In Vivo Inflammation Caused by Achromobacter spp. Cystic Fibrosis Clinical Isolates Exhibiting Different Pathogenic Characteristics
Abstract
1. Introduction
2. Results
2.1. Lung Inflammation Induced by Isolates Exhibiting Different Pathogenic Characteristics
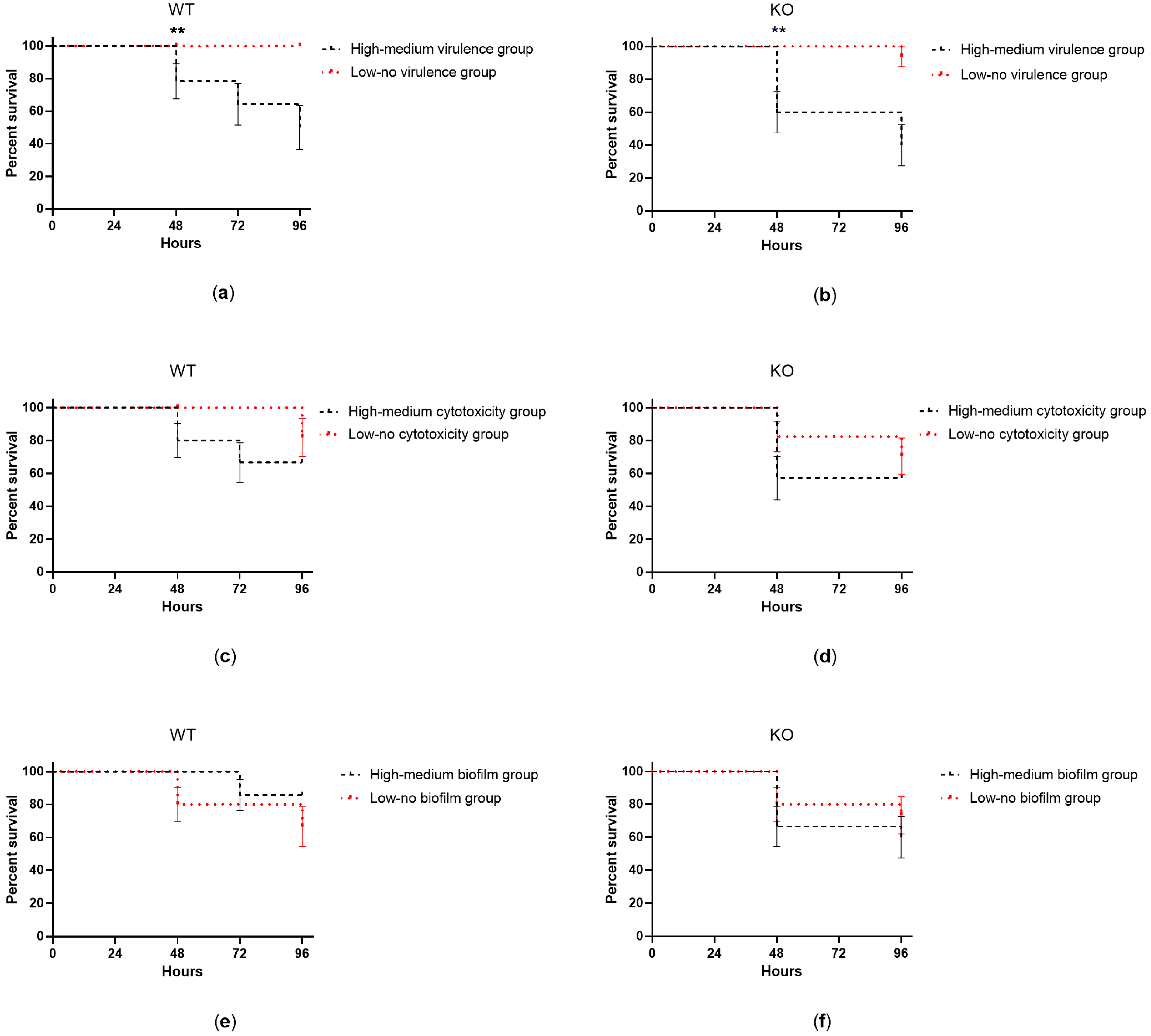
2.2. Mice Survival during Acute Infection with Isolates Exhibiting Different Pathogenic Characteristics
2.3. Bacterial Load during Acute Infection with Isolates Exhibiting Different Pathogenic Characteristics
2.4. Lung Inflammation in Mice Correlates with Virulence in G. mellonella Larvae
3. Discussion
4. Materials and Methods
4.1. Clinical Isolates
4.2. Experimental Animals
4.3. Reporter Construct
4.4. In Vivo Gene Delivery
4.5. Bacterial Preparation for Lung Challenge
4.6. Intratracheal Instillation
4.7. In Vivo Bioluminescence Imaging
4.8. Lung Recovery and CFU Count
4.9. Statistical Analysis
Supplementary Materials
Author Contributions
Funding
Informed Consent Statement
Data Availability Statement
Acknowledgments
Conflicts of Interest
References
- Pettit, R.S.; Fellner, C. CFTR Modulators for the Treatment of Cystic Fibrosis. J. Formul. Manag. 2014, 39, 500–511. [Google Scholar]
- A Flume, P.; A Robinson, K.; O’Sullivan, B.P.; Finder, J.D.; Vender, R.L.; Willey-Courand, D.-B.; White, T.B.; Marshall, B.C. Cystic fibrosis pulmonary guidelines: Airway clearance therapies. Respir. Care 2009, 54, 522–537. [Google Scholar] [PubMed]
- Ciofu, O.; Hansen, C.R.; Høiby, N. Respiratory bacterial infections in cystic fibrosis. Curr. Opin. Pulm. Med. 2013, 19, 251–258. [Google Scholar] [CrossRef]
- Firmida, M.; Pereira, R.; Silva, E.; Marques, E.; Lopes, A. Clinical impact of Achromobacter xylosoxidans colonization/infection in patients with cystic fibrosis. Braz. J. Med. Biol. Res. 2016, 49, 11–15. [Google Scholar] [CrossRef] [PubMed]
- Jakobsen, T.H.; Hansen, M.A.; Jensen, P.Ø.; Hansen, L.; Riber, L.; Cockburn, A.; Kolpen, M.; Hansen, C.R.; Ridderberg, W.; Eickhardt, S.; et al. Complete Genome Sequence of the Cystic Fibrosis Pathogen Achromobacter xylosoxidans NH44784-1996 Complies with Important Pathogenic Phenotypes. PLoS ONE 2013, 8, e68484. [Google Scholar] [CrossRef]
- Veschetti, L.; Sandri, A.; Johansen, H.K.; Lleò, M.M.; Malerba, G. Hypermutation as an Evolutionary Mechanism for Achromobacter xylosoxidans in Cystic Fibrosis Lung Infection. Pathogens 2020, 9, 72. [Google Scholar] [CrossRef]
- Veschetti, L.; Boaretti, M.; Saitta, G.M.; Mantovani, R.P.; Lleò, M.M.; Sandri, A.; Malerba, G. Achromobacter spp. prevalence and adaptation in cystic fibrosis lung infection. Microbiol. Res. 2022, 263, 127140. [Google Scholar] [CrossRef]
- Pickrum, A.M.; DeLeon, O.; Dirck, A.; Tessmer, M.H.; Riegert, M.O.; Biller, J.A.; Ledeboer, N.A.; Kirby, J.R.; Frank, D.W. Achromobacter xylosoxidans Cellular Pathology Is Correlated with Activation of a Type III Secretion System. Infect. Immun. 2020, 88, e00136-20. [Google Scholar] [CrossRef]
- Isler, B.; Kidd, T.J.; Stewart, A.G.; Harris, P.; Paterson, D.L. Achromobacter Infections and Treatment Options. Antimicrob. Agents Chemother. 2020, 64, 1–44. [Google Scholar] [CrossRef]
- Sandri, A.; Veschetti, L.; Saitta, G.M.; Mantovani, R.P.; Carelli, M.; Burlacchini, G.; Preato, S.; Sorio, C.; Melotti, P.; Montemari, A.L.; et al. Achromobacter spp. Adaptation in Cystic Fibrosis Infection and Candidate Biomarkers of Antimicrobial Resistance. Int. J. Mol. Sci. 2022, 23, 9265. [Google Scholar] [CrossRef]
- Sandri, A.; Ortombina, A.; Boschi, F.; Cremonini, E.; Boaretti, M.; Sorio, C.; Melotti, P.; Bergamini, G.; Lleo, M.M. Inhibition of Pseudomonas aeruginosa secreted virulence factors reduces lung inflammation in CF mice. Virulence 2018, 9, 1008–1018. [Google Scholar] [CrossRef]
- Veschetti, L.; Sandri, A.; Patuzzo, C.; Melotti, P.; Malerba, G.; Lleo, M.M. Genomic characterization of Achromobacter species isolates from chronic and occasional lung infection in cystic fibrosis patients. Microb. Genom. 2021, 7, 000606. [Google Scholar] [CrossRef]
- Jander, G.; Rahme, L.G.; Ausubel, F.M. Positive Correlation between Virulence of Pseudomonas aeruginosa Mutants in Mice and Insects. J. Bacteriol. 2000, 182, 3843–3845. [Google Scholar] [CrossRef]
- Andrejko, M.; Zdybicka-Barabas, A.; Cytryńska, M. Diverse effects of Galleria mellonella infection with entomopathogenic and clinical strains of Pseudomonas aeruginosa. J. Invertebr. Pathol. 2014, 115, 14–25. [Google Scholar] [CrossRef]
- Stellari, F.; Bergamini, G.; Ruscitti, F.; Sandri, A.; Ravanetti, F.; Donofrio, G.; Boschi, F.; Villetti, G.; Sorio, C.; Assael, B.M.; et al. In vivo monitoring of lung inflammation in CFTR-deficient mice. J. Transl. Med. 2016, 14, 226. [Google Scholar] [CrossRef]
- Iwański, B.; Mizerska-Kowalska, M.; Andrejko, M. Pseudomonas aeruginosa exotoxin A induces apoptosis in Galleria mellonella hemocytes. J. Invertebr. Pathol. 2023, 197, 107884. [Google Scholar] [CrossRef]
- Del Pozo, J.L. Biofilm-related disease. In Expert Review of Anti-Infective Therapy; Taylor and Francis Ltd.: Abingdon, UK, 2018; Volume 16, pp. 51–65. [Google Scholar] [CrossRef]
- Vestby, L.K.; Grønseth, T.; Simm, R.; Nesse, L.L. Bacterial Biofilm and its Role in the Pathogenesis of Disease. Antibiotics 2020, 9, 59. [Google Scholar] [CrossRef]
- Nielsen, S.M.; Nørskov-Lauritsen, N.; Bjarnsholt, T.; Meyer, R.L. Achromobacter Species Isolated from Cystic Fibrosis Patients Reveal Distinctly Different Biofilm Morphotypes. Microorganisms 2016, 4, 33. [Google Scholar] [CrossRef]
- Sandri, A.; Haagensen, J.A.J.; Veschetti, L.; Johansen, H.K.; Molin, S.; Malerba, G.; Signoretto, C.; Boaretti, M.; Lleo, M.M. Adaptive Interactions of Achromobacter spp. with Pseudomonas aeruginosa in Cystic Fibrosis Chronic Lung Co-Infection. Pathogens 2021, 10, 978. [Google Scholar] [CrossRef]
- Kent, G.; Iles, R.; Bear, C.E.; Huan, L.J.; Griesenbach, U.; McKerlie, C.; Frndova, H.; Ackerley, C.; Gosselin, D.; Radzioch, D.; et al. Lung Disease in Mice with Cystic Fibrosis. J. Clin. Investig. 1997, 100, 3060–3069. [Google Scholar] [CrossRef]
- McCarron, A.; Donnelley, M.; Parsons, D. Airway disease phenotypes in animal models of cystic fibrosis. Respir. Res. 2018, 19, 1–12. [Google Scholar] [CrossRef] [PubMed]
- McCarron, A.; Parsons, D.; Donnelley, M. Animal and Cell Culture Models for Cystic Fibrosis. Am. J. Pathol. 2021, 191, 228–242. [Google Scholar] [CrossRef] [PubMed]
- Bragonzi, A.; Horati, H.; Kerrigan, L.; Lorè, N.I.; Scholte, B.J.; Weldon, S. Inflammation and host-pathogen interaction: Cause and consequence in cystic fibrosis lung disease. J. Cyst. Fibros. 2018, 17, S40–S45. [Google Scholar] [CrossRef] [PubMed]
- Cigana, C.; Bernardini, F.; Facchini, M.; Alcalá-Franco, B.; Riva, C.; De Fino, I.; Rossi, A.; Ranucci, S.; Misson, P.; Chevalier, E.; et al. Efficacy of the Novel Antibiotic POL7001 in Preclinical Models of Pseudomonas aeruginosa Pneumonia. Antimicrob. Agents Chemother. 2016, 60, 4991–5000. [Google Scholar] [CrossRef]
- Cigana, C.; Lorè, N.I.; Riva, C.; De Fino, I.; Spagnuolo, L.; Sipione, B.; Rossi, G.; Nonis, A.; Cabrini, G.; Bragonzi, A. Tracking the immunopathological response to Pseudomonas aeruginosa during respiratory infections. Sci. Rep. 2016, 6, 21465. [Google Scholar] [CrossRef]
- Tsai, W.C.; Hershenson, M.B.; Zhou, Y.; Sajjan, U. Azithromycin increases survival and reduces lung inflammation in cystic fibrosis mice. Inflamm. Res. 2009, 58, 491–501. [Google Scholar] [CrossRef]
- van Heeckeren, A.M.; Schluchter, M.D.; Xue, W.; Davis, P.B. Response to Acute Lung Infection with Mucoid Pseudomonas aeruginosa in Cystic Fibrosis Mice. Am. J. Respir. Crit. Care Med. 2006, 173, 288–296. [Google Scholar] [CrossRef]
- Coleman, F.T.; Mueschenborn, S.; Meluleni, G.; Ray, C.; Carey, V.J.; Vargas, S.O.; Cannon, C.L.; Ausubel, F.M.; Pier, G.B. Hypersusceptibility of cystic fibrosis mice to chronic Pseudomonas aeruginosa oropharyngeal colonization and lung infection. Proc. Natl. Acad. Sci. USA 2003, 100, 1949–1954. [Google Scholar] [CrossRef]
- Stepanović, S.; Vuković, D.; Hola, V.; Di Bonaventura, G.; Djukić, S.; Cirković, I.; Ruzicka, F. Quantification of biofilm in microtiter plates: Overview of testing conditions and practical recommendations for assessment of biofilm production by staphylococci. APMIS 2007, 115, 891–899. [Google Scholar] [CrossRef]
- Zhou, L.; Dey, C.R.; Wert, S.E.; DuVall, M.D.; Frizzell, R.A.; Whitsett, J.A. Correction of Lethal Intestinal Defect in a Mouse Model of Cystic Fibrosis by Human CFTR. Science 1994, 266, 1705–1708. [Google Scholar] [CrossRef]
- Bergamini, G.; Stellari, F.; Sandri, A.; Lleo, M.M.; Donofrio, G.; Ruscitti, F.; Boschi, F.; Sbarbati, A.; Villetti, G.; Melotti, P.; et al. An IL-8 Transiently Transgenized Mouse Model for the In Vivo Long-term Monitoring of Inflammatory Responses. J. Vis. Exp. 2017, e55499. [Google Scholar] [CrossRef]
- Prado, M.K.B.; Locachevic, G.A.; Zoccal, K.F.; Paula-Silva, F.W.G.; Fontanari, C.; Ferreira, J.C.; Pereira, P.A.T.; Gardinassi, L.G.; Ramos, S.G.; Sorgi, C.A.; et al. Leukotriene B4 is essential for lung host defence and alpha-defensin-1 production during Achromobacter xylosoxidans infection. Sci. Rep. 2017, 7, 17658. [Google Scholar] [CrossRef] [PubMed]







| Isolate | Species | Virulence | Cytotoxicity | Biofilm |
|---|---|---|---|---|
| 2-4 | A. xylosoxidans | No | Medium | Low |
| 7-2 | A. xylosoxidans | High | Medium | Low |
| 8-2 | A. xylosoxidans | High | Medium | High |
| 12-2 | A. agrifaciens | No | Low | High |
| 16-1 | na | No | Low | Low |
| 17-1 | A. xylosoxidans | Medium | No | High |
| 20-1 | A. insolitus | No | Medium | Medium |
| 23-1 | A. xylosoxidans | High | Low | Low |
Disclaimer/Publisher’s Note: The statements, opinions and data contained in all publications are solely those of the individual author(s) and contributor(s) and not of MDPI and/or the editor(s). MDPI and/or the editor(s) disclaim responsibility for any injury to people or property resulting from any ideas, methods, instructions or products referred to in the content. |
© 2023 by the authors. Licensee MDPI, Basel, Switzerland. This article is an open access article distributed under the terms and conditions of the Creative Commons Attribution (CC BY) license (https://creativecommons.org/licenses/by/4.0/).
Share and Cite
Sandri, A.; Saitta, G.M.; Veschetti, L.; Boschi, F.; Passarelli Mantovani, R.; Carelli, M.; Melotti, P.; Signoretto, C.; Boaretti, M.; Malerba, G.; et al. In Vivo Inflammation Caused by Achromobacter spp. Cystic Fibrosis Clinical Isolates Exhibiting Different Pathogenic Characteristics. Int. J. Mol. Sci. 2023, 24, 7432. https://doi.org/10.3390/ijms24087432
Sandri A, Saitta GM, Veschetti L, Boschi F, Passarelli Mantovani R, Carelli M, Melotti P, Signoretto C, Boaretti M, Malerba G, et al. In Vivo Inflammation Caused by Achromobacter spp. Cystic Fibrosis Clinical Isolates Exhibiting Different Pathogenic Characteristics. International Journal of Molecular Sciences. 2023; 24(8):7432. https://doi.org/10.3390/ijms24087432
Chicago/Turabian StyleSandri, Angela, Giulia Maria Saitta, Laura Veschetti, Federico Boschi, Rebeca Passarelli Mantovani, Maria Carelli, Paola Melotti, Caterina Signoretto, Marzia Boaretti, Giovanni Malerba, and et al. 2023. "In Vivo Inflammation Caused by Achromobacter spp. Cystic Fibrosis Clinical Isolates Exhibiting Different Pathogenic Characteristics" International Journal of Molecular Sciences 24, no. 8: 7432. https://doi.org/10.3390/ijms24087432
APA StyleSandri, A., Saitta, G. M., Veschetti, L., Boschi, F., Passarelli Mantovani, R., Carelli, M., Melotti, P., Signoretto, C., Boaretti, M., Malerba, G., & Lleò, M. M. (2023). In Vivo Inflammation Caused by Achromobacter spp. Cystic Fibrosis Clinical Isolates Exhibiting Different Pathogenic Characteristics. International Journal of Molecular Sciences, 24(8), 7432. https://doi.org/10.3390/ijms24087432

