Extraction of Bioactive Phenolics from Various Anthocyanin-Rich Plant Materials and Comparison of Their Heat Stability
Abstract
1. Introduction
2. Results and Discussion
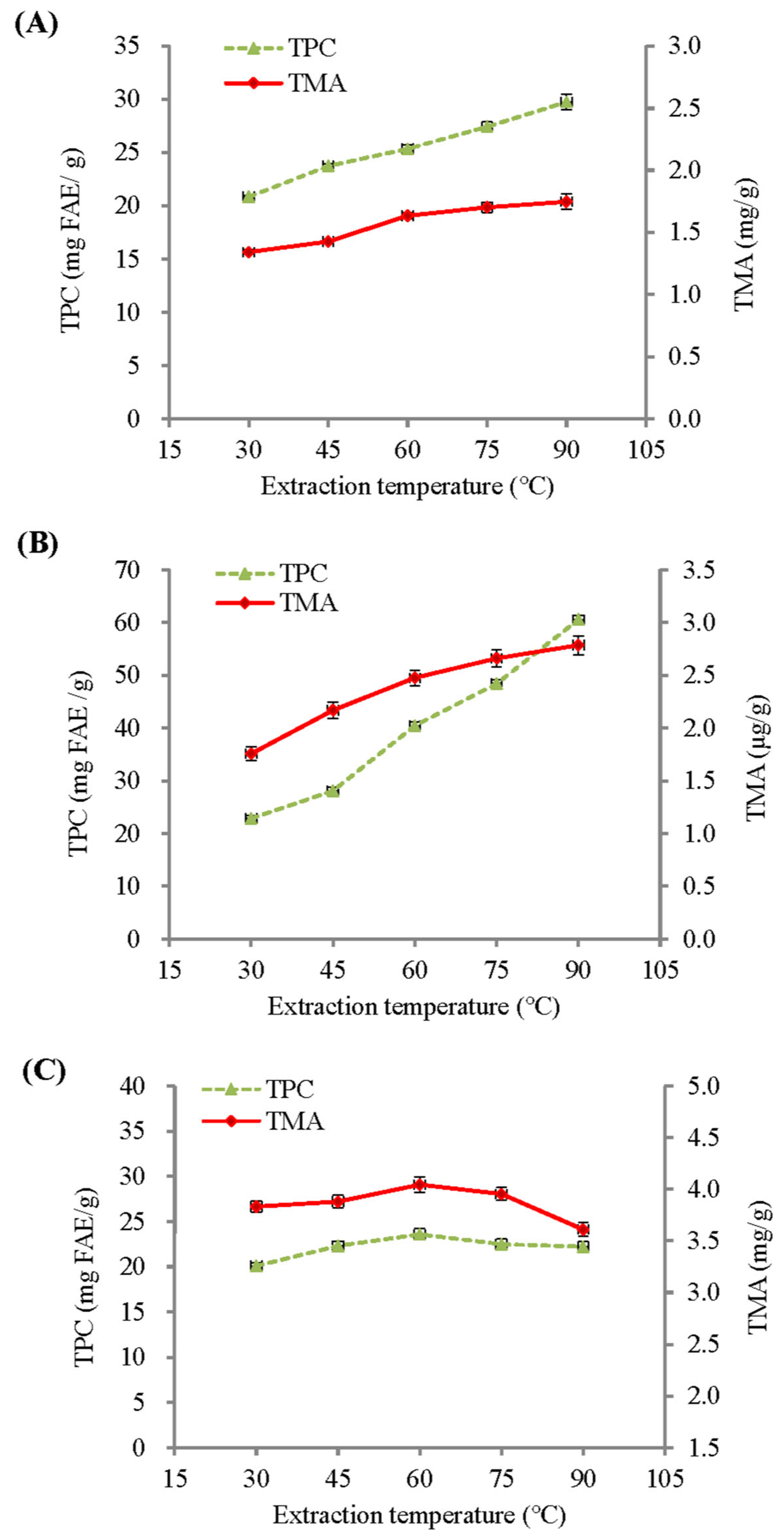
2.1. Bioactive Phenolics of Extracts
| Sample | Extraction Time (min) | TMA (mg/g) | TPC (mg FAE/g) | DPPH Scavenging Activity (mg TE/g) | Reducing Power (mg TE/g) |
|---|---|---|---|---|---|
| BPFE | 30 | 1.75 ± 0.05 a | 29.73 ± 0.70 a | 26.51 ± 0.66 b | 33.84 ± 0.95 a |
| BPFE | 60 | 1.70 ± 0.05 ab | 30.50 ± 0.64 a | 27.04 ± 0.68 b | 34.07 ± 0.92 a |
| BPFE | 90 | 1.66 ± 0.05 ab | 31.09 ± 0.44 a | 27.74 ± 0.70 ab | 34.41 ± 0.96 a |
| BPFE | 120 | 1.59 ± 0.04 b | 31.10 ± 0.47 a | 28.42 ± 0.72 a | 34.78 ± 0.96 a |
| GSE | 30 | 2.79 ± 0.09 a | 60.55 ± 0.84 d | 109.96 ± 2.19 c | 111.01 ± 2.75 a |
| GSE | 60 | 2.56 ± 0.08 b | 65.01 ± 0.70 c | 112.81 ± 2.22 b | 112.14 ± 2.52 a |
| GSE | 90 | 2.49 ± 0.09 b | 67.51 ± 0.86 b | 120.32 ± 2.61 a | 113.86 ± 2.69 a |
| GSE | 120 | 2.22 ± 0.08 c | 69.18 ± 0.81 a | 123.32 ± 2.83 a | 115.61 ± 2.85 a |
| RCE | 30 | 4.04 ± 0.07 a | 23.58 ± 0.62 b | 35.78 ± 0.88 a | 41.93 ± 0.71 b |
| RCE | 60 | 3.95 ± 0.08 ab | 24.56 ± 0.69 ab | 35.87 ± 0.81 a | 47.10 ± 0.82 a |
| RCE | 90 | 3.87 ± 0.07 bc | 25.41 ± 0.50 a | 35.43 ± 0.88 a | 47.35 ± 0.78 a |
| RCE | 120 | 3.75 ± 0.06 c | 25.62 ± 0.57 a | 35.32 ± 0.82 a | 47.63 ± 0.75 a |

2.2. Antioxidation Capacity of Extracts
2.3. Anthocyanin Stability of Extracts
3. Materials and Methods
3.1. Materials
3.2. Preparation of Aqueous Extracts
3.3. Determination of Total Monomeric Anthocyanin (TMA)
3.4. Determination of Total Phenolics
3.5. Determination of Antioxidant Capacity
3.6. Determination of Anthocyanin Stability
3.7. Statistical Analysis
4. Conclusions
Author Contributions
Funding
Institutional Review Board Statement
Informed Consent Statement
Data Availability Statement
Conflicts of Interest
References
- Abu Bakar, N.N.; Latip, J.; Sapian, S.; Khalid, R.M. Optimization of roselle (Hibiscus sabdariffa Linn.) anthocyanin extraction parameter by response surface modeling and potential of roselle agro-waste as alternative sources of anthocyanin. Sains Malays. 2023, 52, 3147–3162. [Google Scholar] [CrossRef]
- Aryanti, N.; Nafiunisa, A.; Wardhani, D.H. Conventional and ultrasound-assisted extraction of anthocyanin from red and purple roselle (Hibiscus sabdariffa L.) calyces and characterisation of its anthocyanin powder. Int. Food Res. J. 2019, 26, 529–535. [Google Scholar]
- Cisse, M.; Bohuon, P.; Sambe, F.; Kane, C.; Sakho, M.; Dornier, M. Aqueous extraction of anthocyanins from Hibiscus sabdariffa: Experimental kinetics and modeling. J. Food Eng. 2012, 109, 16–21. [Google Scholar] [CrossRef]
- Enaru, B.; Dretcanu, G.; Pop, T.D.; Stanila, A.; Diaconeasa, Z. Anthocyanins: Factors affecting their stability and degradation. Antioxidants 2021, 10, 1967. [Google Scholar] [CrossRef] [PubMed]
- Jokioja, J.; Yang, B.R.; Linderborg, K.M. Acylated anthocyanins: A review on their bioavailability and effects on postprandial carbohydrate metabolism and inflammation. Compr. Rev. Food Sci. Food Saf. 2021, 20, 5570–5615. [Google Scholar] [CrossRef] [PubMed]
- Gamage, G.C.V.; Lim, Y.Y.; Choo, W.S. Anthocyanins from Clitoria ternatea flower: Biosynthesis, extraction, stability, antioxidant activity, and applications. Front. Plant Sci. 2021, 12, 792303. [Google Scholar]
- Saini, R.K.; Khan, M.I.; Shang, X.M.; Kumar, V.; Kumari, V.; Kesarwani, A.; Ko, E.Y. Dietary sources, stabilization, health benefits, and industrial application of anthocyanins—A review. Foods 2024, 13, 1227. [Google Scholar] [CrossRef]
- Zhao, C.L.; Chen, Z.J.; Bai, X.S.; Ding, C.; Long, T.J.; Wei, F.G.; Miao, K.R. Structure-activity relationships of anthocyanidin glycosylation. Mol. Divers. 2014, 18, 687–700. [Google Scholar] [CrossRef]
- Wu, H.Y.; Yang, K.M.; Chiang, P.Y. Roselle anthocyanins: Antioxidant properties and stability to heat and pH. Molecules 2018, 23, 1357. [Google Scholar] [CrossRef]
- Jiang, T.; Mao, Y.; Sui, L.; Yang, N.; Li, S.; Zhu, Z.; Wang, C.; Yin, S.; He, J.; He, Y. Degradation of anthocyanins and polymeric color formation during heat treatment of purple sweet potato extract at different pH. Food Chem. 2019, 274, 460–470. [Google Scholar] [CrossRef]
- Neves, D.; Andrade, P.B.; Videira, R.A.; de Freitas, V.; Cruz, L. Berry anthocyanin-based films in smart food packaging: A mini-review. Food Hydrocolloid. 2022, 133, 107885. [Google Scholar] [CrossRef]
- Mukherjeea, P.K.; Kumar, V.; Kumar, N.S.; Heinrich, M. The Ayurvedic medicine Clitoria ternatea—From traditional use to scientific assessment. J. Ethnopharmacol. 2008, 120, 291–301. [Google Scholar] [CrossRef] [PubMed]
- Li, C.; Tang, W.; Chen, S.L.; He, J.P.; Li, X.J.; Zhu, X.C.; Li, H.M.; Peng, Y. Phytochemical properties and in vitro biological activities of phenolic compounds from flower of Clitoria ternatea L. Molecules 2022, 27, 6336. [Google Scholar] [CrossRef] [PubMed]
- Vuong, T.T.; Hongsprabhas, P. Influences of pH on binding mechanisms of anthocyanins from butterfly pea flower (Clitoria ternatea) with whey powder and whey protein isolate. Cogent Food Agri. 2021, 7, 1889098. [Google Scholar] [CrossRef]
- Da-Costa-Rocha, I.; Bonnlaender, B.; Sievers, H.; Pischel, I.; Heinrich, M. Hibiscus sabdariffa L.—A phytochemical and pharmacological review. Food Chem. 2014, 165, 424–443. [Google Scholar] [CrossRef]
- Wong, P.K.; Yusof, S.; Ghazali, H.M.; Man, Y.B.C. Optimization of hot water extraction of roselle juice using response surface methodology: A comparative study with other extraction methods. J. Sci. Food Agric. 2003, 83, 1273–1278. [Google Scholar] [CrossRef]
- Jabeur, I.; Pereira, E.; Barros, L.; Calhelha, R.C.; Sokovic, M.; Oliveira, M.; Ferreira, I. Hibiscus sabdariffa L. as a source of nutrients, bioactive compounds and colouring agents. Food Res. Int. 2017, 100, 717–723. [Google Scholar] [CrossRef]
- Yu, J.M.; Ahmedna, M. Functional components of grape pomace: Their composition, biological properties and potential applications. Int. J. Food Sci.Technol. 2013, 48, 221–237. [Google Scholar] [CrossRef]
- Tournour, H.H.; Segundo, M.A.; Magalhães, L.M.; Barreiros, L.; Queiroz, J.; Cunha, L.M. Valorization of grape pomace: Extraction of bioactive phenolics with antioxidant properties. Ind. Crops Prod. 2015, 74, 397–406. [Google Scholar] [CrossRef]
- Mizuno, H.; Hirano, K.; Okamoto, G. Effect of anthocyanin composition in grape skin on anthocyanic vacuolar inclusion development and skin coloration. Vitis 2015, 45, 173–177. [Google Scholar]
- Morata, A.; Escot, C.; Loira, I.; López, C.; Palomero, F.; González, C. Emerging non-thermal technologies for the extraction of grape anthocyanins. Antioxidants 2021, 10, 1863. [Google Scholar] [CrossRef]
- Ludin, N.A.; Al-Alwani, M.A.M.; Mohamad, A.; Kadhum, A.A.H.; Hamid, N.H.; Ibrahim, M.A.; Teridi, M.A.M.; Al-Hakeem, T.M.A.; Mukhlus, A.; Sopian, K. Utilization of natural dyes from Zingiber officinale leaves and Clitoria ternatea flowers to prepare new photosensitisers for dye-sensitised solar cells. Int. J. Electrochem. Sci. 2018, 13, 7451–7465. [Google Scholar] [CrossRef]
- Oancea, S.; Draghici, O. pH and thermal stability of anthocyanin-based optimised extracts of romanian red onion cultivars. Czech J. Food Sci. 2013, 31, 283–291. [Google Scholar] [CrossRef]
- Liazid, A.; Barbero, G.F.; Azaroual, L.; Palma, M.; Barroso, C.G. Stability of anthocyanins from red grape skins under pressurized liquid extraction and ultrasound-assisted extraction conditions. Molecules 2014, 19, 21034–21043. [Google Scholar] [CrossRef] [PubMed]
- Alvarez, A.; Terreros, S.; Cocero, M.J.; Mato, R.B. Microwave pretreatment for the extraction of anthocyanins from saffron flowers: Assessment of product quality. Antioxidants 2021, 10, 1054. [Google Scholar] [CrossRef] [PubMed]
- Ijod, G.; Musa, F.N.; Anwar, F.; Suleiman, N.; Adzahan, N.M.; Azman, E.M. Thermal and nonthermal pretreatment methods for the extraction of anthocyanins: A review. J. Food Process. Preserv. 2022, 46, e17255. [Google Scholar] [CrossRef]
- Gil-Martín, E.; Forbes-Hernandez, T.; Alejandro, R.; Cianciosi, D.; Giampieri, F.; Battino, M. Influence of the extraction method on the recovery of bioactive phenolic compounds from food industry by-products. Food Chem. 2022, 378, 131918. [Google Scholar] [CrossRef] [PubMed]
- Shiau, S.Y.; Yu, Y.; Li, J.; Huang, W.; Feng, H. Phytochemical-rich colored noodles fortified with an aqueous extract of Clitoria ternatea flowers. Foods 2023, 12, 1686. [Google Scholar] [CrossRef]
- Pereira, R.N.; Coelho, M.I.; Genisheua, Z.; Fernandes, J.M.; Vicente, A.A.; Pintado, M.E.; Teixeira, J.A. Using ohmic heating effect on grape skins as a pretreatment for anthocyanins extraction. Food Bioprod. Process. 2020, 124, 320–328. [Google Scholar] [CrossRef]
- Ahmad, A.N.; Lim, S.A.; Navaranjan, N. Development of sago (Metroxylon sagu)-based colorimetric indicator incorporated with butterfly pea (Clitoria ternatea) anthocyanin for intelligent food packaging. J. Food Saf. 2020, 40, 12807. [Google Scholar] [CrossRef]
- Voss, D.M.; Grouge, S.M.; Giusti, M.M. Comparison of Hot Water and Acetone Extraction Methods on Anthocyanin Content and Color Characteristics of Butterfly Pea Flower Extracts; College of Food, Agricultural and Environmental Sciences, The Ohio State University: Columbus, OH, USA, 2020; Available online: https://grad.cfaes.ohio-state.edu/research-projects/danielle-voss (accessed on 4 November 2024).
- Cisse, M.; Vaillant, F.; Acosta, O.; Dhuique-Mayer, C.; Dornier, M. Thermal degradation kinetics of anthocyanins from blood orange, blackberry, and roselle using the Arrhenius, Eyring, and Ball models. J. Agric. Food Chem. 2009, 57, 6285–6291. [Google Scholar] [CrossRef] [PubMed]
- Zakaria, N.N.A.; Okello, E.J.; Howes, M.J.; Birch-Machin, M.A.; Bowman, A. In vitro protective effects of an aqueous extract of Clitoria ternatea L. flower against hydrogen peroxide-induced cytotoxicity and UV-induced mtDNA damage in human keratinocytes. Phytother. Res. 2018, 32, 1064–1072. [Google Scholar] [CrossRef] [PubMed]
- Escher, G.B.; Marques, M.B.; do Carmo, M.A.V.; Azevedo, L.; Furtado, M.M.; Sant’Ana, A.S.; Silva, M.C.; Genovese, M.I.; Wen, M.; Zhang, L.; et al. Clitoria ternatea L. petal bioactive compounds display antioxidant, antihemolytic and antihypertensive effects, inhibit α-amylase and α-glucosidase activities and reduce human LDL cholesterol and DNA induced oxidation. Food Res. Int. 2020, 128, 108763. [Google Scholar] [CrossRef] [PubMed]
- Jeyaraj, E.J.; Lim, Y.Y.; Choo, W.S. Effect of organic solvents and water extraction on the phytochemical profile and antioxidant activity of Clitoria ternatea flowers. ACS Food Sci. Technol. 2021, 1, 1567–1577. [Google Scholar] [CrossRef]
- Ratha, J.; Yongram, C.; Panyatip, P.; Powijitkul, P.; Siriparu, P.; Datham, S.; Priprem, A.; Srisongkram, T.; Puthongking, P. Polyphenol and tryptophan contents of purple corn (Zea mays L.) variety KND and butterfly pea (Clitoria ternatea) aqueous extracts: Insights into phytochemical profiles with antioxidant activities and PCA analysis. Plants 2023, 12, 603. [Google Scholar] [CrossRef]
- Sindi, H.A.; Marshall, L.J.; Morgan, M.R.A. Comparative chemical and biochemical analysis of extracts of Hibiscus sabdariffa. Food Chem. 2014, 164, 23–29. [Google Scholar] [CrossRef]
- Hapsari, B.W.; Manikharda; Setyaningsih, W. Methodologies in the analysis of phenolic compounds in roselle (Hibiscus sabdariffa): Composition, biological activity, and beneficial effects on human health. Horticulturae 2021, 7, 35. [Google Scholar] [CrossRef]
- Samadi, S.; Fard, F.R. Phytochemical properties, antioxidant activity and mineral content (Fe, Zn and Cu) in Iranian produced black tea, green tea and roselle calyces. Biocatal. Agric. Biotechnol. 2020, 23, 101472. [Google Scholar] [CrossRef]
- Baron, G.; Ferrario, G.; Marinello, C.; Carini, M.; Morazzoni, P.; Aldini, G. Effect of extraction solvent and temperature on polyphenol profiles, antioxidant and anti-inflammatory effects of red grape skin by-product. Molecules 2021, 26, 5454. [Google Scholar] [CrossRef] [PubMed]
- Ju, Z.Y.; Howard, L.R. Effects of solvent and temperature on pressurized liquid extraction of anthocyanins and total phenolics from dried red grape skin. J. Agric. Food Chem. 2003, 51, 5207–5213. [Google Scholar] [CrossRef]
- Netravati; Gomez, S.; Pathrose, B.; Raj, N.M.; Joseph, P.M.; Kuruvila, B. Comparative evaluation of anthocyanin pigment yield and its attributes from butterfly pea (Clitorea ternatea L.) flowers as prospective food colorant using different extraction methods. Future Foods 2022, 6, 100199. [Google Scholar] [CrossRef]
- Koss-Mikolajczyk, I.; Bartoszek, A. Relationship between chemical structure and biological activity evaluated In Vitro for six anthocyanidins most commonly occurring in edible plants. Molecules 2023, 28, 6156. [Google Scholar] [CrossRef] [PubMed]
- Shiau, S.Y.; Wang, Y.; Yu, Y.; Cai, S.; Liu, Q. Phytochemical, antioxidant activity, and thermal stability of Clitoria ternatea flower extracts. Czech J. Food Sci. 2024, 42, 284–294. [Google Scholar] [CrossRef]
- Santos, R.O.; Keller, L.M.; de Oliveira, V.S.; Bucher, C.A.; Barbosa, J.L.; Vicente, J.; Barbosa, M. Degradation kinetics and in vitro digestive stability of selected bioactive compounds from a beverage formulated with butterfly pea flowers. Cienc. Rural 2022, 52, e20210146. [Google Scholar] [CrossRef]
- Karasu, S.; Baslar, M.; Karaman, S.; Kiliçli, M.; Us, A.A.; Yaman, H.; Sagdiç, O. Characterization of some bioactive compounds and physicochemical properties of grape varieties grown in Turkey: Thermal degradation kinetics of anthocyanin. Turk. J. Agric. For. 2016, 40, 177–185. [Google Scholar] [CrossRef]
- Fu, X.Y.; Wang, Q.; Wu, J.; Chen, Y.L.; Zhu, G.P.; Zhu, Z.X. Spectral characteristic, storage stability and antioxidant properties of anthocyanin extracts from flowers of butterfly pea (Clitoria ternatea L.). Molecules 2021, 26, 7000. [Google Scholar] [CrossRef]
- Danisman, G.; Arslan, E.; Toklucu, A.K. Kinetic analysis of anthocyanin degradation and polymeric colour formation in grape juice during heating. Czech J. Food Sci. 2015, 33, 103–108. [Google Scholar] [CrossRef]
- Marpaung, A.M.; Andarwulan, N.; Hariyadi, P.; Faridah, D.N. Thermal degradation of anthocyanins in butterfly pea (Clitoria ternatea L.) flower extract at pH 7. Am. J. Food Sci. Technol. 2017, 5, 199–203. [Google Scholar] [CrossRef]
- Aurelio, D.L.; Edgardo, R.G.; Navarro-Galindo, S. Thermal kinetic degradation of anthocyanins in a roselle (Hibiscus sabdariffa L. cv. ‘Criollo’) infusion. Int. J. Food Sci.Technol. 2008, 43, 322–325. [Google Scholar] [CrossRef]
- Lee, J.; Durst, R.W.; Wrolstad, R.E. Determination of total monomeric anthocyanin pigment content of fruit juices, beverages, natural colorants, and wines by the pH differential method: Collaborative study. J. AOAC Int. 2005, 88, 1269–1278. [Google Scholar] [CrossRef]
- Liyana-Pathlrana, C.M.; Shahidi, F. Antioxidant and free radical scavenging activities of whole wheat and milling fractions. Food Chem. 2007, 101, 1151–1157. [Google Scholar] [CrossRef]
- Oyaizu, M. Studies on products of browning reactions: Antioxidative activities of products of browning reaction prepared from glucosamine. Jpn. J. Nutr. 1986, 44, 307–315. [Google Scholar] [CrossRef]



| pH | Heating | BPFE | BPFE | GSE | GSE | RCE | RCE |
|---|---|---|---|---|---|---|---|
| Temperature (°C) | k × 100 (h−1) | t0.5 (h) | k × 100 (h−1) | t0.5 (h) | k × 100 (h−1) | t0.5 (h) | |
| 2.5 | 60 | 1.31 ± 0.05 h | 52.94 ± 2.41 a | 1.93 ± 0.10 i | 35.91 ± 1.82 a | 3.04 ± 0.14 g | 22.80 ± 1.15 a |
| 2.5 | 70 | 1.44 ± 0.06 h | 48.16 ± 2.08 b | 3.22 ± 0.19 hi | 21.53 ± 1.30 c | 7.29 ± 0.45 f | 9.51 ± 0.57 c |
| 2.5 | 80 | 2.42 ± 0.21 fg | 28.64 ± 2.47 d | 5.58 ± 0.36 ef | 12.42 ± 0.82 e | 10.64 ± 0.74 e | 6.51 ± 0.43 de |
| 2.5 | 90 | 5.00 ± 0.46 ab | 13.87 ± 1.18 i | 13.09 ± 1.03 b | 5.30 ± 0.42 gh | 26.70 ± 2.12 c | 2.60 ± 0.21 g |
| 3.5 | 60 | 1.95 ± 0.12 gh | 35.56 ± 2.51 c | 2.75 ± 0.12 hi | 25.21 ± 1.17 b | 3.05 ± 0.14 g | 22.73 ± 1.06 a |
| 3.5 | 70 | 2.74 ± 0.28 def | 25.37 ± 2.80 def | 3.91 ± 0.24 gh | 17.73 ± 1.10 d | 7.50 ± 0.46 f | 9.24 ± 0.57 c |
| 3.5 | 80 | 3.26 ± 0.39 cd | 21.25 ± 2.74 fg | 6.97 ± 0.45 de | 9.94 ± 0.65 f | 12.22 ± 0.79 e | 5.67 ± 0.36 ef |
| 3.5 | 90 | 5.41 ± 0.59 a | 12.87 ± 1.34 i | 17.44 ± 1.42 a | 3.97 ± 0.32 h | 29.80 ± 2.45 b | 2.33 ± 0.19 g |
| 4.5 | 60 | 2.32 ± 0.24 fg | 29.88 ± 3.12 d | 3.78 ± 0.14 gh | 18.34 ± 0.67 d | 3.60 ± 0.12 g | 19.25 ± 0.70 b |
| 4.5 | 70 | 3.04 ± 0.32 cdef | 22.80 ± 2.47 efg | 4.99 ± 0.24 fg | 13.89 ± 0.66 e | 9.49 ± 0.45 ef | 7.30 ± 0.35 d |
| 4.5 | 80 | 3.49 ± 0.35 c | 19.86 ± 2.18 g | 7.50 ± 0.44 d | 9.24 ± 0.62 f | 15.61 ± 1.04 d | 4.44 ± 0.29 f |
| 4.5 | 90 | 4.66 ± 0.35 b | 14.91 ± 1.12 hi | 16.99 ± 1.30 a | 4.08 ± 0.31 h | 33.41 ± 2.70 a | 2.07 ± 0.15 g |
| 5.5 | 60 | 2.52 ± 0.15 efg | 27.51 ± 2.12 de | 5.22 ± 0.26 fg | 13.28 ± 0.67 e | 3.67 ± 0.18 g | 18.89 ± 0.96 b |
| 5.5 | 70 | 3.20 ± 0.19 cde | 21.68 ± 1.35 fg | 7.35 ± 0.43 d | 9.43 ± 0.56 f | 10.53 ± 0.63 e | 6.58 ± 0.39 de |
| 5.5 | 80 | 3.66 ± 0.32 c | 18.97 ± 1.65 gh | 10.15 ± 0.67 c | 6.83 ± 0.45 g | 15.64 ± 1.04 d | 4.43 ± 0.29 f |
| 5.5 | 90 | 4.61 ± 0.31 b | 15.07 ± 1.01 hi | 17.87 ± 1.41 a | 3.88 ± 0.31 h | 34.08 ± 2.70 a | 2.03 ± 0.15 g |
Disclaimer/Publisher’s Note: The statements, opinions and data contained in all publications are solely those of the individual author(s) and contributor(s) and not of MDPI and/or the editor(s). MDPI and/or the editor(s) disclaim responsibility for any injury to people or property resulting from any ideas, methods, instructions or products referred to in the content. |
© 2024 by the authors. Licensee MDPI, Basel, Switzerland. This article is an open access article distributed under the terms and conditions of the Creative Commons Attribution (CC BY) license (https://creativecommons.org/licenses/by/4.0/).
Share and Cite
Yu, Y.; Shiau, S.; Pan, W.; Yang, Y. Extraction of Bioactive Phenolics from Various Anthocyanin-Rich Plant Materials and Comparison of Their Heat Stability. Molecules 2024, 29, 5256. https://doi.org/10.3390/molecules29225256
Yu Y, Shiau S, Pan W, Yang Y. Extraction of Bioactive Phenolics from Various Anthocyanin-Rich Plant Materials and Comparison of Their Heat Stability. Molecules. 2024; 29(22):5256. https://doi.org/10.3390/molecules29225256
Chicago/Turabian StyleYu, Yanli, Syyu Shiau, Weichen Pan, and Yvette Yang. 2024. "Extraction of Bioactive Phenolics from Various Anthocyanin-Rich Plant Materials and Comparison of Their Heat Stability" Molecules 29, no. 22: 5256. https://doi.org/10.3390/molecules29225256
APA StyleYu, Y., Shiau, S., Pan, W., & Yang, Y. (2024). Extraction of Bioactive Phenolics from Various Anthocyanin-Rich Plant Materials and Comparison of Their Heat Stability. Molecules, 29(22), 5256. https://doi.org/10.3390/molecules29225256

