Abstract
Hydrides have emerged as strong candidates for energy storage applications and their study has attracted wide interest in both the academic and industry sectors. With clear advantages due to the solid-state storage of hydrogen, hydrides and in particular complex hydrides have the ability to tackle environmental pollution by offering the alternative of a clean energy source: hydrogen. However, several drawbacks have detracted this material from going mainstream, and some of these shortcomings have been addressed by nanostructuring/nanoconfinement strategies. With the enhancement of thermodynamic and/or kinetic behavior, nanosized complex hydrides (borohydrides and alanates) have recently conquered new estate in the hydrogen storage field. The current review aims to present the most recent results, many of which illustrate the feasibility of using complex hydrides for the generation of molecular hydrogen in conditions suitable for vehicular and stationary applications. Nanostructuring strategies, either in the pristine or nanoconfined state, coupled with a proper catalyst and the choice of host material can potentially yield a robust nanocomposite to reliably produce H2 in a reversible manner. The key element to tackle for current and future research efforts remains the reproducible means to store H2, which will build up towards a viable hydrogen economy goal. The most recent trends and future prospects will be presented herein.
Keywords:
hydrogen; complex hydride; energy; nanoconfinement; destabilization; nanomaterials; MOF; additives; reversibility 1. Introduction
The EU’s ambition to be the first continent that completely replaces fossil fuels with alternative, renewable energy sources appears to face many difficulties. The related cost and scarcity of resources add to the carbon-neutral goal, making it even harder to identify a sustainable means to produce this energy. Renewable energy sources may be tracked to the action of the sun or wind, producing electricity that can be stored (batteries) or utilized to split H2O in oxygen and hydrogen. Out of the possible alternatives, hydrogen (H2) has emerged as the source capable to produce energy in an environmentally friendly way, without releasing CO2 or NOx gases that are held responsible for the air pollution, smog and greenhouse effect worldwide. Modern trends led to a differentiation of H2 systems by their source, and nine color codes are actively used today in this purpose: white (naturally occurring hydrogen), red (high temperature, catalytic water splitting using electricity from nuclear plant), pink (electrolysis of water using energy from a nuclear plant), purple (combined chemo thermal electrolysis of water using nuclear power), turquoise (thermal splitting of methane via pyrolysis, C is removed in solid form), brown/black (hydrogen produced from coal: bituminous—black color, and lignite—grey color; both CO and CO2 gases are released in the atmosphere adding up to current pollution), gray (fossil fuels/steam methane reforming; CO2 is released in atmosphere), blue (fossil fuel; CO2 is captured and stored underground, hence blue stands for a carbon-neutral process to produce H2) and green (water electrolysis, using renewable electricity; no CO2 is released, water splitting produces only H2 and O2, being compliant with an anticipated zero-carbon policy). Hydrogen is the lightest element known (Z = 1) and the most abundant element in the universe, exhibiting unique properties like high diffusivity, low density, low boiling point (−252.8 °C) and high gravimetric energy density—roughly three times higher than that of gasoline.
This review aims to cover the most significant milestones and recent advances in the field of nano-sized complex hydrides, which regained momentum due to the wide interest in shifting towards a carbon-neutral, green alternative fuel: hydrogen [1,2,3,4,5,6,7,8,9,10,11,12,13,14,15,16,17,18,19,20,21,22,23,24,25,26,27,28,29,30,31,32,33,34]. Complex hydrides have many added benefits compared to other means of storing hydrogen: solid-state storage, high gravimetric and volumetric density, potentially reversible behavior and competent structural and morphology-tuning via nanostructuring (Figure 1).
Figure 1.
Nanostructuring technique and smart synergies are at the heart of physical and chemical properties improvements in complex hydride materials for solid-state hydrogen storage.
Various methods have been employed to store hydrogen throughout the years, which may be divided into physical (carbon-based sorbents, cryo-compressed and liquified hydrogen) and chemical storage (metal hydrides, complex hydrides and chemical hydrides) (Figure 1). Storing H2 in its molecular state presents a number of precautions and is generally regarded as posing safety risks (extreme temperature and high pressure) in addition to the challengingly-high overall cost, hence the solid-state storage options appear especially appealing by comparison. Hydrogen storage density is crucial for vehicular applications and has become a key requirement of US Department of Energy DOE [35]. The current goal of DOE is to obtain a fuel able to store 5.5 wt% H2 (1.8 kWh/kg, 1.3 kWh/L, costing $9/kWh) by 2025, and ultimately to achieve a hydrogen storage target of 6.5 wt% (2.2 kWh/kg, 1.7 kWh/L, at a cost of $8/kWh). A sustainable hydrogen energy can indeed be built using hydrogen as an energy carrier, but its storage in the solid state constitutes an obstacle (Figure 2) even today. A comparative overview shown in Figure 2 highlights the evolution of gravimetric hydrogen content from various sources H2 (1 bar, 0.3 g H2/L). These include lab cylinders (150 bar, 10 g H2/L), sorbents (MOFs, <70 g H2/L), liquid H2@20K (71 g H2/L), liquid methane CH4@112K (106 g H2/L), water H2O (111 g H2/L), liquid ammonia NH3@240K (121 g H2/L), ammonia borane NH3BH3 (70–150 g H2/L) and complex and interstitial hydrides (110–150 g H2/L). With gravimetric capacities of up to 150 g H2/L, complex hydrides surpass the capacity offered by water (111 g H2/L) and still represent the materials with the highest potential hydrogen storing capacity today.
Figure 2.
Compressed versus material-based hydrogen storage, arranged by increasing gravimetric content.
Moreover, even some of the most promising materials today, complex hydrides, have yet to overcome poor reversibility, sluggish kinetics and high desorption temperatures, in order to become mainstream energy carriers. With high storage capacities (Be(BH4)2: 20.7 wt% hydrogen, theoretical), metal borohydrides have emerged as very attractive candidates for solid-state hydrogen storage. Prime examples include LiBH4 (18.4 wt%) and Mg(BH4)2 (14.8 wt%) [4,9]. Still, several factors plague the wide acceptance of complex hydrides as H2 carriers: high dehydrogenation enthalpies [36,37], slow kinetics and/or side-reactions possibly leading to loss of boron (as borane B2H6 or higher boranes) and with it, the concurrent loss of reversibility. In addition, the theoretical hydrogen densities are rarely reached in practice, because complete dehydrogenation almost never occurs, and instead leads to formation of the corresponding metal hydride. Achieving sustained reversibility of complex hydride systems has been at the forefront of research efforts related to hydrogen storage materials and technologies [38,39,40]. Ongoing trends in hydrogen storage materials have expanded their scope for further use as electrolytes for batteries, harnessing the high ion conductivity exhibited by complex borohydrides—a behavior which can be tuned by various chemical strategies, or with temperature [41]. The molecular dynamics of anions and cations in polyborate salts comprise the reorientation of complex anions and translational diffusion of cations and complex anions and are key elements enabling the use of Li+ and Na+ closo-borates as solid electrolytes [42]. In this regard, nanotechnology has played a key role, enabling consistent improvements across the board regarding thermodynamic and kinetic behavior of complex hydrides, and the current review aims to overview the most important achievements in the field of nanostructured and nanoconfined complex hydrides.
Recent advances in complex hydride chemistry have been supported by NMR studies [42,43], neutron scattering [44], EM electron microscopy (SEM, (HR)TEM) [45], in-situ XRD characterization [46,47] and thermodynamic data predictions brought about by assessing bond energies in B-H systems occurring during decomposition of borohydride species [48]. Further theoretical considerations in BET-isotherms allow for a better description of the porosity features of nano-sized scaffolds used for complex hydride materials [49]. However, not all characterization techniques are truly non-destructive, and certain adjustments of the parameters used are compulsory when dealing with sensitive materials such as hydrides [50]. A note on the importance of rigorous implementation of a hydrogen storage assessment strategy in energy storage compounds is reinforced by the divergent results reported by various groups on similar materials [51].
2. Classes of Complex Hydride Materials
The elemental abundance and ease of synthesis have polarized research in the area of complex hydrides around light metal borohydrides/tetrahydridoborates and alanates/tetrahydridoaluminates [52]. Moreover, alkali-metal complex hydrides (LiBH4, NaBH4, KBH4) serve as starting points for further borohydride synthesis via metathetic reactions, hence intensive studies have been carried out using these components. The improved kinetic behavior of Mg has motivated research on Mg(BH4)2 and Mg(AlH4)2 complex hydrides. As proof, no less than six polymorphs of Mg(BH4)2 have been reported to date, some with unexpectedly high morphological features (like high porosity, pore volume and surface area, γ-Mg(BH4)2) [4]. The synthesis of γ-Mg(BH4)2 by desolvation from the ethereal adduct indicates that the study of neutral molecule-stabilized adducts of borohydrides (with Et2O, THF, NH3, S(CH3)2, etc.) are well worth investigation, potentially yielding new, exciting polymorphs of otherwise known complex hydrides. In fact, ammoniates of common borohydrides have been investigated regarding their behavior in a nanoconfined state. Transition metal (TM) borohydrides and mixed (dual cation/anion) borohydrides have provided new tools to lower decomposition temperatures while featuring enhanced reversible behavior in hydrogenation studies. Lastly, many recent studies were devoted to ammonia borane (NH3BH3, AB) nanoconfinement in a variety of porous hosts, with promising results reported.
2.1. Li-Based Systems
LiBH4 and LiAlH4 have long been pursued as promising hydrogen storage carriers, therefore the wide research output in the literature contains—at least as a starting point or as an intermediate—a Li-based system.
2.1.1. LiBH4
LiBH4, the lightest borohydride known, has a very high theoretical storage capacity (18.4 wt%), and yet a high practical storage capacity (13.8 wt%) (Equation (1)) [53,54,55,56]. There are still thermodynamic and kinetic aspects that need to be overcome, and in this respect nanoconfinement became a proverbial tool providing overall noteworthy improvements of nanoconfined LiBH4 compared to neat lithium borohydride [57]. For instance, the onset desorption temperature (reported for bulk LiBH4 in the range 370–380 °C) is drastically reduced by ~300 °C through nanoconfinement in CNTs (2 nm; tonset = 75 °C), or in Cu-MOF (0.9 nm; tonset = 75 °C) [57]. Interestingly, 11B NMR shifts resulted from first principles calculations could shed more light into mechanistic decomposition pathways of nanoconfined LiBH4 [58]. Recent synthetic methods aim towards faster and nanosized-oriented syntheses of complex light borohydrides, either by using a surfactant approach [59], or by room temperature precipitation [60]. The effect of dopants (E = Na, K, Al, F, Cl) on hydrogen release energy profiles from E-doped LiBH4 was modelled using DFT and showed that H2 release is favored from two neighboring [BH4−] groups rather than a single borohydride anion, and that tensile strain can weaken interaction B-H, effectively facilitating H2 production [61]. On a similar note, ensemble machine learning protocol recently produced a predictive framework EoE with high accuracy (demonstrated on 3LiBH4 + AlF3 + 0.2TiF3 system, whose predictive behavior resembles well the actual curves for 1st and 2nd dehydrogenation), enabling performance prediction of LiBH4 with bi-component catalysts [62]. Many research efforts tackle nanoconfined LiBH4 from a Li-ion conductivity perspective, with direct application in solid electrolytes for batteries [63,64,65,66,67,68,69,70,71,72,73,74,75]. For instance, de Jongh et al. reported nanoconfinement of LiBH4 in ordered mesoporous silica (42 vol.% silica) with exceptionally high lithium mobility, reaching Li+ conductivity of 0.1 mS cm−1 at room temperature [76]. The thermal decomposition pathway of lithium borohydride entails a phase transition at 108–112 °C from o-LiBH4 to h-LiBH4 (with high Li+ ion conductivity), melting at 275 °C and a possibly stepwise decomposition (Li2B12H12 as the intermediate) in the range 400–600 °C to finally produce LiH, B and H2. [1,3,4]:
Rehydrogenation requires extreme conditions, an aspect which is in part responsible for the decreased hydrogen storage in subsequent release/uptake cycles (Equation (2)).
Nanoconfinement has led to important achievements in improving reversible behavior of LiBH4, and a wide range of hosts have been investigated. Li-insertion was reported by Ngene et al. when destabilization of LiBH4 and LiAlH4 was achieved due to confinement in HSAG (high surface area graphite) leading to nanostructured complex hydrides able to fully dehydrogenate at 400 °C (Li forms instead of the LiH, which was surprising considering the high thermal stability of LiH which decomposes in bulk at ~900 °C) [77]. The reasoning for such improvement for the Li-intercalation and de-intercalation into turbostratic C nanoscaffolds, forming LiCx intermediates which were identified by 7Li-MAS-NMR (MAS-magic angle spinning) [77].
Ngene et al. have used high surface area graphite (HSAG) after degassing and reducing (10%H2/Ar, 650 °C, 5 h) as a scaffold for the inclusion of LiBH4. Desorption was carried out at 400 °C under 1.1 bar H2 and showed different decomposition for fully confined LiBH4:
In contrast to the nano-sized pathway (3), bulk LiBH4 follows the full decomposition pathway (4).
LiBH4 ↔ Li + B + 2H2
Rehydrogenation was possible under mild conditions (325 °C, 50 bar H2). Additionally, LiCx was identified as a product instead of the usual LiH, due to Li-intercallation in graphitic carbon nanoscaffolds [77].
Using hollow carbon nanospheres, Lai et al. achieved a reduction in plateau pressure upon nanoconfinement of LiBH4 by solvent impregnation in a 30 wt% loading LiBH4@HCNWs composite (2–15 nm PSD). The dehydrogenation process had an early onset (tonset,release = 50 °C), which peaked at ~100 °C, although the overall reversible hydrogen content was very modest at ~0.3 wt% [78].
A further modification of carbon-based scaffold was engineered by Gasnier et al., who used TM NP–decorated, N–doped graphene–rich aerogels of high textural properties: Vmeso,in = 0.75 cm3/g before decoration and Vmeso,f = 0.58 cm3/g after NP decoration (25 wt%, ~5% pore filling with TM = Ni/Co/NiCo) [79]. Metal confinement is more efficient in bigger mesopores, as confirmed by PSD data. A high gravimetric content of 12.2 wt% (des., 400 °C) was recorded for 30 wt%LiBH4-Co:GN nanocomposite. In the second cycle, the capacity decreased in the following order Ni > NiCo > Co regarding H2 wt% capacity, which again confirms Ni to be a superior catalyst (Reactions (5) and (6)). Potential physisorption by stacked graphene layers promoted by Ni [0]-desorption starts at ~100 °C [79].
LiBH4 + Co ↔ CoB + LiH + 1.5H2
LiBH4 + 2Ni ↔ Ni2B + LiH + 1.5H2
HNCs (hollow carbon nanospheres) used for LiBH4 nanoconfinement afforded a modest ~0.7 wt% partial reversibility, which was achieved at 300 °C and 6 MPa H2 [80]. The desorption temperature was as low as 100 °C, and solvent infiltration (partially reversible) was found to be superior to melt infiltration (no reversibility for melt–impregnated M(BH4)n-HCNs, at 350 °C, 6 MPa H2). M(BH4)x@HCNs nanocomposites had Vpore = 0.03 − 0.12 cm3/g and SBET = 13.2 − 86.3 m2/g, and Ca(BH4)2-based composite showed the best textural parameters. Nanoconfinement seems to reroute dehydrogenation pathway from general Reaction (1) to (7).
LiBH4 was ground and then melt impregnated into mesoporous carbon hollow spheres (MCHSs) to afford LiBH4@MCHSs composite/pellets [81]. Wu et al. achieved physical confinement of lithium borohydride in double layers of the carbon nanobowls (DLCB). The overall decomposition conforms to Reaction (1). The recorded improvement was quantified by a strong decrease in activation energy, from 177.1 kJ/mol (neat LiBH4) to 121.4 kJ/mol (LiBH4@DLCB-2 nanocomposite), featuring a high volumetric hydrogen density of 82.4 g H2/L [81].
On the other hand, a similar reduction of Ea was achieved by Zhou et al. who melt-impregnated (MI) LiBH4 into activated charcoal (AC), reducing the activation energy for desorption to Ea,des = 121.1 kJ/mol for LiBH4/AC-MI samples that were able to sustain a reversible 6 wt% reversible hydrogen storage content [82].
Employing a high borohydride loading of 70 wt% in porous hollow carbon nanospheres (PHCNSs), Wang et al. achieved a 4.8 wt% reversible H2 storage, owed in part to the LiBH4–C surface interactions. The melt infiltration protocol for the most promising sample 60 wt%LiBH4-40 wt%PHCNSs consisted of rather typical parameters (300 °C, 30 min, 100 bar H2) [83].
When a carbon wrapped Fe3O4 host was loaded with 60 wt% LiBH4, very promising composite materials 6LiBH4@4p-Fe3O4@C were produced, with an early onset of 175 °C (7.8 wt% H2, 350 °C, 30 min.) [84]. The activation energy was further reduced compared to previously discussed examples, to Ea,des = 106.2 kJ/mol. Interestingly, although a part of the scaffold plays a sacrificial role (as it reacts with the borohydride source according to Reaction (8)), the formation of iron boride species (Fe2B, FeB) is regarded as highly beneficial for the reversibility of the system [84].
Fe3O4 + 4LiBH4 → Li3BO3 + Fe2B + FeB + B + 8H2↑
Sitthiwet et al. compacted LiBH4 and electrospun nanofibers of polyacrylonitrile (PAN) catalyzed by Ti(OiPr)4, under high pressure (868 MPa), achieving ~5.2 wt% storage capacity for the resulting composite (ACNF-Ti) [85]. The high pressure applied during the compaction process produced rupture in ACNF-Ti, and subsequent agglomeration of hydrides during cycling (reduced performance in time); using a lower compaction pressure (434 MPa) led to superior kinetic and reversible behavior [85].
A synergy nanocatalyst-nanoconfinement was reported when LiBH4 (5–10 nm) was introduced in Graphene/Ni nanocrystals (2–4 nm) due to in-situ generation of both LiBH4 (from the reaction of LiH and C6H15NBH3 (9)), and Ni (from the reduction reaction of (C5H5)2Ni (10)) [86].
(C5H5)2Ni + H2 → Ni + 2C5H6
This strategy led to 9.2 wt% hydrogen storage, reversible under moderate conditions (300 °C), confirmed to be non-degrading even after the 100th cycle [86].
Exploring the role of scaffold porosity, Martínez et al. synthesized mesoporous carbon of various PSD (6, 10, 15, 25 nm) and used them to melt impregnate LiBH4 up to 90 vol% (10, 30, 50, 70, and 90 vol %; 300 °C, 60 bar H2, 30 min.) in a two-step impregnation procedure. It was observed that smaller pores fill faster, hence the need for a two-step procedure, and that destabilization of LiBH4 was achieved in the obtained composite, with LiH playing a destabilizing role. However, the reversibility of the system was rather poor [87].
Attempts to prepare nanosized LiBH4 (50–60 nm) by a single-pot solvothermal process were successful and afforded up to 12.1 wt% reversible behavior at 400 °C. Important thermodynamic parameters were also recorded: Ea.des = 147 kJ/mol (17% improvement over pristine) and Ea,rehyd = 81 kJ/mol (21% reduction relative to pristine) [88].
In a carefully–designed scaffold based on TiO2-catalyzed carbon, CNT@PC@TiO2 (CNT, carbon nanotubes; PC, porous carbon) and a high loading of LiBH4 (60 wt%) produced composite LiBH4:CNT@PC@TiO2, releasing 17.7 wt% hydrogen (500 °C). The CNTs facilitate the heat transfer, while the high release of H2 can be associated with a synergetic effect nanoconfinement—catalysis—surface interaction—thermal transfer [89].
Although moisture sensitive, LiBH4 was produced by a freeze-drying technique as a monohydride LiBH4·H2O that released 10 wt% from 50 °C to 70 °C. The very low onset and dehydrogenation peak were probably due to the strong affinity of H+ in the H2O ligand and H− in the BH4 group [90]. However, the system LiBH4.H2O provides one-way desorption, as reversibility was not achieved (even under 350 bar H2) [90].
Various other attempts at catalyzing LiBH4 decomposition have been made. For instance, TiO-catalyzed (using Ti(OEt)4 precatalyst) lithium borohydride led to 9 wt% reversible hydrogen storage with enhanced kinetics and reversibility (74.4% H2 storage capacity retention, 10th cycle). The catalyst seems to also inhibit Li2B12H12 formation [91].
CoNiB-NPs loaded in carbon aerogels (CA) with pore size ~10 nm provided unexpected thermodynamic enhancements by a synergy nanoconfinement-catalysis, affording LiH desorption at 400 °C vs. 950 °C in bulk (14.5 wt% H2 released vs. 13.8 maximum for reaction step (1)). Metallic Li(0) was confirmed in desorption material (400 °C) by a 54.1 eV peak in XPS spectrum [92].
Suwarno et al. conducted a thermodynamic investigation of LiBH4 in nanoporous silica and carbon scaffolds by melt infiltration (300 °C, 5°/min, 25 min), after 10 min pre-mixing LiBH4 with scaffold for proper contact. Two types of LiBH4 mobile phases by quasi-elastic neutron scattering were observed, and the interfacial layer thickness was concluded to be an essential factor in hydrogen mobility. The interface interaction borohydride-scaffold was also quantified: 0.053 J/m2 (with SiO2) and 0.033 J/m2 (with C) [93].
Other scaffolds have been explored as well. Wang el al. employed Ce2S3 as additive for lithium borohydride, with LiBH4 + 20 wt% Ce3S3 showing favorable rehydrogenation (up to the fourth cycle; Ea was reduced from 181.80 kJ/mol for pristine LiBH4 to 151.82 kJ/mol for LiBH4 + 20 wt% Ce3S3) [94]. The reactivity of Ce2S3 with LiBH4, quantifiable via Reaction (11), afforded Li2S and CeB6 with co-catalytic dehydrogenation effects.
2LiBH4 + Ce2S3 → Li2S + 2CeS + 2B + 4H2
Activated carbon nanofibers (ACNF) with very high surface areas (SBET = 2752 m2/g) were used by Plerdsranoy et al. to melt impregnate LiBH4 (pre-milled in SPEX Mill, 1 h, ball-to-powder BPR 30:1) [95]. The impregnation occurred in stages, hence prolonged time or multiple impregnations could lead to better results, an observation that could be extended to other melt impregnations as well.
The layered structure of 2D Ti3C2 utilized as hosts can bypass particle growth/agglomeration, providing excellent destabilization of LiBH4 [96]. Among the four compositions studied, the activation energy of LiBH4@xTi3C2, corresponding to mass ratios 2:1, 1:1, 1:2 and 1:3, was dependent on the heating profiles: Ea,1 = 98.27 kJ/mol (12 °C/min) and Ea,2 = 94.44 kJ/mol (8 °C/min).
Zero-valent metals like Ni(0) have showed many times more favorable activity in hydrogenation studies. A report from Chen et al. describes the synthesis of nanoporous nickel by dealloying Mn70Ni30 alloy in aq. (NH4)2SO4. LiBH4 was introduced by wet impregnation, and rehydrogenation was achieved at 450 °C and 8 MPa H2 [97].
When introduced via ball milling in a Fe3O4@rGO support (one-step hydrothermal route), LiBH4 produced nanocomposites LiBH4-Fe3O4@rGO with ~3.7 wt% hydrogen storage, and a reduced activation energy Ea = 79.78 kJ/mol [98].
Graphene in a mesoporous resorcinol–formaldehyde matrix was used to melt impregnate LiBH4 (30% pore volume filling), and enhanced [BH4−] mobility under nanoconfined state lowered peak temperatures compared to bulk counterpart. However, the poor reversibility recorded was due to LiH ejection from the pores during cycling [99].
CeF3-catalyzed activated carbon produced by the ball milling of components was utilized for loading LiBH4 (90 vol% of scaffold porosity) [100]. The wt% H2 released by the composite LiBH4-AC-CeF3 at 350 °C was 288 times higher than that of neat LiBH4, and a highly reversible 8.1 wt% was achieved in this catalyzed scaffold.
Wang et al. incorporated LiBH4 into modified carbon nanotubes: SWCNTs, andMWCNTs by ball milling, thus introducing local disorder and defects in CNTs. As a result, all incorporated LiBH4 was decomposed after 3 h at 500 °C [101].
Other fluorides were also explored as active catalysts, like NbF5 in mesoporous carbon MC via grinding (10 min), followed by LiBH4 infiltration MC-NbF5 (30 min, 300 °C, 140 bar H2, 85% vol% optimum filling) [102]. This approach led to a considerable reduction in apparent activation energy to Ea = 97.8 kJ/mol for LiBH4@MC-NbF5. Interestingly, nanoconfined samples do not exhibit a melting transition, in line with the disordered state of LiBH4. The synergistic role of nanoconfinement and nanocatalysis afforded a desorption that was 3.2 times faster in MC-NbF5 compared to neat MC (Reaction (12)).
2LiBH4 + NbHx → 2LiH + NbB2 + (3 + x/2) H2; ΔG = −113.97 kJ
Dolotko et al. utilized SiS2 scaffolds to produce x LiBH4–SiS2 (x = 2–8) composites. Among them, six LiBH4—SiS2 was found to be the most promising material. The mixed borohydride decomposed according to (13), affording a reversible H2 capacity of 2.4 wt% [103].
Li2SiS2(BH4)2 → 2B + Li2S + 0.5Si + 0.5SiS2 + 4H2; ΔH = 32.5 kJ/mol H2
Nanoporous Mg scaffold was employed by Sofianos et al. for the melt-infiltration of LiBH4, according to the reaction Sequence (14)–(16).
NaH + MgH2 → NaMgH3 → Na(l) + Mg + 3/2H2
2LiBH4 + Mg → 2LiH + MgB2 + 3H2
LiH + Mg → LiMg + 1/2H2
Notably, Mg did not form MgH2 during LiBH4 melt-impregnation (300 °C, 60 bar H2) [104].
When LiBH4 was nanoconfined in AlN functionalized with O-atoms containing grafting groups, a frustrated Lewis pair (FLP)–like interaction occurs Hδ+…Hδ−, which in turn enhances the H2 release [105]. The AlN@LiBH4 (3:2 wt. ratio) yields the most complete desorption (2.8H/1LiBH4), while the formed borate Li3BO3 facilitates the decomposition and formation of [BH4]− (Reaction (17)).
2LiBH4 + 6[HO-] → 2[BO3]3−+ 2LiH + 6H2
The carbon replica of 2D–ordered mesoporous silicfa MSU-H was loaded by up to 40 wt% LiBH4 by the incipient wetness method (0.1 M LiBH4 in tert–butyl–methyl-ether TBME, in 10–40 impregnation-evaporation steps) [106]. However, at lower loading of 8 wt%, LiBH4 remains completely confined into C-MSU-H mesopores (no XRD peaks belonging to borohydride phase). Palade et al. reported the partial rehydrogenation of LiBH4-C-MSU-H nanocomposite at 400 °C (100 bar H2, 2 h) [106]. The same group reported impregnation of LiBH4 into Mo:MSU-H catalyzed siloxanic materials close to melting (~270–280 °C) exhibiting partially reversible behavior [107].
Vellingiri et al. explored the role of LiB(OH)4, Li2CO3 and LiBO2 on LiBH4 @ SWCNTs and concluded that LiBO2 significantly enhances the dehydrogenation and rehydrogenation, in part due to H+ and H− coupling between in situ formed Li+[B(OH)4]−, Li2+[CO3]2− and Li+[BH4]− [108].
Finally, aluminum derived from AlH3 was used as a scaffold for LiBH4 producing LiBH4/Al composite by BM (ball milling). Reversibility was found to depend on the growth of reaction products LiH, AlB2 and LiAl on the surface of Al* [109] (Table 1).
Table 1.
LiBH4-based nanostructured systems and specific details regarding hydrogenation storage capacity.
2.1.2. LiAlH4
A closely-related complex hydride is LiAlH4 has for a while also polarized the research of hydrogen storage materials. It stands, along with LiBH4 and LiNH2, as some of the most promising complex hydrides featuring high hydrogen gravimetric content (Table 2). With a melting temperature of 150–175 °C (endothermic process), LiAlH4 can, in a three-step process, store up to 10.6 wt% and 96.7 g/L hydrogen when heated to 400–440 °C, which is still too high for stationary or mobile applications. In fact, the attainable hydrogen capacity is 7.9 wt% because only the two decomposition steps (Reactions (21) and (22)) of the total of three are thermodynamically accessible under acceptable conditions, and this represents another limitation of LiAlH4. Moreover, the individual steps in the decomposition process are predicted to be reversible at an unreasonably high H2 pressure (1000 MPa), which have rendered LiAlH4 a “one-off” energy storage material. Reviews concerning alanate-based systems and in particular LiAlH4 have emerged in the literature and discuss various thermodynamic and kinetic aspects of alanate-based systems [110,111,112,113]. The alkaline and alkaline-earth aluminum hydrides experience different crystal structure evolution when heated: alkali tetrahydridoaluminates follow a transformation from [AlH4]− tetrahedra to isolated [AlH6]3− octahedra, while alkali-earth counterparts have not been completely investigated. Yet, they decompose at slightly lower temperatures, showing various intermediate structures with chains of corner-shared octahedra, possibly due to their higher coordination number [114]. The catalyst scope utilized for LiAlH4 has been covered by recent reports [115]. Of particular interest remain destabilization strategies, aimed at lowering energetic barriers and thus lowering the temperature of individual de/re-hydrogenation steps. Nano-sizing alanate systems is an effective means to achieve this goal, and recent advances are summarized in Table 2. Leaching of active hydrogen storage material or of decomposition products outside of nano-porosity of the host can be of concern and could be a reason for degrading performance of complex hydrides with cycling.
Table 2.
LiAlH4-based nanostructured systems and details regarding hydrogenation storage capacity.
Ngene et al. synthesized LiAlH4/HSAG composites by wet impregnation of LiAlH4 (0.8 g LiBH4 in 1 mL dried THF) in graphite, followed by drying under a dynamic vacuum (24 h, 35 °C). The nanocomposite LiAlH4/HSAG released H2 in three distinct steps, according to Equation (21): 150–175 °C; (22): 180–220 °C; and (23): 400–420 °C [77].
3LiAlH4 → Li3AlH6 + 2Al + 3H2 5.3 wt% H2
Li3AlH6 → 3LiH + Al + 3/2 H2 2.6 wt% H2
3LiH + 16C → 3LiC6 + 3/2H2 3.1 wt% H2
LiH peaks disappeared from XRD diffractogram, hence full decomposition of LiH to LiC6 took place (at 300 °C). Non-porous supports (NPG, non-porous graphite) only favor reactions (21) and (22), to stop decomposition at the LiH stage, whereas porous graphite pushed the reaction forward to yield LiC6 as the final Li-containing product [77].
When nanoconfined in high surface area graphite (HSAG), LiAlH4 was studied by Wang et al. to provide reasoning for a different (de)hydrogenation pathway for LiAlH4 (nanoconfined) vs the known dehydrogenation pathway for LiAlH4 (bulk), following the set of reactions (21), (22) and (24) [116].
LiH + Al → LiAl + ½H2; 2.6 wt% H2; ΔH = 140 kJ/mol H2
Considering the loading of active alanate species in graphite support, the 0.6 wt% reversible storage accounts for ~30% reversibility of the LiAlH4 in the LiBH4@HSAG nanocomposite (3–15 nm). The rehydrogenated material could release H2 from 100 °C, providing evidence of reversibility via Li3AlH6 rehydrogenation—made possible by the nanostructured reaction participants [116].
Xia et al. used NiCo2O4@rGO supports to prepare (LiAlH4 + 7 wt% NiCo2O4@rGO) by ball milling [117]. LiAlH4 (ball-milled) released H2 with an early onset of 105.5 °C, while (LiAlH4 + 7 wt% rGO) started to release H2 at 108.3 °C. Adsorption energy of [AlH4−] at NiCo2O4 facilitated dehydrogenation reaction. The active catalyst was synthesized by a co-precipitation technique, from Ni2+ and Co2+ sources assisted by urea decomposition in water (NH4+, CO2, HO−, Equation (25)):
2NiCo2(OH)2x(CO32−)(2−x) · nH2O + O2 → 2NiCo2O4 + (2 − x)CO2 + (2x + n) H2O
Switching to a doped carbon-based support, Cho et al. prepared N-doped CMK-3 carbon (NCMK-3) for LiAlH4 confinement by solvent infiltration [118]. The LiAlH4 was freshly recrystallized from Et2O before impregnation procedure, and the nitrogen N–sites (NCMK-3) were found to be critical for providing binding anchors (AIMD simulations) for metal cation Li+, a coordination mode responsible for hypothesized Li-N bond formation. Additionally, no reversibility was observed with undoped CMK-3. Li3AlH6 formation is suppressed by combined nanoconfinement and N-doping of the support, providing “thermodynamic stabilization” of metastable metal hydrides. Li3AlH6 phase is destabilized by nanosizing (does not form), and an overall Reaction (26) was proposed, supported by in-situ SAXS and WAXS data [118].
LiAlH4 → LiH + Al+ 3/2H2
Two dimensional layered materials of MXene type have also been investigated as supports for LiAlH4 confinement. LiBH4 and Ti3C2 were mixed by ball milling (Ar, 10 h) and five compositions were investigated in LiAlH4 + x wt% Ti3C2 system (x = 1, 3, 5, 10, and 15). Ti3C2 was found responsible for lowered Al-H bond energy in LiAlH4 and interfacial charge transfer/dehybridization of Al-H, which should facilitate the hydrogen release: Ea,1 = 79.81 kJ/mol (31.3% improvement over pristine LiAlH4) and Ea,2 = 99.68 kJ/mol (25.1% lower compared to bulk LiAlH4) [119].
Additives like SrFe12O19 were found to be beneficial for LiAlH4 dehydrogenation, providing important thermodynamic improvements associated with the first step (21) and second step (22): ΔEa,1 = 27 kJ/mol and ΔEa,1 = 15 kJ/mol [120]. The final state of alanate following dehydrogenation comprises LiH and Al phases, as confirmed by XRD data. The dehydrogenation pathway is otherwise unchanged by catalyst addition. The maximum amount of H2 released was 6.75 wt% and 6.5 wt% (10 wt% and 20 wt% SrFe12O19 doping) [120].
Li et al. introduced ZrC in LiBH4 by ball milling (Spex, BPR = 20:1, 1200 rpm, 60 min), without ZrC reacting with LiAlH4 during this process (XRD diffractogram) [121]. Even hand shaking mixing for 30 min caused catalytic effect to manifest when 5 mol% ZrC doping was used. Thermodynamic enhancements and increased surface defects triggered a lowering of Ea for elementary steps for 10 mol% ZrC-doped LiAlH4 sample, translating in lower onset dehydrogenation temperatures of 85.3 °C (first step, Equation (21), Δ = 90.7 °C relative to pristine) and 148.4 °C (second step, Equation (22), Δ = 57.8 °C relative to pristine). However, reversibility was not achieved (250 °C, 8 MPa H2) [121].
Other Al-based additives M (M = Al, LiAlH4, Li3AlH6) provided thermodynamic enhancements in 2LiAlH4-M composites [122]. Dehydrogenation temperature decreases in the order LiBH4 (469 °C) > 2LiBH4-Al (445 °C) > 2LiBH4-LiAlH4 (435 °C) > 2LiBH4-Li3AlH6 (416 °C). The most promising material among investigated samples was 2LiBH4-Li3AlH6 composite, which released 9.1 wt% H2 in 150 min. (Figure 3)
Figure 3.
(A) XRD patterns of mixed powder of LiH and LiAlH4 after ball-milling for different numbers of hours; (B) TPD curves of pure LiBH4, 2LiBH4–Al, 2LiBH4–LiAlH4 and 2LiBH4–Li3AlH6 samples. Reprinted from ref. [122], Copyright © 2020 Li, Wu, Zhu, He, Xiao and Chen, distributed under the terms of the Creative Commons Attribution License (CC BY).
A heavier hexaferrite, that of barium BaFe12O19, was used by Sazelee et al. as a catalyst for LiAlH4 dehydrogenation [123]. Important thermodynamic improvements were registered over the pristine variant of the alanate: Ea1 = 71 kJ/mol (ΔEa,1 = 32 kJ/mol) and Ea2 = 90 kJ/mol (ΔEa,2 = 22 kJ/mol) associated with the first (Equation (21)) and second dehydrogenation step (Equation (22)). BaFe12O19 catalyst was introduced via ball milling, a process that reduced LiAlH4 particle size (from 10–50 µm-as received, to sub-µm), creating high surface defects and grain boundaries [123].
K2NbF7 was introduced as an additive in LiAlH4, using planetary ball milling [124]. Using a 10 wt% loading, the nanocomposite LiAlH4 and 10 wt% K2NbF7 showed improved thermodynamics with t1 = 90 °C, Ea,1 = 80 kJ/mol, ΔEa,1 = 24 kJ/mol (21) and t2 = 149 °C; and Ea,2 = 86 kJ/mol and ΔEa,2 = 26 kJ/mol (22). Desorption from catalyzed sample was 30 times faster than that of pure LiAlH4 [124].
Yang et al. have investigated three alanates: LiAlH4, NaAlH4 and Mg(AlH4)2 and drew a relationship between the catalytic effect and the cation’s electronegativity. A stronger catalytic effect (as seen for [Ni]) was recorded when the cation had a lower electronegativity [125]. For instance, the dehydrogenation temperature of NaAlH4 decreased from 140 to 111 °C. The reduced form of the catalyst, [Ni], was prepared from NiCl2 and ethylene glycol by sonication and thermal treatment, and was further incorporated in the alanates by ball milling for 90 min. using a BPR = 40:1. The obtained LiAlH4-5 wt% Ni-PCS composite suppressed the expansion of alanate during decomposition, in addition to the confirmed catalytic activity of [Ni] [125].
Other researchers have employed Ti–based catalysts to enhance dehydrogenation kinetics of alanates [126]. Zhao et al. prepared, by a one–step solvent method, the active catalyst TiO2/Hierarchically Porous Carbon (HPC), which showed evenly distributed TiO2 NPs (~10 nm) on honeycomb hollow hemispheres (600 nm diameter). By utilizing a solvent infiltration process, LiAlH4 was incorporated into TiO2/HPC support, at various proposed loadings (29, 37, 45 and 55 wt%). The authors observed a synergy TiO2—HPC, as their composite TiO2/HPC exhibits superior de-/rehydrogenation catalytic activity than either TiO2 or HPC. The composition 37 wt% LiAlH4—25 wt% TiO2/38 wt% HPC showed the lowest dehydrogenation temperature of 64 °C. The activation energies decreased in the order 63.5 ± 0.4 kJ/mol (HPC) > 57.8 ± 2.1 kJ/mol (TiO2) > 47.1± 3.5 kJ/mol (TiO2/HPC), confirming the TiO2/HPC as the most effective catalyst among the studied examples, and justifying the proposed synergy. The dehydrogenated composite comprises of Al and LiH, without complex alanates (LiAlH4 or Li3AlH6), while the broadened XPS spectra of Ti 2p were suggestive of multiple oxidation states of Ti, which promotes de/rehydrogenation performance of the nanoscaffold [126].
Employing a solvent impregnation method, Pratthana et al. infiltrated LiAlH4 1.0 M (Et2O solution) in hollow carbon nanospheres (HCNs) to prepare nanoconfined LiAlH4@HCNs [127]. The choice of solvent (Et2O) was motivated by the better wettability of Et2O solution surface tension of 0.0165 J·m−2, compared to HCNs. As a result, the altered thermodynamic pathway was recorded, as described by the suggested Reaction (27) describing also a partial decomposition of LiH.
2LiAlH4 → 2LiH + 2Al + 3 H2 → 2LiAl + 1/2 H2
The altered mechanism proposed by Equation (27) was consistent with experimental findings showing that only LiH and Al were present in the sample at 150 °C, and thus (27) represents an alternate dehydrogenation pathway [127]. Additionally, the missing intermediate Li3AlH6 containing the complex anion [AlH6]3− may be destabilized at the nanoscale and could split into two H- and [AlH4]− due to the Jahn-Teller distortion effect [127].
On a related note, adducts of type LiAlH4.xMe2O also excluded formation of Li3AlH6 [128]. When regeneration of LiAlH4 was solvent-mediated, the reaction was tracked by in situ 27Al and 7Li NMR, confirming regeneration at 0 °C (Reaction (28)). The formation of adduct was proven crucial for reversibility. The solvate formation strategy proposed by Humphries et al. was constructed on previous reports where [Al(Ti)] alloying (room temperature, 13 bar H2) or LiAlH4.4THF adduct (120 °C, 350 bar H2) showed regeneration to be feasible [128].
Using TiCl3 as the catalyst, Graetz et al. synthesized LiAlH4-2 mol% TiCl3 composites that achieved regeneration of LiAlH4 via LiAlH4 · 4THF, using solvent (THF) adducts from LiH and Ti-catalyzed Al desolvation (Reaction (29)) [129].
In an attempt to obtain alanate NPs, Pratthana et al. used various surfactants for size tuning in the range 10–200 nm [59]. Hexylamine (HXA, 99%), dodecylamine (DDA, ≥99%), octadecylamine (ODA), ≥99%), heptanethiol (HTT, 98%), dodecanethiol (DDT, ≥98%), octadecanethiol (ODT, 98%), tetra-n-butylammonium bromide (TBAB, ≥98%), tetra-n-octylammonium bromide (TOAB, 98%), tetra-n-decylammonium bromide (TDAB, ≥99%) and tridecylic acid (TDA) were investigated. Surfactants have enabled high steric hindrance that can restrict alanate particle size. However, nanosizing and destabilization (even in 2–5 nm porosity), does not enable H2 release below 100 °C. Among grafted functionalities, the thiol (-SH) and amino (-NH2) functional groups lowered the H2 release temperature. LiAlH4 can reduce various groups (-COOH, -SH), reacting even with resulted –OH groups (Reactions (30)–(32)).
LiAlH4 + RCOOH → RCH2OH + LiOH + AlH3
LiAlH4 + 4RSH → LiAlH4−n(SR)n + nH2
4LiAlH4 + 12ROH → LiAlH4 + 3LiAl(OR)4 + 12H2
A fluorographite scaffold (FGi contains 62 wt% F) was used to produce nanocomposites LiAlH4-xFGi (x = 0, 20, 30 and 40 wt%) by ball milling for 2 h with BPR 40:1 [130]. It was observed that LiAlF4 may potentially decrease the hydrogen storage capacity of LiAlH4@FGi, whereas using a 20 wt% FGi loading (tonset = 103.2 °C) was not enough to stimulate a fast reaction. LiAlH4.30FGi released 3.23 wt% H2 at 62.7 °C in seconds. LiAlF4 also seems to prevail in LiAlH4.30FGi according to XRD data. Notably, the carbide species Al4C3 forms in sample LiAlH4-40FGi according to Equation (33) [130].
4LiAlH4 + 4CF → 4LiF + Al4C3 + C + 8H2
Reaction (33) also reduces Ea from 11.39 kJ/mol to −178.54 kJ/mol, enabling full dehydrogenation at 65 °C [130].
Finally, a hexagonal boron nitride (h-BN) host was used by Nakagawa et al. to produce LiAlH4/h-BN nanocomposites [131] by ball milling. The role of h-BN was compared to the desorption properties of LiAlH4/X (X = graphite, LiCl and LiI) composites, and a maximum storage capacity of 7.6 wt% was reported for LiAlH4/4 wt% h-BN. The Li-ion conductivity enhancement was also suggested for the obtained composites [131].
2.1.3. Li3AlH6
Li3AlH6 was proposed and confirmed as a key intermediate in thermal decomposition of LiAlH4 (reactions (21) and (22)). Reports have described the overall improvement in the dehydrogenation of alanates when Li3AlH6 was destabilized through catalysis or nanoconfinement, in such a way that the first and second dehydrogenation steps collapsed into a single hydrogen release event [77,116,118,122,123,126,128,131]. In some cases, the intermediacy of Li3AlH6 was excluded based on experimental diffraction data [118,128]. In fact, when adducts of LiAlH4 with various ethers (Me2O, Et2O and THF, etc.) were employed to guide a regeneration route of spent alanates, typically, Li3AlH6 was excluded from the plausible intermediates [128]. The same is the case when N-doped ordered mesoporous carbon was used as the host, and the formation of Li3AlH6 was completely suppressed [118].
However, the synergistic effects of reactive hydride composites considerably improve the behavior of Li3AlH6. 2LiBH4-Li3AlH6 composite released 9.1 wt% H2 in 150 min [122]. Li et al. showed that among investigated composited 2LiAlB4 + M (M = Al, LiAlH4 and Li3AlH6), the sample 2LiBH4-Li3AlH6 exhibited the best results in hydrogenation studies [122]. The synthesis of Li3AlH6 was performed by milling LiH and LiAlH4 (Reaction (34)) for many hours, with a complete reaction being achieved by the 50th h mark, although clear formation of Li3AlH6 was confirmed by XRD even after 20 h of milling (Figure 3) [122].
By the end of the hydrogen release programme of 2LiBH4 + Li3AlH6, the majority of the phases were identified as AlB2 and LiH, along with an apparently extraneous peak at about 2θ = 50°, which was not observed from 2LiBH4 + Al composite dehydrogenation products. The reversibility of the nanocomposite 2LiBH4 + Li3AlH6 still requires further research data [122].
On a similar note, but with a slight variation of the borohydride component, the NaBH4 + Li3AlH6 nanocomposite was studied by Yahya et al. [132] who pointed to thermodynamic destabilization, with best results when a 1:1 molar ratio of complex hydrides was used. Li3AlH6 was synthesized by the authors within 12 h using the same Reaction (34). The composite was able to dehydrogenate in two stages (170 °C, Li3AlH6 and 400 °C, NaBH4), and could reabsorb 6.1 wt% at 420 °C and 30 atm H2 in 60 min [132]. Improved dehydrogenation behavior was due to the formation of Na, Al and AlB2 which can act as catalysts for dehydrogenation steps. Indeed, the role of Li3AlH6 seems to be the destabilization of alkali metal borohydride [132]. It could be seen as a reservoir for active [Al] which results from the decomposition at 170 °C (Reaction (22)).
Indeed, this may react with NaBH4 according to Reaction (35) to produce the final dehydrogenation phases consisting of Na, AlB2 and remaining LiH (from Li3AlH6 decomposition).
2NaBH4 + Al → 2Na + AlB2 + 4H2
In contrast to previous rehydrogenation attempts in LiAlH4 system where 100 atm H2 and temperatures up to 260 °C were applied, the report from Yahya et al. shows temperature (420 °C) and destabilization (with Li3AlH6) to be key factors in achieving reversibility [132].
2.1.4. LiNH2
Lithium amide (LiNH2) was used in the recent past as a component of RHC (reactive hydride composite) mixtures, many of which showed remarkable hydrogen storage properties, especially when coupled with main group borohydrides such as Mg(BH4)2. However, it was found that LiNH2 can also enhance Li-ion conductivity in LiBH4–LiNH2/metal oxide nanocomposites [133,134,135]. The main reason for observed enhancement was the partial anion substitution of [BH4]− with [NH2]−, coupled with nanoconfinement in mesoporous oxide scaffolds, which allowed for a bump in ion conductivity from 10−8 S cm−1 for neat LiBH4, to 5 × 10−4 S cm−1 in LiBH4–LiNH2/metal oxide composites [135]. It was also inferred from the same study that the porosity of the host was essential for tuning conductivity features of the composite, even more so than the nature of the scaffold or the chemical interactions scaffold-amide/borohydride [133,134,135,136].
Hydrogen storage studies involving LiNH2 are rather scarce, but some reports refer to an interaction of LiNH2 with other complex hydrides. and the observed synergies in hydrogenation investigations [137]. Surprisingly, ball milling LiNH2 and Mg2FeH6 produced by a metathesis reaction Li4FeH6, (typically obtained from LiH and Fe at 700 °C and 5.5 GPa H2) (Reaction (36)).
Mg2FeH6 + 4LiNH2 → Li4FeH6 + 2Mg(NH2)2, ΔH = −92.8 kJ/mol
The resulting hydride nanocomposite Mg2FeH6-4LiNH2 was subjected to further de/rehydrogenation studies when ~4.8 wt% H2 (tonset = 130 °C) was desorbed and 3.7 wt% H2 was re-absorbed, with slightly worse kinetics than the known and studied Mg(NH2)2-2LiH composite [137] (Figure 4). The regenerated form after rehydrogenation of the spent composite comprises of Mg(NH2)2, LiH and Fe.
Figure 4.
(A) 57Fe Mössbauer spectra: (a) as-prepared Mg2FeH6 and (b) Mg2FeH6–4LiNH2 -BM 12 h-200 °C; (B) Dehydrogenation curves of two post-milled samples (black: Mg(NH2)2–2LiH; blue: Mg2FeH6–4LiNH2); (C) Rehydrogenation curves of two samples (black: dehydrogenated–Mg(NH2)2–2LiH; blue: dehydrogenated–Mg2FeH6–4LiNH2). This figure was reprinted with permission from ref [137].
2.1.5. Li-RHC (Reactive Hydride Composite)
Practical implementation of RHC and of hydrides in general is hampered by the high operating temperature and rather low reversibility exhibited by such hydrogen-storing systems [138]. The behavior of RHC (a combination of hydride materials) can be enhanced by choosing proper selection of metal hydrides and complex hydrides, by significant thermodynamic alteration by metathesis reaction—which in turn will speed up kinetics and the reversibility of the RHC system. Collateral improvements were recorded in Li-ion conductivity studies conducted on nanoconfined RHC composites such as the LiBH4-LiNH2 system catalyzed by metal oxide NPs [135,139]. For instance, an enhancement of OMS (ordered mesoporous silica, of 1D type MCM-41 or 2D type SBA-15) afforded Li-ion conductivity 10 times higher for LiBH4-LiNH2/MCM-41 (1.16 × 10−4) compared to the nonconfined composite LiBH4-LiNH2 [139].
An overview of components of RHCs (Table 3) also allowed in-depth analysis of some of the chemical reactions involved in RHC—presented in Table 4.
Table 3.
Examples of binary and tertiary RHC with corresponding components.
Table 4.
Examples of proposed chemical reactions in binary and tertiary RHCs.
While many research results are not always accompanied by a chemical reaction to account for the hydrogen released, there are some examples that justify the use of binary or tertiary systems (Reactions (37)–(45)) (Table 4). In some cases, like for the system 2NaAlH4 + Ca(BH4)2, the intermediacy of intermetallic components or derived complex hydrides (CaAlH5, CaH2, Al4Ca, Al2Ca) was inferred [138].
Many of these reactions are chain-reactions (one product, such as Al produced in Reaction (43) reacts with one of the reagents—MgH2—to produce the intermetallic Mg17Al12) releasing considerable amounts of hydrogen (Reaction (46)).
17MgH2 + 12Al → Mg17Al12 + 17H2
By corroborating reported reaction data with hydrogen storing properties (Table 3 and Table 4), it can be observed that Li-based RHC (Li-RHC) are the most widespread RHC investigated to date [138,140,141,142,143,144]. TEM investigations in LiBH4-MgH2 RHC catalyzed by 3TiCl3·AlCl3 additives revealed MgB2 platelets (Reactions (40) and (41)) originating from potential nucleation centers including Mg or TiB2 and AlB2. The formation and identification of MgB2 in the reactive mixture pleads for the kinetic improvement brought about by MgB2 in the RHC [141]. It was also suggested that using additives providing a small atomistic misfit (1.7% relative to MgB2) could further enhance the behavior in hydrogenation studies [141].
Perhaps one of the first reactions to meet nanoconfined space, the RHC system LiBH4-MgH2, was reported by Nielsen et al. in 2010, when using a carbon aerogel of pore size ~21 nm (~722 m2/g, 1.1 cm3/g) [142]. The mixture 2LiBH4:1MgH2 follows the decomposition path described by reactions (40) and (41), that can be summed up by the overall Reaction (47).
2LiBH4 + MgH2 → 2LiH + MgB2 + 4H2
The reverse Reaction (47) can be regarded as the starting point for Li-RHC systems investigated by several groups [143,144]. Using high energy ball milling (HEBM), the particle size of Li-RHC could be reduced to 10 to 70 μm (15 m2/g, rounded-platelet morphology) [144]. Comprehensive kinetic modelling was performed by Neves et al. using the best-fitting models (JMAEK-Johnson-Mehl-AvramiErofeyev-Kholmogorov with n = 1 and n = 1.5; contracting area model, contracting volume model), revealing that the limiting step is the movement of the not-hydrogenated/hydrogenated material interface [144]. Further nanostructuring can be achieved by ball milling with additives producing active catalytic species such as LixTiO2 and AlTi, which can hydrogenate within 30 min at 400 °C [144].
Polymeric scaffolds including the adaptive poly(4-methyl-1-pentene) (TPX™ Polymer) were employed as hosts for 2LiH + MgB2 + 7.5(3TiCl3·AlCl3) RHCs, and allowed for higher stability in hydrogen storage studies (variation ~0.005 wt% per cycle) [140]. When the C aerogel scaffold was used by Nielsen et al. for 2 LiBH4: MgH2 RHC, no toxic B2H6 emissions were detectable [142]. About 55% of the free pore volume of the scaffold was infiltrated by RHC, suggesting successive impregnation cycles could increase overall H2 wt% storage [142].
Gamba et al. utilized 2LiH + MgB2/2LiBH4 + MgH2 RHC for hydrogen purification under a H2–CO (0.1 mol%) mixture and CO methanation [143]. Inclusion of only 1 mol% TiO2 additive mechanical milling (2 h, planetary ball mill, 400 rpm, 0.1 MPa Ar) led to nanocomposites Li-RHC-Ti that afforded a stable 10.1 wt% hydrogen capacity after more than 10 a/d cycles [143].
The same composite 2LiH + MgB2/2LiBH4 + MgH2 RHC catalyzed by 5 mol% TiCl3 was synthesized by Neves et al. by high energy ball milling (5g powder, planetary ball-mill, 20 h, BPR 10:1, 230 rpm, 20% volume filling of vial). Thermodynamic measurements under absorption conditions led to the following parameters for the 1D-interface-controlled Reaction (47): ∆H = 34 ± 2 kJ∙mol−1 H2, ∆S = 70 ± 3 J∙K−1∙mol−1 H2, apparent activation energy Ea = 146 ± 3 kJ∙mol−1 H2 and A = (1.8 ± 1.0) 108 s−1 [144].
The nanocomposite 2LiBH4-LiAlH4/RFC (RFC = resorcinol formaldehyde carbon aerogel) was obtained by a two-step melt-infiltration process (0.0595 cm3/g, 45.3 m2/g BET data confirm nanoconfinement inside pores) and showed good H2 storage properties with 5.7 reversible wt% [145]. AlB2 formed during the second dehydrogenation step altered the decomposition pathway of LiBH4, and incomplete rehydrogenation of LiBH4 was confirmed by the identification of Li2B12H12 in the FTIR spectrum (vibration peak at 2480 cm−1) [145].
Plerdsranoy et al. prepared a pellet of RHC compressed under 976 MPa (LiBH4-LiAlH4 with 1:1 molar ratio), which exhibited good mechanical stability during cycling with 80% of theoretical H2 capacity compared to the milled sample (65%) [146]. This improvement was also associated with an important reduction in activation energy ΔEA = 69 kJ/mol H2 compared to in the milled sample. The support used was a carbonaceous polyacrylonitrile (PAN)-based activated carbon nanofiber ACNF, that was prepared by electrospinning, carbonization and chemical activation ((KOHaq). Solution impregnation (LiAlH4 1 M in Et2O) and melt impregnation (LiBH4, 310 °C, 110 bar H2) took place with a 2:1 weight ratio ACNF: RHC (Reaction (48), 10.12 wt% theoretical H2 content for milled RHC and 3.37 wt% for RHC-ACNF).
LiAlH4 (l) + LiBH4 (l) → 2LiH (s) + 1/2AlB2(s) + 1/2Al (s) + 3H2 (g)
Melt infiltration of 2LiBH4-NaAlH4 confined into CA (33% pore volume filling, 310 °C, 30 min, 110 bar H2) produced a 2.4 wt% reversibility. In fact, 9.52 wt% was released during the first dehydrogenation (3.36%, 1st step; 6.16 wt%, 2nd step), but the formation of the eutectic LiBH4-NaAlH4 at 250 °C was not associated with any H2 release [147]. Furthermore, it was shown that NaBH4 is the compound from the original RHC that stores H2 reversibly. The dehydrogenation reaction can be formulated according to (49).
2LiBH4(s) + NaAlH4(s) → [LiBH4(s) + LiAlH4(s) + NaBH4(s)] → 2LiH(s) + Na(s) + AlB2(s) + 5H2(g)
A LMBH eutectic comprising LiBH4-Mg(BH4)2 in a 55:45 molar ratio was obtained by ball milling (BPR 40:1, 400 rpm, 2 h) [148]. High loading of LMBH in porous hollow carbon nanospheres (HCNS) by over-infiltration (33, 50 and 67 wt% at 190 °C, 60 bar H2, 1 h) led to LMBH@HCNS nanocomposites. It was observed that an interfacial adhesion effect due to HCNSs avoids borohydride aggregation during de/rehydrogenation, thus having a beneficial effect on cyclability. The optimal composition of the composite was 50LMBH@HCNS, with a 4.5 wt% stable reversible H2 capacity vs hydride content, or a 2.3 wt% actual cycling capacity (50 wt% LMBH loading in HCNS). The hydrogen release/uptake pathway is described by Reaction (50) for dehydrogenation, and by Reaction (51) for the rehydrogenation reaction [148].
LiBH4 + Mg(BH4)2 → MgB2 + LiH + B + 5.5H2
2LiH + MgB2 + 4H2 → 2LiBH4 + MgH2
An interesting strategy for the inclusion of 2LiBH4–MgH2 in a porous Ni/C scaffold was proposed by Huang et al. [149]. The host was produced by the pyrolysis of the nickel-based metal organic framework, MOF-74-Ni. The hydrogen capacity of the nanocomposite 2LiBH4–MgH2–15%Ni/C was ~9 wt% and MgNi3B2 was identified as an active catalyst for the hydrogenation reaction [149].
Dansirima et al. nanoconfined 2LiBH4-MgH2 into biomass-derived, activated carbon (AC) to produce LiBH4-MgH2-AC composite [150]. LiBH4-Mg (2:1 molar ratio) were milled (planetary ball mill, BPR 20:1, 10 h, 580 rpm), then milled in a 1:1 AC weight ratio to yield 2LiBH4-Mg-AC which underwent further hydrogenation of Mg (400 °C, 5 °C/min, 40–50 bar H2, 10 h), to yield the final composite: 2LiBH4-MgH2-AC. The H2 storing composite “LiBH4-MgH2-AC” was used in a small hydrogen storage tank (21.7 mL packing volume), proving the feasibility of using nanoconfined RHC as a viable fuel (58% of the 5.7 wt% theoretical hydrogen achieved: 3.28 wt%, due to temperature gradient and poor hydrogen diffusion through hydride bed). However, the formation of thermally stable Li2B12H12 limits the reversible H2 storage capacity, which conforms to the Reaction (51) [150].
The RHC 2LiBH4-MgH2 was produced by planetary ball milling (BPR 10:1, 5 h), and infiltrated in. ZrCl4–doped carbon aerogel scaffold CAS synthesized by the carbonization of cross-linked resorcinol-formaldehyde polymer [151]. The optimum loading was investigated by the melt infiltration technique, which produced composites RHC: ZrCl4-CAS with weight ratios 1:1 (pore blocking), 1:2 (most suitable) and 1:3 (lower H2 storage content). The optimum composition 1:2 featured 3.8 wt% theoretical H2 capacity, and showed 3.7 wt% -1st dehydrogenation, and 3.54–3.45 wt%—second to fourth dehydrogenation cycles. Partial dehydrogenation and formation of [B12H12]2− seemed to the lower overall H2 storage capacity, which otherwise follows the pathway described by reactions (40) and (41) [151].
Dematteis et al. investigated mixed-cation borohydrides formed in ternary and quaternary systems: KCa(BH4)3, LiKMg(BH4)4, LiK(BH4)2 and also new eutectics. LiBH4 promoted early H2 release (~200 °C), while KCa(BH4)3 promoted a single-step reaction (higher temperature). The investigated ternary systems were LiBH4-NaBH4-Mg(BH4)2, LiBH4-NaBH4-Ca(BH4)2, LiBH4-KBH4-Mg(BH4)2, LiBH4-KBH4-Ca(BH4)2, LiBH4-Mg(BH4)2-Ca(BH4)2, NaBH4-KBH4-Mg(BH4)2, NaBH4-KBH4-Ca(BH4)2, NaBH4-Mg(BH4)2-Ca(BH4)2 and KBH4-Mg(BH4)2-Ca(BH4)2. Whereas, the quaternary systems comprise LiBH4-NaBH4-KBH4-Mg(BH4)2, LiBH4-NaBH4-KBH4-Ca(BH4)2, LiBH4-NaBH4-Mg(BH4)2-Ca(BH4)2, LiBH4-KBH4-Mg(BH4)2-Ca(BH4)2 and NaBH4-KBH4-Mg(BH4)2-Ca(BH4)2 (Table 3) [152].
An investigation of new mutually destabilized reactive hydride system LiBH4–Mg2NiH4. Mg2NiH4 and MgNi2.5B2 prepared in-house by Bergemann et al. revealed MgNi2.5B2 as an active intermediate, which was confirmed by 11B MAS NMR (154 ppm) [153]. MgO (<5 wt%) was present after dehydrogenation in the samples, which could be a result of the high affinity of Mg for oxygen, and points to unavoidable side reactions during sample manipulation. The dehydrogenation of RHC follows Reaction (42) which could hypothetically consist of three individual steps [153].
2LiBH4 + 2.5Mg2NiH4 → (2LiH + 2B +2.5Mg2Ni +8H2 → 2LiH + MgNi2.5B2 + 4Mg + 8H2) → 2LiH + MgNi2.5B2 + 4MgH2 + 4H2
A TiCl4-catalyzed CAS prepared by resorcinol-formaldehyde (RF) aerogels technique was used to yield composites 2LiBH4–MgH2–0.13TiCl4. The RHC was confined by solution impregnation and melt infiltration in nanoporous catalyzed carbon aerogel host TiCl4-CAS [154]. The superior behavior of TiCl4-catalyzed RHC was due to the formation of Ti–MgH2 alloys (Mg0.25Ti0.75H2 and Mg6TiH2) during the first rehydrogenation. The dehydrogenation proceeded in three steps (140, 240 and 380 °C), with no detectable traces of B2H6 [154].
Other investigations started from neat RHC LiBH4-NaBH4 which was synthesized by ball milling (BPR 30:1, 120 min, 350 rpm) leading to formation of a solid solution. Notably, the orthorhombic-to-hexagonal LiBH4 transition took place at 94 °C (15 °C lower than that of neat LiBH4). A new eutectic with a composition between Li0.65Na0.35BH4 and Li0.70Na0.30BH4 was observed (mp = 216 °C), and ab initio and Calphad allowed the calculation of thermodynamic parameters and the phase diagram [155].
Liu et al. synthesized LiBH4–Mg(BH4)2@NPC nanocomposites by melt infiltration (20 wt% hydride loading vs support; 200 °C, 60 bar H2, 30 min.) [156]. The mixed borohydride Li/Mg(BH4)3 formed an eutectic with a structure similar to α-Mg(BH4)2, with varying diborane (B2H6) and triborane (B3H8) evolution—lower for bulk, higher for nanoconfined, confirming a suppressed reaction pathway and altered decomposition mechanism [156].
The 0.62LiBH4-0.38NaBH4 RHC catalyzed by nano-Ni was prepared by planetary ball milling (10 h, 1 bar Ar, 175 rpm) [157]. Nano Ni-addition destabilizes the dehydrogenation process (a three-step reaction, 20–25 °C reduction in peak temperatures compared to neat RHC). The cycling stability was unaffected by the nickel catalyst, which facilitates regeneration of LiBH4. The dehydrogenation products were identified as Ni4B3 (first step) and Li1.2Ni2.5B2 (third step). The possible reactions of LiBH4 with Ni depend on the initial LiBH4:Ni molar ratio conforming to Equations (52)–(54), and comprise various nickel boride formulations as catalyst-containing species [157].
LiBH4 + 4/3Ni → 1/3Ni4B3 + LiH + 3/2H2
LiBH4 + 2Ni → Ni2B + LiH + 3/2H2
LiBH4 + 3Ni → Ni3B + LiH + 3/2H2
Additives M in the RHC of type (2LiBH4 + M) (M = LiAlH4, Li3AlH6) were utilized to destabilize LiBH4, lowering its mp to 445 °C and 435 °C, respectively [122]. The Li3AlH6 was synthesized from LiH and LiAlH4 by ball milling (50 h, 300 rpm, BPR 25:1), and was part of the most promising sample, the 2LiBH4-Li3AlH6 RHC, which featured a two-step release (3 and 6.1 wt% H2) forming AlB2 for a potentially reversible system [122].
The interfacial interaction of LiBH4 in LiBH4–Ca(BH4)2 RHCs (4:1, 2.1:1 -eutectic composition) with the surface of mesoporous silica (MCM-41 or SBA-15) revealed the liquid-like behavior starting at 95 °C when nanoconfined, which led to high diffusional mobility. Notably, utilizing (VT) NMR the authors revealed the co-infiltration of eutectic LiBH4–Ca(BH4)2 (hand or ball milling) into mesopores far below the eutectic melting point [158].
When introduced via mechanical milling, 2D-MXene (Ti3C2) has served as a support for 4MgH2-LiAlH4 RHC [159]. Chen et al. obtained the composite 4MgH2-LiAlH4-Ti3C2 which showed improved de/re-hydrogenation kinetics (ΔT = 64 K lower than milled 4MgH2-LiAlH4 RHC). Additionally, thermodynamic parameters for the three-stage dehydrogenation were also deduced (EA = 65.9 kJ mol−1 H2−1, 70.6 kJ mol−1 H2−1 and 74.3 kJ mol−1 H2−1, respectively) [159].
The LiBH4/KBH4 mixed borohydride system was hand-ground and used as a eutectic electrolyte (0.725LiBH4/0.275KBH4; ~50% of whole RHC system was the hydride content) to facilitate dehydrogenation/rehydrogenation of theSn-catalyzed MgH2 and 0.5Sn system (ball milled; 2.3 wt% theoretical H2). Sn provides destabilization by the formation of Mg2Sn, thus lowering ΔHdehydrogenation (Reaction (55)).
2MgH2 + Sn ↔ Mg2Sn + 2H2
Kinetic improvements account for a 10-fold increase in reaction rate of both de-and rehydrogenation. EA was also decreased from ~150 kJ/mol to ~100 kJ/mol. Notably, the working regime imposed a restricted temperature profile, below mp (Sn) = 232 °C [160].
Using a Ti-based catalyst (TiF3, Ti and TiO2), Ma et al. showed the strong influence of titanium over dehydrogenation temperature and kinetics of the 4LiAlH4–Mg2NiH4 system [161]. A low activation energy of EA, desorption= 81.56 kJ mol−1 was deduced based on the Johnson-Mehl-Avrami model, and the most effective form of the catalyst was TiF3. Mg2NiH4 catalyzes the decomposition of LiAlH4, and it further accelerates dehydrogenation by reaction with in-situ formed Al (reactions (21), (22) and (56)).
Al + Mg2NiH4 → Mg17Al12 + Al3Ni + Al1.1Ni0.9 + H2 (220~330 °C)
Mesoporous carbon (C-replica of SBA-15, namely CMK-3) was used as a host for the x LiBH4– (1 − x) Ca(BH4)2 system (x = 0.50, 0.60, 0.65, 0.68, 0.70, 0.75, and 0.8) [162]. The mixed borohydride was introduced in CMK-3 via melt infiltration (230 °C, 30 min, 3 bar H2) producing RHC@CMK-3 when mixed in a 1:1 weight ratio. Half of the initial dehydrogenation content was recovered after rehydrogenation, pointing to a synergy nanoconfinement-mutually-destabilized system. Analysis by XRD data of reaction products revealed Ca3(BH4)3(BO3) and LiCa3(BH4)(BO3)2 as a result of [BH4]− oxidation, presumed to form outside the mesopores, due to unit cell size mismatch with a mesoporous channel diameter. The rehydrogenated material comprised LiCa3(BH4)(BO3)2 (ex situ XRD) [162].
Nanoconfinement of 0.55LiBH4–0.45Mg(BH4)2 system in activated carbon aerogel via melt infiltration was shown to facilitate both hydrogen release and uptake, while also maintaining a high H2 release content of 8.3 wt% in RHC@CA after the fourth hydrogen release [163]. A clear role in the high reversible H2 content was attributed to the high porosity and pore volume (689–2660 m2/g, 1.21–3.13 cm3/g) of the activated scaffold [163].
MWCNTs were utilized by Meethom et al. to confine LiBH4–LiAlH4 by ball milling [164]. The MWCNTs (5 wt%) provided enhanced thermal conductivity and a high surface area for reactive contact between Al and LiBH4/LiH, leading to a reversible in H2 storage with faster kinetics (three times faster) and reduced hydrogen release onset by ΔT = −120 °C. The quenching of the first desorption step (220 °C) was introduced for the first time, and among the reaction products, AlB2 was identified to form during reaction of LiAlH4 with Al (Equation (18)).
Other techniques like vacuum vapor deposition produced Mg@NaBH4/MgB2 core-shell structures affording ~6 wt% hydrogen storage [165]. Mg@NaBH4 displayed better hydrogenation properties to pristine Mg, while nanosized MgB2 produced NPs dispersed on Mg enhance sorption kinetics (EA = 60.1 kJ/mol H2, ΔHab = −73.8 kJ/mol H2, ΔHdes. = 89.7 kJ/mol H2, dehydrogenation onset of 245 °C was lower than for MgH2). The reaction mechanism confirms the intermediacy of MgH2-NaBH4 RHC, and conforms to Equation (57):
2MgH2 + 2NaBH4 → Mg + MgB2 + 6H2 + 2Na
By ball milling, 4MgH2-LiAlH4-10 wt%TiO2 composite was obtained (1 h, 400 rpm, Ar) and showed that the TiO2 destabilized RHC-TiO2 compared to the neat RHC (lowered onset of the first step from 100 °C to 70 °C, and lowered the second step from 270 °C to 200 °C). The activation energy was also reduced from 133.3 (4MgH2-LiAlH4) to 102.5 kJ/mol (4MgH2-LiAlH4-TiO2) [166].
Composites LiBH4- x AlH3 (x = 0.5, 1.0, 2.0) introduced by Liu et al. [167] showed enhanced destabilization as [AlH3] increased in RHCs prepared by ball milling (proposed kinetic model: JMA) with EA, RHC desorption~122.0 kJ/mol, while EA, LIBH4 = 169.8 kJ/mol. Dehydrogenation seems to be controlled by AlB2 intermediate and its increased nucleation rate. The simple binary hydride AlH3 decomposes in the first step into H2 and Al, which is hypothesized to partake in the second dehydrogenation step (Reaction (58)). The nature of the “Li-Al-B” product was unclear [167].
LiBH4 + Al →’Li-Al-B’ + AlB2 + H2
The reactive mixture Mg(NH2)2–2LiH–0.07KOH was prepared by Chen et al. and yielded a new RHC containing Li3K(NH2)4–MgNH–LiNH2, with a decomposition dependent on H2 pressure [168]. The KOH role was highlighted in the Mg(NH2)2–2LiH RHC (90 °C theoretical desorption temperature from thermodynamic data, but ~220 °C in practice due to slow kinetics), which follows a reversible pathway described by (59):
Reversibility and enhanced kinetics were reported for the RHC 2LiBH4–NaAlH4 melt infiltrated into CAS at 185 °C (mpNaBH4) and 310 °C(mpLiBH4), using weight ratios CAS:RHC of 2:1, 2:1.5 and 1:1 [169]. The composite 2:1 showed the best results storing ~2.4 wt% hydrogen up to 400 °C. Nanoconfinement by melt impregnation in CAS (resorcinol–formaldehyde aerogels) inhibits Na evaporation and promotes NaBH4 regeneration, which was impossible in as milled RHC due to the loss of Na source (Reaction (60)).
LiH + Al + 2NaH + 3/2H2 ↔ LiNa2AlH6
In a report by Peru et al. [170], a 5 nm pore-size CMK-3 carbon was utilized to infiltrate a eutectic mixture 0.725 LiBH4–0.275 KBH4 resulting in 2.5–3 wt% reversible hydrogen storage due to a favorable synergy Csurface—nano-sized MBH4 (M = Li, K), which helped circumventing or reducing irreversible side-reactions [170].
More exotic borohydrides of lanthanides were also investigated. For instance, the mixture 3LiBH4 and Er(BH4)3 and 3LiH was shown to desorb up to 3.5 wt% after 3 a/d cycles [171]. LiBH4 was generated in-situ via metathesis, and its high temperature form (h-LiBH4) was stabilized in RHC at 40–60 K (61).
Er(BH4)3(s) + 3LiH(s) → ErH2(s) + 3LiBH4(s) + 0.5H2(g)
The desorption (62)—resorption (63) are similar transformations, which also imply a redox behavior of the Er(II/III) center [171].
4LiBH4(s) + ErH2(s) → ErB4(s) + 4LiH(s) + 7H2(g)
ErB4(s) + 4LiH(s) + 7.5H2(g) → 4LiBH4(s) + ErH3(s)
When confined in activated carbon nanofiber ACNFs, the 2LiBH4-MgH2 RHC produced 2LiBH4-MgH2 -30 wt% ACNFs composites storing up to 4.5 wt% hydrogen [172]. The dehydrogenation onset was reduced by 50 °C (from 350 °C to 300 °C) due to doping with ACNFs and subsequent compaction to pellet (under 600 MPa). The activation energy EA was reduced by 67 kJ/mol, and H2 permeability was increased in compacted RHC@ACNFs (10 times), while the heat transfer was also increased (1.5 times). ACNFs alter the dehydrogenation pathway, from a one-step process (neat RHC: 2LiBH4-MgH2) to a two-step process (RHC@ACNFs). H2 desorbs from both individual hydrides (yielding Mg and LiH), rather than reacting according to the neat 2LiBH4-MgH2 (Equations (40) and (41)) [172].
The RHC K2Mn(NH2)4–8LiH was recently investigated [173]. K2Mn(NH2)4 was synthesized by ball milling metallic 1 Mn: 2 K under seven bar NH3, and activated by ball milling (12 h, 200 rpm, BPR 40:1, 10 bar H2). Final dehydrogenation products contain Li2NH, Mn3N2 and MnN, while rehydrogenation mixture contains LiH, LiNH2 and other “K-Mn-species”. Notably, the activation energy EA = 65 kJ/mol (K2Mn(NH2)4–8LiH) is comparable with EA = 66 kJ/mol for the more mainstream RHC: LiNH2-2LiH [173].
Javadian et al. utilized the eutectic mixture 0.62LiBH4–0.38NaBH4produced by melt infiltration composites RHC@CA (CA = CO2-activated resorcinol-formaldehyde carbon aerogel host with 37–38 nm pores and SBET = 690–2358 m2/g) [174]. The authors recorded important thermodynamic enhancement (ΔT = −100 °C of nanoconfined vs. neat RHC), while cycling capacity was three times higher. The activation energy EA was decreased from 139 kJ/mol (bulk) to 116–118 kJ/mol (C aerogel nanoconfined), with 4.3 wt% hydrogen storage (0.7 of initial) after four a/d cycles. By contrast, the overall reversibility of neat 0.62LiBH4–0.38NaBH4 was poor with 1.6 wt% (0.22 of theoretical) after four a/d cycles [174]. Another example of an eutectic mixture of borohydride comes from the same group, when 0.7LiBH4–0.3Ca(BH4)2 was infiltrated into activated carbon aerogel (pristine: 689 m2/g, 1.21 cm3/g and CO2-activated: 2660 m2/g, 3.13 cm3/g) filling the pores up to 60 vol% [175]. Thermodynamic improvements recorded are a clear reduction of dehydrogenation temperature ΔT = −83 °C (CA-RHC; 156 kJ/mol) and ΔT = −95 °C (CACO2-RHC, EA = 130 kJ/mol) compared to neat RHC (EA = 204 kJ/mol). CO2-activated CA produces less borates and oxides, highlighting the narrow pore’s role in maintaining stability and altering the thermodynamic pathway in RHCs. Reversible behavior is reasonably well described by Reaction (64).
4LiBH4 + Ca(BH4)2 ↔ 4LiH + CaB6 + 10H2
Taking advantage of the investigation possibilities offered when labelled borohydrides are used, in 2012 Sartori et al. described the melt infiltration of Li11BD4–Mg(11BD4)2 into carbon nanoscaffolds (IRH33, 1.17 cm3g−1, 2587 m2 g−1, 0.5 to 4.5 nm pores) yielding Li11BD4–Mg(11BD4)2/IRH33 composites (190 °C, 40 bar D2, 1 h) [176]. By-products (like the toxic B2D6) and poorly regenerative dodecaborane and [B12D12]2− were avoided by nanoconfinement (no signals in the expected region of 11B NMR), while also reducing the desorption temperature by ΔT = −60 °C.
A proof of thermodynamic destabilization of NaBH4 by Li3AlH6 was shown in NaBH4–Li3AlH6 composite [132]. Na, Al and AlB2 species formed during dehydrogenation were key to the observed improvement. The activation energies recorded were reduced to EA,1 = 162.1 kJ/mol and EA,2 = 68.1 kJ/mol for NaBH4 decomposition [132].
The predicted hydrogen release in RHC do not usually match actual experimental data. For instance, although predicted to release 4.2 wt% H2 at 64 °C and 1 bar H2, the 6Mg(NH2)2–9LiH–LiBH4 RHC faces kinetic barriers, and YCl3/Li3N additives were used to alter the kinetics [177].
Other TM salt additives were used in more widespread RHC. The 2LiH and MgB2/2LiBH4 + MgH2 system was catalyzed with 0.05 TiCl3 and used as an additive [144]. The following thermodynamic parameters were determined: ΔH = −34 ± 2 kJ∙mol H2−1 and entropy ΔS = −70 ± 3 J∙K−1∙mol H2−1; while the apparent EA= 146 ± 3 kJ∙mol H2−1 and the Arrhenius pre–exponential factor was A= (1.8 ± 1.0) 108 s−1 [144].
Another report of using TiCl3 for the 2LiBH4–MgH2 RHC’s inclusion in the porosity of resorcinol–formaldehyde carbon aerogel scaffold (RF–CAS) comes from Gosalawit-Utke et al. [178]. The carbon scaffold RF-CAS was decorated with TiCl3 (1.6 wt%) by solution impregnation, and after melt impregnation of RHC produced composites 2LiBH4–MgH2–TiCl3@RF-CAS capable to release 3.6 wt% hydrogen during the fourth a/d cycle [178]. The kinetics were twice as fast relative to undoped RHC, due to TiCl3 doping. The 2LiBH4–MgH2–TiCl3 system proved to be reversible, and regeneration of LiBH4 and MgH2 was assessed by FTIR and SR-PXD data, overall conforming to the Equations (40) and (41).
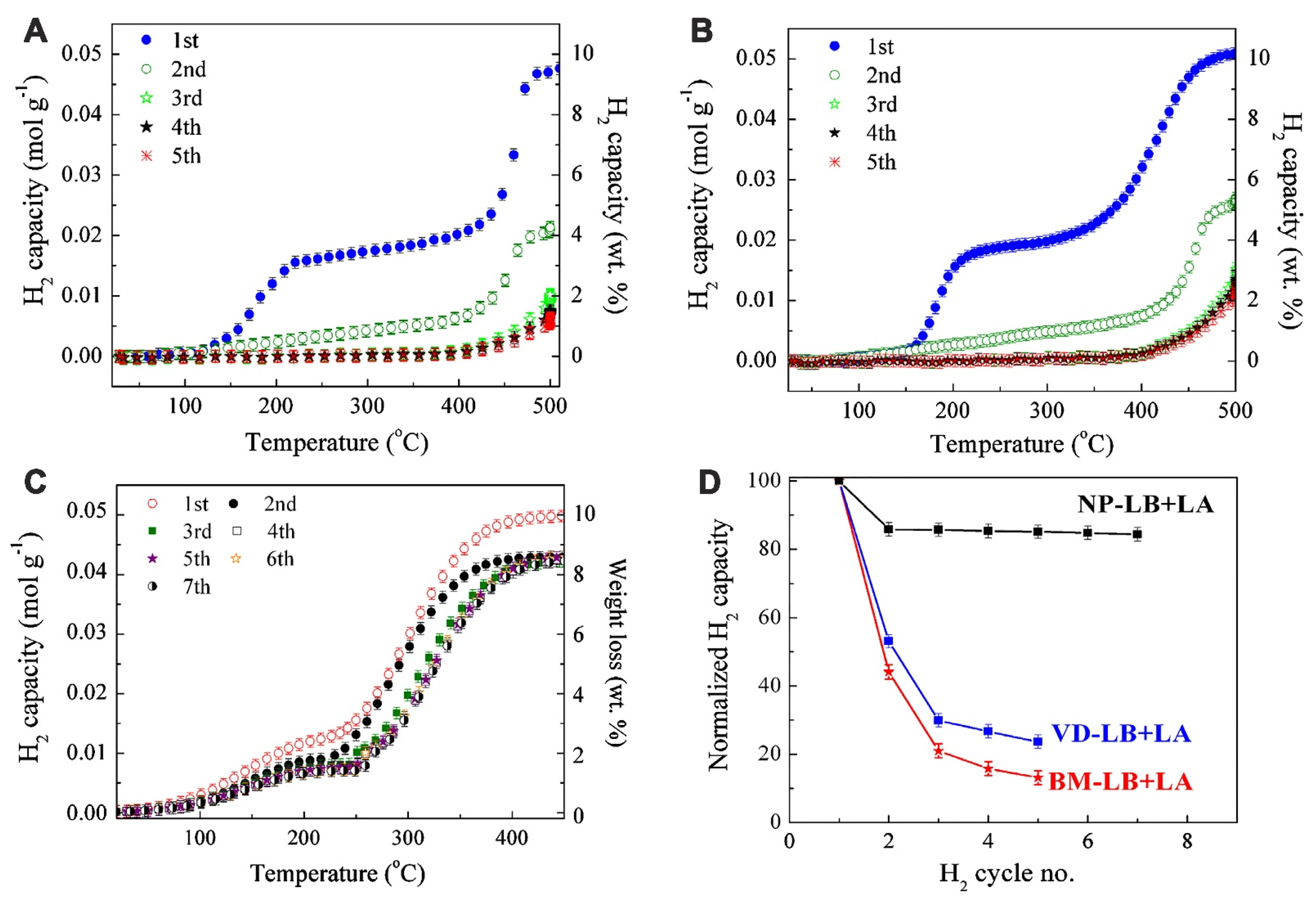
The reversible behavior of the 2LiBH4-LiAlH4 system was assessed by nanoconfinement in mesoporous carbon (MC) scaffolds, with ~8.5 wt% reversibility confirmed by seven a/d cycles (Figure 5) [179].
Figure 5.
(A) Isothermal H2 release of the nanoconfined 2LiBH4–LiAlH4 composite at 250 C (blue), 275 C (red), 300 C (green) and 350 C (violet), including the post-milled 2LiBH4–LiAlH4 composite at 350 C (}) for comparison. The inset is an enlargement of (A) for dehydrogenation time from 0 to 30 min. (B) Arrhenius plots of the temperature-dependent rate data for the post-milled and nanoconfined 2LiBH4–LiAlH4 composites. Figure is re printed with permission from ref. [179].
The dehydrogenation events in 2LiBH4-LiAlH4@MC were identified at 80 °C (ΔT = −40 °C) and 230 °C (ΔT = −145 °C), considerably lower than the milled 2LiBH4-LiAlH4. The favorable synergy nanoconfinement–thermodynamic destabilization suppressed B2H6 emissions, forming catalytically active AlB2 instead of Li2B12H12. The decomposition conforms to Equation (65) (Figure 6) [179].
2LiBH4 + LiAlH4 ↔ 3LiH + AlB2 + 9/2H2
Figure 6.
Evolution of consecutive H2 desorption curves: five cycles for the ball milled (A) and vacuum-dried (B) composites; (C) seven cycles for the nanoconfined 2LiBH4–LiAlH4 composite and (D) normalized H2 capacity as a function of cycle number for the post milled, vacuum-dried and nanoconfined 2LiBH4–LiAlH4 composites, respectively. Figure is reprinted with permission from ref. [179].
As oftentimes seen in XRD diffractogram, metal borides arise as potential intermediates in dehydrogenation studies. Hence, their effect was checked by independently preparing Fe3B–catalyzed LiBH4-MgH2 RHCs soring ~2.9 wt% hydrogen after the seventh a/d cycle, with the main release step occurring below 265 °C [180]. A new processing method, Ball Milling with Aerosol Spraying (BMAS) was introduced by Ding et al., producing Mg(BH4)2 at RT from (nano-) MgH2 and LiBH4 [180].
Other investigations expanded on the multi-borohydride systems with an example of quinary RHC, namely LiBH4-NaBH4-KBH4-Mg(BH4)2-Ca(BH4)2 [181]. The equimolar composition of complex borohydrides was produced by a planetary ball mill (10 bar H2, 10 mm diameter stainless steel balls and BPR 30:1, 1–50 h, 350 rpm), yet even after 50 h of milling no miscibility was obtained. The only phase formed upon milling was KCa(BH4)3, while dehydrogenation occurred from the liquid phase as a complex multi-step process (in-situ SR PXRD, Synchrotron Radiation Powder X-ray Diffraction). This was the first report of five-component liquid borohydride obtained via the eutectic approach [181].
Another eutectic mixture 0.68LiBH4–0.32Ca(BH4)2 (“LiCa” eutectic) was nanoconfined in the porosity of a carbon aerogel scaffold CAS (SBET = 2421 ± 189 m2/g, Vtot = 2.46 ± 0.46 mL/g, 13 nm pore size) [182]. The as-synthesized nanocomposite had a maximum theoretical H2 capacity of 14.34 wt%, when Reaction (64)) occurred via melt infiltration. It seemed that the LiBH4 component was affected only during the first a/d cycle by CAS confinement (ΔT = −40 °C), with diminishing returns after four cycles (ΔT = −10 °C). LiBH4@CAS continuously loses H2 capacity after the second cycle, but “LiCa”@CAS and neat “LiCa” retain stability during cycling up to the seventh cycle. Ca(BH4)2 decomposition products (CaO, CaH2 and/or CaB6) are believed to facilitate full LiBH4 reversibility [182].
Due to its high gravimetric capacity, Ca(BH4)2 was investigated in other RHCs as well, for instance in 2NaAlH4 + Ca(BH4)2 with 5 wt% TiF3 as additive [183]. Mustafa et al. described TiF3-doped RHC (ball milling, 6 h, 400 rpm, BPR 40:1), converting the initial RHCi: NaAlH4–Ca(BH4)2 system into RHCf: Ca(AlH4)2–NaBH4 (Reaction (44)). The intermediate phases in (2NaAlH4-Ca(BH4)2)-to-(Ca(AlH4)2-NaBH4) transition were identified as CaAlH5 (Reaction (66)) and CaH2 (Reaction (67)).
Ca(AlH4)2 → CaAlH5 + Al + 3/2H2
3Ca(AlH4)2 + 2TiF3 → 3CaF2 + 2Al3Ti + 12H2
The a/d of RHC-TiF3 was significantly improved by TiF3, with a significantly decreased desorption onset (125 °C to 60 °C for 1st stage), and corresponding similar reduction of activation energies of CaAlH5 (79.3 kJ/mol; ΔEA = −63.6 kJ/mol) and NaBH4 (124.6 kJ/mol; ΔEA = −21.9 kJ/mol). The complex hydride CaAlH5 produced in (66) would decompose to generate CaH2 and Al (Reaction (68)).
CaAlH5 → CaH2 + Al + 3/2H2
Notably, CaH2 plays a critical role because it will generate Al-Ca alloys by reaction with Al (Reaction (69)).
CaH2 + 3Al → 1/2Al4Ca + 1/2Al2Ca + H2
The two formulations of Al-CA alloys further react with the more thermodynamically stable NaBH4 (Reactions (70) and (71)), again producing active boride species (CaB6, AlB2).
14NaBH4 + Al4Ca → 14Na + CaB6 + 4AlB2 + 28H2
10NaBH4 + Al2Ca → 10Na + CaB6 + 2AlB2 + 20H2
When 2D materials of the MXene type were introduced by ball milling as nanoadditives (1, 3, 5 and 7 wt%) in the 2LiH and MgB2 system, RHCs 2LiBH4 and MgH2 were produced [184]. The source of MgH2 regeneration was discussed by the authors in the context of TiB2 formed during dehydrogenation, which functions as heterogeneous nucleation nuclei for MgB2, allowing the control over nanosizing of the system during cycling. Another interesting feature of the system was the observed reduction of MXene Ti3C2 to generate Ti(0)) active metal sites, a crucial event for generating the catalytic TiB2 species (Reaction (72)) (Figure 7) [184].
Ti + 2LiBH4 → TiB2 + 2LiH + 3H2
Figure 7.
(A) Isothermal dehydrogenation curves (400 °C, 0.4 MPa H2) of initially hydrogenated 2LiH and MgB2 and x wt% Ti3C2 systems; (B) Isothermal dehydrogenation curves at different temperatures of the systems with 5 wt% Ti3C2 addition and without Ti3C2. Figure is reprinted with permission from ref. [184].
A ternary RHC system LiBH4-MgH2-NaAlH4 was introduced by Plerdsranoy in 2016 and transformed in another RHC LiAlH4–MgH2–NaBH4 when nanoconfined by melt infiltration in CAS (resorcinol-formaldehyde synthesis; CAS-RHC 1:1 weight ratio) [185]. This led to thermodynamic improvement (ΔT = −70 °C) and reversible behavior after four cycles (65% and 55% H2 released by nanocomposites). Notably, thermodynamic alteration by nanoconfinement reduced the multi-step release for neat RHC to only one major H2 release event. NaBH4 starts to decompose at 360 °C (@CAS) vs. 475 °C (milled RHC) or 540 °C (bulk NaBH4). Re-hydrogenation proceeds also at 360 °C, under 50 bar H2 for 12 h, making NaBH4, MgH2 and Li3AlH6 reversible, but Li3AlH6 and NaBH4 were partially reversible when nanoconfined (prehydrogenation > 80 bar H2). A downside when dealing with fully reduced light metals, is that the production of Na(l) is followed by its evaporation and the subsequently reduced H2 wt% capacity (Reactions (21), (22) and (73)) [185].
NaAlH4 + LiBH4 → LiAlH4 + NaBH4
Intermediate phases form as a result of the reaction of MgH2-Al (46) and MgH2—LiH (74).
7MgH2 + 3LiH → Li3Mg7 + 8.5H2
There are some reports of less-common complex hydrides as components of innovative RHCs, like the (1 − x)LiBH4 − x Mg2FeH6 system (x = 0.25, 0.5, 0.75), releasing 6.0 wt% hydrogen up to 630K [186]. Pressure-composition-isothermal (PCT) data revealed the same reaction occurring within all investigated samples (x = 0.5). The reversibility was demonstrated for equimolar RHC (LiBH4 − Mg2FeH6) after 4 a/d cycles, with no H2 wt% loss. The dehydrogenation reaction conforms to Reaction (75) (ΔH = 64 kJ/mol H2; ΔS = 125 J/(K molH2)), and confirms the crucial role of FeB [186].
LiBH4 + Mg2FeH6 → LiH + 2MgH2 + (Fe,FeB) + 5/2H2
Another experimental data was the equilibrium pressure of 1.85 MPa, very close to the theoretical one (2.1 MPa, 643 K—from thermodynamic considerations). Mg resulted from MgH2 dehydrogenation could react with LiBH4 (Reaction (15)), and the final H2 release step was assigned to Mg2FeH6 dehydrogenation (Reaction (76)).
Mg2FeH6 → 2Mg + Fe + 3H2
Lastly, reversible capacity of 5.0 wt% was recorded in NaAlH4-7 wt%NP-TiH2@G composites prepared by using reactive titanium (II) hydride–catalyzed graphene nanosheets [187]. The reactive TiH2 was prepared by ultrasonication (4 h, 40 kHz) of TiCl4 with LiH in THF (handled in an Ar-filled glovebox; Reaction (77)).
TiCl4 + 4LiH⟶TiH2 + 4LiCl + H2↑
The nanocomposite NaAlH4-7 wt% NP-TiH2@G resulted after incorporation of NaAlH4 into NP-TiH2@G scaffolds, could be fully dehydrogenated very close to RT, at 30 °C. The dehydrogenation occurred in two steps with thermodynamically accessible energy barriers (EA,1 = 80 ± 3:3 kJ/mol and EA,2 = 70 ± 2:8 kJ/mol), probably lowered by formation of reactive, catalytic Al-Ti species (Figure 8) [187].
Figure 8.
(A) Schematic illustration for the preparation process of TiH2 nanoplates.; (B) Volumetric release curves of NaAlH4 doped with NP-TiH2@G, (C) Cycling tests operated at 140 °C for dehydrogenation and 100 °C/100 atm H2 for hydrogenation of NaAlH4-7 wt% NP-TiH2@G. Figure is reprinted with permission from ref. [187]-Copyright © 2021 Zhuanghe Ren et al. Exclusive Licensee Science and Technology Review Publishing House. Distributed under a Creative Commons Attribution License (CC BY 4.0).
A summary of the main aspects discussed on nanosized RHCs is given in Table 5.
Table 5.
Li-RHC-based nanostructured systems and specific details regarding hydrogenation storage capacity.
2.1.6. LiBH4-Adducts—Ammoniates
Ammine metal borohydrides of the general formula M(BH4)n · xNH3 are particular cases of metal borohydride adducts M(BH4)n · x L (L = dative ligand, typically containing an electron-donor atom/group). While providing good H2 storage capacity, the main drawback of borohydride adducts is the lack of a generally applicable regeneration treatment.
In case of ammonia-adduct LiBH4·NH3, a three-step process was proposed, involving digestion (H+ addition to Li-B-N polymer formed by dehydrogenation; CH3OH treatment producing LiB(OCH3)4 depicted by Reaction (78)), reduction (H− addition; LiAlH4 converts LiB(OCH3)4 into LiAl (OCH3)4 and regenerated LiBH4) and NH3-complexation (exposure of LiBH4 to ammonia NH3 atmosphere) [188].
LiNxBHy + CH3OH ⟶ LiB(OCH3)4 + xNH3 + yH2
In the process, a CoCl2 catalyst was also used, yielding LiBH4 · NH3-2 mol% CoCl2 composite which was released upon heating to 200° (2 °C/min) ~13.6 wt% H2 (3 equiv.), thus producing LiNxBHy. Regeneration of ammonia adduct of LiBH4 from spent fuel LiNxBHy was achieved through the three-step process (MeOH-LiAlH4-NH3 method) and was confirmed by 11B NMR and XRD data (Figure 9) [188].
Figure 9.
(A) Regeneration of ammonia adduct LiBH4·NH3 from spent fuel LiNxBHy constituting a multi-step process: dehydrogenation (1), digestion (2), reduction (3) and ammonia complexation (4). (B) XRD patterns of the products of LiNxBHy (0 < x < 1, 0 < y < 1) after alcoholysis and then reduction by LiAlH4. Reprinted/edited with permission from ref. [188].
The same ammoniate complex of LiBH4 was also investigated by nanoconfinement in nanoporous SiO2 (LiBH4·NH3@SiO2, 1:2 wt/wt)) [189]. This strategy led to an onset dehydrogenation reaction at 60 °C, and an enhanced conversion of NH3 to H2 (85% of total gas evolved). The H2 release was measured to be 1.26, 2.09 and 2.35 equivalent of hydrogen at 150 °C, 200 °C, and 250 °C, respectively. It was proposed that the new “ammonia-deliquescence” method—which avoids the usage of additional solvents—affords a low dehydrogenation temperature due to the NH3 interaction with siloxanic support, which leads to the stabilization of ammonia by nanoconfinement into nanopores, and enhanced interaction of LiBH4 and NH3 in the nanoscaffold (Figure 10) [189].
Figure 10.
(A) Schematic model of LiBH4.NH3 and confined LiBH4.NH3@SiO2, which displays the difference in their thermal decomposition. (B) The isothermal gas releases results on the confined LiBH4.NH3@SiO2 (1:2, wt/wt) sample at 150 °C, 200 °C and 250 °C. Figure is reprinted with permission from ref. [189].
2.1.7. LiNH2BH3 (Lithium Amidoborane)
Lithium amidoborane (LiNH2BH3) is a promising material for hydrogen storage due to its high H2 content (10.9 wt%), which can be desorbed below 100 °C without formation of side-products like borazine. It can be synthesized by reaction of ammonia borane (NH3BH3) with either LiH or Li2NH (79).
Bearing similarities to NH3BH3, lithium amidoborane will release H2 in two consecutive steps (90 °C, and 150 °C), yielding LiNHBH2 and finally, LiNBH (80).
Ammoniates of LiNH2BH3 are also known, and LiNH2BH3.NH3 can generate H2 at very reasonable temperature ranges ~40–70 °C. Regeneration of lithium amidoborane can be achieved by reaction of solid residue LiNBH with methanol with the formation of LiB(OCH3)4, and distillation to form B(OCH3)3 which can be reduced by LiAlH4 and NH4Cl to NH3BH3 (AB). As a last step, reaction of AB with LiH reforms LiNH2BH3 [190]. Even under a nanoconfined state, LiNH2BH3 has an exothermic decomposition and cannot be regenerated under 10 MPa H2 pressure [168].
2.1.8. Li-N-H System; Li3BN3H10
The Li-N-H system has received attention due to important thermodynamic features which allured the community into the promise of a material that would release H2 at temperatures near ambient condition. However, as is often the case with many hydrogen storage systems, its reversibility is not trivial [136]. As previously mentioned, RHC typically contain an amide source and a hydride partner, oftentimes with the aid of a third component (complex hydride—borohydride or catalyst), as is the case in the 6Mg(NH2)2-9LiH-LiBH4/(YCl/Li3N) system discussed before [177].
An interesting report of an Li-N-H system involved nanoconfinement of Li3BN3H10 in the pores (4.4 nm) of highly ordered nanoporous carbon NPC (SBET = 1012 m2/g, Vpore, BJH = 0.65 cm3/g). Thermodynamic destabilization was confirmed by an onset dehydrogenation temperature of 110 °C (160 °C lower than bulk). More importantly, the exothermic reaction of bulk Li4BN3H10 was altered to a two-step, endothermic process which released lower toxic gases—NH3 and B2H6—upon confinement (Figure 11) [191].
Figure 11.
(A) DSC curves of bulk Li4BN3H10 and nanoconfined Li4BN3H10@NPC. The heating rate is 5 C/min. (B) Temperature-programmed desorption (TPD) curves of as prepared Li4BN3H10 and pre-melted Li4BN3H10@NPC with an initial loading of 20 wt%. (a) First desorption of prepared Li4BN3H10; (b) First desorption of pre-melted Li4BN3H10@NPC; (c) Second desorption of rehydrided Li4BN3H10; (d) Second desorption of rehydrided Li4BN3H10@NPC. Note that some of the desorbed gas is NH3, especially in the bulk sample (a). Figure is reprinted with permission from ref. [191].
The sheer size of the mesopores (4.4 nm) appeared to play an important role in driving decomposition and suppressing B2H6 emission, while other reports utilizing mesoporous carbon of larger sizes (13 nm) did not bypass this issue [191].
2.2. Na-Based Complex Hydrides
2.2.1. NaBH4
NaBH4 bears similarities with its lighter counterpart (LiBH4); however, its thermodynamic stability is too high for use in hydrogen storage materials in the bulk form (580 °C, 1 atm H2, EA = 275 kJ/mol). Catalysts and nanostructuring have shown very promising results in the recent past, achieving system destabilization and implicitly lower dehydrogenation temperatures and, in some case, partial reversibility [192], by controlling particle size growth during cycling [193].
Sodium borohydride remains an important pillar of the hydrogen storage puzzle, whether used in RHC with other borohydrides [152,156,174,181], or with other complex hydride systems (alanates [132] or Mg2NiH4 [194]), nanostructured [192], on development of new synthesis methods to be obtained in NP form [60,195], pursuing features like restrained growth [193], fast Li-ion conductors [66], catalyzed systems (GdF3 [196,197], ScF3-YF3 [198], V-based catalysts [199], SiS2 [103], MgFe2O4 [200]), inclusion in core-shell-structures (with Mg/MgB2 as partners) [165], or investigation accounts based on physical methods investigation of {BH4]− anion mobility (neutron scattering [71]) or interphase evolution (LiI [201]). Other approaches have employed the use of FeCl3 catalyst for NaBH4-based proton exchange membrane fuel cells [202].
2.2.2. NaAlH4
Sodium aluminate (NaAlH4) is another promising complex hydride which promises a theoretical H2 storage capacity of 5.5 wt% at 250 °C, which—at least on paper—complies to US DOE’s upcoming target for the year 2025 [78,113,203]. However, regeneration is still an issue and can be aided by catalyst/dopant addition, or by nanostructuring techniques [110,111,204] which oftentimes alter the hydrogen dynamics [205], ionic conductivity [206,207] and thermodynamic behavior of alanate systems [114,208].
Recent reports focus on confinement in carbonaceous hosts: in ordered mesoporous carbon [209,210], ScOCl-functionalized carbon aerogel [211], MOFs (Ti-functionalized MOF(Mg) [212], new additives or scaffolds (Ni Raney with pore size 3 nm –affording onset of desorption at ~85° [213], graphene G [214], Ti-doped CO2-activated carbon aerogel [215], polymer nanocomposites based on g of polyaniline or sulfonated polyetherimide as polymer matrices, affording 1.1 wt% storage after 12 h at 120 °C and 32 bar H2 [216], N-doped nanoporous carbon NPC that lowered desorption EA by 70 kJ/mol [217], graphene oxide GO [218], Al [219], exploring plasmonic heating effect on Au–hydride interface for local, light-activated heating [220], Co-catalyzed porous carbon hosts–affording a 3.3 wt% reversible gravimetric capacity after five cycles a/d [221], carbon nanotubes CNTs [222], CeO2 hollow nanotubes HNTs [223], ordered mesoporous carbon OMC–producing a highly stable material with 80% H2 capacity retention after 15 cycles [224], CeF3/Ti3C2 MXene [225], TiH2/G [187], C@TiO2/Ti3C2 [226]). In addition, novel investigations on RHCs (NaAlH4-Ca(BH4)2 [183]), undoped– [227] or TiCl3-catalyzed micro-mesoporous carbon produced by resorcinol-formaldehyde method [228], multi-wall carbon nanotubes MWCNTs [229], Ni-nanoporous sheets of carbon [125], Ti-functionalized MOF–74(Mg) [212] or improved synthetic methods that generate alanates as NPs [59] were focused on. Destabilization of NaBH4 was reviewed recently by correlation to TM fluorides used as dopants [230]. Destabilization can also be achieved using an ionic liquid–vinylbenzyl trimethylammonium chloride [231], alkali metals addition –leading to enhanced reversibility [232] or carefully-chosen TM ferrites like NiFe2O4 NPs [233]. Using RHC has proved advantageous, especially when combined with light metal borohydrides (2LiBH4-NaAlH4 [169], quinary equimolar mixture of light borohydrides [181] or various eutectic compositions in Al nano-framework [234]).
2.3. Mg-Based Complex Hydrides
Magnesium based hydrides have puzzled scientists because they offered remarkable H2 storage properties largely unattainable by other complex or simple hydrides, including the real prospect of reversibility during cycling [235,236,237]. Results stemmed from the high energy ball milling process [238], magnesium borohydride [239], or advances in the Li-Mg-Al systems [240].
2.3.1. Mg(BH4)2
Perhaps one of the most fascinating borohydrides, Mg(BH4)2, has the largest number of polymorphs (at least six of them characterized), complex crystal structures and true permanent porosity (γ-polymorph, ~1100 m2/g surface area), all the while exhibiting one of the highest H2 wt% among characterized borohydrides. The influence of H2 pressure (up to 1000 bar H2) on the thermodynamics of Mg(BH4)2 impregnation into carbonaceaous supports was studied recently by White el al. [241]. The field of solid-state electrolytes for batteries was enriched with new examples of Li/Na/Mg nanoconfined borohydrides [66].
Improved hydrogen storage capabilities were recorded through nanoconfinement [54] in C-based materials ([80], high surface area graphite [242], ordered mesoporous carbons like CMK-3 and CMK-8 [241] and mesoporous carbon [243]. Also recorderd were IRH33 carbon [176]) or graphene (G) and its derivatives (G [244], rGO [245] and G-aerogels [241]) as part of RHC (LiBH4-Mg(BH4)2 [148,163,242], the isotopycally-labeled RHC: Li11BD4-Mg(11BD4)2 [176], or produced in-situ by cycling from the prior-RHC: LiBH4-MgH2 [180]). In addition, LiBH4-NaBH4-KBH4-Mg(BH4)2-Ca(BH4)2 [152,181], hybrid dual-component Mg(BH4)2-Metal–Organic Borohydride: tetramethylammonium borohydride (TMAB) [246] or ternary systems Mg2NiH4-LiBH4-Mg(BH4)2 [194]). Catalysts (Al2O3 produced by atomic layer deposition in γ-Mg(BH4)2@Al2O3 composite, Ni-Pt core-shell NPs [243]), additives (MgCl2 [247], or others [248], Ti3C2 MXenes—a 2D layered material [249]) or exhibiting the influence of the nanoscale modification of dehydrogenation product—MgB2—on the overall improved hydrogenation behavior [250,251]. Given the high affinity towards catalysts, addition of Ni NPs dispersed in mesoporous carbon yielded clear improvements in hydrogenation behavior of Mg(BH4)2 [252,253]. Bipyridine-functionalized MOF was shown to improve reversibility of Mg(BH4)2, potentially through the B-N synergy [254].
2.3.2. Mg(B3H8)2
While probably not enough explored, the speciation of borohydrides is rich and other complex hydrides could be nerated as a result of this. For instance, Mg(B3H8)2 was synthesized and the conversion to tetrahydridoborate [BH4]− ion was studied in the RHC: MgH2-Mg(B3H8)2 [255]. Mg(B3H8)2 was synthesized by a metathesis reaction between 2NaB3H8 and MgBr2 under Ar in a ball milling process (Reaction (81)).
2NaB3H8+ MgBr2 → Mg(B3H8)2 + 2NaBr
With about 22 wt% conversion [B3H8]2−-to–[BH4]−, and a decomposition onset as low as ~100 °C, the RHC proposed by Gigante et al. Mg(B3H8)2-4MgH2 shows real promise for MgH2-Mg(B3H8)2 as a hydrogen carrier, managing tetrahydridoborate conversion (85–88 wt%) below 200 °C within 1 h, without B-losses as toxic boranes (B2H6 and higher homologues) (Reaction (82)).
Mg(B3H8)2 + 4MgH2 → 3Mg(BH4)2 + 2Mg
In this process, the leading role was that of activated MgH2 addition, since neat octahydrotriborate does not undergo this transformation under such mild conditions [255]. Moreover, the use of unsolvated Mg(B3H8)2 affords minimal boranes by-products, in stark contrast to its diglyme adduct that released mainly B5H9 [255].
2.3.3. Mg(BH4)2-Adducts/Ammoniates: Case of Mg(BH4)2.6NH3
The practical use of NH3-adducts of metal borohydrides is plagued by the exothermic effects. However, upon nanoconfinement into a microporous activated carbon (AC, SBET = 2051 m2/g, Vmicro = 0.835 cm3/g) scaffold, the dehydrogenation of the hexaammoniate Mg(BH4)2·6NH3 changes the thermodynamics of the process, which now becomes endothermic with an improvement in H2 release temperature of ~40 °C [256]. The microporosity of the AC was found to be a critical factor (mean pore size 4 nm). Notably, the ammoniation was the result of a solvent exchange occurring within AC porosity (Figure 12, Reaction (83)).
Figure 12.
Schematic preparation procedure of the nanoconfined Mg(BH4)2·6NH3. Figure is reprinted with permission from [256].
Among the five investigated samples xMg(BH4)2·6NH3 @ yAC (1:1, 0.8:1, 0.6:1, 0.4:1 and 0.2:1), the 1:1 Mg(BH4)2·6NH3 @ AC sample released H2 at a low temperature of ~40 °C, 85 °C lower than its bulk, non-nanoconfined counterpart, with the main dehydrogenation event occurring in the range 150–350 °C (Figure 13).
Figure 13.
Volumetric release (A) and reaction extent (B) curves of the bulk Mg(BH4)2·6NH3 and Mg(BH4)2·6NH3@AC nanocomposites. Figure is reprinted with permission from [256].
Increasing the AC content lowered the dehydrogenation peak even further. The 0.6Mg(BH4)2·6NH3 @ 1AC had a peak dehydrogenation temperature of 148 °C, with the H2 release ending at 240 °C [256]. The intermediacy of a novel Mg-B-N compound was identified; however, rehydrogenation attempts were not successful.
2.3.4. Mg(NH2)2
Recent reports on magnesium amide are concerned with RHC systems: Mg(NH2)2-2LiH-0.07KOH [168] and 6Mg(NH2)2-9LiH-LiBH4 co-catalyzed by YCl3/Li3N [177].
Chen et al. started from an RHC: Li3K(NH2)4–MgNH–LiNH2 showed that the dehydrogenation is dependent on p(H2). Up to 4.5–4.9 wt% H2 was released under pressures up to 5 bar H2 (Figure 14).
Figure 14.
(A) Dehydrogenation capacity (a) and dehydrogenation velocity (b) curves with the temperatures of Mg(NH2)2-2LiH-0.07KOH under initial vacuum, 1, 3 and 5 bar hydrogen. (B) XRD patterns of the yMg(NH2)2-0.35LiH-0.07KOH samples dehydrogenated to 150 °C under argon carrier gas. Figure is reprinted with permission from ref. [168].
The role of KOH was important, since it enhances the reversibility of the Mg(NH2)2–2LiH system (Reaction (59)) [168].
Cao et al. have used chloride (YCl3) and nitride (Li3N) catalysts to improve the hydrogenation in 6Mg(NH2)2–9LiH–LiBH4 system, and achieved 4.2 wt% H2 capacity which can be regenerated applying 85 bar H2 (180 °C, 8 min) or 185 bar H2 (90 °C) [177]. The nanocrystaline catalysts (2–10 nm) and catalyst-derived species (YH3, YBx, all nanocrystaline 2–10 nm) provide kinetic alteration to the de/rehydrogenation Reaction (84).
6Mg(NH2)2 + 9LiH + LiBH4 ↔ 3Li2Mg2(NH)3 + Li4(BH4)(NH2)3 + 9H2
The origin of the Li4(BH4)(NH2)3 product can be traced back to the successive reactions occurring within the proposed RHC system (Reactions (85)–(87)) (Figure 15 and Figure 16) [177].
3LiH + YCl3 → YH3 + 3LiCl
Li3N + 2H2 → LiNH2 + 2LiH
3LiNH2 + LiBH4 → Li4(BH4)(NH2)3
Figure 15.
The proposed absorption reaction mechanism of the co-added sample. Figure is reprinted with permission from ref. [177].
Figure 16.
(A) Isothermal hydrogenation curves of the pristine system, and 2 wt% YCl3, 5 wt% Li3N and 2 wt% YCl3-5 wt% Li3N-co-added samples at 180 °C and 50 bar. Inset plot: isothermal hydrogenation curves of these samples during the first 2 min; (B) isothermal hydrogenation of the 2 wt% YCl3-5 wt% Li3N-co-added sample at 90 °C under 60, 185 and 245 bar of H2, respectively. (Before hydrogenation, all the samples were fully dehydrogenated under isothermal conditions at 180 °C). Isothermal hydrogenation curves of (C) the second, fifth and ninth cycle of the 5 wt% Li3N-added sample, and (D) the third, seventh and tenth cycle of the co-added sample, at 170 °C and under 85 bar of H2. The H2 pressure during the absorption measurement decreased from 85 to 75 bar in the 7th cycle. This might be one of the reasons for the reduced reversible hydrogen capacity. This figure was reprinted with permission from ref. [177].
2.3.5. Mg(AlH4)2
Only a few reports of Mg(AlH4)2 have been published so far [125,257]. When confined into nickel-containing porous carbon sheets (Ni-PCSs, SBET = 2572 m2/g, pore size 2.8 nm), LiAlH4, NaAlH4 and Mg(AlH4)2 were shown to lower the desorption temperature by as much as 29 °C (Figure 17) [125].
Figure 17.
(A) Hydrogen desorption capacity curves of ball milled Mg(AlH4)2 and Mg(AlH4)2 with Ni-PCS. (B) Kissinger’s plots for dehydrogenation of ball milled Mg(AlH4)2 (box solid, Ea = 118 kJ·mol−1) and Mg(AlH4)2 with Ni-PCS (red-colored circle solid, Ea = 103 kJ·mol−1). Figure was reprinted with permission from ref. [125].
The Mg(AlH4)2-Ni-PCS sample started to desorb H2 at 125 °C (146 °C in ball-milled version), with a total hydrogen content of 3.34 wt%—a lower amount compared to the theoretical 9.3 wt% due to the inclusion in a porous support, but also due to added weight of LiCl from metathetical synthesis of Mg(AlH4)2 (LiAlH4 and MgCl2) [125].
Xiao et al. synthesized Mg(AlH4)2 nanoparticles (2–7 nm) using a solvent-free, mechanochemical strategy and studied their hydrogenation properties [257]. These NPs start to desorb H2 at 80 °C (completing the first dehydrogenation step at 120 °C, 30 min), recording a 65 °C improvement compared to microparticles of Mg(AlH4)2 [257]. Similar improvement was deduced regarding the activation energy of dehydrogenation: a reduced value of 105.3 kJ/mol vs. 123.6 kJ/mol in micro-Mg(AlH4)2. Interestingly, the presence of LiCl from the metathesis reaction was found to keep the Mg/MgH2 products in the nanorange (<10 nm), hence improving the cycling behavior of the system [257].
2.4. Other First Group-Derived Borohydrides
Since the general trend regarding stability of alkali metal borohydrides is to increase down the group 1 elements of the periodic table, the thermodynamic destabilization should be even greater in order to bring their operation regime into a fuel cell achievable domain (100–200 °C). Hence, the reports on heavier alkali metal borohydrides, coupled with their lower theoretical H2 content, are rather scarce. For instance, only a few reports of RbBH4 and CsBH4 exist—and which concern reorientation mobility of [BH4]− anions [71], a report on complex hydride K[Al(NH2BH3)4] [258] and slightly more research performed on lighter KBH4 [60,71,152,160,170,181,194]. In one of these reports, a mixture of complex hydrides (LiBH4/KBH4) was used as an electrolyte to perform full rehydrogenation in the MgH2/Sn coupled system [160].
Bearing the familiar amidoborane ligand, K[Al(NH2BH3)4] was synthesized by Møller et al. and featured a triclinic unit cell crystal structure (P-1) [258]. Following a mechanochemical approach, KAlH4 and AB (NH3BH3) were milled and afforded the complex hydride K[Al(NH2BH3)4] which featured two-step, exothermic decomposition peaks in DSC analysis (94 °C and 138 °C), releasing a total of ~6.0 wt% H2 along with amorphous KBH4 (11B-and 27Al NMR) [258]. Still, the system was not reversible under employed conditions (260 °C, 110 bar H2).
Nanostructuring KBH4-LiBH4 RHC into CMK-3 type ordered mesoporous carbon has shown improved dehydrogenation behavior [170]. Exploiting an eutectic composition of 0.725 LiBH4–0.275 KBH4 featuring a low melting point (105 °C), melt-infiltration into mesoporous carbon CMK-3 afforded a reversible H2 uptake-release of 2.5–3.0 wt% during five hydrogenation cycles [170]. The quinary equimolar mixture LiBH4-NaBH4-KBH4-Mg(BH4)2-Ca(BH4)2 was investigated by Dematteis et al. [181], and showed that the pure borohydrides only form KCa(BH4)3 as a new phase, yielding a liquid phase (after up to 50 h of ball milling) from which dehydrogenation was shown to be a complicated, multi-step process. This approach of combining five borohydrides relied on the concept of high energy alloys [181]. Dematteis et al. have also explored the opportunity of Mg2NiH4—confirmed to act as a hydrogen pump in the Ni-doped Mg/MgH2 system—to form novel RHC-like systems Mg2NiH4-LiBH4-M(BH4)x (M = Na, K, Mg, Ca) [194]. In particular, the Mg2NiH4-LiBH4-KBH4 was prepared by ball milling in the eutectic borohydride composition (reversible, mp = 110 °C), yielding 0.56 Mg2NiH4, 0.32 LiBH4, 0.12 KBH4 [194]. Even so, a modest temperature enhancement relative to the bulk was recorded (ΔT = −10 °C) and the PXD spectra confirmed formation of Mg2NiH0.3, MgH2 and MgNi2.5B2 only from reaction of LiBH4 with Mg2NiH4, with KBH4 remaining largely unaffected [194].
2.5. Ca-Based Complex Hydrides; Ca(BH4)2
Magnesium and calcium are two representative examples of group 2 complex hydrides. Ca(BH4)2 in particular has some attractive features that set it apart from its Mg-counterpart.
Ca(BH4)2 was also investigated in the context of RHC when mixed with other borohydrides in the ternary/quaternary [152] or quinary [181] systems based on mixtures LiBH4-NaBH4-KBH4-Mg(BH4)2-Ca(BH4)2, while DFT computations shed light on the decomposition of Ca(BH4)2 altered by nanoconfinement effects [259]. In the quantum mechanical computations, thin films of β-Ca(BH4)2 were shown to afford the decrease of dehydrogenation enthalpy by ΔH = −5 kJ/mol H2, through the formation of the active intermediates CaH2 (path (88a)) or CaB2 (pathway (88b), Reaction (88)) [259].
Nanoconfinement effects in actual physical systems were confirmed by Comanescu et al., who designed a micro-mesoporous carbon scaffold and used the activated scaffold (MC 650-a, SBET = 1780 m2/g, Vpore = 1 cm3/g) of high porosity to confine Ca(BH4)2 by the incipient wetness method of an MTBE solution of calcium borohydride. This approach led to ~ 2.4 wt% reversible and roughly stable H2 capacity over 18 cycles of hydrogen release/uptake (Figure 18). Remarkably, the onset of H2 desorption was reduced to ~100 °C and rehydrogenation conditions were significantly improved, compared to bulk Ca(BH4)2 (20–45 atm H2, 6.5 h). Additionally, ~68.7% of Ca(BH4)2 was proved to behave reversibly after the evaluation of support weight contribution to the Ca(BH4)2@MC-a nanocomposite [260].
Figure 18.
(A) TPD curves of Ca(BH4)2 with a heating rate of 2.5 °C min−1. Use vertical scale on the right for (a) as-received material; use scale on the left for Ca(BH4)2 on ball-milled graphite (b) and on MC 650-a (c). (B) TPA curves of nanocomposite Ca(BH4)2@MC 650-a for successive hydrogenation cycles at different pressures. Reprinted with permission from Ref. [260].
Other supports for Ca(BH4)2 confinement were also investigated: SBA-15 and MCM-41 (RHC: LiBH4-Ca(BH4)2) [158], mesoporous carbon (RHC, eutectic composition LiBH4-Ca(BH4)2) [162], activated carbon aerogel (RHC: LiBH4−Ca(BH4)2) [175], ordered mesoporous carbon CMK-3 (1320 m2/g, 1.48 cm3/g) catalyzed by TiCl3 additive [261]. Other RHCs containing Mg2NiH4 (Mg2NiH4-LiBH4-Ca(BH4)x) highlighted the role of complex hydride Mg2NiH4 in lowering the desorption temperature of the eutectic mixture of borohydrides [194]. Even in the absence of a Ni-based hydride, reversibility of LiBH4 was enhanced by using the eutectic composition of RHC: LiBH4-Ca(BH4)2, namely 0.68LiBH4–0.32Ca(BH4)2, when nanoconfined into high porosity carbon aerogel (SBET = 2421 ± 189 m2/g, Vtot = 2.46 ± 0.46 mL/g, 13 nm pore size) [182]. The catalyst effect strategy was explored in the system comprising 2NaAlH4 and Ca(BH4)2, when enhancements were recorded upon TiF3 addition, presumably due to the formation of intermediates of the form [AlF6]3− [183]. General catalytic principles and implications of using d-block metal derivatives were reviewed in correlation to metal hydride gravimetric capacity, and their potential for kinetic improvements. Among them, Ni, Co, V, Ti, Fe and Nb appear to have offered the most promising results [262].
2.6. Al-Based Complex Hydrides
While Al(BH4)3 may have a very high theoretical storage capacity, its volatile and extremely reactive nature have precluded its use as a hydrogen storage material. However, the corresponding ammoniate Al(BH4)3(NH3)6 could be stabilized by confinement in a PSDB (poly(styrene-co-divinylbenzene) polymeric matrix [263] where it also showed partially-reversible behavior using a hydrazine/ammonia treatment step. An interesting detail regarding the report from Tang et al. is the understanding that the diffusion of Al(BH4)3 (produced by mixing AlCl3 and LiBH4 in a 1:3 stoichiometric ratio) into the pores of PSDB was enhanced by complexation to the phenyl rings of PSDB to produce Al(BH4)3/PSDB nanocomposites. Subsequent exposure to ammonia afforded final Al(BH4)3·6NH3/PSDB nanocomposites. The host could also be tuned for inorganic component, such as nanostructured porous carbon [264]. Inclusion of Al(BH4)3(NH3)6 in pore-expanded mesoporous carbon with high textural characteristics (SBET = 980 m2/g, Vpore = 1.629 cm3/g and dpore = 12.7 nm) had a beneficial effect in reducing borane emissions from the composite ammoniate@nanoporous carbon, yielding an H2 purity of up to 93.5%.
2.7. TM- and RE-Based Complex Hydrides
2.7.1. Adducts/Ammoniates: Zr(BH4)4.8NH3
Featuring a low desorption temperature, Zr(BH4)4.8NH3 is considered a promising material for hydrogen storage and was recently synthesized by Wu et al. [265] using a physical vapor deposition approach, terming the method “heating-ball milling vial”. Additionally, 10 wt% NaBH4 inclusion in Zr(BH4)4.8NH3-10 wt%NaBH4 RHC showed a thermodynamioc improvement by lowering the desorption temperature from 130 °C (bulk ammoniate) to 75 °C (composite), while also supressing alternative reaction pathways leading to B2H6/NH3 (Reaction (89)) [265].
2.7.2. NaMgH3 and NaZn(BH4)3
The NaMgH3 perovskite type complex ternary hydride synthesized from MgH2 and NaH, and activated by a ball milling approach (under Ar, 2–15 h) showed a two-step decomposition behavior, releasing 5.8 wt% H2 from 287 °C to 408 °C within 2 h [266]. Notably, rehydrogenation of decomposed products were rehydrogenated under 10 bar H2, at ~200 °C [266].
NaMgH3 → NaH + Mg + H2 → Na + Mg + H2
The Rietveld refinement of rehydrogenated samples XRD data showed a regeneration of NaMgH3 (27 wt%), NaH (6 wt%) and oxides (67 wt%) [266].
Nanoconfinement strategy was applied in the case of NaZn(BH4)3 by the inclusion of a complex hydride into the mesoporosity of SBA-15 silica—SBET = 274.6 m2/g; Vpore = 0.4596 cm3/g—(hydride:support weight ratio 1:3, ball milling, 1 h, and infiltration of 25 drops NaZn(BH4)3–THF solution over 0.2 g SBA-15). Pure hydrogen was released in the range 50–150 °C, and a reduction of 5.3 kJ/mol in the activation energy was computed based on the Arrhenius plot (EA = 38.9 kJ/mol for nanoconfined NaZn(BH4)3@SBA-15) (Figure 19) [267].
Figure 19.
(A) TGA and MS results for pure NaZn(BH4)3 (black line), ball milled NaZn(BH4)3/SBA-15 (red line) and loaded NaZn(BH4)3/SBA-15 (blue line),with a heating rate of 2 C/min under dynamic Ar atmosphere. The right axis of the TGA chart gives the amount of weight loss relative to the mass of NaZn(BH4)3 only. (B) Volumetric gas release measurements for pure NaZn(BH4)3(black line), ball milled NaZn(BH4)3/SBA-15 (red line) and loaded NaZn(BH4)3/SBA-15 (blue line), with a heating rate of 2 °C/min under 1 atm argon, expressed with respect to the content of NaZn(BH4)3 only. (C) Isothermal volumetric results for gas release from the loaded NaZn(BH4)3/SBA-15 composite at 80 °C, 90 °C,100 °C and 110 °C, and for pure NaZn(BH4)3 at 110 °C. The inset shows a comparison of the Arrhenius plots of the temperature-dependent rate data of the loaded NaZn(BH4)3/SBA-15 composite (full circles) and the pure NaZn(BH4)3 (empty circles). This figure was reprinted with permission from ref. [267].
The decomposition reaction can be formulated according to Reaction (90), and is supported by observance of NaBH4, amorphous B and Zn among decomposition products, along with the release of pure H2 (6 wt%); however, rehydrogenation attempts in the solid state (400 °C, 10 MPa H2) were unsuccessful [267].
NaZn(BH4)3 (nano) → NaBH4 + Zn + B + 2H2
2.7.3. XTiH3 (CaTiH3, MgTiH3)
CaTiH3 and MgTiH3 perovskite hydrides were studied by Selgin using DFT and showed the predicted 4.01 wt% hydrogen storage for MgTiH3 based on electronic band structures and energy of states computation (ductile material) vs. CaTiH3 (brittle nature) [268].
2.7.4. Mg2NiH4
While not yet a commercial material, Mg2NiH4 can be synthesized from MgH2 and Ni, and was utilized in a series of RHC: in LiBH4–Mg2NiH4 where it showed mutually-destabilized system [153]; in the formation of nanocomposites Mg2NiH4@G nanosheets, where the surface MgO layer actually protected the complex hydride from further oxidation; in affording a low EA = 31.2 kJ/mol [269] and in LiAlH4-Mg2NiH4 doped with TiF3 affording a dehydrogenation onset of 50 °C and EA = 81.56 kJ/mol [161]. In addition, in the formation in-situ of Mg2NiH4-Mg2Ni@MOF from a MgH2@Ni-MOF starting nanocomposite (ΔHdes = 69.7 ± 2.7 kJ/mol; EA,des = 144.7 ± 7.8 kJ/mol H2; ΔHabs = −65.7 ± 2.1 kJ/mol; EA,abs = 41.5 ± 3.7 kJ/mol) [270], or in Mg2NiH4-LiBH4-M(BH4)x (M = Na, K, Mg, Ca) composites where it afforded improvement in thermodynamic behavior by reduction with up to 40 °C the desorption temperature [194].
2.7.5. Mg2FeH6
The ternary hydride Mg2FeH6 was synthesized (2.1 MgH2: 1 Fe, ball milling for 15 h, 200 rpm, 20 bar H2) and used in composite systems Mg2FeH6 + 4LiNH2 (Reaction (36)), allowing further reactivity enhancement that eliminated ~4.8 wt% H2 at 225 °C and absorbed 3.7 wt% H2 at 200 °C and 50 bar H2 [137]. The report from Zhang et al. also highlights that the ternary hydride Li4FeH6 could be synthesized for the first time in a metathetical reaction, rather than applying GPa H2 pressure, as previously reported in the literature [137].
When used in a (1 − x)LiBH4 + xMg2FeH6 nanocomposite, the system showed for composition x = 0.5 a reversible behavior at 400 °C and 20 MPa H2 for more than four cycles [186].
2.7.6. K2Mn(NH2)4
K2Mn(NH2)4 was synthesized by ball milling Mn and K under seven bar NH3, and was utilized in the RHC K2Mn(NH2)4–8LiH where it released 6.0 wt% H2 in an open system. Moreover, very fast reabsorption kinetics (>1 wt%/min) allowed RHC recharging within minutes, at 230 °C and 50 bar H2 [173]. The final identifiable products for dehydrogenation were Li2NH, Mn3N2 and MnN, while after rehydrogenation an unknown “K-Mn-species2” was produced, alongside LiH and LiNH2 [173].
2.7.7. Ti(BH4)4
Ti(BH4)3 could be a promising candidate for H2 storage application (13.0 wt% theoretical storage capacity), if it were not for its high instability—it spontaneously decomposes at RT. Although volatile in pristine form, Ti(BH4)3 was synthesized and stabilized by the nanoconfinement strategy (trapping at 200 K) in the MOF structure of UiO-66 ((Zr6O4(BDC)6, BDC = 1,4-benzenedicarboxylate, SBET = 1200 m2/g). LiBH4 and TiCl3 were milled in a 3:1 molar ratio using a planetary mill (10 min) (Reaction (91)).
3LiBH4 + TiCl3 → Ti(BH4)3 + 3LiCl
While it would immediately decompose in bulk form into B2H6 and TiH2, the nanoconfined composite Ti(BH4)3@MOF (SBET = 770 m2/g, confirming confinement of borohydride species, but also that the pores have not been completely filled) was stable up to 350 K under vacuum, which is a great improvement in stabilization of such a reactive species [271]. The narrow cage size of UiO-66 (1.6–1.7 nm diameter) was demonstrably essential in achieving this stabilization effect.
2.7.8. (RE)(BH4)x
Frommen et al. studied the thermal decomposition of rare earth (RE) borohydrides—either obtainable starting from RECl3-LiBH4 mixtures (molar ratios 1:3 and 1:4), yielding RE(BH4)3/LiRE(BH4)3Cl and LiRE(BH4)4, respectively, (Reactions (92) and (93)), but also by exploring wet chemical sysnthesis which allow for a LiCl-free borohydride upon filtering and subsequent vacuum drying [272].
LiRE(BH4)3Cl + 2LiCl ← RECl3 + 3LiBH4 → RE(BH4)3 + 3LiCl
RECl3 + 4LiBH4 → LiRE(BH4)4 + 3LiCl
Y(BH4)3 is probably among the most promising RE borohydride due to its high gravimetric hydrogen capacity (9.1 wt%), but also due to reasonable dehydrogenation temperature (onset at 187 °C, peak at 250 °C).
Heere et al. investigated the composite 3LiBH4 + Er(BH4)3 + 3LiH (9 wt% theoretical hydrogen capacity) and revealed a practical hydrogen release of 4.2, 3.7 and 3.5 wt% during the first three a/d cycles [171].
2.8. Ammonia Borane (AB) and Related Compounds
Ammonia-borane remains a highly investigated material, due essentially to its high hydrogen capacity. However, the system is not reversible without nanoconfinement into mesoporous materials [273] or other further tuning [274,275,276,277,278,279]. Yet, mechanistic investigations have not completely elucidated the dehydrogenation pathways and as such, rehydrogenation mechanisms are still under investigation to date.
2.8.1. NH3BH3 (AB)
In general, nanoconfinement of AB (NH3BH3, 19.6 wt% theoretical gravimetric capacity) into mesoporosity of various supports was shown to promote H2 desorption starting at a lower temperature onset. Various supports were investigated, including mesoporous silica, GaO3 and Co-substituted AlPO4-5 (when polyiminoborane was not detected among thermolysis of AB@support using operando Raman-Mass Spectrometry, suggesting AB-SBA-15 interaction modifying typical decomposition pathway) [273]. Nanosized (average size 110 nm) AB synthesis using cetyltrimethylammonium bromide (CTAB) was also investigated, in addition to dodecane C12H26 as a counter-solvent in aqueous media (overall weight loss between 80–200 °C of 24–57.3 wt%) [280]. Mechanistic investigations of energy release from AB included using different oxidants (NH4ClO4 rerouting the decomposition pathway of AB through [NH3BH2NH3]+[ClO4]− salt which inhibits BNHx species and affords AB complete oxidation) [281], the effect of polyacrylamide-grafted organically modified mesoporous silica (PAM-COOH-MSNs and PAM-Ph-MSNs) as nanocarriers for AB confinement [282].Further investigations include silica aerogel scaffold (up to 60 wt% AB loading, thermolysis onset at 80 °C due to SiOH and SiOSi groups involed in the interaction AB-SiO2 silica) [283], ZIF-67-derived fcc-Co@porous carbon nano/microparticles used as catalysts to enhance H2 release from AB [284], carbon nanotubes CNTs array (CMK-5 with 1650 m2 g−1 and 1.69 cm3 g−1, bimodal porosity; 9.4 wt% H2 released from (30AB:30AlH3)@CMK-5 nanocomposite at 95 °C in 10 min) [285]. Moreover, investigation subjects include nanoporous carbon (termed MDC –SBET = 2222 m2/g, 2.49 cm3/g, 0.40 nm pore size–, obtained from MOF-5 calcination in N2 at 1000 °C, yielding after confinement AB@MDC composites using a solution infiltration technique; 4.7 wt% H2 was released at 80 °C with the lowest tonset = 72 °C) [286]. GO/rGO derivatives (AB@GO and AB@rGO integrated AB into graphene derivative without solvent or melt infiltration, in a one-step “ice-templating” process, releasing no harmful gases such as B2H6, B3H6N3 or NH3) [287]. TiO2(B)-catalyzed C-scaffold (synergistic role of C-TiO2(B) in the enhancement of H2 desorption from C-TiO2(B)/NH3BH3 nanocomposites probably by added H+ ions from TiO2 hydrolysis reaction) [288]. Microporous carbon with narrow PSD of 1.05 nm pore size (tonset = 50 °C, main event at 86 °C and ~12 wt% H2 release at 90 °C in 30 min) [289]. The study of MOF nature and effect on AB dehydrogenation behavior (MOFs: IRMOF-1, IRMOF-10, UiO-66, UiO-67 and MIL-53(Al)) [290], of the effect of nanoconfinement into MOF with MIL-53 topology: Al-MIL-53 (86% H2 release), Al-MIL-OH (38% H2 release) and Al-MIL-NH2 (67 wt% H2 release within 60–110 °C, suggesting interaction AB–functional groups on MOFs) [291]. Mesoporous monolithic BN as AB–scaffolds (SBET = 584–728 m2 g−1, high Vpore = 0.75–0.93 cm3/g. H2 release at 100 °C up to 8.1 wt%) [292]. Ni-matrix affording ~50 nm size reduction of AB (suppression of toxic gases like diborane, and rehydrogenation occurring at 200 °C under 6 MPa H2) [293]. Investigation of an AB/PEO (polyethylene oxide) cocrystal for the potential energy storage applications [294]. Incorporation of AB into Pd/halloysite nanotubes (small Pd catalyst sizes of ~1.4 nm; H2 release was recorded at 60 °C and EA = 46 kJ/mol vs. 183 kJ/mol for neat AB) [295]. Evaluation of the feasible usage of 40:60 wt% AB:AC nanococomposite in a portable power tank (solution impregnation; ~6.0 wt% H2 with tonset = 96 °C) [279]. Alternatively, using less explored hosts such as hypercrosslinked porous poly(styrene-co-divinylbenzene) resin (PSDB) for AB nanoconfinement [296]. Shen et al. have used Cu NPs and showed that 6.8 nm Cu NPs are active catalysts in the decomposition of NH3BH3 to release H2, as well as affording pure polybenzoxazole (PBO) in a one-pot reaction of NH3BH3, diisopropoxy-dinitrobenzene and terephthalaldehyde. [297]. Highly pure and chemically-resistant PBO (MW = 19 kDa) was also reported by the same group using 8–18 nm Cu2O, as a catalyst also able to enhance ammonia borane dehydrogenation [298].
2.8.2. Tetraalkyl Ammonium Borohydrides [NR4][BH4]
The parent ammonium borohydride, NH4BH4 (ABH2), has a high gravimetric capacity of 18 wt% H2 that can be released below 160 °C. However, decomposition occurs even at room temperature into [(NH3)2BH2][BH4] (DADB) and hence, a stabilization method needs to be developed before adopting its wider use as a H2 storing media. To this end, MCM-41 mesoporous silica was used for nanoconfinement of ABH2, allowing its storage at temperatures below −30 °C [299].
Tetraalkyl ammonium borohydrides [NR4][BH4] are a novel class of organic borohydrides that were investigated for CO2 capture via triformatoborohydride ([HB(OCHO)3]−) and converted to more useful chemicals [300].
3. Improvement Strategies and Most Encouraging Results—An Overview
Porous materials have emerged as a class of materials featuring high versatility regarding both structure and envisioned applications. They can be tailored to accommodate smaller or larger reagents, offering shorter or longer reaction times depending on the application field [113,208,240]. In the recent past, these materials have been explored in the energy storage field: MOFs [204,212,270,301,302,303], carbon nanomaterials [100,101,108,126,127,172,175,176,178,210,227,228,242,286,288,304,305], graphene derivatives [269,287], MXenes [159,184,225,306,307], TM oxides (CeO2 [223]), siloxanic materials [93,107,189,267], ordered mesoporous carbon OMC [102,106,170,179,185,191,209,224,261], metal scaffolds for microencapsulation (Al [234]), polymers [296] and nitrides [105]. Machine learning was recently employed for predicting the hydrogen release of systems based on lithium borohydride [58,62].
Improvement attempts have tackled the hydrogen storage issue from various angles, and today many approaches have shown their effectiveness (Figure 20). The current strategies that were summarized in Figure 20 are detailed as follows.
Figure 20.
Improvement avenues that were explored to enhance hydrogenation effectiveness in hydride-based systems.
3.1. Nanoconfinement
Nanoconfinement was a preferred strategy to improve hydrogenation behavior by incorporating simple or complex hydrides in MOFs [204,212,270,290,291,301,302,303,306]; metal-doped carbon originating from thermally-collapsed MOFs (Co-[284]) and(Zn-[286]); carbon materials [232,305]; microporous carbon [256]; mesoporous carbon [72,162,170,179,185,210,253,261]; micro-mesoporous carbon (0.5–4.5 nm, IRH33 [176]); nanoporous carbon aerogels [163,169,227]; CO2–activated carbon aerogel [174,175]; TiCl3-catalyzed carbon aerogels [178,228]; ScOCl-catalyzed carbon aerogel [211]; carbon nanofibers CNFs [95,172]; carbon nanotubes CNTs [101,285]; activated carbon catalyzed by metal salts (CeF3 [100]); graphene G; graphene oxide GO and reduced graphene oxide rGO (GO, rGO–[287]), Fe3O4–G [98] and G-MC [99]; highly microporous carbon (PSD~ 1 nm, [289]); ordered mesoporous carbon OMC [106,191,209,224]; SWCNTs [108]; Zr-CMK-3 [308]; MWCNTs [164,229]; high surface area graphite [242]; fluorographite [130]; hollow carbon nanospheres HCNs [127]; various other mesoporous materials (BN–[292]), Ni-matrix [293] and Pd/halloysite NTs [295]); 1D nanoporous materials [304]; CeO2 hollow nanotubes HNTs [223]; silica-based scaffolds [74,75,76,93,107,158,189,267]; MXenes Ti3C2 [96,159,184,307]; CeF3-Ti3C2 MXene [225]; C@TiO2 2D scaffold [226]; nanoporous Ni-based alloy [97]; Ni–Pt core-shell nanoparticles [243]; Ni-catalyzed C nanosheets [125]; TiO2/porous C [126]; NbF5–MC [102]; porous Al scaffold [234]; h-BN [131]; polymeric matrix (hypercrosslinked porous poly(styrene-co-divinylbenzene) resin [296]) or PcB (poly (methyl methacrylate)–co–butyl methacrylate) [229].
3.2. Destabilization
Two apparently divergent strategies were pursued. Firstly, the stabilization of complex hydride systems that are too unstable for practical use under normal conditions and above (like Al(BH4)3 in the form of ammoniate complex Al(BH4)3.6NH3, or Ti(BH4)3 for instance). Secondly, the destabilization of those compounds that present too high thermodynamic stability such that they lower their desorption/resorption into the achievable realm (100–150 °C ideally). However, due to the high thermal stability of complex hydrides in general, the destabilization methods prevail [309]. More specifically, nanostructured γ-Mg(BH4)2 was destabilized by the Al2O3 atomic layer [310], mutual destabilization is typically observed in RHC comprising metal borohydrides (LiBH4–NaBH4 [155]), RHCs based on borohydride-light hydride (LiBH4-AlH3 [167]), borohydride-alanate systems (NaBH4-Li3AlH6 [132]), SiS2-destabilized light borohydrides (6LiBH4–SiS2, 8.2 wt%H2 released with tonset = 92 °C [103]), TM fluorides destabilize alkali borohydrides (NaBH4 [196,230]) and ionic liquids (ILs) were also reported to destabilize NaBH4 (vinylbenzyl trimethylammonium chloride IL [231]). Others have reported confinement strategies to stabilize/destabilize NH4BH4 [299], or the synergistic effect of ternary/binary Mg-hydrides (Mg(AlH4)2/MgH2 [257]).
3.3. Cation/Anion Substitution
Utilizing a catalyzed RHC system is a proven strategy to improve hydrogenation behavior. For instance, the nanoconfined 2LiBH4–MgH2–0.13TiCl4 system showed good reversibility behavior possibly due to the formation of Ti-MgH2 alloys (Mg0.25Ti0.75H2 and Mg6TiH2, which can be regarded as cation substitutions of Mg2+ in MgH2 by Ti3+ [154]). By forming eutectic compositions, mixed alkali borohydrides could be formulated (Li0.65Na0.35BH4– Li0.70Na0.30BH4 [155]) as well as anion substitutions (I−/NH2− substitutions of BH4−, in LiBH4–LiI and LiBH4-LiNH2 composites producing Li2(BH4)xI1−x and Li2(BH4)x(NH2)1−x [139]). The presence of F− anion in the 3NaBH4-GdF3 system produced dehydrogenation in the LT stage of NaBH4, due to F− substitution of H− [196]. The stability of mixed-cation, mixed-anion borohydrides was also evaluated for solid electrolyte application in batteries (LiM(BH4)3Cl, M = La, Ce, Gd [70]).
3.4. Eutectic Formation Approach
A strategy to perform a more effective infiltration of RHC based on mixtures of borohydrides has been utilized recently, with reports of ternary and quaternary mixtures in the LiBH4-NaBH4-KBH4-Mg(BH4)2-Ca(BH4)2 system [152], LiBH4-NaBH4 [66,155], 0.62LiBH4-0.38NaBH4 [157], LiBH4-Ca(BH4)2 [158,162,182], LiBH4–KBH4 [160,170], LiBH4-Mg(BH4)2 [163] and various combinations of alkali- and alkali-earth metal borohydrides (0.725LiBH4-0.275KBH4, 0.68NaBH4-0.32KBH4, 0.4NaBH4-0.6 Mg(BH4)2) [234], LiBH4-M(BH4)x (M = Na, K, Mg, Ca) [194].
3.5. Doping Strategy
Various dopants have been used so far to enhance the resorption parameters in hydrogen storage systems: TiO2(B) nanoparticles embedded in ordered carbon (for AB [288]), TiO (for LiBH4 [91]), TiCl4 confined in nanoporous carbon aerogel (for RHC: 2LiBH4–MgH2 [154]), nano-Ni (for a 0.62LiBH4-0.38NaBH4 [157]), ZrC (for LiAlH4 [121]), TM fluorides (for NaBH4, [230]), V2O5 or VO2 (for NaBH4 [199]), MWCNTs (for RHC: LiBH4–LiAlH4 [164]), various dopants introducing strain (Na, K, Al, F, or Cl for LiBH4 [61]), NiFe2O4 (for NaAlH4 [233]), YCl3 and Li3N (for RHC: 6Mg(NH2)2-9LiH-LiBH4 [177]) and ScOCl–functionalized carbon aerogel (for NaAlH4 [211]), C@TiO2/Ti3C2 (for NaAlH4 [226]).
In the context of dopants used, the presence of many forms of titanium (TiO, TiO2, TiO2(B), Ti3C2) typically supported by nanoscaffolds is noteworthy; this important role of Ti in particular may originate from the relative ease with which it can access multiple oxidation states, including metallic state (0, +2, +3, +4).
3.6. Electrolyte-Assisted Dehydrogenation
While nanoconfined borohydrides are usually studied at lower temperatures and confined in siliceous supports for solid-state electrolyte application [67], recent reports employ electrolyte systems as a means to accelerate de-/rehydrogenation of MgH2/Sn systems (LiBH4/KBH4 electrolyte [160]).
3.7. Additives
Many classes of compounds were used as additives [262]: (TM)Hx (TiH2 [187]); (TM)Fx, chlorides (TiCl3 [228] [178], TiCl4 [154], FeCl3, YCl3 [177]); fluorides (of transition metals TM [196,230], TiF3 [161,183], CeF3 [100,225], K2NbF7 [124], NbF5 [102], YF3 [197,198], GdF3 [197] and ScF3 [198]); iodide (LiI [201]); tetrafluoroborates (LiBF4 [68]); main group hydrides (LiH, MgH2 and AlH3 [167]); sulfide (Ce2S3 [94] and SiS2 [103]); nitride (Li3N [177], BN and TiO2(B) [288]); borides and composites (MgB2/Mg [165]); ferrites (NiFe2O4 [233] and MgFe2O4 [200]) and hexaferrites (SrFe12O19 [120] and BaFe12O19 [123]); oxides (TiO [91], TiO2 [126,143,166,226], Fe3O4 [98], Al2O3 [310], V2O5 or VO2 [199], V2O5 supported by MWCNTs [311,312] and various oxides [112]); oxochlorides (ScOCl [211]); hydroxide (KOH [168] and LiB(OH)4 [108]); metals (nano-Ni [97,125,157,253,293], alkali metals [232], Zr [308], Al [234], Mg [104] and Ti(Al) [129]); intermetallics and derivatives (CoNiB [92] and Ni–Pt [243]); MXenes (Ti3C2 [159,225,226,249]); activated carbon [248] and SWCNTs [108].
3.8. Electron-Tuning of the Scaffold
Electron modification of the host component can oftentimes yield positive results. Three-dimensional mesoporous boron nitride BN, prepared as a C-replica of monolithic activated carbon, showed exceptional H2 storage capacity when nanoconfining AB (8.1 wt% at 100 °C, [292]), while h-BN confirmed a strong catalytic effect in dehydrogenation of LiAlH4 and Li3AlH6 intermediate generated from a LiAlH4@h-BN nanocomposite [131]. On a similar note, surface-modified AlN (with O-H and C-H groups providing electronic interactions of hydridic protons of LiBH4 and surface Hδ+) was used as a scaffold for LiBH4 with increased reversible gravimetric capacity (6.1 wt% when cycling, [105]). Nitrogen-annealing of SWCNTs was shown to facilitate acidic and hydridic hydrogen interactions in a LiBH4@SWCNT-N nanocomposite, affording dehydrogenation onset as low as 108 °C [108].
3.9. Host Modification
Finally, various modifications of the scaffold allow tuning the reactivity towards improved cycling behavior of complex hydrides, and this approach oftentimes alters the desorption pathway. Various types of scaffolds were investigated: carbonaceous supports– SWCNTs, MWCNTs, carbon nanofibers CNFs, carbon nanospheres CNSs, carbon aerogel CA and ordered mesoporous carbon OMC. The latter includes CMK-3, graphene oxide GO, reduced graphene oxide rGO, modified C-scaffold by incorporation of metals (Al, Zr, Ti, Ni, Pd), siloxanic materials (SBA-15, MCM-41 etc.), metal salts (chlorides, fluorides, iodides, nitrates), bases (KOH), borides, sulfides, ferrites or MXenes. A survey of the nanostructuring procedure of complex hydrides reveals that most of the known classes of substances were used either in neat form (carbon, metals –Al, Ni etc.) or incorporating active catalysts/dopants to alter thermodynamics and accelerate de-/rehydrogenation reactions. These aspects were discussed in relation to the complex hydride utilized, in the previous sections.
4. Outlook and Future Directions
The current state-of-the-art in the field of nanosized complex hydrides was presented, with their most recent advances in hydrogen storage technology. Various tactics for achieving improved thermodynamics and for overcoming sluggish kinetics have been overviewed. These include using thermodynamic destabilization, cation/anion substitution, the eutectic formation approach, doping/additives, choosing the right scaffold and its electron-tuning, along with the—by now proverbial—nanoconfinement. The main advantages and the most resilient drawbacks of using these methods were discussed in relation to practical examples reported in the literature. Additionally, mechanistic insights are discussed and supported by the successful de-/rehydrogenation behavior of reported nanocomposites. Additionally, it is the author’s belief that among the improvement pillars presented before, the electronic synergy direction is not yet fully explored, and is an area where significant advances can be foreseen based on recent developments. Theoretical and experimental research efforts will join hands in order to better predict the composition, hydrogenation and recycling behavior of future nanocomposites for reaching an energy storage goal: the sustainable hydrogen economy.
Funding
This work was supported by the Romanian Ministry of Research and Innovation through the Project No. PN-III-P1-1.1-TE-2021-1657 (TE 84/2022), and the Core Program PN19-03 (contract no. PN21N/2019).
Institutional Review Board Statement
Not applicable.
Informed Consent Statement
Not applicable.
Data Availability Statement
Not applicable.
Acknowledgments
This work was supported by the Romanian Ministry of Research and Innovation through the Project No. PN-III-P1-1.1-TE-2021-1657 (TE 84/2022) and PN19-03 (contract no. PN21N/2019).
Conflicts of Interest
The author declares no conflict of interest.
References
- He, T.; Cao, H.; Chen, P. Complex Hydrides for Energy Storage, Conversion, and Utilization. Adv. Mater. 2019, 31, 1902757. [Google Scholar] [CrossRef]
- Lee, S.-Y.; Lee, J.-H.; Kim, Y.-H.; Kim, J.-W.; Lee, K.-J.; Park, S.-J. Recent Progress Using Solid-State Materials for Hydrogen Storage: A Short Review. Processes 2022, 10, 304. [Google Scholar] [CrossRef]
- Milanese, C.; Jensen, T.R.; Hauback, B.C.; Pistidda, C.; Dornheim, M.; Yang, H.; Lombardo, L.; Zuettel, A.; Filinchuk, Y.; Ngene, P.; et al. Complex hydrides for energy storage. Int. J. Hydrogen Energy 2019, 44, 7860–7874. [Google Scholar] [CrossRef]
- Comanescu, C. Complex Metal Borohydrides: From Laboratory Oddities to Prime Candidates in Energy Storage Applications. Materials 2022, 15, 2286. [Google Scholar] [CrossRef]
- Yu, X.; Tang, Z.; Sun, D.; Ouyang, L.; Zhu, M. Recent advances and remaining challenges of nanostructured materials for hydrogen storage applications. Prog. Mater. Sci. 2017, 88, 7111. [Google Scholar] [CrossRef]
- Hagemann, H. Boron Hydrogen Compounds: Hydrogen Storage and Battery Applications. Molecules 2021, 26, 7425. [Google Scholar] [CrossRef]
- Hadjixenophontos, E.; Dematteis, E.M.; Berti, N.; Wołczyk, A.R.; Huen, P.; Brighi, M.; Le, T.T.; Santoru, A.; Payandeh, S.; Peru, F.; et al. A Review of the MSCA ITN ECOSTORE—Novel Complex Metal Hydrides for Efficient and Compact Storage of Renewable Energy as Hydrogen and Electricity. Inorganics 2020, 8, 17. [Google Scholar] [CrossRef]
- Mohtadi, R.; Orimo, S.I. The Renaissance of Hydrides as Energy Materials. Nat. Rev. Mater. 2017, 2, 16091. [Google Scholar] [CrossRef]
- Comanescu, C. Recent Development in Nanoconfined Hydrides for Energy Storage. Int. J. Mol. Sci. 2022, 23, 7111. [Google Scholar] [CrossRef]
- Schneemann, A.; White, J.L.; Kang, S.; Jeong, S.; Wan, L.F.; Cho, E.S.; Heo, T.W.; Prendergast, D.; Urban, J.J.; Wood, B.C.; et al. Nanostructured Metal Hydrides for Hydrogen Storage. Chem. Rev. 2018, 118, 10775–10839. [Google Scholar] [CrossRef]
- Liu, J.; Ma, Y.; Yang, J.; Sun, L.; Guo, D.; Xiao, P. Recent Advance of Metal Borohydrides for Hydrogen Storage. Front. Chem. 2022, 10, 945208. [Google Scholar] [CrossRef]
- Paskevicius, M.; Jepsen, L.H.; Schouwink, P.; Černý, R.; Ravnsbæk, D.B.; Filinchuk, Y.; Dornheim, M.; Besenbacher, F.; Jensen, T.R. Metal Borohydrides and Derivatives-Synthesis, Structure and Properties. Chem. Soc. Rev. 2017, 46, 1565–1634. [Google Scholar] [CrossRef]
- Grinderslev, J.B.; Amdisen, M.B.; Skov, L.N.; Møller, K.T.; Kristensen, L.G.; Polanski, M.; Heere, M.; Jensen, T.R. New Perspectives of Functional Metal Borohydrides. J. Alloys Compd. 2022, 896, 163014. [Google Scholar] [CrossRef]
- Pukazhselvan, D.; Sandhya, K.S.; Fagg, D.P. Nanostructured Advanced Materials for Hydrogen Storage. In Nanomaterials for Sustainable Energy and Environmental Remediation; Elsevier: Amsterdam, The Netherlands, 2020; pp. 97–163. ISBN 9780128193556. [Google Scholar]
- Jepsen, L.H.; Paskevicius, M.; Jensen, T.R. 8 Nanostructured and Complex Hydrides for Hydrogen Storage. In Nanotechnology for Energy Sustainability, 1st ed.; Wiley-VCH Verlag GmbH & Co. KGaA: Weinheim, Germany, 2017; pp. 415–431, ISBN-13: 978-3527340149. [Google Scholar]
- Cuevas, F.; Amdisen, M.B.; Baricco, M.; Buckley, C.E.; Cho, Y.W.; de Jongh, P.; de Kort, L.M.; Grinderslev, J.B.; Gulino, V.; Hauback, B.C.; et al. Metallic and Complex Hydride-Based Electrochemical Storage of Energy. Prog. Energy 2022, 4, 032001. [Google Scholar] [CrossRef]
- Hirscher, M.; Yartys, V.A.; Baricco, M.; Bellosta von Colbe, J.; Blanchard, D.; Bowman, R.C.; Broom, D.P.; Buckley, C.E.; Chang, F.; Chen, P.; et al. Materials for Hydrogen-Based Energy Storage—Past, Recent Progress and Future Outlook. J. Alloys Compd. 2020, 827, 153548. [Google Scholar] [CrossRef]
- el Kharbachi, A.; Dematteis, E.M.; Shinzato, K.; Stevenson, S.C.; Bannenberg, L.J.; Heere, M.; Zlotea, C.; Szilágyi, P.; Bonnet, J.P.; Grochala, W.; et al. Metal Hydrides and Related Materials. Energy Carriers for Novel Hydrogen and Electrochemical Storage. J. Phys. Chem. C 2020, 124, 7599–7607. [Google Scholar] [CrossRef]
- Tarhan, C.; Çil, M.A. A study on hydrogen, the clean energy of the future: Hydrogen storage methods. J. Energy Storage 2021, 40, 102676. [Google Scholar] [CrossRef]
- Li, L.; Huang, Y.; An, C.; Wang, Y. Lightweight Hydrides Nanocomposites for Hydrogen Storage: Challenges, Progress and Prospects. Sci. China Mater. 2019, 62, 1597–1625. [Google Scholar] [CrossRef]
- Ouyang, L.; Chen, K.; Jiang, J.; Yang, X.S.; Zhu, M. Hydrogen Storage in Light-Metal Based Systems: A Review. J. Alloys Compd. 2020, 829, 154597. [Google Scholar] [CrossRef]
- Lai, Q.; Paskevicius, M.; Sheppard, D.A.; Buckley, C.E.; Thornton, A.W.; Hill, M.R.; Gu, Q.; Mao, J.; Huang, Z.; Liu, H.K.; et al. Hydrogen Storage Materials for Mobile and Stationary Applications:Current State of the Art. ChemSusChem 2015, 8, 2789–2825. [Google Scholar] [CrossRef]
- Huot, J.; Cuevas, F.; Deledda, S.; Edalati, K.; Filinchuk, Y.; Grosdidier, T.; Hauback, B.C.; Heere, M.; Jensen, T.R.; Latroche, M.; et al. Mechanochemistry of Metal Hydrides: Recent Advances. Materials 2019, 12, 2778. [Google Scholar] [CrossRef]
- Zhao-Karger, Z.; Witter, R.; Bardají, E.G.; Wang, D.; Cossement, D.; Fichtner, M. Influence of Nanoconfinement on Reaction Pathways of Complex Metal Hydrides. Energy Procedia 2012, 29, 731–737. [Google Scholar] [CrossRef][Green Version]
- de Kort, L.M.; Gulino, V.; de Jongh, P.E.; Ngene, P. Ionic Conductivity in Complex Metal Hydride-Based Nanocomposite Materials: The Impact of Nanostructuring and Nanocomposite Formation. J. Alloys Compd. 2022, 901, 163474. [Google Scholar] [CrossRef]
- Abe, J.O.; Popoola, A.P.I.; Ajenifuja, E.; Popoola, O.M. Hydrogen Energy, Economy and Storage: Review and Recommendation. Int. J. Hydrogen Energy 2019, 44, 15072–15086. [Google Scholar] [CrossRef]
- Møller, K.T.; Jensen, T.R.; Akiba, E.; Li, H. wen Hydrogen—A Sustainable Energy Carrier. Prog. Nat. Sci. Mater. Int. 2017, 27, 34–40. [Google Scholar] [CrossRef]
- Manickam, K.; Mistry, P.; Walker, G.; Grant, D.; Buckley, C.E.; Humphries, T.D.; Paskevicius, M.; Jensen, T.; Albert, R.; Peinecke, K.; et al. Future Perspectives of Thermal Energy Storage with Metal Hydrides. Int. J. Hydrogen Energy 2019, 44, 7738–7745. [Google Scholar] [CrossRef]
- Luo, Y.; Wang, Q.; Li, J.; Xu, F.; Sun, L.; Zou, Y.; Chu, H.; Li, B.; Zhang, K. Enhanced Hydrogen Storage/Sensing of Metal Hydrides by Nanomodification. Mater. Today Nano 2020, 9, 100071. [Google Scholar] [CrossRef]
- Møller, K.T.; Sheppard, D.; Ravnsbæk, D.B.; Buckley, C.E.; Akiba, E.; Li, H.W.; Jensen, T.R. Complex Metal Hydrides for Hydrogen, Thermal and Electrochemical Energy Storage. Energies 2017, 10, 1645. [Google Scholar] [CrossRef]
- Bannenberg, L.J.; Heere, M.; Benzidi, H.; Montero, J.; Dematteis, E.M.; Suwarno, S.; Jaron, T.; Winny, M.; Orłowski, P.A.; Wegner, W.; et al. Metal (boro-) hydrides for high energy density storage and relevant emerging technologies. Int. J. Hydrogen Energy 2020, 45, 33687–33730. [Google Scholar] [CrossRef]
- Callini, E.; Atakli, Z.Ö.K.; Hauback, B.C.; Orimo, S.I.; Jensen, C.; Dornheim, M.; Grant, D.; Cho, Y.W.; Chen, P.; Hjörvarsson, B.; et al. Complex and Liquid Hydrides for Energy Storage. Appl. Phys. A Mater. Sci. Process 2016, 122, 353. [Google Scholar] [CrossRef]
- Salman, M.S.; Pratthana, C.; Lai, Q.; Wang, T.; Rambhujun, N.; Srivastava, K.; Aguey-Zinsou, K.-F. Catalysis in Solid Hydrogen Storage: Recent Advances, Challenges, and Perspectives. Energy Technol. 2022, 10, 2200433. [Google Scholar] [CrossRef]
- Gupta, A.; Baron, G.V.; Perreault, P.; Lenaerts, S.; Ciocarlan, R.G.; Cool, P.; Mileo, P.G.M.; Rogge, S.; van Speybroeck, V.; Watson, G.; et al. Hydrogen Clathrates: Next Generation Hydrogen Storage Materials. Energy Storage Mater. 2021, 41, 69–107. [Google Scholar] [CrossRef]
- DOE Technical Targets for Onboard Hydrogen Storage for Light-Duty Vehicles. Available online: https://www.energy.gov/eere/fuelcells/doe-technical-targets-onboard-hydrogen-storage-light-duty-vehicles (accessed on 30 August 2022).
- Andersson, J.; Grönkvist, S. Large-Scale Storage of Hydrogen. Int. J. Hydrogen Energy 2019, 44, 11901–11919. [Google Scholar] [CrossRef]
- Zheng, J.; Wang, C.-G.; Zhou, H.; Ye, E.; Xu, J.; Li, Z.; Loh, X.J. Current Research Trends and Perspectives on Solid-State Nanomaterials in Hydrogen Storage. Research 2021, 2021, 3750689. [Google Scholar] [CrossRef]
- Chen, Z.; Kirlikovali, K.O.; Idrees, K.B.; Wasson, M.C.; Farha, O.K. Porous materials for hydrogen storage. Chem 2022, 8, 693–716. [Google Scholar] [CrossRef]
- Liu, W.; Stoddart, J.F. Emergent behavior in nanoconfined molecular containers. Chem 2021, 7, 919–947. [Google Scholar] [CrossRef]
- Sreedhara, I.; Kamani, K.M.; Kamani, B.M.; Reddy, B.M.; Venugopal, A. A Bird’s Eye view on process and engineering aspects of hydrogen storage. Renew. Sust. Energy Rev. 2018, 91, 838–860. [Google Scholar] [CrossRef]
- Mohtadi, R. Beyond Typical Electrolytes for Energy Dense Batteries. Molecules 2020, 25, 1791. [Google Scholar] [CrossRef]
- Skripov, A.V.; Soloninin, A.V.; Babanova, O.A.; Skoryunov, R.V. Anion and Cation Dynamics in Polyhydroborate Salts: NMR Studies. Molecules 2020, 25, 2940. [Google Scholar] [CrossRef]
- Hwang, S.J.; Lee, H.S.; To, M.; Lee, Y.S.; Cho, Y.W.; Choi, H.; Kim, C. Probing Molecular Dynamics of Metal Borohydrides on the Surface of Mesoporous Scaffolds by Multinuclear High Resolution Solid State NMR. J. Alloys Compd. 2015, 645, S316–S319. [Google Scholar] [CrossRef]
- Lohstroh, W.; Heere, M. Structure and Dynamics of Borohydrides Studied by Neutron Scattering Techniques: A Review. J. Phys. Soc. Jpn. 2020, 89, 051011. [Google Scholar] [CrossRef]
- Ma, Y.; Zhang, T.; He, W.; Luo, Q.; Li, Z.; Zhang, W.; He, J.; Li, Q. Electron Microscope Investigation on Hydrogen Storage Materials: A Review. Int. J. Hydrogen Energy 2020, 45, 12048–12070. [Google Scholar] [CrossRef]
- Liu, Y.S.; Jeong, S.; White, J.L.; Feng, X.; Seon Cho, E.; Stavila, V.; Allendorf, M.D.; Urban, J.J.; Guo, J. In-Situ/Operando X-ray Characterization of Metal Hydrides. ChemPhysChem 2019, 20, 1261–1271. [Google Scholar] [CrossRef]
- Miedema, P.S.; Ngene, P.; van der Eerden, A.M.J.; Sokaras, D.; Weng, T.C.; Nordlund, D.; Au, Y.S.; de Groot, F.M.F. In Situ X-Ray Raman Spectroscopy Study of the Hydrogen Sorption Properties of Lithium Borohydride Nanocomposites. Phys. Chem. Chem. Phys. 2014, 16, 22651–22658. [Google Scholar] [CrossRef]
- Sethio, D.; Daku, L.M.L.; Hagemann, H.; Kraka, E. Quantitative Assessment of B−B−B, B−Hb−B, and B−Ht Bonds: From BH3 to B12H122−. ChemPhysChem 2019, 20, 1967–1977. [Google Scholar] [CrossRef]
- Khalfaoui, M.; Knani, S.; Hachicha, M.A.; Lamine, A.B. New Theoretical Expressions for the Five Adsorption Type Isotherms Classified by BET Based on Statistical Physics Treatment. J. Colloid Interface Sci. 2003, 263, 350–356. [Google Scholar] [CrossRef]
- Broom, D.P.; Webb, C.J. Pitfalls in the characterisation of the hydrogen sorption properties of materials. Int. J. Hydrogen Energy 2017, 42, 29320–29343. [Google Scholar] [CrossRef]
- Broom, D.P.; Hirscher, M. Irreproducibility in Hydrogen Storage Material Research. Energy Env. Sci. 2016, 9, 3368–3380. [Google Scholar] [CrossRef]
- Huang, Y.; Cheng, Y.; Zhang, J. A Review of High Density Solid Hydrogen Storage Materials by Pyrolysis for Promising Mobile Applications. Ind. Eng. Chem. Res. 2021, 60, 2737–2771. [Google Scholar] [CrossRef]
- Zhang, W.; Zhang, X.; Huang, Z.; Li, H.-W.; Gao, M.; Pan, H.; Liu, Y. Recent Development of Lithium Borohydride-Based Materials for Hydrogen Storage. Adv. Energy Sustain. Res. 2021, 2, 2100073. [Google Scholar] [CrossRef]
- Puszkiel, J.; Gasnier, A.; Amica, G.; Gennari, F. Tuning LiBH4 for Hydrogen Storage: Destabilization, Additive, and Nanoconfinement Approaches. Molecules 2020, 25, 163. [Google Scholar] [CrossRef]
- Ding, Z.; Li, S.; Zhou, Y.; Chen, Z.; Yang, W.; Ma, W.; Shaw, L. LiBH4 for Hydrogen Storage—New Perspectives. Nano Mater. Sci. 2020, 2, 109–119. [Google Scholar] [CrossRef]
- Lai, Q.; Wang, T.; Sun, Y.; Aguey-Zinsou, K.F. Rational Design of Nanosized Light Elements for Hydrogen Storage: Classes, Synthesis, Characterization, and Properties. Adv. Mater Technol 2018, 3, 1700298. [Google Scholar] [CrossRef]
- Le, T.T.; Pistidda, C.; Nguyen, V.H.; Singh, P.; Raizada, P.; Klassen, T.; Dornheim, M. Nanoconfinement effects on hydrogen storage properties of MgH2 and LiBH4. Int. J. Hydrogen Energy 2021, 46, 23723–23736. [Google Scholar] [CrossRef]
- Łodziana, Z.; Błoński, P. Structure of Nanoconfined LiBH4 from First Principles 11B NMR Chemical Shifts Calculations. Int. J. Hydrogen Energy 2014, 39, 9842–9847. [Google Scholar] [CrossRef]
- Pratthana, C.; Aguey-Zinsou, K.-F. Surfactant Induced Synthesis of LiAlH4 and NaAlH4 Nanoparticles for Hydrogen Storage. Appl. Sci. 2022, 12, 4742. [Google Scholar] [CrossRef]
- Wang, T.; Aguey-Zinsou, K.F. Synthesis of Borohydride Nanoparticles at Room Temperature by Precipitation. Int. J. Hydrogen Energy 2021, 46, 24286–24292. [Google Scholar] [CrossRef]
- Li, Y.; Chung, J.S.; Kang, S.G. First-Principles Rational Design of M-Doped LiBH4(010) Surface for Hydrogen Release: Role of Strain and Dopants (M = Na, K, Al, F, or Cl). Int. J. Hydrogen Energy 2019, 44, 6065–6073. [Google Scholar] [CrossRef]
- Ding, Z.; Chen, Z.; Ma, T.; Lu, C.T.; Ma, W.; Shaw, L. Predicting the Hydrogen Release Ability of LiBH4-Based Mixtures by Ensemble Machine Learning. Energy Storage Mater 2020, 27, 466–477. [Google Scholar] [CrossRef]
- Das, S.; Ngene, P.; Norby, P.; Vegge, T.; de Jongh, P.E.; Blanchard, D. All-Solid-State Lithium-Sulfur Battery Based on a Nanoconfined LiBH4 Electrolyte. J. Electrochem. Soc. 2016, 163, A2029–A2034. [Google Scholar] [CrossRef]
- Lambregts, S.F.H.; van Eck, E.R.H.; Suwarno; Ngene, P.; de Jongh, P.E.; Kentgens, A.P.M. Phase Behavior and Ion Dynamics of Nanoconfined LiBH4 in Silica. J. Phys. Chem. C 2019, 123, 25559–25569. [Google Scholar] [CrossRef]
- Zettl, R.; Gombotz, M.; Clarkson, D.; Greenbaum, S.G.; Ngene, P.; de Jongh, P.E.; Wilkening, H.M.R. Li-Ion Diffusion in Nanoconfined LiBH4-LiI/Al2O3: From 2D Bulk Transport to 3D Long-Range Interfacial Dynamics. ACS Appl. Mater. Interfaces 2020, 12, 38570–38583. [Google Scholar] [CrossRef]
- Cuan, J.; Zhou, Y.; Zhou, T.; Ling, S.; Rui, K.; Guo, Z.; Liu, H.; Yu, X. Borohydride-Scaffolded Li/Na/Mg Fast Ionic Conductors for Promising Solid-State Electrolytes. Adv. Mater. 2019, 31, 1803533. [Google Scholar] [CrossRef] [PubMed]
- Suwarno, S.; Nale, A.; Suwarta, P.; Wijayanti, I.D.; Ismail, M. Designing Nanoconfined LiBH4 for Solid-State Electrolytes. Front. Chem. 2022, 10, 866959. [Google Scholar] [CrossRef] [PubMed]
- de Kort, L.M.; Gulino, V.; Blanchard, D.; Ngene, P. Effects of LiBF4 Addition on the Lithium-Ion Conductivity of LiBH4. Molecules 2022, 27, 2187. [Google Scholar] [CrossRef] [PubMed]
- Choi, Y.S.; Lee, Y.S.; Oh, K.H.; Cho, Y.W. Interface-Enhanced Li Ion Conduction in a LiBH4-SiO2 Solid Electrolyte. Phys. Chem. Chem. Phys. 2016, 18, 22540–22547. [Google Scholar] [CrossRef]
- Nguyen, J.; Fleutot, B.; Janot, R. Investigation of the Stability of Metal Borohydrides-Based Compounds LiM(BH4)3Cl (M = La, Ce, Gd) as Solid Electrolytes for Li-S Batteries. Solid State Ionics 2018, 315, 26–32. [Google Scholar] [CrossRef]
- Udovic, T.J.; Verdal, N.; Rush, J.J.; de Vries, D.J.; Hartman, M.R.; Vajo, J.J.; Gross, A.F.; Skripov, A.V. Mapping Trends in the Reorientational Mobilities of Tetrahydroborate Anions via Neutron-Scattering Fixed-Window Scans. J. Alloys Compd. 2013, 580, S47–S50. [Google Scholar] [CrossRef]
- Verkuijlen, M.H.W.; Ngene, P.; de Kort, D.W.; Barré, C.; Nale, A.; van Eck, E.R.H.; van Bentum, P.J.M.; de Jongh, P.E.; Kentgens, A.P.M. Nanoconfined LiBH4 and Enhanced Mobility of Li+ and BH4− Studied by Solid-State NMR. J. Phys. Chem. C 2012, 116, 22169–22178. [Google Scholar] [CrossRef]
- Breuer, S.; Uitz, M.; Wilkening, H.M.R. Rapid Li Ion Dynamics in the Interfacial Regions of Nanocrystalline Solids. J. Phys. Chem. Lett. 2018, 9, 2093–2097. [Google Scholar] [CrossRef]
- Ngene, P.; Lambregts, S.F.H.; Blanchard, D.; Vegge, T.; Sharma, M.; Hagemann, H.; de Jongh, P.E. The Influence of Silica Surface Groups on the Li-Ion Conductivity of LiBH4/SiO2 Nanocomposites. Phys. Chem. Chem. Phys. 2019, 21, 22456–22466. [Google Scholar] [CrossRef] [PubMed]
- Lambregts, S.F.H.; van Eck, E.R.H.; Ngene, P.; Kentgens, A.P.M. The Nature of Interface Interactions Leading to High Ionic Conductivity in LiBH4/SiO2 Nanocomposites. ACS Appl. Energy Mater. 2022, 5, 8057–8066. [Google Scholar] [CrossRef] [PubMed]
- Blanchard, D.; Nale, A.; Sveinbjörnsson, D.; Eggenhuisen, T.M.; Verkuijlen, M.H.W.; Suwarno; Vegge, T.; Kentgens, A.P.M.; de Jongh, P.E. Nanoconfined LiBH4 as a Fast Lithium Ion Conductor. Adv. Funct. Mater. 2015, 25, 184–192. [Google Scholar] [CrossRef]
- Ngene, P.; Verkuijlen, M.H.W.; Barre, C.; Kentgens, A.P.M.; de Jongh, P.E. Reversible Li-insertion in nanoscaffolds: A promising strategy to alter the hydrogen sorption properties of Li-based complex hydrides. Nano Energy 2016, 22, 169–178. [Google Scholar] [CrossRef][Green Version]
- Lai, Q.; Pratthana, C.; Yang, Y.; Rawal, A.; Aguey-Zinsou, K.F. Nanoconfinement of Complex Borohydrides for Hydrogen Storage. ACS Appl. Nano Mater. 2021, 4, 973–978. [Google Scholar] [CrossRef]
- Gasnier, A.; Amica, G.; Juan, J.; Troiani, H.; Gennari, F.C. N-Doped Graphene-Rich Aerogels Decorated with Nickel and Cobalt Nanoparticles: Effect on Hydrogen Storage Properties of Nanoconfined LiBH4. J. Phys. Chem. C 2020, 124, 115–125. [Google Scholar] [CrossRef]
- Lai, Q.; Yang, Y.; Aguey-Zinsou, K.-F. Nanoconfinement of borohydrides in hollow carbon spheres: Melt infiltration versus solvent impregnation for enhanced hydrogen storage. Int. J. Hydrogen Energy 2019, 44, 23225–23238. [Google Scholar] [CrossRef]
- Wu, R.; Zhang, X.; Liu, Y.; Zhang, L.; Hu, J.; Gao, M.; Pan, H. A Unique Double-Layered Carbon Nanobowl-Confined Lithium Borohydride for Highly Reversible Hydrogen Storage. Small 2020, 16, 2001963. [Google Scholar] [CrossRef]
- Zhou, H.; Liu, H.-Z.; Gao, S.-C.; Wang, X.-H. Enhanced dehydrogenation kinetic properties and hydrogen storage reversibility of LiBH4 confined in activated charcoal. Trans. Nonferrous Met. Soc. China 2018, 28, 1618–1625. [Google Scholar] [CrossRef]
- Wang, S.; Gao, M.; Xian, K.; Li, Z.; Shen, Y.; Yao, Z.; Liu, Y.; Pan, H. LiBH4 Nanoconfined in Porous Hollow Carbon Nanospheres with High Loading, Low Dehydrogenation Temperature, Superior Kinetics, and Favorable Reversibility. ACS Appl. Energy Mater. 2020, 3, 3928–3938. [Google Scholar] [CrossRef]
- Wang, S.; Gao, M.; Yao, Z.; Liu, Y.; Wu, M.; Li, Z.; Liu, Y.; Sun, W.; Pan, H. A nanoconfined-LiBH4 system using a unique multifunctional porous scaffold of carbon wrapped ultrafine Fe3O4 skeleton for reversible hydrogen storage with high capacity. Chem. Eng. J. 2022, 428, 131056. [Google Scholar] [CrossRef]
- Sitthiwet, C.; Thiangviriya, S.; Thaweelap, N.; Meethom, S.; Kaewsuwan, D.; Chanlek, N.; Utke, R. Hydrogen sorption and permeability of compacted LiBH4 nanoconfined into activated carbon nanofibers impregnated with TiO2. J. Phys. Chem. Solids 2017, 110, 344–353. [Google Scholar] [CrossRef]
- Zhang, X.; Zhang, L.; Zhang, W.; Ren, Z.; Huang, Z.; Hu, J.; Gao, M.; Pan, H.; Liu, Y. Nano-synergy enables highly reversible storage of 9.2 wt% hydrogen at mild conditions with lithium borohydride. Nano Energy 2021, 83, 105839. [Google Scholar] [CrossRef]
- Martínez, A.A.; Gasnier, A.; Gennari, F.C. Pore Filling of a Carbon Matrix by Melt-Impregnated LiBH4. J. Phys. Chem. C 2022, 126, 66–78. [Google Scholar] [CrossRef]
- Zhang, X.; Zhang, W.; Zhang, L.; Huang, Z.; Hu, J.; Gao, M.; Pan, H.; Liu, Y. Single-pot solvothermal strategy toward support-free nanostructured LiBH4 featuring 12 wt% reversible hydrogen storage at 400 °C. Chem. Eng. J. 2022, 428, 132566. [Google Scholar] [CrossRef]
- Xian, K.; Nie, B.; Li, Z.; Gao, M.; Li, Z.; Shang, C.; Liu, Y.; Guo, Z.; Pan, H. TiO2 decorated porous carbonaceous network structures offer confinement, catalysis and thermal conductivity for effective hydrogen storage of LiBH4. Chem. Eng. J. 2021, 407, 127156. [Google Scholar] [CrossRef]
- Wu, R.; Ren, Z.; Zhang, X.; Lu, Y.; Li, H.; Gao, M.; Pan, H.; Liu, Y. Nanosheet-like Lithium Borohydride Hydrate with 10 wt% Hydrogen Release at 70 °C as a Chemical Hydrogen Storage Candidate. J. Phys. Chem. Lett. 2019, 10, 1872–1877. [Google Scholar] [CrossRef]
- Li, Z.; Gao, M.; Wang, S.; Zhang, X.; Gao, P.Y.; Yang, Y.X.; Sun, W.; Liu, Y.; Pan, H. In-situ introduction of highly active TiO for enhancing hydrogen storage performance of LiBH4. Chem. Eng. J. 2022, 433, 134485. [Google Scholar] [CrossRef]
- Zhao, Y.; Jiao, L.; Liu, Y.; Guo, L.; Li, L.; Liu, H.; Wang, Y.; Yuan, H. A synergistic effect between nanoconfinement of carbon aerogels and catalysis of CoNiB nanoparticles on dehydrogenation of LiBH4. Int. J. Hydrogen Energy 2014, 39, 917–926. [Google Scholar] [CrossRef]
- Suwarno; Ngene, P.; Nale, A.; Eggenhuisen, T.M.; Oschatz, M.; Embs, J.P.; Remhof, A.; de Jongh, P.E. Confinement Effects for Lithium Borohydride: Comparing Silica and Carbon Scaffolds. J. Phys. Chem. C 2017, 121, 4197–4205. [Google Scholar] [CrossRef]
- Wang, J.; Wang, Z.; Li, Y.; Ke, D.; Lin, X.; Han, S.; Ma, M. Effect of Nano-Sized Ce2S3 on Reversible Hydrogen Storage Properties of LiBH4. Int. J. Hydrogen Energy 2016, 41, 13156–13162. [Google Scholar] [CrossRef]
- Plerdsranoy, P.; Kaewsuwan, D.; Chanlek, N.; Utke, R. Effects of Specific Surface Area and Pore Volume of Activated Carbon Nanofibers on Nanoconfinement and Dehydrogenation of LiBH4. Int. J. Hydrogen Energy 2017, 42, 6189–6201. [Google Scholar] [CrossRef]
- Zang, L.; Sun, W.; Liu, S.; Huang, Y.; Yuan, H.; Tao, Z.; Wang, Y. Enhanced Hydrogen Storage Properties and Reversibility of LiBH4 Confined in Two-Dimensional Ti3C2. ACS Appl. Mater. Interfaces 2018, 10, 19598–19604. [Google Scholar] [CrossRef] [PubMed]
- Chen, X.; Li, Z.; Zhang, Y.; Liu, D.; Wang, C.; Li, Y.; Si, T.; Zhang, Q. Enhanced Low-Temperature Hydrogen Storage in Nanoporous Ni-Based Alloy Supported LiBH4. Front. Chem. 2020, 8, 283. [Google Scholar] [CrossRef]
- Xu, G.; Zhang, W.; Zhang, Y.; Zhao, X.; Wen, P.; Ma, D. Fe3O4 Nanoclusters Highly Dispersed on a Porous Graphene Support as an Additive for Improving the Hydrogen Storage Properties of LiBH4. RSC Adv. 2018, 8, 19353–19361. [Google Scholar] [CrossRef]
- Gasnier, A.; Gennari, F.C. Graphene Entanglement in a Mesoporous Resorcinol-Formaldehyde Matrix Applied to the Nanoconfinement of LiBH4 for Hydrogen Storage. RSC Adv. 2017, 7, 27905–27912. [Google Scholar] [CrossRef]
- Zhou, H.; Zhang, L.; Gao, S.; Liu, H.; Xu, L.; Wang, X.; Yan, M. Hydrogen Storage Properties of Activated Carbon Confined LiBH4 Doped with CeF3 as Catalyst. Int. J. Hydrogen Energy 2017, 42, 23010–23017. [Google Scholar] [CrossRef]
- Wang, Y.T.; Wan, C.B.; Meng, X.H.; Ju, X. Improvement of the LiBH4 Hydrogen Desorption by Confinement in Modified Carbon Nanotubes. J. Alloys Compd. 2015, 645, S112–S116. [Google Scholar] [CrossRef]
- Shao, J.; Xiao, X.; Fan, X.; Zhang, L.; Li, S.; Ge, H.; Wang, Q.; Chen, L. Low-Temperature Reversible Hydrogen Storage Properties of LiBH4: A Synergetic Effect of Nanoconfinement and Nanocatalysis. J. Phys. Chem. C 2014, 118, 11252–11260. [Google Scholar] [CrossRef]
- Dolotko, O.; Gupta, S.; Kobayashi, T.; McDonald, E.; Hlova, I.; Majzoub, E.; Balema, V.P.; Pruski, M.; Pecharsky, V.K. Mechanochemical Reactions and Hydrogen Storage Capacities in MBH4–SiS2 Systems (M = Li or Na). Int. J. Hydrogen Energy 2019, 44, 7381–7391. [Google Scholar] [CrossRef]
- Sofianos, M.V.; Sheppard, D.A.; Rowles, M.R.; Humphries, T.D.; Liu, S.; Buckley, C.E. Novel Synthesis of Porous Mg Scaffold as a Reactive Containment Vessel for LiBH4. RSC Adv. 2017, 7, 36340–36350. [Google Scholar] [CrossRef]
- Zhu, J.; Mao, Y.; Wang, H.; Liu, J.; Ouyang, L.; Zhu, M. Reaction Route Optimized LiBH4 for High Reversible Capacity Hydrogen Storage by Tunable Surface-Modified AlN. ACS Appl. Energy Mater. 2020, 3, 11964–11973. [Google Scholar] [CrossRef]
- Palade, P.; Comanescu, C.; Mercioniu, I. Improvements of hydrogen desorption of lithium borohydride by impregnation onto MSH-H carbon replica. J. Ovonic Res. 2012, 8, 155–160. [Google Scholar]
- Comanescu, C.; Guran, C.; Palade, P. Improvements of kinetic properties of LiBH4 by supporting on MSU-H type mesoporous silica. Optoelectron. Adv. Mater. Rapid Commun. 2010, 4, 705–708. [Google Scholar]
- Vellingiri, L.; Annamalai, K.; Kandasamy, R.; Kombiah, I. Single-Walled Carbon Nanotubes/Lithium Borohydride Composites for Hydrogen Storage: Role of: In Situ Formed LiB(OH)4, Li2CO3 and LiBO2 by Oxidation and Nitrogen Annealing. RSC Adv. 2019, 9, 31483–31496. [Google Scholar] [CrossRef] [PubMed]
- He, Q.; Zhu, D.; Wu, X.; Dong, D.; Jiang, X.; Xu, M. The Dehydrogenation Mechanism and Reversibility of LiBH4 Doped by Active Al Derived from AlH3. Metals 2019, 9, 559. [Google Scholar] [CrossRef]
- Suárez-Alcántara, K.; Tena-Garcia, J.R.; Guerrero-Ortiz, R. Alanates, a Comprehensive Review. Materials 2019, 12, 2724. [Google Scholar] [CrossRef]
- Zhao, L.; Xu, F.; Zhang, C.; Wang, Z.; Ju, H.; Gao, X.; Zhang, X.; Sun, L.; Liu, Z. Enhanced Hydrogen Storage of Alanates: Recent Progress and Future Perspectives. Prog. Nat. Sci. Mater. Int. 2021, 31, 165–179. [Google Scholar] [CrossRef]
- Somo, T.R.; Mabokela, T.E.; Teffu, D.M.; Sekgobela, T.K.; Hato, M.J.; Modibane, K.D. Review on the Effect of Metal Oxides as Surface Coatings on Hydrogen Storage Properties of Porous and Non-Porous Materials. Chem. Pap. 2021, 75, 2237–2251. [Google Scholar] [CrossRef]
- Milanese, C.; Garroni, S.; Gennari, F.; Marini, A.; Klassen, T.; Dornheim, M.; Pistidda, C. Solid State Hydrogen Storage in Alanates and Alanate-Based Compounds: A Review. Metals 2018, 8, 567. [Google Scholar] [CrossRef]
- Weidenthaler, C. Crystal Structure Evolution of Complex Metal Aluminum Hydrides upon Hydrogen Release. J. Energy Chem. 2020, 42, 133–143. [Google Scholar] [CrossRef]
- Sazelee, N.A.; Ismail, M. Recent Advances in Catalyst-Enhanced LiAlH4 for Solid-State Hydrogen Storage: A Review. Int. J. Hydrogen Energy 2021, 46, 9123–9141. [Google Scholar] [CrossRef]
- Wang, L.; Rawal, A.; Quadir, M.Z.; Aguey-Zinsou, K.-F. Nanoconfined lithium aluminium hydride (LiAlH4) and hydrogen reversibility. Int. J. Hydrogen Energy 2017, 42, 14144–14153. [Google Scholar] [CrossRef]
- Xia, Y.; Wei, S.; Huang, Q.; Li, J.; Cen, X.; Zhang, H.; Chu, H.; Sun, L.; Xu, F.; Huang, P. Facile synthesis of NiCo2O4-anchored reduced graphene oxide nanocomposites as efficient additives for improving the dehydrogenation behavior of lithium alanate. Inorg. Chem. Front. 2020, 7, 1257–1272. [Google Scholar] [CrossRef]
- Cho, Y.J.; Li, S.; Snider, J.L.; Marple, M.A.T.; Strange, N.A.; Sugar, J.D.; Gabaly, F.E.; Schneemann, A.; Kang, S.; Kang, M.-h.; et al. Reversing the Irreversible: Thermodynamic Stabilization of LiAlH4 Nanoconfined Within a Nitrogen-Doped Carbon Host. ACS Nano 2021, 15, 10163–10174. [Google Scholar] [CrossRef]
- Xia, Y.; Zhang, H.; Sun, Y.; Sun, L.; Xu, F.; Sun, S.; Zhang, G.; Huang, P.; Du, Y.; Wang, J.; et al. Dehybridization effect in improved dehydrogenation of LiAlH4 by doping with two-dimensional Ti3C2. Mater. Today Nano 2019, 8, 100054. [Google Scholar] [CrossRef]
- Sulaiman, N.N.; Ismail, M. Catalytic effect of SrFe12O19 on the hydrogen storage properties of LiAlH4. Int. J. Hydrogen Energy 2017, 42, 19126–19134. [Google Scholar] [CrossRef]
- Li, Z.L.; Zhai, F.Q.; Qiu, H.C.; Wan, Q.; Li, P.; Qu, X.H. Dehydrogenation Characteristics of ZrC-Doped LiAlH4 with Different Mixing Conditions. Rare Met. 2020, 39, 383–391. [Google Scholar] [CrossRef]
- Li, Y.; Wu, S.; Zhu, D.; He, J.; Xiao, X.; Chen, L. Dehydrogenation Performances of Different Al Source Composite Systems of 2LiBH4 + M (M = Al, LiAlH4, Li3AlH6). Front. Chem. 2020, 8, 227. [Google Scholar] [CrossRef]
- Sazelee, N.A.; Yahya, M.S.; Ali, N.A.; Idris, N.H.; Ismail, M. Enhancement of Dehydrogenation Properties in LiAlH4 Catalysed by BaFe12O19. J. Alloys Compd. 2020, 835, 155183. [Google Scholar] [CrossRef]
- Ali, N.A.; Sazelee, N.; Yahya, M.S.; Ismail, M. Influence of K2NbF7 Catalyst on the Desorption Behavior of LiAlH4. Front. Chem. 2020, 8, 457. [Google Scholar] [CrossRef] [PubMed]
- Yang, H.; Ko, Y.; Lombardo, L.; Li, M.; Oveisí, E.; Züttel, A. Interfacial Effect between Aluminum-Based Complex Hydrides and Nickel-Containing Porous Carbon Sheets. ACS Appl. Energy Mater. 2020, 3, 9685–9695. [Google Scholar] [CrossRef]
- Zhao, Y.; Han, M.; Wang, H.; Chen, C.; Chen, J. LiAlH4 Supported on TiO2/Hierarchically Porous Carbon Nanocomposites with Enhanced Hydrogen Storage Properties. Inorg. Chem. Front. 2016, 3, 1536–1542. [Google Scholar] [CrossRef]
- Pratthana, C.; Yang, Y.; Rawal, A.; Aguey-Zinsou, K.F. Nanoconfinement of Lithium Alanate for Hydrogen Storage. J. Alloys Compd. 2022, 926, 166834. [Google Scholar] [CrossRef]
- Humphries, T.D.; Birkmire, D.; McGrady, G.S.; Hauback, B.C.; Jensen, C.M. Regeneration of LiAlH4 at Sub-Ambient Temperatures Studied by Multinuclear NMR Spectroscopy. J. Alloys Compd. 2017, 723, 1150–1154. [Google Scholar] [CrossRef]
- Graetz, J.; Wegrzyn, J.; Reilly, J.J. Regeneration of Lithium Aluminum Hydride. J. Am. Chem. Soc. 2008, 130, 17790–17794. [Google Scholar] [CrossRef]
- Cheng, H.; Zheng, J.; Xiao, X.; Liu, Z.; Ren, X.; Wang, X.; Li, S.; Chen, L. Ultra-Fast Dehydrogenation Behavior at Low Temperature of LiAlH4 Modified by Fluorographite. Int. J. Hydrogen Energy 2020, 45, 28123–28133. [Google Scholar] [CrossRef]
- Nakagawa, Y.; Isobe, S.; Ohki, T.; Hashimoto, N. Unique Hydrogen Desorption Properties of LiAlH4/h-BN Composites. Inorganics 2017, 5, 71. [Google Scholar] [CrossRef]
- Yahya, M.S.; Ali, N.A.; Sazelee, N.A.; Mustafa, N.S.; Halim Yap, F.A.; Ismail, M. Intensive Investigation on Hydrogen Storage Properties and Reaction Mechanism of the NaBH4-Li3AlH6 Destabilized System. Int. J. Hydrogen Energy 2019, 44, 21965–21978. [Google Scholar] [CrossRef]
- Wood, B.C.; Stavila, V.; Poonyayant, N.; Heo, T.W.; Ray, K.G.; Klebanoff, L.E.; Udovic, T.J.; Lee, J.R.I.; Angboonpong, N.; Sugar, J.D.; et al. Nanointerface-Driven Reversible Hydrogen Storage in the Nanoconfined Li–N–H System. Adv. Mater. Interfaces 2017, 4, 1600803. [Google Scholar] [CrossRef]
- Yang, Q.; Lu, F.; Liu, Y.; Zhang, Y.; Wang, X.; Pang, Y.; Zheng, S. Li2(BH4)(NH2) Nanoconfined in SBA-15 as Solid-State Electrolyte for Lithium Batteries. Nanomaterials 2021, 11, 946. [Google Scholar] [CrossRef]
- de Kort, L.M.; Harmel, J.; de Jongh, P.E.; Ngene, P. The effect of nanoscaffold porosity and surface chemistry on the Li-ion conductivity of LiBH4-LiNH2/metal oxide nanocomposites. J. Mater. Chem. A 2020, 8, 20687–20697. [Google Scholar] [CrossRef]
- White, J.L.; Baker, A.A.; Marcus, M.A.; Snider, J.L.; Wang, T.C.; Lee, J.R.I.; Kilcoyne, D.A.L.; Allendorf, M.D.; Stavila, V.; Gabaly, F.E. The Inside-Outs of Metal Hydride Dehydrogenation: Imaging the Phase Evolution of the Li-N-H Hydrogen Storage System. Adv. Mater. Interfaces 2020, 7, 1901905. [Google Scholar] [CrossRef]
- Zhang, W.; Zhang, Z.; Jia, X.; Guo, J.; Wang, J.; Chen, P. Metathesis of Mg2FeH6 and LiNH2 Leading to Hydrogen Production at Low Temperatures. Phys. Chem. Chem. Phys. 2018, 20, 9833–9837. [Google Scholar] [CrossRef]
- Ali, N.A.; Sazelee, N.A.; Ismail, M. An overview of reactive hydride composite (RHC) for solid-state hydrogen storage materials. Int. J. Hydrogen Energy 2021, 46, 31674–31698. [Google Scholar] [CrossRef]
- Zettl, R.; de Kort, L.; Gombotz, M.; Wilkening, H.M.R.; de Jongh, P.E.; Ngene, P. Combined Effects of Anion Substitution and Nanoconfinement on the Ionic Conductivity of Li-Based Complex Hydrides. J. Phys. Chem. C 2020, 124, 2806–2816. [Google Scholar] [CrossRef]
- Le, T.T.; Pistidda, C.; Abetz, C.; Georgopanos, P.; Garroni, S.; Capurso, G.; Milanese, C.; Puszkiel, J.; Dornheim, M.; Abetz, V.; et al. Enhanced Stability of Li-RHC Embedded in an Adaptive TPX™ Polymer Scaffold. Materials 2020, 13, 991. [Google Scholar] [CrossRef]
- Jin, O.; Shang, Y.; Huang, X.; Mu, X.; Szabó, D.V.; Le, T.T.; Wagner, S.; Kübel, C.; Pistidda, C.; Pundt, A. Microstructural Study of MgB2 in the LiBH4-MgH2 Composite by Using TEM. Nanomaterials 2022, 12, 1893. [Google Scholar] [CrossRef]
- Nielsen, T.K.; Bosenberg, U.; Gosalawit, R.; Dornheim, M.; Cerenius, Y.; Besenbacher, F.; Jensen, T.R. A Reversible Nanoconfined Chemical Reaction. ACS Nano 2010, 4, 3903–3908. [Google Scholar] [CrossRef]
- Gamba, N.S.; Puszkiel, J.; Arneodo Larochette, P.; Gennari, F.C. Dual Application of Ti-Catalyzed Li-RHC Composite for H2 Purification and CO Methanation. Int. J. Hydrogen Energy 2020, 45, 19493–19504. [Google Scholar] [CrossRef]
- Neves, A.M.; Puszkiel, J.; Capurso, G.; Bellosta von Colbe, J.M.; Milanese, C.; Dornheim, M.; Klassen, T.; Jepsen, J. Modeling the Kinetic Behavior of the Li-RHC System for Energy-Hydrogen Storage: (I) Absorption. Int. J. Hydrogen Energy 2021, 46, 32110–32125. [Google Scholar] [CrossRef]
- Zhou, H.; Wang, X.; Liu, H.; Yan, M. Enhanced hydrogen storage properties of 2LiBH4-LiAlH4 nanoconfined in resorcinol formaldehyde carbon aerogel. J. Alloys Compd. 2017, 726, 525–531. [Google Scholar] [CrossRef]
- Plerdsranoy, P.; Javadian, P.; Jensen, N.D.; Nielsen, U.G.; Jensen, T.R.; Utke, R. Compaction of LiBH4-LiAlH4 nanoconfined in activated carbon nanofibers: Dehydrogenation kinetics, reversibility, and mechanical stability during cycling. Int. J. Hydrogen Energy 2017, 42, 1036–1047. [Google Scholar] [CrossRef]
- Javadian, P.; Sheppard, D.A.; Buckley, C.E.; Jensen, T.R. Hydrogen Desorption Properties of Bulk and Nanoconfined LiBH4-NaAlH4. Crystals 2016, 6, 70. [Google Scholar] [CrossRef]
- Zheng, J.; Yao, Z.; Xiao, X.; Wang, X.; He, J.; Chen, M.; Cheng, H.; Zhang, L.; Chen, L. Enhanced hydrogen storage properties of high-loading nanoconfined LiBH4-Mg(BH4)2 composites with porous hollow carbon nanospheres. Int. J. Hydrogen Energy 2021, 46, 852–864. [Google Scholar] [CrossRef]
- Huang, X.; Xiao, X.; He, Y.; Yao, Z.; Ye, X.; Kou, H.; Chen, C.; Huang, T.; Fan, X.; Chen, L. Probing an intermediate state by X-ray absorption near-edge structure in nickel-doped 2LiBH4-MgH2 reactive hydride composite at moderate temperature. Mater. Today Nano 2020, 12, 100090. [Google Scholar] [CrossRef]
- Dansirima, P.; Thiangviriya, S.; Plerdsranoy, P.; Utke, O.; Utke, R. Small hydrogen storage tank filled with 2LiBH4-MgH2 nanoconfined in activated carbon: Reaction mechanisms and performances. Int. J. Hydrogen Energy 2019, 44, 10752–10762. [Google Scholar] [CrossRef]
- Utke, R.; Thiangviriya, S.; Javadian, P.; Jensen, T.R.; Milanese, C.; Klassen, T.; Dornheim, M. 2LiBH4–MgH2 nanoconfined into carbon aerogel scaffold impregnated with ZrCl4 for reversible hydrogen storage. Mater. Chem. Phys. 2016, 169, 136–141. [Google Scholar] [CrossRef]
- Dematteis, E.M.; Pistidda, C.; Dornheim, M.; Baricco, M. Exploring Ternary and Quaternary Mixtures in the LiBH4-NaBH4-KBH4-Mg(BH4)2-Ca(BH4)2 System. ChemPhysChem 2019, 20, 1348–1359. [Google Scholar] [CrossRef]
- Bergemann, N.; Pistidda, C.; Uptmoor, M.; Milanese, C.; Santoru, A.; Emmler, T.; Puszkiel, J.; Dornheim, M.; Klassen, T. A new mutually destabilized reactive hydride system: LiBH4–Mg2NiH4. J. Energy Chem. 2019, 34, 240–254. [Google Scholar] [CrossRef]
- Gosalawit-Utke, R.; Milanese, C.; Javadian, P.; Girella, A.; Laipple, D.; Puszkiel, J.; Cattaneo, A.S.; Ferrara, C.; Wittayakhun, J.; Skibsted, J.; et al. 2LiBH4–MgH2–0.13TiCl4 confined in nanoporous structure of carbon aerogel scaffold for reversible hydrogen storage. J. Alloys Compd. 2014, 599, 78–86. [Google Scholar] [CrossRef]
- Dematteis, E.M.; Roedern, E.; Pinatel, E.R.; Corno, M.; Jensen, T.R.; Baricco, M. A thermodynamic investigation of the LiBH4-NaBH4 system. RSC Adv. 2016, 6, 60101–60108. [Google Scholar] [CrossRef]
- Liu, X.; Peaslee, D.; Sheehan, T.P.; Majzoub, E.H. Decomposition Behavior of Eutectic LiBH4-Mg(BH4)2 and Its Confinement Effects in Ordered Nanoporous Carbon. J. Phys. Chem. C 2014, 118, 27265–27271. [Google Scholar] [CrossRef]
- Liu, Y.; Heere, M.; Contreras Vasquez, L.; Paterakis, C.; Sørby, M.H.; Hauback, B.C.; Book, D. Dehydrogenation and Rehydrogenation of a 0.62LiBH4-0.38NaBH4 Mixture with Nano-Sized Ni. Int. J. Hydrogen Energy 2018, 43, 16782–16792. [Google Scholar] [CrossRef]
- Lee, H.S.; Hwang, S.J.; To, M.; Lee, Y.S.; Cho, Y.W. Discovery of Fluidic LiBH4 on Scaffold Surfaces and Its Application for Fast Co-Confinement of LiBH4-Ca(BH4)2 into Mesopores. J. Phys. Chem. C 2015, 119, 9025–9035. [Google Scholar] [CrossRef]
- Chen, G.; Zhang, Y.; Cheng, H.; Zhu, Y.; Li, L.; Lin, H. Effects of Two-Dimension MXene Ti3C2 on Hydrogen Storage Performances of MgH2-LiAlH4 Composite. Chem. Phys. 2019, 522, 178–187. [Google Scholar] [CrossRef]
- Vajo, J.J.; Tan, H.; Ahn, C.C.; Addison, D.; Hwang, S.J.; White, J.L.; Wang, T.C.; Stavila, V.; Graetz, J. Electrolyte-Assisted Hydrogen Storage Reactions. J. Phys. Chem. C 2018, 122, 26845–26850. [Google Scholar] [CrossRef]
- Ma, Z.; Liu, J.; Zhao, Y.; Zhang, J.; Zhu, Y.; Zhang, Y.; Liu, Y.; Li, L. Enhanced Dehydrogenation Properties of LiAlH4-Mg2NiH4 Nanocomposites via Doping Ti-Based Catalysts. Mater. Res. Express 2019, 6, 075067. [Google Scholar] [CrossRef]
- Lee, H.S.; Lee, Y.S.; Suh, J.Y.; Kim, M.; Yu, J.S.; Cho, Y.W. Enhanced Desorption and Absorption Properties of Eutectic LiBH4-Ca(BH4)2 Infiltrated into Mesoporous Carbon. J. Phys. Chem. C 2011, 115, 20027–20035. [Google Scholar] [CrossRef]
- Javadian, P.; Jensen, T.R. Enhanced Hydrogen Reversibility of Nanoconfined LiBH4-Mg(BH4)2. Int. J. Hydrogen Energy 2014, 39, 9871–9876. [Google Scholar] [CrossRef]
- Meethom, S.; Kaewsuwan, D.; Chanlek, N.; Utke, O.; Utke, R. Enhanced Hydrogen Sorption of LiBH4–LiAlH4 by Quenching Dehydrogenation, Ball Milling, and Doping with MWCNTs. J. Phys. Chem. Solids 2020, 136, 109202. [Google Scholar] [CrossRef]
- Lu, C.; Zou, J.; Zeng, X.; Ding, W.; Shao, H. Enhanced Hydrogen Sorption Properties of Core-Shell like Structured Mg@NaBH4/MgB2 Composite. J. Alloys Compd. 2019, 810, 151763. [Google Scholar] [CrossRef]
- Mustafa, N.S.; Yahya, M.S.; Itam Sulaiman, N.N.; Abdul Halim Yap, M.F.A.; Ismail, M. Enhanced the Hydrogen Storage Properties and Reaction Mechanisms of 4MgH2 + LiAlH4 Composite System by Addition with TiO2. Int. J. Energy Res. 2021, 45, 21365–21374. [Google Scholar] [CrossRef]
- Liu, H.; Xu, L.; Sheng, P.; Liu, S.; Zhao, G.; Wang, B.; Wang, X.; Yan, M. Hydrogen Desorption Kinetics of the Destabilized LiBH4–AlH3 Composites. Int. J. Hydrogen Energy 2017, 42, 22358–22365. [Google Scholar] [CrossRef]
- Chen, Y.; Sun, X.; Zhang, W.; Gan, Y.; Xia, Y.; Zhang, J.; Huang, H.; Liang, C.; Pan, H. Hydrogen Pressure-Dependent Dehydrogenation Performance of the Mg(NH2)2-2LiH-0.07KOH System. ACS Appl. Mater. Interfaces 2020, 12, 15255–15261. [Google Scholar] [CrossRef]
- Thiangviriya, S.; Plerdsranoy, P.; Wiset, N.; Javadian, P.; Jensen, T.R.; Utke, R. Hydrogen Sorption and Reaction Mechanisms of Nanoconfined 2LiBH4-NaAlH4. J Alloys Compd. 2015, 633, 484–493. [Google Scholar] [CrossRef]
- Peru, F.; Payandeh, S.; Charalambopoulou, G.; Jensen, T.R.; Steriotis, T. Hydrogen Sorption and Reversibility of the LiBH4-KBH4 Eutectic System Confined in a CMK-3 Type Carbon via Melt Infiltration. C J. Carbon Res. 2020, 6, 19. [Google Scholar] [CrossRef]
- Heere, M.; GharibDoust, S.H.P.; Brighi, M.; Frommen, C.; Sørby, M.H.; Černý, R.; Jensen, T.R.; Hauback, B.C. Hydrogen Sorption in Erbium Borohydride Composite Mixtures with LiBH4 and/or LiH. Inorganics 2017, 5, 31. [Google Scholar] [CrossRef]
- Thiangviriya, S.; Sitthiwet, C.; Plerdsranoy, P.; Capurso, G.; Pistidda, C.; Utke, O.; Dornheim, M.; Klassen, T.; Utke, R. Hydrogen Sorption Kinetics, Hydrogen Permeability, and Thermal Properties of Compacted 2LiBH4-MgH2 Doped with Activated Carbon Nanofibers. Int. J. Hydrogen Energy 2019, 44, 15218–15227. [Google Scholar] [CrossRef]
- Wang, J.; Lei, G.; Pistidda, C.; He, T.; Cao, H.; Dornheim, M.; Chen, P. Hydrogen Storage Properties and Reaction Mechanisms of K2Mn(NH2)4–8LiH System. Int. J. Hydrogen Energy 2021, 46, 40196–40202. [Google Scholar] [CrossRef]
- Javadian, P.; Sheppard, D.A.; Buckley, C.E.; Jensen, T.R. Hydrogen Storage Properties of Nanoconfined LiBH4-NaBH4. Int. J. Hydrogen Energy 2015, 40, 14916–14924. [Google Scholar] [CrossRef]
- Javadian, P.; Sheppard, D.A.; Buckley, C.E.; Jensen, T.R. Hydrogen Storage Properties of Nanoconfined LiBH4-Ca(BH4)2. Nano Energy 2015, 11, 96–103. [Google Scholar] [CrossRef]
- Sartori, S.; Knudsen, K.D.; Hage, F.S.; Heyn, R.H.; Bardaji, E.G.; Zhao-Karger, Z.; Fichtner, M.; Hauback, B.C. Influence of Nanoconfinement on Morphology and Dehydrogenation of the Li11BD4-Mg(11BD4)2 System. Nanotechnology 2012, 23, 255704. [Google Scholar] [CrossRef] [PubMed]
- Cao, H.; Zhang, W.; Pistidda, C.; Puszkiel, J.; Milanese, C.; Santoru, A.; Karimi, F.; Castro Riglos, M.V.; Gizer, G.; Welter, E.; et al. Kinetic Alteration of the 6Mg(NH2)2-9LiH-LiBH4 System by Co-Adding YCl3 and Li3N. Phys. Chem. Chem. Phys. 2017, 19, 32105–32115. [Google Scholar] [CrossRef] [PubMed]
- Gosalawit-Utke, R.; Milanese, C.; Javadian, P.; Jepsen, J.; Laipple, D.; Karmi, F.; Puszkiel, J.; Jensen, T.R.; Marini, A.; Klassen, T.; et al. Nanoconfined 2LiBH4-MgH2-TiCl3 in Carbon Aerogel Scaffold for Reversible Hydrogen Storage. Int. J. Hydrogen Energy 2013, 38, 3275–3282. [Google Scholar] [CrossRef]
- Xia, G.; Meng, Q.; Guo, Z.; Gu, Q.; Liu, H.; Liu, Z.; Yu, X. Nanoconfinement Significantly Improves the Thermodynamics and Kinetics of Co-Infiltrated 2LiBH4-LiAlH4 Composites: Stable Reversibility of Hydrogen Absorption/Resorption. Acta Mater. 2013, 61, 6882–6893. [Google Scholar] [CrossRef]
- Ding, Z.; Li, H.; Shaw, L. New Insights into the Solid-State Hydrogen Storage of Nanostructured LiBH4-MgH2 System. Chem. Eng. J. 2020, 385, 123856. [Google Scholar] [CrossRef]
- Dematteis, E.M.; Santoru, A.; Poletti, M.G.; Pistidda, C.; Klassen, T.; Dornheim, M.; Baricco, M. Phase Stability and Hydrogen Desorption in a Quinary Equimolar Mixture of Light-Metals Borohydrides. Int. J. Hydrogen Energy 2018, 43, 16793–16803. [Google Scholar] [CrossRef]
- Javadian, P.; Gharibdoust, S.H.P.; Li, H.W.; Sheppard, D.A.; Buckley, C.E.; Jensen, T.R. Reversibility of LiBH4 Facilitated by the LiBH4-Ca(BH4)2 Eutectic. J. Phys. Chem. C 2017, 121, 18439–18449. [Google Scholar] [CrossRef]
- Mustafa, N.S.; Ismail, M. Significant Effect of TiF3 on the Performance of 2NaAlH4 + Ca(BH4)2 Hydrogen Storage Properties. Int. J. Hydrogen Energy 2019, 44, 21979–21987. [Google Scholar] [CrossRef]
- Xian, K.; Gao, M.; Li, Z.; Gu, J.; Shen, Y.; Wang, S.; Yao, Z.; Liu, Y.; Pan, H. Superior Kinetic and Cyclic Performance of a 2D Titanium Carbide Incorporated 2LiH + MgB2 Composite toward Highly Reversible Hydrogen Storage. ACS Appl. Energy Mater. 2019, 2, 4853–4864. [Google Scholar] [CrossRef]
- Plerdsranoy, P.; Utke, R. Ternary LiBH4-MgH2-NaAlH4 Hydride Confined into Nanoporous Carbon Host for Reversible Hydrogen Storage. J. Phys. Chem. Solids 2016, 90, 80–86. [Google Scholar] [CrossRef]
- Li, G.; Matsuo, M.; Takagi, S.; Chaudhary, A.-L.; Sato, T.; Dornheim, M.; Orimo, S.-i. Thermodynamic Properties and Reversible Hydrogenation of LiBH4–Mg2FeH6 Composite Materials. Inorganics 2017, 5, 81. [Google Scholar] [CrossRef]
- Ren, Z.; Zhang, X.; Li, H.-W.; Huang, Z.; Hu, J.; Gao, M.; Pan, H.; Liu, Y. Titanium Hydride Nanoplates Enable 5 Wt% of Reversible Hydrogen Storage by Sodium Alanate below 80 °C. Research 2021, 2021, 9819176. [Google Scholar] [CrossRef]
- Tan, Y.; Chen, X.; Xia, G.; Yu, X. Efficient Chemical Regeneration of LiBH4·NH3 Spent Fuel for Hydrogen Storage. Int. J. Hydrogen Energy 2015, 40, 146–150. [Google Scholar] [CrossRef]
- Li, S.; Sun, W.; Tang, Z.; Guo, Y.; Yu, X. Nanoconfinement of LiBH4·NH3 towards Enhanced Hydrogen Generation. Int. J. Hydrogen Energy 2012, 37, 3328–3337. [Google Scholar] [CrossRef]
- Liu, X.; Wu, Y.; Wang, S.; Li, Z.; Guo, X.; Ye, J.; Jiang, L. Current Progress and Research Trends on Lithium Amidoborane for Hydrogen Storage. J. Mater. Sci. 2020, 55, 2645–2660. [Google Scholar] [CrossRef]
- Liu, X.; Peaslee, D.; Majzoub, E.H. Tailoring the Hydrogen Storage Properties of Li4BN3H10 by Confinement into Highly Ordered Nanoporous Carbon. J. Mater. Chem. A Mater. 2013, 1, 3926–3931. [Google Scholar] [CrossRef]
- Salman, M.S.; Rawal, A.; Aguey-Zinsou, K.-F. Tunable NaBH4 Nanostructures Revealing Structure-Dependent Hydrogen Release. Adv. Energy Sustain. Res. 2021, 2, 2100063. [Google Scholar] [CrossRef]
- Wang, T.; Aguey-Zinsou, K.-F. Controlling the growth of NaBH4 nanoparticles for hydrogen storage. Int. J. Hydrogen Energy 2020, 45, 2054–2067. [Google Scholar] [CrossRef]
- Dematteis, E.M.; Vaunois, S.; Pistidda, C.; Dornheim, M.; Baricco, M. Reactive Hydride Composite of Mg2NiH4 with Borohydrides Eutectic Mixtures. Crystals 2018, 8, 90. [Google Scholar] [CrossRef]
- Wang, T.; Aguey-Zinsou, K.-F. Direct Synthesis of NaBH4 Nanoparticles from NaOCH3 for Hydrogen Storage. Energies 2019, 12, 4428. [Google Scholar] [CrossRef]
- Huang, T.; Zou, J.; Liu, H.; Ding, W. Effect of Different Transition Metal Fluorides TMFx (TM = Nb, Co, Ti) on Hydrogen Storage Properties of the 3NaBH4-GdF3 System. J. Alloys Compd. 2020, 823, 153716. [Google Scholar] [CrossRef]
- Huang, T.; Zou, J.; Zeng, X.; Wang, J.; Liu, H.; Ding, W. Reversible Hydrogen Sorption Behaviors of the 3NaBH4-(x)YF3-(1-x)GdF3 System: The Effect of Double Rare Earth Metal Cations. Int. J. Hydrogen Energy 2019, 44, 4868–4877. [Google Scholar] [CrossRef]
- Huang, T.; Zou, J.; Zhao, N.; Zeng, X.; Ding, W. Reversible Hydrogen Storage System of 3NaBH4-0.5ScF3-0.5YF3: The Synergistic Effect of ScF3 and YF3. J. Alloys Compd. 2019, 791, 1270–1276. [Google Scholar] [CrossRef]
- Orłowski, P.A.; Grochala, W. Effect of Vanadium Catalysts on Hydrogen Evolution from NaBH4. Solids 2022, 3, 21. [Google Scholar] [CrossRef]
- Ali, N.A.; Yahya, M.S.; Mustafa, N.S.; Sazelee, N.A.; Idris, N.H.; Ismail, M. Modifying the Hydrogen Storage Performances of NaBH4 by Catalyzing with MgFe2O4 Synthesized via Hydrothermal Method. Int. J. Hydrogen Energy 2019, 44, 6720–6727. [Google Scholar] [CrossRef]
- Miyazaki, R.; Onishi, K.; Miyagawa, R.; Hihara, T. Static Observation of the Interphase between NaBH4 and LiI during the Conversion Reaction. J. Solid State Chem. 2021, 303, 122496. [Google Scholar] [CrossRef]
- Boran, A.; Erkan, S.; Eroglu, I. Hydrogen Generation from Solid State NaBH4 by Using FeCl3 Catalyst for Portable Proton Exchange Membrane Fuel Cell Applications. Int. J. Hydrogen Energy 2019, 44, 18915–18926. [Google Scholar] [CrossRef]
- Li, L.; Xu, C.; Chen, C.; Wang, Y.; Jiao, L.; Yuan, H. Sodium Alanate System for Efficient Hydrogen Storage. Int. J. Hydrogen Energy 2013, 38, 8798–8812. [Google Scholar] [CrossRef]
- Rossin, A.; Tuci, G.; Luconi, L.; Giambastiani, G. Metal–Organic Frameworks as Heterogeneous Catalysts in Hydrogen Production from Lightweight Inorganic Hydrides. ACS Catal. 2017, 7, 5035–5045. [Google Scholar] [CrossRef]
- NaraseGowda, S.; Brown, C.M.; Tyagi, M.; Jenkins, T.; Dobbins, T.A. Quasi-Elastic Neutron Scattering Studies of Hydrogen Dynamics for Nanoconfined NaAlH4. J. Phys. Chem. C 2016, 120, 14863–14873. [Google Scholar] [CrossRef]
- Luo, X.; Rawal, A.; Aguey-Zinsou, K.-F. Investigating the Factors Affecting the Ionic Conduction in Nanoconfined NaBH4. Inorganics 2021, 9, 2. [Google Scholar] [CrossRef]
- Huen, P.; Peru, F.; Charalambopoulou, G.; Steriotis, T.A.; Jensen, T.R.; Ravnsbæk, D.B. Nanoconfined NaAlH4 Conversion Electrodes for Li Batteries. ACS Omega 2017, 2, 1956–1967. [Google Scholar] [CrossRef] [PubMed]
- Lohstroh, W.; Roth, A.; Hahn, H.; Fichtner, M. Thermodynamic Effects in Nanoscale NaAlH4. ChemPhysChem 2010, 11, 789–792. [Google Scholar] [CrossRef]
- Bonatto Minella, C.; Lindemann, I.; Nolis, P.; Kießling, A.; Baró, M.D.; Klose, M.; Giebeler, L.; Rellinghaus, B.; Eckert, J.; Schultz, L.; et al. NaAlH4 Confined in Ordered Mesoporous Carbon. Int. J. Hydrogen Energy 2013, 38, 8829–8837. [Google Scholar] [CrossRef]
- Verkuijlen, M.H.W.; Gao, J.; Adelhelm, P.; van Bentum, P.J.M.; de Jongh, P.E.; Kentgens, A.P.M. Solid-State NMR Studies of the Local Structure of NaAlH4/C Nanocomposites at Different Stages of Hydrogen Desorption and Rehydrogenation. J. Phys. Chem. C 2010, 114, 4683–4692. [Google Scholar] [CrossRef]
- Javadian, P.; Nielsen, T.K.; Ravnsbæk, D.B.; Jepsen, L.H.; Polanski, M.; Plocinski, T.; Kunce, I.; Besenbacher, F.; Bystrzycki, J.; Jensen, T.R. Scandium Functionalized Carbon Aerogel: Synthesis of Nanoparticles and Structure of a New ScOCl and Properties of NaAlH4 as a Function of Pore Size. J. Solid State Chem. 2015, 231, 190–197. [Google Scholar] [CrossRef]
- Stavila, V.; Bhakta, R.K.; Alam, T.M.; Majzoub, E.H.; Allendorf, M.D. Reversible Hydrogen Storage by NaAlH4 Confined within a Titanium-Functionalized MOF-74(Mg) Nanoreactor. ACS Nano 2012, 6, 9807–9817. [Google Scholar] [CrossRef]
- Li, Z.; Yu, J.Z.; Zhang, Y.; Liu, D.M.; Wang, C.Y.; Si, T.Z.; Li, Y.T.; Zhang, Q.A. Coupling of nanoconfinement with metallic catalysis in supported NaAlH4 for low-temperature hydrogen storage. J. Power Sources 2021, 491, 229611. [Google Scholar] [CrossRef]
- EHuang, Y.; Shao, H.; Zhang, Q.; Zang, L.; Guo, H.; Liu, Y.; Jiao, L.; Yuan, H.; Wang, Y. Layer-by-layer uniformly confined Graphene-NaAlH4 composites and hydrogen storage performance. Int. J. Hydrogen Energy 2020, 45, 28116–28122. [Google Scholar] [CrossRef]
- Paskevicius, M.; Filsø, U.; Karimi, F.; Puszkiel, J.; Pranzas, P.K.; Pistidda, C.; Hoell, A.; Welter, E.; Schreyer, A.; Klassen, T.; et al. Cyclic stability and structure of nanoconfined Ti-doped NaAlH4. Int. J. Hydrogen Energy 2016, 41, 4159–4167. [Google Scholar] [CrossRef]
- Beatrice, C.A.G.; Moreira, B.R.; de Oliveira, A.D.; Passador, F.R.; de Almeida Neto, G.R.; Leiva, D.R.; Pessan, L.A. Development of polymer nanocomposites with sodium alanate for hydrogen storage. Int. J. Hydrogen Energy 2020, 45, 5337–5346. [Google Scholar] [CrossRef]
- Carr, C.L.; Jayawardana, W.; Zou, H.; White, J.L.; Gabaly, F.E.; Conradi, M.S.; Stavila, V.; Allendorf, M.D.; Majzoub, E.H. Anomalous H2 Desorption Rate of NaAlH4 Confined in Nitrogen-Doped Nanoporous Carbon Frameworks. Chem. Mater. 2018, 30, 2930–2938. [Google Scholar] [CrossRef]
- Do, H.W.; Kim, H.; Cho, E.S. Enhanced hydrogen storage kinetics and air stability of nanoconfined NaAlH4 in graphene oxide framework. RSC Adv. 2021, 11, 32533. [Google Scholar] [CrossRef]
- Ianni, E.; Sofianos, M.V.; Rowles, M.R.; Sheppard, D.A.; Humphries, T.D.; Buckley, C.E. Synthesis of NaAlH4/Al composites and their applications in hydrogen storage. Int. J. Hydrogen Energy 2018, 43, 17309–17317. [Google Scholar] [CrossRef]
- Sun, Y.; Aguey-Zinsou, K.-F. Light-activated hydrogen storage in Mg, LiH and NaAlH4. ChemPlusChem 2018, 83, 904–908. [Google Scholar] [CrossRef]
- Chen, W.; You, L.; Xia, G.; Yu, X. A balance between catalysis and nanoconfinement towards enhanced hydrogen storage performance of NaAlH4. J. Mater. Sci. Technol. 2021, 79, 205–211. [Google Scholar] [CrossRef]
- Meenakshi; Agnihotri, D.; Sharma, H. Carbon nanotubes for improving dehydrogenation from NaAlH4. Comput. Chem. 2016, 1097, 61–69. [Google Scholar] [CrossRef]
- Gao, Q.; Xia, G.; Yu, X. Confined NaAlH4 Nanoparticles inside CeO2 Hollow Nanotubes towards Enhanced Hydrogen Storage. Nanoscale 2017, 9, 14612–14619. [Google Scholar] [CrossRef]
- Li, Y.; Zhou, G.; Fang, F.; Yu, X.; Zhang, Q.; Ouyang, L.; Zhu, M.; Sun, D. De-/Re-Hydrogenation Features of NaAlH4 Confined Exclusively in Nanopores. Acta Mater. 2011, 59, 1829–1838. [Google Scholar] [CrossRef]
- Yuan, Z.; Zhang, D.; Fan, G.; Chen, Y.; Fan, Y.; Liu, B. Synergistic Effect of CeF3 Nanoparticles Supported on Ti3C2MXene for Catalyzing Hydrogen Storage of NaAlH4. ACS Appl. Energy Mater. 2021, 4, 2820–2827. [Google Scholar] [CrossRef]
- Yuan, Z.; Fan, Y.; Chen, Y.; Liu, X.; Liu, B.; Han, S. Two-Dimensional C@TiO2/Ti3C2 Composite with Superior Catalytic Performance for NaAlH4. Int. J. Hydrogen Energy 2020, 45, 21666–21675. [Google Scholar] [CrossRef]
- Nielsen, T.K.; Javadian, P.; Polanski, M.; Besenbacher, F.; Bystrzycki, J.; Jensen, T.R. Nanoconfined NaAlH4: Determination of Distinct Prolific Effects from Pore Size, Crystallite Size, and Surface Interactions. J. Phys. Chem. C 2012, 116, 21046–21051. [Google Scholar] [CrossRef]
- Nielsen, T.K.; Polanski, M.; Zasada, D.; Javadian, P.; Besenbacher, F.; Bystrzycki, J.; Skibsted, J.; Jensen, T.R. Improved Hydrogen Storage Kinetics of Nanoconfined NaAlH4 Catalyzed with TiCl3 Nanoparticles. ACS Nano 2011, 5, 4056–4064. [Google Scholar] [CrossRef]
- Plerdsranoy, P.; Wiset, N.; Milanese, C.; Laipple, D.; Marini, A.; Klassen, T.; Dornheim, M.; Gosalawit-Utke, R. Improvement of Thermal Stability and Reduction of LiBH4/Polymer Host Interaction of Nanoconfined LiBH4 for Reversible Hydrogen Storage. Int. J. Hydrogen Energy 2015, 40, 392–402. [Google Scholar] [CrossRef]
- Llamas Jansa, I.; Kalantzopoulos, G.N.; Nordholm, K.; Hauback, B.C. Destabilization of NaBH4 by Transition Metal Fluorides. Molecules 2020, 25, 780. [Google Scholar] [CrossRef]
- Lombardo, L.; Yang, H.; Züttel, A. Destabilizing Sodium Borohydride with an Ionic Liquid. Mater. Today Energy 2018, 9, 391–396. [Google Scholar] [CrossRef]
- Gao, J.; Ngene, P.; Lindemann, I.; Gutfleisch, O.; de Jong, K.P.; de Jongh, P.E. Enhanced Reversibility of H2 Sorption in Nanoconfined Complex Metal Hydrides by Alkali Metal Addition. J. Mater. Chem. 2012, 22, 13209–13215. [Google Scholar] [CrossRef]
- Huang, Y.; Li, P.; Wan, Q.; Zhang, J.; Li, Y.; Li, R.; Dong, X.; Qu, X. Improved Dehydrogenation Performance of NaAlH4 Using NiFe2O4 Nanoparticles. J. Alloys Compd. 2017, 709, 850–856. [Google Scholar] [CrossRef]
- Sofianos, M.V.; Chaudhary, A.L.; Paskevicius, M.; Sheppard, D.A.; Humphries, T.D.; Dornheim, M.; Buckley, C.E. Hydrogen Storage Properties of Eutectic Metal Borohydrides Melt-Infiltrated into Porous Al Scaffolds. J. Alloys Compd. 2019, 775, 474–480. [Google Scholar] [CrossRef]
- Sun, Y.; Shen, C.; Lai, Q.; Liu, W.; Wang, D.-W.; Aguey-Zinsou, K.-F. Tailoring magnesium based materials for hydrogen storage through synthesis: Current state of the art. Energy Storage Mater. 2018, 10, 168–198. [Google Scholar] [CrossRef]
- Zhang, J.; Zhu, Y.; Yao, L.; Xu, C.; Liu, Y.; Li, L. State of the art multi-strategy improvement of Mg-based hydrides for hydrogen storage. J. Alloys Compd. 2019, 782, 796–823. [Google Scholar] [CrossRef]
- Baran, A.; Polański, M. Magnesium-Based Materials for Hydrogen Storage—A Scope Review. Materials 2020, 13, 3993. [Google Scholar] [CrossRef]
- Révész, Á.; Gajdics, M. Improved H-Storage Performance of Novel Mg-Based Nanocomposites Prepared by High-Energy Ball Milling: A Review. Energies 2021, 14, 6400. [Google Scholar] [CrossRef]
- Lv, Y.; Wu, Y. Current Research Progress in Magnesium Borohydride for Hydrogen Storage (A Review). Prog. Nat. Sci. Mater. Int. 2021, 31, 809–820. [Google Scholar] [CrossRef]
- Sazelee, N.; Ali, N.A.; Yahya, M.S.; Mustafa, N.S.; Halim Yap, F.A.; Mohamed, S.B.; Ghazali, M.Z.; Suwarno, S.; Ismail, M. Recent Advances on Mg–Li–Al Systems for Solid-State Hydrogen Storage: A Review. Front. Energy Res. 2022, 10, 875405. [Google Scholar] [CrossRef]
- White, J.L.; Strange, N.A.; Sugar, J.D.; Snider, J.L.; Schneemann, A.; Lipton, A.S.; Toney, M.F.; Allendorf, M.D.; Stavila, V. Melting of Magnesium Borohydride under High Hydrogen Pressure: Thermodynamic Stability and Effects of Nanoconfinement. Chem. Mater. 2020, 32, 5604–5615. [Google Scholar] [CrossRef]
- Capurso, G.; Agresti, F.; Crociani, L.; Rossetto, G.; Schiavo, B.; Maddalena, A.; lo Russo, S.; Principi, G. Nanoconfined Mixed Li and Mg Borohydrides as Materials for Solid State Hydrogen Storage. Int. J. Hydrogen Energy 2012, 37, 10768–10773. [Google Scholar] [CrossRef]
- Clémençon, D.; Davoisne, C.; Chotard, J.N.; Janot, R. Enhancement of the Hydrogen Release of Mg(BH4)2 by Concomitant Effects of Nano-Confinement and Catalysis. Int. J. Hydrogen Energy 2019, 44, 4253–4262. [Google Scholar] [CrossRef]
- Zhang, H.; Xia, G.; Zhang, J.; Sun, D.; Guo, Z.; Yu, X. Graphene-Tailored Thermodynamics and Kinetics to Fabricate Metal Borohydride Nanoparticles with High Purity and Enhanced Reversibility. Adv. Energy Mater. 2018, 8, 1702975. [Google Scholar] [CrossRef]
- Jeong, S.; Heo, T.W.; Oktawiec, J.; Shi, R.; Kang, S.Y.; White, J.L.; Schneemann, A.; Zaia, E.W.; Wan, L.F.; Ray, K.G.; et al. A Mechanistic Analysis of Phase Evolution and Hydrogen Storage Behavior in Nanocrystalline Mg(BH4)2 within Reduced Graphene Oxide. ACS Nano 2020, 14, 1745–1756. [Google Scholar] [CrossRef] [PubMed]
- Bell, R.T.; Strange, N.A.; Leick, N.; Stavila, V.; Bowden, M.E.; Autrey, T.S.; Gennett, T. Mg(BH4)2-Based Hybrid Metal-Organic Borohydride System Exhibiting Enhanced Chemical Stability in Melt. ACS Appl. Energy Mater. 2021, 4, 1704–1713. [Google Scholar] [CrossRef]
- Dun, C.; Jeong, S.; Liu, Y.-S.; Leick, N.; Mattox, T.M.; Guo, J.; Lee, J.-W.; Gennett, T.; Stavila, V.; Urban, J.J. Additive Destabilization of Porous Magnesium Borohydride Framework with Core-Shell Structure. Small 2021, 17, 2101989. [Google Scholar] [CrossRef]
- Ahmad, M.A.N.; Sazelee, N.; Ali, N.A.; Ismail, M. An Overview of the Recent Advances of Additive-Improved Mg(BH4)2 for Solid-State Hydrogen Storage Material. Energies 2022, 15, 862. [Google Scholar] [CrossRef]
- Feng, X.; Yuan, J.; Lv, Y.; Liu, B.; Huang, H.; Zhang, B.; Yan, Y.; Han, S.; Wu, Y. Improvement of Desorption Performance of Mg(BH4)2 by Two-Dimensional Ti3C2 MXene Addition. Int. J. Hydrogen Energy 2020, 45, 16654–16662. [Google Scholar] [CrossRef]
- Liu, Y.-S.; Ray, K.G.; Jørgensen, M.; Mattox, T.M.; Cowgill, D.F.; Eshelman, H.V.; Sawvel, A.M.; Snider, J.L.; York, W.; Wijeratne, P.; et al. Nanoscale Mg–B via Surfactant Ball Milling of MgB2: Morphology, Composition, and Improved Hydrogen Storage Properties. J. Phys. Chem. C 2020, 124, 21761–21771. [Google Scholar] [CrossRef]
- Aditya, M.V.V.S.; Panda, S.; Tatiparti, S.S.V. Boron from net charge acceptor to donor and its effect on hydrogen uptake by novel Mg-B-electrochemically synthesized reduced graphene oxide. Sci. Rep. 2021, 11, 10995. [Google Scholar] [CrossRef]
- Wahab, M.A.; Young, D.J.; Karim, A.; Fawzia, S.; Beltramini, J.N. Low-temperature hydrogen desorption from Mg(BH4)2 catalysed by ultrafine Ni nanoparticles in a mesoporous carbon matrix. Int. J. Hydrogen Energy 2016, 41, 20573–20582. [Google Scholar] [CrossRef]
- Wahab, M.A.; Jia, Y.; Yang, D.; Zhao, H.; Yao, X. Enhanced Hydrogen Desorption from Mg(BH4)2 by Combining Nanoconfinement and a Ni Catalyst. J. Mater. Chem. A Mater. 2013, 1, 3471–3478. [Google Scholar] [CrossRef]
- Schneemann, A.; Wan, L.F.; Lipton, A.S.; Liu, Y.-S.; Snider, J.L.; Baker, A.A.; Sugar, J.D.; Spataru, C.D.; Guo, J.; Autrey, T.S.; et al. Nanoconfinement of Molecular Magnesium Borohydride Captured in a Bipyridine-Functionalized Metal-Organic Framework. ACS Nano 2020, 14, 10294–10304. [Google Scholar] [CrossRef] [PubMed]
- Gigante, A.; Leick, N.; Lipton, A.S.; Tran, B.; Strange, N.A.; Bowden, M.; Martinez, M.B.; Moury, R.; Gennett, T.; Hagemann, H.; et al. Thermal Conversion of Unsolvated Mg(B3H8)2 to BH4−in the Presence of MgH2. ACS Appl. Energy Mater. 2021, 4, 3737–3747. [Google Scholar] [CrossRef]
- Yang, Y.; Liu, Y.; Li, Y.; Zhang, X.; Gao, M.; Pan, H. Towards the Endothermic Dehydrogenation of Nanoconfined Magnesium Borohydride Ammoniate. J. Mater. Chem. A Mater. 2015, 3, 11057–11065. [Google Scholar] [CrossRef]
- Xiao, X.; Qin, T.; Jiang, Y.; Jiang, F.; Li, M.; Fan, X.; Li, S.; Ge, H.; Wang, Q.; Chen, L. Significantly Enhanced Hydrogen Desorption Properties of Mg(AlH4)2 Nanoparticles Synthesized Using Solvent Free Strategy. Prog. Nat. Sci. Mater. Int. 2017, 27, 112–120. [Google Scholar] [CrossRef]
- Møller, K.T.; Jørgensen, M.; Andreasen, J.G.; Skibsted, J.; Łodziana, Z.; Filinchuk, Y.; Jensen, T.R. Synthesis and Thermal Decomposition of Potassium Tetraamidoboranealuminate, K[Al(NH2BH3)4]. Int. J. Hydrogen Energy 2018, 43, 311–321. [Google Scholar] [CrossRef]
- Albanese, E.; Corno, M.; Baricco, M.; Civalleri, B. Simulation of nanosizing effects in the decomposition of Ca(BH4)2 through atomistic thin film models. Res. Chem. Intermed. 2021, 47, 345–356. [Google Scholar] [CrossRef]
- Comanescu, C.; Capurso, G.; Maddalena, A. Nanoconfinement in activated mesoporous carbon of calcium borohydride for improved reversible hydrogen storage. Nanotechnology 2012, 23, 385401. [Google Scholar] [CrossRef]
- Ampoumogli, A.; Steriotis, T.; Trikalitis, P.; Bardaji, E.G.; Fichtner, M.; Stubos, A.; Charalambopoulou, G. Synthesis and Characterisation of a Mesoporous Carbon/Calcium Borohydride Nanocomposite for Hydrogen Storage. Int. J. Hydrogen Energy 2012, 37, 16631–16635. [Google Scholar] [CrossRef]
- Pal, P.; Ting, J.-M.; Agarwal, S.; Ichikawa, T.; Jain, A. The Catalytic Role of D-block Elements and Their Compounds for Improving Sorption Kinetics of Hydride Materials: A Review. Reactions 2021, 2, 22. [Google Scholar] [CrossRef]
- Tang, Z.; Tan, Y.; Chen, X.; Ouyang, L.; Zhu, M.; Sun, D.; Yu, X. Immobilization of Aluminum Borohydride Hexammoniate in a Nanoporous Polymer Stabilizer for Enhanced Chemical Hydrogen Storage. Angew. Chem. Int. Ed. 2013, 52, 12659–12663. [Google Scholar] [CrossRef]
- Guo, Y.; Wang, M.; Xia, G.; Ma, X.; Fang, F.; Deng, Y. Advanced H2-storage system fabricated through chemical layer deposition in a well-designed porous carbon scaffold. J. Mater. Chem. A 2014, 2, 15168–15174. [Google Scholar] [CrossRef]
- Wu, D.F.; Ouyang, L.Z.; Huang, J.M.; Liu, J.W.; Wang, H.; Shao, H.; Zhu, M. Synthesis and Hydrogen Storage Property Tuning of Zr(BH4)4·8NH3 via Physical Vapour Deposition and Composite Formation. Int. J. Hydrogen Energy 2018, 43, 19182–19188. [Google Scholar] [CrossRef]
- Contreras, L.; Mayacela, M.; Bustillos, A.; Rentería, L.; Book, D. Hydrogen Sorption and Rehydrogenation Properties of NaMgH3. Metals 2022, 12, 205. [Google Scholar] [CrossRef]
- Xia, G.; Li, L.; Guo, Z.; Gu, Q.; Guo, Y.; Yu, X.; Liu, H.; Liu, Z. Stabilization of NaZn(BH4)3 via Nanoconfinement in SBA-15 towards Enhanced Hydrogen Release. J. Mater. Chem. A Mater. 2013, 1, 250–257. [Google Scholar] [CrossRef]
- Al, S. Investigations of Physical Properties of XTiH3 and Implications for Solid State Hydrogen Storage. Z. Fur Nat. Sect. A J. Phys. Sci. 2019, 74, 1023–1030. [Google Scholar] [CrossRef]
- Zhang, J.; Zhu, Y.; Lin, H.; Liu, Y.; Zhang, Y.; Li, S.; Ma, Z.; Li, L. Metal Hydride Nanoparticles with Ultrahigh Structural Stability and Hydrogen Storage Activity Derived from Microencapsulated Nanoconfinement. Adv. Mater. 2017, 29, 1700760. [Google Scholar] [CrossRef]
- Ma, Z.; Zhang, Q.; Panda, S.; Zhu, W.; Sun, F.; Khan, D.; Dong, J.; Ding, W.; Zou, J. In-Situ Catalyzed and Nanoconfined Magnesium Hydride Nanocrystals in a Ni-MOF Scaffold for Hydrogen Storage. Sustain Energy Fuels 2020, 4, 4694–4703. [Google Scholar] [CrossRef]
- Callini, E.; Szilagyi, P.A.; Paskevicius, M.; Stadie, N.P.; Rehault, J.; Buckley, C.E.; Borgschulte, A.; Zuttel, A. Stabilization of volatile Ti(BH4)3 by nanoconfinement in a metal–organic framework. Chem. Sci. 2016, 7, 666–672. [Google Scholar] [CrossRef]
- Frommen, C.; Sørby, M.H.; Heere, M.; Humphries, T.D.; Olsen, J.E.; Hauback, B.C. Rare Earth Borohydrides—Crystal Structures and Thermal Properties. Energies 2017, 10, 2115. [Google Scholar] [CrossRef]
- Valero-Pedraza, M.J.; Gascón, V.; Carreón, M.A.; Leardini, F.; Ares, J.R.; Martín, Á.; Sánchez-Sánchez, M.; Bañares, M.A. Operando Raman-mass spectrometry investigation of hydrogen release by thermolysis of ammonia borane confined in mesoporous materials. Microporous Mesoporous Mater. 2016, 226, 454–465. [Google Scholar] [CrossRef]
- Petit, J.-F.; Demirci, U.B. Discrepancy in the thermal decomposition/dehydrogenation of ammonia borane screened by thermogravimetric analysis. Int. J. Hydrogen Energy 2019, 44, 14201–14206. [Google Scholar] [CrossRef]
- Turani-Belloto, K.; Castilla-Martinez, C.A.; Cot, D.; Petit, E.; Benarib, S.; Demirci, U.B. Nanosized ammonia borane for solid-state hydrogen storage: Outcomes, limitations, challenges and opportunities. Int. J. Hydrogen Energy 2021, 46, 7351–7370. [Google Scholar] [CrossRef]
- Demirci, U.B. Ammonia borane, a material with exceptional properties for chemical hydrogen storage. Int. J. Hydrogen Energy 2017, 42, 9978–10013. [Google Scholar] [CrossRef]
- Demirci, U.B. Mechanistic insights into the thermal decomposition of ammonia borane, a material studied for chemical hydrogen storage. Inorg. Chem. Front. 2021, 8, 1900–1930. [Google Scholar] [CrossRef]
- Demirci, U.B. Ammonia Borane: An Extensively Studied, Though Not Yet Implemented, Hydrogen Carrier. Energies 2020, 13, 3071. [Google Scholar] [CrossRef]
- Diaz, L.B.; Hanlon, J.M.; Bielewski, M.; Milewska, A.; Gregory, D.H. Ammonia Borane Based Nanocomposites as Solid-State Hydrogen Stores for Portable Power Applications. Energy Technol. 2018, 6, 583–594. [Google Scholar] [CrossRef]
- Valero-Pedraza, M.-J.; Cot, D.; Petit, E.; Aguey-Zinsou, K.-F.; Alauzun, J.G.; Demirci, U.B. Ammonia Borane Nanospheres for Hydrogen Storage. ACS Appl. Nano Mater. 2019, 2, 1129–1138. [Google Scholar] [CrossRef]
- Biswas, P.; Ghildiyal, P.; Kwon, H.; Wang, H.; Alibay, Z.; Xu, F.; Wang, Y.; Wong, B.M.; Zachariah, M.R. Rerouting Pathways of Solid-State Ammonia Borane Energy Release. J. Phys. Chem. C 2022, 126, 48–57. [Google Scholar] [CrossRef]
- Mishra, S.; Kang, P.-C.; Guo, R.-F.; Wang, C.-Y.; Nebhani, L. Combined Effect of Functionality and Pore Size on Dehydrogenation of Ammonia Borane via Its Nanoconfinement in Polyacrylamide-Grafted Organically Modified Mesoporous Silica. ACS Appl. Energy Mater. 2021, 4, 6585–6598. [Google Scholar] [CrossRef]
- Rueda, M.; Sanz-Moral, L.M.; Segovia, J.J.; Martín, Á. Improvement of the kinetics of hydrogen release from ammonia borane confined in silica aerogel. Microporous Mesoporous Mater. 2017, 237, 189–200. [Google Scholar] [CrossRef]
- Fang, M.H.; Wu, S.Y.; Chang, Y.H.; Narwane, M.; Chen, B.H.; Liu, W.L.; Kurniawan, D.; Chiang, W.H.; Lin, C.H.; Chuang, Y.C.; et al. Mechanistic Insight into the Synergetic Interaction of Ammonia Borane and Water on ZIF-67-Derived Co@Porous Carbon for Controlled Generation of Dihydrogen. ACS Appl. Mater. Interfaces 2021, 13, 47465–47477. [Google Scholar] [CrossRef] [PubMed]
- Cao, Z.; Ouyang, L.; Felderhoff, M.; Zhu, M. Low temperature dehydrogenation properties of ammonia borane within carbon nanotube arrays: A synergistic effect of nanoconfinement and alane. RSC Adv. 2020, 10, 19027–19033. [Google Scholar] [CrossRef] [PubMed]
- So, S.H.; Jang, J.H.; Sung, S.J.; Yang, S.J.; Nam, K.T.; Park, C.R. Demonstration of the nanosize effect of carbon nanomaterials on the dehydrogenation temperature of ammonia borane. Nanoscale Adv. 2019, 1, 4697–4703. [Google Scholar] [CrossRef] [PubMed]
- Champet, S.; van den Berg, J.; Szczesny, R.; Godula-Jopek, A.; Gregory, D.H. Nano-inclusion in one step: Spontaneous icetemplating of porous hierarchical nanocomposites for selective hydrogen release. Sustain. Energy Fuels 2019, 3, 396–400. [Google Scholar] [CrossRef]
- Liu, H.; Chen, S.; Liu, M.; Cui, J.; Wang, Z.; Yu, P. Enhanced dehydrogenation performance of ammonia borane con-catalyzed by novel TiO2(B) nanoparticles and bio-derived carbon with well-organized pores. Int. J. Hydrogen Energy 2020, 45, 28070–28077. [Google Scholar] [CrossRef]
- Yang, Z.; Zhou, D.; Chen, B.; Liu, Z.; Xia, Q.; Zhu, Y.; Xia, Y. Improved hydrogen release from ammonia borane confined in microporous carbon with narrow pore size distribution. J. Mater. Chem. A 2017, 5, 15395–15400. [Google Scholar] [CrossRef]
- Chung, J.-Y.; Liao, C.-W.; Chang, Y.-W.; Chang, B.K.; Wang, H.; Li, J.; Wang, C.-Y. Influence of Metal-Organic Framework Porosity on Hydrogen Generation from Nanoconfined Ammonia Borane. J. Phys. Chem. C 2017, 121, 27369–27378. [Google Scholar] [CrossRef]
- Peil, S.; Wisser, D.; Stähle, M.; Roßmann, P.K.; Avadhut, Y.S.; Hartmann, M. Hydrogen Release from Ammonia Borane Nanoconfined in Metal-Organic Frameworks with MIL-53 Topology. J. Phys. Chem. C 2021, 125, 9990–10000. [Google Scholar] [CrossRef]
- Salameh, C.; Moussa, G.; Bruma, A.; Fantozzi, G.; Malo, S.; Miele, P.; Demirci, U.B.; Bernard, S. Robust 3D Boron Nitride Nanoscaffolds for Remarkable Hydrogen Storage Capacity from Ammonia Borane. Energy Technol. 2018, 6, 570–577. [Google Scholar] [CrossRef]
- Lai, Q.; Rawal, A.; Quadir, M.Z.; Cazorla, C.; Demirci, U.B.; Aguey-Zinsou, K.-F. Nanosizing Ammonia Borane with Nickel: A Path toward the Direct Hydrogen Release and Uptake of B-N-H Systems. Adv. Sustain. Syst. 2018, 2, 1700122. [Google Scholar] [CrossRef]
- Ploszajski, A.R.; Billing, M.; Cockcroft, J.K.; Skipper, N.T. Crystalline structure of an ammonia borane–polyethylene oxide cocrystal: A material investigated for its hydrogen storage potential. CrystEngComm 2018, 20, 4436–4440. [Google Scholar] [CrossRef]
- Feng, Y.F.; Zhou, X.; Yang, J.-h.; Gao, X.; Yin, L.; Zhao, Y.; Zhang, B. Encapsulation of Ammonia Borane in Pd/Halloysite Nanotubes for Efficient Thermal Dehydrogenation. ACS Sustain. Chem. Eng. 2020, 8, 2122–2129. [Google Scholar] [CrossRef]
- Tang, Z.; Li, S.; Yang, W.; Yu, X. Hypercrosslinked Porous Poly(Styrene-Co-Divinylbenzene) Resin: A Promising Nanostructure-Incubator for Hydrogen Storage. J. Mater. Chem. 2012, 22, 12752–12758. [Google Scholar] [CrossRef]
- Shen, M.; Yu, C.; Guan, H.; Dong, X.; Harris, C.; Xiao, Z.; Yin, Z.; Muzzio, M.; Lin, H.; Robinson, J.R.; et al. Nanoparticle-Catalyzed Green Chemistry Synthesis of Polybenzoxazole. J. Am. Chem. Soc. 2021, 143, 2115–2122. [Google Scholar] [CrossRef]
- Guan, H.; Shen, M.; Harris, C.; Lin, H.; Wei, K.; Morales, M.; Bronowich, N.; Sun, S. Cu2O nanoparticle-catalyzed tandem reactions for the synthesis of robust polybenzoxazole. Nanoscale 2022, 14, 6162–6170. [Google Scholar] [CrossRef]
- Nielsen, T.K.; Karkamkar, A.; Bowden, M.; Besenbacher, F.; Jensen, T.R.; Autrey, T. Methods to Stabilize and Destabilize Ammonium Borohydride. Dalton Trans. 2013, 42, 680–687. [Google Scholar] [CrossRef]
- Lombardo, L.; Ko, Y.; Zhao, K.; Yang, H.; Züttel, A. Direct CO2 Capture and Reduction to High-End Chemicals with Tetraalkylammonium Borohydrides. Angew. Chem. Int. Ed. 2021, 60, 9580–9589. [Google Scholar] [CrossRef]
- Li, X.; Yang, X.; Xue, H.; Pang, H.; Xu, Q. Metal–organic frameworks as a platform for clean energy applications. EnergyChem 2020, 2, 100027. [Google Scholar] [CrossRef]
- Zeleňák, V.; Saldan, I. Factors Affecting Hydrogen Adsorption in Metal–Organic Frameworks: A Short Review. Nanomaterials 2021, 11, 1638. [Google Scholar] [CrossRef]
- Chen, L.; Xu, Q. Metal-Organic Framework Composites for Catalysis. Matter 2019, 1, 57–89. [Google Scholar] [CrossRef]
- Liu, S.; Zhang, X.; Jiang, L. 1D Nanoconfined Ordered-Assembly Reaction. Adv. Mater. Interfaces 2019, 6, 1900104. [Google Scholar] [CrossRef]
- Wu, C.; Cheng, H.M. Effects of Carbon on Hydrogen Storage Performances of Hydrides. J. Mater. Chem 2010, 20, 5390–5400. [Google Scholar] [CrossRef]
- Zhou, Z.; Yu, F.; Ma, J. Nanoconfinement engineering for enhanced adsorption of carbon materials, metal–organic frameworks, mesoporous silica, MXenes and porous organic polymers: A review. Environ. Chem. Lett. 2022, 20, 563–595. [Google Scholar] [CrossRef]
- Kumar, P.; Singh, S.; Hashmi, S.A.R.; Kim, K.H. MXenes: Emerging 2D Materials for Hydrogen Storage. Nano Energy 2021, 85, 105989. [Google Scholar] [CrossRef]
- Juárez, J.M.; Venosta, L.F.; Anunziata, O.A.; Gómez Costa, M.B. H2 Storage Using Zr-CMK-3 Developed by a New Synthesis Method. Int. J. Energy Res. 2022, 46, 2893–2903. [Google Scholar] [CrossRef]
- Castilla-Martinez, C.A.; Moury, R.; Ould-Amara, S.; Demirci, U.B. Destabilization of Boron-Based Compounds for Hydrogen Storage in the Solid-State: Recent Advances. Energies 2021, 14, 7003. [Google Scholar] [CrossRef]
- Leick, N.; Strange, N.A.; Schneemann, A.; Stavila, V.; Gross, K.; Washton, N.; Settle, A.; Martinez, M.B.; Gennett, T.; Christensen, S.T. Al2O3 Atomic Layer Deposition on Nanostructured γ-Mg(BH4)2 for H2 Storage. ACS Appl. Energy Mater. 2021, 4, 1150–1162. [Google Scholar] [CrossRef]
- Wu, Y.; Gao, G.; Yang, H.; Bi, W.; Liang, X.; Zhang, Y.; Zhang, G.; Wu, G. Controlled synthesis of V2O5/MWCNT core/shell hybrid aerogels through a mixed growth and self-assembly methodology for supercapacitors with high capacitance and ultralong cycle life. J. Mater. Chem. A 2015, 3, 15692–15699. [Google Scholar] [CrossRef]
- Bi, W.; Gao, G.; Wu, Y.; Yang, H.; Wang, J.; Zhang, Y.; Liang, X.; Liu, Y.; Wu, G. Novel three-dimensional island-chain structured V2O5/graphene/MWCNT hybrid aerogels for supercapacitors with ultralong cycle life. RSC Adv. 2017, 7, 7179–7187. [Google Scholar] [CrossRef]
Disclaimer/Publisher’s Note: The statements, opinions and data contained in all publications are solely those of the individual author(s) and contributor(s) and not of MDPI and/or the editor(s). MDPI and/or the editor(s) disclaim responsibility for any injury to people or property resulting from any ideas, methods, instructions or products referred to in the content. |
© 2022 by the author. Licensee MDPI, Basel, Switzerland. This article is an open access article distributed under the terms and conditions of the Creative Commons Attribution (CC BY) license (https://creativecommons.org/licenses/by/4.0/).



















