Fragmentation Pathway of Organophosphorus Flame Retardants by Liquid Chromatography–Orbitrap-Based High-Resolution Mass Spectrometry
Abstract
1. Introduction
2. Results and Discussion
2.1. Fragmentation Pathway and Characteristic Ions of Three Types of OPFRs
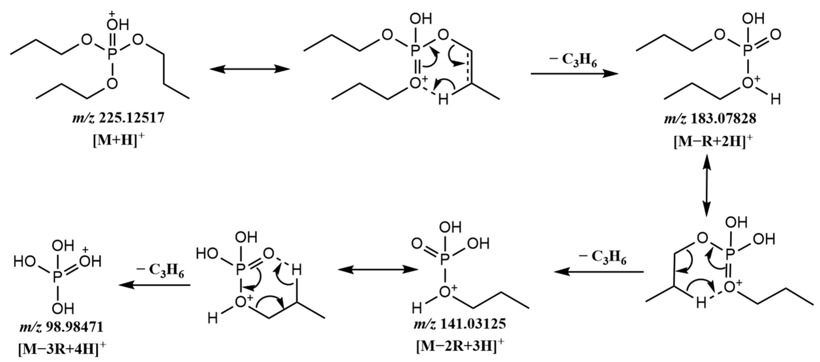
2.1.1. Fragmentation Pathway and Characteristic Ions of Alkyl OPFRs
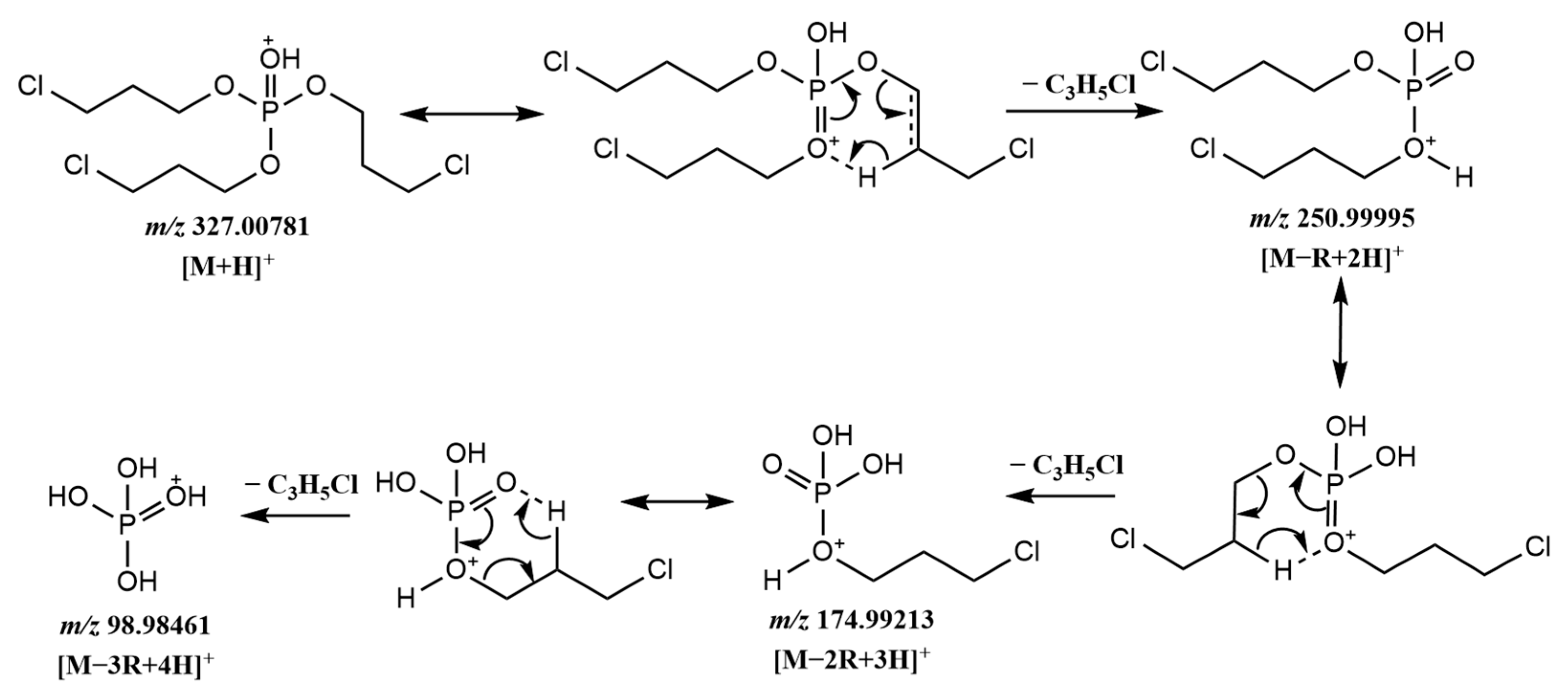
2.1.2. Fragmentation Pathway and Characteristic Ions of Halogenated OPFRs
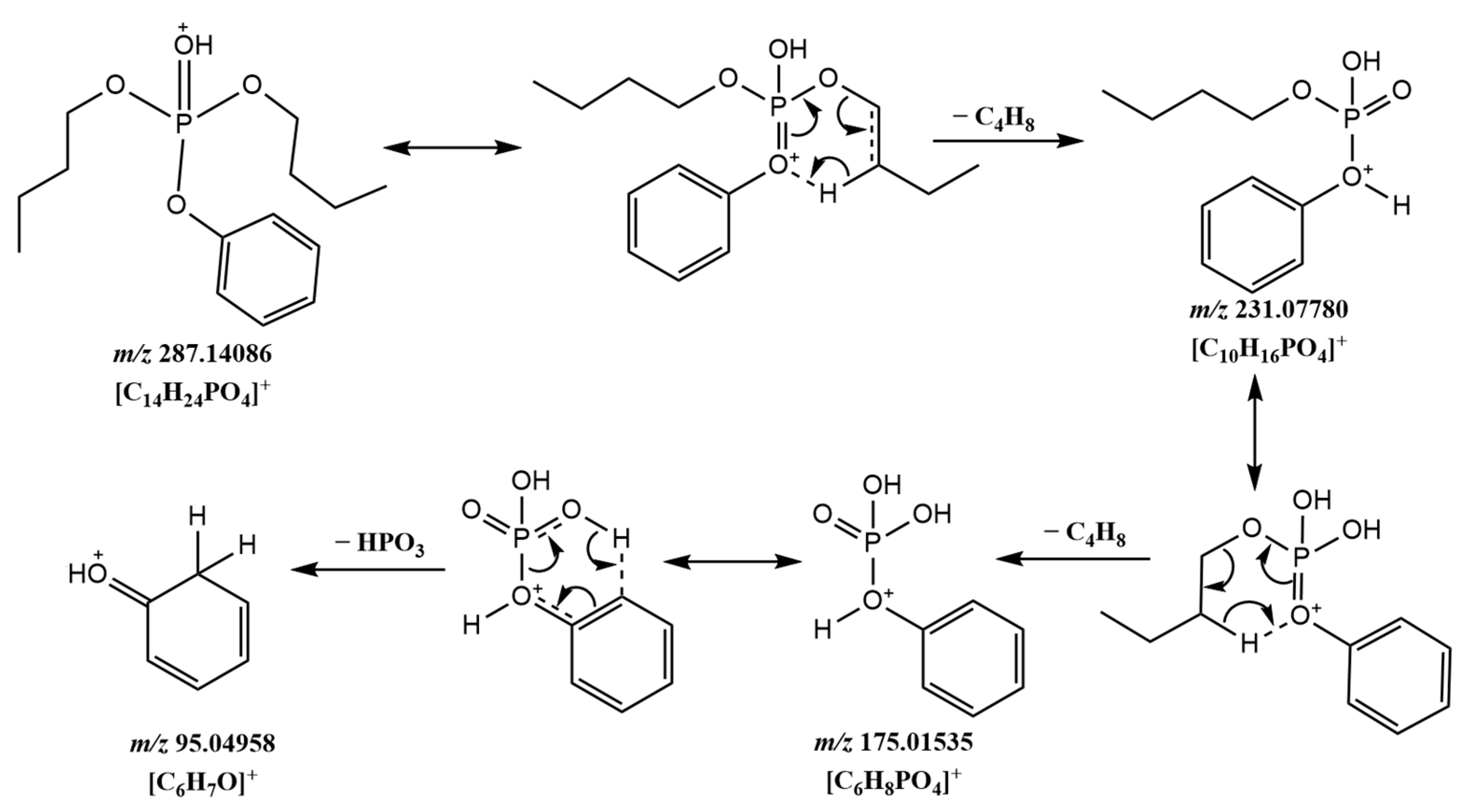
2.1.3. Fragmentation Pathway and Characteristic Ions of Aromatic OPFRs
2.2. Comparison with Fragmentation Pathways under the EI Source
2.3. Screening of Organophosphorus Flame Retardants in Actual Samples
3. Materials and Methods
3.1. Main Materials and Reagents
3.2. Analytical Methods
3.3. Sample Preparation and Pretreatment
4. Conclusions
Supplementary Materials
Author Contributions
Funding
Institutional Review Board Statement
Informed Consent Statement
Data Availability Statement
Conflicts of Interest
References
- Davidson, D.J.; McKay, A.P.; Cordes, D.B.; Woollins, J.D.; Westwood, N.J. The Covalent Linking of Organophosphorus Heterocycles to Date Palm Wood-Derived Lignin: Hunting for New Materials with Flame-Retardant Potential. Molecules 2023, 28, 7885. [Google Scholar] [CrossRef]
- Chen, C.; Wang, X.; Luo, T.; Zhen, H.; Yang, X.; Yang, L.; Yan, Z. Synthesis of solid reactive organophosphorus-nitrogen flame retardant and its application in epoxy resin. J. Appl. Polym. Sci. 2023, 140, e54282. [Google Scholar] [CrossRef]
- Konstantinova, A.; Yudaev, P.; Orlov, A.; Loban, O.; Lukashov, N.; Chistyakov, E. Aryloxyphosphazene-Modified and Graphite-Filled Epoxy Compositions with Reduced Flammability and Electrically Conductive Properties. J. Compos. Sci. 2023, 7, 417. [Google Scholar] [CrossRef]
- Zhong, M.; Wang, T.; Qi, C.; Peng, G.; Lu, M.; Huang, J.; Yu, G. Automated online solid-phase extraction liquid chromatography tandem mass spectrometry investigation for simultaneous quantification of per-and polyfluoroalkyl substances, pharmaceuticals and personal care products, and organophosphorus flame retardants in environmental waters. J. Chromatogr. A 2019, 1602, 350–358. [Google Scholar] [CrossRef]
- Vykoukalová, M.; Venier, M.; Vojta, Š.; Melymuk, L.; Bečanová, J.; Romanak, K.; Klánová, J. Organophosphate esters flame retardants in the indoor environment. Environ. Int. 2017, 106, 97–104. [Google Scholar] [CrossRef]
- Liu, S.L.; Zhang, H.; Hu, X.H.; Qiu, Y.L.; Zhu, Z.L.; Zhao, J.F. Analysis of organophosphate esters in sediment samples using gas chromatography-tandem mass spectrometry. Chin. J. Anal. Chem. 2016, 44, 192–197. [Google Scholar] [CrossRef]
- Zhao, L.; Jian, K.; Su, H.; Zhang, Y.; Li, J.; Letcher, R.J.; Su, G. Organophosphate esters (OPEs) in Chinese foodstuffs: Dietary intake estimation via a market basket method, and suspect screening using high-resolution mass spectrometry. Environ. Int. 2019, 128, 343–352. [Google Scholar] [CrossRef]
- Du, J.; Li, H.; Xu, S.; Zhou, Q.; Jin, M.; Tang, J. A review of organophosphorus flame retardants (OPFRs): Occurrence, bioaccumulation, toxicity, and organism exposure. Environ. Sci. Pollut. Res. 2019, 26, 22126–22136. [Google Scholar] [CrossRef] [PubMed]
- Ding, J.; Deng, T.; Xu, M.; Wang, S.; Yang, F. Residuals of organophosphate esters in foodstuffs and implication for human exposure. Environ. Pollut. 2018, 233, 986–991. [Google Scholar] [CrossRef] [PubMed]
- Zheng, X.B.; Wu, J.P.; Luo, X.J.; Zeng, Y.H.; She, Y.Z.; Mai, B.X. Halogenated flame retardants in home-produced eggs from an electronic waste recycling region in South China: Levels, composition profiles, and human dietary exposure assessment. Environ. Int. 2012, 45, 122–128. [Google Scholar] [CrossRef] [PubMed]
- Santín, G.; Eljarrat, E.; Barceló, D. Simultaneous determination of 16 organophosphorus flame retardants and plasticizers in fish by liquid chromatography-tandem mass spectrometry. J. Chromatogr. A 2016, 1441, 34–43. [Google Scholar] [CrossRef]
- Li, J.; Zhao, L.; Letcher, R.J.; Zhang, Y.; Jian, K.; Zhang, J.; Su, G. A review on organophosphate Ester (OPE) flame retardants and plasticizers in foodstuffs: Levels, distribution, human dietary exposure, and future directions. Environ. Int. 2019, 127, 35–51. [Google Scholar] [CrossRef]
- Poma, G.; Sales, C.; Bruyland, B.; Christia, C.; Goscinny, S.; Van Loco, J.; Covaci, A. Occurrence of organophosphorus flame retardants and plasticizers (PFRs) in Belgian foodstuffs and estimation of the dietary exposure of the adult population. Environ. Sci. Technol. 2018, 52, 2331–2338. [Google Scholar] [CrossRef] [PubMed]
- Kim, J.W.; Isobe, T.; Muto, M.; Tue, N.M.; Katsura, K.; Malarvannan, G.; Tanabe, S. Organophosphorus flame retardants (PFRs) in human breast milk from several Asian countries. Chemosphere 2014, 116, 91–97. [Google Scholar] [CrossRef] [PubMed]
- Fang, H.; Tong, W.; Branham, W.S.; Moland, C.L.; Dial, S.L.; Hong, H.; Sheehan, D.M. Study of 202 natural, synthetic, and environmental chemicals for binding to the androgen receptor. Chem. Res. Toxicol. 2003, 16, 1338–1358. [Google Scholar] [CrossRef] [PubMed]
- Dishaw, L.V.; Powers, C.M.; Ryde, I.T.; Roberts, S.C.; Seidler, F.J.; Slotkin, T.A.; Stapleton, H.M. Is the PentaBDE replacement, tris (1,3-dichloro-2-propyl) phosphate (TDCPP), a developmental neurotoxicant? Studies in PC12 cells. Toxicol. Appl. Pharm. 2011, 256, 281–289. [Google Scholar] [CrossRef] [PubMed]
- Tokumura, M.; Miyake, Y.; Wang, Q.; Nakayama, H.; Amagai, T.; Ogo, S.; Ogawa, K. Methods for the Analysis of Organophosphorus Flame Retardants—Comparison of GC-EI-MS, GC-NCI-MS, LC-ESI-MS/MS, and LC-APCI-MS/MS. J. Environ. Sci. Health Part A 2018, 53, 475–481. [Google Scholar] [CrossRef]
- Xu, F.; García-Bermejo, Á.; Malarvannan, G.; Gómara, B.; Neels, H.; Covaci, A. Multi-contaminant analysis of organophosphate and halogenated flame retardants in food matrices using ultrasonication and vacuum assisted extraction, multi-stage cleanup and gas chromatography–mass spectrometry. J. Chromatogr. A 2015, 1401, 33–41. [Google Scholar] [CrossRef]
- Chen, D.; Letcher, R.J.; Chu, S. Determination of non-halogenated, chlorinated and brominated organophosphate flame retardants in herring gull eggs based on liquid chromatography–tandem quadrupole mass spectrometry. J. Chromatogr. A 2012, 1220, 169–174. [Google Scholar] [CrossRef]
- Huang, J.; Ye, L.; Fang, M.; Su, G. Industrial production of organophosphate flame retardants (OPFRs): Big knowledge gaps need to be filled? Bull. Environ. Contam. Toxicol. 2022, 108, 809–818. [Google Scholar] [CrossRef]
- Van der Veen, I.; de Boer, J. Phosphorus flame retardants: Properties, production, environmental occurrence, toxicity and analysis. Chemosphere 2012, 88, 1119–1153. [Google Scholar] [CrossRef]
- Lesage, D.; Virelizier, H.; Tabet, J.C.; Jankowski, C.K. Study of mass spectrometric fragmentations of tributyl phosphate via collision-induced dissociation. Rapid Commun. Mass. Sp. 2001, 15, 1947–1956. [Google Scholar] [CrossRef]
- Ma, Y.; Hites, R.A. Electron impact, electron capture negative ionization and positive chemical ionization mass spectra of organophosphorus flame retardants and plasticizers. J. Mass. Spectrom. 2013, 48, 931–936. [Google Scholar] [CrossRef] [PubMed]
- Yang, J.S.; Zhang, Q.H.; Su, L.Q. Fragmentation mechanism of organic phosphorus flame retardant by gas chromatography-quadrupole time of flight mass spectrometry. J. Mass. Spectrom. 2019, 42, 36–47. [Google Scholar] [CrossRef]
- Ye, L.; Meng, W.; Huang, J.; Li, J.; Su, G. Establishment of a target, suspect, and functional group-dependent screening strategy for organophosphate esters (OPEs): “Into the Unknown” of OPEs in the sediment of Taihu Lake, China. Environ. Sci. Technol. 2021, 55, 5836–5847. [Google Scholar] [CrossRef]
- Kostiainen, R.; Kauppila, T.J. Effect of eluent on the ionization process in liquid chromatography–mass spectrometry. J. Chromatogr. A 2009, 1216, 685–699. [Google Scholar] [CrossRef]









| Number | Compound | Abbreviation | Mr | Molecular Formula | CAS Number | 
|---|---|---|---|---|---|
| 1 | Trimethyl phosphate | TMP | 140.0233 | C3H9PO4 | 512-56-1 | 
| 2 | Triethyl phosphate | TEP | 182.0702 | C6H15PO4 | 78-40-0 | 
| 3 | Tri-n-propyl phosphate | TnPP | 224.1177 | C9H21PO4 | 513-08-6 | 
| 4 | Tri-n-butyl phosphate | TnBP | 266.1641 | C12H27PO4 | 126-73-8 | 
| 5 | Tri-iso-butyl phosphate | TiBP | 266.1641 | C12H27PO4 | 126-71-6 | 
| 6 | Tripentyl phosphate | TPeP | 308.2111 | C15H33PO4 | 2528-38-3 | 
| 7 | Tris(2-methylpropyl) phosphate | TiPP | 224.1177 | C9H21PO4 | 513-02-0 | 
| 8 | Tris(2-ethylhexyl) phosphate | TEHP | 434.3519 | C24H51PO4 | 78-42-2 | 
| 9 | Tris(2-butoxyethyl) phosphate | TBOEP | 398.2428 | C18H39PO7 | 78-51-3 | 
| 10 | Tris(chloroethyl) phosphate | TCEP | 283.9533 | C6H12Cl3PO4 | 115-96-8 | 
| 11 | Tris(chloropropyl) phosphate | TCPP | 326.0008 | C9H18Cl3PO4 | 1067-98-7 | 
| 12 | Tris(2-chloroisopropyl) phosphate | TCIPP | 326.0008 | C9H18Cl3PO4 | 13674-84-5 | 
| 13 | Tris(2,3-dichloro-2-propyl)phosphate | T23DCPP | 427.8834 | C9H15Cl6PO4 | 78-43-3 | 
| 14 | Tris(1,3-dichloro-2-propyl)phosphate | TDCIPP | 427.8834 | C9H15Cl6PO4 | 13674-87-8 | 
| 15 | Tris(2,3-dibromopropyl) phosphate | T23DBPP | 691.5803 | C9H15Br6PO4 | 126-72-7 | 
| 16 | Triphenyl phosphate | TPHP | 326.0702 | C18H15PO4 | 115-86-6 | 
| 17 | 2-Ethylhexyl-diphenyl phosphate | EHDPP | 362.1641 | C20H27PO4 | 1241-94-7 | 
| 18 | Tris-o-tolyl-phosphate | o-TCP | 368.1172 | C21H21PO4 | 78-30-8 | 
| 19 | Tris-m-tolyl-phosphate | m-TCP | 368.1172 | C21H21PO4 | 563-04-2 | 
| 20 | Tri-p-tolyl-phosphate | p-TCP | 368.1172 | C21H21PO4 | 78-32-0 | 
| 21 | Dibutyl phenyl phosphate | dBPhP | 286.1328 | C14H23PO4 | 2528-36-1 | 
| 22 | Butyl diphenyl phosphate | BdPhP | 306.1015 | C16H19PO4 | 2752-95-6 | 
| 23 | Tris(3,5-dimethylphenyl) phosphate | T35DMPP | 410.1641 | C24H27PO4 | 25653-16-1 | 
| 24 | Cresyl diphenyl phosphate | CDPP | 340.0859 | C19H17PO4 | 26444-49-5 | 
| 25 | Isodecyl diphenyl phosphate | IDDP | 390.1954 | C22H31PO4 | 29761-21-5 | 
| Disclaimer/Publisher’s Note: The statements, opinions and data contained in all publications are solely those of the individual author(s) and contributor(s) and not of MDPI and/or the editor(s). MDPI and/or the editor(s) disclaim responsibility for any injury to people or property resulting from any ideas, methods, instructions or products referred to in the content. | 
© 2024 by the authors. Licensee MDPI, Basel, Switzerland. This article is an open access article distributed under the terms and conditions of the Creative Commons Attribution (CC BY) license (https://creativecommons.org/licenses/by/4.0/).
Share and Cite
Li, K.; Gao, Y.; Li, X.; Zhang, Y.; Zhu, B.; Zhang, Q. Fragmentation Pathway of Organophosphorus Flame Retardants by Liquid Chromatography–Orbitrap-Based High-Resolution Mass Spectrometry. Molecules 2024, 29, 680. https://doi.org/10.3390/molecules29030680
Li K, Gao Y, Li X, Zhang Y, Zhu B, Zhang Q. Fragmentation Pathway of Organophosphorus Flame Retardants by Liquid Chromatography–Orbitrap-Based High-Resolution Mass Spectrometry. Molecules. 2024; 29(3):680. https://doi.org/10.3390/molecules29030680
Chicago/Turabian StyleLi, Kangcong, Yan Gao, Xiuqin Li, Yan Zhang, Benfeng Zhu, and Qinghe Zhang. 2024. "Fragmentation Pathway of Organophosphorus Flame Retardants by Liquid Chromatography–Orbitrap-Based High-Resolution Mass Spectrometry" Molecules 29, no. 3: 680. https://doi.org/10.3390/molecules29030680
APA StyleLi, K., Gao, Y., Li, X., Zhang, Y., Zhu, B., & Zhang, Q. (2024). Fragmentation Pathway of Organophosphorus Flame Retardants by Liquid Chromatography–Orbitrap-Based High-Resolution Mass Spectrometry. Molecules, 29(3), 680. https://doi.org/10.3390/molecules29030680
 
        

 
       