Abstract
Human immunodeficiency virus (HIV) causes one of the most dangerous diseases—acquired immunodeficiency syndrome (AIDS). An estimated about 40 million people are currently living with HIV worldwide, most of whom are already on antiretroviral therapy. This makes the development of effective drugs to combat this virus very relevant. Currently, one of the dynamically developing areas of organic and medicinal chemistry is the synthesis and identification of new compounds capable of inhibiting HIV-1 integrase—one of the HIV enzymes. A significant number of studies on this topic are published annually. Many compounds inhibiting integrase incorporate pyridine core. Therefore, this review is an analysis of the literature on the methods for the synthesis of pyridine-containing HIV-1 integrase inhibitors since 2003 to the present.
1. Introduction
The human immunodeficiency virus (HIV) causes one of the most fatal diseases—acquired immunodeficiency syndrome (AIDS). The high growth rate in the number of HIV-infected people makes the development of effective drugs to combat this virus very relevant. An extremely important and promising task of modern virology and medicinal chemistry is also the creation of compounds that do not cause the emergence of resistant strains of HIV-1 and/or have inhibitory activity against them. Currently, the main approach to the treatment of HIV infection is antiretroviral therapy (ARVT), which consists of the continuous intake of several antiviral drugs. ARVT can significantly improve the quality and increase the life expectancy of the patient. About 35 drugs are used to treat HIV infection—inhibitors of one of the three HIV enzymes (reverse transcriptase, protease, and integrase). One of the limitations of the use of ARVT is the formation of resistant forms of the virus during therapy, and, therefore, the field of chemistry associated with the synthesis of novel anti-HIV molecules continues to be in demand and relevant.
There are two major types of HIV (HIV-1 and HIV-2), which in turn consist of several groups and subtypes. HIV-1 is more virulent and transmissible than HIV-2, and most of the undertaken efforts have thus been targeted at developing inhibitors of HIV-1 enzymes. In particular, HIV-1 integrase strand transfer inhibitors (INIs) are being designed to block the action of integrase, an enzyme that inserts the viral genome into the DNA of the host cell—one of the most important steps in retroviral replication. To date five HIV-1 integrase inhibitors have been approved: Raltegravir (RAL, approved by the FDA in 2007), Elvitegravir (EVG, 2012), Dolutegravir (DTG, 2013), Bictegravir (BIC, 2018), and Cabotegravir (2021) (see Figure 1). It should be noted that four of them contain a pyridine moiety, thus emphasizing the importance of pyridine derivatives as INIs.
Figure 1.
FDA-approved HIV-1 integrase inhibitors.
The first INI—Raltegravir was approved for use as a new agent for AIDS therapy in 2007 [1], but it was noticed that in some cases, the virus develops resistance to this new drug within 3 months [2]. The design of novel HIV-1 INIs is based generally on the modification of structure of these five well-established drugs, i.e., the central heterocyclic fragment usually incorporate a pyridine, pyrimidine, or quinoline system. In addition, compounds of some other classes are also being studied, such as indoles, isoindoles, acyclic 2,4-diketoacids, etc. A number of review articles devoted to the current use of INIs as well as discussion of their structural diversity have been published recently [3,4,5,6,7,8,9,10]. At the same time, lack of attention in the review literature has been paid to the chemical synthesis of pyridine-containing INIs. Some information can be found in two publications [11,12]. This review is an analysis of the literature on methods for the synthesis of HIV-1 integrase inhibitors of pyridine and the fused pyridine series covering the period from 2003 to the present. For convenience, the considered compounds of different structures are grouped into separate subsections: monocyclic pyridines, benzoannulated pyridines (quinolines and isoquinolines), and pyridines fused with heterocycles.
2. Synthesis of Pyridine-Based HIV-1 Integrase Inhibitors
2.1. Monocyclic Pyridines
Most of the publications dealt with HIV-1 INIs over past 20 years are dedicated to development of more efficient syntheses of approved drugs and their structural analogs. Nevertheless, some monocyclic pyridine derivatives have been designed and tested as well. Thus, a new series of pyridoxine hydroxamic acids were synthesized and their antiviral properties were evaluated [13]. The authors studied a large set of pyridines with various spacers X-Y and aryl groups in position 5, Scheme 1. The structural diversity was achieved by common functional group interconversion reactions of 5-hydroxymethyl derivative 1, such as oxidation to aldehyde or carboxylic acid, conversion of the alcohol to mesylate, or halomethyl derivatives, etc. Cleavage of the acetone protection in 2 and conversion of an ester into hydroxamic acid gave target compounds 3. It was found that antiviral potency depends on the structure of spacer X-Y and substituents in the aryl group. The best results were observed in case of X − Y = NH-CH2; NH-C(O); O-CH2 and Ar = 4-F-C6H5; 3-Cl-4-F-C6H4; 3,4-Cl2-C6H4.
Scheme 1.
Synthesis of pyridoxine hydroxamic acids.
Nair et al. reported on the discovery of a novel anti-HIV active INI possessing low toxicity and inhibition EC50 value of 19-35 nM depending on the HIV subtype [14,15]. The multistep synthesis (Scheme 2) started with readily available pyridine and benzene derivatives and comprised lithiation of 5-bromo-2-methoxypyridine (4) followed by reaction with 2,6-difluorobenzaldehyde. Dehydroxylation and cleavage of methoxy protection in compound 5 afforded pyridine-2-one derivative 6 in 88% yield. Bromination and N-alkylation of a pyridine moiety gave an intermediate product 7 in 64% yield over two steps. The introduction of the acetyl group was achieved using Pd-catalyzed Stille cross-coupling with 1-ethoxyvinyl(tributyl)stannane followed by acidic work-up. Transformation of the acetyl group into diketoacid derivative 8 was performed in the usual manner via reaction with diethyl oxalate and successive acid-catalyzed hydrolysis. Finally, reaction of the acid 8 with 1-amino-2-pyrollidinone p-toluenesulfonate led to the target compound 9 with 68% yield.
Scheme 2.
Nair’s synthesis of novel HIV-1 INI 9.
A similar synthetic scheme was applied for the preparation of β-diketo acid derivatives with 2,4-difluorobenzyl substituent in position 5 [16] and many other diversely substituted 1,5-dibenzylpyridinones [17].
2-Hydroxy-3-pyridylacrylic acid derivatives as novel HIV integrase inhibitors were synthesized on the basis of substituted 2-methylpyridines [18]. Reactions of compounds 10 with diethyl oxalate afforded 2-hydroxy-3-pyridylacrylic esters 11, which were hydrolyzed under the action of LiOH to give the corresponding acids 12 in moderate to high yields (Scheme 3). It was demonstrated that the position of substituent R in the hydrophobic domain as well as the nature of R provided useful information for the design of novel INI types.
Scheme 3.
Synthesis of 2-hydroxy-3-pyridylacrylic acid derivatives.
Dual inhibitors of HIV reverse transcriptase and integrase were synthesized on the basis of pyridine-containing reverse transcriptase inhibitor Delavirdine [19]. The synthesis was accomplished starting with reactions of diversely substituted acetylindole-2-carboxylic acids 13 and 3-isopropylamino-2-(piperazyn-1-yl)-pyridine (14) in the presence of carbonyl diimidazole (CDI) to give corresponding amides 15 (Scheme 4). Further reactions with diethyl oxalate and basic hydrolysis of the esters 16 afforded target 2,4-diketoacids 17. Compounds bearing diketoacid functionality in position 5 of the indole system showed good activity against both enzymes and HIV in cell-based assays, while C-7 isomers were inactive.
Scheme 4.
Preparation of pyridine-containing dual inhibitors of HIV reverse transcriptase and integrase.
Design, synthesis, and evaluation of novel small molecules inhibiting an interaction of HIV-1 integrase and Lens epithelium derived growth factor (LEDGF/p75) was reported by Van der Eycken et al. [20]. The substituted indoles 18 were sulfenylated with 3-mercaptobenzoic acid 19 under microwave irradiation conditions to give 3-arylthio- derivatives 20 in high yields (Scheme 5). Reactions of the latter with alkoxyaminopyridines 21 in the presence of EDC hydrochloride and 1-hydroxy-7-azabenzotriazole (HOAt), also under microwave irradiation, afforded target amides 22 in moderate isolated yields. The inhibiting activity was found to be dependent on both R1 and R2 substituents: 5-chloroindoles were inactive, while 2-isopropyloxypyridine derivatives demonstrated higher activity in comparison with 2-methoxy and 2-butyloxy compounds.
Scheme 5.
Synthesis of indole-pyridine hybrids as potent HIV-1 INIs.
Novel integrase-LEDGF/p75 allosteric inhibitors based on pyridine scaffold were discovered by Sugiyama and coworkers, Scheme 6. [21]. This multistep synthesis provided a series of 5-aryl-3,6-dimethylpyridines 23–25 with various functions in position 2 on the basis of simple pyran-2-one. The authors successfully used Pd-catalyzed cross-coupling reactions to introduce aryl and amine fragments via corresponding trifluoromethanesulfonates. Substituents with intramolecular hydrogen bond at C-2, such as urea derivatives 25, are desirable for increasing antiviral activity. These compounds were obtained from 2-aminopyridines 26 by the reaction with isocyanates.
Scheme 6.
Sugiyama’s approach to novel integrase-LEDGF/p75 allosteric inhibitors.
A series of pyridine-based allosteric INIs have been synthesized recently by Naidu et al. [22]. The authors proposed an elegant reaction sequence starting with 4-hydroxy-2,6-dimethylpyridine (27) (Scheme 7). It was subjected to dibromination followed by the conversion of hydroxyl to chlorine under the action of POCl3 to give intermediate 28. One of the bromine atoms was then replaced with 1,2-dicarbonyl fragment, and 4-Cl was substituted with 4,4-dimethylpiperidine. Further asymmetric reduction of the carbonyl group in compound 29 gave the corresponding alcohols 30, which, after protection, were involved in Suzuki–Miyaura cross-coupling with various arylboronic acids and ester hydrolysis. Finally, some functional group interconversions were made to extend the raw of target compounds 31. One of the synthesized compounds (X = 4-F-C6H4CH2CH2O) was selected as the preclinical lead based on its promising antiviral potency, but multidose toxicity studies in rats revealed adverse results, which caused discontinuation of the further development.
Scheme 7.
Synthetic route to pyridine-based allosteric INIs 31.
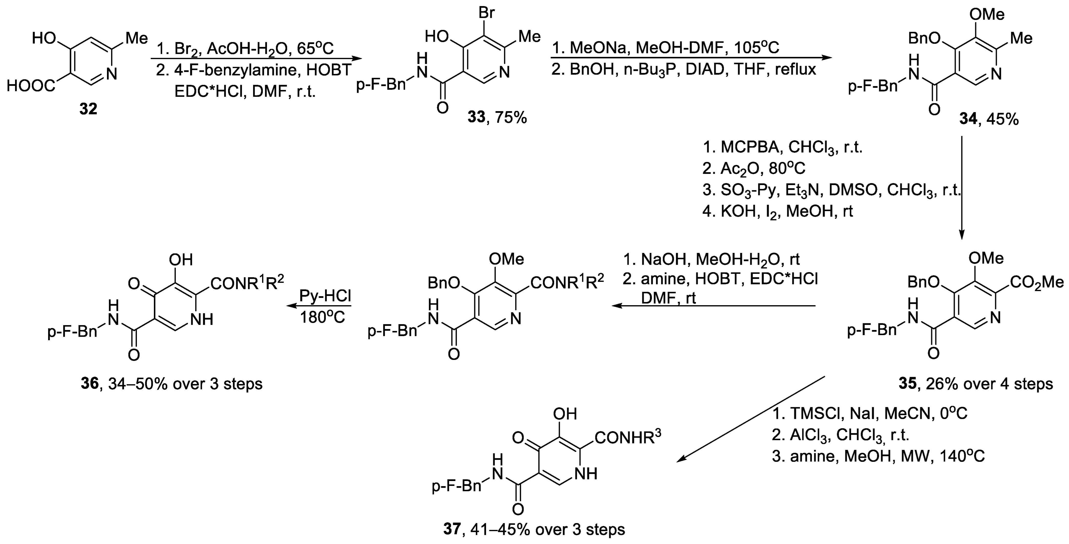
Carbamoyl pyridone chelating scaffold was designed in 2012 [23]. It was considered as an advanced two-metal binding pharmacophore that demonstrates high activity in both enzymatic and antiviral assay formats. 4-Hydroxy-6-methylnicotinic acid (32) was brominated and converted to 4-F-benzylamide 33 using HOBT and EDC (Scheme 8). The Bromine atom was then replaced with NaOMe and the benzyloxy group was introduced through a Mitsunobu reaction with benzyl alcohol, yielding compound 34. The 2-Methyl group of 34 was converted to methoxycarbonyl via subsequent formation of pyridine-N-oxide, its reaction with Ac2O to give 2-hydroxymethyl compound, its oxidation to aldehyde, and further to methyl ester. Thus, the key intermediate 35 was synthesized and used for the preparation of various primary and secondary amides 36 and 37. Although none of the synthesized compounds showed necessary potency against key resistant mutants, the authors positioned their study as an attractive starting point for further research. Some other 3-hydroxy-5-carbamoylpyridin-4-ones were patented as HIV-1 INIs [24].
Scheme 8.
Synthesis of carbamoylpyridine-4-ones—novel HIV-1 INIs.
Substituted 3-hydroxypyridine-4-ones were synthesized on the basis of kojic acid and tested as potential HIV-1 INIs, Scheme 9 [25]. The reaction of kojic acid (38) with BnBr in basic media followed by interaction with amine afforded 2-hydroxymethylpyridin-4-ones 39, which then were oxidized to the corresponding aldehydes using MnO2 and condensed with arylamines to give Shiff bases 40. On hydrogenation of the latter, the benzyl group was cleaved, accompanied by the reduction of the C=N double bond. The Shiff bases 40 exhibited higher anti-HIV activities than their hydrogenation products 41—IC50 65–100 μM and 90–1000 μM, respectively.
Scheme 9.
Approach to 3-hydroxypyridine-4-ones.
Another example of 3-hydroxypyridin-4-one synthesis was reported by Sirous et al., Scheme 10 [26]. 3-Hydroxy group of the commercially available maltol (42) was protected by the reaction with benzyl bromide and further reactions with benzyl- or phenetylamines gave 1-substituted pyridine-4-ones 43. Cleavage of the benzyl group was carried out using boron tribromide or a mixture of hydrochloric and acetic acids. The target 3-OH derivatives 44 demonstrated lower activities with respect to the correspondingly substituted pyran-4-one compounds, which represent a valuable scaffold for developing efficient INIs.
Scheme 10.
Synthesis of 3-hydroxypyridin-4-ones 44.
2.2. Quinolines and Isoquinolines
Elvitegravir (EVG, GS9137) is one of the famous quinoline containing drugs used in anti-HIV 1 therapy. It was developed by the Gilead Sciences, which in 2008 licensed EVG from Japan Tobacco [27]. The synthetic route for the preparation of this compound was described in patent [28] (Scheme 11). It comprised the reaction of 5-bromo-2,4-dimethoxybenzoic acid (45) with 2-chloro-3-fluorobenzaldehyde (46) followed by dehydroxylation and formation of imidazolide 47. In the next step, β-ketoester functionality was introduced and reaction with DMADMF afforded the corresponding enamine 48. The quinoline skeleton was constructed in a further 3 steps: reaction with L-valinol, N,O-bis-(trimethylsilyl)acetamide, and potassium hydroxide.
Scheme 11.
Original synthesis of Elvitegravir.
The invention of Elvitegravir stimulated the development of synthetic approaches, leading to structurally similar quinoline compounds and the study of their activity toward HIV-1 integrase.
A series of novel pyrazolyl-4-oxo-4H-quinoline-3-carboxylic acids bearing various substituents on the N-position of quinoline ring that are structural analogs of EVG were designed and synthesized by Hu et al. [29]. 4-Substituted 3,5-dimethylpyrazoles 49 react with p-NO2-benzyl bromide (50) followed by reduction of the nitro group and the introduction of methylenemalonate fragment, giving rise to the corresponding enamines 51, (Scheme 12), which on heating in diphenyl ether gave 4-quinolone compounds 52. Quinolones 52 were N-alkylated by various alkyl halides to give derivatives 53, and after basic or acidic hydrolysis, the target compounds 54 were obtained. However, shuffling of pharamacophore fragments at N(1) and R1 did not lead to any obvious inhibitory activity.
Scheme 12.
Hu’s synthesis of pyrazolyl-4-oxo-4H-quinoline-3-carboxylic acids 54.
Patil et al. reported on docking and synthesis of 6-fluoro-4-quinolone-3-carboxylic acids as potential HIV-1 INIs [30,31]. The target compounds synthesized via simple two-step procedure (Scheme 13). Reaction of 7-chloro-6-fluoroquinolone-3-carboxylates 55 with N-substituted piperazines 56 afforded chlorine-substitution products 57 in moderate yields. Hydrolysis of ester bonds with LiOH gave target compounds 58, which were evaluated for their enzymatic activity against HIV-1. Some of the synthesized compounds exhibited moderate to good anti-HIV-1 integrase inhibitory activity in comparison with the reference drugs.
Scheme 13.
Synthesis of 6-fluoro-4-quinolone-3-carboxylic acids as potential HIV-1 INIs.
Chen’s group reported on the synthesis of some novel 5-R-quinolone carboxylic acids—structural analogs of Elvitegravir [32,33]. The target compounds were obtained according to classical synthetic route for assembling quinoline skeleton as outlined on Scheme 14. Negishi coupling of methyl 2,6-difluoro-3-iodobenzoate (59) and 3-chloro-2-fluorobenzyl bromide (60) followed by ester hydrolysis afforded highly functionalized intermediate 61. Carboxylic acid was then converted to β-ketoester 62 and reacted with DMADMF to give the enamine 63—a precursor of the quinoline ring system. The pyridine ring was annulated after reaction with aryl- or benzylamine and treatment with K2CO3. All synthesized compounds 64 showed significant inhibition activity in low micromolar concentration range. In addition, the author revealed influence of N-substituent on inhibition (IC50) and antiviral activity (EC50). Some other structurally similar 6-benzylquinolone-3-carboxylic acids were reported in [34].
Scheme 14.
Synthesis of novel 5-R-quinolone carboxylic acids—structural analogs of Elvitegravir.
Velthuisen et al. designed 8-hydroxyquinoline tetracyclic lactams as HIV-1 INIs [35]. The authors described a method for the synthesis of quinolines via benzene ring annulation (Scheme 15). Negishi coupling of the commercially available methyl 5-bromo-2-chloronicotinate (65) with (3-chloro-2-fluorobenzyl)zinc bromide (66), followed by the reduction afforded 2-chloro-3-hydroxymethyl pyridine 67—a key intermediate in the proposed synthetic scheme. Compound 67 and its 3-cyanomethyl analog were carbonylated to give esters 68 and 69, respectively, which were converted to tetracyclic lactams 70 and 71 over two additional steps. Some of the synthesized compounds have exceptional antiviral activity against HIV-1 and virological profile consistent with other second generation integrase stand transfer inhibitors.
Scheme 15.
Preparation of 8-hydroxyquinoline tetracyclic lactams.
In 2015, a method for the synthesis of new tetrahydro-1H-[1,4]oxazino [3,2-g]quinoline derivatives was patented [36]. The quite simple synthetic sequence starts from 2-amino-5-nitrophenol 72 as raw material and comprises successive N-acetylation, oxazine ring closure, and the introduction of benzyl group to give intermediate 73 (Scheme 16). Reduction of the nitro group and a further Gould–Jacobs reaction with diethyl ethoxymethylenemalonate afforded quinoline 74, which on alkylation and ester hydrolysis yielded fused quinolines 75. All compounds have a certain inhibitory effect on HIV-1 integrase with IC50 less than 500 nM.
Scheme 16.
Synthesis of new tetrahydro-1H-[1,4]oxazino [3,2-g]quinoline derivatives.
Carcelli et al. reported the first example of ruthenium complex based on quinoline derivative as a ligand—a structural analog of Elvitegravir [37]. Quinolone ligand was prepared from 4-benzylaniline 76 by heating with diethyl ethoxymethylenemalonate, subsequent thermal cyclization in Dowtherm A, N-alkylation, and hydrolysis of ether 77 to give compound 78 (Scheme 17) [38]. The ruthenium(II) complex 79 was synthesized by the reaction of 78 with [Ru(p-cym)Cl2]2 in MeOH. It was shown that both ligand and Ru-complex have inhibition potency in the micromolar concentration range.
Scheme 17.
Synthesis of Ru(II) complex based on quinoline derivative as ligand—structural analog of Elvitegravir.
An efficient multi-kilo scale synthesis of quinoline based HIV-1 INI was accomplished by Fandrick et al. [39,40]. The molecule consists of two quinoline-based parts coupled together using Suzuki-Miyaura conditions (Scheme 18). For the synthesis of the first fragment, 4-hydroxy-2-methylquinoline 80 was used as starting compound. Its iodination with NIS and reaction with POCl3 gave iodide 81 in 63% overall yield. Acylation of 81 with methyl oxalyl chloride and asymmetric reduction of ketoester 82 provided compound 83 with excellent enantiopurity. The second structural unit was synthesized on the basis of 2-bromo-5-methoxyaniline 84. It was acylated with unsaturated anhydride 85 and cyclized under the action of sulfuric acid to compound 86. A further reaction sequence of reduction, chloro-dehydroxylation, and dechlorination afforded bromide 87, which then was converted to the corresponding boronic acid 88 in 80% yield. Assembly of the target molecule skeleton was carried out by Suzuki–Miyaura cross-coupling of compounds 83 and 88. Product 89 was O-tert-butylated and hydrolyzed to give compound 90 in 93% yield and high stereoselectivity. This protocol was patented in 2014 [41].
Scheme 18.
Fandrick’s efficient multi kilogram scale synthesis of quinoline based HIV-1 INI.
Jentsch et al. developed another library of 4-arylquinoline derivatives, which also possess activity against HIV-1 integrase (Scheme 19) [42]. The synthetic scheme is quite similar to the one mentioned above (Scheme 18), and it starts from commercially available 4-hydroxy-2-methyl-quinoline 80 that has undergone direct bromination and reaction with POCl3 to give intermediate 91 in 65% yield. It was then converted to α-hydroxyester 92 via acylation with methyl oxalyl chloride and reduction with NaBH4. Reaction of 92 with NaI followed by tert-butylation afforded 4-iodoquinoline 93, which reacted with a number of arylboronic acids to give compounds 94. Hydrolysis of esters 94 led to target carboxylic acids 95. This study has provided relevant information regarding the structure–activity relationship and defining factors for candidate INIs design. 4-Chlorophenyl and 2,3-benzo[b][1,4]dioxine derivatives showed the highest potency against HIV-1 integrase.
Scheme 19.
An approach to 4-arylquinoline derivatives 95.
A six-step method for the synthesis of 2-quinolone derivatives using Morita–Baylis-Hillman methodology was developed by Sekgota et al. [43]. Substituted 2-nitrobenzaldehydes 96 reacted with methyl acrylate in the presence of DABCO to give MBH adducts 97 followed by reductive cyclization to quinolones 98 (Scheme 20). They, in turn, were converted to 3-chloromethyl compounds 99 and then to secondary amines 100. Acylation with benzoyl chloride provided amides 101.
Scheme 20.
2-Quinolone-derived INIs.
Aromatic foldamers containing quinoline skeleton were proposed as HIV-1 INIs in 2018 [44]. The authors described the synthesis of several quinoline derivatives bearing phosphonate groups (Scheme 21). Phosphonate fragment was introduced into compounds 102 under Mitsunobu conditions and subsequent hydrogenation of 8-nitro- or 8-cyano derivatives 103 was accompanied with benzyl ester cleavage to give 8-amino- or 8-aminomethylquinolines 104, respectively. At the last step, Fmoc protective group was installed, affording the corresponding amides 105 in moderate yields.
Scheme 21.
Synthesis of quinoline-based INIs bearing phosphonate groups.
In 2006 a microwave-assisted synthesis of fluoroquinolone ribonucleosides was described [45]. Reaction of fluoroanilines 106 with diethyl (ethoxymethylidene)malonate followed by ring closure gave fluoroquinolone derivatives 108 (Scheme 22). The target compounds 109 were obtained by coupling with 1,2,3,5-O-tetraacetyl-D-ribofuranose and deprotection of hydroxyl groups with NaOMe in MeOH. All fluoroquinolones were examined as HIV-1 INIs. Interestingly, synthesized nucleosides were found to be inactive in cell culture but demonstrated enzymatic inhibitory effect against HIV-1 integrase.
Scheme 22.
Synthesis of fluoroquinolone ribonucleosides 109.
A number of simple quinaldines and their derivatives were synthesized as novel promising small molecular scaffolds—potential INIs [46,47]. Some examples are depicted on Scheme 23. Scraup reaction of 4-aminosalycilic acid 110 with crotonaldehyde gave quinoline 111, which showed IC50 of 47 µM. Nitration of 111 afforded quinaldic acid 112 (IC50 42 µM). Another synthetic route leads to target compounds starting from 8-hydroxyquinaldine 113. This compound underwent various electrophilic functionalizations (nitration, carboxylation, or sulfonation) to give desired quinolines 114–116, which were found to be less active than 112.
Scheme 23.
Polyfunctional quinaldines—potential HIV-1 INIs.
Dihydroquinoline-3-carboxylic acids were designed and synthesized by Sechi et al. (Scheme 24) [48]. Heating of corresponding N-alkyl anilines 117 with triethyl methanetricarboxylate in Dowtherm A followed by hydrolysis led to target carboxylic acids 118 in moderate yields. These compounds were designed as diketo-bioisosteric analogs of Roquinimex that inhibited both 3′-processing and strand transfer activities. The authors assumed that derivatization of Roquinimex by changing of amide for diketo fragment would improve inhibition effect. However, all synthesized derivatives showed potency in inhibiting of HIV-1 integrase at a level of Roquinimex or less along with low cytotoxicity.
Scheme 24.
Synthesis of diketo-bioisosteric analogs of Roquinimex.
Wang et al. reported design and synthesis of quinoline-pyrimidine hybrids as potential dual inhibitors of HIV-1 integrase and reverse transcriptase [49]. These compounds represent Elvitegravir analogues with formal substitution of aryl fragment with pyrimidine scaffold. Quinoline moiety was assembled using Gould–Jacobs method (Scheme 25). 4-Hydroxymethylaniline 119 reacted with ethoxymethylenemalonic ester to give corresponding enamine, and MOM protection of the hydroxyl group gave compound 120. Next, heating in Ph2O provided quinoline-4-one derivative, which on N-alkylation and protective groups interconversion gave chloromethyl derivative 121. Pyrimidine fragment was then introduced by reaction with bis-(trimethylsilyloxy) compound 122. The synthesized compounds demonstrated both anti-RT activity and anti-IN activity. In particular, the effect of inhibition of HIV-1 integrase was found in submicromolar concentrations (IC50 0.19–3.7 µM).
Scheme 25.
Wang’s synthesis of quinoline-pyrimidine hybrids 124.
Approaches to the synthesis of tricyclic pyridine derivatives as potential HIV-1 INIs were reported by Kim et al. [50,51,52]. The authors synthesized several series of 7-(4-fluorobenzyl)-6,7-dihydro-8H-pyrrolo [3,4-g]quinolin-8-one derivatives and studied their inhibitory anti-HIV-1 activity. This class has shown great potential in integrase inhibition. One of the standard synthetic sequences leading to the target compounds is depicted in Scheme 26. Heterocyclic core was assembled by esterification of starting pyridine-2,3-dicarboxylic acid 125 followed by the Dieckmann condensation with 1-(4-fluoro-benzyl)-pyrrolidine-2,5-dione 126 with the formation of tricyclic bis-phenol 127. One of the hydroxyl groups was then protected by reaction with ethyl chloroformate to give 128, and another one was converted to (diphenylmethyl)oxy group (compound 129). Reduction of one of the carbonyl groups and further conversion of OH to triflate afforded compound 130, which was, in turn, transformed into carboxylic acid 131 and finally to methylamino derivative 133. After several transformations, the desired tricyclic amides and sulfonamides 134 were obtained in moderate to high yields.
Scheme 26.
Synthesis of 6,7-dihydro-8H-pyrrolo[3,4-g]quinolin-8-one derivatives.
In 2006, the first total synthesis of lamellarin α 20-sulfate as selective HIV-1 INI was reported [53]. Synthetic route started from commercially available 3,4-dimethoxyphenetylamine 135, which was alkylated with bromoacetic ester to give the corresponding iminodiacetate 136 (Scheme 27). In the next step, the Hinsberg reaction with dimethyl oxalate followed by reaction with Tf2O led to bistriflate derivative 137, which was successively arylated with two different boronic acids in the presence of Pd(PPh3)4 to give 3,4-diarylpyrrole 139, which was then converted to six-membered lactone 140 and then decarboxylated to compound 141. The intramolecular oxidative biaryl coupling under Kita’s conditions provided 20-benzyl-13-isopropyllamellarin a 142. Finally, deprotection of the benzyl group, selective removal of the isopropyl protecting group, and deprotection of the trichloroethyl ester gave rise to target lamellarin a 20-sulfate 143.
Scheme 27.
The first total synthesis of lamellarin α 20-sulfate.
Novel quinoline containing diketo acids were designed by Di Santo et al. [54]. Commercial anilines 144 reacted with ethyl orthoformate and ethyl acetoacetate in Dowtherm A to give corresponding 3-acetyl-4(1H)-quinolinones 145 (Scheme 28). Compounds 145 were then N-alkylated with 4-fluorobenzylbromide followed by condensation with diethyl oxalate affording esters 147, which were hydrolyzed in basic media to give the corresponding acids 148. 8-Fluoroquinoline (148, R3 = F) was the most potent derivative in IN enzyme assays, 8-pyrrolidin-1-yl compound and showed the highest potency against HIV-1 in acutely infected cells.
Scheme 28.
Synthesis of quinoline containing diketo acids 148.
Tandon et al. designed a series of C-1, C-3, C-7, and N-functionalized 1,2-dihydroisoquinolines and studied them as HIV-1 INIs [55]. The target compounds 149 were synthesized by Mannich condensation of o-alkynylaldimines 150 or by the reaction of o-alkynyl aldehydes 151 with ketones and amines (Scheme 29). All reactions proceeded under cobalt (II) chloride catalysis. Screening of these compounds revealed significant inhibition against strand transfer processes of HIV-1 and significant antiviral activity, which is comparable to Raltegravir.
Scheme 29.
Synthesis of N-functionalized 1,2-dihydroisoquinolines.
An effort to expand of scope of potential HIV-1 inhibitors was done by Tyler et al. [56]. It was realized on the basis of the commercially available 1,3-dichloroisoquinoline 152 (Scheme 30). At the first step, the introduction of hydroxyacetic acid side chain into isoquinoline core was realized. Compound 153 was then converted into t-butyl ether 154 under the action of t-butyl acetate and HClO4. The authors found reaction conditions allowing to introduce two different aryl substituents in positions 1 and 3 of isoquinoline core. Thus, the first Suzuki–Miyaura coupling reaction with aryl boronic acid was carried out at 90 °C at more reactive position 1, while the second coupling with another boronic acid occurred under more drastic conditions to give 1,3-diarylisoquinoline esters 156. Finally, hydrolysis of esters 156 afforded desired carboxylic acids 157.
Scheme 30.
Synthesis of 1,3-dichloroisoquinoline derivatives as potential HIV-1 inhibitors.
Satyanarayana et al. proposed a simple and efficient protocol for the synthesis of 1,2,3,4-tetrahydroisoquinoline derivatives [57]. The method is based on one-pot sequential intermolecular aza-Michael addition and Pd-catalyzed intramolecular Buchwald-Hartwig arylation of bis-benzylamines 158 (Scheme 31). Later, the same authors described chemical transformations of isoquinoline derivatives 159, such as reduction to alcohols 160 and rearranged aromatization to give isoquinolines 161 [58]. Compounds 160 and 161 possessed higher anti-HIV activity compared to 159. Compound 161a was found to be the most effective among all other synthesized analogs. It efficiently inhibits the interaction between LEDGF/p75 and integrase in vitro, as well as HIV-1 infection in a cell line. Therefore, this compound has been identified as a lead molecule in this study.
Scheme 31.
Synthesis of 1,2,3,4-tetrahydroisoquinoline and isoquinoline derivatives.
A series of N-hydroxyisoquinoline derivatives was designed as potential dual inhibitors of HIV-1 integrase and reverse transcriptase RNase H domain by Billamboz et al. [59]. The method is based on the condensation of 7-substituted homophthalic acid derivatives 162 with O-benzylhydroxylamine to give the corresponding 2-benzy-loxyisoquinolines 163 followed by deprotection of the N-hydroxyl function yielding compounds 164 (Scheme 32). Most compounds inhibited RNase H and integrase at micromolar concentrations, and some of them were weakly selective for integrase.
Scheme 32.
Design and synthesis of N-hydroxyisoquinoline derivatives.
Synthesis of structurally similar 4-substituted benzylideneisoquinoline-1,3(2H,4H)-dione derivatives was published by Wadhwa [60]. Isoquinoline core was synthesized by the reaction of homophthalic acid 165 and urea under microwave irradiation (Scheme 33). Then isoquinoline-1,3(2H,4H)-dione 166 reacted with various aromatic aldehydes to give desired molecules 167. Isoquinolines 167 were tested for anti-HIV-1 activity, and some of them exhibited significant percentage inhibition of HIV-1 integrase with IC50 values less than 5.96 μM.
Scheme 33.
Synthesis of benzylideneisoquinoline-1,3(2H,4H)-diones 167.
Another series of 2-hydroxyisoquinoline-1,3(2H,4H)-dione derivatives were synthesized [61]. All compounds were prepared from dimethyl homophthalate 168 in four steps (Scheme 34). Firstly, alkylation of the starting compound provided a number of monoalkyl derivatives 169, which were hydrolyzed to the corresponding acids 170. Isoquinoline ring closure was implemented via reaction with O-benzyl hydroxylamine, and deprotection under the action of boron trihalogenides gave desired N-hydroxyisoquinolines 171. Some of the synthesized compounds inhibited HIV-1 integrase at a low micromolar level, although high cytotoxicity in cell culture limited their applications as antiviral agents.
Scheme 34.
Synthesis of 2-hydroxyisoquinoline-1,3(2H,4H)-dione derivatives.
2.3. Pyridines Fused with Heterocycles
Pyrazine-fused 3-hydroxypyridine-4-one moiety is a central part of the approved HIV-1 INIs Dolutegravir, Bictegravir, and Cabotegravir. A number of publications during the two prior decades has dealt with the design and synthesis of novel INIs of condensed piridinone series as well as of more efficient and cost-friendly procedures for known INIs [62]. For example, a process for the preparation of Dolutegravir and its sodium derivatives was reported in 2016 in the patent literature [63]. Seven-step flow synthesis of Dolutegravir was described, allowing the production of this pharmaceutical in sequential flow operations from commercially available materials [64]. The synthesis included rapid manufacturing time and the combination of multiple steps in order to avoid isolation of intermediates.
Most of the published synthetic approaches to Dolutegravir follow a similar strategy—construction of a pyridinone cycle and further annulation of saturated pyrazine and oxazine rings [65,66]. For example, synthesis of Dolutegravir, Cabotegravir, and a series of related compounds was described in 2015 [67]. Diastereoselective annulation of saturated heterocyclic rings to a pyridinone core was the main challenge of the research. For this reason, readily available chiral amino alcohols 172 and 173 reacted with previously synthesized aldehyde 174 [68] for hemiaminal ring fusion, furnishing the desired stereocenter within the tricyclic carbamoyl pyridinone scaffold (compounds 175 and 176). The target compounds were obtained after cleavage of O-benzyl protection using hydrogen and Pd/C (Scheme 35).
Scheme 35.
Divergent synthesis of Dolutegravir and Cabotegravir.
Another approach was reported recently by Opatz et al. [69]. The authors proposed short and practical gram-scale synthesis of Dolutegravir sodium salt where assembling of the target molecule commenced with the formation of oxazine and pyrazine rings (Scheme 36). Chloroacetyl chloride as bis-electrophilic reagent first reacted with (3R)-amino-1-butanol 177 followed by reaction with (2,2-dimethoxyethyl)benzylamine. The resulting compound 178 was then cyclized and the benzylic protection cleaved to give rings B and C of Dolutegravir (compound 179). Annulation of a pyridine ring was accomplished by the condensation with diethyl-2-(ethoxymethylidene)-3-oxobutandioate 180 and finally 2,4-difluorobenzylamine fragment was introduced and sodium salt was obtained on heating with ethanolic NaOH.
Scheme 36.
Alternative approach to Dolutegravir and its sodium salt.
Novel 2-pyridinone aminal series was designed as potential INIs [70]. The previously reported clinical candidate MK-0536 served as starting point in the optimization process (Scheme 37). Reactions of substituted 2,6-naphthyridine-2-carboxamides 181 with cyclic ketones resulted in the formation of spiro aminals 182 and 183 in low yields. Another promising spirocompounds 184 was synthesized on the basis of pivaloyl-protected ester 185 by the reaction with chiral amine 186 to give amide 187 followed by reaction with bicyclic ketone. As a result of this work, several lead molecules were discovered and their structures were optimized in order to reach the optimum ratio of the antiviral activity values and physiochemical properties.
Scheme 37.
Synthesis of novel 2-pyridinone aminal series.
The first dual HIV-1 reverse transcriptase RNase H domain and integrase inhibitors based on a 5-hydroxypyrido [2,3-b]pyrazin-6(5H)-one structure was reported in 2018 [71]. The synthetic route included the reaction of commercially available methyl 3-chloropyrazine-2-carboxylate 188 with O-benzyl hydroxyl amine leading to compound 189, further acylation with methyl 3-chloro-3-oxopropanoate, and Claisen-type condensation to yield a bicyclic intermediate 190 (Scheme 38). It was then tosylated and reacted with aromatic amines of biphenyl and naphthalene series, followed by de-benzylation to give target compounds 191. The majority of synthesized compounds inhibited both enzymes at micromolar concentrations. The best dual inhibitor possessed close IC50 values of 1.77 μM and 1.18 μM.
Scheme 38.
Synthesis of dual HIV-1 reverse transcriptase RNase H domain and integrase inhibitors.
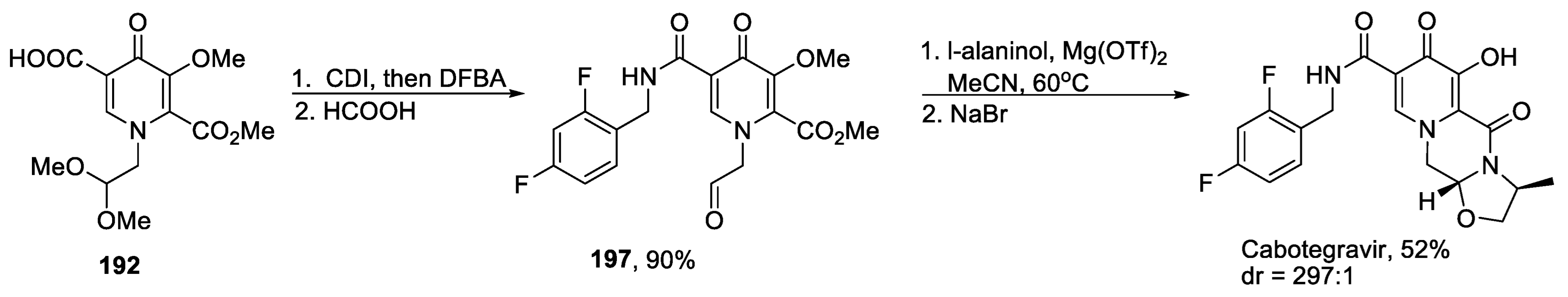
An efficient and highly diastereoselective synthesis of Cabotegravir was reported by Wang et al. [72]. The method features a simple and efficient assembly of highly substituted pyridine-4-one core as well as diastereoselective construction of oxazolidine fragment. The intermediate pyridine-4-one 192 was obtained in 61% yield in a four-step one-pot operation, starting from methyl 4-methoxy-3-oxobutanoate 193, which was treated with DMA DMF and then with 2,2-dimethoxyethylamine to give the corresponding enamine 194 (Scheme 39). This enamine underwent cyclization with dimethyl oxalate, and the addition of LiOH allowed the selective hydrolyzation of one of the methoxycarbonyl groups, viz. C-5. Acetal deprotection led to in situ formation of the aldehyde 195, which reacted with l-alaninol and resulted in diastereoselective cyclization with formation of compound 196 with one more stereocenter (dr = 34:1). Finally, formation of 2,4-difluorobenzylamide and demethylation with MgBr2 gave Cabotegravir.
Scheme 39.
Wang’s diastereoselective synthesis of Cabotegravir.
Diastereomeric ratio in the final product was increased substantially by changing the steps order (Scheme 40). Formation of the amide followed by acetal deprotection resulted in the formation of aldehyde 197, and reaction with l-alaninol in the presence of Mg(OTf)2 gave Cabotegravir with dr about 300:1.
Scheme 40.
Diastereoselective synthesis of Cabotegravir.
In addition to amide function, 2,4-difluorobenzyl fragment can be bound to the heterocyclic core through triple C-C-bond [73]. For this reason, the initial dimethyl acetal 192 was converted in situ to aldehyde 195 and then to tricyclic pyridinone carboxylic acid 196 (Scheme 41). Its reduction to alcohol followed by Dess–Martin oxidation gave the corresponding aldehyde 198. Alkyne moiety was introduced by the reaction with Ohira–Bestmann reagent, and then terminal alkyne 199 was coupled with 2,4-difluorobenzyl bromide in Sonogashira reaction conditions. Demethylation of 200 with BBr3 afforded Cabotegravir 201 analog, which demonstrated significant activity (EC50 67 nM) in an in vitro HIV pseudovirus.
Scheme 41.
Synthesis of Cabotegravir analog 201.
A practical asymmetric total synthesis of partially saturated naphthyridine 202 fused with 8-membered nitrogen heterocycle was developed [74]. Earlier, compound 202 was identified as a potent HIV-1 inhibitor [75]. The elaborated reaction sequence is depicted in Scheme 42 and includes more than 10 synthetic steps proceeding generally in good yields. The key steps are the formation of the naphthyridine system and the annulation of the eight-membered cycle. Readily available D-(−)-pantolactone 203 was taken as a precursor for the corresponding chiral amino alcohol 204, which was used for the construction of the fused heterocyclic core via coupling with carboxylic acid 205. Amide 206 without isolation was converted to tricyclic derivative 208 and after removal of THP and mesylate protective groups, the target compound 202 in 14% overall yield was obtained. It should be noted that the proposed approach did not require isolation of intermediates 206 and 207 during the formation of the 8-membered ring.
Scheme 42.
Practical asymmetric total synthesis of partially saturated naphthyridine 202.
A series of bicyclic 2-oxo-1,2-dihydro-1,8-naphthyridine-3-carboxamides, highly potent against cells harboring Raltegravir-resistant integrase mutants, were synthesized and evaluated by Burke et al. [76]. Commercially available methyl 2-fluoronicotinate 209 was treated with O-benzyl hydroxylamine and further acylated with methyl 3-chloro-3-oxopropanoate to give compound 210 in 86% yield. Annulation of the second pyridine ring was achieved by Claisen-type condensation under the action of NaOMe. The resulting key intermediate 211 was used for the synthesis of both 1-hydroxy- and 1,4-dihydroxy-2-oxo-1,2-dihydro-1,8-naphthyridine-3-carboxamides 212 and 213, respectively, as depicted in Scheme 43. Compounds bearing 2,4-difluorobenzylamide fragment demonstrated greater antiviral efficacy compared to that of RAL when tested against a panel of IN mutants, and thus represent potentially useful platforms for further structural variations in the search of more effective compounds.
Scheme 43.
Preparation of bicyclic 2-oxo-1,2-dihydro-1,8-naphthyridine-3-carboxamides.
Later, the same authors investigated the influence of substituents in position 6 and 7 of 1-hydroxy-2-oxo-1,2-dihydro-1,8-naphthyridine-3-carboxylic acid 2,4-difluorobenzylamides [77]. Basically, the synthetic scheme was quite similar to the one mentioned above, but starting compounds (nicotinic acid derivatives) bearing additional halogen atoms allowed the introduction of the necessary functions into the pyridine core. 2,6-Dichloronicotinic acid 214 was used as starting material in which both chlorine atoms were appropriately substituted to give compounds 215. Annulation of another pyridine ring was carried out as shown in Scheme 43. Removal of benzyl group gave 7-substituted naphthyridines 216 (Scheme 44).
Scheme 44.
Synthesis of 1-hydroxy-2-oxo-1,2-dihydro-1,8-naphthyridine-3-carboxylic acid 2,4-difluorobenzylamides 216.
The 6-Substituted compounds 218 were synthesized from 6-bromo derivatives 217 via Sonogashira or Heck reactions with alkynes or alkenes, respectively, followed by hydrogenation (Scheme 45).
Scheme 45.
Synthesis of 6-substituted 2-oxo-1,2-dihydro-1,8-naphthyridine-3-carboxylic acid 2,4-difluorobenzylamides 218.
Pyrrolo[2,3-b]pyridine derivatives 219 have been synthesized and considered as HIV-1 INIs [78]. Reaction of 2-amino-6-chloropyridine 220 with pivaloyl chloride followed by iodination and N-deprotection gave 2-amino-6-chloro-3-iodopyridine 221, which was then reacted with pyruvic acid under Pd-catalysis resulting in pyrrole ring annulation to give compound 222 (Scheme 46). Pyrrolo[2,3-b]pyridine-2-carboxylic acid 222 thus obtained was converted to a variety of benzyl amides 219 on reactions with corresponding benzyl amine in the presence of HATU and Et3N. The yields were not indicated.
Scheme 46.
Synthesis of Pyrrolo[2,3-b]pyridine derivatives 219 as HIV-1 INIs.
The same authors reported on the synthesis of partially saturated 7-hydroxy-1,7-naphthyridines having an inhibiting effect on HIV-1 integrase [79]. 3-Hydroxypicolinic acid 223 as a raw material was converted to triflate 224, which then underwent Heck reaction with n-butyl vinyl ether (Scheme 47). Hydrolysis of the enol ether 225 and reaction with O-benzyl hydroxylamine gave corresponding oxime 226, which on reduction with NaBH3CN gave cyclization product 227 in 79% yield. The introduction of benzylamine moiety in the pyridine cycle was realized via formation of N-oxide 228 under the action of MCPBA, followed by reaction with amine and TsCl. The final step deals with O-debenzylation of 229 in acidic media to give target compounds 230. The most active compounds were found to be 4-F-, 4-Cl-, 3,4-F2-, 3,4-Cl2-, and 3-Cl-4-F-benzyl derivatives.
Scheme 47.
Synthesis of partially saturated 7-hydroxy-1,7-naphthyridines.
A method for the synthesis of new 4-hydroxy-5-azacoumarin derivatives as potential HIV-1 inhibitors was proposed in 2007 [80]. 2-Hydroxypicolinic acid 231 reacted with ethyl chloroformate followed by condensation with ethyl ethoxymagnesium malonate to give compound 232 (Scheme 48). Partial hydrolysis under basic conditions gave enol 233, which on heating in PPA underwent formation of azacoumarin 234. Reactions of 234 with aryl isocyanates or aryl isothiocyanates led to the target 4-hydroxy-5-azacoumarin-3-carbox(thio)amides 235 in low to moderate yields. Carboxamides were found to be more active inhibitors compared to thioamides—IC50 6.7–35.7 µM and >300 µM, respectively. Therefore, the 4-hydroxy-5-azacoumarin ring can be considered as a new scaffold in designing more potent HIV-1 INIs.
Scheme 48.
A method for the synthesis of new 4-hydroxy-5-azacoumarins.
Zhao et al. reported on the synthesis of novel bicyclic pyrrolopyridine-triones, Scheme 49 [81]. The key step in synthesis is Pummerer-induced cyclization-deprotonation sequence. Acylation of (ethylthio)acetamides 236 with acyl chlorides afforded bis-acylamides 237. The latter compounds were oxidized with sodium periodate to give sulfoxides 238 in good yields. Compounds were refluxed with N-(3-chloro-4-fluorobenzyl)maleimide giving rise to corresponding cycloadducts 239, which on treatment with boron trifluoride diethyl etherate gave bicyclic pyrrolopyridines 240. All compounds showed anti-HIV-1 activity with IC50 values in the range 6.4–21.6 µM.
Scheme 49.
Zhao’s synthesis of novel bicyclic pyrrolopyridine-triones.
Plewe et al. studied azaindole hydroxamic acids as potential HIV-1 INIs [82]. They designed and proposed a method for the synthesis of 4-fluorobenzyl substituted azaindole hydroxamic acids (Scheme 50). Nitropyridine 241 was chosen as the starting material and reacted with POBr3 to give bromopyridine 242. Bromide 242 was converted to nitrile 243 under the action of Zn(CN)2, and then to esters 244. Reaction of 244 with DMADMF followed by hydrogenation led to azaindoles 245. Synthesized esters were then alkylated with a number of benzyl halides, affording N-alkylazaindoles 246. The latter compounds were transformed into hydroxamic acids 247, either by direct reaction with hydroxyl amine or via hydrolysis to acids 248, and further coupling with N,O-substituted hydroxyl amines.
Scheme 50.
Synthesis of azaindole hydroxamic acids as potential HIV-1 INIs.
A series of naphthyridinone derivatives were synthesized and their structure–activity relationship as HIV-1 INIs was disclosed by Johns et al., Scheme 51 [83,84]. Cyclic anhydrides 249 were ring-opened with alcohols to afford acids 250. Curtius rearrangement of 250 under the action of DPPA in the presence of tBuOH gave N-Boc derivatives which were deprotected by TFA and underwent reactions with aldehydes and sodium triacetoxyborohydride leading to esters 251. Reactions of 251 with methyl- or ethylmalonyl chloride produced intermediates 252 which were cyclized into naphthyridinones 253. In turn, compounds 253 were converted into target carboxamides 254 by reactions with corresponding amines. The authors noted substituent effects at N-1, C-3, and 7-benzyl positions on inhibition activity.
Scheme 51.
Synthesis of hydroxynaphthyridinone derivatives 254.
Korolev et al. [85] showed that 4-aza-6-nitrobenzofuroxan 255 is able to inhibit two enzymes needed for successful HIV-1 replication: integrase and the RNase H domain within reverse transcriptase. Compound 255 was synthesized from commercially available 2-chloro-3,5-dinitropyridine 256 in two steps (Scheme 52A) [86]. Reaction of chloropyridine 256 with NaN3 followed by thermolysis of intermediate azide 257 afforded furoxanopyridine derivative in 87% overall yield. Structurally similar 5-nitro-7,8-furoxanoquinoline 258 also possesses anti-HIV activity. Its synthesis was described in [87,88] and started from 8-hydroxyquinoline 259 (Scheme 52B). Nitration of quinoline 259 and reaction with SOCl2 afforded chloride 260. Nucleophilic substitution of its chlorine atom and further thermolysis of the intermediate o-nitroazide in boiling AcOH led to target furoxan 258 as a mixture of two regioisomers.
Scheme 52.
Synthesis of 4-aza-6-nitrobenzofuroxan 255 (A) and 5-nitro-7,8-furoxanoquinoline 258 (B).
Platts et al. developed a method for the synthesis of 1,6-naphthyridine-3-carboxylic acid—a structural analogue of Elvitegravir [89]. In the first step, commercially available diethyl 1,3-acetonedicarboxylate 261 reacted with triethyl orthoformate in acetic anhydride, followed by cyclization gave pyridine 262, which was transformed into acid chloride 263 in three steps (Scheme 53). Compound 263 was treated with ethyl 3-dimethylaminoacrylate to give enamine 264. Transamination of 264 with L-valinol afforded compound 265, which, after cyclization, provided 1,6-naphthyridine derivative 266. It was then converted to pyridine 267 and then treated with 2-chloro-3fluorobenzyl bromide with the formation of compound 268. Hydrolysis of 268 under basic conditions led to Elvitegravir analogue 269 in good yield.
Scheme 53.
Synthesis of 1,6-naphthyridine-3-carboxylic acid 269—structural analog of Elvitegravir.
Synthesis of 6,7,8,9-tetrahydro-4H-pyrido[1,2-a]pyrimidines as an intermediate for a new class of HIV-1 INIs was reported by Kinzel et al. [90]. Cyclic amidoxime 270 was converted to 1-hydroxypiperidin-2-iminium chloride 271 via the cleavage of benzyl ether (Scheme 54). Compound 271 reacted with DMAD to afford 1,2,4- oxadiazoline 272, which underwent rearrangement under reflux in o-xylene with the formation of pyrido[1,2-a]pyrimidine system 273. After construction of bicyclic, the authors stereoselectively installed a chiral amino group in position 9 using a racemic bromide 274 as starting material. At the final step, N-formyl group in 275 was reduced to N-methyl using BH3SMe2 to give compound 276 in excellent yield.
Scheme 54.
Synthesis of 6,7,8,9-tetrahydro-4H-pyrido[1,2-a]pyrimidines.
Later, in continuation of their research on HIV-1 INIs, the same authors reported the synthesis of new heterocyclic scaffold—methyl-3-hydroxy-4-oxo-4H-pyrido-[1,2-a]pyrimidine-2-carboxylates, Scheme 55 [91]. 2-Aminopyridine-N-oxides 277 readily reacted with DMAD, giving rise enamines 278 as mixture of E/Z-isomers. Heating of 278 in o-xylene afforded target pyrido[1,2-a]pyrimidines 279.
Scheme 55.
Synthesis of methyl-3-hydroxy-4-oxo-4H-pyrido-[1,2-a]pyrimidine-2-carboxylates 279.
Johns et al. described synthesis of 8-hydroxy-1,6-naphtyridines conjugated with azoles (oxadiazole or triazole) as HIV-1 INIs [92]. Mitsunobu reaction of compound 280 with tosylamide 281 followed by Dieckmann cyclization of the intermediate 282 afforded cyanonaphthyridine 283, Scheme 56. Reaction of 283 with corresponding hydrazides under microwave conditions led to 1,2,4-trazole derivatives 284. Another target hybrid system was 1,2,4-oxadiazole conjugated with naphtyridine core. The synthetic route for these compounds started from the reaction of nitrile 283 with hydroxylamine produced amidoxime 285, which on treatment with acyl chlorides, either on heating in MeOH or under microwave conditions, provided target oxadiazoles 286. As a result, the authors established the oxadiazole and the triazole heterocycles as viable components of the chelation motif involved in the 8-hydroxynaphthyridine integrase scaffold.
Scheme 56.
8-Hydroxy-1,6-naphtyridines conjugated with azoles.
Synthesis of azole-containing pyrido[1,2-a]pyrimidines and their utilization as an amide isostere in HIV-1 integrase inhibition was reported by Le et al. [93]. Methyl ester 287 was chosen as a key starting material for the synthesis (Scheme 57). The ester group was converted mono-hydrazide, which was further acylated with 4-fluorophenylacetyl chloride to give intermediate 288. Cyclization of this diacylhydrazide under the action of the corresponding agents and debenzylation with TMSI afforded 1,3,4-oxadiazole 289 and 1,3,4-thiadiazole 290. Triazole 291 was synthesized directly from ester 287 by treatment of aqueous ammonium hydroxide followed by reaction with Lawesson’s reagent, and with MeI to give thioamide intermediate that cyclized with 4-F-phenyl acetohydrazide to form triazole ring. A similar strategy was used for synthesis of oxazole 292, thiazole 293, and imidazole 294. Ester group in 287 was hydrolyzed to produce acid 295, which underwent reaction with aminoketone affording 296. During the next steps, cyclization and deprotection produce azoles 292–294. Construction 1,2,4-oxadiazole derivative 297 was achieved via transformation of compound 287 into nitrile 298 by reaction with ammonia and dehydration with trichlorotriazine. Compound 298 was treated with hydroxylamine to give N-hydroxyamidine, which was acylated with 4-fluorophenylacetyl chloride to produce 299, which on heating in toluene led to target oxadiazole 297.
Scheme 57.
Synthesis of azole-containing pyrido[1,2-a]pyrimidines.
3. Conclusions
One of the goals of this review was to summarize most up-to-date approaches to the synthesis of known and new pyridine-based potential HIV-1 integrase inhibitors. An analysis of the literature over the last 20 years showed that the chemistry of monocyclic and fused pyridines is actively developing: syntheses of approved INIs are being improved and optimized, new syntheses are being published, and new pyridine-containing molecules are being created. Synthetic routes listed in this review are representative examples of the new developments, illustrating the importance of diverse pyridine compounds as feasible replacements or extensions of the field of anti-HIV agents.
Numerous studies confirm the importance of certain structural motifs to be included in a molecule to enhance activity, such as 4-fluoro-, 2,4-difluoro-, and 3-chloro-4-fluorobenzyl amides, 2,4-diketoacid fragment, or pyridin-4-one-3-carboxylic acid moiety in both monocyclic and condensed compounds. Since the structure of integrase is well established, including crystal and NMR studies of the individual domains, it can be predicted roughly if the designed compound would effectively block HIV replication. For this reason, molecular modeling methods, theoretical and computational, could help synthetic chemists in their routine research.
Inhibitory efficiencies are very important characteristics of the reviewed compounds. Indeed, IC50 values of the target molecules vary widely from nM (similar to approved compounds) to 100 mM concentrations which are unacceptable for use as INIs. In addition, some of them possess high toxicity, and the others have not been tested yet. Nevertheless, high IC50 and toxicity values do not automatically mean that the certain class of compounds should not be studied further. The main point is to find a new type of INIs that would allow to overcome resistance of the virus. Therefore, it is difficult to select the most promising compounds, and even the most promising class based solely on half maximal effective or inhibitory concentrations.
Thus, the field of chemistry associated with the synthesis of novel HIV-1 integrase inhibitors based on pyridine scaffold continues to be in demand and relevant. The results presented may serve as a basis for design and search of novel anti-HIV drugs.
Author Contributions
Both authors discussed, commented on, and wrote the manuscript. All authors have read and agreed to the published version of the manuscript.
Funding
This research received no external funding.
Institutional Review Board Statement
Not applicable.
Informed Consent Statement
Not applicable.
Data Availability Statement
Not applicable.
Conflicts of Interest
The authors declare no conflict of interest.
Abbreviations
| AIDS | Acquired immunodeficiency syndrome |
| ARVT | Antiretroviral therapy |
| BIC | Bictegravir |
| BSA | Benzenesulfonic acid |
| CDI | 1,1′-Carbonyldiimidazole |
| DABCO | 1,4-Diazabicyclo[2.2.2]octane |
| DCE | 1,2-Dichloroethane |
| DCM | Dichloromethane |
| DEEMM | Diethyl ethoxymethylenemalonate |
| DFBA | 2,4-Difluorobenzyl amine |
| DIAD | Diisopropyl azodicarboxylate |
| DIPEA | N,N-Diisopropylethylamine |
| DMA | Dimethylacetamide |
| DMAD | Dimethyl acetylenedicarboxylate |
| DMADMF | Dimethylformamide dimethyl acetal |
| DMF | Dimethylformamide |
| DMSO | Dimethylsulfoxide |
| DPPP | 1,3-Bis(diphenylphosphino)propane |
| DTG | Dolutegravir |
| EC50 | Half maximal effective concentration |
| EDC (EDCI) | 1-Ethyl-3-(3-dimethylaminopropyl)carbodiimide |
| EMME | Ethoxymethylenemalonic ester |
| EVG | Elvitegravir |
| FDA | Food and Drug Administration |
| FGI | Functional group interconversion |
| HATU | 1-[Bis(dimethylamino)methylene]-1H-1,2,3-triazolo[4,5-b]pyridinium 3-oxide hexafluorophosphate |
| HIV | Human immunodeficiency virus |
| HOBt | Hydroxybenzotriazole |
| IC50 | Half maximal inhibitory concentration |
| INI | Integrase inhibitor |
| MCPBA | Meta-chloroperoxybenzoic acid |
| NBS | N-Bromosuccinimide |
| NIS | N-Iodosuccinimide |
| NMM | N-Methylmorpholine |
| PIFA | Phenyliodine bis(trifluoroacetate) |
| PPA | Polyphosphoric acid |
| RAL | Raltegravir |
| TBHP | Tert-butyl hydroperoxide |
| TEA | Triethylamine |
| TFA | Trifluoroacetic acid |
| THF | Tetrahydrofuran |
References
- FDA approves raltegravir tablets. AIDS Patient Care STDS 2007, 21, 889. [CrossRef]
- Cooper, D.A.; Steigbigel, R.T.; Gatell, J.M.; Rockstroh, J.K.; Katlama, C.; Yeni, P.; Lazzarin, A.; Clotet, B.; Kumar, P.N.; Eron, J.E.; et al. Subgroup and Resistance Analyses of Raltegravir for Resistant HIV-1 Infection. N. Engl. J. Med. 2008, 359, 355–365. [Google Scholar] [CrossRef] [PubMed]
- Scarci, K.K.; Havens, J.P.; Podany, A.T.; Avedissian, S.N.; Fletcher, C.V. HIV-1 Integrase Inhibitors: A Comparative Review of Efficacy and Safety. Drugs 2020, 80, 1649–1676. [Google Scholar] [CrossRef] [PubMed]
- Jozwik, I.K.; Passos, D.O.; Lyumkis, D. Structural Biology of HIV Integrase Strand Transfer Inhibitors. Trends Pharmacol. Sci. 2020, 41, 611–626. [Google Scholar] [CrossRef] [PubMed]
- Hajimahdi, Z.; Zarghi, A. Progress in HIV-a Integrase Inhibitros: A review of their Chemical Structure Diversity. Iran J. Pharm. Res. 2016, 15, 595–628. [Google Scholar]
- Ingale, K.B.; Bhatia, M.S. HIV-1 Integrase Inhibitors: A Review of Their Chemical Development. Antivir. Chem. Chemother. 2011, 22, 95–105. [Google Scholar] [CrossRef]
- Trivedi, J.; Mahajan, D.; Jaffe, R.J.; Acharya, A.; Mitra, D.; Byrareddy, S.N. Recent Advances in the Development of Integrase Inhibitors for HIV Treatment. Curr. HIV/AIDS Rep. 2020, 17, 63–75. [Google Scholar] [CrossRef]
- Liman, W.; Ait Lahcen, N.; Oubahmane, M.; Hdoufane, I.; Cherqaoui, D.; Daoud, R.; El Allali, A. Hybrid Molecules as Potential Drugs for the Treatment of HIV: Design and Applications. Pharmaceuticals 2022, 15, 1092. [Google Scholar] [CrossRef]
- Zhou, J.; Hao, J.; Peng, L.; Duan, H.; Luo, Q.; Yan, H.; Wan, H.; Hu, Y.; Liang, L.; Xie, Z.; et al. Classification and Design of HIV-1 Integrase Inhibitors Based on Machine Learning. Comput. Math. Methods Med. 2021, 2021, 5559338. [Google Scholar] [CrossRef]
- Sala, M.; Spensiero, A.; Esposito, F.; Scala, M.C.; Vernieri, E.; Bertamino, A.; Manfra, M.; Carotenuto, A.; Grieco, P.; Novellino, E.; et al. Development and Identification of a Novel Anti-HIV-1 Peptide Derived by Modification of the N-Terminal Domain of HIV-1 Integrase. Front. Microbiol. 2016, 7, 845. [Google Scholar] [CrossRef]
- Nair, V.; Okello, M. Integrase Inhibitor Prodrugs: Approaches to Enhancing the Anti-HIV Activity of β-Diketo Acids. Molecules 2015, 20, 12623–12651. [Google Scholar] [CrossRef] [PubMed]
- Sawant, A.A.; Jadav, S.S.; Nayani, K.; Mainkar, P.S. Development of Synthetic Approaches Towards HIV Integrase Strand Transfer Inhibitors (INSTIs). Chemistryselect 2022, 7, e202201915. [Google Scholar] [CrossRef]
- Stranix, B.R.; Wu, J.J.; Milot, G.; Beaulieu, F.; Bouchard, J.-E.; Gouveia, K.; Forte, A.; Garde, S.; Wang, Z.; Mouscadet, J.-F.; et al. Pyridoxine hydroxamic acids as novel HIV-integrase inhibitors. Bioorg. Med. Chem. Lett. 2016, 26, 1233–1236. [Google Scholar] [CrossRef]
- Okello, M.; Nishonov, M.; Singh, P.; Mishra, S.; Mangu, N.; Seo, B.; Gund, M.; Nair, V. Approaches to the synthesis of a novel, anti-HIV active integrase inhibitor. Org. Biomol. Chem. 2013, 11, 7852–7858. [Google Scholar] [CrossRef] [PubMed]
- Nair, V.; Okello, M.O.; Nishonov, A.A.; Mishra, S. Pyridinone Hydroxycyclopentyl Carboxamides: HIV Integrase Inhibitors with Therapeutic Applications. WO Patent 2011071849 A2, 16 June 2011. [Google Scholar]
- Okello, M.; Mishra, S.; Nishonov, M.; Nair, V. Notable difference in anti-HIV activity of integrase inhibitors as a consequence of geometric and enantiomeric configurations. Bioorg. Med. Chem. Lett. 2013, 23, 4112–4116. [Google Scholar] [CrossRef]
- Seo, B.I.; Uchil, V.R.; Okello, M.; Mishra, S.; Ma, X.-H.; Nishonov, M.; Shu, Q.; Chi, G.; Nair, V. Discovery of a Potent HIV Integrase Inhibitor That Leads to a Prodrug with Significant anti-HIV Activity. ACS Med. Chem. Lett. 2011, 2, 877–881. [Google Scholar] [CrossRef]
- Kawasuji, T.; Yoshinaga, T.; Sato, A.; Yodo, M.; Fujiwara, T.; Kiyama, R. A platform for designing HIV integrase inhibitors. Part 1: 2-Hydroxy-3-heteroaryl acrylic acid derivatives as novel HIV integrase inhibitor and modeling of hydrophilic and hydrophobic pharmacophores. Bioorg. Med. Chem. 2006, 14, 8430–8445. [Google Scholar] [CrossRef]
- Wang, Z.; Vince, R. Design and synthesis of dual inhibitors of HIV reverse transcriptase and integrase: Introducing a diketoacid functionality into delavirdine. Bioorg. Med. Chem. 2008, 16, 3587–3595. [Google Scholar] [CrossRef]
- Cavalluzzo, C.; Voet, A.; Christ, F.; Singh, B.K.; Sharma, A.; Debyser, Z.; De Maeyer, M.; Van der Eycken, E. De novo design of small molecule inhibitors targeting the LEDGF/p75-HIVintegrase interaction. RSC Adv. 2012, 2, 974–984. [Google Scholar] [CrossRef]
- Sugiyama, S.; Akiyama, T.; Taoda, Y.; Iwaki, T.; Matsuoka, E.; Akihisa, E.; Seki, T.; Yoshinaga, T.; Kawasuji, T. Discovery of novel HIV-1 integrase-LEDGF/p75 allosteric inhibitors based on a pyridine scaffold forming an intramolecular hydrogen bond. Bioorg. Med. Chem. Lett. 2021, 33, 127742. [Google Scholar] [CrossRef]
- Naidu, B.N.; Patel, M.; McAuliffe, B.; Ding, B.; Cianci, C.; Simmermacher, J.; Jenkins, S.; Parker, D.D.; Sivaprakasam, P.; Khan, J.A.; et al. Design, Synthesis, and Preclinical Profiling of GSK3739936 (BMS-986180), an Allosteric Inhibitor of HIV-1 Integrase with Broad-Spectrum Activity toward 124/125 Polymorphs. J. Med. Chem. 2022, 65, 4949–4971. [Google Scholar] [CrossRef] [PubMed]
- Kawasuji, T.; Johns, B.A.; Yoshida, H.; Taishi, T.; Taoda, Y.; Murai, H.; Kiyama, R.; Fuji, M.; Yoshinaga, T.; Seki, T.; et al. Carbamoyl Pyridone HIV-1 Integrase Inhibitors. 1. Molecular Design and Establishment of an Advanced Two-Metal Binding Pharmacophore. J. Med. Chem. 2012, 55, 8735–8744. [Google Scholar] [CrossRef] [PubMed]
- Yoshida, H. Carbamoylpyridone Derivative Having HIV Integrase Activity. EP Patent 1790638 A1, 30 May 2007. [Google Scholar]
- Rostami, M.; Sirous, H.; Zabihollahi, R.; Aghasadeghi, M.R.; Sadat, S.M.; Namazi, R.; Saghaie, L.; Memarian, H.R.; Fassihi, A. Design, synthesis and anti-HIV-1 evaluation of a series of 5-hydroxypyridine-4-one derivatives as possible integrase inhibitors. Med. Chem. Res. 2015, 24, 4113–4127. [Google Scholar] [CrossRef]
- Sirous, H.; Fassihi, A.; Brogi, S.; Campiani, G.; Christ, F.; Debyser, Z.; Gemma, S.; Butini, S.; Chemi, G.; Grillo, A.; et al. Synthesis, Molecular Modelling and Biological Studies of 3-hydroxypyrane-4-one and 3-hydroxy-pyridine-4-one Derivatives as HIV-1 Integrase Inhibitors. Med. Chem. 2019, 15, 755–770. [Google Scholar] [CrossRef] [PubMed]
- Satoh, M.; Aramaki, H.; Yamashita, M.; Inoue, M.; Kawakami, H.; Shinkai, H.; Nakamura, H.; Matsuzaki, Y.; Wamaki, S. 6-(Heterocycle-substitited benzyl)-4-oxoquinoline Compound and Use of the Same as HIV Integrase Inhibitor. WO Patent 2007148780 A1, 27 December 2007. [Google Scholar]
- Dowdy, E.; Chen, X.; Pfeiffer, S. Process and Intermediates for Preparing Integrase Inhibitors. WO Patent 2008033836 A2, 20 March 2008. [Google Scholar]
- Hu, L.; Yan, S.; Luo, Z.; Han, X.; Wang, Y.; Wang, Z.; Zeng, C. Design, Practical Synthesis, and Biological Evaluation of Novel 6-(Pyrazolylmethyl)-4-quinoline-3-carboxylic Acid Derivatives as HIV-1 Integrase Inhibitors. Molecules 2012, 17, 10652–10666. [Google Scholar] [CrossRef]
- Deo, K.D.; Singhvi, I.J.; Patil, S.R.; Patil, A.V. Docking, Synthesis and Biological Evaluation of Novel Diketoquinoline Analogues as HIV-1 Integrase Inhibitor. Asian J. Chem. 2019, 31, 2000–2008. [Google Scholar] [CrossRef]
- Deo, K.D.; Singhvi, I.J.; Murugesan, S.; Vadnere, G.P.; Patil, A.V. Design, synthesis and biological evaluation of novel quinoline analogues as HIV-1 integrase inhibitor. Int. J. Pharm. Sci. Res. 2020, 11, 1210–1223. [Google Scholar] [CrossRef]
- He, Q.-Q.; Zhang, X.; Wu, H.-Q.; Gu, S.-X.; Ma, X.-D.; Yang, L.-M.; Zheng, Y.-T.; Chen, F.-E. Synthesis and biological evaluation of HQCAs with aryl or benzyl substituents on N-1 position as potential HIV-1 integrase inhibitors. Bioorg. Med. Chem. 2011, 19, 5553–5558. [Google Scholar] [CrossRef]
- He, Q.-Q.; Zhang, X.; Yang, L.-M.; Zheng, Y.-T.; Chen, F. Synthesis and biological evaluation of 5-fluoroquinolone-3-carboxylic acids as potential HIV-1 integrase inhibitors. J. Enzym. Inhib. Med. Chem. 2013, 28, 671–676. [Google Scholar] [CrossRef]
- Sato, M.; Kawakami, H.; Motomura, T.; Aramaki, H.; Matsuda, T.; Yamashita, M.; Ito, Y.; Matsuzaki, Y.; Yamataka, K.; Ikeda, S.; et al. Quinolone Carboxylic Acids as a Novel Monoketo Acid Class of Human Immunodeficiency Virus Type 1 Integrase Inhibitors. J. Med. Chem. 2009, 52, 4869–4882. [Google Scholar] [CrossRef]
- Velthuisen, E.J.; Johns, B.A.; Temelkoff, D.P.; Brown, K.W.; Danehower, S.C. The Design of 8-Hydroxyquinoline Tetracyclic Lactams as HIV-1 Integrase Strand Transfer Inhibitors. Eur. J. Med. Chem. 2016, 117, 99–112. [Google Scholar] [CrossRef] [PubMed]
- Hu, L.; Rong, J.; Mao, Z.; Wang, Y.; Zeng, C. 1-N-Substituted Benzyl-6-N′-substituent-2,3,6,9-tetralin-1H-[1,4] Benzoxazine [3,2-g] Quinolone-9-ketone-8-formic Acid Compound and Preparation Method and Application Thereof. CN Patent 104693216 A, 10 June 2015. [Google Scholar]
- Carcelli, M.; Bacchi, A.; Pelagatti, P.; Rispoli, G.; Rogolino, D.; Sanchez, T.W.; Sechi, M.; Neamati, N. Ruthenium arene complexes as HIV-1 integrase strand transfer inhibitors. J. Inorg. Biochem. 2013, 118, 74–82. [Google Scholar] [CrossRef] [PubMed]
- Bacchi, A.; Carcelli, M.; Compari, C.; Fisicaro, E.; Pala, N.; Rispoli, G.; Rogolino, D.; Sanchez, T.W.; Sechi, M.; Sinisi, V.; et al. Investigating the Role of Metal Chelation in HIV-1 Integrase Strand Transfer Inhibitors. J. Med. Chem. 2011, 54, 8407–8420. [Google Scholar] [CrossRef]
- Fandrick, K.R.; Li, W.; Zhang, Y.; Tang, W.; Gao, J.; Rodriguez, S.; Patel, N.D.; Reeves, D.C.; Wu, J.-P.; Sanyal, S.; et al. Concise and Practical Asymmetric Synthesis of a Challenging Atropisomeric HIV Integrase Inhibitor. Angew. Chem. Int. Ed. 2015, 54, 7144–7148. [Google Scholar] [CrossRef]
- Haddad, N.; Mangunuru, H.P.R.; Fandrick, K.R.; Qu, B.; Sieber, J.D.; Rodriguez, S.; Desrosiers, J.-N.; Patel, N.; Lee, H.; Kurouski, D.; et al. Reengineered BI-DIME Ligand Core Based on Computer Modeling to Increase Selectivity in Asymmetric Suzuki-Miyaura Coupling for the Challenging Axially Chiral HIV Integrase Inhibitor. Adv. Synth. Catal. 2016, 358, 3522–3527. [Google Scholar] [CrossRef]
- Brown, B.H.; Wang, X.; Fandrick, K.R.; Gao, J.J.; Haddad, N.; Landry, S.R.; Li, W.; Lu, Z.H.; Qu, B.; Reeves, D.C.; et al. Process for the Preparation of an HIV Integrase Inhibitor. U.S. Patent 2014094609 A1, 3 April 2014. [Google Scholar]
- Jentsch, N.G.; Hart, A.P.; Hume, J.D.; Sun, J.; McNeely, K.A.; Lama, C.; Pigza, J.A.; Donahue, M.J.; Kessl, J.J. Synthesis and Evaluation of Aryl Quinolines as HIV-1 Integrase Multimerization Inhibitors. ACS Med. Chem. Lett. 2018, 9, 1007–1012. [Google Scholar] [CrossRef] [PubMed]
- Sekgota, K.C.; Majumder, S.; Isaacs, M.; Mnkandhla, D.; Hoppe, H.C.; Khanye, S.D.; Kriel, F.H.; Coates, J.; Kaye, P.T. Application of the Morita-Baylis-Hillman Reaction in the Synthesis of 3-[(N-Cycloalkylbenzamido)methyl]-2-quinolones as potential HIV-1 Integrase Inhibitors. Bioorg. Chem. 2017, 75, 310–316. [Google Scholar] [CrossRef]
- Corvaglia, V.; Carbajo, D.; Prabhakaran, P.; Ziach, K.; Mandal, P.K.; Dos Santos, V.; Legeay, C.; Vogel, R.; Parissi, V.; Pourquier, P.; et al. Carboxylate-functionalized foldamer inhibitors of HIV-1 integrase and Topoisomerase 1: Artificial analogues of DNA mimic proteins. Nucleic Acids Res. 2019, 47, 5511–5521. [Google Scholar] [CrossRef]
- Adams, M.M.; Bats, J.B.; Nikolaus, N.V.; Witvrouw, M.; Debyser, Z.; Engels, J.W. Microwave-assisted synthesis of fluoroquinolones and their nucleosides as inhibitors of HIV integrase. Collect. Czechoslov. Chem. Commun. 2006, 71, 978–990. [Google Scholar] [CrossRef]
- Polanski, J.; Niedbala, H.; Musiol, R.; Podeszwa, B.; Tabak, D.; Palka, A.; Mencel, A.; Finster, J.; Mouscadet, J.-F.; Le Bret, M. 5-Hydroxy-6-Quinaldic Acid as a Novel Molecular Scaffold for HIV-1 Integrase Inhibitors. Lett. Drug Des. Discov. 2006, 3, 175–178. [Google Scholar] [CrossRef]
- Mouscadet, J.-F.; Desmaële, D. Chemistry and Structure-Activity Relationship of the Styrylquinoline-Type HIV Integrase Inhibitors. Molecules 2010, 15, 3048–3078. [Google Scholar] [CrossRef] [PubMed]
- Sechi, M.; Rizzi, G.; Bacchi, A.; Carcelli, M.; Rogolino, D.; Pala, N.; Sanchez, T.W.; Taheri, L.; Dayam, R.; Neamati, N. Design and synthesis of novel dihydroquinoline-3-carboxylic acids as HIV-1 integrase inhibitors. Bioorg. Med. Chem. 2009, 17, 2925–2935. [Google Scholar] [CrossRef] [PubMed]
- Wang, Z.; Vince, R. Synthesis of pyrimidine and quinolone conjugates as a scaffold for dual inhibitors of HIV reverse transcriptase and integrase. Bioorg. Med. Chem. Lett. 2008, 18, 1293–1296. [Google Scholar] [CrossRef] [PubMed]
- Metobo, S.E.; Jin, H.; Tsiang, M.; Kim, C.U. Design, synthesis, and biological evaluation of novel tricyclic HIV-1 integrase inhibitors by modification of its pyridine ring. Bioorg. Med. Chem. Lett. 2006, 16, 3985–3988. [Google Scholar] [CrossRef] [PubMed]
- Jin, H.; Cai, R.Z.; Schacherer, L.; Jabri, S.; Tsiang, M.; Fardis, M.; Chen, X.; Chen, J.M.; Kim, C.U. Design, synthesis, and SAR studies of novel and highly active tri-cyclic HIV integrase inhibitors. Bioorg. Med. Chem. Lett. 2006, 16, 3989–3992. [Google Scholar] [CrossRef]
- Jin, H.; Wright, M.; Pastor, R.; Mish, M.; Metobo, S.; Jabri, S.; Lansdown, R.; Cai, R.; Pyun, P.; Tsiang, M.; et al. Tricyclic HIV integrase inhibitors: Potent and orally bioavailable C5-aza analogs. Bioorg. Med. Chem. Lett. 2008, 18, 1388–1391. [Google Scholar] [CrossRef]
- Yamaguchi, T.; Fukuda, T.; Ishibashi, F.; Iwao, M. The first total synthesis of lamellarin a 20-sulfate, a selective inhibitor of HIV-1 integrase. Tetrahedron Lett. 2006, 47, 3755–3757. [Google Scholar] [CrossRef]
- Di Santo, R.; Costi, R.; Roux, A.; Miele, G.; Crucitti, G.C.; Iacovo, A.; Rosi, F.; Lavecchia, A.; Marinelli, L.; Giovanni, C.D.; et al. Novel Quinolinonyl Diketo Acid Derivatives as HIV-1 Integrase Inhibitors: Design, Synthesis, and Biological Activities. J. Med. Chem. 2008, 51, 4744–4750. [Google Scholar] [CrossRef]
- Tandon, V.; Urvashi; Yadav, P.; Sur, S.; Abbat, S.; Tiwari, V.; Hewer, R.; Papathanasopoulos, M.A.; Raja, R.; Banerjea, A.C.; et al. Design, Synthesis, and Biological Evaluation of 1,2-Dihydroisoquinolines as HIV-1 Integrase Inhibitors. ACS Med. Chem. Lett. 2015, 6, 1065–1070. [Google Scholar] [CrossRef]
- Wilson, T.A.; Koneru, P.C.; Rebensburg, S.V.; Lindenberger, J.J.; Kobe, M.J.; Cockroft, N.T.; Adu-Ampratwum, D.; Larue, R.C.; Kvaratskhelia, M.; Fuchs, J.R. An Isoquinoline Scaffold as a Novel Class of Allosteric HIV-1 Integrase Inhibitors. ACS Med. Chem. Lett. 2019, 10, 215–220. [Google Scholar] [CrossRef]
- Reddy, A.G.K.; Satyanarayana, G. A simple efficient sequential one-pot intermolecular aza-Michael addition and intramolecular Buchwald–Hartwig arylation of amines: Synthesis of functionalized tetrahydroisoquinolines. Tetrahedron 2012, 68, 8003–8010. [Google Scholar] [CrossRef]
- George, A.; Reddy, A.G.K.; Satyanarayana, G.; Raghavendra, N.K. 1,2,3,4-Tetrahydroisoquinolines as inhibitors of HIV-1 integrase and human LEDGF/p75 interaction. Chem. Biol. Drug Des. 2018, 91, 1133–1140. [Google Scholar] [CrossRef] [PubMed]
- Billamboz, M.; Bailly, F.; Barreca, M.L.; De Luca, L.; Mouscadet, J.-F.; Calmels, C.; Andréola, M.-L.; Witvrouw, M.; Christ, F.; Debyser, Z.; et al. Design, Synthesis, and Biological Evaluation of a Series of 2-Hydroxyisoquinoline-1,3(2H,4H)-diones as Dual Inhibitors of Human Immunodeficiency Virus Type 1 Integrase and the Reverse Transcriptase RNase H Domain. J. Med. Chem. 2008, 51, 7717–7730. [Google Scholar] [CrossRef] [PubMed]
- Pankaj, W.; Priti, J.; Jadhav, H.R.; Santosh, R. 4-Substituted Benzylideneisoquinoline-1,3(2H,4H)-dione Derivatives: Synthesis and Biological Evaluation as Potential HIV-1 Integrase Inhibitors. Der Pharm. Lett. 2018, 10, 18–31. [Google Scholar]
- Billamboz, M.; Bailly, F.; Lion, C.; Calmels, C.; Andréola, M.-L.; Witvrouw, M.; Christ, F.; Debyser, Z.; De Luca, L.; Chimirri, A.; et al. 2-Hydroxyisoquinoline-1,3(2H,4H)-diones as inhibitors of HIV-1 integrase and reverse transcriptase RNase H domain: Influence of the alkylation of position 4. Eur. J. Med. Chem. 2011, 46, 535–546. [Google Scholar] [CrossRef]
- Hughes, D.L. Review of Synthetic Routes and Final Forms of Integrase Inhibitors Dolutegravir, Cabotegravir, and Bictegravir. Org. Process Res. Dev. 2019, 23, 716–729. [Google Scholar] [CrossRef]
- Vellanki, S.P.; Nadella, M.; Bhalme, M.; Ramabhotla, R.S.; Arumalla, V.S.R.; Kilaru, R.B. Process for the Preparation of Dolutegravir. WO Patent 2016/125192 A2, 11 August 2016. [Google Scholar]
- Ziegler, R.E.; Desai, B.K.; Jee, J.-A.; Gupton, B.F.; Roper, T.D.; Jamison, T.F. 7-Step Flow Synthesis of the HIV Integrase Inhibitor Dolutegravir. Angew. Chem. Int. Ed. 2018, 57, 7181–7185. [Google Scholar] [CrossRef]
- Yasukata, T.; Masui, M.; Ikarashi, F.; Okamoto, K.; Kurita, T.; Nagai, M.; Sugata, Y.; Miyake, N.; Hara, S.; Adachi, Y.; et al. Practical Synthetic Method for the Preparation of Pyrone Diesters: An Efficient Synthetic Route for the Synthesis of Dolutegravir Sodium. Org. Process Res. Dev. 2019, 23, 565–570. [Google Scholar] [CrossRef]
- Aoyama, Y.; Hakogi, T.; Fukui, Y.; Yamada, D.; Ooyama, T.; Nishino, Y.; Shinomoto, S.; Nagai, M.; Miyake, N.; Taoda, Y.; et al. Practical and Scalable Synthetic Method for Preparation of Dolutegravir Sodium: Improvement of a Synthetic Route for Large-Scale Synthesis. Org. Process Res. Dev. 2019, 23, 558–564. [Google Scholar] [CrossRef]
- Johns, B.A.; Kawasuji, T.; Weatherhead, J.G.; Taishi, T.; Temelkoff, D.P.; Yoshida, H.; Akiyama, T.; Taoda, Y.; Murai, H.; Kiyama, R.; et al. Carbamoyl Pyridone HIV-1 Integrase Inhibitors 3. A Diastereomeric Approach to Chiral Nonracemic Tricyclic Ring Systems and the Discovery of Dolutegravir (S/GSK1349572) and (S/GSK1265744). J. Med. Chem. 2015, 56, 5901–5916. [Google Scholar] [CrossRef]
- Ramanathan, S.; Mathias, A.A.; German, P.; Kearney, B.P. Clinical pharmacokinetic and pharmacodynamic profile of the HIV integrase inhibitor elvitegravir. Clin. Pharmacokinet. 2011, 50, 229–244. [Google Scholar] [CrossRef] [PubMed]
- Dietz, J.-P.; Lucas, T.; Groß, J.; Seitel, S.; Brauer, J.; Ferenc, D.; Gupton, B.F.; Opatz, T. Six-Step Gram-Scale Synthesis of the Human Immunodeficiency Virus Integrase Inhibitor Dolutegravir Sodium. Org. Process Res. Dev. 2021, 25, 1898–1910. [Google Scholar] [CrossRef]
- Schreier, J.D.; Embrey, M.W.; Raheem, I.T.; Barbe, G.; Campeau, L.-C.; Dubost, D.; McCabe Dunn, J.; Grobler, J.; Hartingh, T.J.; Hazuda, D.J.; et al. Discovery and optimization of 2-pyridinone aminal integrase strand transfer inhibitors for the treatment of HIV. Bioorg. Med. Chem. Lett. 2017, 27, 2038–2046. [Google Scholar] [CrossRef] [PubMed]
- Sun, L.; Gao, P.; Dong, G.; Zhang, X.; Cheng, X.; Ding, X.; Wang, X.; Daelemans, D.; De Clercq, E.; Pannecouque, C.; et al. 5-Hydroxypyrido[2,3-b]pyrazin-6(5H)-One Derivatives as Novel Dual Inhibitors of HIV-1 Reverse Transcriptase-Associated Ribonuclease H and Integrase. Eur. J. Med. Chem. 2018, 155, 714–724. [Google Scholar] [CrossRef]
- Wang, H.; Kowalski, M.D.; Lakdawala, A.S.; Vogt, F.G.; Wu, L. An Efficient and Highly Diastereoselective Synthesis of GSK1265744, a Potent HIV Integrase Inhibitor. Org. Lett. 2015, 17, 564–567. [Google Scholar] [CrossRef]
- Cao, Y.; Xie, Y.; Nie, W.; Fu, C.; Hong, Y.; Lei, H. Alkynyl-Coupled Difluorophenylamino Pyridone HIV Integrase Inhibitor as Well as Preparation Method and Application Thereof. CN Patent 114149449 A, 8 March 2022. [Google Scholar]
- Kuethe, J.T.; Humphrey, G.R.; Journet, M.; Peng, Z.; Childers, K.G. Asymmetric Synthesis of a Potent HIV-1 Integrase Inhibitor. J. Org. Chem. 2016, 81, 10256–10265. [Google Scholar] [CrossRef]
- Vacca, J.P.; Wai, J.S.; Payne, L.S.; Isaacs, R.C.A.; Han, W.; Egbertson, M.; Pracitto, R. HIV Integrase Inhibitors. PCT International Application. WO Patent 2006121831 A2, 16 November 2006. [Google Scholar]
- Zhao, X.Z.; Smith, S.J.; Métifiot, M.; Johnson, B.C.; Marchand, C.; Pommier, Y.; Hughes, S.H.; Burke, T.R., Jr. Bicyclic 1-Hydroxy-2-oxo-1,2-dihydropyridine-3-carboxamide-Containing HIV-1 Integrase Inhibitors Having High Antiviral Potency against Cells Harboring Raltegravir-Resistant Integrase Mutants. J. Med. Chem. 2014, 57, 1573–1582. [Google Scholar] [CrossRef]
- Zhao, X.Z.; Smith, S.J.; Maskell, D.P.; Métifiot, M.; Pye, V.E.; Fesen, K.; Marchand, C.; Pommier, Y.; Cherepanov, P.; Hughes, S.H.; et al. Structure-Guided Optimization of HIV Integrase Strand Transfer Inhibitors. J. Med. Chem. 2017, 60, 7315–7332. [Google Scholar] [CrossRef]
- Hu, L.; Ju, L.; Mao, Z.; Li, Z.; Zeng, C. 6-Chlorine-N-(substituted benzyl)-1H-pyrrolo[2,3-b]pyridine-2-amide Compound and Preparation Method as Well as Application Thereof. CN Patent 105294688 A, 3 February 2016. [Google Scholar]
- Hu, L.; Ju, L.; Mao, Z.; Li, Z.; Zeng, C. HIV-1 Integrase Inhibitor Compound as Well as Preparation Method and Application Thereof. CN Patent 105348282 A, 24 February 2016. [Google Scholar]
- Lee, S.U.; Park, J.H.; Kwon, T.H.; Yoo, Y.J.; Lee, J.Y.; Shin, C.G.; Yoo, K.H.; Lee, Y.S. Synthesis and HIV-1 Integrase Inhibitory Activities of 4-Hydroxy-5-azacoumarin 3-Carboxamides. Bull. Korean Chem. Soc. 2007, 28, 1510–1514. [Google Scholar] [CrossRef]
- Zhao, X.Z.; Maddali, K.; Metifiot, M.; Smith, S.J.; Vu, B.C.; Marchand, C.; Hughes, S.H.; Pommier, Y.; Burke, T.R., Jr. Bicyclic Hydroxy-1H-pyrrolopyridine-trione Containing HIV-1 Integrase Inhibitors. Chem. Biol. Drug Des. 2011, 79, 157–165. [Google Scholar] [CrossRef]
- Plewe, M.B.; Butler, S.L.; Dress, K.R.; Hu, O.; Johnson, T.W.; Kuehler, J.E.; Kuki, A.; Lam, H.; Liu, W.; Nowlin, D.; et al. Azaindole Hydroxamic Acids are Potent HIV-1 Integrase Inhibitors. J. Med. Chem. 2009, 52, 7211–7219. [Google Scholar] [CrossRef] [PubMed]
- Boros, E.E.; Edwards, C.E.; Foster, S.A.; Fuji, M.; Fujiwara, T.; Garvey, E.P.; Golden, P.L.; Hazen, R.J.; Jeffrey, J.L.; Johns, B.A.; et al. Synthesis and Antiviral Activity of 7-Benzyl-4-hydroxy-1,5-naphthyridin-2(1H)-one HIV Integrase Inhibitors. J. Med. Chem. 2009, 52, 2754–2761. [Google Scholar] [CrossRef] [PubMed]
- Johns, B.A.; Kawasuji, T.; Weatherhead, J.G.; Boros, E.E.; Thompson, J.B.; Garvey, E.P.; Foster, S.A.; Jeffrey, J.L.; Miller, W.H.; Kurose, N.; et al. Combining symmetry elements results in potent naphthyridinone (NTD) HIV-1 integrase inhibitors. Bioorg. Med. Chem. Lett. 2011, 21, 6461–6464. [Google Scholar] [CrossRef] [PubMed]
- Korolev, S.P.; Pustovarova, M.A.; Starosotnikov, A.M.; Bastrakov, M.A.; Agapkina, Y.Y.; Shevelev, S.A.; Gottikh, M.B. Nitrobenzofuroxane Derivatives as Dual Action HIV-1 Inhibitors. Biochem. Mosc. Suppl. Ser. B Biomed. Chem. 2017, 11, 286–290. [Google Scholar] [CrossRef]
- Starosotnikov, A.M.; Shkaev, D.V.; Bastrakov, M.A.; Fedyanin, I.V.; Shevelev, S.A.; Dalinger, I.L. Nucleophilic dearomatization of 4-aza-6-nitrobenzofuroxan by CH acids in the synthesis of pharmacology-oriented compounds. Beilstein J. Org. Chem. 2017, 13, 2854–2861. [Google Scholar] [CrossRef]
- Bastrakov, M.A.; Starosotnikov, A.M.; Fedyanin, I.V.; Kachala, V.V.; Shevelev, S.A. 5-Nitro-7,8-furoxanoquinoline: A new type of fused nitroarenes possessing Diels–Alder reactivity. Mendeleev Commun. 2014, 24, 203–205. [Google Scholar] [CrossRef]
- Starosotnikov, A.M.; Nikol’skiy, V.V.; Borodulya, A.N.; Kachala, V.V.; Bastrakov, M.A.; Solkan, V.N.; Shevelev, S.A. Synthesis and Functionalization of 5,7-Dinitroquinoline and Its N-Oxide. Asian J. Org. Chem. 2016, 5, 685–690. [Google Scholar] [CrossRef]
- Platts, M.Y.; Barber, C.G.; Chiva, G.-Y.; Eastwood, R.L.; Fenwick, D.R.; Paradowski, K.A.; Blakemore, D.C. A concise synthesis of HIV integrase inhibitors bearing the dipyridone acid motif. Tetrahedron Lett. 2011, 52, 512–514. [Google Scholar] [CrossRef]
- Kinzel, O.D.; Monteagudo, E.; Muraglia, E.; Orvieto, F.; Pescatore, G.; Rosario Rico Ferreira, M.D.; Rowley, M.; Summa, V. The synthesis of tetrahydropyridopyrimidones as a new scaffold for HIV-1 integrase inhibitors. Tetrahedron Lett. 2007, 48, 6552–6555. [Google Scholar] [CrossRef]
- Kinzel, O.D.; Ball, R.G.; Donghi, M.; Maguire, C.K.; Muraglia, E.; Pesci, S.; Rowley, M.; Summa, V. 3-Hydroxy-4-oxo-4H-pyrido[1,2-a]pyrimidine-2-carboxylates—Fast access to a heterocyclic scaffold for HIV-1 integrase inhibitors. Tetrahedron Lett. 2008, 49, 6556–6558. [Google Scholar] [CrossRef]
- Johns, B.A.; Weatherhead, J.G.; Allen, S.H.; Thompson, J.B.; Garvey, E.P.; Foster, S.A.; Jeffrey, J.L.; Miller, W.H. The use of oxadiazole and triazole substituted naphthyridines as HIV-1 integrase inhibitors. Part 1: Establishing the pharmacophore. Bioorg. Med. Chem. Lett. 2009, 19, 1802–1806. [Google Scholar] [CrossRef] [PubMed]
- Le, G.; Vandegraaff, N.; Rhodes, D.I.; Jones, E.D.; Coates, J.A.V.; Thienthong, N.; Winfield, L.J.; Lu, L.; Li, X.; Yu, C.; et al. Design of a series of bicyclic HIV-1 integrase inhibitors. Part 2: Azoles: Effective metal chelators. Bioorg. Med. Chem. Lett. 2010, 20, 5909–5912. [Google Scholar] [CrossRef] [PubMed]
Disclaimer/Publisher’s Note: The statements, opinions and data contained in all publications are solely those of the individual author(s) and contributor(s) and not of MDPI and/or the editor(s). MDPI and/or the editor(s) disclaim responsibility for any injury to people or property resulting from any ideas, methods, instructions or products referred to in the content. |
© 2023 by the authors. Licensee MDPI, Basel, Switzerland. This article is an open access article distributed under the terms and conditions of the Creative Commons Attribution (CC BY) license (https://creativecommons.org/licenses/by/4.0/).

























































