Abstract
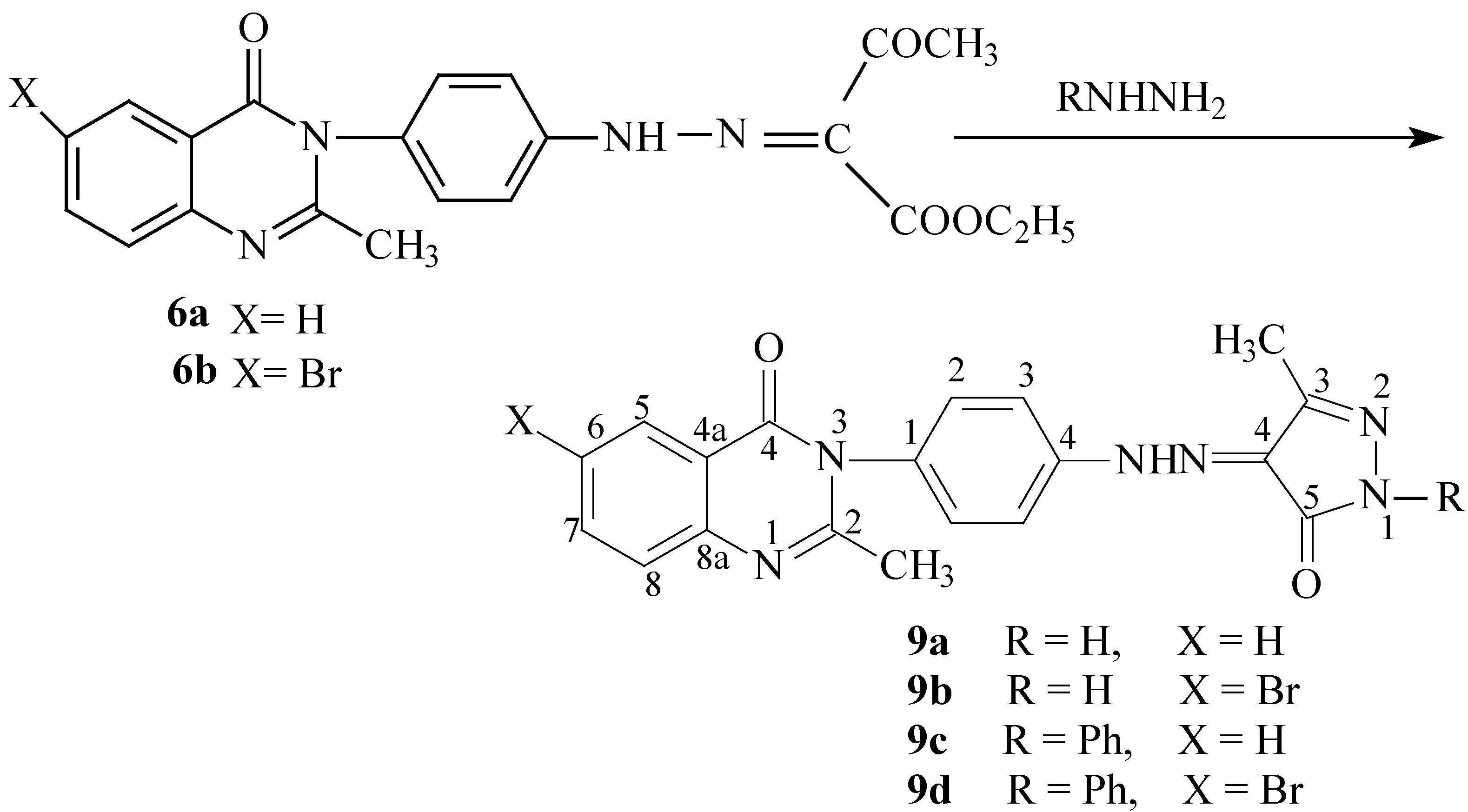
The diazonium salt of 3-(4-aminophenyl)-2-methyl-3H-quinazolin-4-one (2a) and its 6-bromo derivative 2b reacted with some active methylene compounds, namely ethyl acetoacetate (3), ethyl cyanoacetate (4) and acetylacetone (5), to afford the corresponding hydrazono quinazolinone derivatives 6-8. Treatment of 6a,b with hydrazine hydrate or phenyl hydrazine in refluxing ethanol afforded the corresponding pyrazolin-5-one derivatives of 3H-quinazolin-4-one 9a-d. Cyclization of 7a,b with hydrazine hydrate yielded the corresponding products 10a,b. Reaction of 8a,b with phenyl hydrazine or with urea afforded the corresponding derivatives 11a,b and 12a,b, respectively. Compounds 6-12 were identified by C,H,N analysis, IR, 1H-NMR, 13C-NMR and mass spectroscopy.
Introduction
3H-Quinazolin-4-ones and their derivatives have been reported to possess significant activity as antihypertensive [1], antifibrillatory, choleretic, antiphlogistic [2], antimitotic anticancer [3], antifungal [4,5] and anticonvulsant agents [6]. They have also been successfully tested as CNS depressants [7], muscle relaxants [8] and for their antineoplastic activity [9]. On the other hand, various therapeutic activities have been reported for both pyrazole [10,11,12] as well as pyrimidine moieties [13,14]. As a part of our continued program on the chemistry of 3H-quinazolin-4-one ring systems, we recently developed a simple and efficient approach to a wide range of such derivatives [15,16,17,18,19,20]. These results prompted us to synthesize a series of novel 3H-quinazolin-4-one derivatives containing a pyrazolinone, pyrazole or pyrimidinone ring, with the aim of obtaining some novel heterocyclic systems with potentially enhanced biological properties.
Results and Discussion
3-(4-Aminophenyl)-2-methyl-3H-quinazolin-4-one (1a) and its 6-bromo derivative 1b were prepared according to the literature procedures [21,22]. The diazonium chlorides 2a,b were synthesized by diazotisation of 1a,b using a mixture of sodium nitrite and HCl at 0-5 oC. The diazonium salts thus obtained were treated in ethanol in the presence of sodium acetate with calculated amounts of some active methylene compounds, namely ethyl acetoacetate (3), ethyl cyanoacetate (4) and acetylacetone (5) to afford the corresponding hydrazono derivatives 6-8 (Scheme 1).
Compounds 6-8 were characterized by their elemental analysis, IR, 1H-NMR, 13C-NMR and MS data (see Experimental). For example, the IR spectrum of 6a shows an absorption band at 3431 cm-1, corresponding to the vibration of the NH group, a band at 1773 cm-1, characteristic of the carboxylic ester moiety, while bands at 1713 cm-1 1649 cm-1 correspond to the characteristic acetyl and for quinazolinone C=O groups, respectively.
Proton assignments in 1H-NMR spectra for compounds 6-8, which are listed in the Experimental section, were made by 1H-1H homonuclear shift correlated (COSY) 2D-NMR, D2O exchange and double resonance experiments. The 1H-NMR of 6a showed signals at δ 11.60 (s, 1H, NH), 7.41-8.10 (m, 8H, Ar-H), 4.31 (q, 2H, CH2), 2.40 (s, 3H, COCH3), 2.15 (s, 3H, CH3 at position 2) and 1.28 (t, 3H, CH3 for carboxylic ester). The 13C-NMR of 7a and 7b showed the CH2 and CN carbons at 57.5, 58.3 and 117.3, 118.2 ppm, respectively, while the CH3 at the 2 position of the quinazolinone moiety and the CH3 of the carboxylic acid ester appeared at 22.7, 23.2 and 13.5, 13.8, respectively.
The mass spectra of all compounds containing bromine atoms (6b, 7b and 8b) showed fragments corresponding to the typical bromine isotope (79Br and 81Br) patterns. Thus, the mass spectrum of 8a shows its M+1 and M+ peaks at m/z 363 (19.38 %) and 362 (78.94 %), respectively (see Experimental for details).
Scheme 1.
Scheme 1.

Hydrazono derivatives 6a,b were cyclized with hydrazine or phenyl hydrazine in boiling ethanol was expected to lead to the formation of the corresponding pyrazolin-5-one derivatives of 3H-quinazolin-4-one 9a-d (Scheme 2). The structures of the new compounds 9a-d were confirmed by analytical data, IR, 1H-NMR, 13C-NMR and mass spectra (see Experimental). Their IR spectra showed the disappearance of the characteristic bands of the acetyl carbonyl group and carboxylic acid ester and the appearance of strong bands in the 3325-3458 cm-1 region, attributed to NH group stretching and the bands of the quinazolinone and pyrazolinone ring C=O groups appearing at 1674 and 1680 cm-1, respectively. The 1H-NMR spectra of 9a-d showed the absence of the signals for the ethyl group, while the pyrazolinone CH3 signal appeared at δ 2.52 - 2.75 ppm. The 13C-NMR of 9a, for example, confirmed the absence of the acetyl C=O and carboxylic acid ester groups and the appearance of two methyl group signal in the high field region. The other carbon atoms of quinazolinone, pyrazolinone and phenyl moieties all appeared at the expected chemical shifts (see Experimental). The structure of 9b was also confirmed by its mass spectrum, that shows molecular ion peaks (M+) at m/z 439 (34.84 %, 79Br) and m/z 441 (35.00 %, 81Br).
Scheme 2.
Scheme 2.

3-{4-[N`-(3-Amino-5-oxo-1,5-dihydropyrazol-4-ylidene)hydrazino]phenyl]}-2-methyl-3H-quinazolin-4-one (10a) and its bromo derivative 10b were synthesized via cyclization of 7a,b with hydrazine (see Scheme 3).
Scheme 3.
Scheme 3.

Assignment of the structures of compounds 10a,b was obtained by elemental analysis and IR, 1H-NMR and mass spectra. The IR spectra of 10a,b were characterized by the disappearance of the υ CN band and the appearance of a band at 3312 - 3318 cm-1 attributed to the stretching vibration of the NH2 group (see Experimental). Diagnostically important signals in the 1H-NMR spectrum of 10a were two singlet signals at 9.72 and at 12.10 attributed to the two NH groups and a singlet at 5.05 - 5.18 attributable to the NH2 protons. As expected for the proposed structure, in the presence of deuterium oxide, the signals of the NH and NH2 groups disappeared and the other signals not change.
3-[4-(Dimethyl-1-phenyl-1H-pyrazol-4-ylazo)-phenyl]-2-methyl-3H-quinazolin-4-one (11a) and its bromo derivative 11b were obtained by thermal cyclization of 8a,b with phenyl hydrazine in glacial acetic acid (Scheme 4). The IR spectra of 11a,b were characterized by the disappearance of the υ NH and acetyl group υ C=O absorption bands and the presence of bands at 1678 - 1674 (quinazolinone C=O), 1456 and 1450 cm-1 (N=N). The 1H-NMR spectra of 11a,b showed the presence of three methyl groups and the aromatic protons all appeared at the expected chemical shifts (see Experimental). The mass spectrum of 11a showed a M + 1 peak at m/z 435, a peak at m/z 434 assigned to the molecular ion, a peak at m/z 264 assigned to 3-(4-diazenyl-phenyl)-2-methyl-3H-quinazolin-4-one and a peak at m/z 171 corresponding to 3,5-dimethyl-1-phenyl-pyrazole (see Experimental).
Scheme 4.
Scheme 4.

Reaction of the hydrazono derivatives 8a,b with urea in ethanol under reflux conditions for 5 hours gave solid products of molecular formula C21H18N6O2, which may be formulated as 12a, or C21H17BrN6O2, corresponding to the bromo derivative 12b, respectively (Scheme 4). Compound 12a displayed bands in the IR spectrum at 3424 (NH), 1676 (quinazolin-4-one C=O), 1592 (pyrimidin-2-one C=O) cm-1. Structure 12a was also indicated by the 13C-NMR spectra which provided conclusive evidence for the quinazolin-4-one and pyrimidin-2-one structures. Thus, it showed signals at δ 152.3, 160.6, 120.5, 126.1, 125.3, 133.8, 126.6 and 145.4 (quinazolin-4-one C-2, C-4, C-4a, C-5, C-6, C-7, C-8 and C-8a, respectively) and at δ 157.3, 165.7, 149.7 and 166.7 (pyrimidin-2-one C-2, C-4, C-5 and C-6 respectively). The 13C-NMR data were assigned based on the comparison of the data obtained for 12a with those reported in the literature for 3H-quinazolin-4-one [23] and pyrimidin-2-one [24] ring systems.
Experimental
General
Melting points were determined on an Electrothermal MEL-TEMP II melting point apparatus and are reported uncorrected. IR spectra were recorded on a Unicam SP 1200 spectrophotometer using KBr discs.1H- and 13C-NMR spectra were recorded for DMSO-d6 solutions with a Bruker AC 250 FT spectrometer operating at 250 MHz for 1H- and 62.9 MHz for 13C- measurements. Chemical shifts are reported in ppm relative to tetramethylsilane. The mass spectral data were obtained with a Micro Spectrometer model 7070 at 70 eV and a 90oC inlet temperature. All analytical samples were homogeneous by thin layer chromatography, which was performed on EM Silica gel 60 F254 sheets (0.2 mm) using 5: 2 (v: v) chloroform - acetone or 3: 1 (v: v) petroleum ether – ethyl acetate as eluents. The spots were detected with a model UVGL-58 UV lamp. Elemental analyses were obtained from the Central Microanalysis Laboratory Service of Cairo University, Cairo, Egypt.
Diazotization of 6-substituted 2-methyl-3-(4-aminophenyl)-3H-quinazolin-4-ones 1a,b.
A mixture of 1a or 1b (0.01 mole) in concentrated HCl (3 ml) was cooled to 0 - 5oC under ice, and cooled sodium nitrite solution (1.5 g in 10 mL of water) added to it dropwise during 10 minutes. The reaction mixture was then stirred for 30 minutes.
General procedure for the preparation of hydrazono derivatives 6-8
To an ice-cold mixture of the appropriate active methylene compound (ethyl acetoacetate, ethyl cyanoacetate or acetylacetone) (0.01 mole) and sodium acetate (4.10 g; 0.05 mole) in ethanol (50 mL), was added dropwise with stirring a solution of diazonium salt compound 2a or 2b (0.01 mole) over 15 minutes. The stirring was continued for 30 minutes and the reaction mixture then left for 2 hours at room temperature. The solid product was collected and recrystallized from ethanol to give the corresponding hydrazono derivatives 6-8. The following hydrazones were prepared in this manner:
2-{[4-(2-Methyl-4-oxo-4H-quinazolin-3-yl)-phenyl]hydrazono}-3-oxo-butyric acid ethyl ester (6a). Pale yellow crystals; yield 2.04 g (52 %); M.p. 190-192oC; Calculated for C21H20N4O4 (392.41): 64.28 % C, 5.14 % H, 14.28 % N. Found: 64.39 %, 5.32 % H, 13.98 % N; IR, υ cm-1: 3431 (NH), 3089, 2968 (Ar-H), 1773, 1713, 1649 (C=O), 1608, 1603, 1524, 1479 (C=N, C=C ); 1H-NMR δ: 11.60 (1H, s, NH), 7.41-8.10 (8H, m, Ar-H), 4.31 (2H, q, CH2), 2.40 (3H, s, COCH3), 2.15 (3H, s, quinazolinone CH3), 1.28 (3H, s, carboxylic ester CH3); 13C-NMR δ: 167.3 (acetyl C=O), 164.1 (ester C=O), 161.4 (C-4), 154.5 (C-2), 147.3 (C-8a), 142.8 (Ph C-1), 134.5 (C-7), 129.6 (2C, Ph C2,6), 128.5 (Ph C-4), 126.6 (C-5), 126.4 (C-8), 126.3 (2C, Ph C3,5), 126.2 (C-6), 118.9 (C-4a), 61.2 (CH2), 23.9 (quinazolinone CH3), 21.4 (acetyl CH3), 13.9 (ester CH3).
2-{[4-(6-Bromo-2-methyl-4-oxo-4H-quinazolin-3-yl)-phenyl]hydrazono}-3-oxo-butyric acid ethyl ester (6b). Pale yellow crystals; yield 2.73 g (58 %); M.p. 234-236oC; Calculated for C21H19BrN4O4 (471.31): 53.52 % C, 4.06 % H, 11.89 % N. Found: 53.63 %, 3.88 % H, 11.67 % N; IR, υ cm-1: 3442 (NH), 3080, 3048 (Ar-H), 1768, 1718, 1676 (C=O), 1608, 1607, 1548, 1460 (C=N, C=C ); 1H-NMR δ: 11.40 (1H, s, NH), 7.46-8.57 (7H, m, Ar-H), 4.24 (2H, q, CH2), 2.42 (3H, s, COCH3), 2.28 (3H, s, quinazolinone CH3), 1.27 (3H, s, ester CH3); MS, m/z (Ir,%): 472 (M+ for 81Br, 32.43), 470 (M+ for 79Br, 32.62), 316 (52.12), 314 (51.85), 301 (12.32), 299 (13.14), 224 (15.37), 222 (16.00).
Cyano-{[4-(2-methyl-4-oxo-4H-quinazolin-3-yl)-phenyl]hydrazono}acetic acid ethyl ester (7a). Pale yellow crystals; yield 2.44 g (65 %); M.p. 128-130oC; Calculated for C20H17N5O3 (375.38): 63.99 % C, 4.56 % H, 18.66 % N. Found: 63.78 %, 4.77 % H, 18.35 % N; IR, υ cm-1: 3430 (NH), 3115, 3032 (Ar-H), 2366 (CN), 1762, 1674 (C=O), 1605, 1603, 1545, 1458 (C=N, C=C ); 1H-NMR δ: 12.11 (1H, s, NH), 7.30-8.32 (8H, m, Ar-H), 4.30 (2H, q, CH2), 2.23 (3H, s, quinazolinone CH3), 1.22 (3H, s, carboxylic ester CH3); 13C-NMR δ: 163.8 (ester C=O), 160.7 (C-4), 154.9 (C-2), 147.6 (C-8a), 143.3 (C-1 of Ph), 134.7 (C-7), 128.8 (2C, Ph C2,6), 128.5 (Ph C-4), 127.0 (C-5), 126.6 (C-8), 126.4 (2C, Ph C3,5), 126.0 (C-6), 119.2 (C-4a), 117.3 (CN), 61.4 (CH2), 23.4 (quinazolinone CH3), 13.5 (ester CH3).
{[4-(6-Bromo-2-methyl-4-oxo-4H-quinazolin-3-yl)-phenyl]hydrazono}cyano-acetic acid ethyl ester (7b). Pale yellow crystals; yield 3.09 g (65 %); M.p. 173-175oC; Calculated for C20H16BrN5O3 (454.28): 52.88 % C, 3.55 % H, 15.42 % N. Found: 52.61 %, 3.83 % H, 15.09 % N; IR, υ cm-1: 3439(NH), 3110, 3000 (Ar-H), 2367 (CN), 1769, 1681 (C=O), 1607, 1602, 1547, 1450 (C=N, C=C ); 1H-NMR δ: 11.74 (1H, s, NH), 7.62-8.74 (7H, m, Ar-H), 4.33 (2H, q, CH2), 2.27 (3H, s, quinazolinone CH3), 1.28(3H, s, ester CH3); 13C-NMR δ: 164.1 (ester C=O), 162.5 (C-4), 158.4 (C-2), 142.8 (C-8a), 140.6(Ph C-1), 135.0 (C-7), 129.3 (2C, Ph C2,6), 128.8 (Ph C-4), 127.6 (C-5), 125.9 (C-8), 125.3 (2C, Ph C3,5), 125.1 (C-6), 120.6 (C-4a), 118.2 (CN), 61.7 (CH2), 23.7 (quinazolinone CH3), 13.8 (ester CH3); MS m/z (Ir,%): 455 (M+ for 81Br, 16.73), 453 (M+ for 79Br, 16.54).
3-{[4-(2-Methyl-4-oxo-4H-quinazolin-3-yl)phenyl]hydrazono}-pentane-2,4-dione (8a). Pale yellow crystals; yield 2.17 g (60 %); M.p. 153-155oC; Calculated for C20H18N4O3 (362.38): 66.29 % C, 4.97 % H, 15.46 % N. Found: 66.42 %, 5.01 % H, 15.62 % N; IR, υ cm-1: 3499 (NH), 3039, 2921 (Ar-H), 1712, 1662 (C=O), 1607, 1605, 1567, 1475 (C=N, C=C); 1H-NMR δ: 13.90 (1H, s, NH), 7.40-8.20 (8H, m, Ar-H), 2.44 (6H, s, 2 x COCH3), 2.25 (3H, s, quinazolinone CH3); 13C-NMR δ: 169.2 (2C, 2 x acetyl C=O), 161.4 (C-4), 155.2 (C-2), 147.2 (C-8a), 142.8 (Ph C-1), 135.0 (C-7), 128.2 (2C, Ph C2,6), 127.8 (Ph C-4), 127.2 (C-5), 126.8 (C-8), 126.6 (2C, Ph C3,5), 126.2 (C-6), 118.5 (C-4a), 23.7 (quinazolinone CH3); MS, m/z (Ir,%): 363 (M+ + 1, 19.38), 362 (M+, 78.74), 319 (20.95), 264 (42.12), 250 (36.46), 236 (31.91), 221 (4.66), 144 (17.06), 143 (100), 115 (4.43), 89 (4.9), 77 (7.53).
3-{[4-(6-Bromo-2-methyl-4-oxo-4H-quinazolin-3-yl)phenyl]hydrazono}-pentane-2,4-dione (8b). Pale yellow crystals; yield 2.91 g (66 %); M.p. 165-167 oC; Calculated for C20H17BrN4O3 (441.28): 54.44 % C, 3.88 % H, 12.70 % N. Found: 54.23 %, 4.02 % H, 12.45 % N; IR, υ cm-1: 3494 (NH), 3040, 2923 (Ar-H), 1718, 1665 (C=O), 1609, 1568, 1477 (C=N, C=C ); 1H-NMR δ: 13.75 (1H, s, NH), 7.43-8.16 (7H, m, Ar-H), 2.45 (6H, s, 2 x COCH3 ), 2.27 (3H, s, quinazolinone CH3); 13C-NMR δ: 168.7 (2C, 2 x acetyl C=O), 161.5 (C-4), 154.6 (C-2), 147.5 (C-8a), 142.2(Ph C-1), 135.4 (C-7), 128.3 (2C, Ph C2,6), 127.7 (Ph C-4), 127.4 (C-5), 127.0 (C-8), 126.5 (2C, Ph C3,5), 126.0 (C-6), 118.8 (C-4a), 23.6 (quinazolinone CH3); MS, m/z (Ir, %): 442 (M+ for 81Br, 32.18), 440 (M+ for 79Br, 32.12).
General Procedures for the Cyclization Reactions
Method A: With Hydrazine Hydrate
A mixture of the appropriate 6a,b or 7a,b (0.005 mole) and hydrazine hydrate (0.32 mL, 0.01 mole) in ethanol (30 mL) was heated under reflux for 4-6 hours. The solvent was concentrated and the reaction product was allowed to cool. The separated product was filtered off, washed with water, dried and recrystallized from ethanol. The following title compounds were prepared as just described:
2-Methyl-3-{4-[N′-(3-methyl-5-oxo-1,5-dihydropyrazol-4-ylidene)hydrazino] phenyl}-3H-quinazolin-4-one (9a). Orange yellow crystals; yield 1.12 g (62 %); M.p. 261-263oC; Calculated for C19H16N6O2 (360.37): 63.37 % C, 4.48 % H, 23.32 % N. Found: 63.11 %, 4.27 % H, 23.26 % N; IR, υ cm-1: 3325, 3452 (NH), 3044, 2927 (Ar-H), 1680, 1674 (C=O), 1606, 1573, 1475 (C=N, C=C); 1H-NMR δ: 12.36 (1H, s, hydrazino NH), 9.65 (1H, s, pyrazolinone NH), 7.38-8.26 (8H, m, Ar-H), 2.52 (3H, s, pyrazolinone CH3), 2.30 (3H, s, quinazolinone CH3); 13C-NMR δ: 160.8 (C-4), 158.6 (pyrazolinone C-5), 156.5 (pyrazolinone C-4), 154.6 (C-2), 151.3 (pyrazolinone C-3), 148.2 (C-8a), 143.0 (Ph C-1), 136.5 (C-7), 128.7 (2C, Ph C2,6), 128.0(Ph C-4), 127.7 (C-5), 126.8 (C-8), 126.3 (2C, Ph C3,5), 125.7 (C-6), 118.5 (C-4a), 23.4 (quinazolinone CH3), 21.2 (pyrazolinone CH3).
6-Bromo-2-methyl-3-{4-[N′-(3-methyl-5-oxo-1,5-dihydropyrazol-4-ylidene)hydrazino]phenyl}-3H-quinazolin-4-one (9b). Orange yellow crystals; yield 1.50 g (68 %); M.p. 308-310oC; Calculated for C19H15BrN6O2 (439.27): 51.95 % C, 3.44 % H, 19.13 % N. Found: 51.69 %, 3.65 % H, 19.10 % N; IR, υ cm-1: 3331, 3446 (NH), 3047, 2927 (Ar-H), 1683, 1672 (C=O), 1604, 1576, 1468 (C=N, C=C ); 1H-NMR δ: 12.24 (1H, s, hydrazino NH), 9.56 (1H, s, pyrazolinone NH), 7.32-8.42 (7 H, m, Ar-H), 2.68 (3H, s, pyrazolinone CH3), 2.34 (3H, s, quinazolinone CH3); MS, m/z (Ir, %): 441 (M+ for 81Br, 35.00), 439 (M+ for 79Br, 34.84), 331(C15H1281BrN3O+, 13.24), 329 (C15H1279BrN3O+, 13.42), 316 (C15H1181BrN2O+, 100), 314 (C15H1179BrN2O+, 100), 275 (23.95), 273 (23.94), 198 (10.23), 196 (10.20), 110 (C4H4N3O+, 42.36), 96 (C3H2N3O+ , 7.40).
3-{4-N′-(3-Amino-5-oxo-1,5-dihydropyrazol--4-ylidene)hydrazino]phenyl}-2-methyl-3H-quinazolin-4-one (10a). Orange yellow crystals; yield 0.87 g (48 %); M.p. 180-182oC; Calculated for C18H15N7O2 (361.36): 59.83 % C, 4.18 % H, 27.13 % N. Found: 59.52 %, 4.29 % H, 27.04 % N; IR, υ cm-1: 3426, 3450 (NH), 3312 (NH2), 3186, 2923 (Ar-H), 1680, 1674 (C=O), 1603, 1601, 1508, 1464 (C=N, C=C); 1H-NMR δ: 12.10 (1H, s, hydrazino NH), 9.72 (1H, s, pyrazolinone NH), 7.30-8.05 (8H, m, Ar-H), 5.05 (2H, s, NH2), 2.27 (3H, s, quinazolinone CH3); MS, m/z (Ir, %): 362 (M+ +1, 4.32), 361 (M+, 27.53), 251(C15H13N3O+, 17.10), 236 (C15H12N2O+, 100), 195 (24.14), 118 (2.75), 111 (C3H3N4O+, 54.26), 77 (38.38).
3-{4-N′-(3-Amino-5-oxo-1,5-dihydropyrazol--4-ylidene)hydrazino]phenyl}-6-bromo-2-methyl-3H-quinazolin-4-one (10b). Orange yellow crystals; yield 1.17 g (53 %); M.p. 244-246oC; Calculated for C18H14BrN7O2 (440.25): 49.11 % C, 3.21 % H, 22.27 % N. Found: 49.37 %, 3.51 % H, 22.10 % N; IR, υ cm-1: 3428, 3451 (NH), 3318 (NH2), 3176, 2927 (Ar-H), 1681, 1675 (C=O), 1606, 1603, 1511, 1473 (C=N, C=C); 1H-NMR δ: 12.46 (1H, s, hydrazino NH), 9.82 (1H, s, pyrazolinone NH), 7.42-8.38 (7H, m, Ar-H), 5.12 (2H, s, NH2), 2.31 (3H, s, quinazolinone CH3).
Method B: With Phenyl Hydrazine
To a solution of the appropriate 6a,b or 8a,b (0.01 mole) in glacial acetic acid (30 mL) was added phenyl hydrazine (1.30 g, 0.012 mole) and anhydrous sodium acetate (0.82 g, 0.01 mole). The reaction mixture was heated under reflux for 4 hours. The mixture was poured into ice-cold water and stored in a refrigerator. The crude product, which separated, was washed with water, dried and recrystallized from methanol. The following title compounds were prepared as just described:
2-Methyl-3-{4-[N′-(3-methyl-5-oxo-1-phenyl-1,5-dihydropyrazol-4-ylidene)hydrazino]phenyl}-3H-quinazolin-4-one (9c). Orange yellow crystals; yield 2.00 g (46 %); M.p. 302-304oC; Calculated for C25H20N6O2 (436.47): 68.80 % C, 4.62 % H, 19.25 % N. Found: 69.13 %, 4.88 % H, 19.54 % N; IR, υ cm-1: 3458 (NH), 3189, 2928 (Ar-H), 1682, 1672 (C=O), 1604, 1602, 1512, 1468 (C=N, C=C ); 1H-NMR δ: 13.35 (1H, s, hydrazino NH), 7.51-8.38 (13H, m, Ar-H), 2.54 (3H, s, pyrazolinone CH3), 2.27 (3H, s, quinazolinone CH3); MS, m/z (Ir, %): 437 (M+ +1, 7.32), 436 (M+, 41.50).
6-Bromo-2-methyl-3-{4-[N′-(3-methyl-5-oxo-1-phenyl-1,5-dihydropyrazol-4-ylidene)hydrazino]-phenyl}-3H-quinazolin-4-one (9d). Orange yellow crystals; yield 2.16 g (42 %); M.p. 259-261oC; Calculated for C25H19BrN6O2 (515.36): 58.26 % C, 3.72 % H, 16.31 % N. Found: 58.34 %, 3.92 % H, 16.18 % N; IR, υ cm-1: 3455 (NH), 3185, 2922 (Ar-H), 1680, 1673 (C=O), 1606, 1603, 1517, 1470 (C=N, C=C ); 1H-NMR δ: 13.40 (1H, s, hydrazino NH), 7.43-8.28 (12H, m, Ar-H), 2.60 (3H, s, pyrazolinone CH3), 2.25 (3H, s, quinazolinone CH3); MS, m/z (Ir, %): 517 (M+ +1 for 81Br, 10.25), 515 (M+ +1 for 79Br, 10.25), 516 (M+ for 81Br, 43.50), 514 (M+ for 79Br, 43.50).
3-[4-(3,5-Dimethyl-1-phenyl-1H-pyrazol-4-ylazo)phenyl]-2-methyl-3H-quinazolin-4-one(11a). Orange crystals; yield 2.60 g (60 %); M.p. 205-207oC; Calculated for C26H22N6O (434.50): 71.87 % C, 5.10 % H, 19.34 % N. Found: 72.03 %, 4.09 % H, 19.15 % N; IR, υ cm-1: 3051, 2923, 2852 (Ar-H), 1678 (C=O quinazolinone), 1596 (C=N), 1450 (N=N); 1H-NMR δ: 7.50-8.18 (13H, m, Ar-H), 2.66, 2.51 (6H, 2 s, 2 x pyrazole CH3), 2.23 (3H, s, quinazolinone CH3); MS, m/z (Ir, %): 435 (M+ +1, 5.24), 434 (M+, 16.42), 264 (C15H12N4O+, 37.36), 263 (C15H11N4O+, 28.80), 171 (C11H11N2+, 52.33), 95 (C5H7N2+, 100).
6-Bromo-3-[4-(3,5-dimethyl-1-phenyl-1H-pyrazol-4-ylazo)phenyl]-2-methyl-3H-quinazolin-4-one (11b). Orange crystals; yield 2.29 g (64 %); M.p. 238-240oC; Calculated for C26H21BrN6O (513.39): 60.83 % C, 4.12 % H, 16.37 % N. Found: 60.98 %, 4.93 % H, 16.53 % N; IR, υ cm-1: 3052, 2925, 2850 (Ar-H), 1674 (C=O quinazolinone), 1602, 1594, 1547, 1450, 1421 ( C=N, C=C, N=N); 1H-NMR δ: 7.53-8.26 (12H, m, Ar-H), 2.68, 252 (6H, 2 s, 2 x pyrazole CH3), 2.21 (3H, s, quinazolinone CH3).
Method C: With Urea
A mixture of hydrazono derivatives 8a,b (0.005 mole) and urea (0.6 g, 0.01 mole) in ethanol (40 mL) was heated under reflux for 5 hours. After cooling to room temperature, crushed ice was added and the mixture was stirred for 1 hour. The separated product was collected by filtration and recrystallized from aqueous ethanol. The following title compounds were prepared as just described:
3-{4-[N′(4,6-Dimethyl-2-oxo-2H-pyrimidin-5-ylidene)hydrazino]phenyl}-2-methyl-3H-quinazolin-4-one (12a). Orange yellow crystals; yield 0.83 g (43 %); M.p. 285-286oC; Calculated for C21H18N6O2 (386.41): 65.27 % C, 4.70 % H, 21.75 % N. Found: 64.97 %, 4.88 % H, 21.82 % N; IR, υ cm-1: 3424 (NH), 3052 (Ar-H), 1688, 1676 (C=O), 1592, 1565, 1481 (C=N, C=C ), 1284 (N-N=C); 1H-NMR δ: 13.28 (1H, s, hydrazino NH), 7.42-8.26 (8H, m, Ar-H), 2.58 (6H, s, 2 x pyrimidin-5-one CH3), 2.27(3H, s, quinazolinone CH3); 13C-NMR δ: 166.7 (pyrimidin-5-one C-6), 165.7 (pyrimidin-5-one C-4), 160.6 (quinazolinone C-4), 157.3 (pyrimidin-5-one C-2), 152.3 (quinazolinone C-2), 149.7 (pyrimidin-5-one C-5), 145.4 (C-8a), 140.6 (Ph C-1), 133.8 (C-7), 128.0 (2C, Ph C2,6), 127.6 (Ph C-4), 126.6 (C-8), 126.1 (C-5), 126.0 (2C, Ph C3,5), 125.3 (C-6), 120.5 (C-4a), 23.7 (quinazolinone CH3), 20.8 (2C, 2 x pyrimidin-5-one CH3).
6-Bromo-3-{4-[N′(4,6-dimethyl-2-oxo-2H-pyrimidin-5-ylidene)hydrazino]phenyl}-2-methyl-3H-quinazolin-4-one (12b). Orange yellow crystals; yield 1.09 g (47 %); M.p. 210-212oC; Calculated for C21H17BrN6O2 (465.21): 54.21 % C, 3.68 % H, 18.06 % N. Found: 53.89 %, 3.97 % H, 18.31 % N; IR, υ cm-1: 3427 (NH), 3063, 2928 (Ar-H), 1692, 1679 (C=O), 1579, 1507, 1429 (C=N, C=C), 1282 (N-N=C); 1H-NMR δ: 13.68 (1H, s, hydrazino NH), 7.36-8.35 (7H, m, Ar-H), 2.55 (6H, s, 2 x pyrimidin-5-one CH3), 2.25 (3H, s, quinazolinone CH3); MS, m/z (Ir, %): 467 (M+ +1 for 81Br, 4.45), 465 (M+ +1 for 79Br, 4.45), 466 (M+ for 81Br, 27.75), 464 (M+ for 79Br, 27.75).
References
- Ram, V. J.; Srimal, R. C.; Kushwaha, D. S.; Mishra, L. J. Prakt. Chem. 1990, 323, 629.
- Bekhit, A. A.; Habbib, N.S.; Bekhit, A. El. Boll. Chim. Farm. 2001, 140, 297.
- Jiang, J. B.; Hesson, D. P.; Dusak, B. A.; Dexter, D. L.; Kang, G. T. J. Med. Chem. 1990, 33, 1721.
- Lopez, S. E.; Rosales, M. E.; Canelon, C. E.; Valverode, E. A.; Narvaez, R. C.; Charris, J. E.; Giannini, F. A.; Enriz, R. D.; Carrasco, M.; Zacchino, S. Heterocycl. Commun. 2000, 7, 473.
- Farghaly, A. O.; Moharram, A. M. Boll. Chim. Farm. 1999, 138, 280.
- Usifoh, C. O.; Scriba, G. K. E. Arch. Pharm. (Weinheim.) 2000, 333, 261.
- Tani, J.; Yamada, Y.; Oine, T.; Ochiai, T.; Ishida, R.; Inoue, I. J. Med. Chem. 1979, 22, 95.
- Ochiai, T.; Ishida, R. Jpn. J. Pharmacol. 1981, 31, 491.
- Raffa, D.; Daidone, G.; Schillaci, D.; Maggio, B.; Plescia, F. Pharmazie 1999, 54, 251.
- Propsavin, M.; Torovic, L.; Spaic, S.; Stankov, S.; Kapor, A.; Tomic, Z.; Popsavin, V. Tetrahedron 2000, 58, 569.
- Menozz, G.; Mosti, L.; Bruno, O.; Presti, E. L.; Musiu, C.; Longu, S.; La Colla, P.; Filipelh, W.; Falcone, G.; Piucci, B. Farmaco 1999, 54, 416.
- El-Emary, T. I.; Bakhite, E. A. Parmazie 1999, 54, 106.
- Ahluwalia, V. K.; Chandra, R. J. Chem. Res. Miniprint 2000, 4, 570.
- El-Bendary, E. R.; Badria, F. A. Arch. Pharm. (Weinheim.) 2000, 333, 99.
- Abdel-Megeed, M. A.; Saleh, M. A.; Abdo, M. A.; El-Hiti, G. A. Collect. Czech. Chem. Commun. 1995, 60, 1016.
- Abdel-Megeed, M. F.; El-Hiti, G. A.; Saleh, M. A.; Abdo, M. A.; Awadalla, S. E. Rev. Roum. Chim. 1999, 44, 67.
- Abdo, M. A.; Zeid, I. F.; El-Hiti, G. A.; Mohamoud, O. E. Indian J. Chem. 1999, 38 B, 850.
- Abdel-Megeed, M. F.; El-Hiti, G. A.; Abdo, M. A.; Saleh, M. A. Rev. Roum. Chim. 2000, 45, 545.
- Saleh, M. A.; Abbas, Y. A.; Abdel-Hai, F. E.; Youssef, S. A. Nucleosides, Nucleotides Nucleic Acids 2001, 20, 1891.
- Saleh, M. A.; Abdel-Megeed, M. F.; Abdo, M. A.; Shokr, A. M. ibid 2002, 21, 93.
- Errede, L. A.; McBrady, J. J.; Oien, H. T. J. Org. Chem. 1976, 41, 1765.
- El-Naggar, G. M.; El-Sherief, H. A. H.; Aref, H.; Abdel-Hamid, K. Pharmazie 1983, 38, 821.
- Singh, S. P.; Parmar, S. S.; Stenberg, V. I.; Akers, T. K. J. Heterocycl. Chem. 1978, 15, 53.
- Still, J. W.; Plavac, N.; McKinnon, D. M.; Chauhan, M. S. Can. J. Chem. 1978, 56, 725.
- Sample availability: Not available.
© 2003 by MDPI ( http://www.mdpi.org). Reproduction is permitted for noncommercial purposes.