Selective Impact of MTMS-Based Xerogel Morphology on Boosted Proliferation and Enhanced Naphthoquinone Production in Cultures of Rindera graeca Transgenic Roots
Abstract
1. Introduction
2. Results
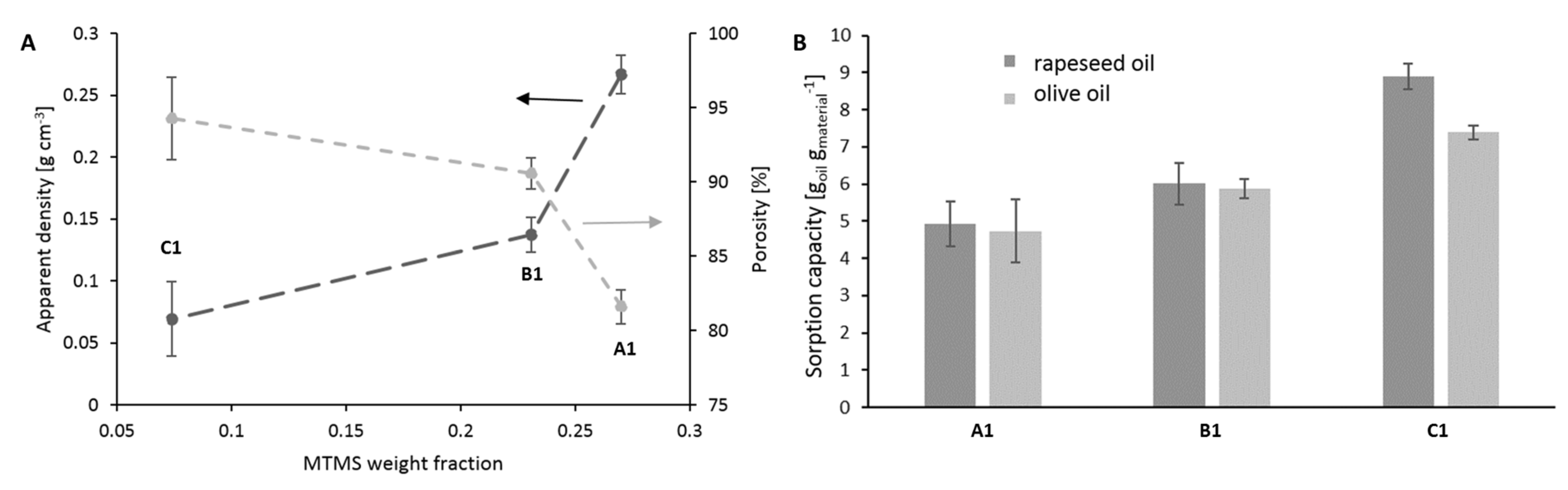
2.1. Xerogels Characterization
2.2. Physiological Effects Resulting from In Vitro Supporting R. graeca Hairy Roots with Various MTMS-Based Materials (The 28-Day Screening Cultures)
2.3. Detailed Growth Kinetics and Deoxyshikonin Production in R. graeca Hairy Roots Cultures Supported with MTMS-Based Materials Providing Maximized Production of Biomass and Bioproduct
3. Discussion
4. Materials and Methods
4.1. MTMS-Based Materials: Synthesis and Characterization
4.2. Biomass
4.3. Xerogel-Supported Cultures of Hairy Roots
4.4. Phytochemical Analysis
4.5. Carbohydrates Concentration Analysis
4.6. Mathematical Methods
4.7. Statistical Analysis
5. Conclusions
6. Patents
Author Contributions
Funding
Institutional Review Board Statement
Informed Consent Statement
Data Availability Statement
Acknowledgments
Conflicts of Interest
References
- Guerriero, G.; Berni, R.; Muñoz-Sanchez, J.; Apone, F.; Abdel-Salam, E.; Qahtan, A.; Alatar, A.; Cantini, C.; Cai, G.; Hausman, J.F.; et al. Production of Plant Secondary Metabolites: Examples, Tips and Suggestions for Biotechnologists. Genes 2018, 9, 309. [Google Scholar] [CrossRef] [PubMed]
- Klimek-Szczykutowicz, M.; Szopa, A.; Ekiert, H. Chemical Composition, Traditional and Professional Use in Medicine, Application in Environmental Protection, Position in Food and Cosmetics Industries, and Biotechnological Studies of Nasturtium officinale (Watercress)—A Review. Fitoterapia 2018, 129, 283–292. [Google Scholar] [CrossRef] [PubMed]
- Seca, A.; Pinto, D. Plant Secondary Metabolites as Anticancer Agents: Successes in Clinical Trials and Therapeutic Application. Int. J. Mol. Sci. 2018, 19, 263. [Google Scholar] [CrossRef] [PubMed]
- Murthy, H.N.; Lee, E.J.; Paek, K.Y. Production of Secondary Metabolites from Cell and Organ Cultures: Strategies and Approaches for Biomass Improvement and Metabolite Accumulation. Plant Cell Tissue Organ Cult. 2014, 118, 1–16. [Google Scholar] [CrossRef]
- Sarsaiya, S.; Shi, J.; Chen, J. Bioengineering Tools for the Production of Pharmaceuticals: Current Perspective and Future Outlook. Bioengineered 2019, 10, 469–492. [Google Scholar] [CrossRef]
- Alcalde, M.A.; Cusido, R.M.; Moyano, E.; Palazon, J.; Bonfill, M. Metabolic Gene Expression and Centelloside Production in Elicited Centella asiatica Hairy Root Cultures. Ind. Crops Prod. 2022, 184, 114988. [Google Scholar] [CrossRef]
- Gantait, S.; Mukherjee, E. Hairy Root Culture Technology: Applications, Constraints and Prospect. Appl. Microbiol. Biotechnol. 2021, 105, 35–53. [Google Scholar] [CrossRef]
- Gutierrez-Valdes, N.; Häkkinen, S.T.; Lemasson, C.; Guillet, M.; Oksman-Caldentey, K.M.; Ritala, A.; Cardon, F. Hairy Root Cultures—A Versatile Tool With Multiple Applications. Front. Plant Sci. 2020, 11, 33. [Google Scholar] [CrossRef]
- Mehrotra, S.; Mishra, S.; Srivastava, V. Bioreactor Technology for Hairy Roots Cultivation. In Bioprocessing of Plant In Vitro Systems; Pavlov, A., Bley, T., Eds.; Springer International Publishing: New York, NY, USA, 2018; pp. 483–506. [Google Scholar]
- Boobalan, S.; Kamalanathan, D. Tailoring Enhanced Production of Aervine in Aerva lanata (L.) Juss. Ex Schult by Agrobacterium Rhizogenes- Mediated Hairy Root Cultures. Ind. Crops Prod 2020, 155, 112814. [Google Scholar] [CrossRef]
- Bartczak, M.; Wierzchowski, K.; Pilarek, M. Mixing Performance in a Litre-Scale Rocking Disposable Bioreactor: DoE-Based Investigation of Mixing Time Dependence on Operational Parameters. Chem. Eng. J. 2022, 431, 133288. [Google Scholar] [CrossRef]
- Espinosa-Leal, C.A.; Puente-Garza, C.A.; García-Lara, S. In Vitro Plant Tissue Culture: Means for Production of Biological Active Compounds. Planta 2018, 248, 1–18. [Google Scholar] [CrossRef] [PubMed]
- Han, J.; Cao, Z.; Qiu, W.; Gao, W.; Hu, J.; Xing, B. Probing the Specificity of Polyurethane Foam as a ‘Solid-Phase Extractant’: Extractability-Governing Molecular Attributes of Lipophilic Phenolic Compounds. Talanta 2017, 172, 186–198. [Google Scholar] [CrossRef]
- Kawka, M.; Bubko, I.; Koronkiewicz, M.; Gruber-Bzura, B.; Graikou, K.; Chinou, I.; Jeziorek, M.; Pietrosiuk, A.; Sykłowska-Baranek, K. Polyurethane Foam Rafts Supported In Vitro Cultures of Rindera graeca Roots for Enhanced Production of Rinderol, Potent Proapoptotic Naphthoquinone Compound. Int. J. Mol. Sci. 2021, 23, 56. [Google Scholar] [CrossRef] [PubMed]
- Sykłowska-Baranek, K.; Rymaszewski, W.; Gaweł, M.; Rokicki, P.; Pilarek, M.; Grech-Baran, M.; Hennig, J.; Pietrosiuk, A. Comparison of Elicitor-Based Effects on Metabolic Responses of Taxus × Media Hairy Roots in Perfluorodecalin-Supported Two-Phase Culture System. Plant Cell Rep. 2019, 38, 85–99. [Google Scholar] [CrossRef]
- Sykłowska-Baranek, K.; Szala, K.; Pilarek, M.; Orzechowski, R.; Pietrosiuk, A. A Cellulase-Supported Two-Phase in Situ System for Enhanced Biosynthesis of Paclitaxel in Taxus × Media Hairy Roots. Acta Physiol. Plant 2018, 40, 201. [Google Scholar] [CrossRef]
- Srivastava, S.; Srivastava, A.K. Azadirachtin production by hairy root cultivation of Azadirachta indica in a modified stirred tank reactor. Bioprocess Biosyst. Eng. 2012, 35, 1549–1553. [Google Scholar] [CrossRef]
- Thakore, D.; Srivastava, A.K.; Sinha, A.K. Mass production of ajmalicine by bioreactor cultivation of hairy roots of Catharanthus roseus. Biochem. Eng. J. 2017, 119, 84–91. [Google Scholar] [CrossRef]
- Srivastava, S.; Srivastava, A.K. Production of the biopesticide azadirachtin by hairy root cultivation of Azadirachta indica in liquid-phase bioreactors. Appl. Biochem. Biotechnol. 2013, 171, 1351–1361. [Google Scholar] [CrossRef]
- Biony, J.; Silja, P.K.; Dhanya, B.P.; Satheeshkumar, K. In vitro cultivation of hairy roots of Plumbago rosea L. in a customized reaction kettle for the production of plumbagin—An anticancer compound. Ind. Crops Prod. 2016, 87, 89–95. [Google Scholar] [CrossRef]
- Nowak, B.; Kawka, M.; Wierzchowski, K.; Sykłowska-Baranek, K.; Pilarek, M. MTMS-Based Aerogel Constructs for Immobilization of Plant Hairy Roots: Effects on Proliferation of Rindera graeca Biomass and Extracellular Secretion of Naphthoquinones. J. Funct. Biomater. 2021, 12, 19. [Google Scholar] [CrossRef]
- Kanamori, K.; Nakanishi, K. Controlled Pore Formation in Organotrialkoxysilane-Derived Hybrids: From Aerogels to Hierarchically Porous Monoliths. Chem. Soc. Rev. 2011, 40, 754–770. [Google Scholar] [CrossRef] [PubMed]
- Nakanishi, K.; Kanamori, K. Organic–Inorganic Hybrid Poly(Silsesquioxane) Monoliths with Controlled Macro- and Mesopores. J. Mater. Chem. 2005, 15, 3776. [Google Scholar] [CrossRef]
- Bansal, K.; Baghel, U.S.; Thakral, S. Construction and Validation of Binary Phase Diagram for Amorphous Solid Dispersion Using Flory–Huggins Theory. AAPS PharmSciTech 2016, 17, 318–327. [Google Scholar] [CrossRef] [PubMed]
- Meere, M.; Pontrelli, G.; McGinty, S. Modelling Phase Separation in Amorphous Solid Dispersions. Acta Biomater. 2019, 94, 410–424. [Google Scholar] [CrossRef]
- Zhao, Y.; Inbar, P.; Chokshi, H.P.; Malick, A.W.; Choi, D.S. Prediction of the Thermal Phase Diagram of Amorphous Solid Dispersions by Flory–Huggins Theory. J. Pharm. Sci. 2011, 100, 3196–3207. [Google Scholar] [CrossRef]
- Abyzov, A.S.; Schmelzer, J.W.P. Nucleation versus Spinodal Decomposition in Confined Binary Solutions. J. Chem. Phys. 2007, 127, 114504. [Google Scholar] [CrossRef]
- Lu, X.; Hasegawa, G.; Kanamori, K.; Nakanishi, K. Hierarchically Porous Monoliths Prepared via Sol–Gel Process Accompanied by Spinodal Decomposition. J. Sol-Gel Sci. Technol. 2020, 95, 530–550. [Google Scholar] [CrossRef]
- Luo, Y.; Li, Z.; Zhang, W.; Yan, H.; Wang, Y.; Li, M.; Liu, Q. Rapid Synthesis and Characterization of Ambient Pressure Dried Monolithic Silica Aerogels in Ethanol/Water Co-Solvent System. J. Non-Cryst. Solids 2019, 503, 214–223. [Google Scholar] [CrossRef]
- Fidalgo, A.; Ilharco, L.M. Correlation between Physical Properties and Structure of Silica Xerogels. J. Non-Cryst. Solids 2004, 347, 128–137. [Google Scholar] [CrossRef]
- Scherer, G.W. Xerogels. In Encyclopedia of Materials: Science and Technology; Elsevier: Amsterdam, The Netherlands, 2001; pp. 9797–9799. [Google Scholar]
- Nowak, B.; Bonora, M.; Gac, J.M. Modification of Polypropylene Fibrous Filters with MTMS-Based Aerogel for Improvement of Oil Mist Separation Properties—Experimental and Theoretical Study. J. Environ. Chem. Eng. 2022, 10, 107852. [Google Scholar] [CrossRef]
- Du, M.; Mao, N.; Russell, S. Control of Porous Structure in Flexible Silicone Aerogels Produced from Methyltrimethoxysilane (MTMS): The Effect of Precursor Concentration in Sol–Gel Solutions. J. Mater. Sci. 2016, 51, 719–731. [Google Scholar] [CrossRef]
- Yao, C.; Dong, X.; Gao, G.; Sha, F.; Xu, D. Microstructure and Adsorption Properties of MTMS / TEOS Co-Precursor Silica Aerogels Dried at Ambient Pressure. J. Non-Cryst. Solids 2021, 562, 120778. [Google Scholar] [CrossRef]
- Neshat, S.S.; Okuno, R.; Pope, G.A. Simulation of Solvent Treatments for Fluid Blockage Removal in Tight Formations Using Coupled Three-Phase Flash and Capillary Pressure Models. J. Pet. Sci. Eng. 2020, 195, 107442. [Google Scholar] [CrossRef]
- Yuan, W.; Li, X.; Pan, Z.; Connell, L.D.; Li, S.; He, J. Experimental Investigation of Interactions between Water and a Lower Silurian Chinese Shale. Energy Fuels 2014, 28, 4925–4933. [Google Scholar] [CrossRef]
- Zhang, S.P.; Zong, L. Evaluation of Relationship between Water Absorption and Durability of Concrete Materials. Adv. Mater. Sci. Eng. 2014, 2014, 650373. [Google Scholar] [CrossRef]
- Papageorgiou, V.P.; Assimopoulou, A.N.; Couladouros, E.A.; Hepworth, D.; Nicolaou, K.C. The Chemistry and Biology of Alkannin, Shikonin, and Related Naphthazarin Natural Products. Angew. Chem. Int. Ed. 1999, 38, 270–301. [Google Scholar] [CrossRef]
- Tatsumi, K.; Yano, M.; Kaminade, K.; Sugiyama, A.; Sato, M.; Toyooka, K.; Aoyama, T.; Sato, F.; Yazaki, K. Characterization of Shikonin Derivative Secretion in Lithospermum erythrorhizon Hairy Roots as a Model of Lipid-Soluble Metabolite Secretion from Plants. Front. Plant Sci. 2016, 7, 1066. [Google Scholar] [CrossRef]
- Bhagat, S.D.; Rao, A.V. Surface Chemical Modification of TEOS Based Silica Aerogels Synthesized by Two Step (Acid–Base) Sol–Gel Process. Appl. Surf. Sci. 2006, 252, 4289–4297. [Google Scholar] [CrossRef]
- Nowak, B.; Bonora, M.; Zuzga, M.; Werner, Ł.; Jackiewicz-Zagórska, A.; Gac, J.M. MTMS-Based Aerogel Structure Deposition on Polypropylene Fibrous Filter—Surface Layer Effect and Distribution Control for Improvement of Oil Aerosol Separation Properties. J. Environ. Chem. Eng. 2022, 10, 108410. [Google Scholar] [CrossRef]
- Jackiewicz, A.; Werner, Ł. Separation of Nanoparticles from Air Using Melt-Blown Filtering Media. Aerosol Air Qual. Res. 2015, 15, 2422–2435. [Google Scholar] [CrossRef]
- Sykłowska-Baranek, K.; Pietrosiuk, A.; Kuźma, Ł.; Chinou, I.; Kongel, M.; Jeziorek, M. Establishment of Rindera graeca transgenic root culture as a source of shikonin derivatives. Planta Med. 2008, 74, PG54. [Google Scholar] [CrossRef]













| Material Sample | Volume Shrinkage (%) | Packing Density (g mL−1) | MTMS-Gel/PP Fibers Weight Ratio (g g−1) |
|---|---|---|---|
| PP | - | 8.11 (±0.87) | - |
| A2 | 58.00 (±0.12) | 86.49 (±2.40) | 5.26 (±0.36) |
| B2 | 28.42 (±0.09) | 43.47 (±3.11) | 4.35 (±0.31) |
| C2 | 1.32 (±0.08) | 14.45 (±5.21) | 1.29 (±0.18) |
| Kinetic Parameter | Xerogel A1 | Xerogel B2 | Control |
|---|---|---|---|
| µ (h−1) | 0.00205 (±0.00045) | 0.00172 (±0.00025) | 0.00172 (±0.00034) |
| YP/X (µg gDW−1) | 175.67 (± 5.71) | 14.48 (± 1.08) | 0.00 (±0.00) |
| YX/S (gDW gS−1) | 0.853 (±0.023) | 0.463 (±0.017) | 0.328 (±0.011) |
| MTMS-Based Xerogel Sample | MTMS:MeOH:C2H2O4 (1):NH4OH (2) Volumetric Ratio (mL) | MTMS:MeOH:H2O:C2H2O4:NH4OH Molar Ratio (moles) |
|---|---|---|
| A | 1.0:2.0:0.5:0.5 | 1.00:7.05:11.56:1.00∙10−3:1.14 |
| B | 1.0:2.0:0.8:0.8 | 1.00:7.05:7.22:1.00∙10−3:0.71 |
| C | 1.0:10.0:4.0:4.0 | 1.00:35.26:57.78:6.00∙10−3:5.71 |
Publisher’s Note: MDPI stays neutral with regard to jurisdictional claims in published maps and institutional affiliations. |
© 2022 by the authors. Licensee MDPI, Basel, Switzerland. This article is an open access article distributed under the terms and conditions of the Creative Commons Attribution (CC BY) license (https://creativecommons.org/licenses/by/4.0/).
Share and Cite
Wierzchowski, K.; Nowak, B.; Kawka, M.; Więckowicz, P.; Dąbkowska-Susfał, K.; Pietrosiuk, A.; Sykłowska-Baranek, K.; Pilarek, M. Selective Impact of MTMS-Based Xerogel Morphology on Boosted Proliferation and Enhanced Naphthoquinone Production in Cultures of Rindera graeca Transgenic Roots. Int. J. Mol. Sci. 2022, 23, 13669. https://doi.org/10.3390/ijms232213669
Wierzchowski K, Nowak B, Kawka M, Więckowicz P, Dąbkowska-Susfał K, Pietrosiuk A, Sykłowska-Baranek K, Pilarek M. Selective Impact of MTMS-Based Xerogel Morphology on Boosted Proliferation and Enhanced Naphthoquinone Production in Cultures of Rindera graeca Transgenic Roots. International Journal of Molecular Sciences. 2022; 23(22):13669. https://doi.org/10.3390/ijms232213669
Chicago/Turabian StyleWierzchowski, Kamil, Bartosz Nowak, Mateusz Kawka, Patryk Więckowicz, Katarzyna Dąbkowska-Susfał, Agnieszka Pietrosiuk, Katarzyna Sykłowska-Baranek, and Maciej Pilarek. 2022. "Selective Impact of MTMS-Based Xerogel Morphology on Boosted Proliferation and Enhanced Naphthoquinone Production in Cultures of Rindera graeca Transgenic Roots" International Journal of Molecular Sciences 23, no. 22: 13669. https://doi.org/10.3390/ijms232213669
APA StyleWierzchowski, K., Nowak, B., Kawka, M., Więckowicz, P., Dąbkowska-Susfał, K., Pietrosiuk, A., Sykłowska-Baranek, K., & Pilarek, M. (2022). Selective Impact of MTMS-Based Xerogel Morphology on Boosted Proliferation and Enhanced Naphthoquinone Production in Cultures of Rindera graeca Transgenic Roots. International Journal of Molecular Sciences, 23(22), 13669. https://doi.org/10.3390/ijms232213669

