An Efficient 5-Aminolevulinic Acid Photodynamic Therapy Treatment for Human Hepatocellular Carcinoma
Abstract
1. Introduction
2. Results
2.1. PpIX Accumulation in HCC Cell Lines
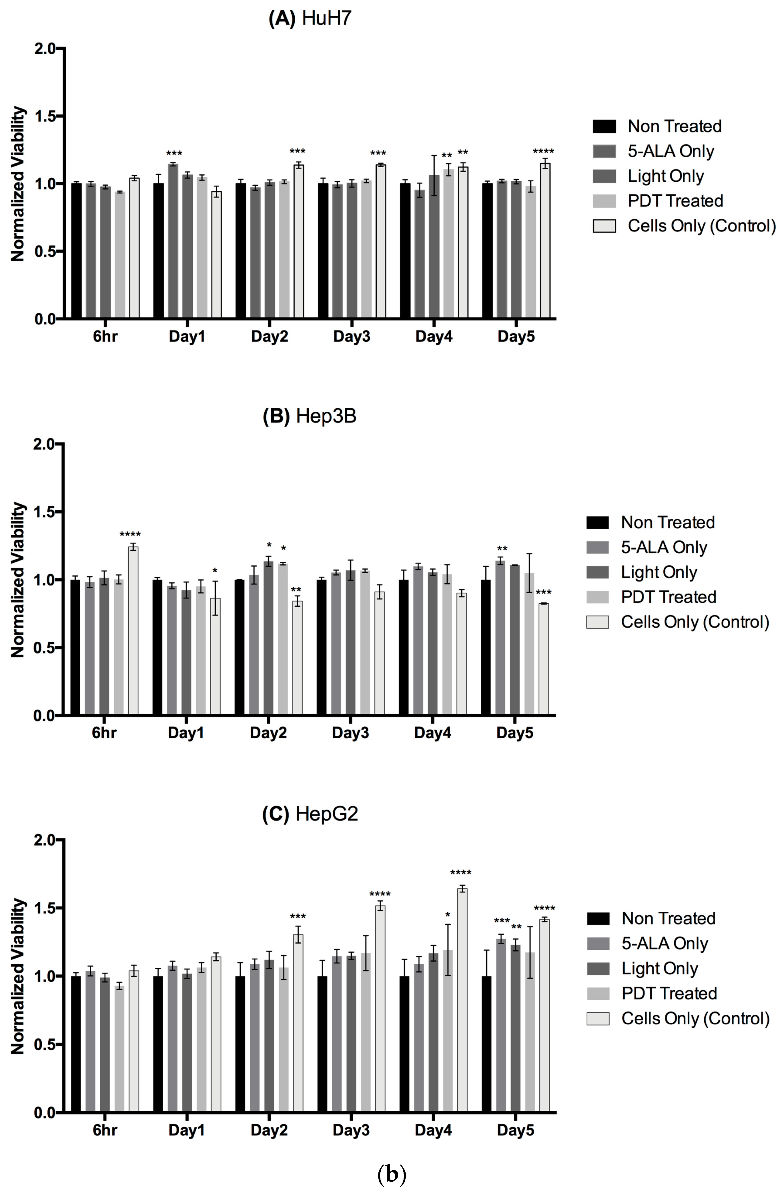
2.2. In Vitro Phototoxicity in HCC Cell Lines
2.3. Impact of 5-ALA PDT Treated Conditioned Media on HCC Cell Lines
2.4. Impact of 5-ALA PDT on Healthy Donor Human Myofibroblasts
2.5. Impact of 5-ALA-PDT-Treated Conditioned Media on Human PBMCs
2.6. Preclinical Assessment of the 5-ALA PDT Efficiency in a SCID Mice Model of HCC
2.7. Impact of 5-ALA on HCC Patient Tumor Hepatocytes
3. Discussion
4. Materials and Methods
4.1. In Vitro Cell Models
4.1.1. HCC Cell Lines
4.1.2. Tumor Hepatocytes from HCC Patients
4.1.3. Liver Myofibroblasts from Healthy Human Donors (HLMFs)
4.1.4. Peripheral Blood Mononuclear Cells from Human Healthy Donor (PBMCs)
4.2. In Vivo SCID Mice Model of HCC
4.3. Photodynamic Therapy
4.4. Viability Assay
4.5. Flow Cytometry
4.6. Fluorimetry
4.7. Proliferation Assay
4.8. Culture of Cancer Cell Lines with Conditioned Media
4.9. RNA Extraction and RT-qPCR
4.10. Cytotoxicity Assay
4.11. ELISA of Collagen I
4.12. Statistical Analysis
5. Conclusions
Author Contributions
Funding
Institutional Review Board Statement
Informed Consent Statement
Data Availability Statement
Acknowledgments
Conflicts of Interest
References
- Mittal, S.; El-Serag, H.B. Epidemiology of HCC: Consider the Population. J. Clin. Gastroenterol. 2013, 47, S2–S6. [Google Scholar] [CrossRef] [PubMed]
- Marengo, A.; Rosso, C.; Bugianesi, E. Liver Cancer: Connections with Obesity, Fatty Liver, and Cirrhosis. Annu. Rev. Med. 2016, 67, 103–117. [Google Scholar] [CrossRef] [PubMed]
- Klungboonkrong, V.; Das, D.; McLennan, G. Molecular Mechanisms and Targets of Therapy for Hepatocellular Carcinoma. J. Vasc. Interv. Radiol. 2017, 28, 949–955. [Google Scholar] [CrossRef]
- Lencioni, R. Loco-Regional Treatment of Hepatocellular Carcinoma. Hepatology 2010, 52, 762–773. [Google Scholar] [CrossRef]
- Johnston, M.P.; Khakoo, S.I. Immunotherapy for Hepatocellular Carcinoma: Current and Future. World J. Gastroenterol. 2019, 25, 2977–2989. [Google Scholar] [CrossRef]
- Finn, R.S.; Zhu, A.X. Evolution of Systemic Therapy for Hepatocellular Carcinoma. Hepatology 2020, 73, 150–157. [Google Scholar] [CrossRef]
- Ormond, A.B.; Freeman, H.S. Dye Sensitizers for Photodynamic Therapy. Materials 2013, 6, 817–840. [Google Scholar] [CrossRef]
- Dougherty, T.J.; Kaufman, J.E.; Goldfarb, A.; Weishaupt, K.R.; Boyle, D.; Mittleman, A. Photoradiation Therapy for the Treatment of Malignant Tumors. Cancer Res. 1978, 38, 2628–2635. [Google Scholar] [PubMed]
- Inoue, Y.; Tanaka, R.; Komeda, K.; Hirokawa, F.; Hayashi, M.; Uchiyama, K. Fluorescence Detection of Malignant Liver Tumors Using 5-Aminolevulinic Acid-Mediated Photodynamic Diagnosis: Principles, Technique, and Clinical Experience. World J. Surg. 2014, 38, 1786–1794. [Google Scholar] [CrossRef]
- Nishimura, M.; Murayama, Y.; Harada, K.; Kamada, Y.; Morimura, R.; Ikoma, H.; Ichikawa, D.; Fujiwara, H.; Okamoto, K.; Otsuji, E. Photodynamic Diagnosis of Hepatocellular Carcinoma Using 5-Aminolevulinic Acid. Anticancer Res. 2016, 36, 4569–4574. [Google Scholar] [CrossRef]
- Garg, A.D.; Krysko, D.V.; Vandenabeele, P.; Agostinis, P. Hypericin-Based Photodynamic Therapy Induces Surface Exposure of Damage-Associated Molecular Patterns like HSP70 and Calreticulin. Cancer Immunol. Immunother. CII 2012, 61, 215–221. [Google Scholar] [CrossRef] [PubMed]
- Brackett, C.M.; Gollnick, S.O. Photodynamic Therapy Enhancement of Anti-Tumor Immunity. Photochem. Photobiol. Sci. Off. J. Eur. Photochem. Assoc. Eur. Soc. Photobiol. 2011, 10, 649–652. [Google Scholar] [CrossRef] [PubMed]
- Asayama-Kosaka, S.; Akilov, O.E.; Kawana, S. Photodynamic Therapy with 5% δ-Aminolevulinic Acid Is Safe and Effective Treatment of Acne Vulgaris in Japanese Patients. Laser Ther. 2014, 23, 115–120. [Google Scholar] [CrossRef] [PubMed]
- Mahmoudi, K.; Garvey, K.L.; Bouras, A.; Cramer, G.; Stepp, H.; Jesu Raj, J.G.; Bozec, D.; Busch, T.M.; Hadjipanayis, C.G. 5-Aminolevulinic Acid Photodynamic Therapy for the Treatment of High-Grade Gliomas. J. Neurooncol. 2019, 141, 595–607. [Google Scholar] [CrossRef]
- Almerie, M.Q.; Gossedge, G.; Wright, K.E.; Jayne, D.G. Treatment of Peritoneal Carcinomatosis with Photodynamic Therapy: Systematic Review of Current Evidence. Photodiagnosis Photodyn. Ther. 2017, 20, 276–286. [Google Scholar] [CrossRef]
- Lee, Y.R.; Park, S.Y. P53 Expression in Hepatocellular Carcinoma: Influence on the Radiotherapeutic Response of the Hepatocellular Carcinoma. Clin. Mol. Hepatol. 2015, 21, 230–231. [Google Scholar] [CrossRef]
- Wespiser, M.; Marguier, A.; Lecoester, B.; Richard, T.; Boullerot, L.; Malfroy, M.; Kumar, A.; Laheurte, C.; Adotévi, O. Response to Chemoimmunotherapy Is Associated with Expansion of Systemic Antitumor CD4+ Th1 Response in Metastatic Non–Small Cell Lung Cancer. J. Immunother. 2023, 10–1097. [Google Scholar] [CrossRef]
- Fiorito, V.; Chiabrando, D.; Petrillo, S.; Bertino, F.; Tolosano, E. The Multifaceted Role of Heme in Cancer. Front. Oncol. 2020, 9, 1540. [Google Scholar] [CrossRef]
- Sansaloni-Pastor, S.; Bouilloux, J.; Lange, N. The Dark Side: Photosensitizer Prodrugs. Pharmaceuticals 2019, 12, 148. [Google Scholar] [CrossRef]
- Myrzakhmetov, B.; Arnoux, P.; Mordon, S.; Acherar, S.; Tsoy, I.; Frochot, C. Photophysical Properties of Protoporphyrin IX, Pyropheophorbide-a and Photofrin® in Different Conditions. Pharmaceuticals 2021, 14, 138. [Google Scholar] [CrossRef]
- Abo-Zeid, M.A.M.; Abo-Elfadl, M.T.; Mostafa, S.M. Photodynamic Therapy Using 5-Aminolevulinic Acid Triggered DNA Damage of Adenocarcinoma Breast Cancer and Hepatocellular Carcinoma Cell Lines. Photodiagnosis Photodyn. Ther. 2018, 21, 351–356. [Google Scholar] [CrossRef] [PubMed]
- de Bruijn, H.S.; Brooks, S.; van der Ploeg-van den Heuvel, A.; ten Hagen, T.L.M.; de Haas, E.R.M.; Robinson, D.J. Light Fractionation Significantly Increases the Efficacy of Photodynamic Therapy Using BF-200 ALA in Normal Mouse Skin. PLoS ONE 2016, 11, e0148850. [Google Scholar] [CrossRef]
- Larue, L.; Myrzakhmetov, B.; Ben-Mihoub, A.; Moussaron, A.; Thomas, N.; Arnoux, P.; Baros, F.; Vanderesse, R.; Acherar, S.; Frochot, C. Fighting Hypoxia to Improve PDT. Pharmaceuticals 2019, 12, 163. [Google Scholar] [CrossRef]
- Grigalavicius, M.; Ezzatpanah, S.; Papakyriakou, A.; Raabe, T.T.H.; Yannakopoulou, K.; Theodossiou, T.A. 5-ALA Is a Potent Lactate Dehydrogenase Inhibitor but Not a Substrate: Implications for Cell Glycolysis and New Avenues in 5-ALA-Mediated Anticancer Action. Cancers 2022, 14, 4003. [Google Scholar] [CrossRef]
- Zuchowska, A.; Jastrzebska, E.; Chudy, M.; Dybko, A.; Brzozka, Z. 3D Lung Spheroid Cultures for Evaluation of Photodynamic Therapy (PDT) Procedures in Microfluidic Lab-on-a-Chip System. Anal. Chim. Acta 2017, 990, 110–120. [Google Scholar] [CrossRef] [PubMed]
- Mohammad-Hadi, L.; MacRobert, A.J.; Loizidou, M.; Yaghini, E. Photodynamic Therapy in 3D Cancer Models and the Utilisation of Nanodelivery Systems. Nanoscale 2018, 10, 1570–1581. [Google Scholar] [CrossRef] [PubMed]
- Wheeler, D.A.; Roberts, L.R. Comprehensive and Integrative Genomic Characterization of Hepatocellular Carcinoma. Cell 2017, 169, 1327–1341.e23. [Google Scholar] [CrossRef]
- Montero, J.; Dutta, C.; van Bodegom, D.; Weinstock, D.; Letai, A. P53 Regulates a Non-Apoptotic Death Induced by ROS. Cell Death Differ. 2013, 20, 1465–1474. [Google Scholar] [CrossRef]
- Tu, H.-C.; Ren, D.; Wang, G.X.; Chen, D.Y.; Westergard, T.D.; Kim, H.; Sasagawa, S.; Hsieh, J.J.-D.; Cheng, E.H.-Y. The P53-Cathepsin Axis Cooperates with ROS to Activate Programmed Necrotic Death upon DNA Damage. Proc. Natl. Acad. Sci. USA 2009, 106, 1093–1098. [Google Scholar] [CrossRef]
- Yow, C.M.N.; Wong, C.K.; Huang, Z.; Ho, R.J. Study of the Efficacy and Mechanism of ALA-Mediated Photodynamic Therapy on Human Hepatocellular Carcinoma Cell. Liver Int. 2007, 27, 201–208. [Google Scholar] [CrossRef]
- Tong, Z.; Singh, G.; Rainbow, A.J. The Role of the P53 Tumor Suppressor in the Response of Human Cells to Photofrin-Mediated Photodynamic Therapy. Photochem. Photobiol. 2000, 71, 201–210. [Google Scholar] [CrossRef] [PubMed]
- Nallagangula, K.S.; Nagaraj, S.K.; Venkataswamy, L.; Chandrappa, M. Liver Fibrosis: A Compilation on the Biomarkers Status and Their Significance during Disease Progression. Future Sci. OA 2017, 4, FSO250. [Google Scholar] [CrossRef] [PubMed]
- Garg, A.D.; Nowis, D.; Golab, J.; Agostinis, P. Photodynamic Therapy: Illuminating the Road from Cell Death towards Anti-Tumour Immunity. Apoptosis Int. J. Program. Cell Death 2010, 15, 1050–1071. [Google Scholar] [CrossRef] [PubMed]
- Tang, P.M.-K.; Bui-Xuan, N.-H.; Wong, C.-K.; Fong, W.-P.; Fung, K.-P. Pheophorbide A-Mediated Photodynamic Therapy Triggers HLA Class I-Restricted Antigen Presentation in Human Hepatocellular Carcinoma. Transl. Oncol. 2010, 3, 114–122. [Google Scholar] [CrossRef] [PubMed]
- Baydoun, M.; Moralès, O.; Frochot, C.; Ludovic, C.; Leroux, B.; Thecua, E.; Ziane, L.; Grabarz, A.; Kumar, A.; de Schutter, C.; et al. Photodynamic Therapy Using a New Folate Receptor-Targeted Photosensitizer on Peritoneal Ovarian Cancer Cells Induces the Release of Extracellular Vesicles with Immunoactivating Properties. J. Clin. Med. 2020, 9, 1185. [Google Scholar] [CrossRef]
- Kumar, A.; Moralès, O.; Mordon, S.; Delhem, N.; Boleslawski, E. Could Photodynamic Therapy Be a Promising Therapeutic Modality in Hepatocellular Carcinoma Patients? A Critical Review of Experimental and Clinical Studies. Cancers 2021, 13, 5176. [Google Scholar] [CrossRef]
- Thecua, E.; Ziane, L.; Baert, G.; Deleporte, P.; Leroux, B.; Kumar, A.; Baydoun, M.; Morales, O.; Delhem, N.; Mordon, S. Devices Based on Light Emitting Fabrics Dedicated to PDT Preclinical Studies. In Proceedings of the 17th International Photodynamic Association World Congress, Cambridge, MA, USA, 28 June–4 July 2019; International Society for Optics and Photonics. Volume 11070, p. 110705P. [Google Scholar]
- Egger, N.G.; Schoenecker, J.A.; Gourley, W.K.; Motamedi, M.; Anderson, K.E.; Weinman, S.A. Photosensitization of Experimental Hepatocellular Carcinoma with Protoporphyrin Synthesized from Administered δ-Aminolevulinic Acid: Studies with Cultured Cells and Implanted Tumors. J. Hepatol. 1997, 26, 913–920. [Google Scholar] [CrossRef]
- Otake, M.; Nishiwaki, M.; Kobayashi, Y.; Baba, S.; Kohno, E.; Kawasaki, T.; Fujise, Y.; Nakamura, H. Selective Accumulation of ALA-Induced PpIX and Photodynamic Effect in Chemically Induced Hepatocellular Carcinoma. Br. J. Cancer 2003, 89, 730–736. [Google Scholar] [CrossRef]
- Wagner, A.; Denzer, U.W.; Neureiter, D.; Kiesslich, T.; Puespoeck, A.; Rauws, E.A.J.; Emmanuel, K.; Degenhardt, N.; Frick, U.; Beuers, U.; et al. Temoporfin Improves Efficacy of Photodynamic Therapy in Advanced Biliary Tract Carcinoma: A Multicenter Prospective Phase II Study. Hepatology 2015, 62, 1456–1465. [Google Scholar] [CrossRef]
- Quilbe, A.; Moralès, O.; Baydoun, M.; Kumar, A.; Mustapha, R.; Murakami, T.; Leroux, B.; de Schutter, C.; Thecua, E.; Ziane, L.; et al. An Efficient Photodynamic Therapy Treatment for Human Pancreatic Adenocarcinoma. J. Clin. Med. 2020, 9, 192. [Google Scholar] [CrossRef]
- Mordon, S.; Cochrane, C.; Tylcz, J.B.; Betrouni, N.; Mortier, L.; Koncar, V. Light Emitting Fabric Technologies for Photodynamic Therapy. Photodiagnosis Photodyn. Ther. 2015, 12, 1–8. [Google Scholar] [CrossRef] [PubMed]













| Gene Name | Forward Sequence | Reverse Sequence | 
|---|---|---|
| Collagen-1 | CCTCAAGGGCTCCAACGAG | TCAATCACTGTCTTGCCCCA | 
| Alpha-Smooth Muscle Actin (α-SMA) | TGAAGAGCATCCCACCCT | ACGAAGGAATAGCCACGC | 
| Tissue Inhibitor of Metalloproteinases 1 (TIMP1) | CCTGTTGTTGCTGTGGCTGA | GGTATAAGGTGGTCTGGTTGACTTC | 
| Heat Shock Protein 47 (HSP47) | TGAAGATCTGGATGGGGAAG | CTTGTCAATGGCCTCAGTCA | 
| Matrix Metalloproteinase 2 (MMP2) | ACGACCGCGACAAGAAGTAT | ATTTGTTGCCCAGGAAAGTG | 
| Beta-Actin | CACGGCATCGTCACCAACT | AGCCACACGCAGCTCATTG | 
| Glyceraldehyde 3-Phosphate Dehydrogenase (GAPDH) | GCCAAGGTCATCCATGACAACTTTGG | GCCTGCTTCACCACCTTCTTGATGTC | 
| Hypoxanthine Phosphoribosyltransferase (HPRT) | CCCTGGCGTCGTGATTAG | ATGGCCTCCCATCTCCTT | 
| Disclaimer/Publisher’s Note: The statements, opinions and data contained in all publications are solely those of the individual author(s) and contributor(s) and not of MDPI and/or the editor(s). MDPI and/or the editor(s) disclaim responsibility for any injury to people or property resulting from any ideas, methods, instructions or products referred to in the content. | 
© 2023 by the authors. Licensee MDPI, Basel, Switzerland. This article is an open access article distributed under the terms and conditions of the Creative Commons Attribution (CC BY) license (https://creativecommons.org/licenses/by/4.0/).
Share and Cite
Kumar, A.; Pecquenard, F.; Baydoun, M.; Quilbé, A.; Moralès, O.; Leroux, B.; Aoudjehane, L.; Conti, F.; Boleslawski, E.; Delhem, N. An Efficient 5-Aminolevulinic Acid Photodynamic Therapy Treatment for Human Hepatocellular Carcinoma. Int. J. Mol. Sci. 2023, 24, 10426. https://doi.org/10.3390/ijms241310426
Kumar A, Pecquenard F, Baydoun M, Quilbé A, Moralès O, Leroux B, Aoudjehane L, Conti F, Boleslawski E, Delhem N. An Efficient 5-Aminolevulinic Acid Photodynamic Therapy Treatment for Human Hepatocellular Carcinoma. International Journal of Molecular Sciences. 2023; 24(13):10426. https://doi.org/10.3390/ijms241310426
Chicago/Turabian StyleKumar, Abhishek, Florian Pecquenard, Martha Baydoun, Alexandre Quilbé, Olivier Moralès, Bertrand Leroux, Lynda Aoudjehane, Filomena Conti, Emmanuel Boleslawski, and Nadira Delhem. 2023. "An Efficient 5-Aminolevulinic Acid Photodynamic Therapy Treatment for Human Hepatocellular Carcinoma" International Journal of Molecular Sciences 24, no. 13: 10426. https://doi.org/10.3390/ijms241310426
APA StyleKumar, A., Pecquenard, F., Baydoun, M., Quilbé, A., Moralès, O., Leroux, B., Aoudjehane, L., Conti, F., Boleslawski, E., & Delhem, N. (2023). An Efficient 5-Aminolevulinic Acid Photodynamic Therapy Treatment for Human Hepatocellular Carcinoma. International Journal of Molecular Sciences, 24(13), 10426. https://doi.org/10.3390/ijms241310426
 
        



 
       