Ionic Conductivity of K-ion Glassy Solid Electrolytes of K2S-P2S5-KOTf System
Abstract
1. Introduction
2. Results
2.1. Synthesis and Characterization
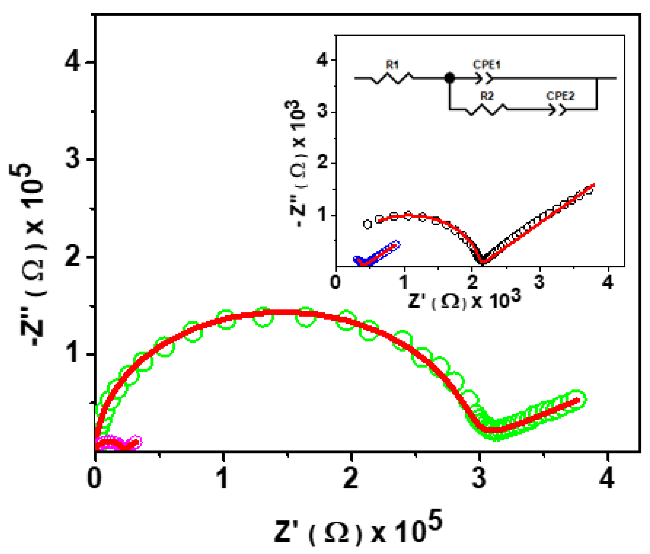
2.2. Ionic Conductivity
3. Discussion
3.1. Synthesis and Characterization
3.2. Ionic Conductivity
- K = Boltzmann constant;
- T = absolute temperature; and
- Ea = activation energy for conductivity. The activation energy (Ea) can be calculated from the slope of the lines of best fit in the log σT vs. 1000/T plot.

3.3. Optimizing the K2S/P2S5 Ratio
3.4. Optimizing KOTf Concentration
3.5. Raman Study for Conductivity Trend
4. Methods and Materials
5. Conclusions
Author Contributions
Funding
Institutional Review Board Statement
Informed Consent Statement
Data Availability Statement
Acknowledgments
Conflicts of Interest
References
- Rajagopalan, R.; Tang, Y.; Ji, X.; Jia, C.; Wang, H. Advancements and Challenges in Potassium Ion Batteries: A Comprehensive Review. Adv. Funct. Mater. 2020, 30, 1909486. [Google Scholar] [CrossRef]
- Zhu, Y.-H.; Yin, Y.-B.; Yang, X.; Sun, T.; Wang, S.; Jiang, Y.S.; Yan, J.-M.; Zhang, X.-B. Transformation of Rusty Stainless-Steel Meshes into Stable, Low-Cost, and Binder-Free Cathodes for High-Performance Potassium-Ion Batteries. Angew. Chem. Int. Ed. 2017, 56, 7881–7885. [Google Scholar] [CrossRef]
- Hosaka, T.; Kubota, K.; Hameed, A.S.; Komaba, S. Research Development on K-Ion Batteries. Chem. Rev. 2020, 120, 6358–6466. [Google Scholar] [CrossRef]
- Fei, H.; Liu, Y.; An, Y.; Xu, Y.; Zeng, G.; Tian, Y.; Ci, L.; Xi, B.; Xiong, S.; Feng, S. Stable all-solid-state potassium battery operating at room temperature with a composite polymer electrolyte and a sustainable organic cathode. J. Power Sources 2018, 399, 294–298. [Google Scholar] [CrossRef]
- Fei, H.; Liu, Y.; An, Y.; Xu, Y.; Zhang, J.; Xi, B.; Xiong, S.; Feng, J. Safe all-solid-state potassium batteries with three dimentional, flexible and binder-free metal sulfide array electrode. J. Power Sources 2019, 433, 226697. [Google Scholar] [CrossRef]
- Wang, Y.; Song, S.; Xu, C.; Hu, N.; Molenda, J.; Lu, L. Development of solid-state electrolytes for sodium-ion battery—A short review. Nano Mater. Sci. 2019, 1, 91–100. [Google Scholar] [CrossRef]
- Reddy, M.V.; Subba Rao, G.V.; Chowdari, B.V.R. Metal Oxides and Oxysalts as Anode Materials for Li Ion Batteries. Chem. Rev. 2013, 113, 5364–5457. [Google Scholar] [CrossRef]
- Yuan, H.; Li, H.; Zhang, T.; Li, G.; Du, F.; Feng, S. A K2Fe4O7 superionic conductor for all-solid-state potassium metal batteries. J. Mater. Chem. A 2018, 6, 8413–8418. [Google Scholar] [CrossRef]
- Chandra, A.; Basak, S.; Khan, M.Z.; Chandra, A.; Dhundhel, R.S.; Bhatt, A. Synthesis and ionic conductivity measurement of a new potassium ion conducting solid polymer electrolytes. IOP Conf. Ser. Mater. Sci. Eng. 2020, 798, 012007. [Google Scholar] [CrossRef]
- Kesharwani, P.; Sahu, D.K.; Mahipal, Y.K.; Agrawal, R.C. Conductivity enhancement in K+-ion conducting dry Solid Polymer Electrolyte (SPE): [PEO: KNO3]: A consequence of KI dispersal and nano-ionic effect. Mater. Chem. Phys. 2017, 193, 524–531. [Google Scholar] [CrossRef]
- Yamamoto, S.; Tamura, S.; Imanaka, N. New type of potassium ion conducting solid based on lanthanum oxysulfate. J. Alloys. Compd. 2006, 418, 226–229. [Google Scholar] [CrossRef]
- Fusco, F.A.; Massot, M.; Oueslati, M.; Haro, E.; Tuller, H.L.; Balkanski, M. Structural Changes in Fast Ion Conducting Chloride Doped Potassium Borate Glasses. MRS Proc. 2011, 135, 189. [Google Scholar] [CrossRef]
- Burmakin, E.I.; Nechaev, G.V.; Shekhtman, G.S. Solid potassium-cation-conducting electrolytes in the K1−2xBaxFeO2 and K1−2xPbxFeO2 systems. Russ. J. Electrochem. 2007, 43, 121–124. [Google Scholar] [CrossRef]
- Burmakin, E.I.; Antonov, B.D.; Shekhtman, G.S. Potassium ion conducting K1–2xCdxFeO2 solid electrolytes. Inorg. Mater. 2010, 46, 540–544. [Google Scholar] [CrossRef]
- Burmakin, E.I.; Shekhtman, G.S. Potassium ion conducting K2–2xFe2–xPxO4 solid electrolytes. Inorg. Mater. 2008, 44, 882–885. [Google Scholar] [CrossRef]
- Nechaev, G.V.; Burmakin, E.I. Potassium–conducting K1–2xPbxGaO2 solid electrolytes. Russ. J. Electrochem. 2011, 47, 457–460. [Google Scholar] [CrossRef]
- Braga, M.H.; Ferreira, J.A.; Stokhausen, V.; Oliveira, J.E.; El-Ajab, A. Novel Li3ClO based glasses with superionic properties for lithium batteries. J. Mater. Chem. A 2014, 2, 5470–5480. [Google Scholar] [CrossRef]
- Braga, M.H.; Murchison, A.J.; Ferreira, J.; Singh, P.; Goodenough, J.B. Glass-amorphous alkali-ion solid electrolytes and their performance in symmetrical cells. Energy Environ. Sci. 2016, 9, 948–954. [Google Scholar] [CrossRef]
- Minami, T.; Imazawa, K.; Tanaka, M. Formation region and characterization of superionic conducting glasses in the systems AgI-Ag2O-MxOy. J. Non-Cryst. Solids 1980, 42, 469–476. [Google Scholar] [CrossRef]
- Jha, P.K.; Pandey, O.; Singh, K. Na2S-P2S5 Based Super-Ionic Glasses for Solid Electrolytes. Trans. Indian Ceram. Soc. 2013, 72, 5–9. [Google Scholar]
- Startsev, Y.K.; Pronkin, A.A.; Sokolov, I.A.; Murin, I.V. Electrical conductivity and structure of glasses in the Na2O-Na2S-P2O5 and Na2S-P2S5 systems. Glass Phys. Chem. 2011, 37, 263–282. [Google Scholar] [CrossRef]
- Kulkarni, A.R.; Maiti, H.S.; Paul, A. Fast ion conducting lithium glasses—Review. Bull. Mater. Sci. 1984, 6, 201–221. [Google Scholar] [CrossRef]
- Chandra, A.; Bhatt, A.; Chandra, A. Ion Conduction in Superionic Glassy Electrolytes: An Overview. J. Mater. Sci. Technol. 2013, 29, 193–208. [Google Scholar] [CrossRef]
- Lodesani, F.; Menziani, M.C.; Hijiya, H.; Takato, Y.; Urata, S.; Pedone, A. Structural origins of the Mixed Alkali Effect in Alkali Aluminosilicate Glasses: Molecular Dynamics Study and its Assessment. Sci. Rep. 2020, 10, 2906. [Google Scholar] [CrossRef]
- Narasimham, P.S.L.; Mahadevan, S.; Rao, K.J. Electrical conductivity studies in K2SO4-ZnSO4 glasses. Proc. Indian Acad. Sci.-Chem. Sci. 1979, 88, 11–17. [Google Scholar] [CrossRef]
- Budina, D.; Zakel, Z.; Martin, J.; Menezes, P.; Schafer, M.; Weitzel, K.-M. Bombardment Induced Transport of Rb+ through a K+ Conducting Glass vs. K+ Transport through a Rb+ Conducting Glass. Z. Für Phys. Chem. 2014, 228, 609–627. [Google Scholar] [CrossRef]
- Yao, W.; Martin, S.W. Ionic conductivity of glasses in the MI+M2S+(0.1Ga2S3+0.9GeS2) system (M=Li, Na, K and Cs). Solid State Ion. 2008, 178, 1777–1784. [Google Scholar] [CrossRef]
- Thipperudra, A.; Nagaraj, N.; PrashanthKumar, M.; Arunkumar, B. DSC and FTIR Studies in Potassium, Strontium Doped Boro-Phosphate Glasses. Chem. Mater. Res. 2020, 20, 1–8. [Google Scholar]
- Lejeune, M.; Colomban, P.; Boilot, J.P. Fast potassium ion conduction in quenched KASICON glass. J. Non-Cryst. Solids 1982, 51, 273–276. [Google Scholar] [CrossRef]
- Lau, J.; Deblock, H.; Butts, D.M.; Ashby, D.S.; Choi, C.S.; Dunn, B.S. Sulfide Solid Electrolytes for Lithium Battery Applications. Adv. Energy Mater. 2018, 8, 1800933. [Google Scholar] [CrossRef]
- Kennedy, J.H. Ionically conductive glasses based on SiS2. Mater. Chem. Phys. 1989, 23, 29–50. [Google Scholar] [CrossRef]
- Hirai, K.; Tatsumisago, M.; Minami, T. Thermal and electrical properties of rapidly quenched glasses in the systems Li2S-SiS2-LixMOy (LixMOy = Li4SiO4, Li2SO4). Solid State Ion. 1995, 78, 269–273. [Google Scholar] [CrossRef]
- Deshpande, V.K. Factors affecting ionic conductivity in the lithium conducting glassy solid electrolytes. Ionics 2004, 10, 20–26. [Google Scholar] [CrossRef]
- Kondo, S.; Takada, K.; Yamamura, Y. New lithium ion conductors based on Li2S-SiS2 system. Solid State Ion. 1992, 53–56, 1183–1186. [Google Scholar] [CrossRef]
- Tatsumisago, M.; Hiral, K.; Hirata, T.; Takahashi, M.; Minami, T. Structure and properties of lithium ion conducting oxysulfide glasses prepared by rapid quenching. Solid State Ion. 1996, 86–88, 487–490. [Google Scholar] [CrossRef]
- Muñoz, F.; Duran, A.; Pascaula, L.; Montagne, L.; Revel, B.; Rodrigues, C.M. Increased electrical conductivity of LiPON glasses produced by ammonolysis. Solid State Ion. 2008, 179, 574–579. [Google Scholar] [CrossRef]
- Smith, J.G.; Siegel, D.J. Low-temperature paddlewheel effect in glassy solid electrolytes. Nat. Commun. 2020, 11, 1483. [Google Scholar] [CrossRef]
- Kennedy, J.H.; Yang, Y. A Highly Conductive Li+-Glass System: (1 − x )( 0.4SiS2 − 0.6Li2 S ) − xLil. J. Electrochem. Soc. 1986, 133, 2437–2438. [Google Scholar] [CrossRef]
- Naohisa, Y.; Shin, N.; Masayoshi, N. Thermal Decomposition of Lanthanum Trifluoromethanesulfonate. Chem. Lett. 1995, 24, 555–556. [Google Scholar]
- Egashira, K.; Yashimura, Y.; Kanno, H.; Suzuki, Y. TG-DTA study on the lanthanoid trifluoromethanesulfonate complexes. J. Therm. Anal. Calorim. 2003, 71, 501–508. [Google Scholar] [CrossRef]
- Malinowski, P.J.; Mazel, Z.; Derzsi, M.; Jaglicic, Z.; Szydtowska, J.; Gilewski, T.; Grochala, W. Silver(ii) triflate with one-dimensional [Ag(ii)(SO3CF3)4/2]∞ chains hosting antiferromagnetism. CrystEngComm 2011, 13, 6871–6879. [Google Scholar] [CrossRef]
- Subianto, S.; Dutta, N.K.; Choudhury, N.R. Water-Reprocessable, Reformable, and Ecofriendly Sustainable Material Based on Disulfide-Cross-Linked Polyethyleneimine. ACS Omega 2017, 2, 3036–3042. [Google Scholar] [CrossRef]
- Sathiyaraj, E.; Gurumoorthy, G.; Thirumaran, S. Nickel(ii) dithiocarbamate complexes containing the pyrrole moiety for sensing anions and synthesis of nickel sulfide and nickel oxide nanoparticles. New J. Chem. 2015, 39, 5336–5349. [Google Scholar] [CrossRef]
- Wada, H.; Menetrier, M.; Evasseir, A.; Hagenmuller, P. Preparation and ionic conductivity of new B2S3-Li2S-LiI glasses. Mater. Res. Bull. 1983, 18, 189–193. [Google Scholar] [CrossRef]
- Watson, D.E.; Martin, S.W. Short range order characterization of the Na2S+SiS2 glass system using Raman, infrared and 29Si magic angle spinning nuclear magnetic resonance spectroscopies. J. Non-Crystal. Solids 2017, 471, 39–50. [Google Scholar] [CrossRef]
- Paiva, A.L.; Moraes, E.Z.; Stochero, N.P.; Oliveira, A.P.N. Characterization of Vitrocrystalline Foams Produced from Discarded Glasses and Recycled Polystyrene Spheres. Mater. Res. 2017, 20, 472–478. [Google Scholar] [CrossRef][Green Version]
- Warren, B.E. X-ray determination of the structure of glass. J. Am. Ceram. Soc. 1934, 17, 249–254. [Google Scholar] [CrossRef]
- Koperwas, K.; Adrjanowicz, L.; Wojnarowska, Z.; Jedrzejowska, A.; Knapik, J.; Paluch, M. Glass-Forming Tendency of Molecular Liquids and the Strength of the Intermolecular Attractions. Sci. Rep. 2016, 6, 36934. [Google Scholar] [CrossRef]
- Turnbull, D. Under what conditions can a glass be formed? Contemp. Phys. 1969, 10, 473–488. [Google Scholar] [CrossRef]
- Saetova, N.S.; Raskovalov, A.A.; Antonov, B.D.; Yoroslavtseva, T.V.; Reznitskikh, O.G.; Kadurova, N.I. The influence of lithium oxide concentration on the transport properties of glasses in the Li2O–B2O3–SiO2 system. J. Non-Crystal. Solids 2016, 443, 75–81. [Google Scholar] [CrossRef]
- Interpreting DSC Curves Part 1: Dynamic Measurements, in Information for Users of METTLER TOLEDO Thermal Analysis Systems; Metteler Toledo: Columbus, OH, USA, 2020.
- Brisebois, G. Signal Conditioning for High-Impedance Sensors. EDN 2016, 51, 67. [Google Scholar]
- Whittam, J.; Hector, A.L.; Kavanagh, C.; Owen, J.R.; Reid, G. Combination of Solid-State and Electrochemical Impedance Spectroscopy To Explore Effects of Porosity in Sol–Gel-Derived BaTiO3 Thin Films. ACS Omega 2018, 3, 6880–6887. [Google Scholar] [CrossRef]
- Choi, W.; Shin, H.-C.; Kin, J.M.; Choi, J.Y.; Yoon, W.S. Modeling and Applications of Electrochemical Impedance Spectroscopy (EIS) for Lithium-ion Batteries. J. Electrochem. Sci. Technol. 2020, 11, 1–13. [Google Scholar] [CrossRef]
- Shimakawa, K. Electrical Transport Properties of Glass. In Springer Hand Book of Glass; Springer: Berlin/Heidelberg, Germany, 2019; p. 343. [Google Scholar]
- Jha, P.K.; Pandey, O.P.; Singh, K. Non-isothermal crystallization kinetics of K2O modified sodium-phosphate glasses. J. Non-Crystal. Solids 2016, 440, 76–84. [Google Scholar] [CrossRef]
- Liu, X.; Liang, B.; Zhang, M.; Long, Y.; Li, W. Enhanced photocatalytic properties of α-SnWO4 nanosheets modified by Ag nanoparticles. J. Colloid Interface Sci. 2017, 490, 46–52. [Google Scholar] [CrossRef]
- Montouillout, V.; Fan, H.; Campo, L.D.; Ory, S.; Rakhmatullin, A.; Fayon, F.; Malki, M. Ionic conductivity of lithium borate glasses and local structure probed by high resolution solid-sate NMR. J. Non-Crystal. Solids 2018, 484, 57–64. [Google Scholar] [CrossRef]
- Neyret, M.; Lenoir, M.; Grandjean, A.; Massoni, M.; Penelon, B.; Malki, M. Ionic transport of alkali in borosilicate glass. Role of alkali nature on glass structure and on ionic conductivity at the glassy state. J. Non-Crystal. Solids 2015, 410, 74–81. [Google Scholar] [CrossRef]
- Pradel, A.; Ribes, M. Electrical properties of lithium conductive silicon sulfide glasses prepared by twin roller quenching. Solid State Ion. 1986, 18–19, 351–355. [Google Scholar] [CrossRef]
- Kennedy, J.H.; Yang, Y. Glass-forming region and structure in SiS2-Li2S-LiX (X = Br, I). J. Solid State Chem. 1987, 69, 252–257. [Google Scholar] [CrossRef]
- Tuller, H.L.; Tuller, H.L.; Balkanski, M. Science and Technology of Fast Ion Conductors; NATO-ASI Series; Plenum: New York, NY, USA, 1989; Volume 199, p. 51. [Google Scholar]
- Kennedy, J.H.; Sahami, S.; Sheg, S.W.; Zhang, Z. Preparation and conductivity measurements of SiS2-Li2S glasses doped with LiBr and LiCI. Solid State Ion. 1986, 18–19, 368–371. [Google Scholar] [CrossRef]
- Ujiie, S.; Hayashi, A.; Tatsumisago, M. Structure, ionic conductivity and electrochemical stability of Li2S–P2S5–LiI glass and glass–ceramic electrolytes. Solid State Ion. 2012, 211, 42–45. [Google Scholar] [CrossRef]
- Noi, K.; Hayashi, A.; Tatsumisago, M. Structure and properties of the Na2S–P2S5 glasses and glass–ceramics prepared by mechanical milling. J. Power Sources 2014, 269, 260–265. [Google Scholar] [CrossRef]
- Dietrich, C.; Weber, D.A.; Sedlmaier, S.J.; Indris, S.; Culver, S.P.; Walter, D.; Janek, J.; Zeier, W.G. Lithium ion conductivity in Li2S–P2S5 glasses–building units and local structure evolution during the crystallization of superionic conductors Li3PS4, Li7P3S11 and Li4P2S7. J. Mater. Chem. A 2017, 5, 18111–18119. [Google Scholar] [CrossRef]
- Chryssikos, G.D.; Kamitsos, E.I.; Patsis, A.P. Effect of Li2SO4 on the structure of Li2O-B2O3 glasses. J. Non-Cryst. Solid 1996, 202, 222–232. [Google Scholar] [CrossRef]
- Minami, T.; Hayashi, A.; Tatsumisago, M. Recent progress of glass and glass-ceramics as solid electrolytes for lithium secondary batteries. Solid State Ion. 2006, 177, 2715–2720. [Google Scholar] [CrossRef]
- Aotani, N.; Twamoto, K.; Takada, K.; Kondo, S. Synthesis and electrochemical properties of lithium ion conductive glass, Li3PO4-Li2S-SiS2. Solid State Ion. 1994, 68, 35–39. [Google Scholar] [CrossRef]
- Mizuno, F.; Hayashi, A.; Tadanaga, K.; Tasumisaga, M. New, Highly Ion-Conductive Crystals Precipitated from Li2S–P2S5 Glasses. Adv. Mater. 2005, 17, 918–921. [Google Scholar] [CrossRef]
- Kennedy, J.H.; Schaupp, C.; Eckert, H.; Ribes, M. Aluminum substitution in the glass system 0.33 [(1−x)P2S5-xAl2S3]−0.67 Li2S. Solid State Ion. 1991, 45, 21–27. [Google Scholar] [CrossRef]
- Zhang, Z.; Kennedy, J. Synthesis and characterization of the B2S3-Li2S, the P2S5-Li2S and the B2S3-P2S5-Li2S glass systems. Solid State Ion. 1990, 38, 217–224. [Google Scholar] [CrossRef]
- Deshpande, V.K.; Pradel, A.; Ribes, M. The mixed glass former effect in the Li2S:SiS2:GeS2 system. Mater. Res. Bull. 1988, 23, 379–384. [Google Scholar] [CrossRef]
- Radhakrishnan, K.; Chowdari, B.V.R. Fast ion conduction in Li2O GeO2 Nb2O5 glasses. Mater. Sci. Eng. B 1992, 14, 17–22. [Google Scholar] [CrossRef]








| Moles (x) | σ 21 (S cm−1) | Ea (eV) |
|---|---|---|
| 0.15 | 2.91 × 10−10 | 0.99 |
| 0.30 | 8.93 × 10−12 | 0.80 |
| 0.45 | 4.88 × 10−12 | 0.89 |
| 0.60 | 1.06 × 10−7 | 0.83 |
| 0.75 | 3.95 × 10−10 | 0.98 |
| y | σ 21 (S cm−1) | Ea |
|---|---|---|
| 0.05 | 7.81 × 10−11 | 1.04 |
| 0.10 | 1.06 × 10−7 | 0.83 |
| 0.15 | 1.84 × 10−11 | 1.17 |
| 0.20 | 3.00 × 10−12 | 1.05 |
| 0.25 | 3.88 × 10−12 | 0.90 |
Disclaimer/Publisher’s Note: The statements, opinions and data contained in all publications are solely those of the individual author(s) and contributor(s) and not of MDPI and/or the editor(s). MDPI and/or the editor(s) disclaim responsibility for any injury to people or property resulting from any ideas, methods, instructions or products referred to in the content. |
© 2023 by the authors. Licensee MDPI, Basel, Switzerland. This article is an open access article distributed under the terms and conditions of the Creative Commons Attribution (CC BY) license (https://creativecommons.org/licenses/by/4.0/).
Share and Cite
Hona, R.K.; Azure, A.D.; Guinn, M.; Phuyal, U.S.; Stroh, K.; Thapa, A.K. Ionic Conductivity of K-ion Glassy Solid Electrolytes of K2S-P2S5-KOTf System. Int. J. Mol. Sci. 2023, 24, 16855. https://doi.org/10.3390/ijms242316855
Hona RK, Azure AD, Guinn M, Phuyal US, Stroh K, Thapa AK. Ionic Conductivity of K-ion Glassy Solid Electrolytes of K2S-P2S5-KOTf System. International Journal of Molecular Sciences. 2023; 24(23):16855. https://doi.org/10.3390/ijms242316855
Chicago/Turabian StyleHona, Ram Krishna, Alexa D. Azure, Mandy Guinn, Uttam S. Phuyal, Kianna Stroh, and Arjun K. Thapa. 2023. "Ionic Conductivity of K-ion Glassy Solid Electrolytes of K2S-P2S5-KOTf System" International Journal of Molecular Sciences 24, no. 23: 16855. https://doi.org/10.3390/ijms242316855
APA StyleHona, R. K., Azure, A. D., Guinn, M., Phuyal, U. S., Stroh, K., & Thapa, A. K. (2023). Ionic Conductivity of K-ion Glassy Solid Electrolytes of K2S-P2S5-KOTf System. International Journal of Molecular Sciences, 24(23), 16855. https://doi.org/10.3390/ijms242316855

