Nano-ZnO-Induced Drought Tolerance Is Associated with Melatonin Synthesis and Metabolism in Maize
Abstract
1. Introduction
2. Results
2.1. Characteristics of Nano-ZnO
2.2. Chloroplast and Mitochondria of Maize Plants
2.3. Soluble Sugar, Proline, and Soluble Protein
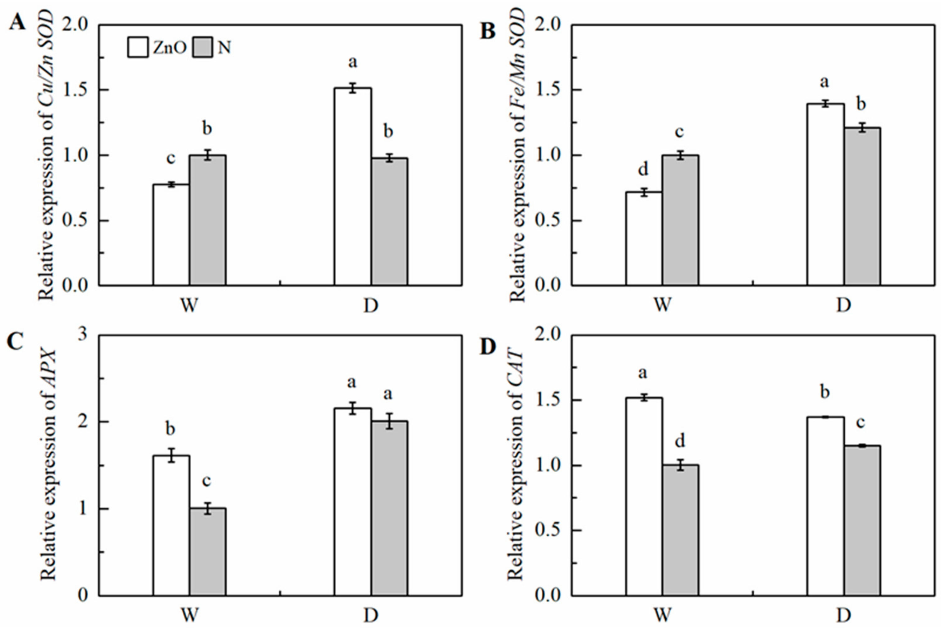
2.4. Antioxidant Enzyme Activity
2.5. Melatonin Metabolism
2.6. Gene Expression
2.7. Correlations
3. Discussion
4. Materials and Methods
4.1. Nanoparticles
4.2. Experimental Setup
4.3. Physicochemical Characterization of Nano-ZnO
4.4. Transmission Electron Microscope (TEM) Analysis
4.5. Soluble Sugar, Proline, and Soluble Protein Concentrations
4.6. MDA and H2O2 Concentrations and Antioxidant Enzyme Activity
4.7. High-Performance Liquid Chromatography (HPLC) Analysis of Tryptophan, Tryptamine, and Serotonin
4.8. High-Performance Liquid Chromatography (HPLC) Analysis of Melatonin
4.9. Quantification of N-Acetylserotonin (NAS), 2-Hydroxymelatonin (2-HM), and N1-Acetyl-N2-Formyl-5-Methoxyknuramine (AFMK)
4.10. RNA Extraction and Quantitative Real-Time Polymerase Chain Reactions (RT-qPCR)
4.11. Data Analysis
Author Contributions
Funding
Conflicts of Interest
References
- Pornsiriwong, W.; Estavillo, G.M.; Chan, K.X.; Tee, E.E.; Ganguly, D.; Crisp, P.A.; Phua, A.Y.; Zhao, C.C.; Qiu, J.E.; Park, J.Y.; et al. A chloroplast retrograde signal, 3′-phosphoadenosine 5′-phosphate, acts as a secondary messenger in abscisic acid signaling in stomatal closure and germination. Elife 2017, 6, e23361. [Google Scholar] [CrossRef] [PubMed]
- Hu, W.; Tian, S.B.; Di, Q.; Duan, S.H.; Dai, K. Effects of exogenous calcium on mesophyll cell ultrastructure, gas exchange, and photosystem II in tobacco (Nicotiana tabacum Linn.) under drought stress. Photosynthetica 2018, 56, 1204–1211. [Google Scholar] [CrossRef]
- Xu, Z.Z.; Zhou, G.S.; Shimizu, H. Effects of soil drought with nocturnal warming on leaf stomatal traits and mesophyll cell ultrastructure of a perennial grass. Crop. Sci. 2009, 49, 1843–1851. [Google Scholar] [CrossRef]
- Lv, J.T.; Zhang, S.Z. Accumulation, speciation and uptake pathway of ZnO nanoparticles in maize. Environ. Sci-Nano. 2017, 2, 68–77. [Google Scholar] [CrossRef]
- Yang, R.L.; Du, H.W.; Lin, Z.Q.; Yang, L.L.; Zhu, H.; Zhang, H.; Tang, Z.K.; Gui, X.C. ZnO nanoparticles filled tetrapod-shaped carbon shell for lithium-sulfur batteries. Carbon 2019, 141, 258–265. [Google Scholar] [CrossRef]
- Kwak, J.I.; An, Y.J. The current state of the art in research on engineered nanomaterials and terrestrial environments: Different-scale approaches. Environ. Res. 2016, 151, 368–382. [Google Scholar] [CrossRef]
- Prasad, T.N.; Sudhakar, P.; Sreenivasulu, Y.; Latha, P.; Munaswamy, V.; Reddy, K.R.; Sreeprasad, T.S.; Pradeep, T. Effect of nanoscale zinc oxide particles on the germination, growth and yield of peanut. J. Plant. Nutr. 2012, 35, 905–927. [Google Scholar] [CrossRef]
- Mahajan, P.; Dhoke, S.; Khanna, A. Effect of nano-ZnO particle suspension on growth of mung (Vigna radiata) and gram (Cicer arietinum) seedlings using plant agar method. J. Nanotech. 2011, 2011, 696535. [Google Scholar] [CrossRef]
- Singh, A.; Singh, N.; Hussain, I.; Singh, H.; Yadav, V.; Singh, S. Green synthesis of nano zinc oxide and evaluation of its impact on germination and metabolic activity of Solanum lycopersicum. J. Biotechnol. 2016, 233, 84–94. [Google Scholar] [CrossRef]
- Zaimenko, N.V.; Didyk, N.P.; Dzyuba, O.I.; Zakrasov, O.V.; Rositska, N.V.; Viter, A.V. Enhancement of drought resistance in wheat and corn by nanoparticles of natural mineral analcite. Ecologia Balkanica 2014, 6, 1–10. [Google Scholar]
- Almutairi, Z.M. Effect of nano-silicon application on the expression of salt tolerance genes in germinating tomato (Solanum lycopersicum L.) seedlings under salt stress. Plant. Omics 2016, 9, 106–114. [Google Scholar]
- Hawrylak-Nowak, B.; Matraszek, R.; Szymańska, M. Selenium modifies the effect of short-term chilling stress on cucumber plants. Biol. Trace Elem. Res. 2010, 138, 307–315. [Google Scholar] [CrossRef] [PubMed]
- Sturikova, H.; Krystofova, O.; Huska, D.; Adam, V. Zinc, zinc nanoparticles and plants. J. Hazard. Mater. 2018, 349, 101–110. [Google Scholar] [CrossRef] [PubMed]
- Hao, Y.; Fang, P.H.; Ma, C.X.; White, J.C.; Xiang, Z.Q.; Wang, H.T.; Zhang, Z.; Rui, Y.K.; Xing, B.S. Engineered nanomaterials inhibit podosphaera pannosa infection on rose leaves by regulating phytohormones. Environ. Res. 2019, 170, 1–6. [Google Scholar] [CrossRef] [PubMed]
- Rui, M.M.; Ma, C.X.; Hao, Y.; Guo, J.; Rui, Y.K.; Tang, X.L.; Zhao, Q.; Fan, X.; Zhang, Z.T.; Hou, T.Q.; et al. Iron oxide nanoparticles as a potential iron fertilizer for peanut (Arachis hypogaea). Front. Plant. 2016, 7, 815. [Google Scholar] [CrossRef] [PubMed]
- Hao, Y.; Yuan, W.; Ma, C.X.; White, J.C.; Zhang, Z.T.; Adeel, M.; Zhou, T.; Rui, Y.K.; Xing, B.S. Engineered nanomaterials suppress turnip mosaic virus infection in tobacco (Nicotiana benthamiana). Environ. Sci-Nano. 2018, 5, 1685–1693. [Google Scholar] [CrossRef]
- Kasote, D.M.; Lee, J.H.; Jayaprakasha, G.K.; Patil, B.S. Seed priming with iron oxide nanoparticles modulate antioxidant potential and defense-linked hormones in watermelon seedlings. ACS Sustain. Chem. Eng. 2019, 7, 5142–5151. [Google Scholar] [CrossRef]
- Zhang, H.M.; Zhang, Y.Q. Melatonin: A well-documented antioxidant with conditional pro-oxidant actions. J. Pineal Res. 2014, 57, 131–146. [Google Scholar] [CrossRef]
- Tan, D.X.; Manchester, L.C.; Liu, X.; Rosales-Corral, S.A.; Acuna-Castroviejo, D.; Reiter, R.J. Mitochondria and chloroplasts as the original sites of melatonin synthesis: A hypothesis related to melatonin’s primary function and evolution in eukaryotes. J. Pineal Res. 2013, 54, 127–138. [Google Scholar] [CrossRef]
- Tan, D.X.; Reiter, R.J. Mitochondria: The birth place, battle ground and the site of melatonin metabolism in cells. Melatonin Res. 2019, 2, 44–66. [Google Scholar] [CrossRef]
- Zheng, X.; Tan, D.X.; Allan, A.C.; Zuo, B.; Zhao, Y.; Reiter, R.J.; Wang, L.; Wang, Z.; Guo, Y.; Zhou, J.Z.; et al. Chloroplastic biosynthesis of melatonin and its involvement in protection of plants from salt stress. Sci. Rep. 2017, 7, 41236. [Google Scholar] [CrossRef] [PubMed]
- Tan, D.X.; Hardeland, R.; Back, K.; Manchester, L.C.; Alatorre-Jimenez, M.A.; Reiter, R.J. On the significance of an alternate pathway of melatonin synthesis via 5-methoxytryptamine: Comparisons across species. J. Pineal Res. 2016, 61, 27–40. [Google Scholar] [CrossRef] [PubMed]
- Kobylinska, A.; Borek, S.; Posmyk, M.M. Melatonin redirects carbohydrates metabolism during sugar starvation in plant cells. J. Pineal Res. 2018, 64, e12466. [Google Scholar] [CrossRef] [PubMed]
- Byeon, Y.; Back, K. Low melatonin production by suppression of either serotonin N-acetyltransferase or N-acetylserotonin methyltransferase in rice causes seedling growth retardation with yield penalty, abiotic stress susceptibility, and enhanced coleoptile growth under anoxic conditions. J. Pineal Res. 2016, 60, 348–359. [Google Scholar]
- Tan, D.X.; Manchester, L.C.; Esteban-Zubero, E.; Zhou, Z.; Reiter, R.J. Melatonin as a potent and inducible endogenous antioxidant: Synthesis and metabolism. Molecules 2015, 20, 18886–18906. [Google Scholar] [CrossRef]
- Yasmin, H.; Nosheen, A.; Naz, R.; Bano, A.; Keyani, R. L-tryptophan-assisted PGPR-mediated induction of drought tolerance in maize (Zea mays L.). J. Plant. Interact. 2017, 12, 567–578. [Google Scholar] [CrossRef]
- Kang, K.; Kim, Y.S.; Park, S.; Back, K. Senescence-induced serotonin biosynthesis and its role in delaying senescence in rice leaves. Plant. Physiol. 2009, 150, 1380–1393. [Google Scholar] [CrossRef]
- Lee, H.J.; Back, K. 2-hydroxymelatonin promotes the resistance of rice plant to multiple simultaneous abiotic stresses (combined cold and drought). J. Pineal Res. 2016, 61, 303–316. [Google Scholar] [CrossRef]
- Hafeez, B.; Khanif, Y.M.; Saleem, M. Role of zinc in plant nutrition-a review. Am. J. Exp. Agric. 2013, 3, 374–391. [Google Scholar] [CrossRef]
- Subbaiah, L.V.; Prasad, T.; Krishna, T.G.; Sudhakar, P.; Reddy, B.R.; Pradeep, T. Novel effects of nanoparticulate delivery of zinc on growth, productivity, and zinc biofortification in maize (Zea mays L.). J. Agric. Food Chem. 2016, 64, 3778–3788. [Google Scholar] [CrossRef]
- Barreto, P.; Yassitepe, J.; Wilson, Z.A.; Arruda, P. Mitochondrial uncoupling protein 1 overexpression increases yield in Nicotiana tabacum under drought stress by improving source and sink metabolism. Front. Plant. Sci. 2017, 8, 1836. [Google Scholar] [CrossRef] [PubMed]
- Atkin, O.K.; Macherel, D. The crucial role of plant mitochondria in orchestrating drought tolerance. Ann. Bot. 2009, 103, 581–597. [Google Scholar] [CrossRef] [PubMed]
- Zhang, F.J.; Zhang, K.K.; Du, C.Z.; Li, J.; Xing, Y.X.; Yang, L.T.; Li, Y.R. Effect of drought stress on anatomical structure and chloroplast ultrastructure in leaves of sugarcane. Sugar Tech. 2015, 17, 41–48. [Google Scholar] [CrossRef]
- Ruotolo, R.; Maestri, E.; Pagano, L.; Marmiroli, M.; White, J.C.; Marmiroli, N. Plant response to metal-containing engineered nanomaterials: An omics-based perspective. Environ. Sci. Technol. 2018, 52, 2451–2467. [Google Scholar] [CrossRef] [PubMed]
- Pagano, L.; Maestri, E.; Caldara, M.; White, J.C.; Marmiroli, N.; Marmiroli, M. Engineered nanomaterial activity at the organelle level: Impacts on the chloroplasts and mitochondria. ACS Sustain. Chem. Eng. 2018, 6, 12562–12579. [Google Scholar] [CrossRef]
- Giraldo, J.P.; Landry, M.P.; Faltermeier, S.M.; McNicholas, T.P.; Iverson, N.M.; Boghossian, A.A.; Reuel, N.F.; Hilmer, A.J.; Sen, F.; Brew, J.A.; et al. Plant nanobionics approach to augment photosynthesis and biochemical sensing. Nat. Mater. 2014, 13, 400–408. [Google Scholar] [CrossRef]
- Sharif, R.; Xie, C.; Zhang, H.; Arnao, M.; Ali, M.; Ali, Q.; Muhammad, I.; Shalmani, A.; Nawaz, M.A.; Chen, P.; et al. Melatonin and its effects on plant systems. Molecules 2018, 23, 2352. [Google Scholar] [CrossRef]
- Shao, R.X.; Xin, L.F.; Guo, J.M.; Zheng, H.F.; Mao, J.; Han, X.P.; Jia, L.; Jia, S.J.; Du, C.G.; Song, R.; et al. Salicylic acid-induced photosynthetic adaptability of Zea mays L. to polyethylene glycol-simulated water deficit is associated with nitric oxide signaling. Photosyhntetica 2018, 56, 1370–1377. [Google Scholar] [CrossRef]
- Soliman, A.S.; El-feky, S.A.; Darwish, E. Alleviation of salt stress on Moringa peregrina using foliar application of nanofertilizers. J. Hortic. Forest. 2015, 7, 36–47. [Google Scholar]
- Vebruggen, N.; Hermans, C. Proline accumulation in plants: A review. Amino Acids. 2008, 35, 753–759. [Google Scholar] [CrossRef]
- Sun, H.J.; Luo, M.L.; Zhou, Q.; Sun, Y.Y.; Ge, W.Y.; Wei, B.D.; Cheng, S.C.; Ji, S.J. Exogenous glycine betaine treatment alleviates low temperature-inducedpericarp browning of ‘Nanguo’ pears by regulating antioxidant enzymes and proline metabolism. Food Chem. 2020, 306, 125626. [Google Scholar] [CrossRef] [PubMed]
- Shan, C.; Wang, Y. Exogenous salicylic acid-induced nitric oxide regulates leaf water condition through root osmoregulation of maize seedlings under drought stress. Braz. J. Bot. 2017, 40, 591–597. [Google Scholar] [CrossRef]
- Raliya, R.; Tarafdar, J.C. ZnO nanoparticle biosynthesis and its effect on phosphorous-mobilizing enzyme secretion and gum contents in clusterbean (Cyamopsis tetragonoloba L.). Agric. Res. 2013, 2, 48–57. [Google Scholar] [CrossRef]
- Khan, Z.S.; Rizwan, M.; Hafeez, M.; Ali, S.; Javed, M.R.; Adrees, M. The accumulation of cadmium in wheat (Triticum aestivum) as influenced by zinc oxide nanoparticles and soil moisture conditions. Environ. Sci. Pollut. R. 2019, 26, 19859–19870. [Google Scholar] [CrossRef]
- Khan, M.N.; Mobin, M.; Abbas, Z.K.; AlMutairi, K.A.; Siddiqui, Z.H. Role of nanomaterials in plants under challenging environments. Plant. Physiol. Biochy. 2017, 110, 194–209. [Google Scholar] [CrossRef]
- Anjum, S.A.; Wang, L.; Farooq, M.; Xue, L.; Ali, S. Fulvic acid application improves the maize performance under well-watered and drought conditions. J. Agron. Crop. Sci. 2011, 197, 409–417. [Google Scholar] [CrossRef]
- Antoniou, C.; Chatzimichail, G.; Xenofontos, R.; Pavlou, J.J.; Panagiotou, E.; Christou, A.; Fotopoulos, V. Melatonin systemically ameliorates drought stress-induced damage in Medicago sativa plants by modulating nitro-oxidative homeostasis and proline metabolism. J. Pineal Res. 2017, 62, e12401. [Google Scholar] [CrossRef]
- Liang, B.; Ma, C.; Zhang, Z.; Wei, Z.; Gao, T.; Zhao, Q.; Ma, F.W.; Li, C. Long-term exogenous application of melatonin improves nutrient uptake fluxes in apple plants under moderate drought stress. Environ. Exp. Bot. 2018, 155, 650–661. [Google Scholar] [CrossRef]
- Yu, Y.; Lv, Y.; Shi, Y.N.; Li, T.; Chen, Y.C.; Zhao, D.K.; Zhao, Z.W. The role of phyto-melatonin and related metabolites in response to stress. Molecules 2018, 23, 1887. [Google Scholar] [CrossRef]
- Jamil, M.; Ahamd, M.; Anwar, F.; Zahir, Z.A.; Kharal, M.A.; Nazli, F. Inducing drought tolerance in wheat through combined use of L-tryptophan and pseudomonas fluorescens. Pak. J. Agr. Sci. 2018, 55, 331–337. [Google Scholar]
- Awan, I.U.; Baloch, M.S.; Sadozai, N.S.; Sulemani, M.Z. Stimulatory effect of GA3 and IAA on ripening process, kernel development and quality of rice. Pak. J. Biol. Sci. 1999, 2, 410–412. [Google Scholar]
- Ueno, M.; Kihara, J.; Arase, S. Tryptamine and sakuranetin accumulation in sekiguchi lesions associated with the light-enhanced resistance of the lesion mimic mutant of rice to magnaporthe oryzae. J. Gen. Plant. Pathol. 2014, 81, 1–4. [Google Scholar] [CrossRef]
- Zhang, F.; Wang, P.; Zou, Y.N.; Wu, Q.S.; Kuča, K. Effects of mycorrhizal fungi on root-hair growth and hormone levels of taproot and lateral roots in trifoliate orange under drought stress. Arch. Agron. Soil Sci. 2019, 65, 1316–1330. [Google Scholar] [CrossRef]
- Pickles, V.; Sutcliffe, J. The effects of 5-hydroxytryptamine, indole-3-acetic acid, and some other substances, on pigment effusion, sodium uptake, and potassium efflux, by slices of red beetroot in vitro. BBA. 1955, 17, 244–251. [Google Scholar] [CrossRef]
- Fleta-Soriano, E.; Diaz, L.; Bonet, E.; Munne-Bosch, S. Melatonin may exert a protective role against drought stress in maize. J. Agron. Crop. Sci. 2017, 203, 286–294. [Google Scholar] [CrossRef]
- Alvarez-Diduk, R.; Galano, A.; Tan, D.X.; Reiter, R.J. N-Acetylserotonin and 6-hydroxymelatonin against oxidative stress: Implications for the overall protection exerted by melatonin. J. Phys. Chem. B. 2015, 119, 8535–8543. [Google Scholar] [CrossRef] [PubMed]
- Galano, A.; Reiter, R.J. Melatonin and its metabolites vs oxidative stress: From individual actions to collective protection. J. Pineal Res. 2018, 65, e12514. [Google Scholar] [CrossRef]
- Byeon, Y.; Tan, D.X.; Reiter, R.J.; Back, K. Predominance of 2-hydroxymelatonin over melatonin in plants. J. Pineal Res. 2015, 59, 448–454. [Google Scholar] [CrossRef]
- Lee, H.Y.; Back, K. Mitogen-activated protein kinase pathways are required for melatonin-mediated defense responses in plants. J. Pineal Res. 2016, 60, 327–335. [Google Scholar] [CrossRef]
- Zhao, D.; Wang, R.; Liu, D.; Wu, Y.; Sun, J.; Tao, J. Melatonin and expression of tryptophan decarboxylase gene (TDC) in herbaceous peony (Paeonia lactiflora Pall.) flowers. Molecules 2018, 23, 1164. [Google Scholar] [CrossRef]
- Lee, H.Y.; Byeon, Y.; Tan, D.X.; Reiter, R.J.; Back, K. Arabidopsis serotonin N-acetyltransferase knockout mutant plants exhibit decreased melatonin and salicylic acid levels resulting in susceptibility to an avirulent pathogen. J. Pineal Res. 2015, 58, 291–299. [Google Scholar] [CrossRef] [PubMed]
- Byeon, Y.; Lee, H.Y.; Hwang, O.J.; Lee, H.J.; Lee, K.; Back, K. Coordinated regulation of melatonin synthesis and degradation genes in rice leaves in response to cadmium treatment. J. Pineal Res. 2015, 58, 470–478. [Google Scholar] [CrossRef] [PubMed]
- Yang, W.J.; Du, Y.T.; Zhou, Y.B.; Chen, J.; Xu, Z.S.; Ma, Y.Z.; Chen, M.; Min, D.H. Overexpression of TaCOMT improves melatonin production and enhances drought tolerance in transgenic Arabidopsis. Int. J. Mol. Sci. 2019, 20, 652. [Google Scholar] [CrossRef] [PubMed]
- Li, L.; Osakabe, Y.; Joshi, C.P.; Chiang, V.L. Secondary xylem-specific expression of caffeoyl-coenzyme a 3-O-methyltransferase plays an important role in the methylation pathway associated with lignin biosynthesis in loblolly pine. Plant. Mol. Biol. 1999, 40, 555–565. [Google Scholar] [CrossRef]
- Wang, L.; Zhao, Y.; Reiter, R.J.; He, C.; Liu, G.; Lei, Q.; Zuo, B.X.; Zheng, X.D.; Li, Q.T.; Kong, J. Changes in melatonin levels in transgenic ‘Micro-Tom’ tomato overexpressing ovine AANAT and ovine HIOMT genes. J. Pineal Res. 2014, 56, 134–142. [Google Scholar] [CrossRef]
- Zuo, B.X.; Zheng, X.D.; He, P.L.; Wang, L.; Lei, Q.; Feng, C.; Zhou, J.Z.; Li, Q.T.; Han, Z.H.; Kong, J. Overexpression of MzASMT improves melatonin production and enhances drought tolerance in transgenic Arabidopsis thaliana plants. J. Pineal Res. 2014, 57, 408–417. [Google Scholar] [CrossRef]
- Fang, X.; Jiang, L.Y.; Gong, Y.; Li, J.; Liu, L.L.; Cao, Y. The presence of oleate stabilized ZnO nanoparticles (NPs) and reduced the toxicity of aged NPs to Caco-2 and HepG2 cells. Chem-Biol. Interact. 2017, 278, 40–47. [Google Scholar] [CrossRef]
- Li, X.; Hao, C.; Zhong, J.; Liu, F.; Cai, J.; Wang, X.; Zhou, Q.; Dai, T.B.; Cao, W.X.; Jiang, D. Mechano-stimulated modifications in the chloroplast antioxidant system and proteome changes are associated with cold response in wheat. BMC Plant. Biol. 2015, 15, 219. [Google Scholar] [CrossRef]
- Gao, J. Experimental Guidance for Plant Physiology; China Higher Education Press: Beijing, China, 2006. [Google Scholar]
- Zheng, C.F.; Jiang, D.; Liu, F.L.; Dai, T.B.; Jing, Q.; Cao, W.X. Effects of salt and waterlogging stresses and their combination on leaf photosynthesis, chloroplast ATP synthesis, and antioxidant capacity in wheat. Plant. Sci. 2009, 176, 575–582. [Google Scholar] [CrossRef]
- Park, S.; Lee, K.; Kim, Y.S.; Back, K. Tryptamine 5-hydroxylase-deficient Sekiguchi rice induces synthesis of 5-hydroxytryptophan and N-acetyltryptamine but decreases melatonin biosynthesis during senescence process of detached leaves. J. Pineal Res. 2012, 52, 211–216. [Google Scholar] [CrossRef]









| Nano-ZnO | Water Regime | Nano-ZnO × Water Regime | |
|---|---|---|---|
| Soluble sugar | * | ns | ns |
| Proline | ** | ** | ** |
| Soluble protein | ** | ** | ns |
| MDA | ns | * | ns |
| SOD | ** | ** | ns |
| APX | * | ** | ** |
| CAT | ** | ns | ns |
| H2O2 | ** | ** | ns |
| Tryptophan | * | ns | ns |
| Tryptamine | ** | ** | * |
| Serotonin | * | ns | ns |
| NAS | ns | ns | ns |
| Melatonin | * | ns | ns |
| 2-HM | ns | ns | ** |
| AFMK | ns | ns | * |
| Nano-ZnO | Water Regime | Nano-ZnO × Water Regime | |
|---|---|---|---|
| Cu/Zn SOD | ** | ** | ** |
| Fe/Mn SOD | ns | ** | ** |
| CAT | ** | ns | ** |
| APX | ** | ** | ns |
| TDC | * | ** | ** |
| ASMT | ns | ns | ** |
| COMT | * | ** | ** |
| SNAT | ** | * | ns |
| Soluble Sugar | Proline | Soluble Protein | MDA | APX | SOD | CAT | H2O2 | Try | Tryptamine | Serotonin | NAS | MT | |
|---|---|---|---|---|---|---|---|---|---|---|---|---|---|
| Soluble sugar | 1 | 0.22 | 0.472 | 0.297 | 0.476 | 0.667* | 0.54 | −0.199 | 0.57 | −0.075 | 0.671 * | 0.071 | 0.409 |
| Proline | 1 | −0.443 | 0.371 | 0.973** | 0.707* | 0.441 | 0.560 | 0.458 | −0.831 ** | −0.094 | 0.734 * | 0.037 | |
| Soluble protein | 1 | −0.544 | −0.299 | 0.172 | 0.44 | −0.917 ** | 0.469 | 0.752 ** | 0.600 * | −0.239 | 0.519 | ||
| MDA | 1 | 0.476 | 0.315 | −0.093 | 0.700 * | −0.077 | −0.739 ** | −0.276 | 0.052 | −0.284 | |||
| APX | 1 | 0.828 ** | 0.426 | 0.543 | 0.348 | −0.787 ** | 0.245 | 0.399 | 0.255 | ||||
| SOD | 1 | 0.673* | 0.156 | 0.539 | −0.422 | 0.501 | 0.218 | 0.492 | |||||
| CAT | 1 | −0.240 | 0.659* | −0.025 | 0.339 | 0.431 | 0.290 | ||||||
| H2O2 | 1 | −0.311 | −0.857** | −0.403 | 0.260 | −0.451 | |||||||
| Try | 1 | −0.06 | 0.43 | 0.204 | 0.55 | ||||||||
| Tryptamine | 1 | 0.28 | −0.407 | 0.137 | |||||||||
| Serotonin | 1 | −0.262 | 0.627 * | ||||||||||
| NAS | 1 | −0.328 | |||||||||||
| MT | 1 |
| Primers | Sequences |
|---|---|
| ZmActin-F | 5′-GCCGATCGTATGAGCAAGGA-3′ |
| ZmActin-R | 5′-CCACCGATCCAGACACTGTA-3′ |
| Cu/Zn SOD-F | 5′-GTGCATATCGACAGGACCAC-3′ |
| Cu/Zn SOD-R | 5′-CAATGGTTGCCTCGGCTATG-3′ |
| Fe/Mn SOD-F | 5′-GGCGGTCATGTGAACCATTCAATC-3′ |
| Fe/Mn SOD-R | 5′-CGCCTTCTGCATTCATCCTC-3′ |
| APX-F | 5′-GAGCGATCAGGACATTGTTG-3′ |
| APX-R | 5′-CTTTGTCACTTGGGAGCTGAAG-3′ |
| CAT-F | 5′-CAGATTGCTTTCTGCCCAGC-3′ |
| CAT-R | 5′-GCATCAGATAGTTTGGACCAAGGC-3′ |
| TDC-F | 5′-CATGCTCGTCACGCTTGTCTC-3′ |
| TDC-R | 5′-GCCTTGAAGAAGGTGGAGTG-3′ |
| ASMT-F | 5′-CTGGACCTCTCACACGTCGTC-3′ |
| ASMT-R | 5′-CCCAGTCATGCAGAATCCACTTG-3′ |
| COMT-F | 5′-GATCCACTTCATGAGGATGGC-3′ |
| COMT-R | 5′-CCCAGTCATGCAGAATCCACTTG-3′ |
| SNAT-F | 5′-CATCGTGCTCTACGCCGAGAC-3′ |
| SNAT-R | 5′-GGACTTGCGGTAGTATGCCATC-3′ |
© 2020 by the authors. Licensee MDPI, Basel, Switzerland. This article is an open access article distributed under the terms and conditions of the Creative Commons Attribution (CC BY) license (http://creativecommons.org/licenses/by/4.0/).
Share and Cite
Sun, L.; Song, F.; Guo, J.; Zhu, X.; Liu, S.; Liu, F.; Li, X. Nano-ZnO-Induced Drought Tolerance Is Associated with Melatonin Synthesis and Metabolism in Maize. Int. J. Mol. Sci. 2020, 21, 782. https://doi.org/10.3390/ijms21030782
Sun L, Song F, Guo J, Zhu X, Liu S, Liu F, Li X. Nano-ZnO-Induced Drought Tolerance Is Associated with Melatonin Synthesis and Metabolism in Maize. International Journal of Molecular Sciences. 2020; 21(3):782. https://doi.org/10.3390/ijms21030782
Chicago/Turabian StyleSun, Luying, Fengbin Song, Junhong Guo, Xiancan Zhu, Shengqun Liu, Fulai Liu, and Xiangnan Li. 2020. "Nano-ZnO-Induced Drought Tolerance Is Associated with Melatonin Synthesis and Metabolism in Maize" International Journal of Molecular Sciences 21, no. 3: 782. https://doi.org/10.3390/ijms21030782
APA StyleSun, L., Song, F., Guo, J., Zhu, X., Liu, S., Liu, F., & Li, X. (2020). Nano-ZnO-Induced Drought Tolerance Is Associated with Melatonin Synthesis and Metabolism in Maize. International Journal of Molecular Sciences, 21(3), 782. https://doi.org/10.3390/ijms21030782

