Abstract
This study is dedicated to the design of multiple redox-active oligonuclear manganese complexes supported with a bis(tetradentate) ligand (TPDP = 1,3-bis(bis(2-pyridinylmethyl)amino)-2-propanol) for high-contrast electrochromism based on the reversible redox process between Mn(II) (colorless) and Mn(III) (dark brown). Pentanuclear Mn5 complex 1 (colorless) was synthesized via a one-pot reaction of Mn2+ and TPDP, while tetranuclear Mn4 complex 2 (brown) was obtained through aerial oxidation of complex 1. Mn5 complex 1 features a central MnCl6 unit connected to two Mn2(μ-TPDP) fragments through μ3-Cl− and μ-Cl−, whereas Mn4 complex 2 adopts a symmetric tetranuclear structure with two mixed-valence Mn2II,III(μ-TPDP)(μ-Cl) fragments that are further linked by μ-oxo. Electrochemical studies revealed multi-step reversible redox properties for both complexes, attributed to MnII/MnIII processes with significant electronic coupling (ΔE1/2 = 0.27–0.37 V) between Mn centers. Spectroelectrochemical analysis revealed dynamic optical modulation through the tunable d-d transition and ligand-to-metal charge transfer (LMCT) state through reversible multiple redox processes based on Mn(II) ⇆ Mn(III) interconversion. The fabricated electrochromic device (ECD) exhibited reversible and high optical contrast between the colored state (dark brown) and the bleaching state (colorless). The results highlight the potential of polynuclear manganese complexes as high-contrast electrochromic materials for next-generation smart windows and adaptive optical technologies.
1. Introduction
Polynuclear metal complexes, characterized by multiple metal centers linked with organic or inorganic ligands, have attracted significant attention in materials science due to their synergistic electronic interactions, structural diversities, and multifunctional properties [1,2,3,4,5,6,7,8,9,10,11,12,13]. Among them, polynuclear manganese complexes stand out for their unique redox dynamics, magnetic coupling effects, and tunable catalytic activities with great potential for applications in bioinorganic chemistry (e.g., mimicking the water-oxidizing center in photosynthesis), energy conversion (e.g., oxygen evolution catalysis), and molecular electronics (e.g., spintronic devices) [14,15,16,17,18,19,20,21,22]. It is known that the manganese complexes, such as manganese phthalocyanine derivatives, show remarkable potential in electrochromic application owing to the distinctive electronic structure and redox versatility of Mn ions [23,24,25]. Taking into consideration the unique properties of multi-electron redox chemistry and the efficient charge transport characteristic, polynuclear manganese complexes would emerge as promising candidates for electrochromic applications.
Electrochromic devices (ECDs), as dynamic systems capable of modulating optical properties via electric fields, hold significant application potential in smart windows, low-power displays, adaptive camouflage coatings, and energy-efficient buildings. Although conventional electrochromic materials, such as tungsten trioxide (WO3) and conducting polymers (e.g., PEDOT:PSS), have achieved commercial success, they still face limitations in color tunability, redox reversibility, and scalability. Polynuclear Mn complexes intrinsically satisfy criterion for electrochromic applications owing to the unique properties of multi-metal redox centers, multiple accessible oxidation states (II-IV), and ligand-field-tunable electronic structures. In this study, we focus on the designed synthesis and electrochromic performance of pentanuclear and tetranuclear manganese complexes (Scheme 1) with a heptadentate ligand (TPDP) as the chelating ligand. The TPDP ligand not only provides an easily deprotonated -OH group to promote the generation of the (μ2-O)M2 coordination model, but it also serves as an efficient chelating ligand to stabilize metal centers through dual N^N^N coordination modes. By bridging molecular engineering and functional materials science, this study aims to advance electrochromic technologies with enhanced efficiency, durability, and environmental compatibility.
Scheme 1.
Synthetic routes to TPDP-based polynuclear manganese complexes 12+ and 22+.
2. Results and Discussion
2.1. Synthesis and Crystal Structure
Pentanuclear complex [Mn5(TPDP)2(μ3-Cl)2(μ-Cl)4](ClO4)2 (1(ClO4)2) was prepared by the reaction of the ligand TPDP and MnCl2 in a mixed solvent of CH3CN/CH3OH under an inert atmosphere at 85% yield as a colorless solid, implying that the formal oxidation states of the five Mn atoms were all +2 (valence II). When the CH2Cl2 solution of complex 1(ClO4)2 was exposed in air, the colorless solution rapidly turned brown, thus leading to the isolation of tetranuclear complex [Mn4(TPDP)2(μ-O)(μ-Cl)2Cl2](ClO4)2 (2(ClO4)2) as a brown solid, which possesses a mixed valence state of Mn2II,III(μ-O)Mn2II,III. For complex 1(ClO4)2 (vide infra), the low potential (E1/2(A) = 0.058 V vs. Fc+/Fc,) of the first oxidation wave, corresponding to the [Mn2II,II-MnIICl6-Mn2II,II]2+ ⇆ [Mn2II,II-MnIIICl6-Mn2II,II]3+ process, prompts it to be oxidized by O2 into [Mn2II,II-MnIIICl6-Mn2II,II]3+ species (13+) with the simultaneous formation of an oxo (O2−) dianion. Since the MnIII−O2− bond is much stronger than that of MnIII−Cl, Mn5 complex 1(ClO4)2 was thus converted to mixed-valence Mn4II,II,III,III complex 2(ClO4)2. In fact, complex 1(ClO4)2 can be viewed as consisting of two Mn2(TPDP)Cl3 units and one Mn2+, incorporating together through the linkage of six Cl− in μ-Cl (four) and μ3-Cl (two) bonding modes. Once the central Mn2+ is oxidized to Mn3+ in air, the MnIII−Cl bond is disrupted with the formation of a MnIII−O2− bond. As a result, two Mn2(TPDP)Cl3 units are linked together through a μ-O2− dianion to produce complex 2(ClO4)2.
The structures of complexes 1(ClO4)2 and 2(ClO4)2 were characterized by the single-crystal X-ray Diffraction (SC-XRD) analysis. As is shown in Figure 1a, the pentanuclear manganese cation 12+ is composed of two Mn2(TPDP) and one MnCl6 fragments put together through the Mn-Cl-Mn linkages. The TPDP is bound to two MnII atoms through the formation of six five-membered chelating rings, behaving as a bis(tetradentate) bridging–chelating ligand, where two MnII atoms are linked by a deprotonated hydroxyl. The bond angles around O1 are 109.0, 110.0, and 114.3°, indicating a typical sp3 hybridization of the hydroxyl O atom [26]. The octahedral coordination sphere of the TPDP-chelated Mn atom is built by one hydroxyl O, one tertiary amine N atom, two pyridine N atoms, one μ-Cl, and one μ3-Cl atom. Noticeably, the two MnII centers bridged by TPDP exhibit a highly distorted coordination environment with the bond angles around the MnII center varying from 73.4° (N4-Mn1-N1) to 117.9° (O1-Mn1-Cl1). The bond lengths are 2.080−2.089 Å for Mn−O, 2.231−2.363 Å for Mn−N, 2.239−2.248 Å for Mn−(μ3-Cl), and 2.779−2.787 Å for Mn−(μ-Cl). The central Mn center bound to six Cl− atoms adopts a slightly distorted octahedral coordination geometry with Mn−Cl bond lengths of 2.530–2.566 Å and Cl−Mn−Cl bond angles of 86.95–93.05°. The Mn···Mn distance across the bridging hydroxyl and μ3-Cl is 3.503 Å (Mn1−Mn2), while those across μ-Cl and μ3-Cl are 3.772 Å (Mn1−Mn3) and 3.781 Å (Mn2−Mn3), suggesting a delocalized electronic structure to exhibit multiple redox behaviors.
Figure 1.
Perspective views of complex cations of 12+ (a) and 22+ (b) from X-ray crystallography. Color scheme: Mn, pink; Cl, green; O, red; C, gray; N, blue. The hydrogen atoms have been deleted for clarity.
Complex cation 22+ (Figure 1b) consists of two symmetric Mn2 units linked by a μ-O2− atom to form a quasi-linear tetranuclear cluster. The μ-O2− atom locates at the inversion center to give the Mn1-O2-Mn1a angle of 180°. The quite short Mn1–O2 length suggests that Mn1 is typical of valence III [27,28]. The bridging pathways of Mn1-O1-Mn2 (MnIII-O-MnII) and Mn1-Cl1-Mn2 (MnIII-Cl-MnII) are severely asymmetric, where the much shorter Mn1–O1 (1.907(2) Å) bond than that of Mn2–O1 (2.129(2) Å) or the much shorter Mn1–Cl1 (2.4361(9) Å) distance than that of Mn2–Cl1 (2.6821(9) Å) further confirms the valence III characteristic for Mn1, in striking contrast to the character of valence II for Mn2. Mn1 (valence III) or Mn2 (valence II) exhibits distorted octahedral coordination geometry composed of ClN3O2 donors for Mn1 and Cl2N3O donors for Mn2. Owing to the valence III character of Mn1, the Mn1–Namine (2.245(3) Å) and Mn1–Npy (2.127(3)–2.147(3) Å) bonds are much stronger than the corresponding Mn2–Namine (2.433(3) Å) and Mn2–Npy (2.218(3)–2.224(3) Å) bonds. The Mn1···Mn1a distance through the bridging μ-O2− atom is 3.5245(6) Å, which is a little longer than that of Mn1···Mn2 (3.5089(6) Å) across the bridging μ-Cl− atom.
2.2. Electrochemical Characterization
The redox properties of complexes 1(ClO4)2 and 2(ClO4)2 were examined by cyclic voltammetry (CV) in acetonitrile solutions. As is shown in Figure 2, complex 1(ClO4)2 exhibits three pair of distinct reversible redox waves in the potential range of −0.50 to +1.00 V vs. Fc/Fc+ (Table 1). The wave at +0.058 V (A) is attributed to the one-electron redox process of MnII/MnIII at the central Mn atom. The wave at +0.45 V (B) is ascribable to the superposition of two one-electron (corresponding to two-electron) oxidation processes of two separated TPDP-linked Mn2 units from MnIIMnII to MnIIIMnII. Another wave at +0.72 V (C) corresponds to the second double one-electron redox processes upon the further oxidation of an individual TPDP-linked Mn2 unit from MnIIIMnII to MnIIIMnIII. As a result, the redox chemistry of 1(ClO4)2 is summarized as [Mn2II,II-MnII-Mn2II,II]2+ (12+) ⇆ [Mn2II,II-MnIII-Mn2II,II]3+ (13+, E1/2(A) = 0.058 V) ⇆ [Mn2III,II-MnIII-Mn2III,II]5+ (15+, E1/2(B) = 0.45 V) ⇆ [Mn2III,III-MnIII-Mn2III,III]7+ (17+, E1/2(C) = 0.72 V). For each TPDP-linked Mn2 unit, the stepwise one-electron redox processes are MnIIMnII ⇆ MnIIIMnII (E1/2(B) = 0.45 V) ⇆ MnIIIMnIII (E1/2(C) = 0.72 V) with a potential difference (ΔE1/2 = E1/2(C) − E1/2(B)) of 0.27 V, which is comparable to the corresponding value of other polynuclear manganese complexes [28,29,30] and demonstrates remarkable electronic communication between two Mn2 units mediated through bridging the TPDP ligand. Moreover, complex 1(ClO4)2 showed excellent electrochemical stability over 5000 repeated CV cycles at the scan rate of 100 mV s−1 without an appreciable change in the CV curve.
Figure 2.
Cyclic voltammograms for of complexes 1(ClO4)2 (blue) and 2(ClO4)2 (red) in 0.1 M CH3CN solutions of (Bu4N)(ClO4). The scan rates was 100 mV/s.
Table 1.
Electrochemical data of complexes 1(ClO4)2 (blue) and 2(ClO4)2.
As is depicted in Figure 2, complex 2(ClO4)2 displays three pairs of reversible redox waves in the range of −0.50 to +1.00 V. The redox waves at −0.040 V (A) and +0.33 V (B) are most probably ascribable to stepwise one-electron redox processes of the two MnII ions connected by the μ2-O2−, that is, MnIIMnII−O−MnIIMnII/MnIIMnIII−O−MnIIMnII (E1/2(A) = −0.040 V) and MnIIMnIII−O−MnIIMnII/MnIIMnIII−O−MnIIIMnII (E1/2(B) = +0.33 V) with the potential difference (ΔE1/2 = E1/2(B) − E1/2(A)) of +0.37 V, implying significant electronic communication through the Mn−O2−−Mn bridging pathway [29]. The third redox wave at +0.69 V (C) most likely arises from concurrent double one-electron oxidation of two MnIIMnIII−O−MnIIIMnII to MnIIIMnIII−O−MnIIIMnIII units. Thus, the redox processes of 2(ClO4)2 are described as [MnIIMnII−O−MnIIMnII] ⇆ [MnIIMnIII−O−MnIIMnII]+ (E1/2(A) = −0.040 V) ⇆ [MnIIMnIII−O−MnIIIMnII]2+ (E1/2(B) = 0.33 V) ⇆ [MnIIIMnIII−O−MnIIIMnIII]4+ (E1/2(C) = 0.69 V).
2.3. Spectroelectrochemical Study
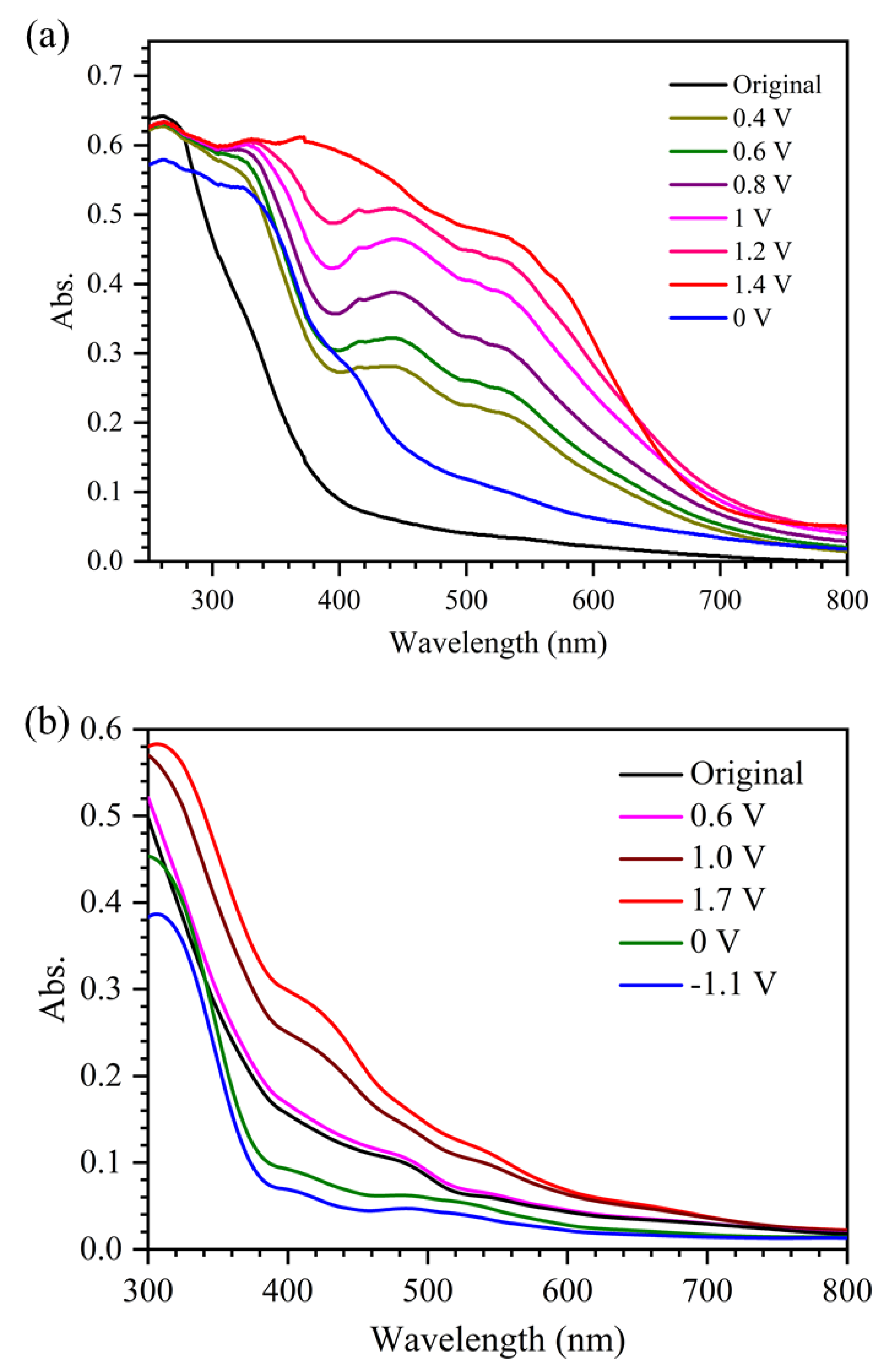
Encouraged by the intriguing multiple redox characteristics, we next examined the spectroelectrochemical properties through the combination of an electrochemical workstation and UV–Vis spectrometer. A three-electrode system was installed in a quartz cuvette using the platinum plates as the working electrode and counter electrode, and Ag/AgCl as the reference electrode. The electrolysis of complexes 1(ClO4)2 and 1(ClO4)2 was performed using cyclic voltammetry with a scan rate of 10 mV/s. The absorption spectrum of complex 1(ClO4)2 displays only a strong absorption band centered at 260 nm with a shoulder at the range of 300−370 nm due to the π → π* and n → π* transitions of TPDP (Figure S1 in Supplementary Materials), giving rise to it being colorless in acetonitrile solution in the initial state. This is consistent with the absence of a metal-to-ligand charge transfer (MLCT) and d-d transition of MnII, which is forbidden [31,32,33,34]. Upon electrolysis of the complex 1(ClO4)2 (Figure 3a) solution at an external potential of 0.4 V, the absorption band of 300−370 nm remarkably increased, followed by the appearance of two new sets of broad absorption bands in the visible region centered at 440 and 530 nm, ascribable to the oxidation of complex 12+ ([Mn2II,II-MnII-Mn2II,II]2+) into 13+ ([Mn2II,II-MnIII-Mn2II,II]3+). The rise in absorption bands in the visible region along with the color changes in solution are likely attributed to the d-d transition of the central MnIII ion, Cl− → MnIII LMCT (ligand-to-metal charge transfer, Figure S2) [35], and MnII → MnIII IVCT (intervalence charge transfer) transitions. With the gradual increase in the redox potential to 0.8 V, the absorption bands in the visible region became progressively enhanced with the further oxidation following complex 12+ → 13+ → 15+, accompanied by the color deepening in solution because of the occurrence of an additional TPDP → MnIII LMCT transition (Figure S3). When the applied external voltage was increased to 1.4 V, the solution became dark brown and the absorption intensity in the range of 400−700 nm reached a maximum with the observation of a new absorption peak centered at around 385 nm. Conversely, once the external potential bias was reduced to 0 V, the intensity of absorption bands in the visible region between 400 and 700 nm decreased sharply, indicating the recovery of the original state of complex 1(ClO4)2.
Figure 3.
In-situ UV–Vis absorption spectra of complexes 1(ClO4)2 (a) and 2(ClO4)2 (b) in DMF at different external voltages.
As is shown in Figure 3b, complex 2(ClO4)2 exhibits an intense UV absorption band attributed to π → π* and n → π* transitions of the TPDP ligand, along with composite visible-region absorption bands ascribed to the d-d transitions within the MnIII ions, LMCT of O2− → MnIII, and IVCT transitions of MnII → MnIII, resulting in a brown–yellow solution in the initial state (Figure S5). With an increasing applied external voltage, the absorption intensities of between 300 and 600 nm significantly increased, likely due to enhanced LMCT transitions from the TPDP ligand to MnIII centers, indicating the oxidation of complex 22+ ([MnIIMnIII−O−MnIIIMnII]2+) to 24+ ([Mn2III,III−O−Mn2III,III]4+) (Figure S6). At a potential of 1.7 V, the visible-region absorption intensities reached a maximum, and the solution turned dark brown. When the external potential bias was reduced to 0 V or −1.1 V, the absorption intensities decreased remarkably, reflecting the reduction to the complex 2 state ([MnIIMnII−O−MnIIMnII]). Thus, the spectroelectrochemical studies demonstrated good reversibility in the electrochemical redox processes of complexes 1(ClO4)2 and 2(ClO4)2.
2.4. Electrochromic Device
To further understand the electrochromic properties of complexes 1(ClO4)2 and 2(ClO4)2, electrochromic devices with a sandwich structure of an ITO/PC solution of NBu4CF3SO3 (0.3 M) and complex 1(ClO4)2 or 2(ClO4)2 (0.01 M)/TiO2/ITO were fabricated in glove box using complex 1(ClO4)2 or 2(ClO4)2 as the electroactive material and a TiO2 thin film as the ion storage layer. As is shown in Figure 4, the electrochromic device appears colorless and transparent in its initial state with negligible absorption in the visible-light region. After applying an external potential at 2.4 V, the device began to darken and turned light brown, consistent with the appearance of two new broad absorption bands (centered at 450 and 530 nm) in the range of 400−800 nm. With the stepwise increase in the external potential, the color of the device gradually deepened, accompanied by a marked enhancement of the absorption bands. When the driving voltage was increased to 3.4 V, the device reached the saturation state and presented a dark-brown state. Moreover, the device can be controllably restored to its original colorless state (decolorated state) from the colored state by applying an external potential bias of 0 V, as evidenced by the vanishment of the absorption bands in the visible-light region (Figure 4). With stepping potentials between 0 and 3 V at an interval of 500 s, the transmittances of the device at 520 nm were collected, as shown in Figure S13. The coloration time (tc) and bleaching time (tb) of the device were calculated to be 360 and 120 s with an optical contrast of ΔT = 50% and a coloration efficiency (CE) of 44.6 cm2/C (Figure S14).
Figure 4.
In-situ UV–Vis absorption spectra of electrochromic device based on complex 1(ClO4)2 at different external voltages. The insets show the photographs of the color changes in electrochromic device after applying external potentials of 3.4 and 0 V.
3. Materials and Methods
3.1. General Methods
Ligand TPDP was prepared according to the methods outlined in the literature [36]. The other chemicals were commercially available and used as received unless otherwise stated. The UV–Vis absorption spectra were measured on a UV2600i UV–Vis spectrophotometer (Shimadzu, Suzhou, China). Cyclic voltammograms (CVs) were recorded with an electrochemical analyzer (CHI 660E, Chenhua, Shanghai, China) in acetonitrile solutions containing 0.1 M (Bu4N)PF6 as the supporting electrolyte. Platinum, glassy graphite, and Ag/AgCl were used as the counter, working, and reference electrodes, respectively. The CVs were measured at a scan rate of 100 mV s−1. Spectroelectrochemical studies were conducted using a CHI 660E electrochemical workstation coupled with a UV2600i UV–Vis spectrometer, employing a three-electrode system in a quartz cuvette. The cuvette was placed in the sample holder of the UV–Vis spectrometer and connected to the electrochemical analyzer. The absorption spectra of the complexes under different applied voltages were monitored simultaneously during the electrochemical measurements.
3.2. Synthesis of 1(ClO4)2
A solution of manganese(II) chloride (0.095 g, 0.75 mmol), magnesium perchlorate (0.18 g, 0.50 mmol), and TPDP (0.23 g, 0.50 mmol) in mixed solvents of acetonitrile/methanol (v:v = 1:1, 20 mL) was stirred under a nitrogen atmosphere for 10 min. After the addition of diisopropylethylamine (0.55 mmol), the reaction mixture was heated to 80 °C with stirring for an hour. After reaction completion, the solvents were removed under vacuum. The solid was collected and washed with dichloromethane to give complex 1(ClO4)2 as a colorless solid, with a yield of 85% (0.33 g). Elemental analysis calcd (%) for C54H58Cl8Mn5N12O10: C 40.70, H 3.67, N 10.55 and found C 40.61, H 3.82, N 10.48. HR-MS: m/z [M-(MnCl)-2(ClO4)]+ calcd 1303.0741 and found 1303.0879; [M-(MnCl2)-(ClO4)]+ calcd 1367.0537 and found 1367.0655. IR spectrum (KBr, cm−1): 1735 s, 1605 m, 1463 m, 1442 m, 1259 s, 1219 s, 1095 s, 1052 s, 766 m, 624 m, 523 m.
3.3. Synthesis of 2(ClO4)2
Compound 1(ClO4)2 was dissolved in dichloromethane, and the solution was left exposed to the air. Brown crystals of complex 2(ClO4)2 were obtained after 3 days, which were collected by filtration, and the yield was 92%. Elemental analysis calcd (%) for C54H58Cl6Mn4N12O11: C 43.72, H 3.94, N 11.33 and found C 43.16, H 3.88, N 10.56. HR-MS: m/z [M + 2OH + K-2(ClO4)]+ calcd 1357.1717 and found 1357.1715; [M-(OMn2TPDP)-2(ClO4)]+ calcd 633.0535 and found 633.0364. IR spectrum (KBr, cm−1): 1736 m, 1604 s, 1572 m, 1482 m, 1443 s, 1087 s, 1017 m, 921 m, 768 m, 731 m, 686 m, 621 m, 555 m, 417 m.
3.4. X-Ray Crystallography
X-ray single-crystal diffraction data were collected on a Bruker D8 Venture diffractometer (Bruker AXS GmbH, Karlsruhe, Germany) using an IμS 3.0 microfocus source of Mo-Kα radiation (λ = 0.71073 Å) and a PHOTON II CPAD detector. Frames were integrated with the Bruker SAINT software package (V8.38A) using a SAINT algorithm. Data were corrected for absorption effects using the multi-scan method (SADABS). The structure was solved and refined using the Bruker SHELXTL (Version 2014) Software Package, a computer program for the automatic solution of crystal structures, and refined by the full-matrix least-squares method with ShelXle Version 4.8.6, a Qt graphical user interface for the SHELXL. CCDC 2432270-2432271 contain the supplementary crystallographic data for this paper. These data can be obtained free of charge from the Cambridge Crystallographic Data Centre via www.ccdc.cam.ac.uk/data_request/cif (accessed on 19th March 2025).
3.5. Fabrication of Electrochromic Devices
Indium-tin oxide (ITO)-coated glass slides (20 mm × 30 mm × 1.1 mm, Rs = 6 Ω/sq) were purchased from South China Xiangcheng Technology Co., Ltd. (Shenzhen China), which were cleaned by sequential washing with alkaline detergent, deionized water, ethanol, acetone, and isopropanol before used. The electrochromic devices (ECDs) were fabricated with a sandwich structure of the ITO/propylene carbonate (PC) solution (0.3 M NBu4CF3SO3 and 0.01 M 1(ClO4)2/TiO2/ITO in a glove box. TiO2 was chosen as the ion storage layer and prepared using a sol–gel method. The TiO2 thin film was deposited on the ITO glass through pulling technology and annealed at 450 °C. The TiO2-coated ITO glass and another ITO-coated glass were joined together with butyl rubber placed along the whole perimeter. The active area of ECDs for testing was 20 × 20 mm2 with a thickness of 1 mm. A solution of NBu4CF3SO3 (0.3 M) and complex 1(ClO4)2 (0.01 M) in PC was injected into the internal cavity by a syringe. The device was then sealed with photocurable adhesive and used for subsequent characterization.
3.6. Characterization of Electrochromic Devices
The device was directly placed in the sample holder of a UV–Vis spectrometer and connected to the electrochemical analyzer using a two-electrode configuration. Cyclic voltammetry of devices was conducted at a scan rate of 10 mV/s. The absorption or transmittance spectra of devices under different applied voltages were monitored simultaneously during the electrochemical measurements.
4. Conclusions
We demonstrated two novel polynuclear manganese complexes derived from a heptadentate TPDP ligand. Both exhibited multi-step reversible MnII/MnIII redox transitions owing to strong electronic coupling (ΔE1/2 = 0.27–0.37 V) between the Mn centers. Spectroelectrochemical studies revealed dynamic optical modulation through redox-triggered d-d, LMCT, and IVCT transitions, enabling reversible switching between colorless and dark-brown states. The corresponding electrochromic device (ECD) displayed reversible and high-contrast color changes, underscoring the potential of structurally tunable polynuclear manganese systems for advanced smart window technologies and adaptive optical applications. These findings establish a pathway for designing redox-versatile electrochromic materials with enhanced performance.
Supplementary Materials
The following supporting information can be downloaded at: https://www.mdpi.com/article/10.3390/molecules30092054/s1. Computational Method [37,38,39,40,41,42,43,44,45]; Figure S1: Density of states (DOS) and HOMO and LUMO of 12+ by B3LYP functional; Figure S2: Density of states (DOS) and HOMO and LUMO of 13+ by B3LYP functional; Figure S3: Density of states (DOS) and HOMO and LUMO of 15+ by B3LYP functional; Figure S4: Density of states (DOS) and HOMO and LUMO of 2 by B3LYP functional; Figure S5: Density of states (DOS) and HOMO and LUMO of 22+ by B3LYP functional; Figure S6: Density of states (DOS) and HOMO and LUMO of 24+ by B3LYP functional; Figure S7: The calculated absorption spectrum for 1+ by B3LYP functional; Figure S8: The calculated absorption spectrum for 13+ by B3LYP functional; Figure S9: The calculated absorption spectrum for 15+ by B3LYP functional; Figure S10: The calculated absorption spectrum for 2 by B3LYP functional; Figure S11: The calculated absorption spectrum for 22+ by B3LYP functional; Figure S12: The calculated absorption spectrum for 24+ by B3LYP functional; Figure S13: Electrochromic switching times and stability of electrochromic device based on complex 1(ClO4)2; Figure S14: Plot of the optical density (ΔOD) versus the charge density (C/cm2) of electrochromic device based on complex 1(ClO4)2.
Author Contributions
Conceptualization, L.-Y.Z., F.-R.D. and Z.-N.C.; methodology, Y.-T.W., H.-T.D., M.-D.L. and L.-Y.Z.; software, Y.-T.W., H.-T.D. and M.-D.L.; validation, M.-D.L. and L.-Y.Z.; formal analysis, M.-D.L. and L.-Y.Z.; investigation, Y.-T.W., M.-D.L. and L.-Y.Z.; data curation, Y.-T.W., M.-D.L. and L.-Y.Z.; writing—original draft preparation, L.-Y.Z., F.-R.D. and Z.-N.C.; writing—review and editing, F.-R.D. and Z.-N.C.; visualization, F.-R.D. and Z.-N.C.; supervision, F.-R.D. and Z.-N.C.; project administration, Z.-N.C.; funding acquisition, F.-R.D. and Z.-N.C. All authors have read and agreed to the published version of the manuscript.
Funding
This research was financially supported by the National Natural Science Foundation of China (U22A20387 and 92061202) and Fujian Provincial Department of Science and Technology (2024H0032).
Institutional Review Board Statement
Not applicable.
Informed Consent Statement
Not applicable.
Data Availability Statement
Dataset available upon request from the authors.
Conflicts of Interest
The authors declare no conflicts of interest.
Abbreviations
The following abbreviations are used in this manuscript:
| TPDP | 1,3-bis(bis(2-pyridinylmethyl)amino)-2-propanol |
| LMCT | Ligand-to-metal charge transfer |
| ECD | Electrochromic device |
| ITO | Indium tin oxide |
| CV | Cyclic voltammetry |
| MLCT | Metal-to-ligand charge transfer |
| IVCT | Intervalence charge transfer |
References
- Felder, P.S.; Keller, S.; Gasser, G. Polymetallic Complexes for Applications as Photosensitisers in Anticancer Photodynamic Therapy. Adv. Ther. 2020, 3, 1900139. [Google Scholar] [CrossRef]
- Li, X.; Zhao, X.; Wang, W.; Shi, Z.; Zhang, Y.; Tian, Q.; Yao, Y.; He, C.; Duan, C. Biomedical applications of multinuclear Pt(II)/Ru(II)/Ir(III) metallo-supramolecular assemblies for intensive cancer therapy. Coord. Chem. Rev. 2023, 495, 215366. [Google Scholar] [CrossRef]
- Wang, K.; Gao, E. Recent Advances in Multinuclear Complexes as Potential Anticancer and DNA Binding Agents. Anti-Cancer Agents Med. Chem. 2014, 14, 147–169. [Google Scholar] [CrossRef] [PubMed]
- Li, X.-Z.; Tian, C.-B.; Sun, Q.-F. Coordination-Directed Self-Assembly of Functional Polynuclear Lanthanide Supramolecular Architectures. Chem. Rev. 2022, 122, 6374–6458. [Google Scholar] [CrossRef] [PubMed]
- Hasegawa, Y.; Kitagawa, Y. Thermo-sensitive luminescence of lanthanide complexes, clusters, coordination polymers and metal-organic frameworks with organic photosensitizers. J. Mater. Chem. C 2019, 7, 7494–7511. [Google Scholar] [CrossRef]
- Zhang, S.; Zhao, L. Macrocycle-Encircled Polynuclear Metal Clusters: Controllable Synthesis, Reactivity Studies, and Applications. Acc. Chem. Res. 2018, 51, 2535–2545. [Google Scholar] [CrossRef]
- Tang, J.; Zhao, L. Polynuclear organometallic clusters: Synthesis, structure, and reactivity studies. Chem. Commun. 2020, 56, 1915–1925. [Google Scholar] [CrossRef]
- Hartinger, C.G.; Phillips, A.D.; Nazarov, A.A. Polynuclear Ruthenium, Osmium and Gold Complexes. The Quest for Innovative Anticancer Chemotherapeutics. Curr. Top. Med. Chem. 2011, 11, 2688–2702. [Google Scholar] [CrossRef]
- Kostakis, G.E.; Perlepes, S.P.; Blatov, V.A.; Proserpio, D.M.; Powell, A.K. High-nuclearity cobalt coordination clusters: Synthetic, topological and magnetic aspects. Coord. Chem. Rev. 2012, 256, 1246–1278. [Google Scholar] [CrossRef]
- Nesterov, D.S.; Nesterova, O.V.; Pombeiro, A.J.L. Homo- and heterometallic polynuclear transition metal catalysts for alkane C-H bonds oxidative functionalization: Recent advances. Coord. Chem. Rev. 2018, 355, 199–222. [Google Scholar] [CrossRef]
- Mondal, I.; Chattopadhyay, S. Development of multi-metallic complexes using metal-salen complexes as building blocks. J. Coord. Chem. 2019, 72, 3183–3209. [Google Scholar] [CrossRef]
- Horiuchi, S.; Umakoshi, K. Recent advances in pyrazolato-bridged homo- and heterometallic polynuclear platinum and palladium complexes. Coord. Chem. Rev. 2023, 476, 214924. [Google Scholar] [CrossRef]
- Li, K.; Del Rosal, I.; Zhao, Y.; Maron, L.; Zhu, C. Planar Tetranuclear Uranium Hydride Cluster Supported by ansa-Bis(cyclopentadienyl) Ligands. Angew. Chem. Int. Ed. 2024, 63, e202405494. [Google Scholar] [CrossRef]
- McEvoy, J.P.; Brudvig, G.W. Water-splitting chemistry of photosystem II. Chem. Rev. 2006, 106, 4455–4483. [Google Scholar] [CrossRef]
- Kanady, J.S.; Tsui, E.Y.; Day, M.W.; Agapie, T. A Synthetic Model of the Mn3Ca Subsite of the Oxygen-Evolving Complex in Photosystem II. Science 2011, 333, 733–736. [Google Scholar] [CrossRef]
- Kanady, J.S.; Lin, P.H.; Carsch, K.M.; Nielsen, R.J.; Takase, M.K.; Goddard, W.A., 3rd; Agapie, T. Toward models for the full oxygen-evolving complex of photosystem II by ligand coordination to lower the symmetry of the Mn3CaO4 cubane: Demonstration that electronic effects facilitate binding of a fifth metal. J. Am. Chem. Soc. 2014, 136, 14373–14376. [Google Scholar] [CrossRef]
- Kärkäs, M.D.; Johnston, E.V.; Verho, O.; Åkermark, B. Artificial Photosynthesis: From Nanosecond Electron Transfer to Catalytic Water Oxidation. Acc. Chem. Res. 2014, 47, 100–111. [Google Scholar] [CrossRef]
- Richmond, C.J.; Miras, H.N.; de la Oliva, A.R.; Zang, H.; Sans, V.; Paramonov, L.; Makatsoris, C.; Inglis, R.; Brechin, E.K.; Long, D.L.; et al. A flow-system array for the discovery and scale up of inorganic clusters. Nat. Chem. 2012, 4, 1037–1043. [Google Scholar] [CrossRef]
- Cirera, J.; Jiang, Y.; Qin, L.; Zheng, Y.-Z.; Li, G.; Wu, G.; Ruiz, E. Ferromagnetism in polynuclear systems based on non- linear Mn2IIMnIII building blocks. Inorg. Chem. Front. 2016, 3, 1272–1279. [Google Scholar] [CrossRef]
- Li Manni, G. Modeling magnetic interactions in high-valent trinuclear [Mn3(IV)O4]4+ complexes through highly compressed multi-configurational wave functions. PCCP 2021, 23, 19766–19780. [Google Scholar] [CrossRef]
- Cañada-Vilalta, C.; Streib, W.E.; Huffman, J.C.; O’Brien, T.A.; Davidson, E.R.; Christou, G. Polynuclear manganese complexes with the dicarboxylate ligand m-phenylenedipropionate: A hexanuclear mixed-valence (3MnIII, 3MnIV) complex. Inorg. Chem. 2004, 43, 101–115. [Google Scholar] [CrossRef] [PubMed]
- Christou, G.; Gatteschi, D.; Hendrickson, D.N.; Sessoli, R. Single-Molecule Magnets. MRS Bull. 2011, 25, 66–71. [Google Scholar] [CrossRef]
- Ozcan, S.; Kobak, R.Z.; Budak, O.; Koca, A.; Bayir, Z.A. Synthesis, Electrochemistry, Spectroelectrochemistry, and Electrochromism of Metallophthalocyanines Substituted with Four (2,4,5-trimethylphenyl)ethynyl Groups. Electroanalysis 2022, 34, 1610–1620. [Google Scholar] [CrossRef]
- Fukuda, Y.; Hirota, M.; Kon-No, M.; Nakao, A.; Umezawa, K. New chromotropic behavior of manganese complexes with 1,4,7-triazacyclononane-N,N′,N”-tricarboxylates. Inorg. Chim. Acta 2002, 339, 322–326. [Google Scholar] [CrossRef]
- Silver, J.; Lukes, P.; Hey, P.; Ahmet, M.T. Electrochromism in the Transition-Metal Phthalocyanines. 2. Structural-Changes in the Properties of [Cr(Pc)] and [Mn(Pc)] Films. J. Mater. Chem. 1992, 2, 841–847. [Google Scholar] [CrossRef]
- Heras Ojea, M.J.; Hay, M.A.; Cioncoloni, G.; Craig, G.A.; Wilson, C.; Shiga, T.; Oshio, H.; Symes, M.D.; Murrie, M. Ligand-directed synthesis of Mn twisted bow-ties. Dalton Trans. 2017, 46, 11201–11207. [Google Scholar] [CrossRef]
- Mikata, Y.; Wakamatsu, M.; So, H.; Abe, Y.; Mikuriya, M.; Fukui, K.; Yano, S. N,N,N’,N’-Tetrakis(2-quinolylmethyl)-2-hydroxy-1,3-propanediamine (Htqhpn) as a supporting ligand for a low-valent (μ-O)2 tetranuclear manganese core. Inorg. Chem. 2005, 44, 7268–7270. [Google Scholar] [CrossRef]
- Mukhopadhyay, S.; Mok, H.J.; Staples, R.J.; Armstrong, W.H. Shape-Shifting Tetranuclear Oxo-Bridged Manganese Cluster: Relevance to Photosystem II Water Oxidase Active Site. J. Am. Chem. Soc. 2004, 126, 9202–9204. [Google Scholar] [CrossRef]
- Chan, M.K.; Armstrong, W.H. A Novel Tetranuclear Manganese Complex That Displays Multiple High-Potential Redox Processes—Synthesis, Structure, and Properties of ([Mn2(TPHPN)(O2CCH3)(H2O)]2O)(ClO4)4-2CH3OH. J. Am. Chem. Soc. 1989, 111, 9121–9122. [Google Scholar] [CrossRef]
- Bansal, D.; Mondal, A.; Lakshminarasimhan, N.; Gupta, R. Oxo-bridged trinuclear and tetranuclear manganese complexes supported with nitrogen donor ligands: Syntheses, structures and properties. Dalton Trans. 2019, 48, 7918–7927. [Google Scholar] [CrossRef]
- Huang, T.; Du, P.; Cheng, X.; Lin, Y.M. Manganese Complexes with Consecutive Mn(IV) --> Mn(III) Excitation for Versatile Photoredox Catalysis. J. Am. Chem. Soc. 2024, 146, 24515–24525. [Google Scholar] [CrossRef] [PubMed]
- Liu, J.; Hoffmann, P.; Steinmetzer, J.; Askes, S.H.C.; Kupfer, S.; Görls, H.; Gräfe, S.; Neugebauer, U.; Gandra, U.R.; Schiller, A. Visible light-activated biocompatible photo-CORM for CO-release with colorimetric and fluorometric dual turn-on response. Polyhedron 2019, 172, 175–181. [Google Scholar] [CrossRef]
- Gandra, U.R.; Jana, B.; Hammer, P.; Mohideen, M.I.H.; Neugebauer, U.; Schiller, A. Lysosome targeted visible light-induced photo-CORM for simultaneous CO-release and singlet oxygen generation. Chem. Commun. 2024, 60, 2098–2101. [Google Scholar] [CrossRef] [PubMed]
- Elshaarawy, R.F.M.; Lan, Y.; Janiak, C. Oligonuclear homo- and mixed-valence manganese complexes based on thiophene- or aryl-carboxylate ligation: Synthesis, characterization and magnetic studies. Inorg. Chim. Acta 2013, 401, 85–94. [Google Scholar] [CrossRef]
- Ali, B.; Iqbal, M.A. Coordination Complexes of Manganese and Their Biomedical Applications. ChemistrySelect 2017, 2, 1586–1604. [Google Scholar] [CrossRef]
- Trehoux, A.; Roux, Y.; Guillot, R.; Mahy, J.-P.; Avenier, F. Catalytic oxidation of dibenzothiophene and thioanisole by a diiron(III) complex and hydrogen peroxide. J. Mol. Catal. A Chem. 2015, 396, 40–46. [Google Scholar] [CrossRef]
- Frisch, M.J.; Trucks, G.W.; Schlegel, H.B.; Scuseria, G.E.; Robb, M.A.; Cheeseman, J.R.; Scalmani, G.; Barone, V.; Petersson, G.A.; Nakatsuji, H.; et al. Gaussian 16, Revision A.03. Gaussian, Inc.: Wallingford, CT, USA, 2016. [Google Scholar]
- Becke, A.D. Density-functional exchange-energy approximation with correct asymptotic behavior. Phys. Rev. A 1988, 38, 3098–3100. [Google Scholar] [CrossRef]
- Lee, C.T.; Yang, W.T.; Parr, R.G. Development of the Colle-Salvetti correlation-energy formula into a functional of the electron density. Phys. Rev. B 1988, 37, 785–789. [Google Scholar] [CrossRef]
- Casida, M.E.; Jamorski, C.; Casida, K.C.; Salahub, D.R. Molecular excitation energies to high-lying bound states from time-dependent density-functional response theory: Characterization and correction of the time-dependent local density approximation ionization threshold. J. Chem.Phys. 1998, 108, 4439–4449. [Google Scholar] [CrossRef]
- Stratmann, R.E.; Scuseria, G.E.; Frisch, M.J. An efficient implementation of time-dependent density-functional theory for the calculation of excitation energies of large molecules. J. Chem Phys. 1998, 109, 8218–8224. [Google Scholar] [CrossRef]
- Barone, V.; Cossi, M.; Tomasi, J. A new definition of cavities for the computation of solvation free energies by the polarizable continuum model. J. Chem. Phys. 1997, 107, 3210–3221. [Google Scholar] [CrossRef]
- Cossi, M.; Scalmani, G.; Rega, N.; Barone, V. New developments in the polarizable continuum model for quantum mechanical and classical calculations on molecules in solution. J. Chem. Phys. 2002, 117, 43–54. [Google Scholar] [CrossRef]
- Andrae, D.; Häussermann, U.; Dolg, M.; Stoll, H.; Preuss, H. Energy-adjustedab initio pseudopotentials for the second and third row transition elements. Theor. Chim. Acta 1990, 77, 123–141. [Google Scholar] [CrossRef]
- Lu, T.; Chen, F. Multiwfn: A multifunctional wavefunction analyzer. J. Comput. Chem. 2012, 33, 580–592. [Google Scholar] [CrossRef]
Disclaimer/Publisher’s Note: The statements, opinions and data contained in all publications are solely those of the individual author(s) and contributor(s) and not of MDPI and/or the editor(s). MDPI and/or the editor(s) disclaim responsibility for any injury to people or property resulting from any ideas, methods, instructions or products referred to in the content. |
© 2025 by the authors. Licensee MDPI, Basel, Switzerland. This article is an open access article distributed under the terms and conditions of the Creative Commons Attribution (CC BY) license (https://creativecommons.org/licenses/by/4.0/).




