Abstract
In the total stereo-controlled synthesis of natural prostaglandins (PGs) and their structural analogs, a vast class of compounds and drugs, known as the lactones, are encountered in a few key steps to build the final molecule, as: δ-lactones, γ-lactones, and 1,9-, 1,11-, and 1,15-macrolactones. After the synthesis of 1,9-PGF2α and 1,15-PGF2α lactones, many 1,15-lactones of E2, E3, F2, F3, A2, and A3 were found in the marine mollusc Tethys fimbria and the quest for understanding their biological role stimulated the research on their synthesis. Then 1,9-, 1,11-, and 1,15-PG lactones of the drugs were synthesized as an alternative to the corresponding esters, and the first part of the paper describes the methods used for their synthesis. The efficient Corey procedure for the synthesis of prostaglandins uses the key δ-lactone and γ-lactone intermediates with three or four stereocenters on the cyclopentane fragment to link the PG side chains. The paper describes the most used procedures for the synthesis of the milestone δ-Corey-lactones and γ-Corey-lactones, their improvements, and some new promising methods, such as interesting, new stereo-controlled and catalyzed enantioselective reactions, and methods based on the chemical/enzymatic resolution of the compounds in different steps of the sequences. The many uses of δ-lactones not only for the synthesis of γ-lactones, but also for obtaining 9β-halogen-PGs and halogen-substituted cyclopentane intermediates, as synthons for new 9β-PG analogs and future applications, are also discussed.
1. Introduction
Lactones are widely encountered in nature (in plants and animals) as cyclic esters of hydroxy-acids in various forms from γ- [1], δ- [2], to larger rings of macrocyclic esters [3,4,5]. γ-lactones are estimated to be present in nearly “10% of all-natural compounds” [1], δ-lactones appear in a lower percentage, especially as fragrant components in fruits and essential oils, while macrocyclic lactones show up in a small amount, but in numerous active compounds. Lactones are present in pheromones, macrolide antibiotics [6], and numerous naturally occurring lactones that are also extensively studied for their cytotoxic activity against cancers, and for their anti-bacterial and anti-fungal activity [7]. Though prostaglandins were found in numerous marine organisms in the 1970s and reviewed recently [8], prostaglandin lactones were discovered only in the molluscs [9] nearly 14 years after the synthesis of the first prostaglandin lactones, PGF2α-1,9-lactone 1 and PGF2α-1,15-lactone 2 (Figure 1) [10].
Figure 1.
The first synthesized prostaglandin lactones, PGF2α-1,9- and PGF2α-1,15-lactones.
The first prostaglandin lactones found in a marine nudibranch mollusc called Tethys fimbria were: PGE2-1,15-lactone 3, PGE3-1,15-lactone 4, and PGE3-1,15-lactone-11-acetate 5 [9]. Then, other prostaglandin analogs were found in the same mollusc [11,12,13,14], such as: PGF2-1,15-lactone 6, PGF3-1,15-lactone 7, PGF3-1,15-lactone-11-acetate 8, PGA2-1,15-lactone 9, and PGA3-1,15-lactone 10 (Figure 2). Their role in different organs of the mollusc in the reproduction cycle were studied and the studies provided a mechanism by which prostaglandin can be stored and released, when needed [11]. A detailed PG-lactone pathway in Tethys fimbria was presented in a review paper [15].
Figure 2.
Prostaglandin 1,15-lactones found in mollusc Tethys fimbria.
A recent review paper discusses the wide spread of prostaglandins in marine organisms [8], and it seems that, among the prostaglandin lactones, only 1,15 lactones have been found in these organisms so far. 1,9-Lactones and 1,11-Lactones have not been observed. However, they show up a lot in the synthesis of prostaglandins and their analogs. Other structures of δ-lactones and γ-lactones are used to obtain key intermediates in the sequence of prostaglandin synthesis, especially in the Corey procedure. Hence, lactones are of great interest for the researchers. Many methods for obtaining δ-lactones and γ-lactones were actually developed for and in the synthesis of these key intermediates. The big class of prostaglandins and prostaglandin drugs increased the interest of the research community for lactones for the development of new routes to obtain lactones, as well as for their subsequent applications. To our knowledge, a review of this topic was not encountered in the literature and this paper aims to fill in this gap. The paper aims to give the reader a comprehensive overview of the lactones in the field of the prostaglandins, starting from those of a natural origin, continuing with their synthesis (to gain a better understanding of their metabolic role, and to study their applications as a replacement for the C-1 esters and for the preparation of 5-trans free prostaglandin isomers), progressing to the key δ-lactone and γ-lactone intermediates in the milestone Corey strategy for obtaining all series of prostaglandins, in leukotrienes and isoprostane prostaglandin analogs, and ending with the applications of δ-lactones for getting new 9β-halogeno-prostaglandins and halogeno-intermediates (for fine organic chemistry and future research).
2. Lactones in the Synthesis of Prostaglandins and Prostaglandin Analogs
In this paper, we present the synthesis of the lactones encountered in prostaglandin and leukotriene synthesis. We include the synthesis of the milestone δ-lactones and γ-lactones used in the total stereo-controlled Corey procedure for the synthesis of prostaglandins and their analogs, and their isoprostane isomers. The chemical separation of pure enantiomers through dia-stereoisomer salts with optically pure amines or by enzymatical procedures, and also highly enantio-selective catalyzed reactions for obtaining enantiopure compounds are presented in the paper. Finally, we treat the synthesis of 9β-halo-prostaglandins and 9β-halo-cyclopentane intermediates from δ-lactones. These directions and, finally, conclusions are presented in the plan outlined below.
2.1. Synthesis of Prostaglandin Lactones
2.1.1. Internal Lactonization of an Acid with a Hydroxyl Group of a Prostaglandin by the Corey-Nicolaou Procedure
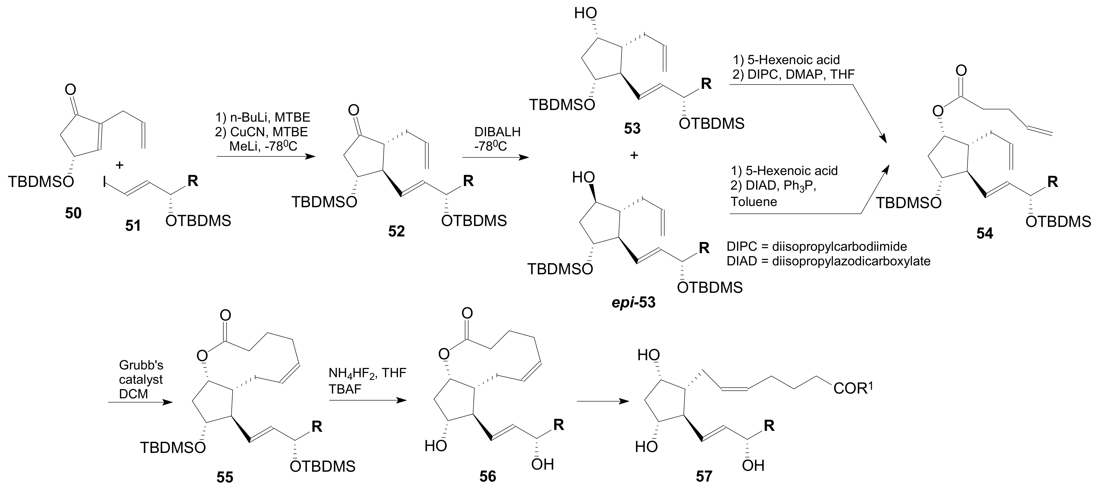
Prostaglandin lactones were synthesized first by Corey and Nicolaou [10] through the reaction of the C1 acid with the corresponding secondary alcohols 15 or 9 by reaction with triphenylphosphine and 2,2′dipyridyl disulfide. In order to obtain 1,15 anhydride 2, the 9-OH group was protected as acetate whereas, to obtain 1,9-anhydride, both the 11 and 15-OH groups were protected as tetrahydropyranyl (THP) ether. This “double activation” process consists of first activating the acid by transforming it in an ester while activating the hydroxyl group at the same time (this simultaneously activates both the hydroxy and the carboxylic acid moieties with a single proton transfer) and then performing the cyclization to the anhydride (Scheme 1) to give 11, which was finally hydrolyzed to PGF2α-1,15-anhydride.
Scheme 1.
The Corey synthesis of PGF2α-1,15-anhydride.
The reaction is quite general and was used not only for synthesis of other prostaglandin anhydrides, but also as a highly efficient method for preparing medium to large rings, like brefeldin A, erythronolide B, enterobactin, and (±)-vermiculine [16].
Using the Corey and Nicolaou procedure [10], Bundy et al. obtained a series of PGD2 compounds as well as PGD2-1,9 and 1,15 anhydrides, as follows: from PGF2α-15-THP ether [17], they first obtained PGF2α 1,9-lactone-15THP, and then oxidized it with the Jones reagent to PGD2α 1,9-lactone-15-THP 14 and, finally, hydrolyzed it to 15 (Scheme 2).
Scheme 2.
Synthesis of PGD2α-1,9-anhydride.
From 15-methyl-PFG2α the l,9-lactones 16 and 17 (Scheme 3).
Scheme 3.
Synthesis of 15-Me-PGD2-1,9-lactone.
For the synthesis of PGD2-1,15-lactone, due to the instability of the compound, PGF2α was first transformed into 9,11-butylboronate, lactonized with 2,2′-dipyridyl disulfide/Ph3P, the boronate ester was deprotected, and then a selective silylation of 11-OH was performed, followed by the THP protection of 9-OH, the deprotection of the TBDMS group, the Jones oxidation of 11-OH, and, finally, by the deprotection of the THP group. Fortunately, the PGD2-1,15-lactone was isolated by crystallization because it was not resistant to purification on silica (neutral or acid washed) (Scheme 4).
Scheme 4.
Synthesis of PGD2-1,15-lactone.
Prostaglandin D2-1,9-lactones and 1,15-lactones were studied for their platelet inhibiting activity, in comparison with PGD2 and its other derivatives. Only 9β- and 9-deoxy-PGD2 were more active than PGD2. All other synthesized compounds were less active than PGD2. A few patents were obtained on the synthesis of prostaglandin 1,9-lactones [18], prostaglandin 1,11-lactones [19], and prostaglandin 1,15-lactones [20,21].
1,15-Lactones of the prostaglandins used in the treatment of glaucoma and the reduction of ocular pressure, fluprostenol, latanoprost, and cloprostenol were synthesized by the same procedure, starting from 9-TBDMS-fluprostenol or cloprostenol acids and 9,11-di-ethoxyethyl-latanoprost acid, which was followed by the deprotection of the protecting groups (Figure 3) [22,23]. In the bovine corneal tissue, anhydrides 24 and 26 hydrolyzed to the free acids fluprostenol and latanoprost at the same rate as the isopropyl esters, showing that the anhydrides could be formulated into ophthalmic solutions as standard isopropyl esters for reducing the intraocular pressure [24]. 13,14-Hydrogenated latanoprost-1,15-lactone and fluprostenol-1,15-lactones are also mentioned in a patent [24]. Prostaglandin F2α-1,11-lactone was synthesized by the Corey-Nicolaou method and also studied for the reduction of intraocular pressure [25], showing a marked increase duration of activity and an increased reduction of intraocular pressure, by comparison with PGF2α. In addition, the associated hyperemia also decreased.
Figure 3.
1,15-Lactones of fluprostenol, cloprostenol, and latanoprost.
The 1,9 lactones of prostaglandins used in the reduction of intraocular pressure were used as a step for obtaining the corresponding prostaglandins substantially free of the 5,6-trans isomer (Scheme 5). Latanoprost, isopropyl unoprostone, travoprost, and tafluprost, and their free acid forms are not solids to be purified by crystallization. The patent is based on the fact that the 1,9-lactones of travoprost, tafluprost, latanoprost, bimatoprost, and unoprostone [26] are crystallized compounds and, by isolation and crystallization of 11,15- or 11-unprotected hydroxyl lactones, the ratio of 5,6-trans isomer obtained is below 0.1%. The lactonizations were performed by the Corey-Nicolaou procedure (entries 1, 6, 8, and 9 in Table 1), but other methods, described below, were also used for the lactonization.
Scheme 5.
Synthesis of 1,9-lactones of travoprost, tafluprost, latanoprost, bimatoprost, and unoprostone.
Table 1.
Synthesis of 1,9-lactones of travoprost, tafluprost, latanoprost, bimatoprost, and unoprostone [26].
In the case of unoprostone (entry 9), lactone 28e was first deprotected from 15-O-TBDMS, and then oxidized to the 15-keto compound. 11-O-THP was deprotected to the free acid and, finally, esterified to isopropyl ester 30e [26].
Two more efficient disulfide reagents, 31 and 32 (Figure 4) [27], were used for macrolactonization, such as for example 32 in the synthesis of erythronolide B (aglycone of the important antibiotic erythromycin B), but they were not utilized in prostaglandin lactonization.
Figure 4.
Imidazole disulfide reagent for lactonization.
2.1.2. Internal Lactonization of an Acid with a Hydroxyl Group by the Mixed Anhydride (Yamaguchi and Coworkers) Procedure
The procedure is described as a mild and rapid esterification, performed in two steps [28]. For prostaglandins (protected at 11, 15-OH as THP, for example), in the first step, the C1-acid is transformed into a mixed anhydride with a good leaving group by the reaction with 2,4,6-trichlorobenzoyl chloride in the presence of triethylamine as the base. In the second step, the mixed anhydride is internally alcoholized with the free 9-OH group in the presence of 4-dimethylaminopyridine to give 1,9-lactone in a good yield (82.4%, entry 4, Table 1) [26]. Using benzoyl chloride instead of 2,4,6-trichlorobenzoyl chloride gave the same lactone in a little smaller yield (80.3%, entry 2, Table 1). With 11,15-OTES, the yield was lower (61.6%, entry 3), likely due to the deprotection of triethyl silyl during the reaction. Trifluoroacetic anhydride was also used for obtaining 1,9 prostaglandin lactones, but “the strong acidic conditions (CF3COOH) employed made this method not a very attractive one” [29].
2.1.3. Internal Lactonization of an Acid with a Hydroxyl Group by the Shiina Procedure
The Shiina procedure [30,31,32] uses substituted benzoic anhydrides for obtaining mixed anhydrides, in the presence of a base (Et3N) and a Lewis acid or a base (DMAP, 4-pyrrolidinylpyridine (PPY), or 4-(dimethylamino)pyridine-N-oxide (DMAPO)) for the second step, and the reaction of mixed anhydrides with alcohols to give the alkyl esters. Though many substituted benzoic anhydrides were studied in detail [30,32], 2-methyl-6-nitrobenzoic anhydride (MNBA) gave the best results not only in intermolecular esterification, but also in internal esterification with the formation of a macro-lactone [32,33]. The reaction needs nearly equimolar amounts of carboxylic acids and alcohols, about 1.1 equivalents of MNBA and Et3N and catalytic amounts of DMAP (10 mol %), which proceeds smoothly at room temperature, without the isolation of the mixed anhydride, with high chemo-selectivity and in excellent yields. The method was applied for the synthesis of PGJ2-lactones and PGJ3-1,15-lactones and their analogs, including 10-Cl substituted lactones (Scheme 6). In these applications, 1.4 equiv. MNBA, 6 equiv. DMAP, CH2Cl2 as solvent were used for 12–17 h at 25 °C to obtain the 1,15-lactones 34a–34h starting from the free acids 33, and also epi-34a, in moderate to good yields (Table 2). The authors also presented in this paper a shorter and more efficient olefin-metathesis-based total synthesis of the free acids of Δ12-PGJ2 and of Δ12-PGJ3, 33. It is important to mention that the Δ12-PGJ3-lactone 34a, 34f and Δ12-PGJ2-lactone 34i were the most promising cytotoxic agents against a variety of cancer cell lines (other compounds synthesized were also active on cancer cell lines [34,35]) and their activity was found to be more potent than that of parent acids or open esters. The same observation is valid for the other lactones, mentioned in Table 2. This observation guided the authors to synthesize dimers, trimers, and tetramers of lactones 34i–34k. If for the lactones 34i–34l, pseudo high dilution macro-lactonization conditions (MNBA, DMAP, ca. 0.8 mM concentration) were used, under modified macro-lactonization conditions [MNBA (1.5 equiv.), Et3N (2 equiv.), DMAP (0.1 equiv.), ca. 10 mM concentration, CH2Cl2, 25 °C, 12 h)] dimeric, trimeric, and tetrameric macro-lactones were produced simultaneously in the same reaction (34i: 27%, 10%, 9%; 34j: 20%, 8%, 4%; 34k: 19%, 9%, 8%; 34l: 22%, 14%, 8%). Dimeric macrocyclic lactones showed stronger cyto-toxicities than their monomeric counterparts and the corresponding trimer and tetramer proved significantly less active (or not active) against tested cancer cell lines, especially for 34l polymers [35].
Scheme 6.
Synthesis of ∆12-PGJ2-, PGJ3-1,15-lactones and their analogs.
Table 2.
∆12-PGJ2-, PGJ3-1,15-lactones and their analogs: method of synthesis and yield.
2.1.4. Internal Lactonization of an Acid with a Hydroxyl Group by the Mukaiyama Procedure
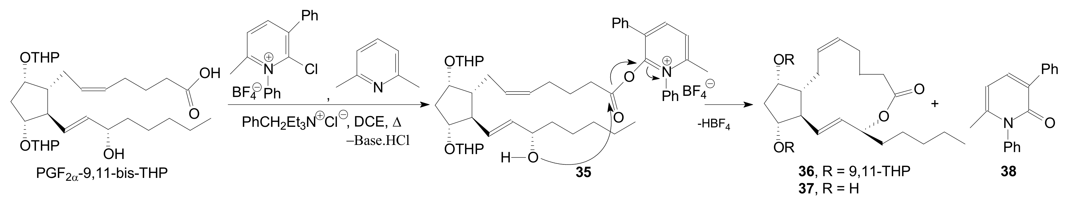
The Mukaiyama procedure initially used 1-methyl-2-chloropyridinium iodide and Et3N as the base to form an activated intermediate of the acid, as in the Corey procedure, which then reacts with the hydroxyl group to give the corresponding lactone. Because of the secondary reactions due to the decomposition of pyridinium salts by the attack of triethylamine on the 1-methyl group or the substitution of the 2-chloro atom. Other new efficient reagents for lactonization have been developed, like the stable pyridinium salt, known as 2-chloro-6-methyl-l,3-diphenylpyridinium tetrafluoroborate. This reagent was used for the lactonization of PGF2α-9,11-bis-THP to PGF2α-9,11-bis-THP-1,15-lactone 36 in 91% yield (Scheme 7) [36,37] and gave the 2-keto-pyridine by-product 38 in the reaction.
Scheme 7.
Lactonization of PGF2α-9,11-bis-THP with 2-chloro-6-methyl-l,3-diphenylpyridinium tetrafluoroborate.
The deprotection of the THP-groups gave lactone 37 at a 79% yield. By the same procedure, the unprotected PGF2α was selectively lactonized to PGF2α-1,9-lactone 1 with only 4% PGF2α-1,15-lactone 37 [36].
Though there are many efficient methods for macro-lactonization to obtain complex natural products [37,38,39,40], these found no applicability in obtaining prostaglandin lactones.
2.1.5. Internal Lactonization by Ring-Closing Metathesis
In the previous methods, prostaglandin lactones were synthesized by using an unprotected or a conveniently protected prostaglandin. In the ring closing metathesis (RCM), the α-side chain is built on an intermediate, which contains dialkene or dialkyne groups in the molecule. In this case, the intermediate is obtained by the “three-component coupling” method [41,42], which is a variant of the most elegant and efficient method for building the prostaglandin skeleton. Fürstner et al. [43,44] employed this method to get the starting alkyne key intermediate 39, which was esterified at the hydroxyl from the ω-side chain with 5-heptynoic acid by using diisopropylcarbodiimide and catalytic amounts of 4-dimethylaminopyridine (DMAP) (Scheme 8). The resulting dialkyne ester 40 was used in the macrocyclization via the ring-closing alkyne metathesis in the presence of the catalyst formed in situ from Mo(NtBuAr)3 and CH2Cl2 in toluene at 80 °C, giving the alkyl-lactone 41 in 68–73% for catalyst with Ar = 3,5-dimethylpyridine and in a better 77% yield with Ar = 4-fluoropyridine. Both catalysts were very reactive for the alkynes and, at the same time, highly tolerant not only toward the double bond in 40, but also toward other chemical groups [45]. It is worth mentioning that no racemization was observed in the lactonization or in the steps before RCM. The triple bond was cleanly hydrogenated in the presence of the Lindlar catalyst to give 11-TBDMS-PGE2-1,15-lactone 42, which was desilylated with aqueous HF in acetonitrile at a good yield to PGE2-1,15-lactone 43. All steps from 39 to 43 were performed in very good yields and represent a good method to obtain PGE2-1,15-lactone and also the corresponding lactones F2α and A2. By the same sequences, 15-epi-43 was synthesized. In the RCM reaction of epi-40 to epi-41, both catalysts, mentioned before, gave better yields: 81% and, respectively, 87%.
Scheme 8.
Synthesis of PGE2-1,15-lactone by RCM.
By this method, other prostaglandin lactones were synthesized starting from the corresponding ester compounds with 9-undecynoic acid and 2-(hex-4-yn-1-yloxy)phenol, an enlarged (ring-expanded) lactone 44, and a lactone with a salicilic acid fragment in the α-side chain, 45 (Figure 5). In the RCM, the best results were obtained with the catalyst Mo[NtNu(4-FPy)]3, 63% for alkyne-lactone analog of 44 and, respectively, 86% for corresponding alkyne analog of 45, as in the previous examples [45].
Figure 5.
Ring-expanded PGE2-lactones.
RCM with the diene 47 was applied to get the 11,15-protected PGF2α travoprost 1,9-lactone 48 in which the Grubb’s catalyst was used (Scheme 9), but the 16% yield mentioned was low [26]. The deprotection of both silyl ether groups was then performed at an 80% yield.
Scheme 9.
Synthesis of travoprost-1,9-lactone by RCM from diene 47.
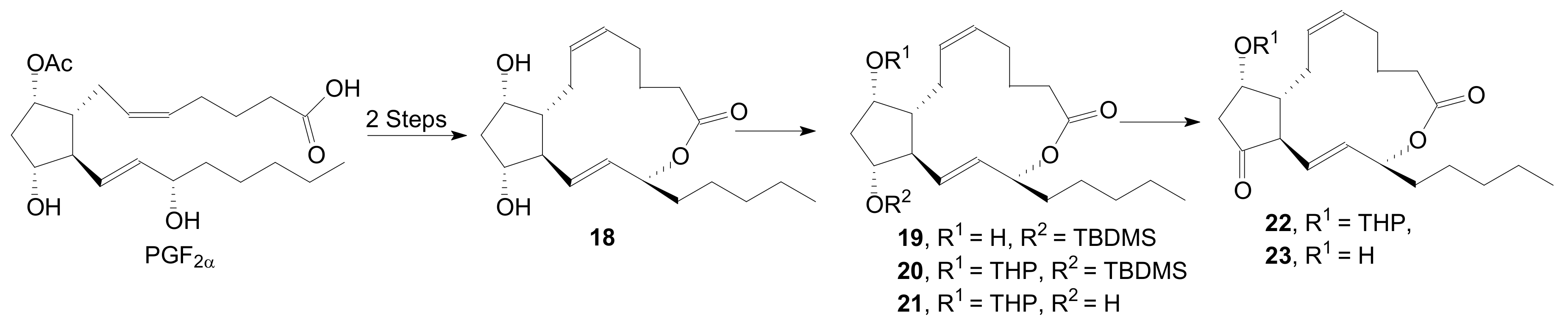
To find very good yields (Table 3) for obtaining PGF2α-1,9-lactone analogs, the same sequence of reactions (50→52→53→54→55→56, Scheme 10) are mentioned in the literature [46]. We would like to point out that the epi-53 alcohol is transformed into the same diene ester 54 by a Mitsunobu reaction with inversion of the configuration to the C-9 carbon atom. The yields of all the steps from 50 to 56 and 57 are given in Table 3. A better yield (93.3%) of 53 was obtained by the selective reduction of ketone 52a with L-Selectride.
Table 3.
Synthesis of 1,9-lactones by RCM [46].
Scheme 10.
Synthesis of PGF2α -1,9-lactone analogs by RCM.
The reaction conditions used in Reference [26] are the same as those mentioned in Reference [46]. However, there is a discrepancy in the reported values for the yield of the RCM reaction (16% in the first paper, respectively, and 75.0% in the second. We assume the second one is correct).
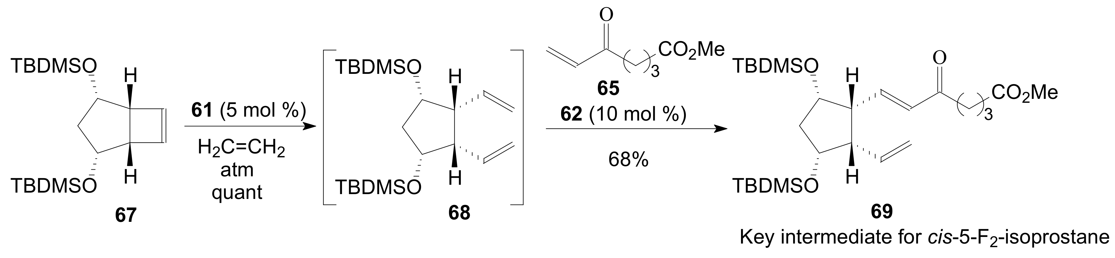
RCM was used with the scope to build the key lactone intermediate 59 for the synthesis of cis-5-F2-isoprostane starting from the cyclobutene intermediate 58 (X = H) (Scheme 11), readily obtained by the esterification of 63, and ethylene in the presence of Grubbs’ catalyst 61. However, the yield was disappointingly low (37%) (Scheme 11). In this case, there is first a ring opening of the cyclobutene ring with ethylene followed by the RCM of the formed diene, which is similar to 64 (Scheme 12), with the double bond of the 6-heptenoic ester from 58, giving the lactone isomers Z-59 and its isomer E-60 in a ratio of 3:1. With 58 (X = O), no lactones were obtained [47], and an ingenious study was performed to obtain the intermediates 66 and 69 with an α-side chain by the RCM method.
Scheme 11.
A study for the synthesis of the key lactone intermediate 59 by RCM of cyclobutene intermediate 58 and ethylene with the Grubbs’ catalyst 61. The Hoveyda-Grubbs’ catalyst 62.
Scheme 12.
Synthesis of the key intermediate 66 by RCM for obtaining trans-5-F2-isoprostane.
By a stepwise meta-thesis of the cyclobutene compound 63 with ethylene and Grubb’s catalyst 61, followed by the cross-meta-thesis of the resulted diene 64 with α,β-unsaturated ester 65 in the presence of Hoveyda-Grubbs’ catalyst 62 (Scheme 11), the key intermediate 66 was obtained at a 77% yield, as a single regio-isomer and E-stereoisomer in a single reaction vessel (Scheme 12) [47].
In the case of the cyclobutene compound 67, though the yield of 68 is quantitative, for optimal yield, the next cross-metathesis of this diene with 65 was run to partially convert it to 69, and the unreacted 68 was recycled (3×) in cross-metathesis to give the desired E-key intermediate 69 in an overall yield of 68% (Scheme 13) [47].
Scheme 13.
Synthesis of the key intermediate 69 by RCM for obtaining cis-5-F2-isoprostane.
Though the lactonization of 58 with the α,β-unsaturated ester 65 did not proceed, the solution to study the mechanism of the metathesis of cyclobutene compounds 63 and 67 with ethylene and 65 to obtain the compounds 66 and 69 as a single regio-isomer and E-stereoisomer in good yields in a single vessel is remarkable. In fact, three reactions were avoided: the esterification of 9-hydroxyl, the lactonization in Scheme 11, and the final esterification of the C1-acid. Moreover, the α,β-unsaturated ester 65 was used free, and not linked to the core fragment used in the metathesis reaction.
RCM with other ruthenium catalysts was used for directly building the α-side chain of PGF2α or PGE2, at a 59% and 51% yield [48,49], without the protection of the hydroxyl groups, without the esterification of 9-hydroxyl or 15-hydroxyl group and without using a prostaglandin lactone as a key building block, as mentioned above. RCM was also used to form the ω-side chain of isocarbacyclin and its 15R-TIC analog [50] with the goal to overcome the selective, but difficult, reduction of the 15-keto group by using an alkene intermediate with an enantiomerically pure 15-hydroxyl group 71. RCM was realized with the advanced key intermediates 70 and 71 in the presence of Grubbs’ second-generation catalyst in good 82–90% yields (Scheme 14). The same RCM reaction was performed with the corresponding OH-protected Corey lactone. The corresponding bicycloketones for building the ω-side chain were obtained in 84% and 86% yield, and then used in the synthesis of PGF2α and carbacyclin [50].
Scheme 14.
The building of the ω-side chain of isocarbacyclin and its 15R-TIC analog [50].
For RCM, many complex ruthenium catalyst [51] and others were synthesized, which could improve the yields of the reactions mentioned above, so the variant for synthesis of prostaglandin lactones as prodrugs or as a step for obtaining the prostaglandins analogs should be taken into consideration.
2.1.6. Other Methods for Building Prostaglandin or Eicosanoid Lactones
1,5-Lactones of prostaglandins were also synthesized. For example, by haloeterification with iodine/NaHCO3 or NBS/NaHCO3, PGF2α was transformed into 5-hydroxy-6-iod (or 6-bromo)-PGF1α-1,5 lactone 74 and then used in a sequence of reactions to obtain first the ∆6-Z-compound 75 and then the 7-keto-prostacyclin analog [52] (Scheme 15) with platelet aggregation-inhibition activity weaker than that of prostacyclin, but with higher stability.
Scheme 15.
1,5-PGF1α-1,5-lactone in the sequence for obtaining 7-keto-prostacyclin (I or Br at the C6 carbon atom in 74) [52].
1,5-δ-Lactones were also found in the eicosanoids. For example, cyclo-EC, 77, was first observed to be formed in the synthesis and NMR analysis of EC, 76, [53]. Then it was synthesized in 65% yield by the acid (on silica gel) catalysis ring opening of the epoxide ring by the 1-carboxyl group (Scheme 16) [54]. It has been discovered that Cyclo-EC 77 has the most anti-inflammatory activity in comparison with that of 5,6-epoxyisoprostane 76 and isoprostane 78 as inhibitors of proinflammatory cytokines IL-6 and IL-12 secretion.
Scheme 16.
The synthesis of 1,5-lactone 77 and the structure of isoprostane 78.
Later, other 1,5-lactones and 1,5-lactames and their analogs 79a–79c, 80, respectively, 81a–81c were synthesized [55] and their anti-inflammatory activities were established. Lactone 77 was the most active one, while the 1,5-lactames 81a, 81b, and 81d retained high anti-inflammatory activity (Figure 6). The homologated analogs 79b, 79c, and compound 80 with a Z-linked α-side chain were inactive.
Figure 6.
1,5-Lactone and lactam analogs of the cyclo-EC 77.
5,6-Epoxy-eicosatrienoic acid (5,6-EET, 82) is formed by cytochrome P450s oxidation of arachidonic acid in mammalians and is spontaneously cyclized, as EC 76, to the stable 1,5-lactone 5,6-DHTL, 83. Then it was found that lactone 77 and 5,6-DHTL (83) are hydrolyzed in mammalian paraoxonases, which is a family of esterases, to the corresponding free acids (Scheme 17) [56].
Scheme 17.
Mammalian Synthesis of 5,6-EET 82 and 1,5-lactone, 5,6-DHLT 83 [56].
(R)- and (S)-6,7-dhydro-5-HETE lactones 89 were synthesized by linking a key chiral aldehyde intermediate 85 with the yield generated in situ from the triphenylphosphonium bromide 86 in a cis-selective Wittig reaction with the generation of the triene 87a in a 68% yield. The deprotection of the trityl group (71%), followed by the oxidation to 1-carboxylic acid (73%), and the final acid cleavage of the MOM ether, gave directly the (R)-6,7-dihydro-5-HETE lactone 89 at a 92% yield (Scheme 18) [57]. (S)-isomer 89 was obtained by the same sequence of reactions starting from the enantiomer 85.
Scheme 18.
Synthesis of (R)-6,7-dihydro-5-HETE lactone 83 [57].
Though the prostaglandin lactones were discovered in nature only in the molluscs and the eicosanoid lactones were found in the metabolic pathways of unsaturated fatty acids to prostaglandins. The synthetic effort to obtain these compounds and plenty of their analogs was impressive. In many cases, the synthesis of 1,15-, 1,11-, and 1,9-lactones of prostaglandins and their analogs gave more active prodrugs than the parent prostaglandins. Sometimes the crystallized lactones were used in the synthesis sequence to obtain free 5-trans isomer (<0.1%) prostaglandin compounds, which were, otherwise, difficult to obtain by other processes. In conclusion, efficient methods for their synthesis were developed, and further applied to other classes of lactones.
2.2. Synthesis of γ-Lactone Intermediates in the Sequence for Obtaining Prostaglandin Analogues
2.2.1. Synthesis of Corey γ-Lactone by the Most Used Methods
δ- and γ-lactones are strongly linked to the convergent total stereo-selective Corey synthesis of prostaglandins in which three key intermediates are independently synthesized: one for building the cyclopentane skeleton and two for building the α-side and ω-side chains in the final stages of the sequence. This was a pioneer procedure, which soon grew into an efficient method for the synthesis of the core γ-lactone 95 with four chiral carbon atoms and the substituents in the right positions for linking the α-side and ω-side chains and for 9α,11α-hydroxyls of the prostaglandin skeleton (Scheme 19). The Corey γ-lactone 95, as one of the three key intermediates, was used for the synthesis of the three series of prostaglandins: PG1, PG2, and PG3, becoming a general method for their synthesis. A lot of syntheses for obtaining racemic and mainly optically active 95 were discovered, starting from different racemic or optically active raw materials. Some of them were improved and applied to the large-scale synthesis of this key intermediate. One of the first syntheses is presented in Scheme 19. The first step of the sequence was many times improved from the first Diels-Alder reaction of diene 90 (OMe) with 2-chloro-acrylonitrile, as a ketene equivalent, catalyzed by Cu(BF4)2, to give racemic 93 (80%) [58], to the highly enantioselective Diels-Alder of 90 with acrylate of 8-phenylmenthol (91a) (AlCl3 catalyst), giving 92a in 89% yield and 97:3 dia-stereoselectivity [59], and then the catalyzed reaction of benzyloxymethylcyclopentadiene 90 with 3-acyloyl-1,3-oxazolidin-2-one 91b (10 mol % catalyst 96), which gave the chiral Diels-Alder adduct 92b in a 94% yield and 96% ee [60] (Other chiral acrylates were also used [61]). For the enantioselective Diels-Alder reactions, other catalysts (like 97) [62] were then synthesized and gave even greater yields, such as 99% ee (>99% exo) in the reaction of 90 with 2-bromoacryloin aldehyde [63]. The next steps to the bicyclic ketone 93 were realized in an 83% yield. The transformation of 93 into iodo-γ-lactone 94 was realized in an 89% yield by Baeyer-Villiger oxidation, opening of the lactone to the unstable acid and iodolactonization. The removal of the iodine from the Corey lactone 94a was realized at a 99% yield with tributyltin hydride in benzene at 25 °C (initiation with azobisisobutyronitrile) [64]. The next steps to achieve the needed protection of the primary and secondary groups are easily realized by the well-known protection-deprotection methods.
Scheme 19.
Corey procedure for the synthesis of the Corey α-lactones 94–95.
It is worth mentioning that, in this procedure, the γ-lactone group was constructed by opening a δ-lactone group to acid and then by the γ-lactonization by iodohalogenation of the double bond, with the halogen being removed at a near quantitative yield to the Corey γ-lactone 94a (de-iodinated).
A different but also largely applied approach to efficiently obtain the Corey Lactone 103 is presented in Scheme 20. The sequence started from norbornadiene and gave 100 in three steps in good yields: Prins reaction, Jones oxidation to 99, and HCl (also HBr and HI) opening of the cyclopropane ring to 100 [65,66]. The next steps, 100 to 102 (Baeyer-Villiger oxidation, reduction of carboxyl and protection of the alcohol) were performed in good yields [67,68]. Another efficient route, 100→104→105→106→102a, which consists of the protection of the keto group as ethyleneketal (91.6%), the borane reduction of the acid group followed by the removal of the protecting group (92% on two steps) and by the Baeyer-Villiger oxidation (87%), made the sequence norbornene→102a one of the most used methods, together with that mentioned above, for obtaining the δ-lactone 102 and the Corey γ-lactone 103 [69]. In the sequences, optically active intermediates were obtained by cleaving the racemic compound into enantiomers by the dia-stereo-isomer salts of the acid compounds 99, 100, and 104 (in red in Scheme 20) with optically active amines, like (−)-1-phenylethylamine, ephedrine, quinine (see, for example, the separation of 99 and 104 with (−)-1-phenylethylamine, ephedrine [66,70], of the Corey lactone 103 (R = TBDMS or Et3Si) with a chiral non-amine scaffold, (−)-(1R,4R,5S)-4-hydroxy-6,6-dimethyl-3-oxabicyclo [3.1.0]hexane-2-one [71]), or by reacting 95 (R1 = pPhBz) with anhydrides and then with optically active bases [(−)-(1S,2R)-ephedrine, (−)-(S)-1-phenylethylamine, quinine) [72].
Scheme 20.
Synthesis of the Corey γ-lactone 103 from norbornadiene. In red are the acid racemic compounds separated into enantiomers by dia-stereo-isomers with optically active amines.
In comparison with the previous procedure, in this method, the δ-lactone is built by an insertion of an oxygen atom, and the transformation of a δ-lactone into a γ-lactone is realized by an intramolecular SN2 substitution of the chlorine atom by the carboxylate anion.
Another route, studied in depth, and now becoming widely used in the synthesis of the racemic Corey lactone 95, starts from the cyclopentadiene, which was used in the Diels-Alder cycloaddition with dichloroketene to obtain adduct 105 [69,70,71,72,73,74] (Scheme 21). Then, the dechlorination and Baeyer-Villiger oxidation give the γ-lactone cis-2-oxabicyclo[3.3.0]oct-6-en-3-one 107 in very good yield (~72%). 107 has two carbon atoms with the stereochemistry required for the structure of Corey γ-lactone 95. The other two stereochemical requirements are introduced by transforming the double bond of 107 into a cis-regiospecific Prins reaction to give the acetylated lactone 108, together with small amounts of monoacetylated products at the primary or secondary alcohol groups [75,76]. In the next transesterification reaction (MeOH/MeONa), 108 and the monoacetylated compounds are hydrolyzed to the racemic 109. The next protection of the primary or the secondary alcohol group is realized as usual.
Scheme 21.
Synthesis of the racemic Corey lactone 109 from the adduct of cyclopentadiene with dichloroketene.
In order to obtain the optically active Corey lactone 107, compound (±)-107 was transformed into the hydroxy-acid (base hydrolysis, acidify to pH 3.5–4, extract the hydroxyacid), which was then reacted with (+)-α-methylbenzylamine and the pure diastereomer salt (obtained by fractional crystallization) was treated first with base (to remove the optically active amine), then with acid, and extracted to give (−)-107 [77,78] (Scheme 22). A similar separation of the enantiomers of the 107-acid is also described in recent patents [79,80].
Scheme 22.
Separation of the enantiomerically pure lactone (−)-107 from the racemic 107 by the salt of hydroxy-acid with (+)-α-methylbenzylamine.
The optically active lactone 107 was also obtained by another reaction sequence from cyclopentadiene→110→(−)-107, in which alkene 110 was asymmetrically reduced with (+)-di-3-pinanylborane, followed by the alkaline hydrogen peroxide oxidation to yield the hydroxy ester (−)-111 at a 45% yield (Scheme 23) [78].
Scheme 23.
Asymmetric synthesis of the optically active lactone (−)-107 by reducing the double bond with (+)-di-3-pinanylborane.
Due to its high yield sequence and the cheap starting compounds, this method was improved and is used extensively for obtaining the Corey lactone 107. Recent reviews on the Corey lactone (with different substitutions of the hydroxyl groups) in relation to its use in prostaglandin syntheses of drugs, analogs in different clinical phases, or other analogs are referenced in many papers [81,82,83,84,85], but no in-depth review paper focusing only on the procedures for the synthesis of Corey lactones was found in the literature.
2.2.2. The Improvements in the Synthesis of Corey Lactone
Though the above methods were largely used at high yields, the researchers more deeply studied some of the steps of the sequences in order to simplify them or reduce their number, to make one-pot synthesis for a number of steps, to change the reagents, to change the solvents, and to use stereo-controlled reactions for some steps. The main achievements of this line of research are presented below.
An improvement in the preparation of the Corey lactone acid 113 was realized by performing the Baeyer-Villiger oxidation and opening the δ-lactone 101 followed by the ring closure to the γ-lactone ring of 113 in a one-pot synthesis (for two steps) with potassium persulfate (OXONE) in the presence or absence of 4-butylammonium bromide as a phase transfer catalyst. The yield claimed is high (not given) (Scheme 24) [86].
Scheme 24.
Synthesis of the γ-lactone acid 113 from keto-acid 100. Racemic or optically active acid compound 100 (in red) was transformed into the δ-lactone-acid 101, then in 113, a route different from then previously presented.
Another improvement in the transformation of δ-lactone 114 into γ-lactone 109 is presented in Scheme 25. During the study of the ring opening of the δ-lactone 114 by acid methanolysis, the chloroester 115 was obtained at a quantitative yield (TsOH or Amberlit IRC 50W × 2, reflux). The benzoate chloroester 117 was also obtained at a quantitative yield by methanolysis in CH2Cl2-MeOH (1:1) without the deprotection of the benzoate group after two days at rt (TsOH) (See Section 2.4) [87,88]. After the protection of the secondary alcohol with an ether group, the base hydrolysis of the esters (methyl and benzoate) and the internal closure of the furane ring, the γ-lactones 120 were obtained at a 92–93% yield for R2 = TBDMS, 93% for R2 = THP, 90% for R2 = Tr, 95.5% for R2 = Tr, and with tert-butyldimethylsilyl (TBDMS) protected primary hydroxyl. The base hydrolysis (NaOH in CH2Cl2-MeOH-water, rt, overnight) of the chloro-ester 115 gave the crystallized compound 109 in a yield greater than an 80% yield (unoptimized). Hence, the transformation of the unprotected δ-lactone 114 and of the ester protected lactones 116 (R = Bz, p-nitro-benzoate, acetate) into the γ-lactones 109 and 120 is an efficient procedure, providing a good alternative to those mentioned previously, which use a base with great excess of H2O2 for this transformation.
Scheme 25.
Synthesis of γ-lactones 109 and 120 from δ-lactone 114. The selective protection/deprotection of the primary and secondary alcohols in three steps to the mile stone Corey lactone used for building of ω-side chain (in red).
The racemic bis-chlorinated cyclobutanone 105 was transformed into the enantiomer γ-lactone (+)-121 by a stereo-controlled organometalic Baeyer-Villiger oxidation at a 46% yield and in 99% ee with a good selectivity factor, 118, in the presence of the phosphoric acid catalyst (R)-124 (Scheme 26a). With the enantiomer catalyst (S)-124, the desired optically active lactone (−)-121 was obtained at a 45% yield and 95% ee. Other dichlorocyclobutanones linked to different single or fused rings were also stereo-selectively transformed into the corresponding γ-lactones at a 30–47% yield and 90–99% ee. The following two steps, consisting of the reductive dechlorination with Zn/NH4Cl and the Prins reaction with paraformaldehyde in formic acid and H2SO4 as a catalyst, gave the optically Corey γ-lactone (−)-109 at a quantitative yield for the first step and, respectively, at a 79% yield for the second step (Scheme 26b) [89,90].
Scheme 26.
The catalyzed Baeyer-Villiger oxidation of the dichlorocyclobutanone 105 and the following two steps for obtaining the Corey γ-lactone (−)-109. Route (a): stereo-controlled organometalic Baeyer-Villiger oxidation; route (b): The transformation of enantiomer (−)-121 into Corey γ-lactone (−)-109.
The Corey lactone 95 is oxidized to aldehyde and used for building the ω-side chain by an E-HEW selective olefination. The aldehyde from 95 can be protected as dimethyl acetal and used in this form in the next steps for building the α-side chain, as it is usually done when the primary alcohol is protected. The dimethyl acetal (rarely diethyl acetal), which is an ethylene ketal group, was used for protecting the aldehyde group of the intermediate 125 in the next steps for building the α-side chain (Scheme 27) [91].
Scheme 27.
The use of an ethylene ketal group in the sequence for building the α-side chain.
The aldehyde 127, obtained by the oxidation of the lactone 102a (R = H, Scheme 20), was ketalyzed by alcoholysis with diols (X = O) and dithiols (X = S) in acid catalysis, concomitant with the opening of the δ-lactone ring, to give the halogenated compounds 128. Then the base hydrolysis of ester (KOH in THF-water) gave the γ-lactone aldehydes 129 protected as ketals, where X = O and X = S (n = 0 and 1 in both cases) (Scheme 28) [92]. The protection of the hydroxyl group of compounds 128 as ether (THP, TBDMS) gave compounds 130 with the corresponding protecting groups and simplified the entire preparation procedure. Compounds 129 were also protected with ether or ester groups. It is also worth pointing out that compounds 129, either racemic or enantiomerically pure, are obtained in a crystalized form and they are stable for years and represent good key intermediates for the PG synthesis.
Scheme 28.
Synthesis of the Corey aldehyde 129 protected as ketals or thioketals and also protected at the hydroxyl group (130).
2.2.3. Synthesis of the Corey Lactone by Other Promising Methods
Many other methods for obtaining optically active Corey lactone, with different protections of the primary and secondary alcohol, were studied, and in what follows we will review the most promising alternative methods developed after 1990. Some of these methods were discussed in other review papers [83], but we will present them here in a modified form (the differences are reflected in the Schemas below), to show evidence of those methods developed at high yields from different raw materials, the applications of regio-selective and enantioselective reactions, the enzyme steps for obtaining optically active compounds, and the ingenious strategies for lactones, with a potential value for future applications.
Likely, the most promising method is the one recently developed by Aggarwal and coll. (Scheme 29) [93]. An aldol condensation of succinaldehyde with catalytic amounts of L-proline and dibenzylammonium trifluoroacetate (DBA) (2% each) gave the key bicyclic enal 133 at a 14% yield. The first step consists of an L-proline catalyzed enantioselective intermolecular aldol reaction between two molecules of succinaldehyde to create the intermediate 132 and then DBA catalyzed the second intramolecular aldol reaction and dehydration of 132 to the γ-lactone 133 with 98:2 er. These steps were improved later to 29% of isolated 133 [94]. The intermediate 133 was then transformed into the more stable OMe ether 134 or it was oxidized to the corresponding lactone. Though the yield for obtaining the key intermediate 134 is low, the starting reagents are cheap and only 4 to 5 steps are needed to obtain PGF2α, latanoprost, and bimatoprost in good yields, which recommends the method for future efficient synthesis of prostaglandin analogs [93,94]. The key intermediate 134 or the corresponding oxidized lactone were used in the conjugate addition procedure to obtain alfaprostol and PGF2α [93,94,95]. The method is expected to greatly reduce the costs of the prostaglandins and their already developed drug analogs.
Scheme 29.
Aldol catalyzed condensation of succinaldehyde to obtain γ-lactone 134, key intermediate for synthesis of the prostaglandins PGF2α, latanoprost, and bimatoprost.
An efficient one-pot synthesis of the Corey lactone 109 was realized by the pivot domino Michael/Michael reactions in the presence of the catalyst (R)-137 and of p-nitrophenol in i-PrOH, in which the three contiguous stereo-genic centers, C3a, C4, and C5, and the groups linked to C3a and C4, needed for Corey γ-lactone structure, are introduced in the intermediate 138 (Scheme 30) [96]. In the next step, the high dia-stereo-selective reduction of the ketone with the bulky hydride LiAlH(OtBu)3 and the reduction of the aldehyde group takes place concomitantly with lactone formation. The construction of the Corey lactone is finalized by the conversion of the Si-Ph bond into an Si-F bond, which is followed by the oxidation of the C-SiMe2F to C-OH with the same stereo-configuration. The whole sequence, starting from the commercially available racemic starting compounds: 3-(dimethylphenylsilyl)propenal (135) and ethyl 4-oxo-2-pentenoate (136) and the reagents, is realized in 152 min and gives the lactone 109 as a single isomer (>99% ee) at a 50% yield. The only chiral compound used in the sequence was the catalyst (R)-137. The Corey lactone 109 was also synthesized via the five operation in a total yield of 58% with four purifications and in a nearly optically pure form [97].
Scheme 30.
One-pot synthesis of Corey lactone 109 by catalyzed Michael/Michael addition. In pink is presented the moiety introduced in the molecules from the starting compound 136; in black, the moiety of the molecule from the starting compound 135.
The intramolecular RCM reaction of the acetoacetate of dialkene 142 (made in situ) in the presence of the second generation Grubbs’ catalyst 145 gave the cyclopentene intermediate 143 (procedure b). By procedure a, with the first-generation Grubbs’ catalyst 145a, the same yield of 143 was obtained in a two-step reaction. The treatment of 143 with methansulfonyl azide and deacetylation gave 144 at a 52% yield. A one-pot reaction from 142 gave 144 in a similar yield. The enantioselective intramolecular C-H insertion in the presence of chiral rhodium catalyst S-146, gave the lactone (−)-107 at a 73% yield and 91% ee. The chiral R-catalyst 146 gave the opposite oxabicyclic antipode lactone (+)-107 at a 59% yield (89% ee) (Scheme 31) [98]. It is worth mentioning that the chirality of both enantiomers was introduced in the last step with the chiral catalysts S-146, respectively, R-146.
Scheme 31.
Synthesis of γ-lactones: (−)-107 and (+)-107.
Synthesis of (−)-107 was also realized at a good yield by starting from the racemic (±)-147, which was easily obtained from cyclopentadiene. Both enantiomers of (−)- and (+)-147 were efficiently separated by lipase PS mediated resolution in >99% ee and good yields (Scheme 32) [99] and both were next used for their efficient enantio-convergent transformation into the same desired enantiomer (–)-oxabicyclo[3.3.0]oct-6-en-3-one, (−)-107. Enantiomer (+)-147 gave (−)-107 in an excellent 73% yield, in a two-step reaction: an Eschenmoser reaction with dimethylacetamide dimethyl acetal to 148, followed by the acid deprotection of both the functional group and the closure of the γ-lactone ring.
Scheme 32.
Synthesis of the key PG intermediate (−)-107 by an enantio-convergent synthesis, which uses both enantiomers (−)-147Ac and (+)-147 separated by a lipase-catalyzed resolution. In pink is the transformation of the pure enantiomer (−)-147 separated by lipase PS from the racemic (±)-147 into the desired enantiomerically pure γ-lactone (−)-107. In black is the transformation of the other enantiomer (+)-147 of the racemic (±)-147 into the same desired enantiomerically pure (−)-107.
The other enantiomer (−)-147Ac, separated as acetate in the enzyme resolution, was quantitatively hydrolyzed, protected as TBDMS ether and the cumuloxyether group was removed by a Birch reaction (Na in liq. NH3) to give (−)-149. This allylic alcohol was transformed then, by the same two reactions used for (+)-147: Eschenmoser and acid hydrolysis, into the same compound (−)-107 at a 67% yield (two steps) (Scheme 32). The procedure opens a new and efficient route for the important key PG intermediate (−)-107, by an enantioconvergent synthesis, which uses both enantiomers, separated by the enzyme resolution of (±)-147. Other procedures for obtaining optically active mono-protected diols like 147 are also presented in the literature [100,101,102,103,104].
The key prostaglandin intermediate (−)-107 was also obtained by a sequence of high yield reactions (Scheme 33) [105]: the lipase-mediated de-symmetrization of the meso-diol 152 at a quantitative yield, the change of the protection of the hydroxyls (153→154) (98%), the esterification of the free hydroxyl with phenyl vinyl sulfoxide (100%), the thermolysis of β-sulfoxyethyl ether, and the deprotection of the TBDMS group (60% over 2 steps) and the pyridinium chlorochromate (PCC) oxidation of the lactol to the γ-lactone (79%). This is also a facile route to the PG key intermediate (−)-107.
Scheme 33.
Synthesis of the key PG intermediate (−)-107 from 151 through lipase-mediated kinetic asymmetrization of compound meso-152.
In another procedure, the racemic γ-lactones 164 and 167 were obtained, by a lengthy and inefficient method as that of Aggarwal et coll. [84], starting from the commercially available monobenzyl ether of cis-1,4-but-2-enediol 157 (Scheme 34) [106,107]. The reaction with ethyl orthoacetate (10% hydroquinone catalyst) at 140–150 °C gave the protected allyl ketene acetal 158, which underwent thermal re-arrangement to the unsaturated ester 159 at a good yield (84%). The reduction with DIBAL-H at low temperature (−78 °C, 90%) or with LiAlH4 (rt, 91%) followed by the oxidation (rt, 88%), gave the aldehyde 160. The elongation of the chain with the Grignard reagent obtained from tert-butyl α-bromoacetate and magnesium, activated by methyl iodide, or with ethyl diazoacetate in the presence of tin (II) chloride as a catalyst, gave the β-hydroxy ester 161b and β-keto ester 161a in good yields. The chemo-selective reduction of 161a with sodium borohydride in ethanol gave 3-hydroxyester at an 85% yield as a mixture of diastereoisomers. The base hydrolysis of the ester gave the hydroxy acid 162 as a mixture of diastereoisomers, which was bicyclized (with potassium acetate in acetic anhydride at room temperature for 2 h and then in refluxing conditions for 3 h. For the mechanism of bicyclization, see Reference [106]) to 163 (endo-exo isomers, 3:1) at a 93% yield, and the next Baeyer-Villiger reaction (AcO3H, 90%) gave the γ-lactone 164 in the same ratio of inseparable isomers. The following bromohydrins (70%) were possible to separate and each de-hydro-brominated with 1-ethylpiperidine hypophosphite-AIBN to the Corey lactones 167 and 12-endo- 168. The all-cis lactone 168 is used for the synthesis of isoprostanes (See also Electronic Supplementary Information for [106]). The procedure is mentioned due to its ingenuity, but it does have some drawbacks: the low selectivity for obtaining cyclobutanone 163 as a mixture of endo-exo isomers (3:1), which remains until the final bromohydrines 165 and 166, and the fact that only racemic compounds are obtained.
Scheme 34.
Synthesis of Corey lactone 167 and of 12-endo-Corey lactone 168 (for obtaining isoprostanes).
2.2.4. Corey Lactones for the Synthesis of Isoprostanes
The Corey lactone is the key intermediate for introducing the cyclopentane fragment for all prostaglandin analogs in the Corey variant synthesis. For the synthesis of isoprostanes (IsoP), a distinct family of prostaglandins characterized mainly by a cis-arrangement of the two side chains [108]. An all cis-Corey lactone (for ex, 175 in Scheme 34, protected at the secondary alcohol) is required. Its synthesis, which was also presented in Scheme 33, can be found in the literature and a few variants are outlined below.
The all-cis-Corey lactone 175, which is a key intermediate in the process for obtaining ent-5-F2c-IsoP and 5-epi-ent-5-F2c-IsoP, was synthesized starting from the isomer tricyclic ketone 169. First, the optically active carboxylic acid 169 was treated with HCl, as for compound 99, to give 170 at an 82% yield (99% ee) (Scheme 35) [109,110]. Then, two routes to obtain the chloro δ-lactone 173 were followed. In the first route, 170→171→173, the Baeyer-Villiger reaction of ketone 170, gave regio-selectively δ-lactone 171 at an 88% yield and then the chloroformate of the acid was reduced to the chlorolactone alcohol 173 at a 66% yield. In the second route, first, the carboxylic group was reduced by the same procedure at an 85% yield to 172 and then the Baeyer-Villiger oxidation gave lactone 173 at a 63% yield. It should be noted that lactone 173 was obtained in about the same yield. The oxidation and reduction reactions have yields that are almost inverse in the mentioned routes. The bicyclic δ-lactone 173 was protected as p-methoxybenzyl (PMB) ether by treatment with p-methoxybenzyl tri-chloro-acetimidate in the presence of a catalytic amount of triphenylmethyl tetrafluoroborate at an 87% yield and then hydrolyzed and re-lactonized with LiOH/H2O2 in THF-water to give the all-cis protected Corey lactone 175 at an 82% yield, which is a key intermediate for the synthesis of isoprostanes.
Scheme 35.
The synthesis of all-cis-Corey lactone 175 starting from the isomer tricyclic ketone 169.
For the synthesis of isoprostanes of type 15-F3t, characterized by a cis-correlation of the hydroxyls and of the side chains to the cyclopentane ring, but a trans-correlation between the hydroxyls and the side chains, another strategy was developed by a new route to the key intermediates 177 and 179 (Scheme 36) [111]. δ-Lactone 179, used for the synthesis of 15-F3t-IsoProstane and its 15-epimer [111], was synthesized from the optically active intermediate (+)-176, readily obtained from 1,3-cyclooctadiene in five steps. After the protection of the hydroxyl groups and subsequent ozonolysis of the double bond and reductive work-up, the bicyclic diol 177 was obtained at a 78% yield. The diol was then selectively oxidized in the presence of the efficient catalyst 178 [111,112] for mild oxidative lactonization of 1,4-diols or 1,5-diols 177, giving the lactone 179 at a 91% yield. The diol intermediate 177 was enzymatically regio-selectively monoacetylated to the hydroxyl linked to the longer chain [113] and was also used for the synthesis of ent-7-epi-F2t-dihomo-IsoP, 17-F2t-dihomo-IsoP, and also of 5-F3t-IsoProstane [114].
Scheme 36.
Synthesis of the cis-trans-lactone 179 from 1,3-cyclooctadiene.
Other routes for obtaining Corey lactone key intermediates are presented in the literature starting from different raw materials (Figure 7), but these were not applied at a large-scale synthesis (See Reference [83]).
Figure 7.
Raw materials for other synthesis of Corey lactone.
- −
- An optically active compound 180, (obtained in 14.6% from 2-deoxy-D-ribose, in a nine-step reaction) was used to give the optically active ent-Corey lactone in four steps (~37%) [115].
- −
- An adduct of 3-carbomethoxy-2-pyrone (3-CMP) with vinylselenide, 181, was used in a six-step reaction (41%) to give (±)-Corey lactone substituted as Me ether at the primary alcohol and acetyl at the secondary one [116].
- −
- An optically active diazo compound 182 was used to give Corey lactone (−)-95 (R1 = p-PhBz) in six steps (~19%) [117].
- −
- The optically active compound 183 (obtained in three steps from dimethyl 3-oxoglutarate and glyoxal, followed by enzymatic demethoxycarbonylation) gave (−)-95 (R1 = Ac) in eight steps [118].
2.2.5. Other Lactonizations for Obtaining Corey γ-Lactone Intermediates of Type 185
A novel approach to Corey type γ-lactones 185 consists of the reduction of the keto group of the compound 184 with a reducing agent, such as lithium tri-sec-butylborohydride, at a low temperature (<−70 °C). In the base conditions of the reaction, the ring of γ-lactone 185 is closed, from the acid and the resulted alcohol, at a >80% yield [119] (Scheme 37). It is interesting that the compound 184 is obtained by the coupling of the ω-side chain to a cyclopentenone intermediate and the following steps are continued by the Corey procedure for building the α-side chain.
Scheme 37.
The formation of Corey type γ-lactones 185 by selective reduction of the keto-ester prostaglandin intermediates of types 184.
2.2.6. δ-Lactones in the Synthesis of Prostaglandins
δ-Lactones 186, with R = COOH, or ester, CH2OH, or protected as ether or ester, aldehyde or protected aldehyde (for ex., dimethyl acetal), are closely linked to the procedure for the synthesis of the corresponding Corey lactones starting from norbornadiene. In this procedure, δ-lactones 186 are only transient intermediates to γ-lactones 187, as shown in Scheme 38 (See also Scheme 20, Scheme 24, Scheme 25, Scheme 28 and Scheme 35).
Scheme 38.
Transformation of δ-lactones 186 into Corey γ-lactones 187 and Prostaglandin intermediates 188 and 189. In pink are presented the ω-side chains, where the modifications are made in this transformation.
A few procedures for obtaining prostaglandins took into account the advantage that aldehyde 186 (R = CHO) could be used directly in the E-HEW selective olefination for building the ω-side chain of the enones 188. The E-HEW selective olefination of aldehyde 187 (R = CHO) to enone 189 needs the protection of the secondary alcohol. Therefore, one less step is excluded in the direct olefination of aldehyde 186. This advantage was used for example in the synthesis of dimoxaprost through the enone 188a [66,120,121], Cloprostenol, fluprostenol, travoprost through the enones 188b [66,122,123], PGF2α through the enone 188c [66], and others. The δ-lactone enones 188 were also used for obtaining 9β-halogenated prostaglandin analogs (See Section 2.4, below) or 9β-halogenated cyclopentane intermediates (See Schemes in Section 2.4 [87,88]). In conclusion, both δ-lactones and γ-lactones are key intermediates for building the core cyclopentane fragment of the prostaglandins and their analogs.
2.3. The Use of Enzymes for Obtaining Enantiomerically Pure Key δ-Lactone and γ-Lactone Intermediates for the Synthesis of Prostaglandins
The chemical separation of racemic intermediates by the resolution of an acid intermediate with optically active amines, like R-(+)-phenylethylamine. L-ephedrine is efficiently utilized for obtaining optically pure enantiomers of the key intermediates used for the synthesis of optically active prostaglandins and their synthetic analogs. Enzyme biocatalytic transformations were also widely applied to produce almost the same optically active key intermediates. Though intensive research studies have been done for obtaining chiral intermediates for building the ω-side chain, these will not be discussed in this paper. Here, we are interested in the enzyme research paper dealing with obtaining enantiomerically pure δ-lactones and γ-Corey lactones. In principle, the enzyme acetylates selects only one enantiomer of the racemate or hydrolyzes selectively only one acetate of the racemate acetates. This enzymatic separation of enantiomers was applied at different intermediates from the sequences to obtain the final optically active Corey lactone intermediate (−)-109.
2.3.1. Selective Enzyme de-Acetalization (Acetate Hydrolysis)
The enzyme resolution of an earlier intermediate in the sequence of synthesis of the Corey lactone has been done by the selective hydrolysis of the acetate group of the enantiomer intermediate (−)-191, with porcine pancreatic lipase in aqueous phosphate buffer at rt [124]. The hydrolysis was finished when the ratio of enantiomers became nearly ~1:1 and the enantiomer excess of (+)-190 surpassed 98% ee. During work-up, the acetate of the desired isomer (+)-191Ac was separated at an organic phase (ethyl acetate-hexane, 1:1) and the hydrolyzed enantiomer (−)-191 in an aqueous phase. Therefore, the separation of enantiomeric compounds was easy. The following three steps until the Corey lactone acetate (−)-103Ac and ent-Corey lactone (+)-103 are standard (see Scheme 39).
Scheme 39.
Enzymatic resolution of the ketone (±)-190 with porcine pancreatic lipase. The route for transformation of the (+)-191Ac into the desired enantiomerically pure Corey γ-lactone (−)-103Ac is presented in pink. The same transformation of the un-desired enantiomer (−)-191 into ent-Corey lactone acetate (+)-103Ac is presented in black.
Enzymatic hydrolysis of the acetate was also performed with the racemic Corey compound 194 to separate the enantiomers with lipase PS (Amano, Pseudomanas sp.) in 0.1 M phosphate buffer at a pH of 7.6 at 30 °C for 48 h. The target alcohol (−)-195 and the un-hydrolyzed acetate ent-(+)-194 were obtained in greater than 99% ee and in good yields (Scheme 40) [125].
Scheme 40.
Enantiomer separation by selective enzyme deacetylation of racemic 194. The desired enantiomer is presented in pink.
2.3.2. Selective Enzyme Acetalization
This procedure is mentioned in the literature for the Corey lactone (±)-109 and for an earlier key intermediate, the γ-lactone (±)-107.
The racemic Corey lactone (±)-109 was separated in enantiomers by the selective enzymatic acetylation with lipases of only the wanted enantiomer (−)-109, the most important results being obtained with Lipase Amano AK in DCM, using vinyl acetate as an acetate reagent (Scheme 41) [126].
Scheme 41.
Enzymatic resolution of racemic Corey lactone (±)-109. The desired enantiomer is presented in pink.
Another acylation was realized by the enzymatic transesterification of the racemic mixture of 5-p-phenylbenzoate (±)-109a with tributyrin (glycerol tributyrate) in the presence of lipase (triacetylglycerol-acylhydrolase EC 3.1.1.3, type VII from Candidu cylindracea from Sigma) [127,128]. In this case, the enantiomer was acylated to the free primary alcohol to give 5-p-phenylbenzoate-4-butyryloxymethyl lactone (+)-109a (Scheme 42).
Scheme 42.
Enzymatic resolution of racemic Corey lactone (±)-109a (5-p-phenylbenzoate). The desired enantiomer is presented in pink.
The racemic γ-lactone intermediate 107 was efficiently separated into (−)-107 and its enantiomer (+)-107, by enzymatic resolution with lipases: AK, PS, Amano M10, T, AP6, MY, CP, AL, PL266, and PL697 by selective acetylation of the only enantiomer to (+)-107, in yields ranging from 91.6% to 98.5% and 90.0% to 99.7% ee, with the best results being obtained with lipase AK (98.5% yield, 99.7% ee) (Scheme 43) [129].
Scheme 43.
Enzymatic resolution of the racemic γ-lactone 107 into optically active enantiomers (−)-107 and (+)-107. The desired enantiomer (−)-107 (in pink) remained pure; only the enantiomer (+)-107 of the racemic was acetylated to (+)-107 acetate as acid (in black).
Enzymes were also used in the microbiological mediated Baeyer-Villiger reaction of the racemic cyclobutanone (±)-106 to obtain the optically active (−)-107 at a 40% yield and >97% ee (Scheme 44a) [130]. A slightly improved procedure gave a 46% yield [131]. In the reaction with a whole cell culture Actinobacter TD 63, the abnormal” lactone (+)-195 also resulted in high regioselectivity and in high ee selectivity. This unexpected regio-isomer (+)-195 is important for its use in other applications because it cannot be synthesized selectively by chemical oxidation [132]. Later, regioselectivity of 2-oxo-Δ3-4,5,5-trimethylcyclopentenylacetyl-CoA monooxygenase from Pseudomonas putida (OTEMO) for the Baeyer-Villiger oxidation of cis-bicyclo[3.2.0]hept-2-en-6-one (±)-106 was studied [133]. It was found that the regioselectivity could be oriented to the “normal” optically active lactone (−)-107 at a 90% yield with the mutant F255A/F443V, or to the “abnormal product” (+)-195 in up to a 98% yield with the mutant variant W501V. The study also used (+)-106 and (−)-106 in the reactions to follow the regioselectivity of the reactions with different OTEMO mutants. The OTEMO wild type enzyme converts (−)-106 to an equal (50:50) mixture of normal and abnormal lactones.
Scheme 44.
Bio-catalyzed Baeyer-Villiger oxidation of (±)-106 lactone: (a) with whole cell culture Actinobacter TD 63 catalyst (b) with Escherichia coli TOP10[pQR239] cyclohexanone monooxygenase (CHMO). The desired enantiomer is presented in pink.
With cloned cyclohexanone monooxygenase into Escherichia coli TOP10[pQR239], Baeyer-Villiger catalyzed oxidation of racemic 106, which gave an equimolar mixture of (−)-1(S),5(R)-107 and its enantiomer (−)-1(R),5(S)-107 on a pilot scale fermentation process [134,135], which were separated by low pressure chromatography (Scheme 44b). Further improvements in this reaction are expected to decrease the cost of the enantiomeric lactones and also that of the abnormal oxidation product.
2.4. The Use of δ-Lactones for Obtaining 9β-Halo-Prostaglandins and 9β-Halogenocyclopentane Intermediates
In Section 2.2, the halogen was used for its intramolecular substitution by the carboxylate anion with the formation of the γ-lactone ring. In this section, the halogen is kept unsubstituted in order to be used for obtaining 9β-halogenated prostaglandins or other halogenated cyclopentane intermediates. A lot of 9 (9α or 9β) or 11 (11α or 11β) halogenated prostaglandins have cytoprotective [135,136] or anti-trombotic activity [137,138,139], have promising results in the treatment of fertility problems [140], or in reducing the intraocular pressure [141], or can mimic the keto group to have great affinity to the PGE2 [137], PGD2 [136,137] receptors or the EP2 subtype receptor, which is the PGE2 receptor subtype [142]. These halogenated analogs were synthesized starting from the parent prostaglandin mainly by the following sequence: mesylation or tosylation of the hydroxyl group, SN2 substitution of the newly introduced good leaving group by the reaction with an inorganic or organic chloride, fluoride, or bromide salt [137,138,143,144,145,146]. Other alternatives were the Mitsunobu reaction [138,139] or fluorination with DAST [138] or diethyl (2-chloro-1,1,2-trifluoroethyl)amine [138] of the free hydroxyl of the specified prostaglandin.
A single example started from the chloro δ-lactone intermediate 196 (R = Bn, TBDMS, TBDPhS) for the synthesis of nocloprost, a 9β-chloro-prostaglandin analog, as depicted in Scheme 45. Let us notice that 196 has its chlorine atom in the correct position for obtaining 9β-chloro-prostaglandins, which is a position that was maintained during all steps of the nocloprost synthesis [143].
Scheme 45.
Synthesis of nocloprost from δ-lactone 196.
A different option was to use the δ-lactone intermediates 199, having already the ω-side chain with the 15-keto group, to synthesize new 9β-halogenated prostaglandin analogs 200–201 by opening the lactone group with saturated diols (n = 2 to 5) or 2-butyne-1,4-diol in the presence of an acid catalyst, like TsOH, with or without an inert solvent, as presented in Scheme 46 [147,148].
Scheme 46.
Synthesis of 9β-halogenated prostaglandin analogs 200–201 by the reaction of δ-lactones 199 with diols in an acid catalysis. The α-side chains introduced with diols in the prostaglandin molecules are presented in red.
These compounds have an ester group in position 6 of the prostaglandin α-side chain and an alcohol group instead of a C-1 carboxyl group, spaced by two to six methylene groups from the oxygen of the ester group. The best results were obtained for 1,4-butanediol. Notice that the α-side chain of this prostaglandin analogue mimics the length of the α-side chain of prostaglandins, but has a hydroxyl group instead of a carboxyl one [148]. The opening of the δ-lactone 202a, with the allylic alcohol in the ω-side chain, proceeded at a very good yield (93% for 202a to 203a. For a similar reaction, epi-202a was slightly impurified with 203a, but the total yield of epi-203a was also high) (Scheme 47). Compounds 202b and 203b (with 3-trifluorophnoxy instead of 3-chlorophenoxy) [148] were also synthesized.
Scheme 47.
Synthesis of 9β-halogenated prostaglandin analogs 202 and 203 by the reduction of compounds 199a and 200e. The α-side chain introduced with 1,4-butandiol in the prostaglandin molecules 203 are presented in pink.
The reduction of enone 200e with diisobornyloxyaluminium isopropoxide, NaBH4-CeCl3 or NaBH4-Dowex 1 × 8 to the allylic alcohols 203a and epi-203a was not selective. The alcohols were formed in an almost 1:1 ratio. The separation of the isomers was performed by low pressure chromatography (LPC). The similar reduction of the δ-lactone intermediate 199a proceeded in almost the same 1:1 ratio of allylic alcohols 202a and epi-202a.
Compounds 200–203 were used in a molecular docking study to predict their potential cyto-protective (anti-ulcer) activity, with omeprazole (co-crystallized with the enzyme) and nocloprost being used as standards. All 9β-halogenated compounds and nocloprost with docking scores greater than that of omeprazole. The majority of the 9β-halogenated analogs (12 compounds) have a docking score greater than that of nocloprost, indicating that their cytoprotective (anti-ulcer) activity could be greater than that of nocloprost, which gave an impulse to further study the compounds [149].
A series of PGE1 analogues with an ester group in the 6th-position with mainly cytoprotective activity is also mentioned in the literature [150].
δ-Lactone intermediates of type 199 could be hydrogenated, as a step to obtain 13,14-hydrogenated prostaglandins. However, this hydrogenation is usually performed at the next step of the corresponding Corey compound with an ω-side chain. Hydrogenation of 199a to 204a was performed in >88.1% in an isolated compound after LPC purification (Scheme 48) [123].
Scheme 48.
Hydrogenation of enone 199a with a δ-lactone fragment to the ketone-compound 204a.
δ-Lactones were also transformed into useful halogenated cyclopentane intermediates to be used as synthons in fine organic chemistry. Previously, δ-lactone 114 and the protected lactones with ether or ester groups like 116 were used to transform in the Corey γ-lactones with a different protection at the primary alcohols, especially with an ether group, followed by a sequence of reactions to protect the secondary alcohol and free the primary alcohol group or protect it with a complementary protecting group to be used in the next steps of the convergent prostaglandin synthesis to build the ω-side and α-side chain in the desired order. The only role of the halogen was to be intramolecularly substituted by the carboxylate anion, obtained by alkaline hydrolysis of the ester group, and to close the γ-lactone ring.
The intermediate halogenated cyclopentane compounds with four chiral carbon atoms are valuable to other chemical directions. Therefore, their synthesis, isolation, and protection of the secondary and primary alcohol groups is desirable.
The acid methanolysis of the benzoate lactone 116 gives mainly ester 117 with an amount of unprotected compound 115, which increases with the reaction time. In a 1:1 mixture of methanol-CH2Cl2, the reaction goes cleanly to 117 at a quantitative yield in two days at rt. p-Nitrobenzoate give the corresponding compound 117a at a 94.5% yield. Acetate 116b is also partially hydrolyzed with 117b being obtained at a 68.6% yield (see Scheme 49 and Table 4) [81,82]. The unprotected δ-lactone 114 was methanolized quantitatively to the chloro ester 115.
Scheme 49.
Transformation of δ-lactone alcohol 114 in 5β-chloro-cyclopentane intermediates.
Table 4.
5β-Chloro-cyclopentane intermediates obtained by acid alcoholysis of δ-lactones 114 and 116.
Chloro esters 117 were protected at the secondary alcohol with an ether protecting group (TBDMS, trityl, THP) to 207. After the deprotection of the ester group, the primary alcohol is protected with the same or with a different ether group to 208. The primary alcohol group of chloro ester 115 was selectively protected to 205 with TBDMS and trityl or protected at both hydroxyl groups with the same protecting group. It is worth pointing out that the yields for obtaining different protected 5-chloro-cyclopentane compounds were high.
Other useful chloro ester compounds 211 [151] were obtained in the transesterification of the compounds 210 (obtained from δ-lactone 127 (Scheme 27) in two steps: 127→128→210 [92]), unprotected or then protected as TBDMS, benzoate, and THP, with K2CO3 in methanol (Scheme 50). The TBDMS and benzoate groups were lost during the reaction and chloro ester 211a was obtained as an oil in a good yield (n = 0, 93.0% and 84.5% yield from 210a, n = 1, 70.1% and 75.4% from 210b). While the loss of the benzoate group was an expected outcome of the reaction, the loss of the TBDMS protective group was less anticipated. However, there are mentions in the literature about unexpected deprotection of TBDMS in base conditions [152,153]. The transesterification of bis-THP protected chloro esters 210c gave the THP protected chloro esters 211c in a good yield (n = 0, 83%, n = 1, 72%). The chloro esters 211a could be protected at the secondary alcohol with the needed ether or ester group. The chloro esters 115, 117, 205, 207, and 211 could be used for building new compounds with these chloro-cyclopentane scaffolds.
Scheme 50.
Transesterification of the compounds 128 with 2.5 equiv. K2CO3 in methanol to the chloroesters 211.
3. Conclusions
The paper describes the synthesis of three types of lactones encountered in the total stereo-controlled synthesis of PGs: 1,9-, 1,11-, and 1,15-lactones, δ- and γ-Corey lactones. 1,15-PG-macrolactones of types of E2, E3, F2, F3, A2, and A3 were found in the marine molluscs Tethys fimbria and were synthesized to understand their role in the organism. Other 1,9-,1,11-, and 1,15-PG lactones of natural PGs and their analogs, especially drugs, were synthesized as an alternative to esters and also as intermediates for obtaining 5-trans free drugs. The methods for their synthesis are explicitly described in each case.
As key intermediates for the convergent synthesis of PGs by the Corey procedure, δ-lactones and γ-lactones represent a milestone for introducing the three or four stereo-centers on the cyclopentane fragment necessary for hydroxyls and for chemical groups to link to the PG side chains. We first lay the foundation and carefully outline the standard and most popular methods for the synthesis of lactones, starting from different racemic or optically active raw materials. We then present improvements of these standard methods, and new promising methods, interesting from the practical and/or from the research point of view. We analyze new interesting catalyzed enantio-selective or stereo-controlled reactions, chemical, or enzymatic resolution of the compounds in different steps of the sequences to PGs. Throughout the presentation, the common goal we follow is to obtain optically active lactones. The paper aims to give the reader a comprehensive overview of the lactones in the field of the prostaglandins, starting from the naturally occurring lactones, continuing with their synthesis (to gain a better understanding of the vital role they play in the metabolism, and to study their applications as a replacement for the C-1 esters and for the preparation of 5-trans-free prostaglandin isomers), and progressing to the key δ-lactone and γ-lactone intermediates in the milestone Corey strategy for obtaining all series of prostaglandins, in leukotrienes and isoprostane prostaglandin analogs. We also review the use of δ-lactones for obtaining halogen-substituted cyclopentane intermediates with interesting configurations, as synthons in the synthesis of 9β-halogeno-PG analogs (mainly chloro), and also for future applications.
Author Contributions
Conceptualization, C.T. Methodology, C.T. Investigation, L.P. and R.E.T. Writing original draft preparation, C.T. Writing—review and editing, C.T. and R.E.T. All authors have read and agreed to the published version of the manuscript.
Funding
This research was funded by the Ministry of Education and Research, grant number NUCLEU: PN19-41 01 01, 2019.
Institutional Review Board Statement
Not applicable.
Informed Consent Statement
Not applicable.
Data Availability Statement
Not applicable.
Conflicts of Interest
The authors declare no conflict of interest.
References
- Gil, S.; Parra, M.; Rodriguez, P.; Segura, J. Recent Development in γ-lactone synthesis. Mini-Rev. Org. Chem. 2009, 6, 345–358. [Google Scholar] [CrossRef]
- Van der Schaft, P.H.; ter Burg, N.; van den Bosch, S.; and Cohen, A.M. Microbial production of natural δ-decalactone and δ-dodecalactone from the corresponding α,β-unsaturated lactones in Massoi bark oil. Appl. Microbiol. Biotechnol. 1992, 36, 712–716. [Google Scholar] [CrossRef]
- Liu, Q.-A.; Zheng, J.-J.; Gu, Y.-C.; Wang, C.-Y.; Shao, C.-L. The Chemistry and Bioactivity of Macrolides from Marine Microorganisms. Stud. Nat. Products Chem. 2015, 353–401. [Google Scholar] [CrossRef]
- Garratt, P.J. 1.7—Alkylations of Alkynyl Carbanions. Reference Module in Chemistry, Molecular Sciences and Chemical Engineering. Compr. Org. Synth. 1991, 3, 271–292. [Google Scholar]
- Parenty, A.; Moreau, X.; Campagne, J.-M. Macrolactonizations in the Total Synthesis of Natural Products. Chem. Rev. 2006, 106, 911–939. [Google Scholar] [CrossRef] [PubMed]
- Lohsen, S.; Stephens, D.S. Current Macrolide Antibiotics and Their Mechanisms of Actions. In Antibiotic Drug Resistance; Capelo-Martinez, J.-L., Igrejas, G., Eds.; John Wiley & Sons: Hoboken, NJ, USA, 2019; pp. 97–117. [Google Scholar] [CrossRef]
- Mazur, M.; Włoch, A.; Bahri, F.; Pruchnik, H.; Pawlak, A.; Obmińska-Mrukowicz, B.; Maciejewska, G.; Gładkowski, W. Chemoenzymatic Synthesis of Enantiomeric, Bicyclic δ-Halo-γ-lactones with a Cyclohexane Ring, Their Biological Activity and Interaction with Biological Membranes. Biomolecules 2020, 10, 95. [Google Scholar] [CrossRef] [PubMed]
- Di Costanzo, F.; Di Dato, V.; Ianora, A.; Romano, G. Prostaglandins in Marine Organisms: A Review. Mar. Drugs 2019, 17, 428. [Google Scholar] [CrossRef] [PubMed]
- Cimino, G.; Spinella, A.; Sodano, G. Naturally occurring prostaglandin-1,15-lactone. Tetrahedron Lett. 1989, 30, 3589–3592. [Google Scholar] [CrossRef]
- Corey, E.J.; Nicolaou, K.C.; Melvin, L.S. Letter: Synthesis of novel macrocyclic lactones in the prostaglandin and polyether antibiotic series. J. Am. Chem. Soc. 1975, 97, 653–654. [Google Scholar] [CrossRef] [PubMed]
- Cimino, G.; Crispino, A.; Di Marzo, V.; Sodano, G.; Spinella, A.; Villani, G. A marine mollusc provides the first example of in vivo storage of prostaglandins: Prostaglandin-l,15-1actones. Experientia 1991, 47, 56–60. [Google Scholar] [CrossRef]
- Cimino, G.; Crispino, A.; Di Marzo, V.; Spinella, A.; Sodano, G. Prostaglandin 1,15-lactones of the F series from the nudibranch mollusk Tethys fimbria. J. Organ. Chem. 1991, 56, 2907–2911. [Google Scholar] [CrossRef]
- Di Marzo, V.; Cimino, G.; Crispino, A.; Minardi, C.; Sodano, G.; Spinella, A. A novel multifunctional metabolic pathway in a marine mollusc leads to unprecedented prostaglandin derivatives (prostaglandin 1,15-lactones). Biochem. J. 1991, 273, 593–600. [Google Scholar] [CrossRef] [PubMed]
- Di Marzo, V.; Minardi, C.; Vardaro, R.R.; Mollo, E.; Cimino, G. Prostaglandin F-1,15-lactone fatty acyl esters: Aprostaglandin lactone pathway branch developed during the reproduction and early larval stages of a marine mollusc. Comp. Biochem. Physiol. 1992, 101B, 99–104. [Google Scholar] [CrossRef]
- De Petrocellis, L.; Di Marzo, V. Aquatic intervertebrates open up new perspectivess in eicosanoid research: Biosynthesis and Bioactivity. Prostaglandins Leukotrienes Essential Fatty Acids 1994, 51, 215–219. [Google Scholar] [CrossRef]
- Stoner, E.J.; Negrón, G.; Gaviño, R. 2,2′-Dipyridyl Disulfide. Encycl. Reagents Org. Synth. 2005, 1–3. [Google Scholar] [CrossRef]
- Bundy, G.L.; Peterson, D.C.; Cornette, J.C.; Miller, W.L.; Spilman, C.H.; Wilks, J.W. Synthesis and biological activity of prostaglandin lactones. J. Med. Chem. 1983, 26, 1089–1099. [Google Scholar] [CrossRef]
- Bundy, G.L. 1,9-Lactone von prostaglandinderivaten und verfahren zu ihrer herstellung. DE Patent Application No. 2,627,675 A1, 21 June 1976. [Google Scholar]
- Bundy, G.L. Prostaglandin artige 1,11-lactone und ein verfahren zu ihrer herstellung. DE Patent Application No. 2,627,674 A1, 21 June 1976. [Google Scholar]
- Bundy, G.L. Prostaglandin artige 1,15-lactone sowie verfahren zu deren herstellung. DE Patent Application No. 2,627,673 A1, 21 January 1976. See also DE Patent 2,627,671, 13 January 1977 for 1,15-, 1,11- and 1,9-Prostaglandin Lactones. [Google Scholar]
- Peterson, D.C. 9-Deoxy-PGD-type, 1,15-lactones. U.S. Patent 4,049, 678, 20 September 1977. [Google Scholar]
- Maxey, K.M.; Stanton, M.L. Preparation of Macrocyclic 1,15-lactones of Fluprostenol and Related Prostaglandin F2a Analogs for Use in the Treatment of Glaucoma and Intraocular Hypertension. International Patent Application No. PCT/WO2001057015 A1, 9 August 2001. [Google Scholar]
- Maxey, K.M.; Stanton, M.L. Internal 1,15-lactones of Fluprostenol and Related Prosraglandin F2α Analogs and their Use in the Treatment of Glaucoma and Intraocular Hypertension. U.S. Patent 7,674,921 B2, 9 March 2010. [Google Scholar]
- Maxey, K.M.; Johnson, J. Prostaglandin F2α Analogs and their use in Combination with Antimicrobial Proteins for the Treatment of Glaucoma and Intraocular Hypertension. International Patent Application No. PCT/WO2003/079997, 2 October 2003. [Google Scholar]
- Gluchowski, C. Preparation of Intraocular Pressure-Reducing 1,11-lactone Prostaglandins. U.S. Patent 4,927,846, 22 May 1990. [Google Scholar]
- Wei, S.-Y.; Yeh, Y.-C.; Hsu, M.-K.; Kao, L.-T. Processes and Intermediates for the Preparations of Isomer Free Prostaglandins. U.S. Patent 9,115,109 B2, 25 August 2015. [Google Scholar]
- Corey, E.J.; Brunelle, D.J. New reagents for the conversion of hydroxy acids to macrolactones by the double activation method. Tetrahedron Lett. 1976, 17, 3409–3412. [Google Scholar] [CrossRef]
- Inanaga, J.; Hirata, K.; Saeki, H.; Katsuki, T.; Yamaguchi, M. A rapid esterification by means of mixed anhydride and its application to large-ring lactonization. Bull. Chem. Soc. Jpn. 1979, 52, 1989–1993. [Google Scholar] [CrossRef]
- Nicolaou, K.C. Synthesis of Macrolides. Tetrahedron 1977, 33, 695, 683–710. [Google Scholar] [CrossRef]
- Shiina, I.; Ibuka, R.; Kubota, M. A New Condensation Reaction for the Synthesis of Carboxylic Esters from Nearly Equimolar Amounts of Carboxylic Acids and Alcohols Using 2-Methyl-6-nitrobenzoic Anhydride. Chem. Lett. 2002, 31, 286–287. [Google Scholar] [CrossRef]
- Shiina, I.; Kubota, M.; Ibuka, R. A novel and efficient macrolactonization ofω-hydroxycarboxylic acids using 2-methyl-6-nitrobenzoic anhydride (MNBA). Tetrehedron Lett. 2002, 43, 7535–7539. [Google Scholar] [CrossRef]
- Shiina, I.; Kubota, M.; Oshiumi, H.; Hashizume, M. An Effective Use of Benzoic Anhydride and Its Derivatives for the Synthesis of Carboxylic Esters and Lactones: A Powerful and Convenient Mixed Anhydride Method Promoted by Basic Catalysts. J. Org. Chem. 2004, 69, 1822–1830. [Google Scholar] [CrossRef]
- Shiina, I. An Adventurous Synthetic Journey with MNBA from Its Reaction Chemistry to the Total Synthesisof Natural Products. Bull. Chem. Soc. Jpn. 2014, 87, 196–233. [Google Scholar] [CrossRef]
- Nicolaou, K.C.; Pulukuri, K.K.; Rigol, S.; Heretsch, P.; Yu, R.; Grove, C.I.; Hale, C.R.H.; El Marrouni, A.; Fetz, V.; Brönstrup, M.; et al. Synthesis and Biological Investigation of Δ12-Prostaglandin J3 (Δ12-PGJ3) Analogues and Related Compounds. J. Am. Chem. Soc. 2016, 138, 6550–6560. [Google Scholar] [CrossRef]
- Nicolaou, K.C.; Pulukuri, K.K.; Rigol, S.; Peitsinis, Z.; Yu, R.; Kishigami, S.; Cen, N.; Aujay, M.; Sandoval, J.; Zepeda, N.; et al. Short Total Synthesis of Δ12-Prostaglandin J2 and Related Prostaglandins. Design, Synthesis, and Biological Evaluation of Macrocyclic Δ12-Prostaglandin J2 Analogues. J. Org. Chem. 2019, 84, 365–378. [Google Scholar] [CrossRef] [PubMed]
- Narasaka, K.; Maruyama, K.; Mukaiyama, T. A useful method for synthesis of macrocyclic lactone. Chem. Lett. 1978, 8, 885–888. [Google Scholar] [CrossRef]
- Meng, Q.; Hesse, M. Ring Closure Methods in the Synthesis of Macrocyclic Natural Products. Topics in Current Chemistry; Springer: Berlin/Heidelberg, Germany, 1991; Volume 161, pp. 107–176. [Google Scholar] [CrossRef]
- Ohba, Y.; Takatsuji, M.; Nakahara, K.; Fujioka, H.; Kita, Y. A Highly Efficient Macrolactonization Method via Ethoxyvinyl Ester. Chem. Eur. J. 2009, 15, 3526–3537. [Google Scholar] [CrossRef]
- Justus, K.; Steglich, W. First Synthesis of a Strained 14-Membered Biaryl Ether Lactone by Macrolactonization. Tetrahedron Lett. 1991, 32, 5781–5784. [Google Scholar] [CrossRef]
- Kasar, R.A. Chapter I, Macrolactonization in the Synthesis of Biologically Active Macrocyclic Lactones Methodologies and Reagents: A Review. In Total Synthesis of Macrolides Rminus_plus_minusPatulolide A and Monocillins. Ph.D. Thesis, Savitribai Phule Pune University, Pune, India, 1991. Available online: http://hdl.handle.net/10603/149716 (accessed on 7 August 2020).
- Noyori, R.; Suzuki, M. Prostaglandin Syntheses by Three-Component Coupling. New Synthetic Methods. Angew. Chem. Int. Ed. 1984, 23, 847–876. [Google Scholar] [CrossRef]
- Fürstner, A. Olefin metathesis and beyond. Angew. Chem. Int. Ed. 2000, 39, 3012–3043. [Google Scholar] [CrossRef]
- Li, J.; Shmed, T.S.; Xu, C.; Stolz, B.M.; Grubbs, R.H. Concise Synthesis of ∆12-Prostaglandin J natural products via stereoretentive metathesis. J. Am. Chem. Soc. 2019, 141, 154–158. [Google Scholar]
- Fürstner, A.; Grela, K. Ring-closing alkyne metathesis: Application to the stereoselective total synthesis of prostaglandin E2-1,15-Lactone. Angew. Chem. Int. Ed. 2000, 39, 1234–1236. [Google Scholar] [CrossRef]
- Fürstner, A.; Grela, K.; Mathes, C.; Lehmann, C.W. Novel and Flexible Entries into Prostaglandins and Analogues Based on Ring Closing Alkyne Metathesis or Alkyne Cross Metathesis. J. Am. Chem. Soc. 2000, 122, 11799–11805. [Google Scholar] [CrossRef]
- Yiannikouros, G.P.; Kalaritis, P.; Gamage, C.P.; Abernathy, S.B. Synthesis of Prostanoids via a Ring-Closing Metathesis with Grubb’s Catalyst. International Patent Application No. PCT/WO2011008756A1, 20 January 2011. ibid. U.S. patent 8,476,471 B2, 2 July 2013. [Google Scholar]
- Pandya, B.; Snapper, M.L. A Cross-Metathesis Route to the5-F2-Isoprostanes. J. Org. Chem. 2008, 73, 3754–3758. [Google Scholar] [CrossRef] [PubMed]
- Xu, C.; Shen, X.; Hoveyda, A.H. In Situ Methylene Capping: A General Strategy for Efficient Stereoselective Catalytic Olefin Metathesis. The Concept, Methodological Implications, and Applications to Synthesis of Biologically Active Compounds. J. Am. Chem. Soc. 2017, 139, 10919–10928. [Google Scholar] [CrossRef]
- Hoveyda, A.H.; Xu, C.; Shen, X. Method of Making a Cross Metathesis Product. International Patent Application No. PCT/WO 2019/018773 A1, 24 January 2019. ibid. U.S. Patent Application 2020/0123197 A1, 23 April 2020. [Google Scholar]
- Sheddan, N.A.; Mulzer, J. Cross Metathesis as a General Strategy for the Synthesis of Prostacyclin and Prostaglandin Analogues. Org. Lett. 2006, 8, 3101–3104. [Google Scholar] [CrossRef]
- Trnka, T.M.; Morgan, J.P.; Sanford, M.S.; Wilhelm, T.E.; Scholl, M.; Choi, T.-L.; Ding, S.; Day, M.W.; Grubbs, R.H. Synthesis and Activityof Ruthenium Alkylidene Complexes Coordinated with Phosphine and M-Heterocyclic Carbene Ligands. J. Am. Chem. Soc. 2003, 125, 2546–2558. [Google Scholar] [CrossRef] [PubMed]
- Ivanics, J.; Riss, I.; Galambos, G.; Dorman, G.; Kanai, K.; Kovacs, G.; Ori, J. 5-Hydroxy-PGF1α-1,5-lacton-Derivate, Verfahren zu deren Herstellung sowie diese Verbindung anthaltende pharmazeutische Praparate. DE Patent 3,742,437, 23 June 1988. 5-Hydroxy-PGF1alfa-1,5-lactones. GB Patent 2,198,730, 22 June 1988. [Google Scholar]
- Acharya, H.P.; Kobayashi, Y. Total Synthesis of 2-(5,6-Epoxyisoprostane A2) phosphorylcholine and Elucidation of the Relative Configuration of the Isoprostane Moiety. Angew. Chem. Int. Ed. 2005, 44, 3481–3484. [Google Scholar] [CrossRef] [PubMed]
- Egger, J.; Bretscher, P.; Freigang, S.; Kopf, M.; Carreira, E.M. Discovery of a Highly Potent Anti-inflammatory Epoxyisoprostane Derived Lactone. J. Am. Chem. Soc. 2014, 136, 17382–17385. [Google Scholar] [CrossRef] [PubMed]
- Wolleb, H.; Ogawa, S.; Schneider, M.; Shemet, A.; Muri, J.; Kopf, M.; Carreira, E.M. Synthesis and Structure−Activity Relationship Studies of AntiInflammatory Epoxyisoprostane Analogues. Org. Lett. 2018, 20, 3014–3016. [Google Scholar] [CrossRef]
- Teiber, J.F.; Xiao, J.; Kramer, G.L.; Ogawa, S.; Ebner, C.; Wolleb, H.; Carreira, E.M.; Shih, D.M.; Haley, R.W. Identification of biologically actived-lactone eicosanoids as paraoxonase substrates. Biochem. Biophys. Res. Commun. 2018, 505, 87–92. [Google Scholar] [CrossRef]
- Yamauchi, S.; Takeda, K.; Ganaha, M.; Kinoshito, Y. Synthesis of (R)-6,7-dihydro-5-HETE lactone and(S)- 6,7-dihydro-5-HETE lactone by using novel yeast reduction as a key reaction. J. Chem. Soc. Perkin Trans I 2002, 2156–2160. [Google Scholar] [CrossRef]
- Corey, E.J.; Weinschenker, N.M.; Schaaf, T.K.; Huber, W. Stereo-controlled synthesis of dl-prostaglandin F2alfa and E2. J. Am. Chem. Soc. 1969, 91, 5675–5677. [Google Scholar] [CrossRef] [PubMed]
- Corey, E.J.; Ensley, H.E. Preparation of an Optically Active Prostaglandin Intermediate via Asymmetric Induction. J. Am. Chem. Soc. 1975, 97, 6908–6909. [Google Scholar] [CrossRef]
- Corey, E.J.; Imai, N.; Pikul, S. Catalytic Enantioselective Synthesis of a Key Intermediate for the Synthesis of Prostanoids. Tetrahedron Lett. 1991, 32, 7517–7520. [Google Scholar] [CrossRef]
- Miyaji, K.; Ohara, Y.; Takahashi, Y.; Tsuruda, T.; Arai, K. Synthesis of Corey Lactone Via Highly Stereoselective Asymmetric Diels-Alder Reaction. Tetrahedron Lett. 1991, 32, 4557–4560. [Google Scholar] [CrossRef]
- Corey, E.J. Catalytic Enantioselective Diels ± Alder Reactions: Methods, Mechanistic Fundamentals, Pathways, and Applications. Angew. Chem. Int. Ed. 2002, 41, 1650–1667. [Google Scholar] [CrossRef]
- Corey, E.J.; Loh, T.-P. First Application of Attractive Intramolecular Interactions to the Design of Chiral Catalysts for Highly Enantioselective Diels-Alder Reactions. J. Am. Chem. Soc. 1991, 113, 8966–8967. [Google Scholar] [CrossRef]
- Corey, E.J.; William Suggs, J. A Method for Catalytic Dehalogenations via Trialkyltin Hydrides. J. Org. Chem. 1975, 40, 2554–2555. [Google Scholar] [CrossRef]
- Bindra, J.S.; Grodski, A.; Schaaf, T.K.; Corey, E.J. New Extensions of the Bicyclo[2.2.l]heptane Route to Prostaglandins. J. Am. Chem. Soc. 1973, 95, 7522–7523. [Google Scholar] [CrossRef] [PubMed]
- Beeley, N.R.A.; Peel, R.; Sutherland, J.K.; Holohan, J.J.; Malllon, K.B.; Sependa, G.J. Syntheses of PGF2α and Cloprostenol. Tetrahedron 1981, 37 (Suppl. 1), 411–420. [Google Scholar] [CrossRef]
- Peel, R.; Sutherland, J.K. An Alternative Synthesis of the Corey Prostaglandin Aldehyde. J.C.S. Chem. Commun. 1974, 151–153. [Google Scholar] [CrossRef] [PubMed]
- Corey, E.J.; Bindra, J.S.; Schaaf, T.K. Novel Prostaglandin Intermediates. U.S. Patent 3,992,438, 9 March 1976. [Google Scholar]
- Faustini, F.; Andreoni, A.; Fava, W.; Di Somma, M.; Gandolfi, C. Racemic or Optically Active 5β-halo-2β-hydroxymethylcyclopentane-3α-hydroxy-1α-acetic acid (1′ → 3) δ-lactone. DE Patent 2,702,807, 9 March 1977. [Google Scholar]
- Du, N. Method for Preparing Optically Pure 2-oxy tricyclic[2.2.1.0]heptane-7-carboxylic Acid. CN Patent 107573228, 12 January 2018. [Google Scholar]
- Loza, V.V.; Vostrikov, N.S.; Miftakhov, M.S. Method of Producing Corey Lactone Enantiomeric Derivatives. RU Patent 2,501,793, 20 December 2013. [Google Scholar]
- Zak, B.; Vesely, I.; Neumitka, K.; Palecek, J. Preparation of optically pure enantiomers of Corey lactone by resolution of the racemate. Coll. Czech. Chem. Commun. 1991, 56, 1690–1700. [Google Scholar] [CrossRef]
- Grieco, P. Cyclopentenones. An Efficient Synthesis of cis-Jasmone. J. Org. Chem. 1976, 37, 2363–2364. [Google Scholar] [CrossRef]
- Stevens, H.C.; Reich, D.A.; Brandt, D.R.; Fountain, K.R.; Gaughan, E.J. A New Tropolone Synthesis via Dichloroketene. J. Am. Chem. Soc. 1965, 87, 5257–5259. [Google Scholar] [CrossRef]
- Tömösközi, I.; Gruber, L.; Baitz-Gacs, E. Prins Reaction of 2-Oxabicyclo[3.3.0]oct-6-en-3-one and Related Derivatives. Tetrahedron 1992, 48, 10345–10352. [Google Scholar] [CrossRef]
- Tömösközi, I.; Gruber, L.; Kovács, G.; Székely, I.; Simonidesz, V. Regiospecific Prins Reaction, a New Way to Prostanoids. Tetrahedron Lett. 1976, 50, 4639–4642. [Google Scholar] [CrossRef]
- Corey, E.J.; Mann, J. A New Stereocontrolled Synthesis of Prostaglandins via Prostaglandin A2. J. Am. Chem. Soc. 1973, 95, 6832–6833. [Google Scholar] [CrossRef]
- Partridge, J.J.; Chadha, N.K.; Uskokovik, M.R. Asymmetric Synthesis of Prostaglandin Intermediates. J. Am. Chem. Soc. 1973, 95, 7171–7172. [Google Scholar] [CrossRef]
- Zheng, F.; Li, G.; Zhang, J.; Lai, Y.; Wang, W.; Zhang, L.; Chen, S.; Huang, Y.; Gao, W.; Cai, J. A simple and Efficient Synthesis Process of (-)-Corey’s Lactone Diol. CN Patent 108546258 B, 26 February 2019. [Google Scholar]
- Du, N. Process for Preparation of Corey Lactone Diol. CN Patent 107573310, 12 January 2018. [Google Scholar]
- Corey, E.J.; Cheng, X.M. The Logic of Chemical Synthesis; Wiley: New York, NY, USA, 1995. [Google Scholar]
- Collins, P.W.; Djuric, S.W. Synthesis of therapeutically useful prostaglandin analogs. Chem. Rev. 1993, 93, 1533–1564. [Google Scholar] [CrossRef]
- Das, S.; Chandrasekhar, S.; Yadav, J.S.; Grée, R. Recent developments in the synthesis of prostaglandin analogues. Chem. Rev. 2007, 107, 3286–3337. [Google Scholar] [CrossRef]
- Peng, H.; Chen, F.-E. Recent advances in asymmetric total synthesis of prostaglandins. Org. Biomol. Chem. 2017, 15, 6281–6301. [Google Scholar] [CrossRef]
- Ajahn, E.; Durand, T.; Galano, J.-M.; Jahn, U. Recent Approaches to the Total Synthesis of Phytoprostanes, Isoprostanes and Neuroprostanes as Important Products of Lipid Oxidative Stress and Biomarkers of Disease. Chem. Listy 2014, 108, 301–319. [Google Scholar]
- Sun, H.; Gong, Y.; Hou, Y.; He, G.A. Process for One-Pot Synthesis of Corey Lactone. International Patent Application No. PCT/WO2010083722, 29 July 2010. [Google Scholar]
- Tănase, C.; Drăghici, C. Transformation of δ-Lactone in γ-Lactone in the Corey Route for Synthesis of Prostaglandins. Rev. Roum. Chim. 2014, 59, 845–853. [Google Scholar]
- Tănase, C.; Cocu, F.; Căproiu, M.T.; Drăghici, C. γ-Lactone oxabicyclo[3.3.0] Octane Polyfunctional Cyclopentanic Chloroester Key Compounds Prepared by Stereoselective Transformation of γ-Lactone Intermediates and Processes for Preparing the Same. RO Patent 129083B1, 19 February 2015. [Google Scholar]
- Zhu, K.; Hu, S.; Liu, M.; Peng, H.; Chen, F.-E. Access to a Key Building Block for the Prostaglandin Family via Stereocontrolled Organocatalytic Baeyer–Villiger Oxidation. Angew.Chem. Int. Ed. 2019, 58, 9923–9927. [Google Scholar] [CrossRef] [PubMed]
- Zhu, K.; Hu, S.; Liu, M.; Peng, H.; Chen, F.-E. Collective Total Synthesis of the Prostaglandins Family via Stereocontrolled Organocatalytic Baeyer-Villiger Oxidation. Angew. Chem. Int. Ed. 2019, 58. [Google Scholar] [CrossRef] [PubMed]
- DeLong, M.A.; Amburgey, J.S., Jr.; Woss, J.A.; De, B.; Soper, D.L. C11 Oxymyl and Hydroxylamino Prostaglanding Useful as Medicaments. U.S. Patent 641,078,0B1, 25 June 2002. [Google Scholar]
- Tănase, C.; Cocu, F.; Căproiu, M.T.; Drăghici, C. Corey-Type-γ-Lactonic Aldehydic Intermediates Protected as Cyclic Acetals or Thioacetals. RO Patent Application No. 131,617 A2, 28 July 2015. [Google Scholar]
- Prévost, S.; Thai, K.; Schützenmeister, N.; Coulthard, G.; Erb, W.; Aggarwal, V.K. Synthesis of Prostaglandin Analogues, Latanoprost and Bimatoprost, Using Organocatalysis via a Key Bicyclic Enal Intermediate. Org. Lett. 2015, 17, 504–507. [Google Scholar] [CrossRef] [PubMed]
- Pelss, A.; Gandhamsetty, N.; Smith, J.R.; Mailhol, D.; Silvi, M.; Watson, A.; Perez-Powell, I.; Prevost, S.; Schützenmeister, N.; Moore, P.; et al. Reoptimization of the Organocatalyzed Double Aldol Domino Process to a Key Enal Intermediate and Its Application to the Total Synthesis of ∆12-Prostaglandin J3. Chem. Eur. J. 2018, 24, 9542–9545. [Google Scholar] [CrossRef] [PubMed]
- Baars, H.; Classen, M.J.; Aggarwal, V.K. Synthesis of Alfaprostol and PGF2α Through 1,4-Addition of an Alkyne to an Enal Intermediate as the Key Step. Org. Lett. 2017, 19, 6008–6011. [Google Scholar] [CrossRef] [PubMed]
- Umekubo, N.; Suga, Y.; Hayashi, Y. Pot and time economies in the total synthesis of Corey lactone. Chem. Sci. 2020, 11, 1205–1209. [Google Scholar] [CrossRef]
- Umekubo, N.; Hayashi, Y. Asymmetric synthesis of Corey lactone and latanoprost. Eur. J. Org. Chem. 2020. [Google Scholar] [CrossRef]
- Doyle, M.P.; Catino, A.J. A short stereoselective synthesis of (+)- and(−)-2-oxabicyclo[3.3.0]oct-6-en-3-one by intramolecular carbon–hydrogen insertion catalyzed by chiral dirhodium(II) carboxamidates. Tetrahedron Asymmetry 2003, 14, 925–928. [Google Scholar] [CrossRef]
- Nakashima, H.; Sato, M.; Taniguchi, T.; Ogasawara, K. Lipase-mediated Resolution of cis-4-Cumyloxy-2-cyclopenten-1-ol and its Utilization for Enantioconvergent Preparation of(–)-Oxabicyclo[3.3.0]-oct-6-en-3-one. Synlett 1999, 11, 1754–1756. [Google Scholar] [CrossRef]
- Gais, H.-J.; Bondarev, O.; Hetzer, R. Palladium-catalyzed asymmetric synthesis of allylic alcohols from unsymmetrical ans symmetrical racemic allylic carbonates featuring C-O bond formation and dynamic kinetic resolution. Tetrahedron Lett. 2005, 46, 6279–6283. [Google Scholar] [CrossRef]
- Asami, M.; Takahashi, J.; Inoue, S. Reconfirmation of high enantiomeric excesses in the enantioselective transformation of meso-epoxides. Tetrahedron 1995, 51, 11725–11730. [Google Scholar] [CrossRef]
- Bhuniya, D.; DattaGupta, A.; Singh, V.K. Design, Synthesis, and Application of Chiral Nonracemic Lithium Amide Bases in Enantioselective Deprotonation of Epoxides. J. Org. Chem. 1996, 61, 6108–6113. [Google Scholar] [CrossRef] [PubMed]
- Kumaraguru, T.; Babita, P.; Sheelu, G.; Lavanya, K.; Fadnavis, N.W. Synthesis of Enantiomerically Pure 4-Hydroxy-2-cyclopentenones. Org. Proc. Res. Develop. 2013, 17, 1526–1530. [Google Scholar] [CrossRef]
- Chang, C.-T.; Jacobo, S.H.; Powell, W.S.; Lawson, J.A.; Fitzgerald, G.A.; Pratico, D.; Rokach, J. A new synthetic approach for 4(S)-hydroxycyclopent-2-enone: A precursor to prostanoid synthesis. Tetrahedron Lett. 2005, 46, 6325–6328. [Google Scholar] [CrossRef]
- Sugahara, T.; Ogasawara, K. An Expedient Route to (-)-cis-2-Oxabicyclo[3.3.0]oct-6-en-3-one via a meso-Asymmetrization. Synlett 1996, 1996, 319–320. [Google Scholar] [CrossRef]
- Marotta, E.; Righi, P.; Rosini, G. A Bicyclo[3.2.0]hept-3-en-6-one Approach to Prostaglandin Intermediates. Org. Lett. 2000, 2, 4145–4148. [Google Scholar] [CrossRef]
- Marotta, E.; Medici, M.; Righi, P.; Rosini, G. The Conversion of 3-Hydroxy-6-heptenoic Acids into Bicyclo[3.2.0]hept-3-en-6-ones. J. Org Chem. 1994, 59, 7529–7531. [Google Scholar] [CrossRef]
- Galano, J.-M.; Lee, Y.Y.; Oger, C.; Vigor, C.; Vercauteren, J.; Durand, T.; Giera, M.; Lee, J.C.-Y. Review. Isoprostanes, neuroprostanes and phytoprostanes: An overview of 25 years of research in chemistry and biology. Progress Lipid Res. 2017, 68, 83–108. [Google Scholar] [CrossRef] [PubMed]
- Elsner, P.; Jetter, P.; Brödner, K.; Helmchen, G. Stereoselective Synthesis of acis-1,2-Dialkylcyclopentane Building Block and Its Application in Isoprostane Synthesis(5-ent-F2c-IsoP). Eur. J. Org. Chem. 2008, 2008, 2551–2563. [Google Scholar] [CrossRef]
- Helmchen, G.; Goeke, A.; Lauer, G.; Urmann, M.; Fries, J. Building Blocks for the Synthesis of Enantiomerically Pure Jasmonoids: Synthesis of (+)-Methyl Epijasmonate. Angew. Chem. Int. Ed. 1990, 29, 1024–1025. [Google Scholar] [CrossRef]
- Oger, C.; Brinkmann, Y.; Bouazzaoui, S.; Durand, T.; Galano, J.-M. Stereocontrolled Accesss to Isoprostaned via a Bicyclo[3.3.0]octene Framework. Org. Lett. 2008, 10, 5087–5090. [Google Scholar] [CrossRef]
- Suzuki, T.; Morita, K.; Tsuchida, M.; Hiroi, K. Mild and Selective Synthesis of Lactones from Diols Using a Novel Metal-Ligand Bifunctional Catalyst. Org. Lett. 2002, 4, 2361–2363. [Google Scholar] [CrossRef]
- Oger, C.; Marton, Z.; Brinkmann, Y.; Bultel-Poncé, V.; Durand, T.; Graber, M.; Galano, J.-M. Lipase-Catalyzed Regioselective Monoacetylation of Unsymmetrical 1,5-Primary Diols. J. Org. Chem. 2010, 75, 1892–1897. [Google Scholar] [CrossRef]
- Oger, C.; Bultel-Poncé, V.; Guy, A.; Durand, T.; Galano, J.-M. Total Synthesis of Isoprostanes Derived from Adrenic Acid and EPA. Eur. J. Org. Chem. 2012, 2012, 2621–2634. [Google Scholar] [CrossRef]
- Sannigrahi, M.; Mayhew, D.L.; Clive, D.L. Applications of 5-Endo-trigonal Cyclization: Construction of Compounds Relevant to the Synthesis of Prostaglandins and Methyl epi-Jasmonate. J. Org. Chem. 1999, 64, 2776–2788. [Google Scholar] [CrossRef]
- Augustyns, B.; Maulide, N.; Marko, I.E. Skeletal rearrangements of bicyclo[2.2.2]lactones: A short and efficient route towards Coreys lactone. Tetrahedron Lett. 2005, 46, 3895–3899. [Google Scholar] [CrossRef]
- Yakura, T.; Yamada, S.; Azuma, M.; Ueki, A.; Ikeda, M. A short synthesis of optically active Corey lactone by means of the dirhodium(II)-catalyzed intramolecular C-H insertion reaction of an a-diazo ketone. Synthesis 1998, 7, 973–974. [Google Scholar] [CrossRef]
- Node, M.; Nakamura, D.; Nishide, K.; Inoue, T. A facile asymmetric synthesis of Corey lactone utilizing C2-symmetric dimethyl 3,7-dihydroxy-cisbicyclo[3.3.0]octan-2,6-diene-2,6-dicarboxylate. Heterocycles 1997, 46, 535–540. [Google Scholar] [CrossRef]
- Wei, S.-Y.; Yeh, Y.-C. Process and Intermediates for the Preparation of Prostaglandins. U.S. Patent 7,511,168B2, 31 March 2006. [Google Scholar]
- Beck, G. Dimoxaprost. Drugs Fut. 1987, 12, 1101. [Google Scholar] [CrossRef]
- Bartman, W.; Beck, G.; Jahne, G.; Wess, G. Synthese eines biologisch aktiven Analogons des Prostaglandins E2 (Racemate und reine Enantiomere). Liebigs Ann. Chem 1987, 321–326. [Google Scholar] [CrossRef]
- Francesca, C.; Molinari, F.; Gandolfi, R.; Romano, D. Process for the Preparation of D-Cloprostenol. IT Patent 1,349,182 B1, 20 November 2008. [Google Scholar]
- Tănase, C.I.; Cocu, F.; Drăghici, C.; Hanganu, A.; Pintilie, L.; Maganu, M.; Munteanu, C.V.A.; Shova, S. Secondary compounds in the catalytic hydrogenation of enone and allylic alcohol prostaglandin intermediates: Isolation, characterization, and X-raycrystallography. New J. Chem. 2019, 43, 7582–7599. [Google Scholar] [CrossRef]
- Zak, B.; Koran, J.; Pavelkova, F.; Urie, M. Process for Preparing Optically Active p-phenylbenzoyl Corey Alcohol and Optically Active Benzoyl Corey Alcohol. CZ Patent 287,685 B6, 17 January 2001. [Google Scholar]
- Sugahara, T.; Satoh, I.; Yamada, O.; Takano, S. Efficient enzymic preparation of (+)- and (-)-Corey lactone derivatives. Chem. Pharm. Bull. 1991, 39, 2758–2760. [Google Scholar] [CrossRef][Green Version]
- Takano, S.; Sugahara, T. Enzymic Resolution of Corey Lactone Diols. European Patent No. 501310 B1, 20 February 1992. [Google Scholar]
- Vesely, I.; Palecek, J.; Stibor, I. Resolution of a racemic Corey lactone via enantioselective esterification. Collect. Czech. Chem. Comm. 1992, 57, 357–361. [Google Scholar] [CrossRef]
- Vesely, I.; Zak, B.; Spacek, M.; Mostecky, J.; Palecek, J.; Kubelka, V.; Eichler, P. Resolution of a Racemic Corey Lactone via Enantioselective Esterification. CZ Patent 261,797 B1, 15 June 1989. [Google Scholar]
- Zheng, F.; Li, G.; Zhao, H.; Cai, J.; Chen, S.; Wan, M.; Zhang, L.; Wang, P.; Gao, W. L-Corey Lactone Diol (CLA) Intermediate, its Preparation Method and Medicinal Application. CN Patent 109,161,577, 8 January 2019. [Google Scholar]
- Alphand, V.; Archelas, A.; Furstoss, R. Microbial Transformations 16. One-step synthesis of a pivotal prostaglandin chiral synthon via a highly enantioselective microbiological Baeyer-Villiger type reaction. Tetrahedron Lett. 1989, 30, 3663–3664. [Google Scholar] [CrossRef]
- Alphand, V.; Furstoss, R. Microbial transformations 22. Microbiologically mediated Bayer-Villiger reactions: A unique route to several bicyclic γ–lactones in high enantiomeric purity. J. Org. Chem. 1992, 57, 1306–1309. [Google Scholar] [CrossRef]
- Alphand, V.; Carrea, G.; Wohlgemuth, R.; Furstoss, R.; Woodley, J.M. Towards large-scale synthetic applications of Baeyer-Villiger monooxygenases. TRENDS Biotechnol. 2003, 21, 318–323. [Google Scholar] [CrossRef]
- Balke, K.; Bäumgen, M.; Bornscheuer, U.T. Controlling the Regioselectivity of Baeyer-Villiger Monooxygenases by Mutation of Active Site Residues. ChemBioChem 2017, 18, 1627–1638. [Google Scholar] [CrossRef]
- Baldwin, C.V.F.; Wohlgemuth, R.; Woodley, J.M. Reactor Operation and Scale-Up of Whole Cell Baeyer-Villiger Catalyzed Lactone Synthesis. Org. Process. Res. Dev. 2008, 12, 660–665. [Google Scholar] [CrossRef]
- Konturek, S.J.; Brzozowski, T.; Drozdowicz, D.; Krzyzek, E.; Garlicki, J.; Majka, J.; Dembinski, A.; Stachura, J.; Amon, I. Nocloprost, a unique prostaglandin E2 analog with local gastroprotective and ulcer-healing activity. Eur. J. Pharmacol. 1991, 195, 347–357. [Google Scholar] [CrossRef]
- Skuballa, W.; Raduchel, B.; Vorbruggen, H.; Elger, W.; Loge, O.; Schillinger, E. 9-Haloprostaglandin Clathrates and their Use as Medicines. U.S. Patent 5,204,371, 20 April 1992. [Google Scholar]
- Okamuro, S.; Katayama, S.; Ono, N.; Sato, F. A New Efficient Synthesis of the Biologically Potent PGD2-Analogue ZK118182. Tetrahedron Asimmetry 1992, 3, 1525–1528. [Google Scholar]
- Thierauch, K.H.; Sturzebecher, C.; Schillinger, E.; Rewinkel, H.; Raduchel, B.; Skuballa, W.; Vorbruggen, H. Stable 9β- or 11α-Halogen-15-Cyclohexyl-Prostaglandins with High Affinity to the PGD2-Receptor. Prostaglandins 1988, 35, 855–868. [Google Scholar] [CrossRef]
- Arroniz, C.E.; Gallina, J.; Martinez, E.; Muchowski, J.; Velarde, E.; Rooks, W.H. Synthesis of Ring Halogenated Prostaglandins. Prostaglandins 1978, 16, 47–65. [Google Scholar] [CrossRef]
- Buchmann, B.; Faulds, D.; Guilford, W.; Langer, G.; Lindenthal, B.; Skuballa, W.; Toschi, L. 9-Chloro-15-Deoxyprostaglandin Derivatives, Process for their Preparation and their Use as Medicaments. U.S. Patent 7,563,924 B2, 21 July 2009. [Google Scholar]
- Ito, S.; Okuda, E.; Sugama, K.; Negishi, M.; Hayashi, O.; Hayashi, O. Evaluation of ZK1 10841 and AH6809, an agonist and an antagonist of prostaglandin DP-receptors on human platelets, with a PGD2-responsive cell line from bovine embryonic trachea. Br. J. Pharmacol. 1990, 99, 13–14. [Google Scholar] [CrossRef]
- Ohuchida, S.; Tani, K. Omega-cycloalkyl-prostaglandin E1 Derivatives. European Patent No 0,974,580 B1, 20 July 1999. [Google Scholar]
- Raduchel, B.; Skuballa, W.; Vorbruggen, H. Process for the Production of9Beta-Chloroprostaglandins. U.S. Patent 4,806,668, 21 February 1989. [Google Scholar]
- Skuballa, W.; Raduchel, B.; Schwarz, N.; Vorbruggen, H.; Elger, W.; Raduechel, B.; Vorbrueggen, H. 9-Bromo-prostaglandin derivs.-prepd. by bromination of 9-hydroxy cpd. with tetrabromo-methane and triphenylphosphine. U.S. Patent 4,487,953, 11 December 1984. [Google Scholar]
- Skuballa, W.; Raduchel, B.; Vorbruggen, H.; Elger, W.; Loge, O. 9-Halogenated-2-Prostaglandin Derivatives, Processes for the Preparation thereof and the Use thereof as Medicinal Agents. U.S. Patent 4,699,920, 13 October 1987. [Google Scholar]
- Skuballa, W.; Raduechel, B.; Schwarz, N.; Elger, W.; Town, M.H.; Vorbrueggen, H. 9-Fluoroprostaglandin Derivatives, their Preparation and Use as Medcnal Agents. U.S. Patent 4,789,685, 6 December 1988. [Google Scholar]
- Tănase, C.; Cocu, F.; Drăghici, C.; Căproiu, M.T.; Maganu, M. New β-halogenated prostaglandine analogues with an ester group at C-6 of the α-side chain. Rev. Chim. 2016, 67, 468–475. [Google Scholar]
- Tănase, C.; Cocu, F.; Căproiu, M.T.; Drăghici, C.; Maganu, M. 9 β-halogenated Prostaglandine Compounds and Processes for Preparing the Same. RO Patent 129,720 B1, 29 August 2014. [Google Scholar]
- Tănase, C.I.; Pintilie, L.; Mihai, E. A Molecular Docking of New 9β-Halogenated Prostaglandin Analogs with an Ester Group at C-6 Atom of the α-Side Chain. Rev. Chim. 2020, 71, 101–110. [Google Scholar] [CrossRef]
- Konishi, Y.; Kawamura, M. Novel 5-hetero-6-exo-PGE Derivatives. European Patent No. 0,386,901 A1, 19 February 1990. [Google Scholar]
- Tănase, C.; Drăghici, C.; Căproiu, M.T.; Cojocaru, A. Transeterification of the intermediate chloro-ester compounds in the sequence for obtaining Corey aldehyde protected as cyclic acetals. Rev. Chim. 2017, 68, 260–264. [Google Scholar] [CrossRef]
- Wilson, N.S.; Keay, B.A. Mild base mediated desilylation of various phenols. Tetrahedron Lett. 1997, 38, 187–190. [Google Scholar] [CrossRef]
- Derwing, C.; Hoppe, D. Synthesis of Enantioenriched Tertiary Benzylic alcohols via Stereospecific Lithiation of Secondary Benzyl Carbamates-Design of Dialkylcarbamates, Cleavable under Basic, Mild Conditions. Synthesis 1996, 1996, 149–154. [Google Scholar] [CrossRef]
Publisher’s Note: MDPI stays neutral with regard to jurisdictional claims in published maps and institutional affiliations. |
© 2021 by the authors. Licensee MDPI, Basel, Switzerland. This article is an open access article distributed under the terms and conditions of the Creative Commons Attribution (CC BY) license (http://creativecommons.org/licenses/by/4.0/).



































































