The Current State-of-the-Art of the Processes Involved in the Chemical Recycling of Textile Waste
Abstract
1. Introduction
1.1. Environmental Impact of Textile Waste
1.2. Why Recycle?
1.3. Textile Recycling Classifications
1.4. Synthetic Polymers
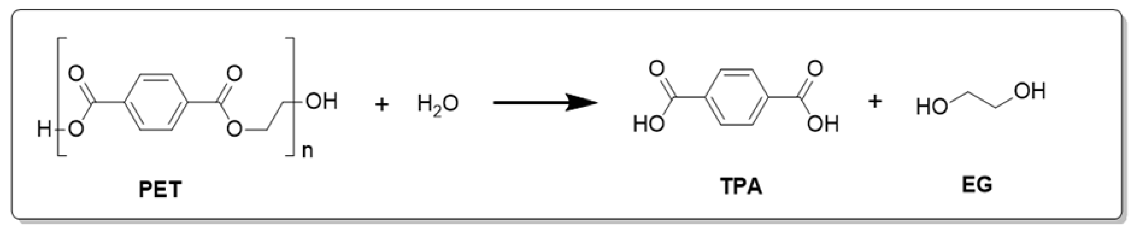
1.4.1. PET
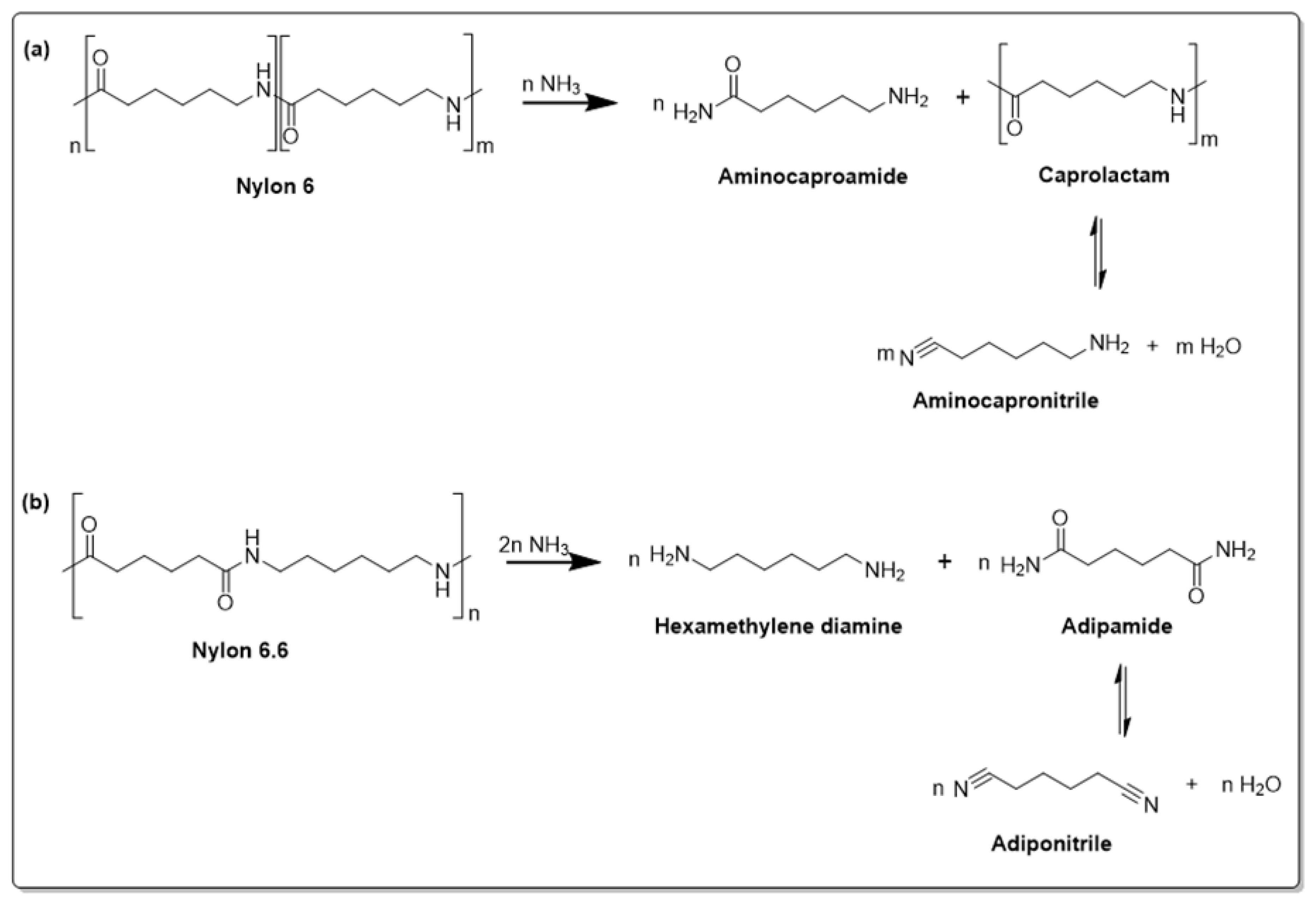
1.4.2. Nylon
1.4.3. Elastane
2. Pre-Treatment of Textile Waste
2.1. Sorting
2.2. Cleaning
2.3. Discolouration
3. Post-Treatment of Textile Waste
4. Chemical Recycling Processes
4.1. Polyester Fibre Recycling
4.1.1. Hydrolysis
Neutral Conditions
Acid Conditions
Alkaline Conditions
Blended-Fibre Hydrolysis
4.1.2. Methanolysis
4.1.3. Glycolysis
4.1.4. Other Recycling Processes
Pyrolysis
Aminolysis
Gasification
4.2. Nylon Fibre Recycling
4.2.1. Hydrolysis
4.2.2. Pyrolysis
4.2.3. Dissolution
4.2.4. Ammonolysis
4.3. Elastane Fibre Recycling
5. Current and Future Directions
6. Conclusions
Author Contributions
Funding
Institutional Review Board Statement
Informed Consent Statement
Data Availability Statement
Acknowledgments
Conflicts of Interest
References
- Leal Filho, W.; Perry, P.; Heim, H.; Dinis, M.A.P.; Moda, H.; Ebhuoma, E.; Paço, A. An overview of the contribution of the textiles sector to climate change. Front. Environ. Sci. 2022, 10, 973102. [Google Scholar] [CrossRef]
- Panhwar, A.; Sattar Jatoi, A.; Ali Mazari, S.; Kandhro, A.; Rashid, U.; Qaisar, S. Water resources contamination and health hazards by textile industry effluent and glance at treatment techniques: A review. Waste Manag. Bull. 2024, 1, 158–163. [Google Scholar] [CrossRef]
- Textile Exchange. Releases Preferred Fiber and Materials Market Report. Outdoor Ind. Compass 2023, 15, 1–75. Available online: https://textileexchange.org/app/uploads/2023/11/Materials-Market-Report-2023.pdf (accessed on 23 May 2024).
- Henry, B.; Laitala, K.; Klepp, I.G. Microfibres from apparel and home textiles: Prospects for including microplastics in environmental sustainability assessment. Sci. Total Environ. 2019, 652, 483–494. [Google Scholar] [CrossRef] [PubMed]
- Ramasamy, R.; Subramanian, R.B. Synthetic textile and microfiber pollution: A review on mitigation strategies. Environ. Sci. Pollut. Res. 2021, 28, 41596–41611. [Google Scholar] [CrossRef] [PubMed]
- de Oliveira, C.R.S.; da Silva Júnior, A.H.; Mulinari, J.; Ferreira, A.J.S.; da Silva, A. Fibrous microplastics released from textiles: Occurrence, fate, and remediation strategies. J. Contam. Hydrol. 2023, 256, 104169. [Google Scholar] [CrossRef] [PubMed]
- Bailey, K.; Basu, A.; Sharma, S. The Environmental Impacts of Fast Fashion on Water Quality: A Systematic Review. Water 2022, 14, 1073. [Google Scholar] [CrossRef]
- Niinimäki, K.; Peters, G.; Dahlbo, H.; Perry, P.; Rissanen, T.; Gwilt, A. The environmental price of fast fashion. Nat. Reviews. Earth Environ. 2020, 1, 189–200. [Google Scholar] [CrossRef]
- DeVoy, J.E.; Congiusta, E.; Lundberg, D.J.; Findeisen, S.; Bhattacharya, S. Post-Consumer textile waste and disposal: Differences by socioeconomic, demographic, and retail factors. Waste Manag. 2021, 136, 303–309. [Google Scholar] [CrossRef]
- Textile Exchange. Releases Preferred Fiber and Materials Market Report. Outdoor Ind. Compass 2022, 15. Textile-Exchange_PFMR_2022.pdf. Available online: https://textileexchange.org/ (accessed on 23 May 2024).
- Stanes, E.; Gibson, C. Materials that linger: An embodied geography of polyester clothes. Geoforum 2017, 85, 27–36. [Google Scholar] [CrossRef]
- Nkatha, K. How Fast Fashion Is Fuelling the Fashion Waste Crisis in Africa–Greenpeace Africa. Available online: https://www.greenpeace.org/international/story/62308/how-fast-fashion-fuels-climate-change-plastic-pollution-and-violence/ (accessed on 22 September 2024).
- Micheni, K. Fighting the Effects of Fast Fashion in Kenya. Available online: https://www.rte.ie/news/2023/0525/1385422-fast-fashion-nairobi/ (accessed on 20 September 2024).
- Bartlett, J. Chile’s Atacama Desert Has Become a Fast Fashion Dumping Ground. Available online: https://www.nationalgeographic.com/ (accessed on 19 September 2024).
- Hyde, P. Rags, Not Riches: Why Ghana Is Fast Fashion’s Dumping Ground–Forbes Africa. Available online: https://www.forbesafrica.com/fashion/2023/01/18/rags-not-riches-why-ghana-is-fast-fashions-dumping-ground/ (accessed on 21 September 2024).
- Maxine Bedat. See the Horrifying Place Where Your Old Clothes Go to Die–Fast Company. Available online: https://www.fastcompany.com/90640931/see-the-horrifying-place-where-your-old-clothes-go-to-die (accessed on 21 September 2024).
- Šajn, N.; European Parliamentary Research Service. Environmental Impact of Textile and Clothes Industry. Available online: https://www.europarl.europa.eu/RegData/etudes/BRIE/2019/633143/EPRS_BRI(2019)633143_EN.pdf (accessed on 21 September 2024).
- Muthu, S.S. Sustainable Approaches in Textiles and Fashion: Circular Economy and Microplastic Pollution; Sustainable Textiles: Production, Processing, Manufacturing & Chemistry; Springer: Singapore, 2022. [Google Scholar]
- Balasaraswathi, S.R.; Rathinamoorthy, R. Synthetic Textile and Microplastic Pollution: An Analysis on Environmental and Health Impact. In Sustainable Approaches in Textiles and Fashion; Springer: Singapore, 2022; pp. 1–20. [Google Scholar]
- European Environment Agency. Textiles-in-Europe-s-Circular-Economy.pdf. Available online: https://www.eea.europa.eu/downloads/e27564dbf0f7462ea5c52e4c9aaf2775/1676462612/textiles-in-europe-s-circular-economy.pdf (accessed on 22 September 2024).
- Leslie, H.A.; van Velzen, M.J.M.; Brandsma, S.H.; Vethaak, A.D.; Garcia-Vallejo, J.J.; Lamoree, M.H. Discovery and quantification of plastic particle pollution in human blood. Environ. Int. 2022, 163, 107199. [Google Scholar] [CrossRef]
- Liu, S.; Liu, X.; Guo, J.; Yang, R.; Wang, H.; Sun, Y.; Chen, B.; Dong, R. The Association Between Microplastics and Microbiota in Placentas and Meconium: The First Evidence in Humans. Environ. Sci. Technol. 2023, 57, 17774–17785. [Google Scholar] [CrossRef] [PubMed]
- Ragusa, A.; Svelato, A.; Santacroce, C.; Catalano, P.; Notarstefano, V.; Carnevali, O.; Papa, F.; Rongioletti, M.C.A.; Baiocco, F.; Draghi, S.; et al. Plasticenta: First evidence of microplastics in human placenta. Environ. Int. 2021, 146, 106274. [Google Scholar] [CrossRef] [PubMed]
- European Parliament, How the EU Wants to Achieve a Circular Economy by 2050|Topics|European Parliament. Available online: https://www.eumonitor.eu/9353000/1/j9vvik7m1c3gyxp/vlgjfy6bvmtu?ctx=vhsjgh0wpcp9 (accessed on 22 September 2024).
- European Environment Agency, Textiles-and-the-Environment-the.pdf. Available online: https://www.cscp.org/wp-content/uploads/2022/03/ETC_Design-of-Textiles.pdf (accessed on 21 September 2024).
- Radhakrishnan, S. Sustainable Development Goal: Sustainable Management and Use of Natural Resources in Textile and Apparel Industry. In Sustainable Approaches in Textiles and Fashion; Springer: Singapore, 2022; pp. 165–205. [Google Scholar]
- Jeya, G.; Sunitha, T.G.; Sivasankar, V.; Sivamurugan, V. Advancements in Recycling of Polyethylene Terephthalate Wastes: A Sustainable Solution to Achieve a Circular Economy. In Sustainable Approaches in Textiles and Fashion; Springer: Singapore, 2022; pp. 117–147. [Google Scholar]
- Pla-Tolós, J.; Serra-Mora, P.; Hakobyan, L.; Molins-Legua, C.; Moliner-Martinez, Y.; Campins-Falcó, P. A sustainable on-line CapLC method for quantifying antifouling agents like irgarol-1051 and diuron in water samples: Estimation of the carbon footprint. Sci. Total Environ. 2016, 569–570, 611–618. [Google Scholar] [CrossRef] [PubMed]
- Aliprandi, F.; Stoppato, A.; Mirandola, A. Estimating CO2 emissions reduction from renewable energy use in Italy. Renew. Energy 2016, 96, 220–232. [Google Scholar] [CrossRef]
- Herva, M.; Franco, A.; Ferreiro, S.; Álvarez, A.; Roca, E. An approach for the application of the Ecological Footprint as environmental indicator in the textile sector. J. Hazard. Mater. 2008, 156, 478–487. [Google Scholar] [CrossRef]
- European Parliament, Emissions from planes and ships: Facts and figures (infographic)|Topics|European Parliament. Available online: https://www.europarl.europa.eu/topics/en/article/20191129STO67756/emissions-from-planes-and-ships-facts-and-figures-infographic (accessed on 22 September 2024).
- European Parliament, The Impact of Textile Production and Waste on the Environment (Infographics)|Topics|European Parliament. Available online: https://www.europarl.europa.eu/topics/en/article/20201208STO93327/the-impact-of-textile-production-and-waste-on-the-environment-infographics (accessed on 12 November 2024).
- Li, Z.; Zhou, Y.; Zhao, M.; Guan, D.; Yang, Z. The carbon footprint of fast fashion consumption and mitigation strategies-a case study of jeans. Sci. Total Environ. 2024, 924, 171508. [Google Scholar] [CrossRef] [PubMed]
- Leal Filho, W.; Dinis, M.A.P.; Liakh, O.; Paço, A.; Dennis, K.; Shollo, F.; Sidsaph, H. Reducing the carbon footprint of the textile sector: An overview of impacts and solutions. Text. Res. J. 2024, 94, 1798–1814. [Google Scholar] [CrossRef]
- Tournier, V.; Duquesne, S.; Guillamot, F.; Cramail, H.; Taton, D.; Marty, A.; André, I. Enzymes’ Power for Plastics Degradation. Chem. Rev. 2023, 123, 5612–5701. [Google Scholar] [CrossRef] [PubMed]
- Sinha, P.; Dissanayke, D.G.K.; Abeysooriya, R.P.; Bulathgama, B.H.N. Addressing post-consumer textile waste in developing economies. J. Text. Inst. 2022, 113, 1887–1907. [Google Scholar] [CrossRef]
- U.S. Recycling Economic Information Study–Recycling Economic Information (REI) Report; 2020 Recycling Economic Information Report. 2020. Available online: https://www.epa.gov/ (accessed on 6 June 2024).
- Khan, D.; Kumar, A.; Samadder, S.R. Impact of socioeconomic status on municipal solid waste generation rate. Waste Manag. 2016, 49, 15–25. [Google Scholar] [CrossRef]
- Lindström, K.; Sjöblom, T.; Persson, A.; Kadi, N. Improving Mechanical Textile Recycling by Lubricant Pre-Treatment to Mitigate Length Loss of Fibres. Sustainability 2020, 12, 8706. [Google Scholar] [CrossRef]
- Sandin, G.; Peters, G.M. Environmental impact of textile reuse and recycling—A review. J. Clean. Prod. 2018, 184, 353–365. [Google Scholar] [CrossRef]
- Maheswari, N.U. Biological Degradation of Textile Dyes using Marine Bacillus species. Int. J. Pure Appl. Biosci. 2016, 4, 123–128. [Google Scholar] [CrossRef]
- Hu, Y.; Du, C.; Leu, S.; Jing, H.; Li, X.; Lin, C.S.K. Valorisation of textile waste by fungal solid-state fermentation: An example of circular waste-based biorefinery. Resour. Conserv. Recycl. 2018, 129, 27–35. [Google Scholar] [CrossRef]
- Piribauer, B.; Bartl, A. Textile recycling processes, state of the art and current developments: A mini review. Waste Manag. Res. 2019, 37, 112–119. [Google Scholar] [CrossRef]
- Bianchi, S.; Bartoli, F.; Bruni, C.; Fernandez-Avila, C.; Rodriguez-Turienzo, L.; Mellado-Carretero, J.; Spinelli, D.; Coltelli, M. Opportunities and Limitations in Recycling Fossil Polymers from Textiles. Macromol 2023, 3, 120–148. [Google Scholar] [CrossRef]
- Stefan, D.S.; Bosomoiu, M.; Stefan, M. Methods for Natural and Synthetic Polymers Recovery from Textile Waste. Polymers 2022, 14, 3939. [Google Scholar] [CrossRef] [PubMed]
- Sinha, V.; Patel, M.R.; Patel, J.V. PET Waste Management by Chemical Recycling: A Review. J. Polym. Environ. 2010, 18, 8–25. [Google Scholar] [CrossRef]
- Palacios-Mateo, C.; van der Meer, Y.; Seide, G. Analysis of the polyester clothing value chain to identify key intervention points for sustainability. Environ. Sci. Eur. 2021, 33, 2. [Google Scholar] [CrossRef] [PubMed]
- Dadash Ziyaei, M.; Barikani, M.; Honarkar, H. Recycling of Polyethylene Terephthalate (PET) via Glycolysis Method for Synthesis Waterborne Polyurethane. In Eco-friendly and Smart Polymer Systems; Springer International Publishing: Cham, Switzerland, 2020; pp. 520–523. [Google Scholar]
- Tournier, V.; Topham, C.M.; Gilles, A.; David, B.; Folgoas, C.; Moya-Leclair, E.; Kamionka, E.; Desrousseaux, M.; Texier, H.; Gavalda, S.; et al. An engineered PET depolymerase to break down and recycle plastic bottles. Nature 2020, 580, 216–219. [Google Scholar] [CrossRef]
- Ghosh, T.; Avery, G.; Bhatt, A.; Uekert, T.; Walzberg, J.; Carpenter, A. Towards a Circular Economy for PET Bottle Resin Using a System Dynamics Inspired Material Flow Model. J. Clean. Prod. 2022, 383, 135208. [Google Scholar] [CrossRef]
- Babaei, M.; Jalilian, M.; Shahbaz, K. Chemical recycling of Polyethylene terephthalate: A mini-review. J. Environ. Chem. Eng. 2024, 12, 112507. [Google Scholar] [CrossRef]
- Raheem, A.B.; Noor, Z.Z.; Hassan, A.; Abd Hamid, M.K.; Samsudin, S.A.; Sabeen, A.H. Current developments in chemical recycling of post-consumer polyethylene terephthalate wastes for new materials production: A review. J. Clean. Prod. 2019, 225, 1052–1064. [Google Scholar] [CrossRef]
- Stone, C.; Windsor, F.M.; Munday, M.; Durance, I. Natural or synthetic—How global trends in textile usage threaten freshwater environments. Sci. Total Environ. 2020, 718, 134689. [Google Scholar] [CrossRef]
- Kothari, V.K. 14–Polyester and polyamide fibres—Apparel applications. In Polyesters and Polyamides; Elsevier Ltd.: Amsterdam, The Netherlands, 2008; pp. 419–440. [Google Scholar]
- Damayanti, D.; Wulandari, L.A.; Bagaskoro, A.; Rianjanu, A.; Wu, H. Possibility Routes for Textile Recycling Technology. Polymers 2021, 13, 3834. [Google Scholar] [CrossRef] [PubMed]
- Sahoo, S.K.; Dash, A.K. 14–Recycled fibres from polyester and nylon waste. In Sustainable Fibres for Fashion and Textile Manufacturing; Elsevier Ltd.: Amsterdam, The Netherlands, 2023; pp. 309–332. [Google Scholar]
- Production of Elastane Fibres Worldwide from 2017 to 2022; Global Elastane Fibre Production 2022|Statista. Available online: https://textileexchange.org/app/uploads/2021/02/Global-Recycled-Standard-v4.0.pdf (accessed on 22 August 2024).
- Senthilkumar, M. Elastane fabrics–A tool for stretch applications in sports. Indian J. Fibre Text. Res. 2011, 36, 300–307. [Google Scholar]
- Uyanik, S.; Kaynak, K.H. Strength, fatigue and bagging properties of plated plain knitted fabrics containing different rates of elastane. Int. J. Cloth. Sci. Technol. 2019, 31, 741–754. [Google Scholar] [CrossRef]
- Abdessalem, S.B.; Abdelkader, Y.B.; Mokhtar, S.; Elmarzougui, S. Influence of Elastane Consumption on Plated Plain Knitted Fabric Characteristics. J. Eng. Fibres Fabr. 2009, 4, 30–35. [Google Scholar] [CrossRef]
- Korley, L.T.J.; Epps, T.H.; Helms, B.A.; Ryan, A.J. Toward polymer upcycling-adding value and tackling circularity. Science 2021, 373, 66–69. [Google Scholar] [CrossRef] [PubMed]
- Tollini, F.; Brivio, L.; Innocenti, P.; Sponchioni, M.; Moscatelli, D. Influence of the catalytic system on the methanolysis of polyethylene terephthalate at mild conditions: A systematic investigation. Chem. Eng. Sci. 2022, 260, 117875. [Google Scholar] [CrossRef]
- Li, S.; Jia, L.; Shan, G.; Xiao, Y.; Liu, R. Preparation of Structural Colors on White Polyester Fabrics without Adding Any Black Additive. Fibers Polym. 2022, 23, 1024–1030. [Google Scholar] [CrossRef]
- Barker, R.H. Additives in Fibers and Fabrics. Environ. Health Perspect. 1975, 11, 41–45. [Google Scholar] [CrossRef] [PubMed]
- Juanga-Labayen, J.P.; Labayen, I.V.; Yuan, Q. A Review on Textile Recycling Practices and Challenges. Textiles 2022, 2, 174–188. [Google Scholar] [CrossRef]
- Lewis, D.M. 9–The chemistry of reactive dyes and their application processes. In Handbook of Textile and Industrial Dyeing; Elsevier Ltd.: Amsterdam, The Netherlands, 2011; pp. 303–364. [Google Scholar]
- Clark, M. 1–Fundamental principles of dyeing. In Handbook of Textile and Industrial Dyeing; Elsevier Ltd.: Amsterdam, The Netherlands, 2011; pp. 3–27. [Google Scholar]
- Ketema, A.; Worku, A. Review on Intermolecular Forces between Dyes Used for Polyester Dyeing and Polyester Fiber. J. Chem. 2020, 2020, 6628404. [Google Scholar] [CrossRef]
- Wang, J.; Cheng, W.; Gao, Y.; Zhu, L.; Pei, L. Mechanism of Accelerant on Disperse Dyeing for PET Fiber in the Silicone Solvent Dyeing System. Polymers 2019, 11, 520. [Google Scholar] [CrossRef] [PubMed]
- Apparel and Footwear International RSL Management (AFIRM) Group, Restricted Substances List, 2024 AFIRM RSL. Available online: https://afirm-group.com/afirm-rsl/ (accessed on 31 May 2024).
- Shukla, A.; Sharma, V.; Basak, S.; Ali, S.W. Sodium lignin sulfonate: A bio-macromolecule for making fire retardant cotton fabric. Cellulose 2019, 26, 8191–8208. [Google Scholar] [CrossRef]
- Sharma, V.; Wazed Ali, S. A greener approach to impart multiple functionalities on polyester fabric using Schiff base of vanillin and benzylamine. Sustain. Chem. Pharm. 2022, 27, 100645. [Google Scholar] [CrossRef]
- Wojnowska-Baryła, I.; Bernat, K.; Zaborowska, M.; Kulikowska, D. The Growing Problem of Textile Waste Generation–The Current State of Textile Waste Management. Energies 2024, 17, 1528. [Google Scholar] [CrossRef]
- Chen, X.; Memon, H.A.; Wang, Y.; Marriam, I.; Tebyetekerwa, M. Circular Economy and Sustainability of the Clothing and Textile Industry. Mater. Circ. Econ. 2021, 3, 12. [Google Scholar] [CrossRef]
- Nørup, N.; Pihl, K.; Damgaard, A.; Scheutz, C. Development and testing of a sorting and quality assessment method for textile waste. Waste Manag. 2018, 79, 8–21. [Google Scholar] [CrossRef] [PubMed]
- Bergfjord, C.; Holst, B. A procedure for identifying textile bast fibres using microscopy: Flax, nettle/ramie, hemp and jute. Ultramicroscopy 2010, 110, 1192–1197. [Google Scholar] [CrossRef]
- Zhong, R.Y.; Xu, X.; Klotz, E.; Newman, S.T. Intelligent Manufacturing in the Context of Industry 4.0: A Review. Engineering 2017, 3, 616–630. [Google Scholar] [CrossRef]
- Wu, D.; Greer, M.J.; Rosen, D.W.; Schaefer, D. Cloud manufacturing: Strategic vision and state-of-the-art. J. Manuf. Syst. 2013, 32, 564–579. [Google Scholar] [CrossRef]
- Lopes, S.; Machado, S. IoT Based Automatic Waste Segregator; IEEE: Piscataway, NJ, USA, 2019; pp. 1–5. [Google Scholar]
- Riba, J.; Cantero, R.; Canals, T.; Puig, R. Circular economy of post-consumer textile waste: Classification through infrared spectroscopy. J. Clean. Prod. 2020, 272, 123011. [Google Scholar] [CrossRef]
- Zhou, J.; Yu, L.; Ding, Q.; Wang, R. Textile Fiber Identification Using Near-Infrared Spectroscopy and Pattern Recognition. AUTEX Res. J. 2019, 19, 201–209. [Google Scholar] [CrossRef]
- Fibersort, a Circular Solution-YouTube. Available online: https://www.youtube.com/watch?v=2zDeRIOzdZo (accessed on 28 April 2024).
- Choi, S.; Choi, H. Eco-friendly, Expeditious Depolymerization of PET in the Blend Fabrics by Using a Bio-based Deep Eutectic Solvent under Microwave Irradiation for Composition Identification. Fibers Polym. 2019, 20, 752–759. [Google Scholar] [CrossRef]
- Rosson, L.; Wang, X.; Byrne, N. Investigating how the dye colour is impacted when chemically separating polyester-cotton blends. J. Text. Inst. 2024, 115, 656–666. [Google Scholar] [CrossRef]
- Peterson, A.; Wallinder, J.; Bengtsson, J.; Idström, A.; Bialik, M.; Jedvert, K.; de la Motte, H. Chemical Recycling of a Textile Blend from Polyester and Viscose, Part I: Process Description, Characterization, and Utilization of the Recycled Cellulose. Sustainability 2022, 14, 7272. [Google Scholar] [CrossRef]
- Yousef, S.; Tatariants, M.; Tichonovas, M.; Kliucininkas, L.; Lukošiūtė, S.; Yan, L. Sustainable green technology for recovery of cotton fibres and polyester from textile waste. J. Clean. Prod. 2020, 254, 120078. [Google Scholar] [CrossRef]
- Li, Z. Separation of waste cotton-polyester blended fabric. IOP Conf. Ser. Mater. Sci. Eng. 2020, 768, 22062. [Google Scholar] [CrossRef]
- Li, Z. Reconstruction of cotton-polyester blended fabric. IOP Conf. Ser. Mater. Sci. Eng. 2020, 768, 22071. [Google Scholar] [CrossRef]
- Loo, S.; Yu, E.; Hu, X. Tackling critical challenges in textile circularity: A review on strategies for recycling cellulose and polyester from blended fabrics. J. Environ. Chem. Eng. 2023, 11, 110482. [Google Scholar] [CrossRef]
- Biswas, T.; Yu, J.; Nierstrasz, V. Effective Pretreatment Routes of Polyethylene Terephthalate Fabric for Digital Inkjet Printing of Enzyme. Adv. Mater. Interfaces 2021, 8, 2001882. [Google Scholar] [CrossRef]
- Mehmood, T.; Kaynak, A.; Dai, X.J.; Kouzani, A.; Magniez, K.; Rubin de Celis, D.; Hurren, C.J.; du Plessis, J. Study of oxygen plasma pre-treatment of polyester fabric for improved polypyrrole adhesion. Mater. Chem. Phys. 2014, 143, 668–675. [Google Scholar] [CrossRef]
- Fei, X.; Freeman, H.S.; Hinks, D. Toward closed loop recycling of polyester fabric: Step 1. decolorization using sodium formaldehyde sulfoxylate. J. Clean. Prod. 2020, 254, 120027. [Google Scholar] [CrossRef]
- Maryan, A.S.; Montazer, M.; Damerchely, R. Discoloration of denim garment with colour free effluent using montmorillonite based nano clay and enzymes: Nano bio-treatment on denim garment. J. Clean. Prod. 2015, 91, 208–215. [Google Scholar] [CrossRef]
- Huang, X.; Tan, Y.; Huang, J.; Zhu, G.; Yin, R.; Tao, X.; Tian, X. Industrialization of open- and closed-loop waste textile recycling towards sustainability: A review. J. Clean. Prod. 2024, 436, 140676. [Google Scholar] [CrossRef]
- Chen, Z.; Sun, H.; Kong, W.; Chen, L.; Zuo, W. Closed-loop utilization of polyester in the textile industry. Green Chem. Int. J. Green Chem. Resour. GC 2023, 25, 4429–4437. [Google Scholar] [CrossRef]
- Mu, B.; Shao, Y.; McBride, L.; Hidalgo, H.; Yang, Y. Rapid fiber-to-fiber recycling of poly (ethylene terephthalate) and its dye from waste textiles without damaging their chemical structures. Resour. Conserv. Recycl. 2023, 197, 107102. [Google Scholar] [CrossRef]
- Mu, B.; Yang, Y. Complete separation of colorants from polymeric materials for cost-effective recycling of waste textiles. Chem. Eng. J. 2022, 427, 131570. [Google Scholar] [CrossRef]
- Li, Y.; Li, M.; Lu, J.; Li, X.; Ge, M. Decoloration of waste PET alcoholysis liquid by an electrochemical method. Water Sci. Technol. 2018, 77, 2463–2473. [Google Scholar] [CrossRef]
- Padmanaban, A.; Murugadoss, G.; Venkatesh, N.; Hazra, S.; Rajesh Kumar, M.; Tamilselvi, R.; Sakthivel, P. Electrochemical determination of harmful catechol and rapid decolorization of textile dyes using ceria and tin doped ZnO nanoparticles. J. Environ. Chem. Eng. 2021, 9, 105976. [Google Scholar] [CrossRef]
- Huang, J.; Yan, D.; Dong, H.; Li, F.; Lu, X.; Xin, J. Removal of trace amount impurities in glycolytic monomer of polyethylene terephthalate by recrystallization. J. Environ. Chem. Eng. 2021, 9, 106277. [Google Scholar] [CrossRef]
- Yang, Y.; Sharma, S.; Di Bernardo, C.; Rossi, E.; Lima, R.; Kamounah, F.S.; Poderyte, M.; Enemark-Rasmussen, K.; Ciancaleoni, G.; Lee, J. Catalytic Fabric Recycling: Glycolysis of Blended PET with Carbon Dioxide and Ammonia. ACS Sustain. Chem. Eng. 2023, 11, 11294–11304. [Google Scholar] [CrossRef]
- Choudhury, K.; Tsianou, M.; Alexandridis, P. Recycling of Blended Fabrics for a Circular Economy of Textiles: Separation of Cotton, Polyester, and Elastane Fibers. Sustainability 2024, 16, 6206. [Google Scholar] [CrossRef]
- Guo, Z.; Adolfsson, E.; Tam, P.L. Nanostructured micro particles as a low-cost and sustainable catalyst in the recycling of PET fibre waste by the glycolysis method. Waste Manag. 2021, 126, 559–566. [Google Scholar] [CrossRef]
- Schmidt, A.; Watson, D.; Roos, S.; Askham, C.; Poulsen, P.B. Gaining Benefits from Discarded Textiles; TemaNord; Nordisk Ministerråd: Copenhagen, Denmark, 2016; Gaining Benefits from Discarded Textiles—LCA of Different Treatment Pathways. Available online: https://norden.diva-portal.org (accessed on 10 June 2024).
- Dukovska-Popovska, I.; Kjellsdotter Ivert, L.; Jónsdóttir, H.; Carin Dreyer, H.; Kaipia, R. The supply and demand balance of recyclable textiles in the Nordic countries. Waste Manag. 2023, 159, 154–162. [Google Scholar] [CrossRef] [PubMed]
- Islam, M.T.; Rahman, M.M.; Mazumder, N. Polymers for Textile Production. In Frontiers of Textile Materials; John Wiley & Sons: Hoboken, NJ, USA, 2020; pp. 13–59. [Google Scholar]
- Leonas, K. Fiber-to-Fiber Textile Recycling. Text. World 2023, 173, 8–12. [Google Scholar]
- Omatsuzawa, A. Textile Technology for Sustainability. Seni Gakkaishi 2023, 79, 97. [Google Scholar] [CrossRef]
- Geyer, B.; Lorenz, G.; Kandelbauer, A. Recycling of poly(ethylene terephthalate)—A review focusing on chemical methods. Express Polym. Lett. 2016, 10, 559–586. [Google Scholar] [CrossRef]
- Al-Sabagh, A.M.; Yehia, F.Z.; Eshaq, G.; Rabie, A.M.; ElMetwally, A.E. Greener routes for recycling of polyethylene terephthalate. Egypt. J. Pet. 2016, 25, 53–64. [Google Scholar] [CrossRef]
- Shojaei, B.; Abtahi, M.; Najafi, M. Chemical recycling of PET: A stepping-stone toward sustainability. Polym. Adv. Technol. 2020, 31, 2912–2938. [Google Scholar] [CrossRef]
- Barnard, E.; Rubio Arias, J.J.; Thielemans, W. Chemolytic depolymerisation of PET: A review. Green Chem. 2021, 23, 3765–3789. [Google Scholar] [CrossRef]
- Aguado, A.; Martínez, L.; Becerra, L.; Arieta-araunabeña, M.; Arnaiz, S.; Asueta, A.; Robertson, I. Chemical depolymerisation of PET complex waste: Hydrolysis vs. glycolysis. J. Mater. Cycles Waste Manag. 2014, 16, 201–210. [Google Scholar] [CrossRef]
- Ghosal, K.; Nayak, C. Recent advances in chemical recycling of polyethylene terephthalate waste into value added products for sustainable coating solutions—Hope vs. hype. Mater. Adv. 2022, 3, 1974–1992. [Google Scholar] [CrossRef]
- Sun, H.; Chen, Z.; Zhou, J.; Chen, L.; Zuo, W. Recovery of high-quality terephthalic acid from waste polyester textiles via a neutral hydrolysis method. J. Environ. Chem. Eng. 2024, 12, 112558. [Google Scholar] [CrossRef]
- Costa, C.; Viana, A.; Silva, C.; Marques, E.F.; Azoia, N.G. Recycling of textile wastes, by acid hydrolysis, into new cellulosic raw materials. Waste Manag. 2022, 153, 99–109. [Google Scholar] [CrossRef]
- Peng, Y.; Yang, J.; Deng, C.; Deng, J.; Shen, L.; Fu, Y. Acetolysis of waste polyethylene terephthalate for upcycling and life-cycle assessment study. Nat. Commun. 2023, 14, 3249. [Google Scholar] [CrossRef] [PubMed]
- Villar, L.; Pita, M.; González, B.; Sánchez, P.B. Hydrolytic-Assisted Fractionation of Textile Waste Containing Cotton and Polyester. Fibers Polym. 2024, 25, 2763–2772. [Google Scholar] [CrossRef]
- Muszyński, M.; Nowicki, J.; Zygadło, M.; Dudek, G. Comparison of Catalyst Effectiveness in Different Chemical Depolymerization Methods of Poly (ethylene terephthalate). Molecules 2023, 28, 6385. [Google Scholar] [CrossRef]
- Karayannidis, G.P.; Chatziavgoustis, A.P.; Achilias, D.S. Poly(ethylene terephthalate) recycling and recovery of pure terephthalic acid by alkaline hydrolysis. Adv. Pol. Tech. 2002, 21, 250–259. [Google Scholar] [CrossRef]
- Quartinello, F.; Vajnhandl, S.; Volmajer Valh, J.; Farmer, T.J.; Vončina, B.; Lobnik, A.; Herrero Acero, E.; Pellis, A.; Guebitz, G.M. Synergistic chemo-enzymatic hydrolysis of poly(ethylene terephthalate) from textile waste. Microb. Biotechnol. 2017, 10, 1376–1383. [Google Scholar] [CrossRef] [PubMed]
- Ömeroğullari Başyiğit, Z. Effects of chemical and surface modification on mechanical and chemical properties of polyester fabrics. Düzce Üniversitesi Bilim Ve Teknol. Derg. 2018, 6, 1344–1353. [Google Scholar] [CrossRef]
- Chen, G.Q.; Dong, Z.Q. Alkaline Hydrolysis of Polyester in the Presence of Ionic Liquids. Adv. Mater. Res. 2012, 441, 661–665. [Google Scholar] [CrossRef]
- Zeronian, S.H.; Collins, M.J. Surface Modification of Polyester by Alkaline Treatments. Text. Prog. 1989, 20, 1–26. [Google Scholar] [CrossRef]
- Dave, J.; Kumar, R.; Srivastava, H.C. Studies on modification of polyester fabrics I: Alkaline hydrolysis. J. Appl. Polym. Sci. 1987, 33, 455–477. [Google Scholar] [CrossRef]
- Čorak, I.; Tarbuk, A.; Đorđević, D.; Višić, K.; Botteri, L. Sustainable Alkaline Hydrolysis of Polyester Fabric at Low Temperature. Materials 2022, 15, 1530. [Google Scholar] [CrossRef]
- Kallay, N.; Grancari, A.M.; Tomi, M. Kinetics of Polyester Fiber Dissolution. Text. Res. J. 1990, 60, 663–668. [Google Scholar] [CrossRef]
- Grancarić, A.M.; Kallay, N. Kinetics of polyester fiber alkaline hydrolysis: Effect of temperature and cationic surfactants. J. Appl. Polym. Sci. 1993, 49, 175–181. [Google Scholar] [CrossRef]
- Saravanana, M.; Dhinakaran, M. Effect of alkaline hydrolysis on low-stress mechanical properties of polyester/cotton blended weft knitted fabrics. Indian J. Fibre Text. Res. 2023, 48, 167–173. [Google Scholar]
- Musale, R.M.; Shukla, S.R. Weight reduction of polyester fabric using sodium hydroxide solutions with additives cetyltrimethylammonium bromide and (BMIM)Cl. J. Text. Inst. 2017, 108, 467–471. [Google Scholar] [CrossRef]
- Cao, J.; Meng, C.; Cheng, X.; Pan, X. Surface alkali deweighting and dyeing of polyester fabric by one-bath and one-step process. Surf. Innov. 2019, 7, 104–111. [Google Scholar] [CrossRef]
- Abedsoltan, H. A focused review on recycling and hydrolysis techniques of polyethylene terephthalate. Polym. Eng. Sci. 2023, 63, 2651–2674. [Google Scholar] [CrossRef]
- Chaonan, L.; Jihua, C. The study of the recovery of highly purified terephthalic acid from alkali weight-reduction wastewater. Int. J. Environ. Pollut. 2007, 29, 484–494. [Google Scholar] [CrossRef]
- Achilias, D.S.; Karayannidis, G.P. The Chemical Recycling of PET in the Framework of Sustainable Development. Water Air Soil Pollut. Focus 2004, 4, 385–396. [Google Scholar] [CrossRef]
- Palme, A.; Peterson, A.; de la Motte, H.; Theliander, H.; Brelid, H. Development of an efficient route for combined recycling of PET and cotton from mixed fabrics. Text. Cloth. Sustain. 2017, 3, 4. [Google Scholar] [CrossRef]
- Yang, K.; Wang, M.; Wang, X.; Shan, J.; Zhang, J.; Tian, G.; Yang, D.; Ma, J. Polyester/Cotton-Blended Textile Waste Fiber Separation and Regeneration via a Green Chemistry Approach. ACS Sustain. Chem. Eng. 2024, 12, 4530–4538. [Google Scholar] [CrossRef]
- Andini, E.; Bhalode, P.; Gantert, E.; Sadula, S.; Vlachos, D.G. Chemical recycling of mixed textile waste. Sci. Adv. 2024, 10, eado6827. [Google Scholar] [CrossRef] [PubMed]
- Ribul, M.; Lanot, A.; Tommencioni Pisapia, C.; Purnell, P.; McQueen-Mason, S.J.; Baurley, S. Mechanical, chemical, biological: Moving towards closed-loop bio-based recycling in a circular economy of sustainable textiles. J. Clean. Prod. 2021, 326, 129325. [Google Scholar] [CrossRef]
- Gholamzad, E.; Karimi, K.; Masoomi, M. Effective conversion of waste polyester–cotton textile to ethanol and recovery of polyester by alkaline pretreatment. Chem. Eng. J. 2014, 253, 40–45. [Google Scholar] [CrossRef]
- Jeihanipour, A.; Karimi, K.; Niklasson, C.; Taherzadeh, M.J. A novel process for ethanol or biogas production from cellulose in blended-fibers waste textiles. Waste Manag. 2010, 30, 2504–2509. [Google Scholar] [CrossRef] [PubMed]
- Sarda, P.; Hanan, J.C.; Lawrence, J.G.; Allahkarami, M. Sustainability performance of polyethylene terephthalate, clarifying challenges and opportunities. J. Polym. Sci. 2022, 60, 7–31. [Google Scholar] [CrossRef]
- George, N.; Kurian, T. Recent Developments in the Chemical Recycling of Postconsumer Poly(ethylene terephthalate) Waste. Ind. Eng. Chem. Res. 2014, 53, 14185–14198. [Google Scholar] [CrossRef]
- Barot, A.A.; Sinha, V.K. Chemical scavenging of post-consumed clothes. Waste Manag. 2015, 46, 86–93. [Google Scholar] [CrossRef]
- Tanaka, S.; Koga, M.; Kuragano, T.; Ogawa, A.; Ogiwara, H.; Sato, K.; Nakajima, Y. Depolymerization of Polyester Fibers with Dimethyl Carbonate-Aided Methanolysis. ACS Mater. Au 2024, 4, 335–345. [Google Scholar] [CrossRef] [PubMed]
- Pham, D.D.; Cho, J. Low-energy catalytic methanolysis of poly(ethyleneterephthalate). Green Chem. 2021, 23, 511–525. [Google Scholar] [CrossRef]
- Yang, Y.; Lu, Y.; Xiang, H.; Xu, Y.; Li, Y. Study on methanolytic depolymerization of PET with supercritical methanol for chemical recycling. Polym. Degrad. Stab. 2002, 75, 185–191. [Google Scholar] [CrossRef]
- Han, M. 5–Depolymerization of PET Bottle via Methanolysis and Hydrolysis. In Recycling of Polyethylene Terephthalate Bottles; Thomas, S., Rane, A., Kanny, K., Abitha, V.K., Thomas, M.G., Eds.; William Andrew Publishing: Amsterdam, The Netherlands, 2019; pp. 85–108. [Google Scholar]
- Kurokawa, H.; Ohshima, M.; Sugiyama, K.; Miura, H. Methanolysis of polyethylene terephthalate (PET) in the presence of aluminium tiisopropoxide catalyst to form dimethyl terephthalate and ethylene glycol. Polym. Degrad. Stab. 2003, 79, 529–533. [Google Scholar] [CrossRef]
- Jang, J.Y.; Sadeghi, K.; Seo, J. Chain-Extending Modification for Value-Added Recycled PET: A Review. Polym. Rev. 2022, 62, 860–889. [Google Scholar] [CrossRef]
- Pudack, C.; Stepanski, M.; Fässler, P. PET Recycling—Contributions of Crystallization to Sustainability. Chem. Ing. Technol. 2020, 92, 452–458. [Google Scholar] [CrossRef]
- Liu, Q.; Li, R.; Fang, T. Investigating and modeling PET methanolysis under supercritical conditions by response surface methodology approach. Chem. Eng. J. 2015, 270, 535–541. [Google Scholar] [CrossRef]
- Goto, M.; Koyamoto, H.; Kodama, A.; Hirose, T.; Nagaoka, S.; McCoy, B.J. Degradation kinetics of polyethylene terephthalate in supercritical methanol. AIChE J. 2002, 48, 136–144. [Google Scholar] [CrossRef]
- Genta, M.; Goto, M.; Sasaki, M. Heterogeneous continuous kinetics modeling of PET depolymerization in supercritical methanol. J. Supercrit. Fluids 2010, 52, 266–275. [Google Scholar] [CrossRef]
- De Castro, R.E.N.; Vidotti, G.J.; Rubira, A.F.; Muniz, E.C. Depolymerization of poly(ethylene terephthalate) wastes using ethanol and ethanol/water in supercritical conditions. J. Appl. Polym. Sci. 2006, 101, 2009–2016. [Google Scholar] [CrossRef]
- Zhou, X.; Fang, C.; Yu, Q.; Yang, R.; Xie, L.; Cheng, Y.; Li, Y. Synthesis and characterization of waterborne polyurethane dispersion from glycolyzed products of waste polyethylene terephthalate used as soft and hard segment. Int. J. Adhes. Adhes. 2017, 74, 49–56. [Google Scholar] [CrossRef]
- Fang, C.; Lei, W.; Zhou, X.; Yu, Q.; Cheng, Y. Preparation and characterization of waterborne polyurethane containing PET waste/PPG as soft segment. J. Appl. Polym. Sci. 2015, 132, 42757. [Google Scholar] [CrossRef]
- Muangmeesri, S.; Baddigam, K.R.; Navare, K.; Apostolopoulou-Kalkavoura, V.; Witthayolankowit, K.; Håkansson, H.; Mathew, A.P.; Acker, K.V.; Samec, J.S.M. Recycling of Polyesters by Organocatalyzed Methanolysis Depolymerization: Environmental Sustainability Evaluated by Life Cycle Assessment. ACS Sustain. Chem. Eng. 2024, 12, 4114–4120. [Google Scholar] [CrossRef]
- Kumari, A. Chapter 1–Glycolysis. In Sweet Biochemistry; Kumari, A., Ed.; Academic Press: Cambridge, MA, USA, 2018; pp. 1–5. [Google Scholar]
- Vaidya, U.R.; Nadkarni, V.M. Polyester polyols from glycolyzed PET waste: Effect of glycol type on kinetics of polyesterification. J. Appl. Polym. Sci. 1989, 38, 1179–1190. [Google Scholar] [CrossRef]
- Chen, J.Y.; Ou, C.F.; Hu, Y.C.; Lin, C.C. Depolymerization of poly(ethylene terephthalate) resin under pressure. J. Appl. Polym. Sci. 1991, 42, 1501–1507. [Google Scholar] [CrossRef]
- Kratofil, K.L.; Hrnjak-Murgić, Z.; Jelenčić, J.; Andričić, B. Evaluation of Poly(ethylene-terephthalate) Products of Chemical Recycling by Differential Scanning Calorimetry. J. Polym. Environ. 2009, 17, 20–27. [Google Scholar] [CrossRef]
- Muringayil Joseph, T.; Azat, S.; Ahmadi, Z.; Moini Jazani, O.; Esmaeili, A.; Kianfar, E.; Haponiuk, J.; Thomas, S. Polyethylene terephthalate (PET) recycling: A review. Case Stud. Chem. Environ. Eng. 2024, 9, 100673. [Google Scholar] [CrossRef]
- Zou, Y.; Reddy, N.; Yang, Y. Reusing polyester/cotton blend fabrics for composites. Composites. Part B Eng. 2011, 42, 763–770. [Google Scholar] [CrossRef]
- Ruschel-Soares, R.; Contin, B.; Siqueira, M.U.; Fernandes, P.R.B.; Soares, N.R.; Baruque-Ramos, J. Environmental Impacts of Polyester-Cotton Blend Compared to Cotton Fiber in Brazil. Mater. Circ. Econ. 2022, 4, 13. [Google Scholar] [CrossRef]
- De Silva, R.; Wang, X.A.; Byrne, N. Recycling textiles: The use of ionic liquids in the separation of cotton polyester blends. RSC Adv. 2014, 4, 29094–29098. [Google Scholar] [CrossRef]
- Sasikumar, U.; Mundkur, S.; Athalye, A. Strategies for Separating and Recycling Textile Blends. Adv. Environ. Waste Manag. Recycl. 2023, 6, 443–450. [Google Scholar]
- Liu, L.; Yao, H.; Zhou, Q.; Yao, X.; Yan, D.; Xu, J.; Lu, X. Recycling of full components of polyester/cotton blends catalyzed by betaine-based deep eutectic solvents. J. Environ. Chem. Eng. 2022, 10, 107512. [Google Scholar] [CrossRef]
- Ma, J.; Yang, K.; Wang, M.; Shan, J.; Yang, D.; Tian, G. Advancements in component separation through chemical methods for recycled polyester/cotton blended textiles. Cellulose 2024, 31, 9543–9563. [Google Scholar] [CrossRef]
- Haslinger, S.; Hummel, M.; Anghelescu-Hakala, A.; Maattanen, M.; Sixta, H. Upcycling of cotton polyester blended textile waste to new man-made cellulose fibres. Waste Manag. 2019, 97, 88–96. [Google Scholar] [CrossRef] [PubMed]
- Shukla, S.R.; Harad, A.M. Glycolysis of polyethylene terephthalate waste fibers. J. Appl. Polym. Sci. 2005, 97, 513–517. [Google Scholar] [CrossRef]
- Al-Sabagh, A.M.; Yehia, F.Z.; Eissa, A.M.F.; Moustafa, M.E.; Eshaq, G.; Rabie, A.M.; ElMetwally, A.E. Glycolysis of Poly(ethylene terephthalate) Catalyzed by the Lewis Base Ionic Liquid (Bmim)(OAc). Ind. Eng. Chem. Res. 2014, 53, 18443–18451. [Google Scholar] [CrossRef]
- Thomas, S.; Rane, A.V.; Kanny, K.; Abitha, V.K.; Thomas, M.G. Recycling of Polyethylene Terephthalate Bottles; Plastics Design library (PDL). PDL Handbook Series; William Andrew, an Imprint of Elsevier: Oxford, UK, 2019; pp. 61–84. [Google Scholar]
- Heiran, R.; Ghaderian, A.; Reghunadhan, A.; Sedaghati, F.; Thomas, S.; Haghighi, A.H. Glycolysis: An efficient route for recycling of end of life polyurethane foams. J. Polym. Res. 2021, 28, 22. [Google Scholar] [CrossRef]
- Park, S.H.; Kim, S.H. Poly(ethylene terephthalate) recycling for high value added textiles. Fash. Text. 2014, 1, 1. [Google Scholar] [CrossRef]
- El Darai, T.; Ter-Halle, A.; Blanzat, M.; Despras, G.; Sartor, V.; Bordeau, G.; Lattes, A.; Franceschi, S.; Cassel, S.; Chouini-Lalanne, N.; et al. Chemical recycling of polyester textile wastes: Shifting towards sustainability. Green Chem. Int. J. Green Chem. Resour. GC 2024, 26, 6857–6885. [Google Scholar] [CrossRef]
- Fan, W.; Wang, Y.; Liu, R.; Zou, J.; Yu, X.; Liu, Y.; Zhi, C.; Meng, J. Textile production by additive manufacturing and textile waste recycling: A review. Environ. Chem. Lett. 2024, 22, 1929–1987. [Google Scholar] [CrossRef]
- Baloyi, R.B.; Gbadeyan, O.J.; Sithole, B.; Chunilall, V. Recent advances in recycling technologies for waste textile fabrics: A review. Text. Res. J. 2024, 94, 508–529. [Google Scholar] [CrossRef]
- Zangana, K.H.; Fernandez, A.; Holmes, J.D. Simplified, fast, and efficient microwave assisted chemical recycling of poly (ethylene terephthalate) waste. Mater. Today Commun. 2022, 33, 104588. [Google Scholar] [CrossRef]
- Luo, Y.; Selvam, E.; Vlachos, D.G.; Ierapetritou, M. Economic and Environmental Benefits of Modular Microwave-Assisted Polyethylene Terephthalate Depolymerization. ACS Sustain. Chem. Eng. 2023, 11, 4209–4218. [Google Scholar] [CrossRef]
- Egan, J.; Wang, S.; Shen, J.; Baars, O.; Moxley, G.; Salmon, S. Enzymatic textile fiber separation for sustainable waste processing. Resour. Environ. Sustain. 2023, 13, 100118. [Google Scholar] [CrossRef]
- Du, S.; Valla, J.A.; Parnas, R.S.; Bollas, G.M. Conversion of Polyethylene Terephthalate Based Waste Carpet to Benzene-Rich Oils through Thermal, Catalytic, and Catalytic Steam Pyrolysis. ACS Sustain. Chem. Eng. 2016, 4, 2852–2860. [Google Scholar] [CrossRef]
- Özsin, G.; Pütün, A.E. A comparative study on co-pyrolysis of lignocellulosic biomass with polyethylene terephthalate, polystyrene, and polyvinyl chloride: Synergistic effects and product characteristics. J. Clean. Prod. 2018, 205, 1127–1138. [Google Scholar] [CrossRef]
- Anbarasu, M.; Vinitha, V.; Preeyanghaa, M.; Neppolian, B.; Sivamurugan, V. Valorization of PES Textile Waste Through Glycolysis and Aminolysis Using Bimetallic ZnO and Carbon Nitride Nanocomposites. J. Clust. Sci. 2024, 35, 1105–1125. [Google Scholar] [CrossRef]
- Shukla, S.R.; Harad, A.M. Aminolysis of polyethylene terephthalate waste. Polym. Degrad. Stab. 2006, 91, 1850–1854. [Google Scholar] [CrossRef]
- Ghorbantabar, S.; Ghiass, M.; Yaghobi, N.; Bouhendi, H. Investigation of conventional analytical methods for determining conversion of polyethylene terephthalate waste degradation via aminolysis process. J. Mater. Cycles Waste Manag. 2021, 23, 526–536. [Google Scholar] [CrossRef]
- Popescu, V.; Muresan, A.; Constandache, O.; Lisa, G.; Muresan, E.I.; Munteanu, C.; Sandu, I. Tinctorial Response of Recycled PET Fibers to Chemical Modifications during Saponification and Aminolysis Reactions. Ind. Eng. Chem. Res. 2014, 53, 16652–16663. [Google Scholar] [CrossRef]
- Lorusso, E.; Feng, Y.; Schneider, J.; Kamps, L.; Parasothy, N.; Mayer-Gall, T.; Gutmann, J.S.; Ali, W. Investigation of aminolysis routes on PET fabrics using different amine-based materials. Nano Sel. 2022, 3, 594–607. [Google Scholar] [CrossRef]
- Ohe, T.; Yoshimura, Y. Reactions of PET Fibers with Ethylenediamine in a Water Solution Containing Surfactants. Sen’i Gakkaishi 2012, 68, 253–258. [Google Scholar] [CrossRef]
- Lorusso, E.; Ali, W.; Leniart, M.; Gebert, B.; Oberthür, M.; Gutmann, J.S. Tuning the Density of Zwitterionic Polymer Brushes on PET Fabrics by Aminolysis: Effect on Antifouling Performances. Polymers 2019, 12, 6. [Google Scholar] [CrossRef] [PubMed]
- Spychaj, T.; Fabrycy, E.; Spychaj, S.; Kacperski, M. Aminolysis and aminoglycolysis of waste poly (ethylene terephthalate). J. Mater. Cycles Waste Manag. 2001, 3, 24. [Google Scholar]
- Hoang, C.N.; Dang, Y.H. Aminolysis of poly(ethylene terephthalate) waste with ethylenediamine and characterization of α,ω-diamine products. Polym. Degrad. Stab. 2013, 98, 697–708. [Google Scholar] [CrossRef]
- Parab, Y.S.; Pingale, N.D.; Shukla, S.R. Aminolytic depolymerization of poly (ethylene terephthalate) bottle waste by conventional and microwave irradiation heating. J. Appl. Polym. Sci. 2012, 125, 1103–1107. [Google Scholar] [CrossRef]
- George, N.; Kurian, T. Sodium Carbonate Catalyzed Aminolytic Degradation of PET. Prog. Rubber Plast. Recycl. Technol. 2016, 32, 153–168. [Google Scholar] [CrossRef]
- Arafat, H.A.; Jijakli, K. Modeling and comparative assessment of municipal solid waste gasification for energy production. Waste Manag. 2013, 33, 1704–1713. [Google Scholar] [CrossRef]
- Cañete Vela, I.; Maric, J.; Seemann, M. Valorisation of textile waste via steam gasification in a fluidized bed reactor. In Proceedings of the 7th International Conference on Sustainable Solid Waste Management, Crete Island, Greece, 26–29 June 2019. [Google Scholar]
- Wen, C.; Wu, Y.; Chen, X.; Jiang, G.; Liu, D. The pyrolysis and gasification performances of waste textile under carbon dioxide atmosphere. J. Therm. Anal. Calorim. 2017, 128, 581–591. [Google Scholar] [CrossRef]
- Wu, Y.; Wen, C.; Chen, X.; Jiang, G.; Liu, G.; Liu, D. Catalytic pyrolysis and gasification of waste textile under carbon dioxide atmosphere with composite Zn-Fe catalyst. Fuel Process. Technol. 2017, 166, 115–123. [Google Scholar] [CrossRef]
- Abdelwahab, M.A.; Chang, B.P.; Mohanty, A.K.; Misra, M. Waste valorisation in sustainable engineering materials: Reactive processing of recycled carpets waste with polyamide 6. Polym. Test. 2022, 114, 107681. [Google Scholar]
- Hu, H.; Xu, Q.; Sun, L.; Zhu, R.; Gao, T.; He, Y.; Ma, B.; Yu, J.; Wang, X. 1 Rapid Hydrolysis of Waste and Scrap PA6 Textiles to ε-Caprolactam. ACS Appl. Polym. Mater. 2023, 5, 751–763. [Google Scholar] [CrossRef]
- Braun, M.; Levy, A.B.; Sifniades, S. Recycling nylon 6 carpet to caprolactam. Polym. Plast. Technol. Eng. 1999, 38, 471–484. [Google Scholar] [CrossRef]
- Cribbs, D.; Ogale, A.A. Hydrolytic Degradation of Nylon 66 Pile Carpet Fibers. Text. Res. J. 2003, 73, 98–104. [Google Scholar] [CrossRef]
- Wang, P.Y.; Qiang, T.T.; Ren, L.F.; Wang, X.C. Moderate Hydrolysis of Nylon 6 Fabric with Different Acids. Adv. Mater. Res. 2011, 331, 347–351. [Google Scholar] [CrossRef]
- Minor, A.; Goldhahn, R.; Rihko-Struckmann, L.; Sundmacher, K. Chemical Recycling Processes of Nylon 6 to Caprolactam: Review and Techno-Economic Assessment. Chem. Eng. J. 2023, 474, 145333. [Google Scholar] [CrossRef]
- Bockhorn, H.; Donner, S.; Gernsbeck, M.; Hornung, A.; Hornung, U. Pyrolysis of polyamide 6 under catalytic conditions and its application to reutilization of carpets. J. Anal. Appl. Pyrolysis 2001, 58, 79–94. [Google Scholar] [CrossRef]
- Czernik, S.; Elam, C.C.; Evans, R.J.; Meglen, R.R.; Moens, L.; Tatsumoto, K. Catalytic pyrolysis of nylon-6 to recover caprolactam. J. Anal. Appl. Pyrolysis 1998, 46, 51–64. [Google Scholar] [CrossRef]
- Eimontas, J.; Yousef, S.; Striūgas, N.; Abdelnaby, M.A. Catalytic pyrolysis kinetic behaviour and TG-FTIR-GC–MS analysis of waste fishing nets over ZSM-5 zeolite catalyst for caprolactam recovery. Renew. Energy 2021, 179, 1385–1403. [Google Scholar] [CrossRef]
- Skvorčinskienė, R.; Striūgas, N.; Navakas, R.; Paulauskas, R.; Zakarauskas, K.; Vorotinskienė, L. Thermal Analysis of Waste Fishing Nets for Polymer Recovery. Waste Biomass Valor 2019, 10, 3735–3744. [Google Scholar] [CrossRef]
- Shukla, S.R.; Harad, A.M.; Mahato, D. Depolymerization of nylon 6 waste fibers. J. Appl. Polym. Sci. 2006, 100, 186–190. [Google Scholar] [CrossRef]
- Mu, B.; Shao, Y.; Yu, X.; McBride, L.; Hidalgo, H.; Yang, Y. High-quality separation and recovery of nylon and dyes from waste carpet via non-destructive dissolution and controlled precipitation for sustainable recycling. Sep. Purif. Technol. 2024, 332, 125801. [Google Scholar] [CrossRef]
- Lv, F.; Wang, C.; Zhu, P.; Zhang, C. Isolation and recovery of cellulose from waste nylon/cotton blended fabrics by 1-allyl-3-methylimidazolium chloride. Carbohydr. Polym. 2015, 123, 424–431. [Google Scholar] [CrossRef]
- Kalfas, G.A. Mathematical Modeling of the Depolymerization of Polyamide Mixtures–Part I: Kinetic Mechanism and Parametric Studies in Batch Reactors. Polym. React. Eng. 1998, 6, 41–67. [Google Scholar] [CrossRef]
- Duch, M.W.; Allgeier, A.M. Deactivation of nitrile hydrogenation catalysts: New mechanistic insight from a nylon recycle process. Appl. Catalysis. A Gen. 2007, 318, 190–198. [Google Scholar] [CrossRef]
- Vonbrül, L.; Cordin, M.; Manian, A.P.; Bechtold, T.; Pham, T. Solvent blends for selective elastane dissolution and recovery from mixed polyamide fabrics. Resour. Conserv. Recycl. 2024, 200, 107302. [Google Scholar] [CrossRef]
- Phan, K.; Ügdüler, S.; Harinck, L.; Denolf, R.; Roosen, M.; O’Rourke, G.; De Vos, D.; Van Speybroeck, V.; De Clerck, K.; De Meester, S. Analysing the potential of the selective dissolution of elastane from mixed fibre textile waste. Resour. Conserv. Recycl. 2023, 191, 106903. [Google Scholar] [CrossRef]
- Yin, Y.; Yao, D.; Wang, C.; Wang, Y. Removal of spandex from nylon/spandex blended fabrics by selective polymer degradation. Text. Res. J. 2014, 84, 16–27. [Google Scholar] [CrossRef]
- Wang, L.; Huang, S.; Wang, Y. Recycling of Waste Cotton Textile Containing Elastane Fibers through Dissolution and Regeneration. Membranes 2022, 12, 355. [Google Scholar] [CrossRef] [PubMed]
- Villar, L.; Schlapp-Hackl, I.; Sánchez, P.B.; Hummel, M. High-Quality Cellulosic Fibers Engineered from Cotton–Elastane Textile Waste. Biomacromolecules 2024, 25, 1942–1949. [Google Scholar] [CrossRef] [PubMed]
- Johansen, M.B.; Donslund, B.S.; Henriksen, M.L.; Kristensen, S.K.; Skrydstrup, T. Selective chemical disassembly of elastane fibres and polyurethane coatings in textiles. Green Chem. Int. J. Green Chem. Resour. GC 2023, 25, 1622–1629. [Google Scholar] [CrossRef]
- Levi Strauss & Co. Sustainable Fibers–The Foundation of Sustainable Apparel. Sustainable Fibers–Levi Strauss & Co: Levi Strauss & Co. Available online: https://www.levistrauss.com/sustainability-report/consumption/sustainable-fibers/ (accessed on 24 October 2024).
- Control Union Global–Global Recycled Standard. GRS–Global Recycled Standard–Control Union Global. Available online: https://www.controlunion.com/certification-program/grs-global-recycled-standard/ (accessed on 25 October 2024).
- Australian Packaging Covenant Organisation-Recycled Content Guide. Available online: https://documents.packagingcovenant.org.au/public-documents/Recycled%20Content%20Guide#:~:text=Recycled%20content%20is%20the%20proportion%20%28by%20mass-weight%29%20of,from%20the%20waste%20stream%20during%20manufacturing%20%28excluding%20rework%29 (accessed on 19 December 2024).
- ISO 14021:2016(en); Environmental Labels and Declarations-Self-Declared Environmental Claims (Type II Environmental Labelling). Available online: https://www.iso.org/obp/ui/#iso:std:iso:14021:ed-2:v1:en (accessed on 19 December 2024).
- Lindex–Circular Fashion. Circular Fashion. Available online: https://about.lindex.com/sustainability/how-we-work/circular-fashion/ (accessed on 25 October 2024).
- European Parliament: Textiles and Food Waste Reduction–New EU Rules to Support Circular Economy. Target. News Serv. Textiles and Food Waste Reduction: New EU Rules to Support Circular Economy | News | European Parliament. Available online: https://www.europarl.europa.eu/pdfs/news/expert/2024/2/press_release/20240212IPR17625/20240212IPR17625_en.pdf (accessed on 26 October 2024).

















Polymer![]() | Molecular Structure![]() | Main Applications![]() |
|---|---|---|
| Polyethylene terephthalate | ![]() | ![]() Textile fibres, food containers and plastic bottles |
| Nylon 6 | ![]() | ![]() Carpets, fishing nets and swimwear |
| Nylon 6.6 | ![]() | ![]() Carpets, curtains and conveyor belts |
| Elastane | ![]() | ![]() Sportswear, swimwear and textile blends |
Disclaimer/Publisher’s Note: The statements, opinions and data contained in all publications are solely those of the individual author(s) and contributor(s) and not of MDPI and/or the editor(s). MDPI and/or the editor(s) disclaim responsibility for any injury to people or property resulting from any ideas, methods, instructions or products referred to in the content. |
© 2025 by the authors. Licensee MDPI, Basel, Switzerland. This article is an open access article distributed under the terms and conditions of the Creative Commons Attribution (CC BY) license (https://creativecommons.org/licenses/by/4.0/).
Share and Cite
Ndagano, U.N.; Cahill, L.; Smullen, C.; Gaughran, J.; Kelleher, S.M. The Current State-of-the-Art of the Processes Involved in the Chemical Recycling of Textile Waste. Molecules 2025, 30, 299. https://doi.org/10.3390/molecules30020299
Ndagano UN, Cahill L, Smullen C, Gaughran J, Kelleher SM. The Current State-of-the-Art of the Processes Involved in the Chemical Recycling of Textile Waste. Molecules. 2025; 30(2):299. https://doi.org/10.3390/molecules30020299
Chicago/Turabian StyleNdagano, Urbain Nshokano, Laura Cahill, Ciara Smullen, Jennifer Gaughran, and Susan M. Kelleher. 2025. "The Current State-of-the-Art of the Processes Involved in the Chemical Recycling of Textile Waste" Molecules 30, no. 2: 299. https://doi.org/10.3390/molecules30020299
APA StyleNdagano, U. N., Cahill, L., Smullen, C., Gaughran, J., & Kelleher, S. M. (2025). The Current State-of-the-Art of the Processes Involved in the Chemical Recycling of Textile Waste. Molecules, 30(2), 299. https://doi.org/10.3390/molecules30020299












