.; Jones, A.K.; et al. Identification of Elongation Factor G as the Conserved Cellular Target of Argyrin B. PLoS ONE 2012, 7, e42657. [Google Scholar] [CrossRef]
- Bieleck, P.; Hüsecken, P.L.K.; Dötsch, A.; Steinmetz, H.; Hartmann, R.W.; Müller, R.; Häussler, S. Mutation in Elongation Factor G Confers Resistance to the Antibiotic Argyrin in the Opportunistic Pathogen Pseudomonas aeruginosa. ChemBioChem 2012, 13, 2339–2345. [Google Scholar] [CrossRef]
- Romano, G.; Almeida, M.; Coelho, A.V.; Cutignano, A.; Gonçalves, L.G.; Hansen, E.; Khnykin, D.; Mass, T.; Ramsak, A.; Rocha, M.S.; et al. Biomaterials and Bioactive Natural Products from Marine Invertebrates: From Basic Research to Innovative Applications. Mar. Drugs 2022, 20, 219–263. [Google Scholar] [CrossRef]
- Kigoshi, H.; Yamada, S. Synthesis of Dolastatin I, a Cytotoxic Cyclic Hexapeptide from the Sea Hare Dolabella Auricularia. Tetrahedron 1999, 55, 12301–12308. [Google Scholar] [CrossRef]
- Lajoie, G.; Lepine, F.; Maziak, L.; Belleau, B. Facile Regioselective Formation of Thiopeptide Linkages from Oligopeptides with New Thionation Reagents. Tetrahedron Lett. 1983, 24, 3815–3818. [Google Scholar] [CrossRef]
- Aguilar, E.; Meyers, A.I. Reinvestigation of a Modified Hantzsch Thiazole Synthesis. Tetrahedron Lett. 1994, 35, 2473–2476. [Google Scholar] [CrossRef]
- Erik, S.; Robert-Franz-Xaver, K.; Nediljko, B.; Markus, K. Painting argyrins blue: Negishi cross-coupling for synthesis of deep-blue tryptophan analogue β-(1-azulenyl)-L alanine and its incorporation into argyrin C. Bioorgan. Med. Chem. 2018, 26, 5259–5269. [Google Scholar]
- Merrifield, R.B. Solid phase peptide synthesis I. The synthesis of a tetrapeptide. J. Am. Chem. Soc. 1963, 85, 2149–2154. [Google Scholar] [CrossRef]
- Atherthon, E.; Fox, H.; Harkiss, D.; Logan, C.J.; Sheppard, R.C.; Williams, B.J. A mild procedure for solid phase peptide synthesis: Use of fluorenylmethyloxycarbonylamino-acids. J. Chem. Soc. Chem. Commun. 1978, 537–539. [Google Scholar] [CrossRef]
- Barlos, K.; Chatzi, O.; Gatos, D.; Stavropoulos, G. 2-chlorotrityl chloride resin. Studies on anchoring of Fmoc-amino acids and peptide cleavage. Int. J. Pep. Protein Res. 1991, 37, 513–520. [Google Scholar]
- Lopez, J.; Beck, J.; Bucher, C.; Berthelmann, A.; Markos, S.; Eissler, S. Missing Link: Enabling Loading of 2-Chloride Resin in N-Butylpyrrolidinone as a Green Solvent. Org. Process Res. Dev. 2022, 26, 1450–1457. [Google Scholar] [CrossRef]
- Carpino, L.A.; EI-Faham, A. Effect of Tertiary Bases on O-Benzotriazolyluronium Salt-Induced Peptide Segment Coupling. J. Org. Chem. 1994, 59, 695–698. [Google Scholar] [CrossRef]
- Qiu, S.; Gussem, E.D.; Tehrani, K.A.; Sergeyev, S.; Bultinck, P.; Herrebout, W. Stereochemistry of the Tadalafil Diastereoisomers: A Critical Assessment of Vibrational Circular Dichroism, Electronic Circular Dichroism, and Optical Rotatory Dispersion. J. Med. Chem. 2013, 56, 8903–8914. [Google Scholar] [CrossRef]
Disclaimer/Publisher’s Note: The statements, opinions and data contained in all publications are solely those of the individual author(s) and contributor(s) and not of MDPI and/or the editor(s). MDPI and/or the editor(s) disclaim responsibility for any injury to people or property resulting from any ideas, methods, instructions or products referred to in the content. |
© 2024 by the authors. Licensee MDPI, Basel, Switzerland. This article is an open access article distributed under the terms and conditions of the Creative Commons Attribution (CC BY) license (https://creativecommons.org/licenses/by/4.0/).




