Potential Role of Photosynthesis in the Regulation of Reactive Oxygen Species and Defence Responses to Blumeria graminis f. sp. tritici in Wheat
Abstract
1. Introduction
2. Results
2.1. Transcriptome Analysis of L658 and L958 during Bgt Infection
2.2. Difference in H2O2 Accumulation and Related DEG Expression between L658 and L958
2.3. Changes in Photosynthesis and Photosynthesis-Related Genes in Response to Bgt
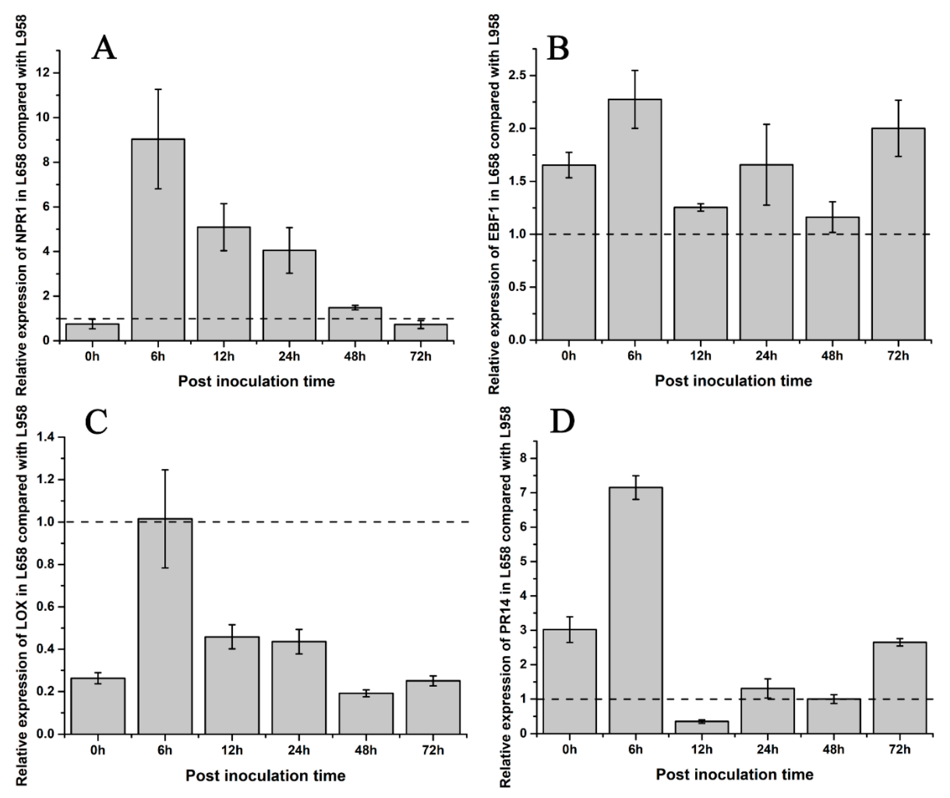
2.4. Identification of DEGs Related to Phytohormones and PR Proteins
3. Discussion
3.1. Initial Stronger H2O2 Burst and Secondary Lasting H2O2 Burst Were Regulated by Antioxidant Enzyme Activities and H2O2-Related Genes and Occurred in Incompatible Reactions
3.2. Global Downregulation of Photosynthesis-Related Genes Likely Disrupted Photosynthesis and Promoted the Generation of H2O2
3.3. Mutually Antagonistic Interactions between SA and JA/ET Are Involved in the Regulation of Defence Against Bgt by Regulating Different PR Genes Expression
4. Materials and Methods
4.1. Plant and Pathogen Materials
4.2. Cytological Observations of H2O2 and Cell Death
4.3. Determination of Antioxidant Enzyme Activity
4.4. Determination of Photosynthesis Indices
4.5. Measurements of Chlorophyll Fluorescence and Quantum Yields of PSII
4.6. RNA Extraction, cDNA Library Construction, and RNA-Seq
4.7. Alignment of RNA-Seq Reads and Differential Gene Expression Analysis
4.8. Reliable Analysis by qRT-PCR
4.9. Statistical Analysis
5. Conclusions
Supplementary Materials
Author Contributions
Funding
Acknowledgments
Conflicts of Interest
Abbreviations
| ABA | Abscisic Acid | 
| ACO | 1-aminocyclopropane-1-carboxylate oxidase | 
| ACS | 1-aminocyclopropane-1-carboxylate synthase | 
| AOS | Allene Oxide Synthase | 
| AOX | Amine Oxidase | 
| APX | Peroxidase | 
| ATPase | ATP synthase | 
| Bgt | Blumeria graminis f. sp. tritici | 
| Cabs | Chlorophyll a/b-binding proteins | 
| CAT | Catalase | 
| EIN | Ethylene insensitive | 
| ERF | Ethylene-responsive transcription factor | 
| ET | Ethylene | 
| Fd-I | Ferredoxin-I | 
| FNR | Ferredoxin: NADP+ oxidoreductase | 
| ICS | Isochorismate Synthase | 
| JA | Jasmonic Acid | 
| LOX | Lipoxygenase | 
| NPR1 | Non-expressor of Pathogenesis Related genes 1 | 
| OXO | Oxalate Oxidase | 
| PGT | Primary Germ Tube | 
| POD | Peroxidase | 
| POX | Polyamine Oxidase | 
| PP | Penetration Peg | 
| PR1 | Pathogenesis-related 1 | 
| PR5 | Pathogenesis-related 5 | 
| PR10 | Pathogenesis-related 10 | 
| PR14 | Pathogenesis-related 14 | 
| RbcS/L | Ribulose bisphosphate carboxylase small chain/large chain | 
| RBOH | Respiratory Burst Oxidase Homologue protein | 
| RCA | Rubisco Activase | 
| ROS | Reactive Oxygen Species | 
| SA | Salicylic Acid | 
| SABP | Salicylic Acid-binding protein | 
| SOD | Superoxide dismutase | 
References
- Pimentel, D. Diversification of biological control strategies in agriculture. Crop. Prot. 1991, 10, 243–253. [Google Scholar] [CrossRef]
- Pimentel, D. (Ed.) Biological Invasions: Economic and Environmental Costs of Alien Plant Animal and Microbe Species; CRC Press: Boca Raton, FL, USA, 2002; p. 384. [Google Scholar]
- Chisholm, S.T.; Coaker, G.; Day, B.; Staskawicz, B.J. Host-microbe interactions: Shaping the evolution of the plant immune response. Cell 2006, 124, 803–814. [Google Scholar] [CrossRef] [PubMed]
- Jones, J.D.; Dangl, J.L. The plant immune system. Nature 2006, 444, 323–329. [Google Scholar] [CrossRef] [PubMed]
- Torres, M.A. ROS in biotic interactions. Physiol. Plantarum. 2010, 138, 414–429. [Google Scholar] [CrossRef]
- Melotto, M.; Underwood, W.; He, S.Y. Role of stomata in plant innate immunity and foliar bacterial diseases. Annu. Rev. Phytopathol. 2008, 46, 101–122. [Google Scholar] [CrossRef]
- Hardham, A.R.; Jones, D.A.; Takemoto, D. Cytoskeleton and cell wall function in penetration resistance. Curr. Opin. Plant Biol. 2007, 10, 342–348. [Google Scholar] [CrossRef]
- Coll, N.S.; Epple, P.; Dangl, J.L. Programmed cell death in the plant immune system. Cell Death Differ. 2011, 18, 1247–1256. [Google Scholar] [CrossRef]
- Fu, Z.Q.; Dong, X. Systemic acquired resistance: Turning local infection into global defense. Annu. Rev. Plant Biol. 2013, 64, 839–863. [Google Scholar] [CrossRef]
- Li, X.; Zhong, S.F.; Chen, W.Q.; Fatima, S.A.; Huang, Q.L.; Li, Q.; Tan, F.Q.; Luo, P.G. Transcriptome analysis identifies a 140 kb region of chromosome 3B containing genes specific to Fusarium Head Blight resistance in wheat. Int. J. Mol. Sci. 2018, 19, 852. [Google Scholar] [CrossRef]
- Herrera-Vásquez, A.; Salinas, P.; Holuigue, L. Salicylic acid and reactive oxygen species interplay in the transcriptional control of defense genes expression. Front. Plant Sci. 2015, 6, 171. [Google Scholar] [CrossRef] [PubMed]
- Katagiri, F.; Kenichi, T. Understanding the plant immune system. Mol. Plant Microbe Interact. 2010, 23, 1531–1536. [Google Scholar] [CrossRef] [PubMed]
- Kretschmer, M.; Damoo, D.; Djamei, A.; James, K. Chloroplasts and Plant Immunity: Where Are the Fungal Effectors? Pathogens 2020, 9, 19. [Google Scholar] [CrossRef]
- Sowden, R.G.; Watson, S.J.; Jarvis, P. The role of chloroplasts in plant pathology. Essays Biochem. 2017, 62, 21–39. [Google Scholar]
- Saxena, I.; Srikanth, S.; Chen, Z. Cross talk between H2O2 and interacting signal molecules under plant stress response. Front. Plant Sci. 2016, 7, 570. [Google Scholar] [CrossRef] [PubMed]
- Sharma, P.; Jha, A.B.; Dubey, R.S.; Pessarakli, M. Reactive oxygen species oxidative damage and antioxidative defense mechanism in plants under stressful conditions. J. Bot. 2012, 2012, 217037. [Google Scholar] [CrossRef]
- Asada, K. Production and scavenging of reactive oxygen species in chloroplasts and their functions. Plant Physiol. 2006, 141, 391–396. [Google Scholar] [CrossRef]
- Apel, K.; Hirt, H. Reactive oxygen species: Metabolism oxidative stress and signal transduction. Annu. Rev. Plant Biol. 2004, 55, 373–399. [Google Scholar] [CrossRef]
- Lu, Y.; Yao, J. Chloroplasts at the crossroad of photosynthesis pathogen infection and plant defense. Int. J. Mol. Sci. 2018, 19, 3900. [Google Scholar] [CrossRef]
- Asada, K. The water-water cycle in chloroplasts: Scavenging of active oxygens and dissipation of excess photons. Annu. Rev. Plant Biol. 1999, 50, 601–639. [Google Scholar] [CrossRef]
- Badger, M.R.; von Caemmerer, S.; Ruuska, S.; Nakano, H. Electron flow to oxygen in higher plants and algae: Rates and control of direct photoreduction (Mehler reaction) and rubisco oxygenase. Philos. T. Roy. Soc. B 2000, 355, 1433–1446. [Google Scholar] [CrossRef]
- Sabater, B.; Martín, M. Hypothesis: Increase of the ratio singlet oxygen plus superoxide radical to hydrogen peroxide changes stress defense response to programmed leaf death. Front. Plant Sci. 2013, 4, 479. [Google Scholar] [CrossRef] [PubMed]
- Mittler, R.; Vanderauwera, S.; Suzuki, N.; Miller, G.A.D.; Tognetti, V.B.; Vandepoele, K.; Gollery, M.; Shulaev, V.; Breusegeme, F.V. ROS signaling: The new wave? Trends Plant Sci. 2011, 16, 300–309. [Google Scholar] [CrossRef] [PubMed]
- Miller, G.; Coutu, J.; Shulaev, V.; Mittler, R. Reactive oxygen signaling in plants. Annu. Plant Rev. Online 2018, 33, 189–201. [Google Scholar]
- Rekhter, D.; Lüdke, D.; Ding, Y.; Feussner, K.; Zienkiewicz, K.; Lipka, V.; Wiermer, M.; Zhang, Y.L.; Feussner, I. Isochorismate-derived biosynthesis of the plant stress hormone salicylic acid. Science 2019, 365, 498–502. [Google Scholar] [CrossRef] [PubMed]
- Glazebrook, J. Contrasting mechanisms of defense against biotrophic and necrotrophic pathogens. Annu. Rev. Phytopathol. 2005, 43, 205–227. [Google Scholar] [CrossRef] [PubMed]
- Wasternack, C. Jasmonates: An update on biosynthesis signal transduction and action in plant stress response growth and development. Annu. Bot. 2007, 100, 681–697. [Google Scholar] [CrossRef]
- Wasternack, C.; Hause, B. Jasmonates: Biosynthesis perception signal transduction and action in plant stress response growth and development. An update to the 2007 review in Annals of Botany. Annu. Bot. 2013, 111, 1021–1058. [Google Scholar] [CrossRef]
- Bilgin, D.D.; Zavala, J.A.; Zhu, J.; Clough, S.J.; Ort, D.R.; DeLucia, E.H. Biotic stress globally downregulates photosynthesis genes. Plant Cell Environ. 2010, 33, 1597–1613. [Google Scholar] [CrossRef]
- Chen, Z.; Silva, H.; Klessig, D.F. Active oxygen species in the induction of plant systemic acquired resistance by salicylic acid. Science 1993, 262, 1883–1886. [Google Scholar] [CrossRef]
- Durner, J.; Klessig, D.F. Inhibition of ascorbate peroxidase by salicylic acid and 2 6-dichloroisonicotinic acid two inducers of plant defense responses. Proc. Natl Acad Sci. USA 1995, 92, 11312–11316. [Google Scholar] [CrossRef]
- Maruta, T.; Noshi, M.; Tanouchi, A.; Tamoi, M.; Yabuta, Y.; Yoshimura, K.; Takahiro Ishikawa, T.; Shigeoka, S. H2O2-triggered retrograde signaling from chloroplasts to nucleus plays specific role in response to stress. J. Biol. Chem. 2012, 287, 11717–11729. [Google Scholar] [CrossRef] [PubMed]
- Balasubramaniam, M.; Kim, B.S.; Hutchens-Williams, H.M.; Loesch-Fries, L.S. The photosystem II oxygen-evolving complex protein PsbP interacts with the coat protein of Alfalfa mosaic virus and inhibits virus replication. Mol. Plant Microbe Interact. 2014, 27, 1107–1118. [Google Scholar] [CrossRef] [PubMed]
- Dayakar, B.V.; Lin, H.J.; Chen, C.H.; Ger, M.J.; Lee, B.H.; Pai, C.H.; Chow, D.; Huang, H.E.; Hwang, S.Y.; Chung, M.C.; et al. Ferredoxin from sweet pepper (Capsicum annuum L.) intensifying harpinpss-mediated hypersensitive response shows an enhanced production of active oxygen species (AOS). Plant Mol. Biol. 2003, 51, 913–924. [Google Scholar] [CrossRef] [PubMed]
- Huang, H.E.; Ger, M.J.; Yip, M.K.; Chen, C.Y.; Pandey, A.K.; Feng, T.Y. A hypersensitive response was induced by virulent bacteria in transgenic tobacco plants overexpressing a plant ferredoxin-like protein (PFLP). Physiol. Mol. Plant Pathol. 2004, 64, 103–110. [Google Scholar] [CrossRef]
- Liau, C.H.; Lu, J.C.; Prasad, V.; Hsiao, H.H.; You, S.J.; Lee, J.T.; Yang, N.S.; Huang, H.E.; Feng, T.Y.; Chen, W.H.; et al. The sweet pepper ferredoxin-like protein (pflp) conferred resistance against soft rot disease in Oncidium Orchid. Transgenic Res. 2003, 12, 329–336. [Google Scholar] [CrossRef]
- Tang, K.; Sun, X.; Hu, Q.; Wu, A.; Lin, C.H.; Lin, H.J.; Twyman, R.M.; Christou, P.; Feng, T.Y. Transgenic rice plants expressing the ferredoxin-like protein (AP1) from sweet pepper show enhanced resistance to Xanthomonas oryzae pv. oryzae. Plant Sci. 2001, 160, 1035–1042. [Google Scholar] [CrossRef]
- Huang, H.E.; Ger, M.J.; Chen, C.Y.; Pandey, A.K.; Yip, M.K.; Chou, H.W.; Feng, T.Y. Disease resistance to bacterial pathogens affected by the amount of ferredoxin-I protein in plants. Mol. Plant Pathol. 2007, 8, 129–137. [Google Scholar] [CrossRef]
- Xu, Y.H.; Liu, R.; Yan, L.; Liu, Z.Q.; Jiang, S.C.; Shen, Y.Y.; Wang, X.F.; Zhang, D.P. Light-harvesting chlorophyll a/b-binding proteins are required for stomatal response to abscisic acid in Arabidopsis. J. Exp. Bot. 2011, 63, 1095–1106. [Google Scholar] [CrossRef]
- Jelenska, J.; Yao, N.; Vinatzer, B.A.; Wright, C.M.; Brodsky, J.L.; Greenberg, J.T. A J domain virulence effector of Pseudomonas syringae remodels host chloroplasts and suppresses defenses. Curr. Biol. 2007, 17, 499–508. [Google Scholar] [CrossRef]
- Rodríguez-Herva, J.J.; González-Melendi, P.; Cuartas-Lanza, R.; Antúnez-Lamas, M.; Río-Alvarez, I.; Li, Z.; López-Torrejón, G.; Díaz, I.; Del Pozo, J.C.; Chakravarthy, S.; et al. bacterial cysteine protease effector protein interferes with photosynthesis to suppress plant innate immune responses. Cell Microbiol. 2012, 14, 669–681. [Google Scholar] [CrossRef]
- Kangasjärvi, S.; Neukermans, J.; Li, S.; Aro, E.M.; Noctor, G. Photosynthesis, photorespiration, and light signaling in defence responses. J. Exp. Bot. 2012, 63, 1619–1636. [Google Scholar] [CrossRef] [PubMed]
- Rojas, C.M.; Senthil-Kumar, M.; Tzin, V.; Mysore, K. Regulation of primary plant metabolism during plant-pathogen interactions and its contribution to plant defense. Front. Plant Sci. 2014, 5, 17. [Google Scholar] [CrossRef] [PubMed]
- Rojas, C.M.; Senthil-Kumar, M.; Wang, K.; Ryu, C.M.; Kaundal, A.; Mysore, K.S. Glycolate oxidase modulates reactive oxygen species-mediated signal transduction during nonhost resistance in Nicotiana benthamiana and Arabidopsis. Plant Cell 2012, 24, 336–352. [Google Scholar] [CrossRef] [PubMed]
- Ahammed, G.J.; Li, X.; Zhang, G.; Zhang, H.; Shi, J.; Pan, C.; Yu, J.; Shi, K. Tomato photorespiratory glycolate-oxidase-derived H2O2 production contributes to basal defence against Pseudomonas syringae. Plant Cell Environ. 2018, 41, 1126–1138.87. [Google Scholar] [CrossRef] [PubMed]
- Bruinsma, J. By how much do land water and crop yields need to increase by 2050. In Proceedings of the FAO Expert Meeting on How to Feed the World in 2050, Rome, Italy, 24–26 June 2009. [Google Scholar]
- Conner, R.L.; Kuzyk, A.D.; Su, H. Impact of powdery mildew on the yield of soft white spring wheat cultivars. Can. J. Plant Sci. 2003, 83, 725–728. [Google Scholar] [CrossRef]
- Luo, P.G.; Luo, H.Y.; Chang, Z.J.; Zhang, H.Y.; Zhang, M.; Ren, Z.L. Characterization and chromosomal location of Pm40 in common wheat: A new gene for resistance to powdery mildew derived from Elytrigia intermedium. Theor. Appl. Genet. 2009, 118, 1059–1064. [Google Scholar] [CrossRef]
- Liu, Z.H.; Xu, M.; Xiang, Z.P.; Li, X.; Chen, W.Q.; Luo, P.G. Registration of the novel wheat lines L658 L693 L696 and L699 with resistance to Fusarium Head blight stripe rust and powdery mildew. J. Plant Regist. 2015, 9, 121–124. [Google Scholar] [CrossRef]
- Shen, X.K.; Ma, L.X.; Zhong, S.F.; Liu, N.; Zhang, M.; Chen, W.Q.; Zhou, Y.L.; Li, H.J.; Chang, Z.J.; Li, X.; et al. Identification and genetic mapping of the putative Thinopyrum intermedium-derived dominant powdery mildew resistance gene PmL962 on wheat chromosome arm 2BS. Theor. Appl. Genet. 2015, 128, 517–528. [Google Scholar] [CrossRef]
- Ma, L.X.; Zhong, S.F.; Liu, N.; Chen, W.Q.; Liu, T.G.; Li, X.; Zhang, M.; Ren, Z.L.; Yang, J.Z.; Luo, P.G. Gene expression profile and physiological and biochemical characterization of hexaploid wheat inoculated with Blumeria graminis f. sp. tritici. Physiol. Mol. Plant Pathol. 2015, 90, 39–48. [Google Scholar] [CrossRef]
- Liang, Y.P.; Xia, Y.; Chang, X.L.; Gong, G.S.; Yang, J.Z.; Hu, Y.T.; Cahill, M.; Luo, L.Y.; Li, T.; He, L.; et al. Comparative proteomic analysis of wheat carrying Pm40 response to Blumeria graminis f. sp. tritici using two-dimensional electrophoresis. Int. J. Mol. Sci. 2019, 20, 933. [Google Scholar] [CrossRef]
- Chang, X.L.; Luo, L.Y.; Liang, Y.P.; Hu, Y.T.; Luo, P.G.; Gong, G.S.; Chen, H.B.; Khaskheli, M.I.; Liu, T.G.; Chen, W.Q.; et al. Papilla formation defense gene expression and HR contribute to the powdery mildew resistance of the novel wheat line L699 carrying Pm40 gene. Physiol. Mol. Plant Pathol. 2019, 106, 208–216. [Google Scholar] [CrossRef]
- Hu, Y.T.; Liang, Y.P.; Zhang, M.; Tan, F.Q.; Zhong, S.F.; Li, X.; Gong, G.S.; Chang, X.L.; Shang, J.; Tang, S.W.; et al. Comparative transcriptome profiling of Blumeria graminis f. sp. tritici during compatible and incompatible interactions with sister wheat lines carrying and lacking Pm40. PLoS ONE 2018, 13, e0198891. [Google Scholar] [CrossRef]
- Li, J.; Yang, X.; Liu, X.; Yu, H.; Du, C.; Li, M.; He, D. Proteomic analysis of the compatible interaction of wheat and powdery mildew (Blumeria graminis f. sp. tritici). Plant Physiol. Bioch. 2017, 111, 234–243. [Google Scholar] [CrossRef] [PubMed]
- Li, Y.; Guo, G.; Zhou, L.; Chen, Y.; Zong, Y.; Huang, J.; Liu, C. Transcriptome analysis identifies candidate genes and functional pathways controlling the response of two contrasting barley varieties to powdery mildew infection. Int. J. Mol. Sci. 2020, 21, 151. [Google Scholar] [CrossRef]
- Westermann, A.J.; Lars, B.; Joerg, V. Resolving host–pathogen interactions by dual RNA-seq. PLoS Pathog. 2017, 13, e1006033. [Google Scholar] [CrossRef]
- Kuckenberg, J.; Tartachnyk, I.; Noga, G. Temporal and spatial changes of chlorophyll fluorescence as a basis for early and precise detection of leaf rust and powdery mildew infections in wheat leaves. Precis. Agric. 2009, 10, 34–44. [Google Scholar] [CrossRef]
- Ajigboye, O.O.; Bousquet, L.; Murchie, E.H.; Ray, R.V. Chlorophyll fluorescence parameters allow the rapid detection and differentiation of plant responses in three different wheat pathosystems. Funct. Plant Boil. 2016, 43, 356–369. [Google Scholar] [CrossRef] [PubMed]
- Torres, M.A.; Jones, J.D.; Dangl, J.L. Reactive oxygen species signaling in response to pathogens. Plant Physiol. 2006, 141, 373–378. [Google Scholar] [CrossRef] [PubMed]
- Lamb, C.; Dixon, R.A. The oxidative burst in plant disease resistance. Annu. Rev. Plant Biol. 1997, 48, 251–275. [Google Scholar] [CrossRef]
- Nishimura, M.T.; Dangl, J.L. Arabidopsis and the plant immune system. Plant J. 2010, 61, 1053–1066. [Google Scholar] [CrossRef]
- Shetty, N.P.; Jørgensen, H.J.L.; Jensen, J.D.; Collinge, D.B.; Shetty, H.S. Roles of reactive oxygen species in interactions between plants and pathogens. Eur. J. Plant Pathol. 2008, 121, 267–280. [Google Scholar] [CrossRef]
- Hu, X.; Bidney, D.L.; Yalpani, N.; Duvick, J.P.; Crasta, O.; Folkerts, O.; Lu, G.H. Overexpression of a gene encoding hydrogen peroxide-generating oxalate oxidase evokes defense responses in sunflower. Plant Physiol. 2003, 133, 170–181. [Google Scholar] [CrossRef] [PubMed]
- Lane, B.G. Oxalate germins and higher-plant pathogens. IUBMB Life 2002, 53, 67–75. [Google Scholar] [CrossRef] [PubMed]
- Schulze-Lefert, P.; Vogel, J. Closing the ranks to attack by powdery mildew. Trends Plant Sci. 2000, 5, 343–348. [Google Scholar] [CrossRef]
- Polidoros, A.N.; Mylona, P.V.; Scandalios, J.G. Transgenic tobacco plants expressing the maize Cat2 gene have altered catalase levels that affect plant-pathogen interactions and resistance to oxidative stress. Transgenic Res. 2001, 10, 555–569. [Google Scholar] [CrossRef] [PubMed]
- Liu, G.; Sheng, X.; Greenshields, D.L.; Ogieglo, A.; Kaminskyj, S.; Selvaraj, G.; Wei, Y.D. Profiling of wheat class III peroxidase genes derived from powdery mildew-attacked epidermis reveals distinct sequence-associated expression patterns. Mol. Plant Microbe Interact. 2005, 18, 730–741. [Google Scholar] [CrossRef]
- Torres, M.A.; Dangl, J.L. Functions of the respiratory burst oxidase in biotic interactions, abiotic stress and development. Curr. Opin. Plant Biol. 2005, 8, 397–403. [Google Scholar] [CrossRef]
- Torres, M.A.; Jones, J.D.; Dangl, J.L. Pathogen-induced, NADPH oxidase-derived reactive oxygen intermediates suppress spread of cell death in Arabidopsis thaliana. Nat. Genet. 2005, 37, 1130–1134. [Google Scholar] [CrossRef]
- Yoshioka, H.; Numata, N.; Nakajima, K.; Katou, S.; Kawakita, K.; Rowland, O.; Jones, J.D.G.; Doke, N. Nicotiana benthamiana gp91phox homologs NbrbohA and NbrbohB participate in H2O2 accumulation and resistance to Phytophthora infestans. Plant Cell 2003, 15, 706–718. [Google Scholar] [CrossRef]
- Torres, M.A.; Dangl, J.L.; Jones, J.D. Arabidopsis gp91phox homologues AtrbohD and AtrbohF are required for accumulation of reactive oxygen intermediates in the plant defense response. Proc. Natl. Acad. Sci. USA 2002, 99, 517–522. [Google Scholar] [CrossRef]
- Scharte, J.; Schon, H.; Weis, E. Photosynthesis and carbohydrate metabolism in tobacco leaves during an incompatible interaction with Phytophthora nicotianae. Plant Cell Environ. 2005, 28, 1421–1435. [Google Scholar] [CrossRef]
- Swarbrick, P.J.; Schulze-Lefert, P.; Scholes, J.D. Metabolic consequences of susceptibility and resistance (race-specific and broad-spectrum) in barley leaves challenged with powdery mildew. Plant Cell Environ. 2006, 29, 1061–1076. [Google Scholar] [CrossRef] [PubMed]
- Díaz-Vivancos, P.; Clemente-Moreno, M.J.; Rubio, M.; Olmos, E.; García, J.A.; Martínez-Gómez, P.; Hernández, J.A. Alteration in the chloroplastic metabolism leads to ROS accumulation in pea plants in response to plum pox virus. J. Exp. Bot. 2008, 59, 2147–2160. [Google Scholar] [CrossRef] [PubMed]
- Bonfig, K.B.; Schreiber, U.; Gabler, A.; Roitsch, T.; Berger, S. Infection with virulent and avirulent P. syringae strains differentially affects photosynthesis and sink metabolism in Arabidopsis leaves. Planta 2006, 225, 1–12. [Google Scholar] [CrossRef] [PubMed]
- Sharkey, T.D.; Bernacchi, C.J.; Farquhar, G.D.; Singsaas, E.L. Fitting photosynthetic carbon dioxide response curves for C3 leaves. Plant Cell Environ. 2007, 30, 1035–1040. [Google Scholar] [CrossRef]
- Gerganova, M.; Popova, A.V.; Stanoeva, D.; Velitchkova, M. Tomato plants acclimate better to elevated temperature and high light than to treatment with each factor separately. Plant Physiol. Bioch. 2016, 104, 234–241. [Google Scholar] [CrossRef]
- Brugger, A.; Kuska, M.T.; Mahlein, A.K. Impact of compatible and incompatible barley-Blumeria graminis f. sp. hordei interactions on chlorophyll fluorescence parameters. J. Plant Dis. Protect. 2018, 125, 177–186. [Google Scholar]
- Göhre, V.; Jones, A.M.; Sklenář, J.; Robatzek, S.; Weber, A.P. Molecular crosstalk between PAMP-triggered immunity and photosynthesis. Mol. Plant Microbe Interact. 2012, 25, 1083–1092. [Google Scholar] [CrossRef]
- Rolfe, S.A.; Scholes, J.D. Chlorophyll fluorescence imaging of plant–pathogen interactions. Protoplasma 2010, 247, 163–175. [Google Scholar] [CrossRef]
- Backer, R.; Naidoo, S.; van den Berg, N. The nonexpressor of pathogenesis-related genes 1 (NPR1) and related Family: Mechanistic insights in plant disease resistance. Front. Plant Sci. 2019, 10, 102. [Google Scholar] [CrossRef]
- Broekgaarden, C.; Caarls, L.; Vos, I.A.; Pieterse, C.M.; Van Wees, S.C. Ethylene: Traffic controller on hormonal crossroads to defense. Plant Physiol. 2015, 169, 2371–2379. [Google Scholar] [CrossRef] [PubMed]
- Van der Ent, S.; Van Wees, S.C.; Pieterse, C.M. Jasmonate signaling in plant interactions with resistance-inducing beneficial microbes. Phytochemistry 2009, 70, 1581–1588. [Google Scholar] [CrossRef] [PubMed]
- Cao, H.; Glazebrook, J.; Clarke, J.D.; Volko, S.; Dong, X. The Arabidopsis NPR1 gene that controls systemic acquired resistance encodes a novel protein containing ankyrin repeats. Cell 1997, 88, 57–63. [Google Scholar] [CrossRef]
- Wu, Y.; Zhang, D.; Chu, J.Y.; Boyle, P.; Wang, Y.; Brindle, I.D.; Luca, V.D.; Després, C. The Arabidopsis NPR1 protein is a receptor for the plant defense hormone salicylic acid. Cell Rep. 2012, 1, 639–647. [Google Scholar] [CrossRef] [PubMed]
- Zhang, J.Y.; Qiao, Y.S.; Lv, D.; Gao, Z.H.; Qu, S.C.; Zhang, Z. Malus hupehensis NPR1 induces pathogenesis-related protein gene expression in transgenic tobacco. Plant Biol. 2012, 14, 46–56. [Google Scholar] [CrossRef]
- Chen, X.K.; Zhang, J.Y.; Zhang, Z.; Du, X.L.; Du, B.B.; Qu, S.C. Overexpressing MhNPR1 in transgenic Fuji apples enhances resistance to apple powdery mildew. Mol. Boil. Rep. 2012, 39, 8083–8089. [Google Scholar] [CrossRef]
- Wang, Z.; Ma, L.Y.; Li, X.; Zhao, F.Y.; Sarwar, R.; Cao, J.; Li, Y.L.; Ding, L.N.; Zhu, K.M.; Yang, Y.H.; et al. Genome-wide identification of the NPR1-like gene family in Brassica napus and functional characterization of BnaNPR1 in resistance to Sclerotinia sclerotiorum. Plant Cell Rep. 2020, 39, 709–722. [Google Scholar] [CrossRef]
- Wang, C.S.; Huang, J.C.; Hu, J.H. Characterization of two subclasses of PR-10 transcripts in lily anthers and induction of their genes through separate signal transduction pathways. Plant Mol. Biol. 1999, 40, 807–814. [Google Scholar] [CrossRef]
- Colditz, F.; Niehaus, K.; Krajinski, F. Silencing of PR-10-like proteins in Medicago truncatula results in an antagonistic induction of other PR proteins and in an increased tolerance upon infection with the oomycete Aphanomyces euteiches. Planta 2007, 226, 57–71. [Google Scholar] [CrossRef]
- Sudisha, J.; Sharathchandra, R.G.; Amruthesh, K.N.; Kumar, A.; Shetty, H.S. Pathogenesis related proteins in plant defense response. In Plant Defence: Biological Control. Progress in Biological Control; Mérillon, J., Ramawat, K., Eds.; Springer: Dordrecht, Germany, 2012; Volume 12, pp. 379–403. [Google Scholar]
- Ahmed, S.M.; Liu, P.; Xue, Q.; Ji, C.; Qi, T.; Guo, J.; Guo, J.; Kang, Z.S. TaDIR1-2 a wheat ortholog of lipid transfer protein AtDIR1 contributes to negative regulation of wheat resistance against Puccinia striiformis f. sp. tritici. Front. Plant Sci. 2017, 8, 521. [Google Scholar] [CrossRef]
- Wang, C.F.; Huang, L.L.; Buchenauer, H.; Han, Q.M.; Zhang, H.C.; Kang, Z.S. Histochemical studies on the accumulation of reactive oxygen species (O2− and H2O2) in the incompatible and compatible interaction of wheat-Puccinia striiformis f. sp. tritici. Physiol. Mol. Plant Pathol. 2007, 71, 230–239. [Google Scholar] [CrossRef]
- Kim, D.; Langmead, B.; Salzberg, S.L. HISAT: A fast-spliced aligner with low memory requirements. Nat. Methods 2015, 12, 357–360. [Google Scholar] [CrossRef] [PubMed]
- Apweiler, R.; Bairoch, A.; Wu, C.H.; Barker, W.C.; Boeckmann, B.; Ferro, S.; Gasteiger, E.; Huang, H.Z.; Lopez, R.; Magrane, M.; et al. UniProt: The universal protein knowledgebase. Nucleic Acids Res. 2004, 32, D115–D119. [Google Scholar] [CrossRef] [PubMed]
- Pertea, M.; Pertea, G.M.; Antonescu, C.M.; Chang, T.C.; Mendell, J.T.; Salzberg, S.L. StringTie enables improved reconstruction of a transcriptome from RNA-seq reads. Nat. Biotechnol. 2015, 33, 290–295. [Google Scholar] [CrossRef] [PubMed]
- Robinson, M.D.; McCarthy, D.J.; Smyth, G.K. edgeR: A Bioconductor package for differential expression analysis of digital gene expression data. Bioinformatics 2010, 26, 139–140. [Google Scholar] [CrossRef]
- Livak, K.J.; Schmittgen, T.D. Analysis of relative gene expression data using real-time quantitative PCR and the 2− ΔΔCT method. Methods 2001, 25, 402–408. [Google Scholar] [CrossRef]
- Faheem, M.; Li, Y.B.; Arshad, M.; Cheng, J.Y.; Jia, Z.; Wang, Z.K.; Xiao, J.; Wang, H.Y.; Cao, A.Z.; Xing, L.P.; et al. A disulphide isomerase gene (PDI-V) from Haynaldia villosa contributes to powdery mildew resistance in common wheat. Sci. Rep. 2016, 6, 24227. [Google Scholar] [CrossRef]
- Scholtz, J.J.; Visser, B. Reference gene selection for qPCR gene expression analysis of rust-infected wheat. Physiol. Mol. Plant Pathol. 2013, 81, 22–25. [Google Scholar] [CrossRef]






| Gene ID | R0-S0 a | R6-S6 b | R12-S12 c | R24-S24 d | R48-S48 e | R72-S72 f | Functional Annotation G | 
|---|---|---|---|---|---|---|---|
| H2O2-Producing-Related DEGs | |||||||
| TraesCS6A01G180600 | −6.446 | −7.180 | −6.906 | −10.076 | −7.352 | −9.351 | Respiratory burst oxidase homologue protein E | 
| TraesCS5B01G299000 | / | / | / | / | / | −2.425 | Respiratory burst oxidase homologue protein C | 
| TraesCS5A01G527600 | / | / | / | / | / | −2.885 | Respiratory burst oxidase homologue protein B | 
| TraesCS4B01G282700 | / | / | −3.409 | / | / | / | Primary amine oxidase | 
| TraesCS7D01G375700 | −3.550 | −3.876 | −2.744 | −3.351 | −5.309 | −6.213 | Polyamine oxidase | 
| TraesCS7A01G378800 | −4.452 | −4.832 | / | / | −5.345 | −6.612 | Polyamine oxidase | 
| TraesCS7B01G280700 | 2.374 | / | / | / | 2.694 | 3.339 | Polyamine oxidase | 
| TraesCS4A01G279300 | / | / | / | / | / | −6.283 | Oxalate oxidase GF-2.8 | 
| TraesCS4D01G032000 | 3.726 | / | 3.098 | / | / | / | Oxalate oxidase GF-2.8 | 
| TraesCS4B01G033300 | / | / | 2.727 | / | / | / | Oxalate oxidase GF-2.8 | 
| TraesCS4A01G279200 | / | / | 2.310 | / | / | / | Oxalate oxidase GF-2.8 | 
| TraesCS4A01G279100 | / | / | 3.483 | / | / | / | Oxalate oxidase GF-2.8 | 
| TraesCS4A01G181800 | / | / | 3.865 | / | / | / | Oxalate oxidase GF-2.8 | 
| TraesCS4B01G033100 | / | / | / | / | / | −3.112 | Oxalate oxidase 2 | 
| TraesCS4D01G032200 | / | / | 2.298 | / | / | / | Oxalate oxidase 2 | 
| TraesCS4D01G032100 | −6.459 | / | 3.202 | / | / | / | Oxalate oxidase 2 | 
| H2O2-Scavenging-Related DEGs | |||||||
| TraesCS6B01G278100 | / | / | / | −2.137 | / | / | glutathione peroxidase 6, | 
| TraesCS1B01G115800 | 3.734 | 3.949 | 4.754 | 3.230 | 4.803 | 3.701 | Peroxidase N | 
| TraesCS1A01G104300 | −3.329 | / | / | / | −2.280 | −3.797 | Peroxidase A2 | 
| TraesCS6B01G063900 | / | / | / | / | / | −2.037 | Peroxidase 70 | 
| TraesCS6B01G063400 | / | / | / | / | / | −3.498 | Peroxidase 70 | 
| TraesCS6A01G047200 | / | / | / | / | / | −3.376 | Peroxidase 70 | 
| TraesCS6D01G303900 | / | / | −4.580 | / | −4.299 | / | Peroxidase 56 | 
| TraesCS6A01G324200 | / | / | −3.592 | / | / | / | Peroxidase 56 | 
| TraesCS1B01G115900 | −4.877 | −3.536 | −2.526 | −2.277 | −2.918 | −4.076 | Peroxidase 54 | 
| TraesCS1D01G096400 | −2.815 | / | / | / | −2.264 | −3.499 | Peroxidase 54 | 
| TraesCS7B01G132400 | / | 4.140 | / | / | / | 2.170 | Peroxidase 5 | 
| TraesCS1B01G096900 | / | / | −2.658 | / | / | −3.204 | Peroxidase 5 | 
| TraesCS1A01G079400 | / | / | −2.630 | / | / | / | Peroxidase 5 | 
| TraesCS4A01G196000 | / | / | −2.166 | / | / | / | Peroxidase 4 | 
| TraesCS5D01G144300 | / | / | / | / | / | −2.114 | Peroxidase 4 | 
| TraesCS5B01G147200 | / | / | / | / | / | −2.496 | Peroxidase 4 | 
| TraesCS2B01G098100 | / | / | / | 2.053 | / | / | Peroxidase 21 | 
| TraesCS3A01G297200 | 3.631 | / | / | / | / | / | Peroxidase 2 | 
| TraesCS2B01G124600 | / | −7.661 | / | / | / | / | Peroxidase 2 | 
| TraesCS3A01G297100 | / | / | / | / | / | −4.351 | Peroxidase 2 | 
| TraesCS2D01G584600 | −2.622 | / | / | / | / | / | Peroxidase 12 | 
| TraesCS2D01G583200 | / | / | 2.692 | / | / | / | Peroxidase 12 | 
| TraesCS2A01G573900 | / | / | / | / | 3.487 | / | Peroxidase 12 | 
| TraesCS2B01G125200 | / | / | 7.952 | / | / | / | Peroxidase 1 | 
| TraesCS2B01G125100 | / | / | / | / | 10.195 | / | Peroxidase 1 | 
| TraesCS2D01G107900 | / | −7.959 | / | / | / | / | Peroxidase | 
| TraesCS2B01G125300 | / | / | / | / | / | −7.743 | Peroxidase | 
| TraesCS4A01G106300 | −2.428 | −2.317 | / | / | / | −2.335 | L-ascorbate peroxidase 1 | 
| TraesCS6A01G118300 | −2.666 | / | / | −2.721 | −3.727 | −2.990 | Cationic peroxidase 1 | 
| TraesCS6A01G041700 | −4.483 | −4.691 | −3.521 | −5.265 | −4.937 | −5.815 | Catalase isozyme 2 | 
| Gene ID | R0-S0 a | R6-S6 b | R12-S12 c | R24-S24 d | R48-S48 e | R72-S72 f | Functional Annotation G | 
|---|---|---|---|---|---|---|---|
| SA Pathway-Related DEGs | |||||||
| TraesCS3B01G354100 | / | / | −3.145 | / | / | / | Salicylic acid-binding protein 2 | 
| TraesCS3A01G325300 | / | / | −2.796 | / | / | / | Salicylic acid-binding protein 2 | 
| TraesCS3A01G325200 | / | / | −3.361 | / | / | / | Salicylic acid-binding protein 2 | 
| TraesCS5D01G196200 | / | / | −2.201 | / | / | / | Isochorismate synthase 2, chloroplastic | 
| TraesCS7A01G021800 | 11.409 | 7.903 | 12.994 | 8.314 | 12.449 | 12.138 | Regulatory protein NPR1 | 
| JA Pathway-Related DEGs | |||||||
| TraesCS2A01G525500 | / | / | / | / | / | −3.867 | Seed linoleate 9S-lipoxygenase-3 | 
| TraesCS6A01G132500 | −7.376 | −7.356 | −5.173 | −7.744 | −8.013 | −12.116 | Putative linoleate 9S-lipoxygenase 3 | 
| TraesCS6A01G132200 | −13.320 | −9.317 | −10.259 | −8.741 | −14.0 | −15.902 | Putative linoleate 9S-lipoxygenase 3 | 
| TraesCS2D01G528500 | / | / | / | / | / | −3.547 | Probable linoleate 9S-lipoxygenase 5 | 
| TraesCS2B01G555400 | / | −2.347 | −2.003 | / | −2.112 | −4.107 | Probable linoleate 9S-lipoxygenase 5 | 
| TraesCS6A01G181200 | −9.490 | −10.091 | −10.025 | −9.787 | −9.954 | −9.287 | Probable linoleate 9S-lipoxygenase 4 | 
| TraesCS6B01G193400 | / | / | / | −2.024 | / | −2.136 | Lipoxygenase 2.3, chloroplastic | 
| TraesCS6A01G166000 | −2.911 | −3.863 | −2.692 | −2.986 | −3.050 | −3.241 | Lipoxygenase 2.3, chloroplastic | 
| TraesCS5D01G013400 | / | −3.160 | / | / | / | −4.632 | Lipoxygenase 2.1, chloroplastic | 
| TraesCS5B01G006500 | / | / | / | / | / | −4.578 | Lipoxygenase 2.1, chloroplastic | 
| TraesCS5A01G007900 | / | −3.314 | / | / | / | −4.997 | Lipoxygenase 2.1, chloroplastic | 
| TraesCS4D01G035200 | / | / | / | / | / | −2.177 | Linoleate 9S-lipoxygenase 1 | 
| TraesCS4B01G037900 | / | / | / | / | / | −2.780 | Linoleate 9S-lipoxygenase 1 | 
| TraesCS4B01G037700 | / | / | / | / | / | −2.609 | Linoleate 9S-lipoxygenase 1 | 
| TraesCS4D01G238800 | / | / | / | / | / | −2.213 | Allene oxide synthase 2 | 
| TraesCS4D01G238700 | / | −5.215 | / | / | / | −6.243 | Allene oxide synthase 2 | 
| TraesCS4A01G061800 | / | −4.649 | / | / | / | −5.560 | Allene oxide synthase 2 | 
| TraesCS5D01G413200 | / | / | / | / | / | −2.171 | Allene oxide synthase 1, chloroplastic | 
| ET Pathway-Related DEGs | |||||||
| TraesCS4D01G267500 | / | / | / | / | / | −2.162 | Ethylene-responsive transcription factor RAP2-4 | 
| TraesCS7D01G469200 | 2.464 | 3.022 | / | 2.404 | 3.519 | 3.703 | Ethylene-responsive transcription factor RAP2-13 | 
| TraesCS6D01G217800 | / | / | / | / | / | −2.935 | Ethylene-responsive transcription factor ERF053 | 
| TraesCS6B01G263800 | / | / | / | / | / | −2.383 | Ethylene-responsive transcription factor ERF053 | 
| TraesCS6A01G235100 | / | / | / | / | / | −2.041 | Ethylene-responsive transcription factor ERF053 | 
| TraesCS2A01G427700 | / | / | / | / | / | −2.389 | Ethylene-responsive transcription factor 7 | 
| TraesCS6A01G171900 | / | / | −2.474 | −2.076 | / | / | Ethylene-responsive transcription factor 3 | 
| TraesCS6B01G281000 | / | / | / | / | / | −4.540 | Ethylene-responsive transcription factor 2 | 
| TraesCS5D01G549200 | 2.379 | / | / | / | / | / | Ethylene-responsive transcription factor 1B | 
| TraesCS2D01G391400 | / | / | / | / | 3.664 | / | Ethylene-responsive transcription factor 1B | 
| TraesCS6D01G225500 | / | / | / | / | / | −4.057 | Ethylene-responsive transcription factor 1 | 
| TraesCS6A01G243300 | / | / | / | / | / | −2.602 | Ethylene-responsive transcription factor 1 | 
| TraesCS6A01G125700 | −10.243 | −10.428 | −11.097 | −9.384 | −8.635 | −8.945 | AP2-like ethylene-responsive transcription factor | 
| TraesCS5A01G547500 | −2.579 | −9.546 | −2.814 | −3.525 | / | −3.283 | Ethylene-insensitive protein 2 | 
| TraesCS6A01G181900 | −2.973 | −2.685 | −3.204 | −3.132 | −3.230 | −2.830 | EIN3-binding F-box protein 1 | 
| TraesCS2D01G394200 | / | / | / | / | / | −3.141 | 1-aminocyclopropane-1-carboxylate synthase | 
| TraesCS2B01G414800 | / | / | / | / | 2.471 | −2.460 | 1-aminocyclopropane-1-carboxylate synthase | 
| TraesCS4B01G005800 | −3.100 | −2.836 | −3.930 | −3.304 | −4.105 | −3.435 | 1-aminocyclopropane-1-carboxylate oxidase homologue 1 | 
| TraesCS4A01G499800 | 5.816 | 9.167 | 5.375 | / | / | / | 1-aminocyclopropane-1-carboxylate oxidase homologue 1 | 
| TraesCS6B01G356200 | / | / | / | / | 2.046 | / | 1-aminocyclopropane-1-carboxylate oxidase 3 | 
| TraesCS6B01G356000 | / | / | / | 2.029 | / | / | 1-aminocyclopropane-1-carboxylate oxidase 3 | 
| TraesCS5B01G232600 | / | / | −2.121 | / | / | / | 1-aminocyclopropane-1-carboxylate oxidase 1 | 
| TraesCS5B01G232700 | / | / | / | −2.167 | −2.657 | −2.075 | 1-aminocyclopropane-1-carboxylate oxidase 1 | 
| Gene ID | R0-S0 a | R6-S6 b | R12-S12 c | R24-S24 d | R48-S48 e | R72-S72 f | Functional Annotation G | 
|---|---|---|---|---|---|---|---|
| TraesCS5A01G336600 | / | / | −3.422 | / | / | / | Thaumatin-like protein 1a | 
| TraesCS4D01G227400 | / | / | / | / | / | −2.092 | Thaumatin-like protein 1 | 
| TraesCS4A01G070700 | / | / | / | / | / | −2.481 | Thaumatin-like protein 1 | 
| TraesCSU01G146600 | 7.428 | / | 6.732 | / | / | / | Thaumatin-like protein | 
| TraesCS6B01G473800 | 8.349 | 5.325 | 10.464 | / | / | / | Thaumatin-like protein | 
| TraesCS6B01G157700 | / | / | −10.474 | / | / | / | Thaumatin-like protein | 
| TraesCS6A01G129400 | / | / | −9.800 | / | / | / | Thaumatin-like protein | 
| TraesCS5A01G018200 | 3.579 | / | / | / | / | −3.910 | Thaumatin-like protein | 
| TraesCS5A01G017900 | 6.417 | / | / | / | / | / | Thaumatin-like protein | 
| TraesCS4A01G498000 | 12.101 | 7.376 | 7.329 | 5.273 | / | / | Thaumatin-like protein | 
| TraesCS2A01G110300 | 6.281 | / | / | / | / | / | Thaumatin-like protein | 
| TraesCS7D01G252400 | / | 4.006 | / | 5.578 | 6.710 | 9.868 | Pathogenesis-related protein 5 | 
| TraesCS5D01G446900 | 7.736 | / | / | / | / | / | Pathogenesis-related protein 1 | 
| TraesCS5D01G446800 | 8.967 | / | / | / | / | / | Pathogenesis-related protein 1 | 
| TraesCS5B01G442700 | 7.025 | / | / | / | / | / | Pathogenesis-related protein 1 | 
| TraesCS5B01G442600 | 8.469 | / | / | / | / | / | Pathogenesis-related protein 1 | 
| TraesCS5A01G439800 | 9.128 | / | 7.573 | / | / | / | Pathogenesis-related protein 1 | 
| TraesCS5A01G189200 | / | / | / | 3.043 | 3.487 | / | Pathogenesis-related protein 1 | 
| TraesCS6A01G184600 | −3.957 | −3.644 | −3.377 | −4.044 | −4.598 | −4.097 | Nuclear ribonuclease | 
| TraesCS2D01G260000 | / | / | −2.898 | / | / | / | Ribonuclease 3 | 
| TraesCS6D01G320200 | / | / | / | −2.215 | / | −2.929 | Ribonuclease 1 | 
| TraesCS6A01G339600 | / | / | / | / | / | −2.331 | Ribonuclease 1 | 
| TraesCS2B01G182900 | / | / | / | −4.933 | / | −5.114 | Ribonuclease 1 | 
| TraesCS2A01G157400 | / | / | / | / | / | −2.490 | Ribonuclease 1 | 
| TraesCS1D01G149800 | / | −2.714 | −3.982 | / | / | −2.658 | Ribonuclease 1 | 
| TraesCS1D01G149700 | / | −4.139 | −5.318 | / | −4.500 | −5.191 | Ribonuclease 1 | 
| TraesCS1B01G170200 | / | −4.257 | −6.333 | / | / | / | Ribonuclease 1 | 
| TraesCS1B01G170100 | −2.735 | −5.066 | −4.986 | −3.003 | −5.493 | −6.239 | Ribonuclease 1 | 
| TraesCS1A01G152800 | −3.828 | −4.337 | −6.606 | −2.809 | −3.895 | −4.556 | Ribonuclease 1 | 
| TraesCS1A01G152600 | −2.595 | −5.057 | −4.745 | −2.907 | −5.539 | −6.020 | Ribonuclease 1 | 
| TraesCS4B01G267300 | / | / | −2.348 | / | / | / | Non-specific lipid-transfer protein-like protein | 
| TraesCS4A01G038400 | / | / | / | / | / | −2.042 | Non-specific lipid-transfer protein-like protein | 
| TraesCSU01G251500 | −2.325 | −2.823 | −4.662 | −3.183 | −4.485 | −3.858 | Non-specific lipid-transfer protein 4.3 | 
| TraesCSU01G147100 | −2.496 | −2.880 | −4.956 | −3.222 | −4.536 | −3.531 | Non-specific lipid-transfer protein 4.3 | 
| TraesCSU01G057300 | / | / | −2.685 | / | / | / | Non-specific lipid-transfer protein 4.3 | 
| TraesCSU01G057200 | / | / | −2.781 | / | / | / | Non-specific lipid-transfer protein 4.3 | 
| TraesCS3B01G064100 | −2.204 | −2.562 | −4.634 | −2.799 | −3.872 | −2.701 | Non-specific lipid-transfer protein 4.3 | 
| TraesCS3B01G063700 | −2.223 | −2.301 | −4.238 | −2.537 | −3.851 | −2.788 | Non-specific lipid-transfer protein 4.3 | 
| TraesCS3B01G063100 | / | / | −3.290 | −2.240 | −3.665 | −2.777 | Non-specific lipid-transfer protein 4.3 | 
| TraesCS3B01G063000 | / | / | −2.874 | / | −3.378 | −2.383 | Non-specific lipid-transfer protein 4.3 | 
| TraesCSU01G253500 | −2.544 | −3.492 | −4.653 | −3.085 | −3.277 | −3.503 | Non-specific lipid-transfer protein 4.1 | 
| TraesCSU01G237900 | −2.469 | −3.284 | −4.612 | −3.033 | −3.186 | −3.472 | Non-specific lipid-transfer protein 4.1 | 
| TraesCSU01G154200 | −2.469 | −3.291 | −4.524 | −2.990 | −3.226 | −3.472 | Non-specific lipid-transfer protein 4.1 | 
| TraesCSU01G147200 | −3.126 | −4.274 | −5.409 | −3.635 | −3.963 | −3.991 | Non-specific lipid-transfer protein 4.1 | 
| TraesCSU01G056900 | / | / | / | / | / | −3.454 | Non-specific lipid-transfer protein 4.1 | 
| TraesCSU01G056700 | / | / | −2.123 | / | / | / | Non-specific lipid-transfer protein 4.1 | 
| TraesCS3B01G064000 | −2.457 | −3.605 | −3.873 | −2.220 | −2.893 | −2.491 | Non-specific lipid-transfer protein 4.1 | 
| TraesCS3B01G063600 | / | −2.791 | −3.285 | / | −2.356 | −2.436 | Non-specific lipid-transfer protein 4.1 | 
| TraesCS3B01G063200 | / | / | −4.401 | −2.399 | −2.962 | −2.729 | Non-specific lipid-transfer protein 4.1 | 
| TraesCS2A01G477700 | / | / | −5.115 | / | / | / | Non-specific lipid-transfer protein | 
| TraesCS5A01G433100 | / | 9.147 | 5.006 | 4.132 | / | 4.231 | Non-specific lipid transfer protein GPI-anchored 2 | 
| TraesCS3D01G331400 | / | / | −2.567 | / | / | / | Non-specific lipid transfer protein GPI-anchored 2 | 
© 2020 by the authors. Licensee MDPI, Basel, Switzerland. This article is an open access article distributed under the terms and conditions of the Creative Commons Attribution (CC BY) license (http://creativecommons.org/licenses/by/4.0/).
Share and Cite
Hu, Y.; Zhong, S.; Zhang, M.; Liang, Y.; Gong, G.; Chang, X.; Tan, F.; Yang, H.; Qiu, X.; Luo, L.; et al. Potential Role of Photosynthesis in the Regulation of Reactive Oxygen Species and Defence Responses to Blumeria graminis f. sp. tritici in Wheat. Int. J. Mol. Sci. 2020, 21, 5767. https://doi.org/10.3390/ijms21165767
Hu Y, Zhong S, Zhang M, Liang Y, Gong G, Chang X, Tan F, Yang H, Qiu X, Luo L, et al. Potential Role of Photosynthesis in the Regulation of Reactive Oxygen Species and Defence Responses to Blumeria graminis f. sp. tritici in Wheat. International Journal of Molecular Sciences. 2020; 21(16):5767. https://doi.org/10.3390/ijms21165767
Chicago/Turabian StyleHu, Yuting, Shengfu Zhong, Min Zhang, Yinping Liang, Guoshu Gong, Xiaoli Chang, Feiquan Tan, Huai Yang, Xiaoyan Qiu, Liya Luo, and et al. 2020. "Potential Role of Photosynthesis in the Regulation of Reactive Oxygen Species and Defence Responses to Blumeria graminis f. sp. tritici in Wheat" International Journal of Molecular Sciences 21, no. 16: 5767. https://doi.org/10.3390/ijms21165767
APA StyleHu, Y., Zhong, S., Zhang, M., Liang, Y., Gong, G., Chang, X., Tan, F., Yang, H., Qiu, X., Luo, L., & Luo, P. (2020). Potential Role of Photosynthesis in the Regulation of Reactive Oxygen Species and Defence Responses to Blumeria graminis f. sp. tritici in Wheat. International Journal of Molecular Sciences, 21(16), 5767. https://doi.org/10.3390/ijms21165767
 
        

 
       