Insight into the Corrosion Inhibition Performance of Pistia stratiotes Leaf Extract as a Novel Eco-Friendly Corrosion Inhibitor for Mild Steel in 1 M HCl Solution
Abstract
1. Introduction
2. Results and Discussion
2.1. FT-IR and MS-GC Analysis
2.2. Open Circuit Potential (Eocp) Measurements
2.3. Electrochemical Impedance Spectroscopy (EIS)
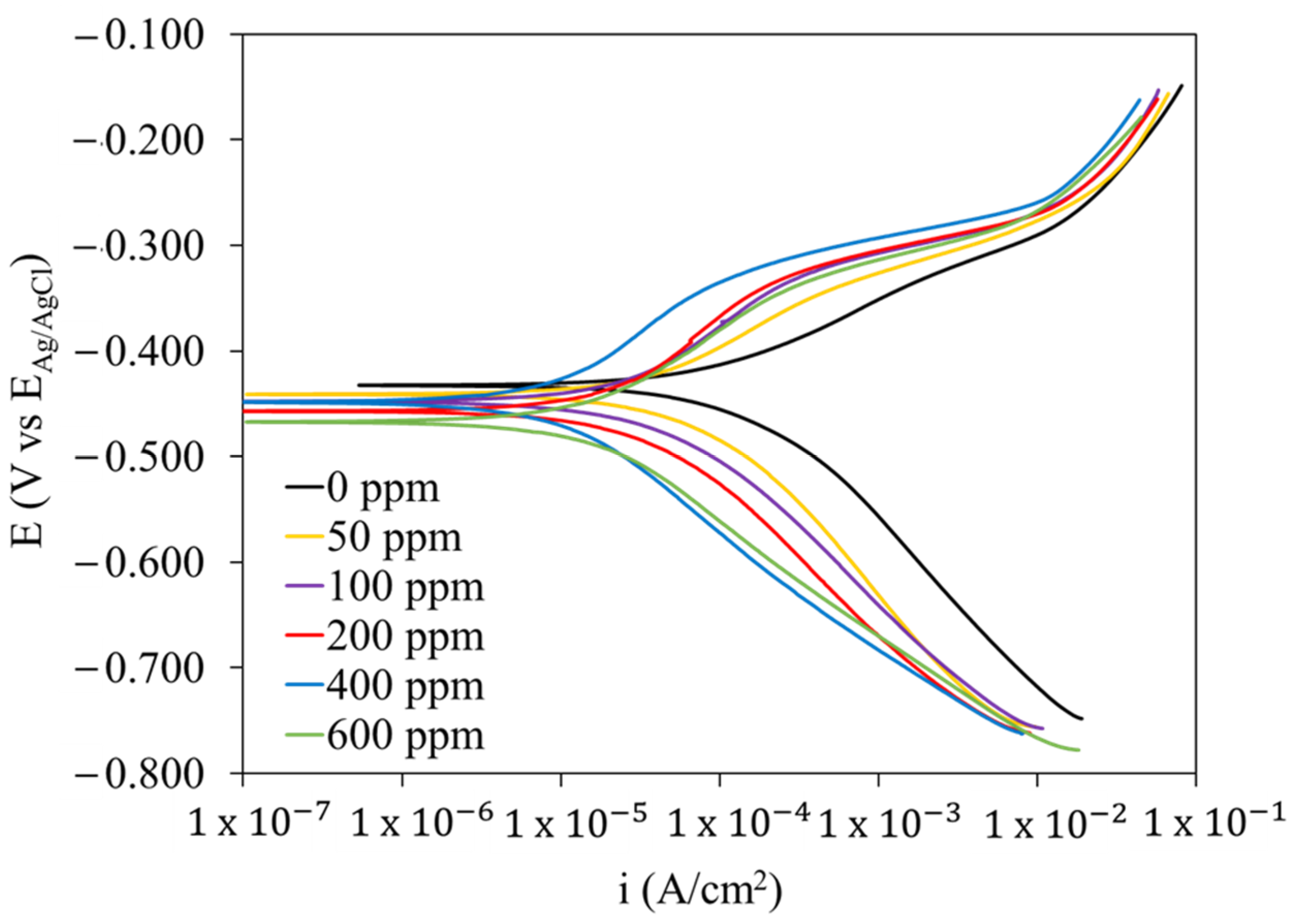
2.4. Potentiodynamic Polarization Curves (PPCs)
2.5. Surface Analysis by SEM and EDS
2.6. Adsorption Isotherm
2.7. Quantum Chemical Calculations
Local Reactivity Fukui Functions
2.8. Corrosion Inhibition Mechanism by PSL Extract
2.9. Comparison of the PSL Extract with Other Plant-Based Corrosion Inhibitors
3. Materials and Methods
3.1. Material and Test Solution
3.2. Preparation of the Pistia Stratiotes Leaves (PSL) Extract
3.3. Chemical Characterization of PSL Extract
3.4. Electrochemical Characterization
3.5. Surface Characterization by SEM and EDS
3.6. Density-Functional Theory (DFT) Calculations
4. Conclusions
- Electrochemical measurements results indicated that the inhibition efficiency of the PSL extract enhanced as concentration increased until reaching a maximum efficiency of 87–91% at 400 ppm. Further addition of the PSL extract produced a slight decrease in the protective properties of the inhibitor film against corrosion.
- Polarization curve results revealed that the PSL extract acted as a mixed-type corrosion inhibitor, adsorbing at both the anodic and cathodic sites without strongly modifying the mechanism of electrochemical reactions.
- Adsorption isotherms analysis indicated that the adsorption of the phytochemical molecules present in the extract can be governed by the Langmuir isotherm through a mixed adsorption process, with the physisorption process dominating.
- Surface characterization by SEM and EDS showed that the compounds present in the PSL extract were adsorbed on the metal surface, reducing corrosion attack.
- Chemical characterization by GC-MS and FTIR allowed the identification of phytochemical compounds such as phytol, steroids, unsaturated long-chain aliphatic esters, and aromatic esters in the PSL extract.
- Quantum chemical calculations by DFT determined that the phthalic acid, di(2-propylpentyl) ester has the chemical structure with the best electronic properties and active sites with which it can interact with the metal surface compared to the other components identified in the extract.
Supplementary Materials
Author Contributions
Funding
Institutional Review Board Statement
Informed Consent Statement
Data Availability Statement
Acknowledgments
Conflicts of Interest
References
- Zhang, F.; Deng, S.; Wei, G.; Li, X. Alternanthera philoxeroides Extract as a Corrosion Inhibitor for Steel in Cl3CCOOH Solution. Int. J. Electrochem. Sci. 2023, 18, 100057. [Google Scholar] [CrossRef]
- Pal, A.; Das, C. A Novel Use of Solid Waste Extract from Tea Factory as Corrosion Inhibitor in Acidic Media on Boiler Quality Steel. Ind. Crops Prod. 2020, 151, 112468. [Google Scholar] [CrossRef]
- Al-Otaibi, M.S.; Al-Mayouf, A.M.; Khan, M.; Mousa, A.A.; Al-Mazroa, S.A.; Alkhathlan, H.Z. Corrosion Inhibitory Action of Some Plant Extracts on the Corrosion of Mild Steel in Acidic Media. Arab. J. Chem. 2014, 7, 340–346. [Google Scholar] [CrossRef]
- Zehra, B.F.; Said, A.; Eddine, H.M.; Hamid, E.; Najat, H.; Rachid, N.; Toumert, L.I. Crataegus oxyacantha Leaves Extract for Carbon Steel Protection against Corrosion in 1M HCl: Characterization, Electrochemical, Theoretical Research, and Surface Analysis. J. Mol. Struct. 2022, 1259, 132737. [Google Scholar] [CrossRef]
- Aourabi, S.; Driouch, M.; Sfaira, M.; Mahjoubi, F.; Hammouti, B.; Verma, C.; Ebenso, E.E.; Guo, L. Phenolic Fraction of Ammi visnaga Extract as Environmentally Friendly Antioxidant and Corrosion Inhibitor for Mild Steel in Acidic Medium. J. Mol. Liq. 2021, 323, 114950. [Google Scholar] [CrossRef]
- Silva, M.G.; de Araujo, R.G.; Silvério, R.L.; Costa, A.N.C.; Sangi, D.P.; Pedrosa, L.F.; da Fonseca, G.S.; da Silva, L.; Coelho, L.W.; Ferreira, E.A. Inhibition Effects of Ionic and Non-Ionic Derivatives of Imidazole Compounds on Hydrogen Permeation during Carbon Steel Pickling. J. Mater. Res. Technol. 2022, 16, 1324–1338. [Google Scholar] [CrossRef]
- Berrissoul, A.; Loukili, E.; Mechbal, N.; Benhiba, F.; Guenbour, A.; Dikici, B.; Zarrouk, A.; Dafali, A. Anticorrosion Effect of a Green Sustainable Inhibitor on Mild Steel in Hydrochloric Acid. J. Colloid Interface Sci. 2020, 580, 740–752. [Google Scholar] [CrossRef]
- Da Silva, M.V.L.; Policarpi, E.d.B.; Spinelli, A. Syzygium cumini Leaf Extract as an Eco-Friendly Corrosion Inhibitor for Carbon Steel in Acidic Medium. J. Taiwan Inst. Chem. Eng. 2021, 129, 342–349. [Google Scholar] [CrossRef]
- Nadi, I.; Belattmania, Z.; Sabour, B.; Reani, A.; Sahibed-dine, A.; Jama, C.; Bentiss, F. Sargassum Muticum Extract Based on Alginate Biopolymer as a New Efficient Biological Corrosion Inhibitor for Carbon Steel in Hydrochloric Acid Pickling Environment: Gravimetric, Electrochemical and Surface Studies. Int. J. Biol. Macromol. 2019, 141, 137–149. [Google Scholar] [CrossRef]
- Hooshmand Zaferani, S.; Sharifi, M.; Zaarei, D.; Shishesaz, M.R. Application of Eco-Friendly Products as Corrosion Inhibitors for Metals in Acid Pickling Processes—A Review. J. Environ. Chem. Eng. 2013, 1, 652–657. [Google Scholar] [CrossRef]
- Ng, J.H.; Almubarak, T.; Nasr-El-Din, H. Natural Alkaloid as a Non-Toxic, Environmentally Friendly Corrosion Inhibitor. Can. J. Chem. Eng. 2022, 100, 1214–1225. [Google Scholar] [CrossRef]
- Quraishi, M.A.; Chauhan, D.S.; Ansari, F.A. Development of Environmentally Benign Corrosion Inhibitors for Organic Acid Environments for Oil-Gas Industry. J. Mol. Liq. 2021, 329, 115514. [Google Scholar] [CrossRef]
- Alibakhshi, E.; Ramezanzadeh, M.; Haddadi, S.A.; Bahlakeh, G.; Ramezanzadeh, B.; Mahdavian, M. Persian liquorice Extract as a Highly Efficient Sustainable Corrosion Inhibitor for Mild Steel in Sodium Chloride Solution. J. Clean. Prod. 2019, 210, 660–672. [Google Scholar] [CrossRef]
- Zakeri, A.; Bahmani, E.; Aghdam, A.S.R. Plant Extracts as Sustainable and Green Corrosion Inhibitors for Protection of Ferrous Metals in Corrosive Media: A Mini Review. Corros. Commun. 2022, 5, 25–38. [Google Scholar] [CrossRef]
- Okon Eddy, N.; Odiongenyi, A.O.; Ebenso, E.E.; Garg, R.; Garg, R. Plant Wastes as Alternative Sources of Sustainable and Green Corrosion Inhibitors in Different Environments. Corros. Eng. Sci. Technol. 2023, 58, 521–533. [Google Scholar] [CrossRef]
- Gabsi, M.; Ferkous, H.; Delimi, A.; Boublia, A.; Boulechfar, C.; Kahlouche, A.; Darwish, A.S.; Lemaoui, T.; Benguerba, Y. The Curious Case of Polyphenols as Green Corrosion Inhibitors: A Review on Their Extraction, Design, and Applications. Environ. Sci. Pollut. Res. 2023, 30, 59081–59105. [Google Scholar] [CrossRef]
- Medupin, R.O.; Ukoba, K.O.; Yoro, K.O.; Jen, T.-C. Sustainable Approach for Corrosion Control in Mild Steel Using Plant-Based Inhibitors: A Review. Mater. Today Sustain. 2023, 22, 100373. [Google Scholar] [CrossRef]
- Thoume, A.; Irahal, I.N.; Benzbiria, N.; Left, D.B.; Achagar, R.; Elmakssoudi, A.; El foulani, A.; Dakir, M.; Azzi, M.; Bourhim, N.; et al. In Vitro and in Silico Antibacterial and Anti-Corrosive Properties of Persea Americana Leaves Extract as an Environmentally Friendly Corrosion Inhibitor for Carbon Steel in a Hydrochloric Acid Medium. Colloids Surf. A Physicochem. Eng. Asp. 2023, 674, 131848. [Google Scholar] [CrossRef]
- Liao, B.; Luo, Z.; Wan, S.; Chen, L. Insight into the Anti-Corrosion Performance of Acanthopanax senticosus Leaf Extract as Eco-Friendly Corrosion Inhibitor for Carbon Steel in Acidic Medium. J. Ind. Eng. Chem. 2023, 117, 238–246. [Google Scholar] [CrossRef]
- El Aatiaoui, A.; Daoudi, W.; El badri, A.; Salhi, A.; El Massaoudi, M.; El Boutaybi, A.; Guo, L.; Loutou, M. Anticorrosive Potential of Essential Oil Extracted from the Leaves of Calamintha Plant for Mild Steel in 1 M HCl Medium. J. Adhes. Sci. Technol. 2023, 37, 1191–1214. [Google Scholar] [CrossRef]
- Yıldız, R.; Arslanhan, S.; Döner, A.; Baran, M.F. Corrosion Behavior of Mild Steel in 1 M HCl with Cyclotrichium niveum as a Green Inhibitor. Mater. Chem. Phys. 2024, 312, 128654. [Google Scholar] [CrossRef]
- Sun, X.; Tian, H.; Zou, F.; Li, W.; Qiang, Y.; Hou, B. Turning Waste into Treasure: Invasive Plant Ambrosia trifida L. Leaves as a High-Efficiency Inhibitor for Steel in Simulated Pickling Solutions. Materials 2024, 17, 3758. [Google Scholar] [CrossRef] [PubMed]
- Lamghafri, S.; Daoudi, W.; El Aatiaoui, A.; Dagdag, O.; Kim, H.; Benhiba, F.; Berisha, A.; Barrahi, A.; Nik, W.B.W.; Zarrouk, A.; et al. Performance of Artemisia Absinthium as an Ecological Corrosion Inhibitor in the Industrial Pickling Process. J. Bio. Tribocorros. 2024, 10, 17. [Google Scholar] [CrossRef]
- Lin, B.; Zhou, X.; Duan, T.; Zhao, C.; Zhu, J.; Xu, Y. Experimental and Theoretical Study on Corrosion Inhibition and Adsorption Performance of Ipomoea batatas L. Leaf Extract for Mild Steel. Arab. J. Chem. 2024, 17, 105410. [Google Scholar] [CrossRef]
- Li, Y.; Guo, Z.; Zhi, H.; Qiang, Y.; Liu, X.; Zhang, Y.; Wan, Y.; Xiang, T.; Li, X. Experimental and Computational Exploration of the Biodegradable Platanus acerifolia Leaf Extract against Mild Steel Corrosion in Hydrochloric Acid. J. Mater. Res. Technol. 2024, 30, 7830–7842. [Google Scholar] [CrossRef]
- Kalkhambkar, A.G.; Rajappa, S.K.; Manjanna, J. Evaluation of Vateria indicia Leaves Extract as a Green Source of Potential Corrosion Inhibitor against Mild Steel Corrosion in 1M HCl Solution: Electrochemical, and Surface Characterisation Studies. Sens. Technol. 2024, 2, 2345081. [Google Scholar] [CrossRef]
- Fouda, A.E.A.S.; Molouk, A.F.; Atia, M.F.; El-Hossiany, A.; Almahdy, M.S. Verbena Officinalis (VO) Leaf Extract as an Anti-Corrosion Inhibitor for Carbon Steel in Acidic Environment. Sci. Rep. 2024, 14, 16112. [Google Scholar] [CrossRef]
- Muhammad, M.T.; Hussin, M.H.; Abu Bakar, M.H.; Hamidon, T.S.; Azahar, S.S.; Awang, K.; Litaudon, M.; Azmi, M.N. Corrosion Inhibitive Performance of Kopsia Teoi Extracts towards Mild Steel in 0.5 M HCl Solution. Mater. Chem. Phys. 2024, 322, 129584. [Google Scholar] [CrossRef]
- Varsha, G.; Saya, T.; Pankaj, J.; Rashmi, T. Evaluation of the Bioactive Compounds and Its Functional Role in the Aquatic Weed Pistia Stratiotes. Res. J. Pharm. Technol. 2024, 17, 87–95. [Google Scholar] [CrossRef]
- Liu, H.-W.; He, L.-Y.; Gao, J.-M.; Ma, Y.-B.; Zhang, X.-M.; Peng, H.; Chen, J.-J. Chemical Constituents from the Aquatic Weed Pistia Stratiotes. Chem. Nat. Compd. 2008, 44, 236–238. [Google Scholar] [CrossRef]
- Rokaya, M.B.; Bashyal, S.; Timsina, B. Phytochemistry and Ethnopharmacological Importance of Pistia stratiotes L. (Hemsl) A. Grey (Araceae). In Aquatic Medicinal Plants; CRC Press: Boca Raton, FL, USA, 2023; pp. 133–162. [Google Scholar]
- Herpandi, L.; Bastian, S.D.; Sudirman, S. Antioxidant Activity of the Fractions from Water Lettuce (Pistia stratiotes) Extract. Food Res. 2021, 5, 451–455. [Google Scholar] [CrossRef] [PubMed]
- Muthukrishnan, P.; Prakash, P.; Jeyaprabha, B.; Shankar, K. Stigmasterol Extracted from Ficus Hispida Leaves as a Green Inhibitor for the Mild Steel Corrosion in 1 M HCl Solution. Arab. J. Chem. 2019, 12, 3345–3356. [Google Scholar] [CrossRef]
- Shahini, M.H.; Ramezanzadeh, M.; Bahlakeh, G.; Ramezanzadeh, B. Superior Inhibition Action of the Mish Gush (MG) Leaves Extract toward Mild Steel Corrosion in HCl Solution: Theoretical and Electrochemical Studies. J. Mol. Liq. 2021, 332, 115876. [Google Scholar] [CrossRef]
- Jmiai, A.; El Ibrahimi, B.; Tara, A.; Chadili, M.; El Issami, S.; Jbara, O.; Khallaayoun, A.; Bazzi, L. Application of Zizyphus lotuse—Pulp of Jujube Extract as Green and Promising Corrosion Inhibitor for Copper in Acidic Medium. J. Mol. Liq. 2018, 268, 102–113. [Google Scholar] [CrossRef]
- Pai, G.D.; Rathod, M.R.; Rajappa, S.K.; Kittur, A.A. Effect of Tabebuia Heterophylla Plant Leaves Extract on Corrosion Protection of Low Carbon Steel in 1 M HCl Medium: Electrochemical, Quantum Chemical and Surface Characterization Studies. Results Surf. Interfaces 2024, 15, 100203. [Google Scholar] [CrossRef]
- Lawal, M.; Kumar Verma, A.; Umar, I.A.; Gadanya, A.M.; Umar, B.; Yahaya, N.; Auwal Balarabe, B.; Usman, Z.; Adam, M. Analysis of New Potent Anti-Diabetic Molecules from Phytochemicals of PistiaStrateotes with Sglt1 and G6pc Proteins of Homo Sapiens For Treatment Of Diabetes Mellitus. An In SilicoApproach. IOSR J. Pharm. Biol. Sci. 2020, 15, 59–73. [Google Scholar] [CrossRef]
- Tyagi, T.; Agarwal, M. Phytochemical Screening and GC-MS Analysis of Bioactive Constituents in the Ethanolic Extract of Pistia stratiotes L. and Eichhornia crassipes (Mart.) Solms. J. Pharmacogn. Phytochem. 2017, 6, 195–206. [Google Scholar]
- Ogunleye, O.O.; Eletta, O.A.; Arinkoola, A.O.; Agbede, O.O. Gravimetric and Quantitative Surface Morphological Studies of Mangifera Indica Peel Extract as a Corrosion Inhibitor for Mild Steel in 1 M HCl Solution. Asia-Pac. J. Chem. Eng. 2018, 13, e2257. [Google Scholar] [CrossRef]
- Alghamdi, A.; Alshehri, W.; Sajer, B.; Ashkan, M.; Ashy, R.; Gashgari, R.; Hakmi, H. Biological Activities and GC-MS Analysis of Aloe Vera and Opuntia Ficus-Indica Extracts. J. Chem. 2023, 2023, 6504505. [Google Scholar] [CrossRef]
- Ma, J.; Ugya, Y.A.; Isiyaku, A.; Hua, X.; Imam, T.S. Evaluation of Pistia stratiotes Fractions as Effective Larvicide against Anopheles mosquitoes. Artif. Cells Nanomed. Biotechnol. 2019, 47, 945–950. [Google Scholar] [CrossRef]
- Lourenção, A.; Mecina, G.F.; Cordeiro-Araújo, M.K.; Bittencourt-Oliveira, M.C.; Chia, M.A.; Bronzel-Júnior, J.L.; Granero, F.O.; Silva, L.P.; da Silva, R.M.G. Characterization of Allelochemicals from Pistia stratiotes Extracts and Their Effects on the Growth and Physiology of Microcystis aeruginosa. Environ. Sci. Pollut. Res. 2021, 28, 57248–57259. [Google Scholar] [CrossRef] [PubMed]
- Itagaki, M.; Tagaki, M.; Watanabe, K. Active Dissolution Mechanisms of Iron Using EIS with Channel Flow Double Electrode. Influences of Chloride and Fluoride Ions. Electrochim. Acta 1996, 41, 1201–1207. [Google Scholar] [CrossRef]
- Njoku, D.I.; Okafor, P.C.; Lgaz, H.; Uwakwe, K.J.; Oguzie, E.E.; Li, Y. Outstanding Anticorrosion and Adsorption Properties of 2-Amino-6-Methoxybenzothiazole on Q235 and X70 Carbon Steels: Effect of Time, XPS, Electrochemical and Theoretical Considerations. J. Mol. Liq. 2021, 324, 114663. [Google Scholar] [CrossRef]
- Brug, G.J.; Van Den Eeden, A.L.; Sluyters-rehbach, M.; Sluyters, J.H. The Analysis of Electrode Impedances Complicated by the Presence of a Constant Phase Element. J. Electroanal. Chem. Interfacial Electrochem. 1984, 176, 275–295. [Google Scholar] [CrossRef]
- Mobin, M.; Aslam, R. Experimental and Theoretical Study on Corrosion Inhibition Performance of Environmentally Benign Non-Ionic Surfactants for Mild Steel in 3.5% NaCl Solution. Process Saf. Environ. Prot. 2018, 114, 279–295. [Google Scholar] [CrossRef]
- Kumar, A.; Das, C. A Novel Eco-Friendly Inhibitor of Chayote Fruit Extract for Mild Steel Corrosion in 1 M HCl: Electrochemical, Weight Loss Studies, and the Effect of Temperature. Sustain. Chem. Pharm. 2023, 36, 101261. [Google Scholar] [CrossRef]
- Kamal, C.; Sethuraman, M.G. Spirulina platensis—A Novel Green Inhibitor for Acid Corrosion of Mild Steel. Arab. J. Chem. 2012, 5, 155–161. [Google Scholar] [CrossRef]
- Tamilselvi, B.; Bhuvaneshwari, D.S.; Padmavathy, S.; Raja, P.B. Corrosion Inhibition of Pichia Sp. Biofilm against Mild Steel Corrosion in 1 M H2SO4. J. Mol. Liq. 2022, 359, 119359. [Google Scholar] [CrossRef]
- Popoola, L.T. Organic Green Corrosion Inhibitors (OGCIs): A Critical Review. Corros. Rev. 2019, 37, 71–102. [Google Scholar] [CrossRef]
- Fernine, Y.; Salim, R.; Arrousse, N.; Haldhar, R.; El Hajjaji, F.; Kim, S.C.; Ebn Touhami, M.; Taleb, M. Anti-Corrosion Performance of Ocimum basilicum Seed Extract as Environmental Friendly Inhibitors for Mild Steel in HCl Solution: Evaluations of Electrochemical, EDX, DFT and Monte Carlo. J. Mol. Liq. 2022, 355, 118867. [Google Scholar] [CrossRef]
- Gapsari, F.; Utaminingrum, F.; Lai, C.W.; Anam, K.; Sulaiman, A.M.; Haidar, M.F.; Julian, T.S.; Ebenso, E.E. A Convolutional Neural Network-VGG16 Method for Corrosion Inhibition of 304SS in Sulfuric Acid Solution by Timoho Leaf Extract. J. Mater. Res. Technol. 2024, 30, 1116–1127. [Google Scholar] [CrossRef]
- Rasul, H.H.; Mamad, D.M.; Azeez, Y.H.; Omer, R.A.; Omer, K.A. Theoretical Investigation on Corrosion Inhibition Efficiency of Some Amino Acid Compounds. Comput. Theor. Chem. 2023, 1225, 114177. [Google Scholar] [CrossRef]
- Obi-Egbedi, N.O.; Obot, I.B. Inhibitive Properties, Thermodynamic and Quantum Chemical Studies of Alloxazine on Mild Steel Corrosion in H2SO4. Corros Sci. 2011, 53, 263–275. [Google Scholar] [CrossRef]
- Bello Umar, A.; Usman, B.; Idris, I.A.; Bello, A.U. Experimental and Theoretical Evaluation of Corrosion Inhibition of Honeycomb Propolis Extract On Mild Steel in Acidic Media. J. Mater. Environ. Sci. 2022, 2022, 576–598. [Google Scholar]
- Benzidia, B.; Barbouchi, M.; Hsissou, R.; Zouarhi, M.; Erramli, H.; Hajjaji, N. A Combined Experimental and Theoretical Study of Green Corrosion Inhibition of Bronze B66 in 3% NaCl Solution by Aloe saponaria (Syn. Aloe Maculata) Tannin Extract. Curr. Res. Green Sustain. Chem. 2022, 5, 100299. [Google Scholar] [CrossRef]
- Donkor, S.; Song, Z.; Jiang, L.; Chu, H. An Overview of Computational and Theoretical Studies on Analyzing Adsorption Performance of Phytochemicals as Metal Corrosion Inhibitors. J. Mol. Liq. 2022, 359, 119260. [Google Scholar] [CrossRef]
- Carmona-Hernandez, A.; Campechano-Lira, C.; Espinoza-Vázquez, A.; Ramírez-Cano, J.A.; Orozco-Cruz, R.; Galván-Martínez, R. Electrochemical and DFT Theoretical Evaluation of the Randia Monantha Benth Extract as an Eco-Friendly Corrosion Inhibitor for Mild Steel in 1 M HCl Solution. J. Taiwan Inst. Chem. Eng. 2023, 147, 104913. [Google Scholar] [CrossRef]
- Noor, E.A.; Al-Moubaraki, A.H. Corrosion Behavior of Mild Steel in Hydrochloric Acid Solutions. Int. J. Electrochem. Sci. 2008, 3, 806–818. [Google Scholar] [CrossRef]
- Belkheiri, A.; Dahmani, K.; Aribou, Z.; Kharbouch, O.; Nordine, E.; Allah, A.E.M.A.; Galai, M.; Touhami, M.E.; Al-Sadoon, M.K.; Al-Maswari, B.M.; et al. In-Depth Study of a Newly Synthesized Imidazole Derivative as an Eco-Friendly Corrosion Inhibitor for Mild Steel in 1 M HCl: Theoretical, Electrochemical, and Surface Analysis Perspectives. Int. J. Electrochem. Sci. 2024, 19, 100768. [Google Scholar] [CrossRef]
- Mobin, M.; Aslam, R.; Zehra, S.; Ahmad, M. Bio-/Environment-Friendly Cationic Gemini Surfactant as Novel Corrosion Inhibitor for Mild Steel in 1 M HCl Solution. J. Surfactants Deterg. 2017, 20, 57–74. [Google Scholar] [CrossRef]
- Wazzan, N.; Obot, I.B. Unraveling the Structure-Property Relationship of Pyrimidine-Derivatives as CO2 Corrosion Inhibitors: Experimental and Periodic DFT Investigations. J. Environ. Chem. Eng. 2024, 12, 112206. [Google Scholar] [CrossRef]
- Alimohammadi, M.; Ghaderi, M.; Ahmad Ramazani, S.A.; Mahdavian, M. Falcaria vulgaris Leaves Extract as an Eco-Friendly Corrosion Inhibitor for Mild Steel in Hydrochloric Acid Media. Sci. Rep. 2023, 13, 3737. [Google Scholar] [CrossRef] [PubMed]
- Kalkhambkar, A.G.; Rajappa, S.K.; Manjanna, J.; Malimath, G.H. Saussurea obvallatta Leaves Extract as a Potential Eco-Friendly Corrosion Inhibitor for Mild Steel in 1 M HCl. Inorg. Chem. Commun. 2022, 143, 109799. [Google Scholar] [CrossRef]
- Rathod, M.R.; Rajappa, S.K.; Praveen, B.M.; Bharath, D.K. Investigation of Dolichandra Unguis-Cati Leaves Extract as a Corrosion Inhibitor for Mild Steel in Acid Medium. Curr. Res. Green Sustain. Chem. 2021, 4, 100113. [Google Scholar] [CrossRef]
- Fitoz, A.; Yılmaz, H.; Hayvalı, M.; Emregül, K.C. Evaluation of an Aza Dipyrromethene Derivative as a Green Corrosion Inhibitor via Experimental and Theoretical Methods. J. Mol. Liq. 2023, 391, 123407. [Google Scholar] [CrossRef]
- Fellah, A.; Harek, Y.; Ichchou, I.; Larabi, L.; Rouabhi, H.; Bourzami, R.; Ammari, A. Experimental and DFT Studies of a Novel Salicylhydrazone Derivative as a Steel Corrosion Inhibitor. Colloids Surf. A Physicochem. Eng. Asp. 2024, 685, 133150. [Google Scholar] [CrossRef]
- Sánchez-Márquez, J.; Zorrilla, D.; Sánchez-Coronilla, A.; de los Santos, D.M.; Navas, J.; Fernández-Lorenzo, C.; Alcántara, R.; Martín-Calleja, J. Introducing “UCA-FUKUI” Software: Reactivity-Index Calculations. J. Mol. Model 2014, 20, 2492. [Google Scholar] [CrossRef]












| Compound | Rt (min) | Molecular Weight | Molecular Formula | Area (%) | Ref. | 
|---|---|---|---|---|---|
| Phytol | 21.1 | 296 | C20H40O | 33.59 | [42] | 
| 9,12,15-Octadecatrienoic acid, ethyl ester, (Z,Z,Z)- | 21.57 | 306 | C20H34O2 | 20.98 | |
| Phthalic acid, di(2-propylpentyl) ester | 25.89 | 390 | C24H38O4 | 14.03 | |
| Linoleic acid ethyl ester | 21.50 | 308 | C20H36O2 | 11.15 | |
| Hexadecanoic acid, ethyl ester | 19.91 | 284 | C18H36O2 | 9.60 | [42] | 
| Cinh (ppm) | t (h) | Rs (Ωcm2) | Qdl.Y0 (Ssn/cm2) | n | Rct (Ωcm2) | C1 (F/cm2) | R1 (Ωcm2) | C2 (F/cm2) | R2 (Ωcm2) | C3 (F/cm2) | R3 (Ωcm2) | Cdl (μF/cm2) | χ2 × 104 | η (%) | 
|---|---|---|---|---|---|---|---|---|---|---|---|---|---|---|
| 0 | 0 | 1.54 | 5.82 × 10−4 | 0.71 | 194 | 4.92 × 10−6 | 774.70 | 8.13 × 10−4 | 2277 | 1.41 × 10−5 | 0.20 | 32.94 | 0.71 | |
| 4 | 1.38 | 4.43 × 10−4 | 0.72 | 241 | 8.59 × 10−6 | 521.90 | 3.31 × 10−4 | 3861 | 1.28 × 10−5 | 0.50 | 23.48 | 0.38 | ||
| 8 | 1.69 | 4.25 × 10−4 | 0.71 | 259 | 8.44 × 10−6 | 648.60 | 5.84 × 10−4 | 3759 | 1.26 × 10−5 | 0.93 | 23.55 | 1.07 | ||
| 24 | 1.26 | 3.82 × 10−4 | 0.72 | 208 | 5.68 × 10−6 | 283.50 | 2.06 × 10−5 | 699 | 2.10 × 10−5 | 0.04 | 20.71 | 1.22 | ||
| 50 | 0 | 1.55 | 1.09 × 10−4 | 0.82 | 434 | 16.24 | 0.90 | 55.33 | ||||||
| 4 | 1.94 | 7.16 × 10−5 | 0.85 | 614 | 14.93 | 0.62 | 60.59 | |||||||
| 8 | 1.85 | 2.80 × 10−4 | 0.72 | 487 | 4.38 × 10−6 | 1217 | 1.28 × 10−4 | 4804 | 1.47 × 10−5 | 0.02 | 14.76 | 0.84 | 46.81 | |
| 24 | 1.59 | 2.96 × 10−4 | 0.72 | 348 | 2.76 × 10−6 | 27 | 5.61 × 10−4 | 5656 | 1.37 × 10−5 | 1.07 | 15.06 | 0.98 | 40.03 | |
| 100 | 0 | 1.75 | 9.95 × 10−5 | 0.83 | 532 | 16.89 | 0.64 | 63.53 | ||||||
| 4 | 1.59 | 7.12 × 10−5 | 0.86 | 936 | 16.22 | 0.86 | 74.18 | |||||||
| 8 | 2.16 | 7.28 × 10−5 | 0.74 | 890 | 2.11 × 10−6 | 2600 | 1.84 × 10−4 | 8165 | 1.23 × 10−5 | 0.01 | 3.25 | 0.58 | 70.89 | |
| 24 | 2.02 | 6.52 × 10−5 | 0.76 | 818 | 4.00 × 10−6 | 3482 | 3.93 × 10−4 | 8651 | 1.24 × 10−5 | 0.03 | 3.66 | 0.44 | 74.52 | |
| 200 | 0 | 1.56 | 6.16 × 10−5 | 0.87 | 445 | 15.36 | 0.59 | 56.36 | ||||||
| 4 | 1.61 | 4.92 × 10−5 | 0.83 | 1262 | 1.86 × 10−6 | 2029 | 1.23 × 10−4 | 12,380 | 6.99 × 10−6 | 0.11 | 7.48 | 0.30 | 80.84 | |
| 8 | 1.71 | 4.63 × 10−5 | 0.89 | 1179 | 5.52 × 10−4 | 8917 | 3.55 × 10−5 | 10,600 | 4.55 × 10−6 | 2043 | 14.28 | 0.60 | 78.03 | |
| 24 | 1.56 | 4.84 × 10−5 | 0.89 | 769 | 4.19 × 10−4 | 11,240 | 1.95 × 10−5 | 15,960 | 6.03 × 10−6 | 2071 | 15.41 | 0.76 | 72.89 | |
| 400 | 0 | 1.45 | 8.89 × 10−5 | 0.83 | 539 | 14.18 | 0.33 | 64.03 | ||||||
| 4 | 2.11 | 5.70 × 10−5 | 0.82 | 1397 | 8.09 × 10−7 | 2182 | 1.12 × 10−4 | 12,240 | 7.97 × 10−6 | 0.10 | 8.19 | 1.11 | 82.69 | |
| 8 | 2.33 | 6.03 × 10−5 | 0.77 | 1079 | 2.09 × 10−6 | 1535 | 1.13 × 10−4 | 9707 | 1.24 × 10−5 | 0.01 | 4.49 | 0.61 | 76.00 | |
| 24 | 1.50 | 7.77 × 10−5 | 0.75 | 749 | 3.45 × 10−6 | 3506 | 3.50 × 10−4 | 11,970 | 1.05 × 10−5 | 0.01 | 3.77 | 0.31 | 72.16 | |
| 600 | 0 | 1.40 | 1.22 × 10−4 | 0.82 | 490 | 19.02 | 0.85 | 60.42 | ||||||
| 4 | 1.99 | 5.25 × 10−5 | 0.81 | 1350 | 1.93 × 10−6 | 1760 | 1.75 × 10−4 | 9684 | 1.19 × 10−5 | 0.17 | 6.52 | 0.57 | 82.09 | |
| 8 | 1.70 | 4.70 × 10−5 | 0.83 | 1026 | 3.30 × 10−5 | 15,580 | 2.63 × 10−4 | 15,860 | 5.32 × 10−6 | 0.45 | 6.72 | 0.45 | 74.76 | |
| 24 | 1.59 | 9.54 × 10−5 | 0.74 | 694 | 2.06 × 10−6 | 2402 | 3.15 × 10−4 | 6158 | 9.29 × 10−6 | 0.66 | 4.50 | 0.78 | 69.96 | 
| Cinh (ppm) | Ecorr (mV) | ba (mV/dec) | bc (mV/dec) | icorr (mA/cm2) | η (%) | 
|---|---|---|---|---|---|
| 0 | −432.73 | 70.00 | 160.90 | 0.1271 | |
| 50 | −441.14 | 76.90 | 159.90 | 0.0494 | 61.11 | 
| 100 | −447.77 | 96.50 | 140.10 | 0.0311 | 75.57 | 
| 200 | −456.77 | 102.60 | 142.20 | 0.0235 | 81.50 | 
| 400 | −448.47 | 112.10 | 124.90 | 0.0092 | 92.74 | 
| 600 | −464.32 | 98.60 | 114.10 | 0.0141 | 88.88 | 
| Chemical Composition (w%) | |||||
|---|---|---|---|---|---|
| Sample | Fe | C | O | Cl | Mn | 
| Air | 95.52 | 3.35 | 0.23 | -- | 0.9 | 
| 0 ppm | 60.98 | 4.22 | 29.65 | 4.62 | 0.51 | 
| 400 ppm | 85.16 | 5.02 | 8.90 | 0.19 | 0.71 | 
| Test | Kads (L/g) | ΔGads (kJ/mol) | 
|---|---|---|
| PPC | 42.55 | −26.21 | 
| EIS | 59.17 | −27.22 | 
| Compound | HOMO | LUMO | ESP | 
|---|---|---|---|
| Phytol |  |  |  | 
| 9,12,15-Octadecatrienoic acid, ethyl ester, (Z,Z,Z)- |  |  |  | 
| Phthalic acid, di(2-propylpentyl) ester |  |  |  | 
| Linoleic acid ethyl ester |  |  |  | 
| Molecule | EHOMO (eV) | ELUMO (eV) | ΔEgap (eV) | ηQ (eV) | χ (eV) | ΔN | 
|---|---|---|---|---|---|---|
| Phytol | −6.379 | 0.206 | 6.585 | 3.220 | 3.014 | 0.619 | 
| 9,12,15-Octadecatrienoic acid, ethyl ester, (Z,Z,Z)- | −6.009 | 0.495 | 6.504 | 3.252 | 2.757 | 0.652 | 
| Phthalic acid, di(2-propylpentyl) ester | −6.913 | −1.422 | 5.491 | 2.727 | 4.149 | 0.523 | 
| Linoleic acid ethyl ester | −6.314 | 0.438 | 6.752 | 3.297 | 2.860 | 0.628 | 
| Leaf Extract | Cinh (ppm) | Solution | Solvent | η (%) | Ref. | 
|---|---|---|---|---|---|
| Falcaria vulgaris | 800 | HCl 0.5 M | Water | 91 EIS | [63] | 
| Calamintha | 1500 | HCl 1 M | 87.57 EIS | [20] | |
| Saussurea obvallatta | 200 | HCl 1 M | Methanol | 90 EIS | [64] | 
| Tabebuia heterophylla | 440 | HCl 1 M | Ethanol | 94.8 WL | [36] | 
| Platanus acerifolia | 400 | HCl 1 M | Ethanol/Water | 91.5 PPC | [25] | 
| Mish Gush | 1200 | HCl 1 M | Water | 96 EIS | [34] | 
| Dolichandra unguis-cati | 760 | HCl 1 M | Ethanol | 93.6 WL * | [65] | 
| Pistia stratiotes | 400 | HCl 1 M | Ethanol/Water | 93.7 PPC | This study | 
| Disclaimer/Publisher’s Note: The statements, opinions and data contained in all publications are solely those of the individual author(s) and contributor(s) and not of MDPI and/or the editor(s). MDPI and/or the editor(s) disclaim responsibility for any injury to people or property resulting from any ideas, methods, instructions or products referred to in the content. | 
© 2024 by the authors. Licensee MDPI, Basel, Switzerland. This article is an open access article distributed under the terms and conditions of the Creative Commons Attribution (CC BY) license (https://creativecommons.org/licenses/by/4.0/).
Share and Cite
Carmona-Hernandez, A.; Barreda-Serrano, M.C.; Saldarriaga-Noreña, H.A.; López-Sesenes, R.; González-Rodríguez, J.G.; Mejía-Sánchez, E.; Ramírez-Cano, J.A.; Orozco-Cruz, R.; Galván-Martínez, R. Insight into the Corrosion Inhibition Performance of Pistia stratiotes Leaf Extract as a Novel Eco-Friendly Corrosion Inhibitor for Mild Steel in 1 M HCl Solution. Molecules 2024, 29, 5243. https://doi.org/10.3390/molecules29225243
Carmona-Hernandez A, Barreda-Serrano MC, Saldarriaga-Noreña HA, López-Sesenes R, González-Rodríguez JG, Mejía-Sánchez E, Ramírez-Cano JA, Orozco-Cruz R, Galván-Martínez R. Insight into the Corrosion Inhibition Performance of Pistia stratiotes Leaf Extract as a Novel Eco-Friendly Corrosion Inhibitor for Mild Steel in 1 M HCl Solution. Molecules. 2024; 29(22):5243. https://doi.org/10.3390/molecules29225243
Chicago/Turabian StyleCarmona-Hernandez, Andres, María Concepción Barreda-Serrano, Hugo Albeiro Saldarriaga-Noreña, Roy López-Sesenes, José Gonzalo González-Rodríguez, Edgar Mejía-Sánchez, Jorge Alberto Ramírez-Cano, Ricardo Orozco-Cruz, and Ricardo Galván-Martínez. 2024. "Insight into the Corrosion Inhibition Performance of Pistia stratiotes Leaf Extract as a Novel Eco-Friendly Corrosion Inhibitor for Mild Steel in 1 M HCl Solution" Molecules 29, no. 22: 5243. https://doi.org/10.3390/molecules29225243
APA StyleCarmona-Hernandez, A., Barreda-Serrano, M. C., Saldarriaga-Noreña, H. A., López-Sesenes, R., González-Rodríguez, J. G., Mejía-Sánchez, E., Ramírez-Cano, J. A., Orozco-Cruz, R., & Galván-Martínez, R. (2024). Insight into the Corrosion Inhibition Performance of Pistia stratiotes Leaf Extract as a Novel Eco-Friendly Corrosion Inhibitor for Mild Steel in 1 M HCl Solution. Molecules, 29(22), 5243. https://doi.org/10.3390/molecules29225243
 
        




 
                         
       