Utilizing High-Resolution Mass Spectrometry Data Mining Strategy in R Programming Language for Rapid Annotation of Absorbed Prototypes and Metabolites of Gypenosides
Abstract
1. Introduction
2. Results and Discussion
2.1. Identification of GPs Prototypes
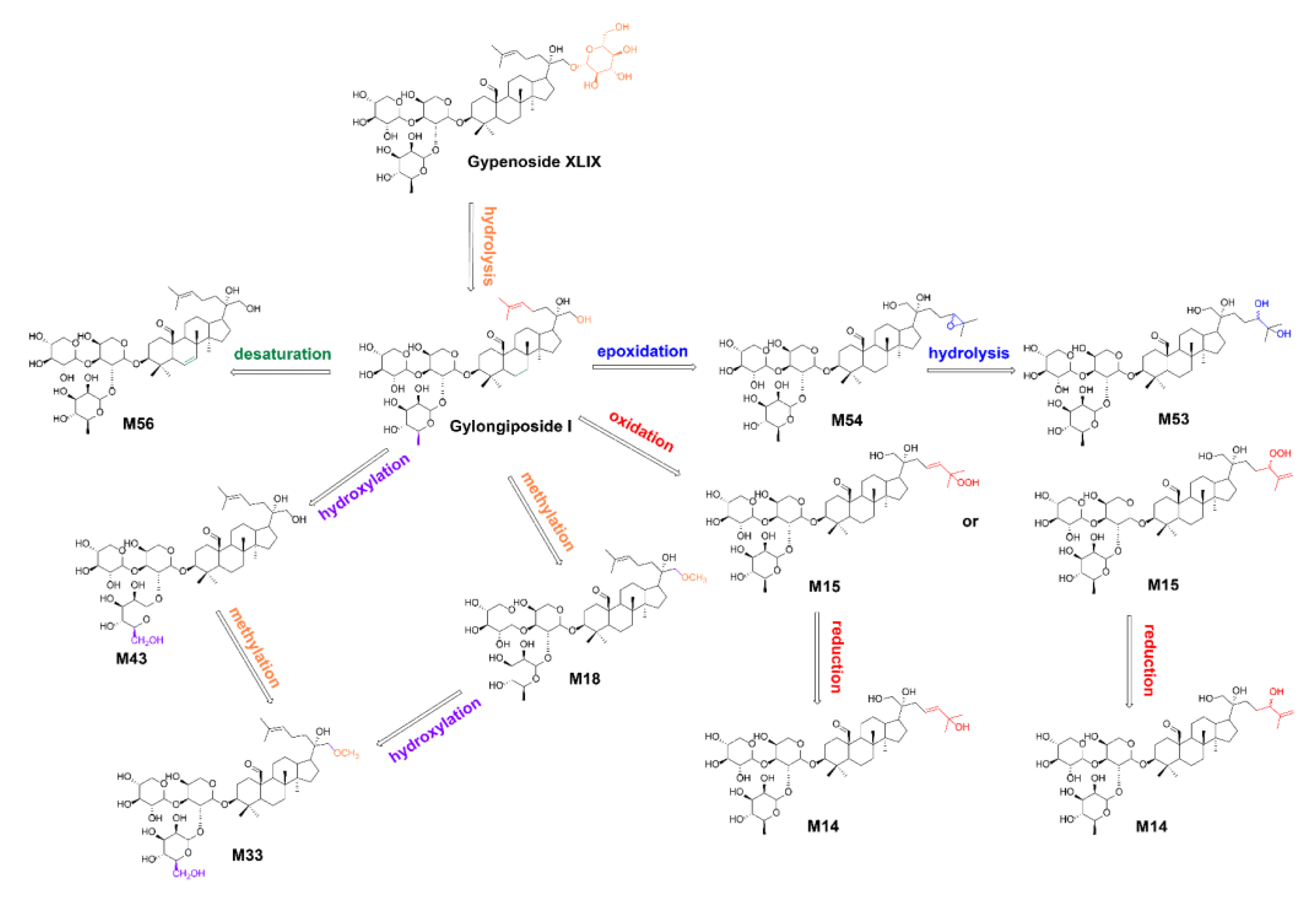
2.2. Characterization of GPs Metabolites
2.3. Application of Rapid Identification Methods for Natural Product Metabolites
3. Materials and Methods
3.1. Chemicals and Materials
3.2. Animals
3.2.1. Blood Samples Collection
3.2.2. Sample Preparation
3.3. UPLC-Q-TOF MS/MS Analysis
3.4. Identification and Characterization of GPs Absorbed Prototypes and Metabolites
3.4.1. Identification of GPs Prototypes
3.4.2. Characterization of GPs Metabolites
3.5. Application the Feasibility of the Integrated Metabolite Annotation Strategy
4. Conclusions
Supplementary Materials
Author Contributions
Funding
Institutional Review Board Statement
Informed Consent Statement
Data Availability Statement
Acknowledgments
Conflicts of Interest
References
- Li, Y.; Lin, W.; Huang, J.; Xie, Y.; Ma, W. Anti-cancer effects of Gynostemma pentaphyllum (Thunb.) Makino (Jiaogulan). Chin. Med. 2016, 11, 43. [Google Scholar] [CrossRef]
- Shi, G.; Wang, X.; Zhang, H.; Zhang, X.; Zhao, Y. New dammarane-type triterpene saponins from Gynostemma pentaphyllum and their anti-hepatic fibrosis activities in vitro. J. Funct. Foods 2018, 45, 10–14. [Google Scholar] [CrossRef]
- Chen, X.-B.; Yao, C.-L.; Hou, J.-R.; Nie, M.; Li, Y.; Wei, W.L.; Zhang, J.-Q.; Qu, H.; Li, J.-Y.; Bi, Q.-R.; et al. Systematical characterization of gypenosides in Gynostemma pentaphyllum and the chemical composition variation of different origins. J. Pharm. Biomed. Anal. 2023, 232, 115328. [Google Scholar] [CrossRef] [PubMed]
- Kao, T.H.; Huang, S.C.; Inbaraj, B.S.; Chen, B. Determination of flavonoids and saponins in Gynostemma pentaphyllum (Thunb.) Makino by liquid chromatography–mass spectrometry. Anal. Chim. Acta 2008, 626, 200–211. [Google Scholar] [CrossRef]
- Zhang, H.-J.; Gao, P.-F.; Guo, X.-F.; Wang, H. Simultaneous determination of selenium containing amino acids and their sulfur-analogues in green tea and gynostemma pentaphyllum infusion with high performance liquid chromatography based on fluorescence labeling. Microchem. J. 2013, 110, 192–197. [Google Scholar] [CrossRef]
- Li, X.-L.; Wang, Z.-H.; Zhao, Y.-X.; Luo, S.-J.; Zhang, D.-W.; Xiao, S.-X.; Peng, Z.-H. Isolation and antitumor activities of acidic polysaccharide from Gynostemma pentaphyllum Makino. Carbohydr. Polym. 2012, 89, 942–947. [Google Scholar] [CrossRef] [PubMed]
- Nguyen, N.-H.; Ha, T.K.Q.; Yang, J.-L.; Pham, H.T.T.; Oh, W.K. Triterpenoids from the genus Gynostemma: Chemistry and pharmacological activities. J. Ethnopharmacol. 2021, 268, 113574. [Google Scholar] [CrossRef] [PubMed]
- Xie, P.; Xie, J.-B.; Xiao, M.-Y.; Guo, M.; Qi, Y.-S.; Li, F.-F.; Piao, X.-L. Liver lipidomics analysis reveals the anti-obesity and lipid-lowering effects of gypnosides from heat-processed Gynostemma pentaphyllum in high-fat diet fed mice. Phytomedicine 2023, 115, 154834. [Google Scholar] [CrossRef]
- Xie, J.B.; Xie, P.; Guo, M.; Li, F.-F.; Xiao, M.-Y.; Qi, Y.-S.; Pei, W.-J.; Luo, H.-T.; Gu, Y.-L.; Piao, X.-L. Protective effect of heat-processed Gynostemma pentaphyllum on high fat diet-induced glucose metabolic disorders mice. Front. Pharmacol. 2023, 14, 1215150. [Google Scholar] [CrossRef]
- Chen, S.; Liu, X.; Zhao, H.; Cheng, N.; Sun, J.; Cao, W. Beneficial effects of Gynostemma pentaphyllum honey paste on obesity via counteracting oxidative stress and inflammation: An exploration of functional food developed from two independent foods rich in saponins and phenolics. Food Res. Int. 2022, 157, 111483. [Google Scholar] [CrossRef]
- Ma, C.; Li, H.; Liu, W.; Lu, S.; Li, X.; Chen, J.; Li, K.; Wang, W. Therapeutic Effect of Gypenosides on Antioxidant Stress Injury in Orbital Fibroblasts of Graves’ Orbitopathy. J. Immunol. Res. 2022, 2022, 4432584. [Google Scholar] [CrossRef]
- Wu, H.; Lai, W.; Wang, Q.; Zhou, Q.; Zhang, R.; Zhao, Y. Gypenoside induces apoptosis by inhibiting the PI3K/AKT/mTOR pathway and enhances T-cell antitumor immunity by inhibiting PD-L1 in gastric cancer. Front. Pharmacol. 2024, 15, 1243353. [Google Scholar] [CrossRef] [PubMed]
- Guo, M.; Pei, W.J.; Liu, L.; Chen, K.; Cheng, Y.; Piao, X.-L. Neuroprotective effects of gypenosides on LPS-induced anxiety and depression-like behaviors. Int. Immunopharmacol. 2024, 143, 113367. [Google Scholar] [CrossRef]
- Park, H.J.; Zhao, T.T.; Kim, S.H.; Lee, C.K.; Hwang, B.Y.; Lee, K.E.; Lee, M.K. Ethanol extract from Gynostemma pentaphyllum ameliorates dopaminergic neuronal cell death in transgenic mice expressing mutant A53T human alpha-synuclein. Neural Regen. Res. 2020, 15, 361–368. [Google Scholar]
- Zhao, T.T.; Shin, K.S.; Choi, H.S.; Lee, M.K. Ameliorating effects of gypenosides on chronic stress-induced anxiety disorders in mice. BMC Complement. Altern. Med. 2015, 15, 323. [Google Scholar] [CrossRef] [PubMed]
- Xie, P.; Luo, H.-T.; Pei, W.-J.; Xiao, M.-Y.; Li, F.-F.; Gu, Y.-L.; Piao, X.-L. Saponins derived from Gynostemma pentaphyllum regulate triglyceride and cholesterol metabolism and the mechanisms: A review. J. Ethnopharmacol. 2024, 319, 117186. [Google Scholar] [CrossRef] [PubMed]
- Zhou, T.; Cao, L.; Du, Y.; Qin, L.; Lu, Y.; Zhang, Q.; He, Y.; Tan, D. Gypenosides ameliorate high-fat diet-induced nonalcoholic fatty liver disease in mice by regulating lipid metabolism. PeerJ 2023, 11, e15225. [Google Scholar] [CrossRef] [PubMed]
- Lin, T.-L.; Lu, C.-C.; Lai, W.-F.; Wu, T.-S.; Lu, J.-J.; Chen, Y.-M.; Tzeng, C.-M.; Liu, H.-T.; Wei, H.; Lai, H.-C. Role of gut microbiota in identification of novel TCM-derived active metabolites. Protein Cell 2020, 12, 394–410. [Google Scholar] [CrossRef] [PubMed]
- Luo, Z.; Xu, W.; Zhang, Y.; Di, L.; Shan, J. A review of saponin intervention in metabolic syndrome suggests further study on intestinal microbiota. Pharmacol. Res. 2020, 160, 105088. [Google Scholar] [CrossRef] [PubMed]
- Hou, J.-J.; Zhang, J.-Q.; Yao, C.-L.; Bauer, R.; Khan, I.A.; Wu, W.-Y.; Guo, D.-A. Deeper Chemical Perceptions for Better Traditional Chinese Medicine Standards. Engineering 2019, 5, 83–97. [Google Scholar] [CrossRef]
- Wu, X.; Hou, J.; Zhang, Z.; Chen, L.; Ni, H.; Qian, Y.; Wu, W.; Long, H.; Zhang, L.; Li, F.; et al. In-depth exploration and comparison of chemical constituents from two Lilium species through offline two-dimensional liquid chromatography combined with multimode acquisition of high-resolution mass spectrometry. J. Chromatogr. A 2022, 1670, 462980. [Google Scholar] [CrossRef]
- Li, D.; Liang, W.; Feng, X.; Ruan, T.; Jiang, G. Recent advances in data-mining techniques for measuring transformation products by high-resolution mass spectrometry. Trac-Trends Anal. Chem. 2021, 143, 116409. [Google Scholar] [CrossRef]
- Kendrick, E. A Mass Scale Based on CH2 = 14.0000 for High Resolution Mass Spectrometry of Organic Compounds. Anal. Chem. 1963, 35, 2146–2154. [Google Scholar] [CrossRef]
- Paulson, A.E.; Lee, Y.J. Novel Ambient Oxidation Trends in Fingerprint Aging Discovered by Kendrick Mass Defect Analysis. ACS Cent. Sci. 2022, 8, 1328–1335. [Google Scholar] [CrossRef]
- Wu, X.; Liu, Y.; Zhang, Z.; Ou, Z.; Wang, G.; Zhang, T.; Long, H.; Lei, M.; Liu, L.; Huang, W.; et al. Authentication of Shenqi Fuzheng Injection via UPLC-Coupled Ion Mobility—Mass Spectrometry and Chemometrics with Kendrick Mass Defect Filter Data Mining. Molecules 2022, 27, 4734. [Google Scholar] [CrossRef] [PubMed]
- Shao, D.; Liu, X.; Wu, J.; Zhang, A.; Bai, Y.; Zhao, P.; Li, J. Identification of the active compounds and functional mechanisms of Jinshui Huanxian formula in pulmonary fibrosis by integrating serum pharmacochemistry with network pharmacology. Phytomedicine 2022, 102, 154177. [Google Scholar] [CrossRef] [PubMed]
- Reuschenbach, M.; Hohrenk-Danzouma, L.L.; Schmidt, T.C.; Renner, G. Development of a scoring parameter to characterize data quality of centroids in high-resolution mass spectra. Anal. Bioanal. Chem. 2022, 414, 6635–6645. [Google Scholar] [CrossRef]
- Volikov, A.; Rukhovich, G.; Perminova, I.V. NOMspectra: An Open-Source Python Package for Processing High Resolution Mass Spectrometry Data on Natural Organic Matter. J. Am. Soc. Mass Spectrom. 2023, 34, 1524–1527. [Google Scholar] [CrossRef]
- Duan, L.; Ma, A.; Meng, X.; Shen, G.-A.; Qi, X. QPMASS: A parallel peak alignment and quantification software for the analysis of large-scale gas chromatography-mass spectrometry (GC-MS)-based metabolomics datasets. J. Chromatogr. A 2020, 1620, 460999. [Google Scholar] [CrossRef] [PubMed]
- Rosas-Román, I.; Guillén-Alonso, H.; Moreno-Pedraza, A.; Winkler, R. Technical Note: mzML and imzML Libraries for Processing Mass Spectrometry Data with the High-Performance Programming Language Julia. Anal. Chem. 2024, 96, 3999–4004. [Google Scholar] [CrossRef] [PubMed]
- Wu, X.; Fan, Q.; Gao, C.; Wu, J.; Wu, D.; Hu, E.; Tan, D.; Zhao, Y.; Li, X.; Zhou, Y.; et al. Metabolites rapid-annotation in mice by comprehensive method of virtual polygons and Kendric mass loss filtering: A case study of Dendrobium nobile Lindl. J. Pharm. Biomed. Anal. 2024, 243, 116106. [Google Scholar] [CrossRef]
- Zhang, L.; Lin, Y.; Guan, H.; Hu, L.; Pan, G. Simultaneous determination of gypenoside LVI, gypenoside XLVI, 2α-OH-protopanaxadiol and their two metabolites in rat plasma by LC–MS/MS and its application to pharmacokinetic studies. J. Chromatogr. B 2015, 1005, 9–16. [Google Scholar] [CrossRef] [PubMed]
- Yang, M.; Sun, J.; Lu, Z.; Chen, G.; Guan, S.; Liu, X.; Jiang, B.; Ye, M.; Guo, D.-A. Phytochemical analysis of traditional Chinese medicine using liquid chromatography coupled with mass spectrometry. J. Chromatogr. A 2009, 1216, 2045–2062. [Google Scholar] [CrossRef] [PubMed]
- Olivon, F.; Apel, C.; Retailleau, P.; Allard, P.M.; Wolfender, J.L.; Touboul, D.; Roussi, F.; Litaudon, M.; Desrat, S. Searching for original natural products by molecular networking: Detection, isolation and total synthesis of chloroaustralasines. Org. Chem. Front. 2018, 5, 2171–2178. [Google Scholar] [CrossRef]
- Fouquet, T.; Sato, H. Extension of the Kendrick Mass Defect Analysis of Homopolymers to Low Resolution and High Mass Range Mass Spectra Using Fractional Base Units. Anal. Chem. 2017, 89, 2682–2686. [Google Scholar] [CrossRef]
- Chai, Y.; Luo, J.; Bao, Y. Effects of Polygonatum sibiricum saponin on hyperglycemia, gut microbiota composition and metabolic profiles in type 2 diabetes mice. Biomed. Pharmacother. 2021, 143, 112155. [Google Scholar] [CrossRef]
- Chen, J.; Qin, L.; Wu, X.; Tan, D.; Lu, Y.; Du, Y.; Wu, D.; He, Y. Identification of Human UDP-Glucuronosyltransferase Involved in Gypensapogenin C Glucuronidation and Species Differences. Int. J. Mol. Sci. 2023, 24, 1454. [Google Scholar] [CrossRef]
- Zhao, H.; Jiao, W.; Xiu, Y.; Zhou, K.; Zhong, P.; Wang, N.; Yu, S. Enzymatic Biotransformation of Gypenoside XLIX into Gylongiposide I and Their Antiviral Roles against Enterovirus 71 In Vitro. Molecules 2022, 27, 4094. [Google Scholar] [CrossRef]
- Merel, S. Critical assessment of the Kendrick mass defect analysis as an innovative approach to process high resolution mass spectrometry data for environmental applications. Chemosphere 2023, 313, 137443. [Google Scholar] [CrossRef]






Disclaimer/Publisher’s Note: The statements, opinions and data contained in all publications are solely those of the individual author(s) and contributor(s) and not of MDPI and/or the editor(s). MDPI and/or the editor(s) disclaim responsibility for any injury to people or property resulting from any ideas, methods, instructions or products referred to in the content. |
© 2025 by the authors. Licensee MDPI, Basel, Switzerland. This article is an open access article distributed under the terms and conditions of the Creative Commons Attribution (CC BY) license (https://creativecommons.org/licenses/by/4.0/).
Share and Cite
Li, X.; Zhang, Q.; Li, Y.; Qin, L.; Wu, D.; Tan, D.; Xie, J.; Wu, J.; Yang, Q.; Lu, Y.; et al. Utilizing High-Resolution Mass Spectrometry Data Mining Strategy in R Programming Language for Rapid Annotation of Absorbed Prototypes and Metabolites of Gypenosides. Molecules 2025, 30, 779. https://doi.org/10.3390/molecules30040779
Li X, Zhang Q, Li Y, Qin L, Wu D, Tan D, Xie J, Wu J, Yang Q, Lu Y, et al. Utilizing High-Resolution Mass Spectrometry Data Mining Strategy in R Programming Language for Rapid Annotation of Absorbed Prototypes and Metabolites of Gypenosides. Molecules. 2025; 30(4):779. https://doi.org/10.3390/molecules30040779
Chicago/Turabian StyleLi, Xiaoshan, Qianru Zhang, Yuqin Li, Lin Qin, Di Wu, Daopeng Tan, Jian Xie, Jiajia Wu, Qingping Yang, Yanliu Lu, and et al. 2025. "Utilizing High-Resolution Mass Spectrometry Data Mining Strategy in R Programming Language for Rapid Annotation of Absorbed Prototypes and Metabolites of Gypenosides" Molecules 30, no. 4: 779. https://doi.org/10.3390/molecules30040779
APA StyleLi, X., Zhang, Q., Li, Y., Qin, L., Wu, D., Tan, D., Xie, J., Wu, J., Yang, Q., Lu, Y., Zhao, Y., Fan, Q., Wu, X., & He, Y. (2025). Utilizing High-Resolution Mass Spectrometry Data Mining Strategy in R Programming Language for Rapid Annotation of Absorbed Prototypes and Metabolites of Gypenosides. Molecules, 30(4), 779. https://doi.org/10.3390/molecules30040779

