The Relationship between Serum miRNAs and Early Mortality in Multiple Myeloma Patients Treated with Bortezomib-Based Regimens
Abstract
1. Introduction
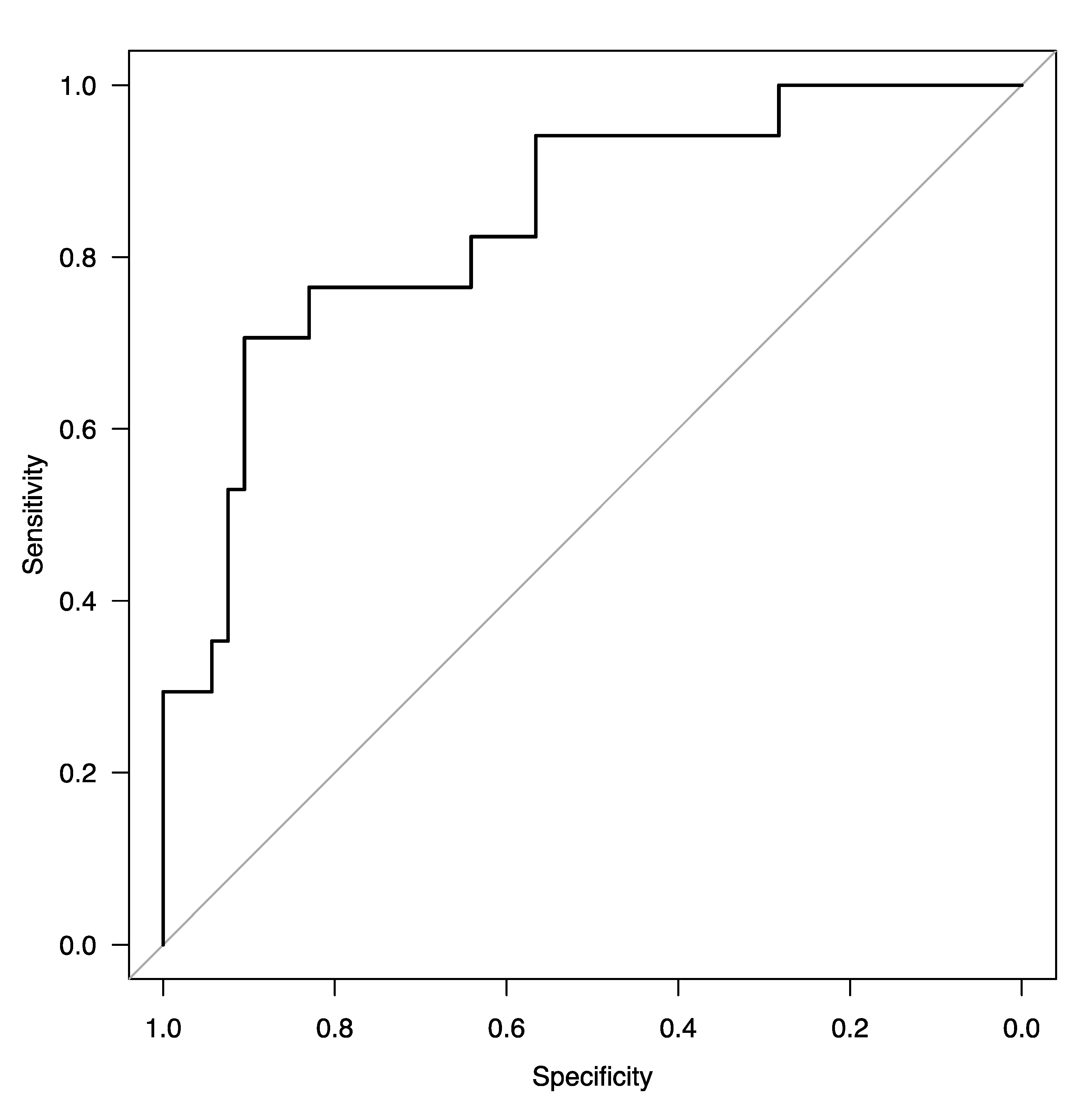
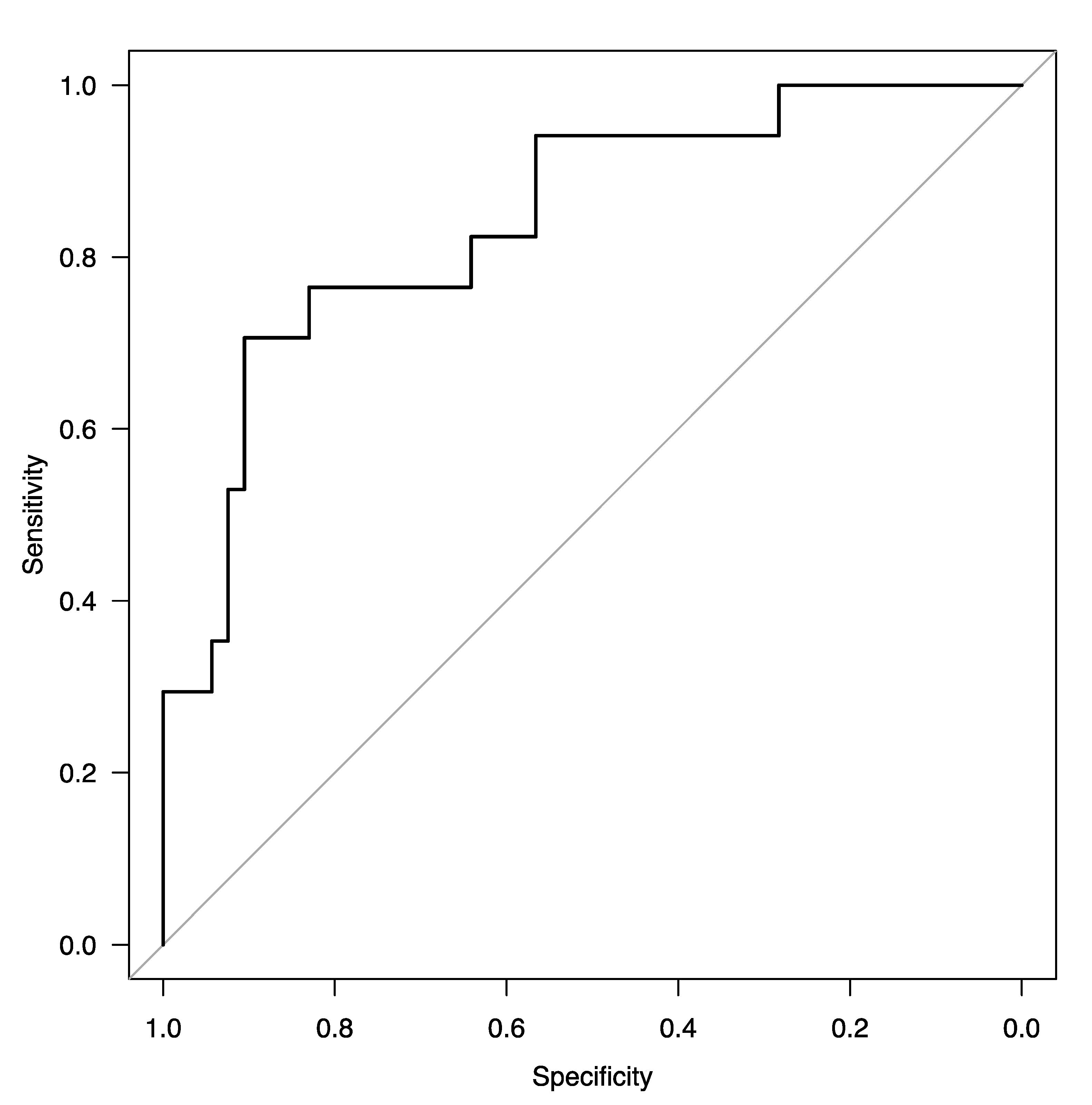
2. Results
3. Discussion
4. Materials and Methods
4.1. Patients and Treatment
4.2. Isolation of miRNA
4.3. Reverse Transcriptase Reaction
4.4. Determination of microRNA Expression
4.5. Real-Time PCR (qPCR)
4.6. Statistical Analysis
5. Conclusions
Supplementary Materials
Author Contributions
Funding
Institutional Review Board Statement
Informed Consent Statement
Data Availability Statement
Acknowledgments
Conflicts of Interest
References
- Palumbo, A.; Anderson, K. Multiple Myeloma. N. Engl. J. Med. 2011, 364, 1046–1060. [Google Scholar] [CrossRef] [PubMed]
- Becker, N. Epidemiology of Multiple Myeloma. Recent Results Cancer Res. 2011, 183, 25–35. [Google Scholar] [PubMed]
- Siegel, R.L.; Miller, K.D.; Fuchs, H.E.; Jemal, A. Cancer Statistics, 2021. CA Cancer J. Clin. 2021, 71, 7–33. [Google Scholar] [CrossRef] [PubMed]
- Fonseca, R.; Abouzaid, S.; Bonafede, M.; Cai, Q.; Parikh, K.; Cosler, L.; Richardson, P. Trends in Overall Survival and Costs of Multiple Myeloma, 2000-2014. Leukemia 2017, 31, 1915–1921. [Google Scholar] [CrossRef]
- Robak, P.; Robak, T. Bortezomib for the Treatment of Hematologic Malignancies: 15 Years Later. Drugs R&D 2019, 19, 73–92. [Google Scholar] [CrossRef]
- Palumbo, A.; Avet-Loiseau, H.; Oliva, S.; Lokhorst, H.M.; Goldschmidt, H.; Rosinol, L.; Richardson, P.; Caltagirone, S.; Lahuerta, J.J.; Facon, T.; et al. Revised International Staging System for Multiple Myeloma: A Report from International Myeloma Working Group. J. Clin. Oncol. 2015, 33, 2863–2869. [Google Scholar] [CrossRef]
- Costa, L.J.; Usmani, S.Z. Defining and Managing High-Risk Multiple Myeloma: Current Concepts. J. Natl. Compr. Canc. Netw. 2020, 18, 1730–1737. [Google Scholar] [CrossRef]
- Augustson, B.M.; Begum, G.; Dunn, J.A.; Barth, N.J.; Davies, F.; Morgan, G.; Behrens, J.; Smith, A.; Child, J.A.; Drayson, M.T. Early Mortality after Diagnosis of Multiple Myeloma: Analysis of Patients Entered onto the United Kingdom Medical Research Council Trials between 1980 and 2002—Medical Research Council Adult Leukaemia Working Party. J. Clin. Oncol. 2005, 23, 9219–9226. [Google Scholar] [CrossRef]
- Kumar, V.; Ailawadhi, M.; Dutta, N.; Abdulazeez, M.; Aggarwal, C.S.; Quintero, G.; Baksh, M.; Roy, V.; Sher, T.; Alegria, V.; et al. Trends in Early Mortality From Multiple Myeloma: A Population-Based Analysis. Clin. Lymphoma Myeloma Leuk. 2021, 21, e449–e455. [Google Scholar] [CrossRef]
- Murakami, H.; Hayashi, K.; Hatsumi, N.; Saitoh, T.; Yokohama, A.; Matsushima, T.; Tsukamoto, N.; Morita, K.; Karasawa, M.; Ogawara, H.; et al. Risk Factors for Early Death in Patients Undergoing Treatment for Multiple Myeloma. Ann. Hematol. 2001, 80, 452–455. [Google Scholar] [CrossRef]
- Kastritis, E.; Terpos, E.; Roussou, M.; Eleutherakis-Papaiakovou, E.; Gavriatopoulou, M.; Kalapanida, D.; Migkou, M.; Kanellias, N.; Christoulas, D.; Gika, D.; et al. Very Early Death (<2 Months) In Myeloma Is Associated With Advanced Age, Poor Performance Status and Reduced Use Of Novel Agents, While Early Death Within 12 Months Is Associated With High Risk Features Of Both The Disease and The Patient. Blood 2013, 122, 3195. [Google Scholar] [CrossRef]
- Costa, L.J.; Gonsalves, W.I.; Kumar, S.K. Early Mortality in Multiple Myeloma. Leukemia 2015, 29, 1616–1618. [Google Scholar] [CrossRef]
- Kumar, S.K.; Dispenzieri, A.; Lacy, M.Q.; Gertz, M.A.; Buadi, F.K.; Pandey, S.; Kapoor, P.; Dingli, D.; Hayman, S.R.; Leung, N.; et al. Continued Improvement in Survival in Multiple Myeloma: Changes in Early Mortality and Outcomes in Older Patients. Leukemia 2014, 28, 1122–1128. [Google Scholar] [CrossRef]
- Dimopoulos, M.A.; Delimpasi, S.; Katodritou, E.; Vassou, A.; Kyrtsonis, M.C.; Repousis, P.; Kartasis, Z.; Parcharidou, A.; Michael, M.; Michalis, E.; et al. Significant Improvement in the Survival of Patients with Multiple Myeloma Presenting with Severe Renal Impairment after the Introduction of Novel Agents. Ann. Oncol. Off. J. Eur. Soc. Med. Oncol. 2014, 25, 195–200. [Google Scholar] [CrossRef]
- Hsu, P.; Lin, T.W.; Gau, J.P.; Yu, Y.B.; Hsiao, L.T.; Tzeng, C.H.; Chen, P.M.; Chiou, T.J.; Liu, J.H.; Liu, Y.C.; et al. Risk of Early Mortality in Patients With Newly Diagnosed Multiple Myeloma. Medicine 2015, 94, e2305. [Google Scholar] [CrossRef]
- Terebelo, H.R.; Shah, J.J.; Durie, B.G.; Abonour, R.; Gasparetto, C.; Mehta, J.; Narang, M.; Thomas, S.P.; Toomey, K.; Pashos, C.L.; et al. Early Mortality (EM) for Newly Diagnosed Multiple Myeloma (NDMM) in the Connect MM U.S. Registry. J. Clin. Oncol. 2013, 31, 8596. [Google Scholar] [CrossRef]
- Holmström, M.O.; Gimsing, P.; Abildgaard, N.; Andersen, N.F.; Helleberg, C.; Clausen, N.A.T.; Klausen, T.W.; Frederiksen, M.; Kristensen, D.L.; Larsen, H.; et al. Causes of Early Death in Multiple Myeloma Patients Who Are Ineligible for High-Dose Therapy with Hematopoietic Stem Cell Support: A Study Based on the Nationwide Danish Myeloma Database. Am. J. Hematol. 2015, 90, E73–E74. [Google Scholar] [CrossRef]
- Chen, Y.K.; Han, S.M.; Yang, Y.; Lin, T.H.; Tzeng, H.E.; Chang, K.H.; Hwang, W.L.; Teng, C.L.J. Early Mortality in Multiple Myeloma: Experiences from a Single Institution. Hematology 2016, 21, 392–398. [Google Scholar] [CrossRef]
- Zonder, J.A.; Crowley, J.; Hussein, M.A.; Bolejack, V.; Moore, D.F.; Whittenberger, B.F.; Abidi, M.H.; Durie, B.G.M.; Barlogie, B. Lenalidomide and High-Dose Dexamethasone Compared with Dexamethasone as Initial Therapy for Multiple Myeloma: A Randomized Southwest Oncology Group Trial (S0232). Blood 2010, 116, 5838–5841. [Google Scholar] [CrossRef]
- San Miguel, J.F.; Schlag, R.; Khuageva, N.K.; Dimopoulos, M.A.; Shpilberg, O.; Kropff, M.; Spicka, I.; Petrucci, M.T.; Palumbo, A.; Samoilova, O.S.; et al. Bortezomib plus Melphalan and Prednisone for Initial Treatment of Multiple Myeloma. N. Engl. J. Med. 2008, 359, 906–917. [Google Scholar] [CrossRef]
- Rajkumar, S.V.; Jacobus, S.; Callander, N.S.; Fonseca, R.; Vesole, D.H.; Williams, M.E.; Abonour, R.; Siegel, D.S.; Katz, M.; Greipp, P.R. Lenalidomide plus High-Dose Dexamethasone versus Lenalidomide plus Low-Dose Dexamethasone as Initial Therapy for Newly Diagnosed Multiple Myeloma: An Open-Label Randomised Controlled Trial. Lancet. Oncol. 2010, 11, 29–37. [Google Scholar] [CrossRef] [PubMed]
- Mateos, M.V.; Oriol, A.; Martínez-López, J.; Gutiérrez, N.; Teruel, A.I.; de Paz, R.; García-Laraña, J.; Bengoechea, E.; Martín, A.; Mediavilla, J.D.; et al. Bortezomib, Melphalan, and Prednisone versus Bortezomib, Thalidomide, and Prednisone as Induction Therapy Followed by Maintenance Treatment with Bortezomib and Thalidomide versus Bortezomib and Prednisone in Elderly Patients with Untreated Multiple Myeloma: A Randomised Trial. Lancet. Oncol. 2010, 11, 934–941. [Google Scholar] [CrossRef] [PubMed]
- Palumbo, A.; Bringhen, S.; Caravita, T.; Merla, E.; Capparella, V.; Callea, V.; Cangialosi, C.; Grasso, M.; Rossini, F.; Galli, M.; et al. Oral Melphalan and Prednisone Chemotherapy plus Thalidomide Compared with Melphalan and Prednisone Alone in Elderly Patients with Multiple Myeloma: Randomised Controlled Trial. Lancet 2006, 367, 825–831. [Google Scholar] [CrossRef] [PubMed]
- Facon, T.; Mary, J.Y.; Hulin, C.; Benboubker, L.; Attal, M.; Pegourie, B.; Renaud, M.; Harousseau, J.L.; Guillerm, G.; Chaleteix, C.; et al. Melphalan and Prednisone plus Thalidomide versus Melphalan and Prednisone Alone or Reduced-Intensity Autologous Stem Cell Transplantation in Elderly Patients with Multiple Myeloma (IFM 99-06): A Randomised Trial. Lancet 2007, 370, 1209–1218. [Google Scholar] [CrossRef]
- Rajkumar, S.V.; Rosiñol, L.; Hussein, M.; Catalano, J.; Jedrzejczak, W.; Lucy, L.; Olesnyckyj, M.; Yu, Z.; Knight, R.; Zeldis, J.B.; et al. Multicenter, Randomized, Double-Blind, Placebo-Controlled Study of Thalidomide Plus Dexamethasone Compared With Dexamethasone As Initial Therapy for Newly Diagnosed Multiple Myeloma. J. Clin. Oncol. 2008, 26, 2171. [Google Scholar] [CrossRef]
- Gebert, L.F.R.; MacRae, I.J. Regulation of MicroRNA Function in Animals. Nat. Rev. Mol. Cell Biol. 2018, 20, 21–37. [Google Scholar] [CrossRef]
- Handa, H.; Murakami, Y.; Ishihara, R.; Kimura-Masuda, K.; Masuda, Y. The Role and Function of MicroRNA in the Pathogenesis of Multiple Myeloma. Cancers 2019, 11, 1738. [Google Scholar] [CrossRef]
- Puła, A.; Robak, P.; Robak, T. MicroRNA in Multiple Myeloma—A Role in Pathogenesis and Prognostic Significance. Curr. Med. Chem. 2021, 28, 6753–6772. [Google Scholar] [CrossRef]
- Papanota, A.M.; Tsiakanikas, P.; Kontos, C.K.; Malandrakis, P.; Liacos, C.I.; Ntanasis-stathopoulos, I.; Kanellias, N.; Gavriatopoulou, M.; Kastritis, E.; Avgeris, M.; et al. A Molecular Signature of Circulating MicroRNA Can Predict Osteolytic Bone Disease in Multiple Myeloma. Cancers 2021, 13, 3877. [Google Scholar] [CrossRef]
- Charliński, G.; Tyczyńska, A.; Małecki, B.; Fornagiel, S.; Barchnicka, A.; Kołkowska, A.; Kopińska, A.; Usnarska-Zubkiewicz, L.; Robak, P.; Waszczuk-Gajda, A.; et al. Risk Factors and Causes of Early Mortality in Patients with Newly Diagnosed Multiple Myeloma in a “Real-World” Study: Experiences of the Polish Myeloma Group. Pol. Arch. Intern. Med. 2021, 131, 527–534. [Google Scholar] [CrossRef]
- Ríos-Tamayo, R.; Sáinz, J.; Martínez-López, J.; Puerta, J.M.; Chang, D.Y.L.; Rodríguez, T.; Garrido, P.; de Veas, J.L.G.; Romero, A.; Moratalla, L.; et al. Early Mortality in Multiple Myeloma: The Time-Dependent Impact of Comorbidity: A Population-Based Study in 621 Real-Life Patients. Am. J. Hematol. 2016, 91, 700–704. [Google Scholar] [CrossRef]
- O’Donnell, E.K.; Kabrt, J.; Ezenwajiaku, N.; Yee, A.J.; Horick, N.; Raje, N.S. Early Mortality in Newly Diagnosed Multiple Myeloma in the Context of Novel Drugs. Blood 2015, 126, 3315. [Google Scholar] [CrossRef]
- Ross, F.M.; Avet-Loiseau, H.; Ameye, G.; Gutiérrez, N.C.; Liebisch, P.; O’Connor, S.; Dalva, K.; Fabris, S.; Testi, A.M.; Jarosova, M.; et al. Report from the European Myeloma Network on Interphase FISH in Multiple Myeloma and Related Disorders. Haematologica 2012, 97, 1272–1277. [Google Scholar] [CrossRef]
- Manier, S.; Liu, C.J.; Avet-Loiseau, H.; Park, J.; Shi, J.; Campigotto, F.; Salem, K.Z.; Huynh, D.; Glavey, S.V.; Rivotto, B.; et al. Prognostic Role of Circulating Exosomal MiRNAs in Multiple Myeloma. Blood 2017, 129, 2429–2436. [Google Scholar] [CrossRef]
- Hao, M.; Zang, M.; Wendlandt, E.; Xu, Y.; An, G.; Gong, D.; Li, F.; Qi, F.; Zhang, Y.; Yang, Y.; et al. Low Serum MiR-19a Expression as a Novel Poor Prognostic Indicator in Multiple Myeloma. Int. J. Cancer 2015, 136, 1835–1844. [Google Scholar] [CrossRef]
- Jiang, Y.; Luan, Y.; Chang, H.; Chen, G. The Diagnostic and Prognostic Value of Plasma MicroRNA-125b-5p in Patients with Multiple Myeloma. Oncol. Lett. 2018, 16, 4001–4007. [Google Scholar] [CrossRef]
- Xu, P.; Xia, T.; Ling, Y.; Chen, B. MiRNAs with Prognostic Significance in Multiple Myeloma: A Systemic Review and Meta-Analysis. Medicine 2019, 98, e16711. [Google Scholar] [CrossRef]
- Robak, P.; Dróżdż, I.; Jarych, D.; Mikulski, D.; Węgłowska, E.; Siemieniuk-Ryś, M.; Misiewicz, M.; Stawiski, K.; Fendler, W.; Szemraj, J.; et al. The Value of Serum MicroRNA Expression Signature in Predicting Refractoriness to Bortezomib-Based Therapy in Multiple Myeloma Patients. Cancers 2020, 12, 2569. [Google Scholar] [CrossRef]
- Zheng, B.; Liang, L.; Huang, S.; Zha, R.; Liu, L.; Jia, D.; Tian, Q.; Wang, Q.; Wang, C.; Long, Z.; et al. MicroRNA-409 Suppresses Tumour Cell Invasion and Metastasis by Directly Targeting Radixin in Gastric Cancers. Oncogene 2012, 31, 4509–4516. [Google Scholar] [CrossRef]
- Li, C.; Nie, H.; Wang, M.; Su, L.; Li, J.; Yu, B.; Wei, M.; Ju, J.; Yu, Y.; Yan, M.; et al. MicroRNA-409-3p Regulates Cell Proliferation and Apoptosis by Targeting PHF10 in Gastric Cancer. Cancer Lett. 2012, 320, 189–197. [Google Scholar] [CrossRef]
- Josson, S.; Gururajan, M.; Sung, S.Y.; Hu, P.; Shao, C.; Zhau, H.E.; Liu, C.; Lichterman, J.; Duan, P.; Li, Q.; et al. Stromal Fibroblast-Derived MiR-409 Promotes Epithelial-to-Mesenchymal Transition and Prostate Tumorigenesis. Oncogene 2015, 34, 2690–2699. [Google Scholar] [CrossRef] [PubMed]
- Xu, X.; Chen, H.; Lin, Y.; Hu, Z.; Mao, Y.; Wu, J.; Xu, X.; Zhu, Y.; Li, S.; Zheng, X.; et al. MicroRNA-409-3p Inhibits Migration and Invasion of Bladder Cancer Cells via Targeting c-Met. Mol. Cells 2013, 36, 62–68. [Google Scholar] [CrossRef] [PubMed]
- Wan, L.; Zhu, L.; Xu, J.; Lu, B.; Yang, Y.; Liu, F.; Wang, Z. MicroRNA-409-3p Functions as a Tumor Suppressor in Human Lung Adenocarcinoma by Targeting c-Met. Cell. Physiol. Biochem. 2014, 34, 1273–1290. [Google Scholar] [CrossRef] [PubMed]
- Ma, Z.; Li, Y.; Xu, J.; Ren, Q.; Yao, J.; Tian, X. MicroRNA-409-3p Regulates Cell Invasion and Metastasis by Targeting ZEB1 in Breast Cancer. IUBMB Life 2016, 68, 394–402. [Google Scholar] [CrossRef]
- Wu, L.; Zhang, Y.; Huang, Z.; Gu, H.; Zhou, K.; Yin, X.; Xu, J. MiR-409-3p Inhibits Cell Proliferation and Invasion of Osteosarcoma by Targeting Zinc-Finger E-Box-Binding Homeobox-1. Front. Pharmacol. 2019, 10, 137. [Google Scholar] [CrossRef]
- Sommerova, L.; Anton, M.; Bouchalova, P.; Jasickova, H.; Rak, V.; Jandakova, E.; Selingerova, I.; Bartosik, M.; Vojtesek, B.; Hrstka, R. The Role of MiR-409-3p in Regulation of HPV16/18-E6 MRNA in Human Cervical High-Grade Squamous Intraepithelial Lesions. Antivir. Res. 2019, 163, 185–192. [Google Scholar] [CrossRef]
- Liu, M.; Xu, A.; Yuan, X.; Zhang, Q.; Fang, T.; Wang, W.; Li, C. Downregulation of MicroRNA-409-3p Promotes Aggressiveness and Metastasis in Colorectal Cancer: An Indication for Personalized Medicine. J. Transl. Med. 2015, 13, 195. [Google Scholar] [CrossRef]
- Tan, S.; Shi, H.; Ba, M.; Lin, S.; Tang, H.; Zeng, X.; Zhang, X. MiR-409-3p Sensitizes Colon Cancer Cells to Oxaliplatin by Inhibiting Beclin-1-Mediated Autophagy. Int. J. Mol. Med. 2016, 37, 1030–1038. [Google Scholar] [CrossRef]
- Li, W.-Q.; Li, Y.-M.; Tao, B.-B.; Lu, Y.-C.; Hu, G.-H.; Liu, H.-M.; He, J.; Xu, Y.; Yu, H.-Y. Downregulation of ABCG2 Expression in Glioblastoma Cancer Stem Cells with MiRNA-328 May Decrease Their Chemoresistance. Med. Sci. Monit. Int. Med. J. Exp. Clin. Res. 2010, 16, HY27-30. [Google Scholar]
- Pan, Y.Z.; Morris, M.E.; Yu, A.M. MicroRNA-328 Negatively Regulates the Expression of Breast Cancer Resistance Protein (BCRP/ABCG2) in Human Cancer Cells. Mol. Pharmacol. 2009, 75, 1374–1379. [Google Scholar] [CrossRef]
- Xu, X.T.; Xu, Q.; Tong, J.L.; Zhu, M.M.; Nie, F.; Chen, X.; Xiao, S.D.; Ran, Z.H. MicroRNA Expression Profiling Identifies MiR-328 Regulates Cancer Stem Cell-like SP Cells in Colorectal Cancer. Br. J. Cancer 2012, 106, 1320–1330. [Google Scholar] [CrossRef]
- Ma, H.; Liu, C.; Zhang, S.; Yuan, W.; Hu, J.; Huang, D.; Zhang, X.; Liu, Y.; Qiu, Y. MiR-328-3p Promotes Migration and Invasion by Targeting H2AFX in Head and Neck Squamous Cell Carcinoma. J. Cancer 2021, 12, 6519–6530. [Google Scholar] [CrossRef]
- Srivastava, A.K.; Banerjee, A.; Cui, T.; Han, C.; Cai, S.; Liu, L.; Wu, D.; Cui, R.; Li, Z.; Zhang, X.; et al. Inhibition of MiR-328-3p Impairs Cancer Stem Cell Function and Prevents Metastasis in Ovarian Cancer. Cancer Res. 2019, 79, 2314–2326. [Google Scholar] [CrossRef]
- Wang, J.; Chen, T.; Wang, L.; Yao, B.; Sun, L.; Chen, S.; Liu, Q. MicroRNA-627-5p inhibits the proliferation of hepatocellular carcinoma cells by targeting BCL3 transcription coactivator. Clin. Exp. Pharmacol. Physiol. 2020, 47, 485–494. [Google Scholar] [CrossRef]
- Zhao, D.Y.; Zhou, L.; Yin, T.F.; Zhou, Y.C.; Zhou, G.Y.; Wang, Q.Q.; Yao, S.K. Circulating miR-627-5p and miR-199a-5p are promising diagnostic biomarkers of colorectal neoplasia. World J. Clin. Cases 2022, 10, 5165–5184. [Google Scholar] [CrossRef]
- Durie, B.G.M.; Harousseau, J.L.; Miguel, J.S.; Bladé, J.; Barlogie, B.; Anderson, K.; Gertz, M.; Dimopoulos, M.; Westin, J.; Sonneveld, P.; et al. International Uniform Response Criteria for Multiple Myeloma. Leukemia 2006, 20, 1467–1473. [Google Scholar] [CrossRef]
- Rajkumar, S.V.; Dimopoulos, M.A.; Palumbo, A.; Blade, J.; Merlini, G.; Mateos, M.V.; Kumar, S.; Hillengass, J.; Kastritis, E.; Richardson, P.; et al. International Myeloma Working Group Updated Criteria for the Diagnosis of Multiple Myeloma. Lancet Oncol. 2014, 15, e538–e548. [Google Scholar] [CrossRef]
- Blondal, T.; Jensby Nielsen, S.; Baker, A.; Andreasen, D.; Mouritzen, P.; Wrang Teilum, M.; Dahlsveen, I.K. Assessing Sample and MiRNA Profile Quality in Serum and Plasma or Other Biofluids. Methods 2013, 59, S1–S6. [Google Scholar] [CrossRef]
- Stawiski, K.; Kaszkowiak, M.; Mikulski, D.; Hogendorf, P.; Durczynski, A.; Strzelczyk, J.; Chowdhury, D.; Fendler, W. OmicSelector: Automatic feature selection and deep learning modeling for omic experiments. bioRxiv 2022. [Google Scholar] [CrossRef]



| Characteristic (n = 70) | No. (%) | ||||
|---|---|---|---|---|---|
| All | Early Mortality | Control | p-Value | ||
| No. of Patients | 70 | 17 | 53 | ||
| Age, Years, Mean (SD) | 65 (10.97) | 72.61 (7.81) | 62.57 (10.77) | 0.0007 | |
| sex | Male, n (%) Female, n (%) | 34 (48.57) 36 (51.43) | 12 (70.59) 5 (29.41) | 22 (41.51) 31 (58.49) | 0.04 # | 
| R-ISS | Stage I, n (%) Stage II, n (%) Stage III, n (%) | 3/57 (5.26) 34/57 (59.65) 20/57 (35.09) | 1/17 (5.88) 9/17 (52.94) 7/17 (41.18) | 2/57 (3.51) 25/57 (43.86) 13/57 (22.81) | 0.8 * | 
| type | IgA kappa, n (%) IgA lambda, n (%) IgG kappa, n (%) IgG lambda, n (%) LCD kappa, n (%) LCD lambda, n (%) | 10 (14.29) 5 (7.14)29 (41.43) 13 (18.57) 6 (8.57) 7 (10) | 2 (11.76) 0 (0) 7 (41.18) 5 (29.41) 2 (11.76) 1 (5.88) | 8 (15.09) 5 (9.43) 22 (41.51) 8 (15.09) 4 (7.55) 6 (11.32) | 0.68 * | 
| cytogenetics | del17p, n (%) t(4;14), n (%) t(14;16), n (%) t(14;20), n (%) t(11;14), n (%) del1p, n (%) amp1q, n (%) del13q, n (%) | 6/59 (10.17) 3/58 (5.17) 2/58 (3.45) 0/55 (0) 5/54 (9.26) 5/56 (8.93) 25/57 (43.86) 8/30 (26.67) | 2/17 (11.76) 0/17 (0) 0/17 (0) 0/16 (0) 3/16 (18.75) 2/16 (12.5) 7/16 (43.75) 3/11 (27.27) | 4/42 (9.52) 3/41 (7.32) 2/41 (4.88) 0/39 (0) 2/38 (5.26) 3/40 (7.5) 18/41 (43.9) 5/19 (26.32) | 1.0 *0.55 * 1.0 *- 0.15 * 0.62 * 0.99 # 1.0 * | 
| anemia at diagnosis, n (%) | 31 (44.29) | 8 (47.06) | 23 (43.4) | 0.79 # | |
| bone disease, n (%) | 51/67 (76.12) | 13/16 (81.25) | 38/51 (74.51) | 0.74 * | |
| creatinine > 2 mg/dL at diagnosis, n (%) | 13 (18.57) | 4 (23.53) | 9 (16.98) | 0.72 * | |
| hypercalcemia at diagnosis, n (%) | 24 (34.29) | 7 (41.18) | 17 (32.08) | 0.49 # | |
| treatment, n (%) | VCD VTD VMP VD VRD IsaVRD DaraVRD autoSCT | 48 (69.57) 5 (7.14) 8 (11.43) 6 (8.57) 1 (1.43) 1 (1.43) 1 (1.43) 27 (38.57) | 9 (52.94) 0 (0) 4 (23.53) 3 (17.65) 0 (0) 1 (5.88) 0 (0) 0 (0) | 39 (73.58) 5 (9.43) 4 (7.55) 3 (5.66) 1 (1.89) 0 (0) 1 (1.89) 27 (50.94) | 0.09 # 0.32 * 0.09 * 0.15 * 1.0 *0.25 * 1.0 * <0.001 * | 
| maintenance | 13/65 (20) | 0/65 (0) | 13/65 (20) | 0.03 * | |
| Variable | OR | 95%CI | p | |
|---|---|---|---|---|
| Lower | Upper | |||
| hsa-miR-409-3p | 0.67 | 0.43 | 1.05 | 0.08 | 
| hsa-miR-328-3p | 0.39 | 0.17 | 0.89 | 0.03 | 
| Age | 1.15 | 1.05 | 1.25 | 0.001 | 
| Disclaimer/Publisher’s Note: The statements, opinions and data contained in all publications are solely those of the individual author(s) and contributor(s) and not of MDPI and/or the editor(s). MDPI and/or the editor(s) disclaim responsibility for any injury to people or property resulting from any ideas, methods, instructions or products referred to in the content. | 
© 2023 by the authors. Licensee MDPI, Basel, Switzerland. This article is an open access article distributed under the terms and conditions of the Creative Commons Attribution (CC BY) license (https://creativecommons.org/licenses/by/4.0/).
Share and Cite
Puła, A.; Robak, P.; Jarych, D.; Mikulski, D.; Misiewicz, M.; Drozdz, I.; Fendler, W.; Szemraj, J.; Robak, T. The Relationship between Serum miRNAs and Early Mortality in Multiple Myeloma Patients Treated with Bortezomib-Based Regimens. Int. J. Mol. Sci. 2023, 24, 2938. https://doi.org/10.3390/ijms24032938
Puła A, Robak P, Jarych D, Mikulski D, Misiewicz M, Drozdz I, Fendler W, Szemraj J, Robak T. The Relationship between Serum miRNAs and Early Mortality in Multiple Myeloma Patients Treated with Bortezomib-Based Regimens. International Journal of Molecular Sciences. 2023; 24(3):2938. https://doi.org/10.3390/ijms24032938
Chicago/Turabian StylePuła, Anna, Paweł Robak, Dariusz Jarych, Damian Mikulski, Małgorzata Misiewicz, Izabela Drozdz, Wojciech Fendler, Janusz Szemraj, and Tadeusz Robak. 2023. "The Relationship between Serum miRNAs and Early Mortality in Multiple Myeloma Patients Treated with Bortezomib-Based Regimens" International Journal of Molecular Sciences 24, no. 3: 2938. https://doi.org/10.3390/ijms24032938
APA StylePuła, A., Robak, P., Jarych, D., Mikulski, D., Misiewicz, M., Drozdz, I., Fendler, W., Szemraj, J., & Robak, T. (2023). The Relationship between Serum miRNAs and Early Mortality in Multiple Myeloma Patients Treated with Bortezomib-Based Regimens. International Journal of Molecular Sciences, 24(3), 2938. https://doi.org/10.3390/ijms24032938
 
        


 
       