Synthesis of Oxidized 3β,3′β-Disteryl Ethers and Search after High-Temperature Treatment of Sterol-Rich Samples
Abstract
:1. Introduction
2. Results
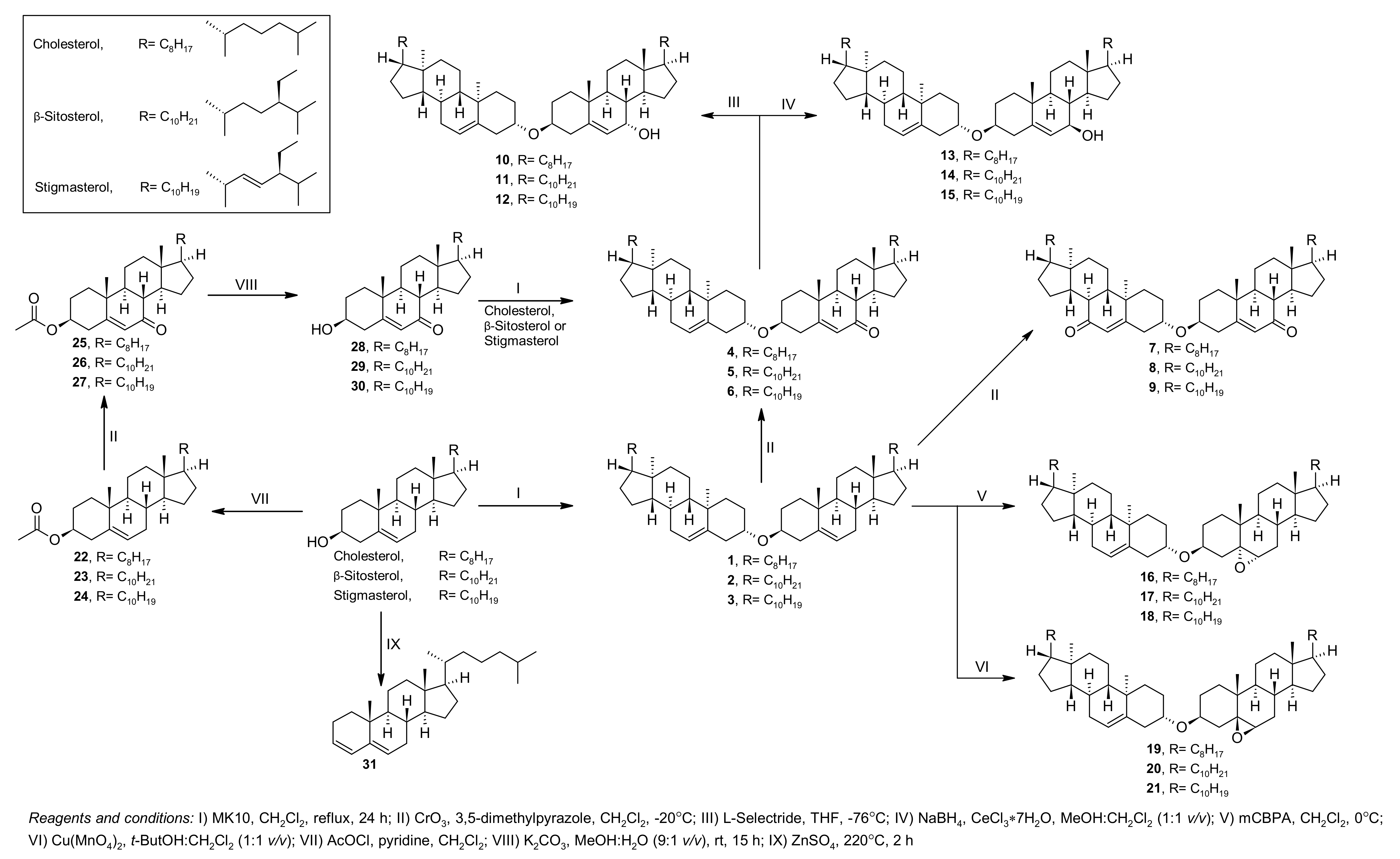
2.1. Synthesis of the Sterol Derivatives
2.2. Metal Content in MK10 Catalyst and in Chosen Biological Samples
2.3. Validation of LC-CAD and LC-MS Methods
2.4. Analysis of High-Temperature Treatment Samples
3. Discussion
3.1. Chromatography Methods
3.2. Formation of 3β,3′β-Disteryl Ethers
4. Materials and Methods
4.1. Materials
4.2. Chemical Synthesis
4.3. Standard and Sample Preparation
4.3.1. Sample Preparation of Cholesterol with Inorganic Salts
4.3.2. Sample Preparation of Biological Origin Samples
4.3.3. Sample Preparation for NMR Analysis
4.3.4. Sample Preparation for Inductively Coupled Plasma Mass Spectrometry (ICP-MS) and Atomic Absorption Spectrometry (AAS) Analysis
4.4. Chromatographic Methods
4.4.1. LC-CAD Method
4.4.2. LC-MS Method for Oxidized 3β,3′β-Disteryl Ethers
4.4.3. LC-QTOF-MS Methods
4.4.4. ICP-MS Method
4.4.5. AAS Method
4.4.6. NMR Spectroscopy
5. Conclusions
Supplementary Materials
Author Contributions
Funding
Institutional Review Board Statement
Informed Consent Statement
Data Availability Statement
Acknowledgments
Conflicts of Interest
References
- Zmysłowski, A.; Szterk, A. Current Knowledge on the Mechanism of Atherosclerosis and Pro-Atherosclerotic Properties of Oxysterols. Lipids Health Dis. 2017, 16, 188. [Google Scholar] [CrossRef] [PubMed] [Green Version]
- Zmysłowski, A.; Szterk, A. Oxysterols as a Biomarker in Diseases. Clin. Chim. Acta 2019, 491, 103–113. [Google Scholar] [CrossRef] [PubMed]
- Struijs, K.; Lampi, A.-M.; Ollilainen, V.; Piironen, V. Dimer Formation during the Thermo-Oxidation of Stigmasterol. Eur. Food Res. Technol. 2010, 231, 853–863. [Google Scholar] [CrossRef]
- Zmysłowski, A.; Sitkowski, J.; Bus, K.; Ofiara, K.; Szterk, A. Synthesis and Search for 3β,3′β-Disteryl Ethers after High-Temperature Treatment of Sterol-Rich Samples. Food Chem. 2020, 329, 127132. [Google Scholar] [CrossRef] [PubMed]
- Sosińska, E.; Przybylski, R.; Aladedunye, F.; Hazendonk, P. Spectroscopic Characterisation of Dimeric Oxidation Products of Phytosterols. Food Chem. 2014, 151, 404–414. [Google Scholar] [CrossRef] [PubMed]
- Zmysłowski, A.; Sitkowski, J.; Michalska, K.; Szterk, A. Purification of Commercially Available β-Sitosterol via Chemical Synthesis. Eur. J. Lipid Sci. Technol. 2021, 123, 2000331. [Google Scholar] [CrossRef]
- Derewiaka, D.; Molińska (née Sosińska), E. Cholesterol Transformations during Heat Treatment. Food Chem. 2015, 171, 233–240. [Google Scholar] [CrossRef] [PubMed]
- Rudzińska, M.; Przybylski, R.; Wąsowicz, E. Products Formed During Thermo-Oxidative Degradation of Phytosterols. J. Am. Oil Chem. Soc. 2009, 86, 651–662. [Google Scholar] [CrossRef]
- Obama, T.; Kato, R.; Masuda, Y.; Takahashi, K.; Aiuchi, T.; Itabe, H. Analysis of Modified Apolipoprotein B-100 Structures Formed in Oxidized Low-Density Lipoprotein Using LC-MS/MS. Proteomics 2007, 7, 2132–2141. [Google Scholar] [CrossRef] [PubMed]
- Brown, A.J.; Dean, R.T.; Jessup, W. Free and Esterified Oxysterol: Formation during Copper-Oxidation of Low Density Lipoprotein and Uptake by Macrophages. J. Lipid Res. 1996, 37, 320–335. [Google Scholar] [CrossRef]
- Samadi, A.; Isikhan, S.Y.; Tinkov, A.A.; Lay, I.; Doşa, M.D.; Skalny, A.V.; Skalnaya, M.G.; Chirumbolo, S.; Bjørklund, G. Zinc, Copper, and Oxysterol Levels in Patients with Type 1 and Type 2 Diabetes Mellitus. Clin. Nutr. 2020, 39, 1849–1856. [Google Scholar] [CrossRef] [PubMed]
- Derewiaka, D.; Zaręba, D.; Obiedziński, M.; Matuszewska-Janica, A. Volatile Markers of Cholesterol Thermal Changes. Eur. J. Lipid Sci. Technol. 2017, 119, 1600486. [Google Scholar] [CrossRef]
- Lampi, A.-M.; Kemmo, S.; Mäkelä, A.; Heikkinen, S.; Piironen, V. Distribution of Monomeric, Dimeric and Polymeric Products of Stigmasterol during Thermo-Oxidation. Eur. J. Lipid Sci. Technol. 2009, 111, 1027–1034. [Google Scholar] [CrossRef]
- Pedersen, D.S.; Rosenbohm, C. Dry Column Vacuum Chromatography. Synthesis 2001, 2001, 2431–2434. [Google Scholar] [CrossRef]
- Verleyen, T.; Forcades, M.; Verhe, R.; Dewettinck, K.; Huyghebaert, A.; Greyt, W.D. Analysis of Free and Esterified Sterols in Vegetable Oils. J. Am. Oil Chem. Soc. 2002, 79, 117–122. [Google Scholar] [CrossRef]
- Derina, K.; Korotkova, E.; Taishibekova, Y.; Salkeeva, L.; Kratochvil, B.; Barek, J. Electrochemical Nonenzymatic Sensor for Cholesterol Determination in Food. Anal. Bioanal. Chem. 2018, 410, 5085–5092. [Google Scholar] [CrossRef] [PubMed]



| Catalyst Addition(n = 3) | Time (h) | DCh | Cholestadiene | Cholesterol | 7-KCh-Ch | Di-(7-KCh) | 7α-HCh-Ch | 7β-HCh-Ch | 5,6α-EpoxyCh-Ch | 5,6β-EpoxyCh-Ch |
|---|---|---|---|---|---|---|---|---|---|---|
| (mg/g) | (%) | (µg/g) | ||||||||
| 180 °C | ||||||||||
| CuSO4 | 0.5 | 17.29 ± 0.69a | 7.61 ± 0.94a | 96.28 ± 10.84a | 0.84 ± 0.23a | <LOD | <LOD | <LOD | <LOD | <LOD |
| 1 | 47.00 ± 5.12b | 43.03 ± 8.92b | 75.52 ± 9.23a | 0.54 ± 0.08a | <LOD | <LOD | <LOD | <LOD | <LOD | |
| 2 | 80.51 ± 2.54c | 101.38 ± 4.70c | 37.57 ± 2.00b | 0.62 ± 0.13a | <LOD | <LOD | <LOD | <LOD | <LOD | |
| 3 | 103.15 ± 29.20d | 127.53 ± 8.23d | 28.67 ± 1.58c | 0.94 ± 0.32a | <LOD | <LOD | <LOD | <LOD | <LOD | |
| 4 | 102.09 ± 28.45d | 139.59 ± 3.45d | 21.28 ± 0.91d | 1.52 ± 0.52a | <LOD | <LOD | <LOD | <LOD | <LOD | |
| CaSO4 | 0.5 | <LOD | <LOD | 90.36 ± 0.39a | <LOD | <LOD | <LOD | <LOD | <LOD | <LOD |
| 1 | <LOD | <LOD | 80.87 ± 3.55b | <LOD | <LOD | <LOD | <LOD | <LOD | <LOD | |
| 2 | <LOD | <LOD | 78.65 ± 2.51b | <LOD | <LOD | <LOD | <LOD | <LOD | <LOD | |
| 3 | <LOD | <LOD | 80.26 ± 5.31b | <LOD | <LOD | <LOD | <LOD | <LOD | <LOD | |
| 4 | <LOD | <LOD | 73.85 ± 2.55c | <LOD | <LOD | <LOD | <LOD | <LOD | <LOD | |
| MgCl2 | 0.5 | <LOD | <LOD | 96.99 ± 10.51a | <LOD | <LOD | <LOD | <LOD | <LOD | <LOD |
| 1 | <LOD | <LOD | 85.06 ± 23.03a | <LOD | <LOD | <LOD | <LOD | <LOD | <LOD | |
| 2 | 1.06 ± 0.82a | 15.72 ± 5.49a | 68.37 ± 13.50a | 0.39 ± 0.14a | <LOD | 0.11 ± 0.06a | 0.08 ± 0.05a | <LOD | <LOD | |
| 3 | 2.01 ± 1.10a | 23.39 ± 7.16a | 72.19 ± 12.70a | 0.63 ± 0.17b | <LOD | 0.28 ± 0.016a | 0.15 ± 0.05a | <LOD | <LOD | |
| 4 | 1.69 ± 1.53a | 26.65 ± 8.62a | 55.26 ± 26.73a | 0.53 ± 0.16b | <LOD | 0.23 ± 0.15a | 0.10 ± 0.05a | <LOD | <LOD | |
| ZnSO4 | 0.5 | 7.93 ± 3.09a | <LOD | 60.19 ± 11.28a | 0.24 ± 0.19a | <LOD | <LOD | <LOD | <LOD | <LOD |
| 1 | 25.14 ± 5.34b | 5.95 ± 1.87a | 41.41 ± 5.46b | 0.60 ± 0.25a | <LOD | <LOD | <LOD | <LOD | <LOD | |
| 2 | 33.02 ± 6.69b | 14.55 ± 5.98b | 45.23 ± 5.19b | 0.48 ± 0.31a | <LOD | <LOD | <LOD | <LOD | <LOD | |
| 3 | 45.80 ± 14.84b | 25.28 ± 11.65c | 47.13 ± 5.66b | 0.58 ± 0.12a | <LOD | <LOD | <LOD | <LOD | <LOD | |
| 4 | 52.26 ± 9.07b | 32.10 ± 7.82c | 38.08 ± 6.13b | 0.43 ± 0.18a | <LOD | <LOD | <LOD | <LOD | <LOD | |
| AlCl3 | 0.5 | 12.91 ± 2.95a | 125.79 ± 9.64a | 48.54 ± 14.71a | 0.78 ± 0.13a | <LOD | <LOD | <LOD | <LOD | <LOD |
| 1 | 10.98 ± 1.83a | 159.67 ± 13.99a | 19.30 ± 4.15b | 0.58 ± 0.06a | <LOD | <LOD | <LOD | <LOD | <LOD | |
| 2 | 10.78 ± 2.32a | 162.07 ± 28.63a | <LOD | 0.49 ± 0.03a | <LOD | <LOD | <LOD | <LOD | <LOD | |
| 3 | 9.83 ± 2.26a | 182.29 ± 53.17a | <LOD | 0.33 ± 0.06b | <LOD | <LOD | <LOD | <LOD | <LOD | |
| 4 | 8.65 ± 3.30a | 183.78 ± 47.15a | <LOD | 0.22 ± 0.03c | <LOD | <LOD | <LOD | <LOD | <LOD | |
| 200 °C | ||||||||||
| CuSO4 | 0.5 | 59.98 ± 19.35a | 62.13 ± 15.5a | 51.07 ± 10.77a | 2.08 ± 0.32a | <LOD | <LOD | <LOD | <LOD | <LOD |
| 1 | 71.87 ± 3.86a | 124.72 ± 41.91b | 19.51 ± 13.20b | 2.38 ± 0.15a | <LOD | <LOD | <LOD | <LOD | <LOD | |
| 2 | 80.63 ± 10.03a | 187.91 ± 7.76c | 15.44 ± 12.46b | 2.32 ± 0.25a | <LOD | <LOD | <LOD | <LOD | <LOD | |
| 3 | 69.36 ± 6.38a | 212.16 ± 14.51c | <LOD | 2.37 ± 0.02a | <LOD | <LOD | <LOD | <LOD | <LOD | |
| 4 | 39.28 ± 10.95b | 129.82 ± 7.69d | <LOD | 2.89 ± 0.30b | <LOD | <LOD | <LOD | <LOD | <LOD | |
| CaSO4 | 0.5 | <LOD | 10.89 ± 3.55a | 77.75 ± 0.76a | <LOD | <LOD | <LOD | <LOD | <LOD | <LOD |
| 1 | <LOD | 19.95 ± 3.04b | 63.19 ± 6.72b | 0.15 ± 0.03a | <LOD | <LOD | <LOD | <LOD | <LOD | |
| 2 | <LOD | 5.12 ± 1.01c | 61.84 ± 14.46b | 0.18 ± 0.05a | <LOD | <LOD | <LOD | <LOD | <LOD | |
| 3 | <LOD | <LOD | 50.21 ± 6.94b | 0.02 ± 0.00b | <LOD | <LOD | <LOD | <LOD | <LOD | |
| 4 | <LOD | <LOD | 52.11 ± 15.68b | <LOD | <LOD | <LOD | <LOD | <LOD | <LOD | |
| MgCl2 | 0.5 | 1.04 ± 0.91a | 3.76 ± 1.58a | 83.53 ± 12.80a | <LOD | <LOD | <LOD | <LOD | <LOD | <LOD |
| 1 | 11.51 ± 2.13b | 35.10 ± 3.89b | 55.62 ± 9.77b | 0.73 ± 0.18a | <LOD | 0.13 ± 0.11a | 0.06 ± 0.04a | <LOD | <LOD | |
| 2 | 19.79 ± 2.83c | 34.90 ± 9.35b | 35.90 ± 5.55c | 4.62 ± 1.72b | 0.09 ± 0.05a | 0.75 ± 0.31b | 0.34 ± 0.17b | 0.09 ± 0.04a | <LOD | |
| 3 | 19.32 ± 3.12c | 54.80 ± 4.62c | 24.24 ± 2.54d | 5.65 ± 1.78b | 0.17 ± 0.05b | 1.12 ± 0.39b | 0.47 ± 0.33b | 0.17 ± 0.07a | <LOQ | |
| 4 | 28.77 ± 4.09d | 91.47 ± 5.04d | 24.42 ± 5.29d | 5.29 ± 2.05b | 0.16 ± 0.11b | 1.18 ± 0.47b | 0.56 ± 0.16b | 0.17 ± 0.04a | 0.02 ± 0.01 | |
| ZnSO4 | 0.5 | 8.97 ± 2.24a | 21.47 ± 4.42a | 65.91 ± 11.85a | 0.70 ± 0.13a | <LOD | <LOD | <LOD | <LOD | <LOD |
| 1 | 11.02 ± 1.08a | 36.76 ± 9.72a | 61.85 ± 16.70a | 0.92 ± 0.65a | <LOD | <LOD | <LOD | <LOD | <LOD | |
| 2 | 18.32 ± 3.58b | 94.69 ± 9.24b | 47.68 ± 8.93a | 1.47 ± 0.21a | <LOD | <LOD | <LOD | <LOD | <LOD | |
| 3 | 18.86 ± 2.33b | 122.82 ± 13.98c | 42.19 ± 8.29a | 1.61 ± 0.025a | <LOD | <LOD | <LOD | <LOD | <LOD | |
| 4 | 20.86 ± 6.08b | 178.80 ± 30.38d | 39.24 ± 6.14a | 0.71 ± 0.32b | <LOD | <LOD | <LOD | <LOD | <LOD | |
| AlCl3 | 0.5 | 17.49 ± 1.23a | 157.45 ± 38.68a | <LOD | 1.87 ± 0.58a | <LOD | 0.67 ± 0.05a | 0.47 ± 0.01a | 0.14 ± 0.04a | <LOD |
| 1 | 16.57 ± 2.25a | 129.16 ± 36.05a | <LOD | 1.24 ± 0.09a | <LOD | 0.32 ± 0.07b | 0.27 ± 0.06b | 0.06 ± 0.02b | <LOD | |
| 2 | 12.86 ± 2.42a | 88.53 ± 21.36a | <LOD | 0.34 ± 0.05b | <LOD | <LOD | <LOD | <LOD | <LOD | |
| 3 | 12.24 ± 2.61a | 137.43 ± 58.57a | <LOD | 0.23 ± 0.02c | <LOD | <LOD | <LOD | <LOD | <LOD | |
| 4 | 11.75 ± 3.31a | 131.82 ± 44.11a | <LOD | 0.18 ± 0.02d | <LOD | <LOD | <LOD | <LOD | <LOD | |
| 220 °C | ||||||||||
| CuSO4 | 0.5 | 51.59 ± 13.79a | 141.66 ± 31.36a | 25.41 ± 6.50 | 2.81 ± 0.21a | <LOD | <LOD | <LOD | <LOD | <LOD |
| 1 | 39.32 ± 12.67a | 180.62 ± 66.02a | <LOD | 3.07 ± 0.42a | <LOD | <LOD | <LOD | <LOD | <LOD | |
| 2 | 34.55 ± 16.65a | 150.35 ± 82.61a | <LOD | 2.53 ± 0.54a | <LOD | <LOD | <LOD | <LOD | <LOD | |
| 3 | 13.49 ± 2.81b | 146.79 ± 22.55a | <LOD | 1.14 ± 0.69b | <LOD | <LOD | <LOD | <LOD | <LOD | |
| 4 | <LOD | 115.87 ± 52.07a | <LOD | 0.34 ± 0.10c | <LOD | <LOD | <LOD | <LOD | <LOD | |
| CaSO4 | 0.5 | <LOD | <LOD | 75.08 ± 5.72a | <LOD | <LOD | <LOD | <LOD | <LOD | <LOD |
| 1 | <LOD | 11.78 ± 5.30a | 57.63 ± 2.68b | 0.13 ± 0.04a | <LOD | <LOD | <LOD | <LOD | <LOD | |
| 2 | <LOD | 27.31 ± 6.35b | 63.64 ± 9.53b | 0.04 ± 0.02b | <LOD | <LOD | <LOD | <LOD | <LOD | |
| 3 | <LOD | 57.77 ± 10.61c | 47.59 ± 11.41c | 0.06 ± 0.02b | <LOD | <LOD | <LOD | <LOD | <LOD | |
| 4 | <LOD | 68.92 ± 14.18c | 52.92 ± 3.01c | 0.04 ± 0.02b | <LOD | <LOD | <LOD | <LOD | <LOD | |
| MgCl2 | 0.5 | 13.04 ± 4.21a | 15.96 ± 11.91a | 41.77 ± 4.97a | 3.21 ± 0.97a | 0.08 ± 0.01a | 0.85 ± 0.43a | 0.37 ± 0.19a | 0.08 ± 0.01a | <LOD |
| 1 | 12.73 ± 3.86a | 83.48 ± 6.72b | 14.70 ± 9.95b | 3.98 ± 0.62a | 0.12 ± 0.04a | 1.15 ± 0.71a | 0.48 ± 0.19a | 0.08 ± 0.02a | <LOD | |
| 2 | 8.71 ± 6.49a | 187.61 ± 30.91c | <LOD | 0.80 ± 0.29b | <LOD | 0.27 ± 0.24b | 0.17 ± 0.16a | <LOD | <LOD | |
| 3 | <LOD | 33.25 ± 19.87d | <LOD | <LOD | <LOD | <LOD | <LOD | <LOD | <LOD | |
| 4 | <LOD | 26.00 ± 0.66d | <LOD | <LOD | <LOD | <LOD | <LOD | <LOD | <LOD | |
| ZnSO4 | 0.5 | 16.58 ± 4.80a | 57.24 ± 5.49a | 79.64 ± 8.13a | 0.43 ± 0.08a | <LOD | <LOD | <LOD | <LOD | <LOD |
| 1 | 19.30 ± 3.60a | 136.51 ± 27.11b | 58.31 ± 8.96b | 0.99 ± 0.026b | <LOD | <LOD | <LOD | <LOD | <LOD | |
| 2 | 23.19 ± 1.82a | 205.20 ± 35.28c | 39.10 ± 3.01c | 0.94 ± 0.37b | <LOD | <LOD | <LOD | <LOD | <LOD | |
| 3 | 22.18 ± 3.12a | 260.49 ± 10.75d | 37.45 ± 4.50c | 0.68 ± 0.011cc | <LOD | <LOD | <LOD | <LOD | <LOD | |
| 4 | 24.91 ± 5.54a | 320.79 ± 6.19e | 21.71 ± 9.44d | <LOD | <LOD | <LOD | <LOD | <LOD | <LOD | |
| AlCl3 | 0.5 | 13.52 ± 0.58a | 140.48 ± 17.22a | <LOD | 0.40 ± 0.18a | <LOD | <LOD | <LOD | <LOD | <LOD |
| 1 | 8.11 ± 0.38b | 103.80 ± 24.13a | <LOD | 0.21 ± 0.13a | <LOD | <LOD | <LOD | <LOD | <LOD | |
| 2 | 3.29 ± 0.55c | 41.30 ± 2.30b | <LOD | 0.04 ± 0.03b | <LOD | <LOD | <LOD | <LOD | <LOD | |
| 3 | 0.86 ± 0.17d | 17.82 ± 1.94c | <LOD | <LOD | <LOD | <LOD | <LOD | <LOD | <LOD | |
| 4 | <LOD | <LOD | <LOD | <LOD | <LOD | <LOD | <LOD | <LOD | <LOD | |
| Measured Content [ng/g] | ||||||
|---|---|---|---|---|---|---|
| Time (h) | 0.5 | 1 | 2 | 3 | 4 | |
| Sample | Compound | |||||
| Temperature | 180 °C | |||||
| Butter | 7-kCh-Ch | <LOD | <LOD | <LOD | 18.17 ± 0.99a | 40.53 ± 13.73b |
| Cod-liver oil | 7-kCh-Ch | <LOD | <LOD | <LOQ | <LOQ | 39.01 ± 12.05 |
| Rapeseed oil | 7-kSito-Sito | 2399.33 ± 560.95a | 105.62 ± 43.04b | 23.51 ± 15.82c | <LOD | <LOD |
| 7-kStigm-Stigm | <LOD | <LOD | <LOD | <LOD | <LOD | |
| Corn oil | 7-kSito-Sito | <LOD | <LOD | <LOD | <LOD | <LOD |
| 7-kStigm-Stigm | <LOD | <LOD | <LOD | <LOD | <LOD | |
| 200 °C | ||||||
| Butter | 7-kCh-Ch | <LOD | <LOD | <LOD | <LOQ | 23.62 ± 6.99 |
| Cod-liver oil | 7-kCh-Ch | 29.49 ± 6.30 | <LOD | <LOD | <LOD | <LOD |
| Rapeseed oil | 7-kSito-Sito | <LOD | <LOD | <LOD | <LOD | <LOD |
| 7-kStigm-Stigm | <LOD | <LOD | <LOD | <LOD | <LOD | |
| Corn oil | 7-kSito-Sito | <LOD | <LOD | <LOD | <LOD | <LOD |
| 7-kStigm-Stigm | <LOD | <LOD | <LOD | <LOD | <LOD | |
| 220 °C | ||||||
| Butter | 7-kCh-Ch | <LOD | <LOD | <LOD | <LOD | <LOD |
| Cod-liver oil | 7-kCh-Chr | <LOD | <LOD | <LOD | <LOD | <LOD |
| Rapeseed oil | 7-kSito-Sito | <LOD | <LOD | <LOD | <LOD | <LOD |
| 7-kStigm-Stigm | <LOD | <LOD | <LOD | <LOD | <LOD | |
| Corn oil | 7-kSito-Sito | <LOD | <LOD | <LOD | <LOD | <LOD |
| 7-kStigm-Stigm | <LOD | <LOD | <LOD | <LOD | <LOD | |
Publisher’s Note: MDPI stays neutral with regard to jurisdictional claims in published maps and institutional affiliations. |
© 2021 by the authors. Licensee MDPI, Basel, Switzerland. This article is an open access article distributed under the terms and conditions of the Creative Commons Attribution (CC BY) license (https://creativecommons.org/licenses/by/4.0/).
Share and Cite
Zmysłowski, A.; Sitkowski, J.; Bus, K.; Michalska, K.; Szterk, A. Synthesis of Oxidized 3β,3′β-Disteryl Ethers and Search after High-Temperature Treatment of Sterol-Rich Samples. Int. J. Mol. Sci. 2021, 22, 10421. https://doi.org/10.3390/ijms221910421
Zmysłowski A, Sitkowski J, Bus K, Michalska K, Szterk A. Synthesis of Oxidized 3β,3′β-Disteryl Ethers and Search after High-Temperature Treatment of Sterol-Rich Samples. International Journal of Molecular Sciences. 2021; 22(19):10421. https://doi.org/10.3390/ijms221910421
Chicago/Turabian StyleZmysłowski, Adam, Jerzy Sitkowski, Katarzyna Bus, Katarzyna Michalska, and Arkadiusz Szterk. 2021. "Synthesis of Oxidized 3β,3′β-Disteryl Ethers and Search after High-Temperature Treatment of Sterol-Rich Samples" International Journal of Molecular Sciences 22, no. 19: 10421. https://doi.org/10.3390/ijms221910421
APA StyleZmysłowski, A., Sitkowski, J., Bus, K., Michalska, K., & Szterk, A. (2021). Synthesis of Oxidized 3β,3′β-Disteryl Ethers and Search after High-Temperature Treatment of Sterol-Rich Samples. International Journal of Molecular Sciences, 22(19), 10421. https://doi.org/10.3390/ijms221910421

