Adaptive Laboratory Evolution of Flavin Functionality Identifies Dihydrolipoyl Dehydrogenase as One of the Critical Points for the Activity of 7,8-Didemethyl-Riboflavin as a Surrogate for Riboflavin in Escherichia coli
Abstract
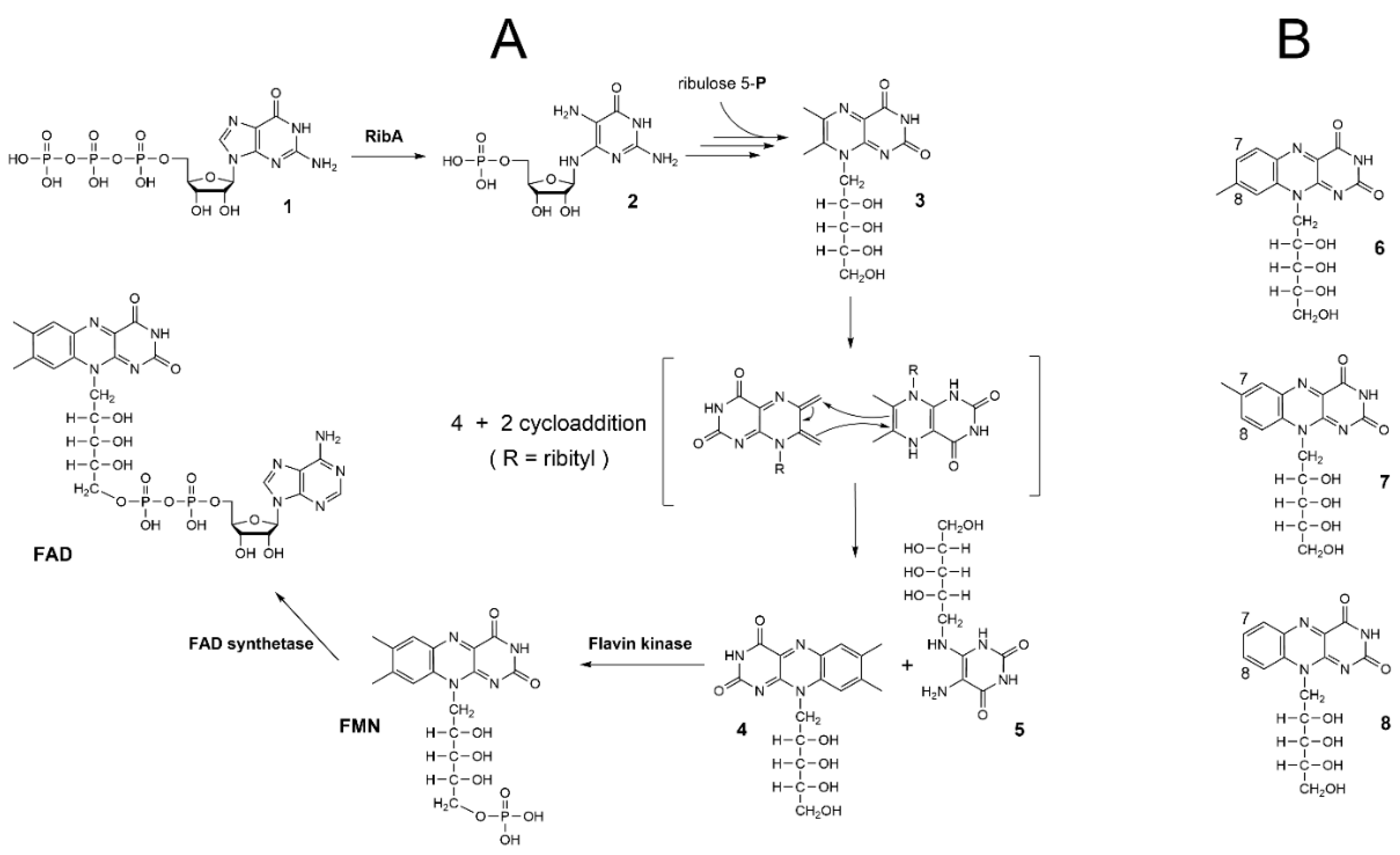
1. Introduction
2. Results
2.1. Preparation of E. coli BL21(DE3)-ΔribA Strain
2.2. Testing of Demethyl-Riboflavins as Riboflavin Surrogates for the E. coli BL21(DE3)-ΔribA Strain
2.3. 7,8-Didemthyl-riboflavin Is Transported into ΔribA-RT Cells by the Riboflavin Transporter from C. glutamicum
2.4. Redox Behavior of the Demethyl-Flavins
2.5. Adaptive Evolution Experiment
2.6. Genome-Wide Mutation Analysis
2.7. Cloning of lpdA
2.8. Influence of the Mutated lpdA Genes on the Fitness of the ΔribA-RT Strain
3. Discussion
4. Materials and Methods
4.1. Chemicals and Enzymes
4.2. Demethylated Riboflavins
4.3. Bacterial Strains, Plasmids and DNA Primers
4.4. Transformation of E. coli Cells
4.5. Colony PCR
4.6. Construction of pTargetF-ribA and Synthesis of the Editing Template for the Knockout of ribA
4.7. Transformation of E. coli BL21(DE3) Cells for the Knockout of ribA
4.8. Whole Genome Sequencing
4.9. Construction of the Plasmid Expressing the Riboflavin Transporter Gene from C. glutamicum in E. coli
4.10. Expression of the Avena Sativa LOV2 Protein, Isolation of Flavin Ligands, and Their Analysis with LC-MS
4.11. Cloning of the Dihydrolipoyl Dehydrogenase Gene lpdA from E. coli
Supplementary Materials
Author Contributions
Funding
Institutional Review Board Statement
Informed Consent Statement
Data Availability Statement
Acknowledgments
Conflicts of Interest
References
- Hille, R.M.S.; Palfey, B. (Eds.) Complex Flavoproteins, Dehydrogenases and Physical Methods. In Handbook of Flavoproteins; De Gruyter: Berlin, Germany, 2013. [Google Scholar]
- Becker, D.F.; Zhu, W.; Moxley, M.A. Flavin redox switching of protein functions. Antioxid. Redox Signal 2011, 14, 1079–1091. [Google Scholar] [CrossRef]
- LeBlanc, J.G.; Milani, C.; de Giori, G.S.; Sesma, F.; van Sinderen, D.; Ventura, M. Bacteria as vitamin suppliers to their host: A gut microbiota perspective. Curr. Opin. Biotechnol. 2013, 24, 160–168. [Google Scholar] [CrossRef] [PubMed]
- Kar, R.K.; Miller, A.F.; Mroginski, M.A. Understanding flavin electronic structure and spectra. Wires Comput. Mol. Sci. 2022, 12, e1541. [Google Scholar] [CrossRef]
- Kim, R.R.; Illarionov, B.; Joshi, M.; Cushman, M.; Lee, C.Y.; Eisenreich, W.; Fischer, M.; Bacher, A. Mechanistic insights on riboflavin synthase inspired by selective binding of the 6,7-dimethyl-8-ribityllumazine exomethylene anion. J. Am. Chem. Soc. 2010, 132, 2983–2990. [Google Scholar] [CrossRef]
- Richert, S.; Chen, J.; Pompe, N.; Radtke, V.; Illarionov, B.; Fischer, M.; Bacher, A.; Weber, S. Influence of the cofactor structure on the photophysical processes initiating signal transduction in a phototropin-derived LOV domain. J. Chem. Phys. 2019, 151, 235102. [Google Scholar] [CrossRef] [PubMed]
- Lambooy, J.P. Biological activities of analogs of riboflavin. In Riboflavin; Rivlin, R.S., Ed.; Springer: Berlin/Heidelberg, Germany, 1975; pp. 303–367. [Google Scholar]
- Lambooy, J.P. Riboflavin analogs utilized for metabolism by a Lactobacillus casei mutant. Int. J. Biochem. 1984, 16, 231–234. [Google Scholar] [CrossRef] [PubMed]
- Jiang, Y.; Chen, B.; Duan, C.; Sun, B.; Yang, J.; Yang, S. Multigene editing in the Escherichia coli genome via the CRISPR-Cas9 system. Appl. Environ. Microbiol. 2015, 81, 2506–2514. [Google Scholar] [CrossRef]
- Long, K.; Li, X.; Su, D.; Zeng, S.; Li, H.; Zhang, Y.; Zhang, B.; Yang, W.; Li, P.; Li, X.; et al. Exploring high-resolution chromatin interaction changes and functional enhancers of myogenic marker genes during myogenic differentiation. J. Biol. Chem. 2022, 298, 102149. [Google Scholar] [CrossRef] [PubMed]
- Ghatak, S.; King, Z.A.; Sastry, A.; Palsson, B.O. The y-ome defines the 35% of Escherichia coli genes that lack experimental evidence of function. Nucleic Acids Res. 2019, 47, 2446–2454. [Google Scholar] [CrossRef] [PubMed]
- Robinson, J.T.; Thorvaldsdottir, H.; Winckler, W.; Guttman, M.; Lander, E.S.; Getz, G.; Mesirov, J.P. Integrative genomics viewer. Nat. Biotechnol. 2011, 29, 24–26. [Google Scholar] [CrossRef]
- Steiert, P.S.; Stauffer, L.T.; Stauffer, G.V. The lpd gene product functions as the L protein in the Escherichia coli glycine cleavage enzyme system. J. Bacteriol. 1990, 172, 6142–6144. [Google Scholar] [CrossRef] [PubMed]
- Pettit, F.H.; Reed, L.J. Alpha-keto acid dehydrogenase complexes. 8. Comparison of dihydrolipoyl dehydrogenases from pyruvate and alpha-ketoglutarate dehydrogenase complexes of Escherichia coli. Proc. Natl. Acad. Sci. USA 1967, 58, 1126–1130. [Google Scholar] [CrossRef] [PubMed]
- Galdiero, S.; Falanga, A.; Cantisani, M.; Tarallo, R.; Della Pepa, M.E.; D’Oriano, V.; Galdiero, M. Microbe-host interactions: Structure and role of Gram-negative bacterial porins. Curr. Protein Pept. Sci. 2012, 13, 843–854. [Google Scholar] [CrossRef] [PubMed]
- Dubendorff, J.W.; Studier, F.W. Controlling basal expression in an inducible T7 expression system by blocking the target T7 promoter with lac repressor. J. Mol. Biol. 1991, 219, 45–59. [Google Scholar] [CrossRef]
- Leimkuhler, S.; Wuebbens, M.M.; Rajagopalan, K.V. The History of the Discovery of the Molybdenum Cofactor and Novel Aspects of its Biosynthesis in Bacteria. Coord. Chem. Rev. 2011, 255, 1129–1144. [Google Scholar] [CrossRef] [PubMed]
- Cheeseman, P.; Toms-Wood, A.; Wolfe, R.S. Isolation and properties of a fluorescent compound, factor 420, from Methanobacterium strain M.o.H. J. Bacteriol. 1972, 112, 527–531. [Google Scholar] [CrossRef]
- Payne, K.A.; White, M.D.; Fisher, K.; Khara, B.; Bailey, S.S.; Parker, D.; Rattray, N.J.; Trivedi, D.K.; Goodacre, R.; Beveridge, R.; et al. New cofactor supports alpha,beta-unsaturated acid decarboxylation via 1,3-dipolar cycloaddition. Nature 2015, 522, 497–501. [Google Scholar] [CrossRef] [PubMed]
- Otani, S.; Takatsu, M.; Nakano, M.; Kasai, S.; Miura, R. Letter: Roseoflavin, a new antimicrobial pigment from Streptomyces. J. Antibiot. 1974, 27, 86–87. [Google Scholar] [CrossRef]
- Oestreicher, G.; Grossman, S.; Goldenberg, J.; Kearny, E.B.; Edmondson, D.E.; Singer, T.P.; Lambooy, J.P. Succinate dehydrogenease from baker’s yeast: Comparative biochemistry and biosynthetic variants containing covalently bound flavin analogues. Comp. Biochem. Physiol. Part. B Comp. Biochem. 1980, 67, 395–402. [Google Scholar] [CrossRef]
- Kim, Y.S.; Lambooy, J.P. Loss of hepatic monoamine oxidase activity resulting from replacement of its coenzyme flavin. Proc. Soc. Exp. Biol. Med. 1978, 157, 466–471. [Google Scholar] [CrossRef] [PubMed]
- Kim, Y.S.; Lambooy, J.P. Covalent bonding of riboflavin homologs by hepatic mitochondrial membrane enzymes. Int. J. Biochem. 1985, 17, 975–981. [Google Scholar] [CrossRef]
- Lambooy, J.P. Utilization of analogues of riboflavin for growth and survival of the chicken. J. Nutr. 1982, 112, 1126–1129. [Google Scholar] [CrossRef] [PubMed]
- Pedrolli, D.B.; Jankowitsch, F.; Schwarz, J.; Langer, S.; Nakanishi, S.; Frei, E.; Mack, M. Riboflavin analogs as antiinfectives: Occurrence, mode of action, metabolism and resistance. Curr. Pharm. Des. 2013, 19, 2552–2560. [Google Scholar] [CrossRef]
- Shapiro, S. Speculative strategies for new antibacterials: All roads should not lead to Rome. J. Antibiot. 2013, 66, 371–386. [Google Scholar] [CrossRef] [PubMed]
- Yamazaki, T.; Matsuo, J. Mutation frequency of Escherichia coli isolated from river water: Potential role in the development of antimicrobial resistance. Can. J. Microbiol. 2021, 67, 651–656. [Google Scholar] [CrossRef] [PubMed]
- Karlin, S.; Mrazek, J.; Campbell, A.; Kaiser, D. Characterizations of highly expressed genes of four fast-growing bacteria. J. Bacteriol. 2001, 183, 5025–5040. [Google Scholar] [CrossRef] [PubMed]
- Ishihama, Y.; Schmidt, T.; Rappsilber, J.; Mann, M.; Hartl, F.U.; Kerner, M.J.; Frishman, D. Protein abundance profiling of the Escherichia coli cytosol. BMC Genom. 2008, 9, 102. [Google Scholar] [CrossRef]
- Nikaido, H. Porins and specific channels of bacterial outer membranes. Mol. Microbiol. 1992, 6, 435–442. [Google Scholar] [CrossRef]
- Focke, F.; Haase, I.; Fischer, M. Loop-mediated isothermal amplification (LAMP): Methods for plant species identification in food. J. Agric. Food Chem. 2013, 61, 2943–2949. [Google Scholar] [CrossRef]
- Pompe, N.; Chen, J.; Illarionov, B.; Panter, S.; Fischer, M.; Bacher, A.; Weber, S. Methyl groups matter: Photo-CIDNP characterizations of the semiquinone radicals of FMN and demethylated FMN analogs. J. Chem. Phys. 2019, 151, 235103. [Google Scholar] [CrossRef] [PubMed]
- Dower, W.J.; Miller, J.F.; Ragsdale, C.W. High efficiency transformation of E. coli by high voltage electroporation. Nucleic Acids Res. 1988, 16, 6127–6145. [Google Scholar] [CrossRef]
- Hemsley, A.; Arnheim, N.; Toney, M.D.; Cortopassi, G.; Galas, D.J. A simple method for site-directed mutagenesis using the polymerase chain reaction. Nucleic Acids Res. 1989, 17, 6545–6551. [Google Scholar] [CrossRef] [PubMed]
- Pyne, M.E.; Moo-Young, M.; Chung, D.A.; Chou, C.P. Coupling the CRISPR/Cas9 System with Lambda Red Recombineering Enables Simplified Chromosomal Gene Replacement in Escherichia coli. Appl. Environ. Microbiol. 2015, 81, 5103–5114. [Google Scholar] [CrossRef] [PubMed]
- Andrews, S.-i.c. FastQC—A Quality Control Tool for High Troughput Sequence Data; Babraham Bioinformatics: Cambridge, MA, USA, 2018. [Google Scholar]
- Li, H.A.P. Aligning sequence reads, clone sequences and assembly contigs with BWA-MEM. arXiv 2013, arXiv:1303.3997. [Google Scholar]
- Li, H.; Handsaker, B.; Wysoker, A.; Fennell, T.; Ruan, J.; Homer, N.; Marth, G.; Abecasis, G.; Durbin, R. The Sequence Alignment/Map format and SAMtools. Bioinformatics 2009, 25, 2078–2079. [Google Scholar] [CrossRef] [PubMed]
- Bullock, W.O.; Fernandez, J.M.; Short, J.M. XL1-Blue—a high-efficiency plasmid transforming recA Escherichia coli strain with β-galactosidase selection. Biotechniques 1987, 5, 376–379. [Google Scholar]
- Studier, F.W.; Moffatt, B.A. Use of bacteriophage T7 RNA polymerase to direct selective high-level expression of cloned genes. J. Mol. Biol. 1986, 189, 113–130. [Google Scholar] [CrossRef] [PubMed]



| Genome Coordinate According to NC_012892 | Gene | Codon (Respective Amino Acid) in Reference Genome | Evolution Line | Protein | ||
|---|---|---|---|---|---|---|
| 1 | 2 | 3 | ||||
| Mutation (Amino Acid) | ||||||
| 131,146 | lpdA | GCA (A144) | ACA (T) | dihydrolipoyl dehydrogenase | ||
| 131,222 | CTG (L169) | CAG (Q) | ||||
| 131,795 | GTG (V360) | GGG (G) | ||||
| 991,109 | ompF | GGT (G320) | TGT (C) | porin OmpF | ||
| 991,602–991,607 | CGT (R154) GTT (V155) | deleted | ||||
| 991,877 | CGT (R64) | TGT (C) | ||||
| 991,942–991,953 | GCT (A38) GTC (V39) GGT (G40) CTG (L41) | deleted | ||||
| 4,176,743 | IR 1 | C | T | T | NA 2 | |
| Strain | lpdA Variant | Cultivation | Quotient Mean Value ± sd | ||
|---|---|---|---|---|---|
| 1 | 2 | 3 | |||
| 1 | WT | 0.98 | 1.01 | 0.82 | 0.94 ± 0.08 |
| 2 | A144T | 1.12 | 1.15 | 1.07 | 1.11 ± 0.03 a |
| 3 | L169Q | 1.34 | 1.07 | 1.08 | 1.16 ± 0.13 |
| 4 | V360G | 1.19 | 1.20 | 1.55 | 1.31 ± 0.17 a |
Disclaimer/Publisher’s Note: The statements, opinions and data contained in all publications are solely those of the individual author(s) and contributor(s) and not of MDPI and/or the editor(s). MDPI and/or the editor(s) disclaim responsibility for any injury to people or property resulting from any ideas, methods, instructions or products referred to in the content. |
© 2024 by the authors. Licensee MDPI, Basel, Switzerland. This article is an open access article distributed under the terms and conditions of the Creative Commons Attribution (CC BY) license (https://creativecommons.org/licenses/by/4.0/).
Share and Cite
La-Rostami, F.; Scharf, A.; Albert, C.; Wax, N.; Creydt, M.; Illarionov, B.; Bacher, A.; Weber, S.; Fischer, M. Adaptive Laboratory Evolution of Flavin Functionality Identifies Dihydrolipoyl Dehydrogenase as One of the Critical Points for the Activity of 7,8-Didemethyl-Riboflavin as a Surrogate for Riboflavin in Escherichia coli. Molecules 2024, 29, 5891. https://doi.org/10.3390/molecules29245891
La-Rostami F, Scharf A, Albert C, Wax N, Creydt M, Illarionov B, Bacher A, Weber S, Fischer M. Adaptive Laboratory Evolution of Flavin Functionality Identifies Dihydrolipoyl Dehydrogenase as One of the Critical Points for the Activity of 7,8-Didemethyl-Riboflavin as a Surrogate for Riboflavin in Escherichia coli. Molecules. 2024; 29(24):5891. https://doi.org/10.3390/molecules29245891
Chicago/Turabian StyleLa-Rostami, Farshad, Alexandra Scharf, Chenyang Albert, Nils Wax, Marina Creydt, Boris Illarionov, Adelbert Bacher, Stefan Weber, and Markus Fischer. 2024. "Adaptive Laboratory Evolution of Flavin Functionality Identifies Dihydrolipoyl Dehydrogenase as One of the Critical Points for the Activity of 7,8-Didemethyl-Riboflavin as a Surrogate for Riboflavin in Escherichia coli" Molecules 29, no. 24: 5891. https://doi.org/10.3390/molecules29245891
APA StyleLa-Rostami, F., Scharf, A., Albert, C., Wax, N., Creydt, M., Illarionov, B., Bacher, A., Weber, S., & Fischer, M. (2024). Adaptive Laboratory Evolution of Flavin Functionality Identifies Dihydrolipoyl Dehydrogenase as One of the Critical Points for the Activity of 7,8-Didemethyl-Riboflavin as a Surrogate for Riboflavin in Escherichia coli. Molecules, 29(24), 5891. https://doi.org/10.3390/molecules29245891

