Soluble Triggering Receptors Expressed on Myeloid Cells (sTREM) in Acute Ischemic Stroke: A Potential Pathway of sTREM-1 and sTREM-2 Associated with Disease Severity
Abstract
1. Introduction
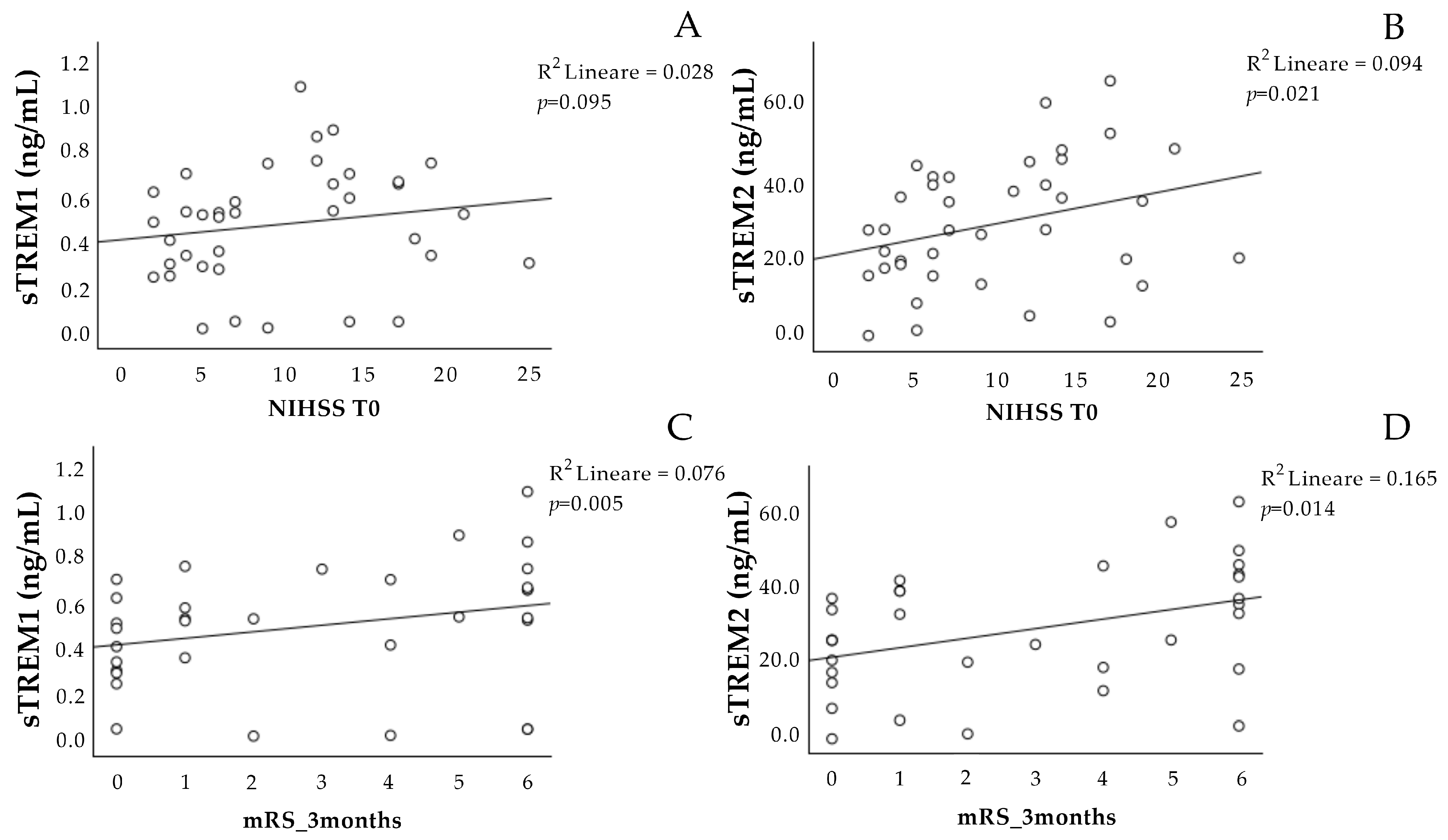
2. Results
3. Discussion
4. Materials and Methods
4.1. Study Design
4.2. Stroke Measurement
4.3. Plasma Samples Analysis
4.4. Statistical Analysis
Supplementary Materials
Author Contributions
Funding
Institutional Review Board Statement
Informed Consent Statement
Data Availability Statement
Conflicts of Interest
References
- Meyer, J.S. Ischemic Cerebrovascular Disease (Stroke): Clinical Investigation and Management. JAMA 1963, 183, 237–240. [Google Scholar] [CrossRef] [PubMed]
- Feigin, V.L.; Brainin, M.; Norrving, B.; Martins, S.; Sacco, R.L.; Hacke, W.; Fisher, M.; Pandian, J.; Lindsay, P. World Stroke Organization (WSO): Global Stroke Fact Sheet 2022. Int. J. Stroke Off. J. Int. Stroke Soc. 2022, 17, 18–29. [Google Scholar] [CrossRef] [PubMed]
- Neher, J.J.; Emmrich, J.V.; Fricker, M.; Mander, P.K.; Théry, C.; Brown, G.C. Phagocytosis Executes Delayed Neuronal Death after Focal Brain Ischemia. Proc. Natl. Acad. Sci. USA 2013, 110, E4098–E4107. [Google Scholar] [CrossRef] [PubMed]
- Jia, J.; Yang, L.; Chen, Y.; Zheng, L.; Chen, Y.; Xu, Y.; Zhang, M. The Role of Microglial Phagocytosis in Ischemic Stroke. Front. Immunol. 2022, 12, 790201. [Google Scholar] [CrossRef] [PubMed]
- Shi, K.; Tian, D.-C.; Li, Z.-G.; Ducruet, A.F.; Lawton, M.T.; Shi, F.-D. Global Brain Inflammation in Stroke. Lancet Neurol. 2019, 18, 1058–1066. [Google Scholar] [CrossRef]
- Frøyshov, H.M.; Bjørnerem, Å.; Engstad, T.; Halvorsen, D.S. Elevated Inflammatory Markers Predict Mortality in Long-Term Ischemic Stroke-Survivors: A Population-Based Prospective Study. Aging Clin. Exp. Res. 2017, 29, 379–385. [Google Scholar] [CrossRef] [PubMed]
- Colonna, M. The Biology of TREM Receptors. Nat. Rev. Immunol. 2023, 23, 580–594. [Google Scholar] [CrossRef] [PubMed]
- Piccio, L.; Buonsanti, C.; Cella, M.; Tassi, I.; Schmidt, R.E.; Fenoglio, C.; Rinker, J.; Naismith, R.T.; Panina-Bordignon, P.; Passini, N.; et al. Identification of Soluble TREM-2 in the Cerebrospinal Fluid and Its Association with Multiple Sclerosis and CNS Inflammation. Brain 2008, 131, 3081–3091. [Google Scholar] [CrossRef] [PubMed]
- Zhong, L.; Xu, Y.; Zhuo, R.; Wang, T.; Wang, K.; Huang, R.; Wang, D.; Gao, Y.; Zhu, Y.; Sheng, X.; et al. Author Correction: Soluble TREM2 Ameliorates Pathological Phenotypes by Modulating Microglial Functions in an Alzheimer’s Disease Model. Nat. Commun. 2019, 10, 2923. [Google Scholar] [CrossRef]
- Klesney-Tait, J.; Turnbull, I.R.; Colonna, M. The TREM Receptor Family and Signal Integration. Nat. Immunol. 2006, 7, 1266–1273. [Google Scholar] [CrossRef]
- Liu, Q.; Johnson, E.M.; Lam, R.K.; Wang, Q.; Bo Ye, H.; Wilson, E.N.; Minhas, P.S.; Liu, L.; Swarovski, M.S.; Tran, S.; et al. Peripheral TREM1 Responses to Brain and Intestinal Immunogens Amplify Stroke Severity. Nat. Immunol. 2019, 20, 1023–1034. [Google Scholar] [CrossRef] [PubMed]
- Jedynak, M.; Siemiatkowski, A.; Mroczko, B.; Groblewska, M.; Milewski, R.; Szmitkowski, M. Soluble TREM-1 Serum Level Can Early Predict Mortality of Patients with Sepsis, Severe Sepsis and Septic Shock. Arch. Immunol. Ther. Exp. 2018, 66, 299–306. [Google Scholar] [CrossRef] [PubMed]
- Xu, P.; Zhang, X.; Liu, Q.; Xie, Y.; Shi, X.; Chen, J.; Li, Y.; Guo, H.; Sun, R.; Hong, Y.; et al. Microglial TREM-1 Receptor Mediates Neuroinflammatory Injury via Interaction with SYK in Experimental Ischemic Stroke. Cell Death Dis. 2019, 10, 555. [Google Scholar] [CrossRef] [PubMed]
- Huang, J.-B.; Chen, N.-C.; Chen, C.-L.; Fu, M.-H.; Pan, H.-Y.; Hsu, C.-Y.; Chen, S.-D.; Chuang, Y.-C. Serum Levels of Soluble Triggering Receptor Expressed on Myeloid Cells-1 Associated with the Severity and Outcome of Acute Ischemic Stroke. J. Clin. Med. 2020, 10, 61. [Google Scholar] [CrossRef] [PubMed]
- Kawabori, M.; Kacimi, R.; Kauppinen, T.; Calosing, C.; Kim, J.Y.; Hsieh, C.L.; Nakamura, M.C.; Yenari, M.A. Triggering Receptor Expressed on Myeloid Cells 2 (TREM2) Deficiency Attenuates Phagocytic Activities of Microglia and Exacerbates Ischemic Damage in Experimental Stroke. J. Neurosci. 2015, 35, 3384–3396. [Google Scholar] [CrossRef] [PubMed]
- Tanaka, M.; Yamakage, H.; Masuda, S.; Inoue, T.; Ohue-Kitano, R.; Araki, R.; Matoba, Y.; Saito, M.; Nagaoka, T.; Yonezawa, K.; et al. Serum Soluble TREM2 Is a Potential Novel Biomarker of Cognitive Impairment in Japanese Non-Obese Patients with Diabetes. Diabetes Metab. 2019, 45, 86–89. [Google Scholar] [CrossRef] [PubMed]
- Ait-Oufella, H.; Yu, M.; Kotti, S.; Georges, A.; Vandestienne, M.; Joffre, J.; Roubille, F.; Angoulvant, D.; Santos-Zas, I.; Tedgui, A.; et al. Plasma and Genetic Determinants of Soluble TREM-1 and Major Adverse Cardiovascular Events in a Prospective Cohort of Acute Myocardial Infarction Patients. Results from the FAST-MI 2010 Study. Int. J. Cardiol. 2021, 344, 213–219. [Google Scholar] [CrossRef] [PubMed]
- Zhai, Q.; Li, F.; Chen, X.; Jia, J.; Sun, S.; Zhou, D.; Ma, L.; Jiang, T.; Bai, F.; Xiong, L.; et al. Triggering Receptor Expressed on Myeloid Cells 2, a Novel Regulator of Immunocyte Phenotypes, Confers Neuroprotection by Relieving Neuroinflammation. Anesthesiology 2017, 127, 98–110. [Google Scholar] [CrossRef] [PubMed]
- Tobaldini, E.; Sacco, R.M.; Serafino, S.; Tassi, M.; Gallone, G.; Solbiati, M.; Costantino, G.; Montano, N.; Torgano, G. Cardiac Autonomic Derangement Is Associated with Worse Neurological Outcome in the Very Early Phases of Ischemic Stroke. J. Clin. Med. 2019, 8, 852. [Google Scholar] [CrossRef]
- Carandina, A.; Favero, C.; Sacco, R.M.; Hoxha, M.; Torgano, G.; Montano, N.; Bollati, V.; Tobaldini, E. The Role of Extracellular Vesicles in Ischemic Stroke Severity. Biology 2022, 11, 1489. [Google Scholar] [CrossRef]
- Jayaraj, R.L.; Azimullah, S.; Beiram, R.; Jalal, F.Y.; Rosenberg, G.A. Neuroinflammation: Friend and Foe for Ischemic Stroke. J. Neuroinflammation 2019, 16, 142. [Google Scholar] [CrossRef] [PubMed]
- Kong, Y.; Wang, D.; Jin, X.; Liu, Y.; Xu, H. Unveiling the Significance of TREM1/2 in Hemorrhagic Stroke: Structure, Function, and Therapeutic Implications. Front. Neurol. 2024, 15, 1334786. [Google Scholar] [CrossRef] [PubMed]
- Gu, Y.; Deng, X.; Liang, C.; Chen, Y.; Lei, H.; Zhang, Q. Soluble Triggering Receptor Expressed on Myeloid Cells-1 as a Serum Biomarker of Early Neurologic Deterioration and Prognosis in Acute Supratentorial Intracerebral Hemorrhage. Clin. Chim. Acta 2021, 523, 290–296. [Google Scholar] [CrossRef] [PubMed]
- Shiber, S.; Kliminski, V.; Orvin, K.; Sagy, I.; Vaturi, M.; Kornowski, R.; Drescher, M.; Molad, Y. Elevated Plasma Soluble Triggering Receptor Expressed on Myeloid Cells-1 Level in Patients with Acute Coronary Syndrome (ACS): A Biomarker of Disease Severity and Outcome. Mediat. Inflamm. 2021, 2021, 1–9. [Google Scholar] [CrossRef] [PubMed]
- Lénárt, N.; Cserép, C.; Császár, E.; Pósfai, B.; Dénes, Á. Microglia–Neuron–Vascular Interactions in Ischemia. Glia 2024, 72, 833–856. [Google Scholar] [CrossRef] [PubMed]
- Qu, W.; Li, L. Microglial TREM2 at the Intersection of Brain Aging and Alzheimer’s Disease. Neuroscientist 2023, 29, 302–316. [Google Scholar] [CrossRef] [PubMed]
- Faber, J.E.; Zhang, H.; Lassance-Soares, R.M.; Prabhakar, P.; Najafi, A.H.; Burnett, M.S.; Epstein, S.E. Aging Causes Collateral Rarefaction and Increased Severity of Ischemic Injury in Multiple Tissues. Arterioscler. Thromb. Vasc. Biol. 2011, 31, 1748–1756. [Google Scholar] [CrossRef] [PubMed]
- Kwon, H.S.; Lee, E.-H.; Park, H.-H.; Jin, J.-H.; Choi, H.; Lee, K.-Y.; Lee, Y.J.; Lee, J.-H.; De Oliveira, F.M.S.; Kim, H.Y.; et al. Early Increment of Soluble Triggering Receptor Expressed on Myeloid Cells 2 in Plasma Might Be a Predictor of Poor Outcome after Ischemic Stroke. J. Clin. Neurosci. 2020, 73, 215–218. [Google Scholar] [CrossRef]
- Sieber, M.W.; Jaenisch, N.; Brehm, M.; Guenther, M.; Linnartz-Gerlach, B.; Neumann, H.; Witte, O.W.; Frahm, C. Attenuated Inflammatory Response in Triggering Receptor Expressed on Myeloid Cells 2 (TREM2) Knock-Out Mice following Stroke. PLoS ONE 2013, 8, e52982. [Google Scholar] [CrossRef]
- Zhu, Y.; Zhao, Y.; Lu, Y.; Fang, C.; Zhang, Q.; Zhang, J.; Ju, Z.; Zhang, Y.; Xu, T.; Zhong, C. The Association between Plasma Soluble Triggering Receptor Expressed on Myeloid Cells 2 and Cognitive Impairment after Acute Ischemic Stroke. J. Affect. Disord. 2022, 299, 287–293. [Google Scholar] [CrossRef]
- Backes, F.N.; De Souza, A.; Bianchin, M.M. Biomarkers in the Prognostic Evaluation of Ischemic Stroke: Is There Benefit in the Measurements of TREM-1 and TREM-2 in the Acute Phase? Clin. Biochem. 2021, 98, 10–16. [Google Scholar] [CrossRef] [PubMed]
- Da Fonseca, A.C.C.; Matias, D.; Garcia, C.; Amaral, R.; Geraldo, L.H.; Freitas, C.; Lima, F.R.S. The Impact of Microglial Activation on Blood-Brain Barrier in Brain Diseases. Front. Cell. Neurosci. 2014, 8, 362. [Google Scholar] [CrossRef] [PubMed]
- Hickman, S.; Izzy, S.; Sen, P.; Morsett, L.; El Khoury, J. Microglia in Neurodegeneration. Nat. Neurosci. 2018, 21, 1359–1369. [Google Scholar] [CrossRef] [PubMed]
- Stefansson, H.; Walters, G.B.; Sveinbjornsson, G.; Tragante, V.; Einarsson, G.; Helgason, H.; Sigurðsson, A.; Beyter, D.; Snaebjarnarson, A.S.; Ivarsdottir, E.V.; et al. Homozygosity for R47H in TREM2 and the Risk of Alzheimer’s Disease. N. Engl. J. Med. 2024, 390, 2217–2219. [Google Scholar] [CrossRef]
- Rigual, R.; Fuentes, B.; Díez-Tejedor, E. Abordaje y tratamiento del ictus isquémico en la fase aguda. Med. Clínica 2023, 161, 485–492. [Google Scholar] [CrossRef]
- Singh, H.; Rai, V.; Nooti, S.K.; Agrawal, D.K. Novel Ligands and Modulators of Triggering Receptor Expressed on Myeloid Cells Receptor Family: 2015–2020 Updates. Expert Opin. Ther. Pat. 2021, 31, 549–561. [Google Scholar] [CrossRef] [PubMed]
- Takahashi, K.; Rochford, C.D.P.; Neumann, H. Clearance of Apoptotic Neurons without Inflammation by Microglial Triggering Receptor Expressed on Myeloid Cells-2. J. Exp. Med. 2005, 201, 647–657. [Google Scholar] [CrossRef]
- Fonseca, A.C.; Merwick, Á.; Dennis, M.; Ferrari, J.; Ferro, J.M.; Kelly, P.; Lal, A.; Ois, A.; Olivot, J.M.; Purroy, F. European Stroke Organisation (ESO) Guidelines on Management of Transient Ischaemic Attack. Eur. Stroke J. 2021, 6, CLXIII–CLXXXVI. [Google Scholar] [CrossRef]
- Ahmed, N.; Steiner, T.; Caso, V.; Wahlgren, N.; for the ESO-KSU session participants. Recommendations from the ESO-Karolinska Stroke Update Conference, Stockholm 13–15 November 2016. Eur. Stroke J. 2017, 2, 95–102. [Google Scholar] [CrossRef]
- Italian Stroke Organization. SPREAD—Stroke Prevention and Educational Awareness Diffusion Ictus Cerebrale: Linee Guida Italiane Di Prevenzione e Trattamento; Italian Stroke Organization: Naples, Italy, 2016. [Google Scholar]
- Powers, W.J.; Derdeyn, C.P.; Biller, J.; Coffey, C.S.; Hoh, B.L.; Jauch, E.C.; Johnston, K.C.; Johnston, S.C.; Khalessi, A.A.; Kidwell, C.S.; et al. 2015 American Heart Association/American Stroke Association Focused Update of the 2013 Guidelines for the Early Management of Patients with Acute Ischemic Stroke Regarding Endovascular Treatment: A Guideline for Healthcare Professionals from the American Heart Association/American Stroke Association. Stroke 2015, 46, 3020–3035. [Google Scholar] [CrossRef]
- Schlegel, D.; Kolb, S.J.; Luciano, J.M.; Tovar, J.M.; Cucchiara, B.L.; Liebeskind, D.S.; Kasner, S.E. Utility of the NIH Stroke Scale as a Predictor of Hospital Disposition. Stroke 2003, 34, 134–137. [Google Scholar] [CrossRef] [PubMed]
- Banks, J.L.; Marotta, C.A. Outcomes Validity and Reliability of the Modified Rankin Scale: Implications for Stroke Clinical Trials: A Literature Review and Synthesis. Stroke 2007, 38, 1091–1096. [Google Scholar] [CrossRef] [PubMed]
- Gauthier, A.; Viel, S.; Perret, M.; Brocard, G.; Casey, R.; Lombard, C.; Laurent-Chabalier, S.; Debouverie, M.; Edan, G.; Vukusic, S.; et al. Comparison of SimoaTM and EllaTM to Assess Serum Neurofilament-light Chain in Multiple Sclerosis. Ann. Clin. Transl. Neurol. 2021, 8, 1141–1150. [Google Scholar] [CrossRef] [PubMed]
- Aldo, P.; Marusov, G.; Svancara, D.; David, J.; Mor, G. Simple PlexTM: A Novel Multi-Analyte, Automated Microfluidic Immunoassay Platform for the Detection of Human and Mouse Cytokines and Chemokines. Am. J. Reprod. Immunol. 2016, 75, 678–693. [Google Scholar] [CrossRef] [PubMed]



| Characteristics | Value |
|---|---|
| Age, years | 72.9 (SD 14.7) |
| Gender (female) | 15 (39.5%) |
| Smoker | 9 (23.7%) |
| BMI kg/m2 | 24.7 (SD 3.55) |
| Hypertension | 24 (63.2%) |
| History of atrial fibrillation | 12 (31.6%) |
| Diabetes | 6 (15.8%) |
| History of heart failure | 5 (13.2%) |
| Blood pressure, mmHg: | |
| Systolic | 160.08 (SD 24.04) |
| Diastolic | 89.54 (SD 17.97) |
| Under therapy: | |
| IV rtPA | 15 (39.5%) |
| Thrombectomy | 4 (10.5%) |
| IV rtPA + thrombectomy | 4 (10.5%) |
| No therapy | 15 (39.5%) |
| Previous stroke or TIA | 9 (23.7%) |
| TOAST classification: | |
| Atherothrombotic | 5 (13.4%) |
| Cardioembolic | 19 (50.0%) |
| Lacunar | 2 (5.3%) |
| Undetermined etiology | 12 (31.6%) |
| Hemispheric stroke: | |
| Right | 18 (47.37%) |
| Left | 18 (47.37%) |
| Bilateral | 2 (5.26%) |
| Vascular territory: | |
| Anterior | 31 (81.58%) |
| Posterior | 7 (18.42%) |
| Three-month mortality (%) | 10 (26.3%) |
| NIHSS T0 score | 9.84 (SD 6.19) |
| NIHSS TW score | 6.07 (SD 7.58) |
| mRS score | 2.85 (SD 2.57) |
| T0 (n = 38) | TW (n = 15) | p | |
|---|---|---|---|
| sTREM-1 (ng/mL) | 0.53 (0.19) | 0.59 (0.27) | 0.29 |
| sTREM-2 (ng/mL) | 31.51 (13.84) | 21.25 (8.61) | 0.003 |
| R2 | B | SE | p | |
|---|---|---|---|---|
| sTREM-1 (ng/mL) | 0.23 | 0.51 | 0.002 | 0.007 |
| sTREM-2 (ng/mL) | 0.20 | 0.42 | 0.000 | 0.01 |
Disclaimer/Publisher’s Note: The statements, opinions and data contained in all publications are solely those of the individual author(s) and contributor(s) and not of MDPI and/or the editor(s). MDPI and/or the editor(s) disclaim responsibility for any injury to people or property resulting from any ideas, methods, instructions or products referred to in the content. |
© 2024 by the authors. Licensee MDPI, Basel, Switzerland. This article is an open access article distributed under the terms and conditions of the Creative Commons Attribution (CC BY) license (https://creativecommons.org/licenses/by/4.0/).
Share and Cite
Salafia, G.; Carandina, A.; Sacco, R.M.; Ferri, E.; Montano, N.; Arosio, B.; Tobaldini, E. Soluble Triggering Receptors Expressed on Myeloid Cells (sTREM) in Acute Ischemic Stroke: A Potential Pathway of sTREM-1 and sTREM-2 Associated with Disease Severity. Int. J. Mol. Sci. 2024, 25, 7611. https://doi.org/10.3390/ijms25147611
Salafia G, Carandina A, Sacco RM, Ferri E, Montano N, Arosio B, Tobaldini E. Soluble Triggering Receptors Expressed on Myeloid Cells (sTREM) in Acute Ischemic Stroke: A Potential Pathway of sTREM-1 and sTREM-2 Associated with Disease Severity. International Journal of Molecular Sciences. 2024; 25(14):7611. https://doi.org/10.3390/ijms25147611
Chicago/Turabian StyleSalafia, Greta, Angelica Carandina, Roberto Maria Sacco, Evelyn Ferri, Nicola Montano, Beatrice Arosio, and Eleonora Tobaldini. 2024. "Soluble Triggering Receptors Expressed on Myeloid Cells (sTREM) in Acute Ischemic Stroke: A Potential Pathway of sTREM-1 and sTREM-2 Associated with Disease Severity" International Journal of Molecular Sciences 25, no. 14: 7611. https://doi.org/10.3390/ijms25147611
APA StyleSalafia, G., Carandina, A., Sacco, R. M., Ferri, E., Montano, N., Arosio, B., & Tobaldini, E. (2024). Soluble Triggering Receptors Expressed on Myeloid Cells (sTREM) in Acute Ischemic Stroke: A Potential Pathway of sTREM-1 and sTREM-2 Associated with Disease Severity. International Journal of Molecular Sciences, 25(14), 7611. https://doi.org/10.3390/ijms25147611

