Pervaporation Dehydration Mechanism and Performance of High-Aluminum ZSM-5 Zeolite Membranes for Organic Solvents
Abstract
1. Introduction
2. Results and Discussion
2.1. Characterization of MFI Nanoseeds and Seed Layers
2.2. Preparation and Characterization of ZSM-5 Membranes
2.3. Pervaporation Dehydration Performance of ZSM-5 Membranes
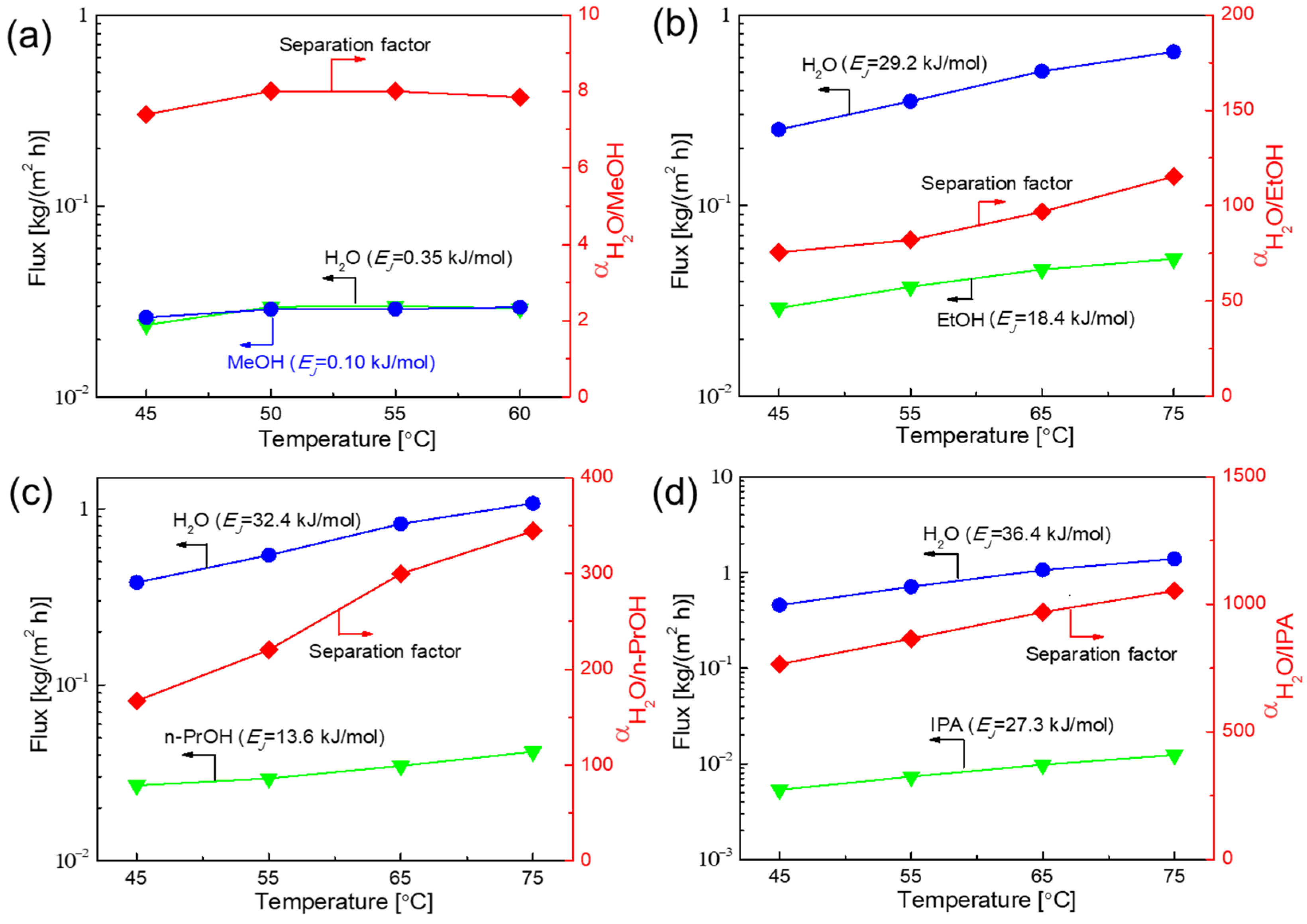
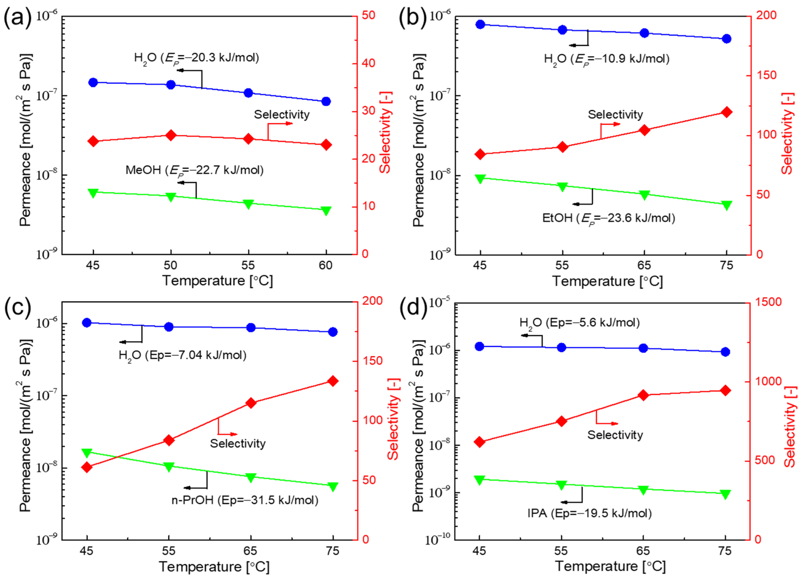
2.3.1. Effect of Operating Temperature
2.3.2. Effect of Feed Concentration
2.4. Comparing Pervaporation Performance and Reproducibility of ZSM-5 Membranes
3. Materials and Methods
3.1. Materials
3.2. Synthesis of MFI Nanoseeds and Seeded Supports
3.3. Preparation of ZSM-5 Membranes
3.4. Characterization and Pervaporation Experiments
4. Conclusions
Supplementary Materials
Author Contributions
Funding
Institutional Review Board Statement
Informed Consent Statement
Data Availability Statement
Conflicts of Interest
References
- Raza, W.; Wang, J.; Yang, J.; Tsuru, T. Progress in pervaporation membranes for dehydration of acetic acid. Sep. Purif. Technol. 2021, 262, 118338. [Google Scholar] [CrossRef]
- Clark, J.H.; Farmer, T.J.; Hunt, A.J.; Sherwood, J. Opportunities for bio-based solvents created as petrochemical and fuel products transition towards renewable resources. Int. J. Mol. Sci. 2015, 16, 17101–17159. [Google Scholar] [CrossRef]
- Sholl, D.S.; Lively, R.P. Seven chemical separations to change the world. Nature 2016, 532, 435–437. [Google Scholar] [CrossRef]
- Wang, Q.; Xu, N.; Liu, Q.; Dong, Q.; Nagasawa, H.; Kanezashi, M.; Zhou, R.; Tsuru, T. Low-temperature cross-linking fabrication of sub-nanoporous SiC-based membranes for application to the pervaporation removal of methanol. J. Membr. Sci. 2022, 662, 121008. [Google Scholar] [CrossRef]
- Wang, Q.; Chen, H.; Wu, H.; Liu, Q.; Xu, N.; Fan, L.; Niu, X.; Hu, K. Progress in preparation and pervaporation of FAU zeolite membranes. China Powder Sci. Technol. 2024, 30, 21–34. [Google Scholar]
- Karan, S.; Jiang, Z.; Livingston, A.G. Sub–10 nm polyamide nanofilms with ultrafast solvent transport for molecular separation. Science 2015, 348, 1347–1351. [Google Scholar] [CrossRef]
- Liu, G.; Jin, W. Pervaporation membrane materials: Recent trends and perspectives. J. Membr. Sci. 2021, 636, 119557. [Google Scholar] [CrossRef]
- Peng, W.; Li, M.; Liao, Q.; Wang, F. Influence of microscopic morphology of alumina powders on ceramic membrane supports. China Powder Sci. Technol. 2022, 28, 7–15. [Google Scholar]
- Deng, N.; Wang, Y.; Luo, G. Preparation of high suspension BaSO4 in membrane dispersion microreactor. China Powder Sci. Technol. 2022, 28, 120–129. [Google Scholar]
- Yu, X.; Wang, Q.; Nagasawa, H.; Kanezashi, M.; Tsuru, T. SiC mesoporous membranes for sulfuric acid decomposition at high temperatures in the iodine–sulfur process. RSC Adv. 2020, 10, 41883–41890. [Google Scholar] [CrossRef]
- Lu, X.; Wang, H.; Yang, Y.; Wang, Z. Microstructural manipulation of MFI-type zeolite films/membranes: Current status and perspectives. J. Membr. Sci. 2022, 662, 120931. [Google Scholar] [CrossRef]
- Algieri, C.; Drioli, E. Zeolite membranes: Synthesis and applications. Sep. Purif. Technol. 2021, 278, 119295. [Google Scholar] [CrossRef]
- Zhang, C.; Peng, L.; Jiang, J.; Gu, X. Mass transfer model, preparation and applications of zeolite membranes for pervaporation dehydration: A review. Chin. J. Chem. Eng. 2017, 25, 1627–1638. [Google Scholar] [CrossRef]
- Wang, Q.; Wu, A.; Zhong, S.; Wang, B.; Zhou, R. Highly (h0h)-oriented silicalite-1 membranes for butane isomer separation. J. Membr. Sci. 2017, 540, 50–59. [Google Scholar] [CrossRef]
- Li, Y.; Zhu, G.; Wang, Y.; Chai, Y.; Liu, C. Preparation, mechanism and applications of oriented MFI zeolite membranes: A review. Microporous Mesoporous Mater. 2021, 312, 110790. [Google Scholar] [CrossRef]
- Zhang, D.; Huang, K.; Xia, Y.; Cao, H.; Dai, L.; Qu, K.; Xiao, L.; Fan, Y.; Xu, Z. Two-Dimensional MFI-Type Zeolite Flow Battery Membranes. Angew. Chem. Int. Ed. 2023, 62, e202310945. [Google Scholar] [CrossRef] [PubMed]
- Li, L.; Yang, J.; Li, J.; Wang, J.; Lu, J.; Yin, D.; Zhang, Y. High performance ZSM-5 membranes on coarse macroporous α-Al2O3 supports for dehydration of alcohols. AIChE J. 2016, 62, 2813–2824. [Google Scholar] [CrossRef]
- Wang, Q.; Qian, C.; Xu, N.; Liu, Q.; Wang, B.; Zhang, L.; Fan, L.; Zhou, R. Synthesis optimization and separation mechanism of ZSM-5 zeolite membranes for pervaporation dehydration of organic solvents. Sci. Total Environ. 2024, 929, 172641. [Google Scholar] [CrossRef]
- Li, J.; Li, L.; Yang, J.; Lu, J.; Wang, J. Organotemplate-free synthesis of ZSM-5 membrane for pervaporation dehydration of isopropanol. Membr. Water Treat. 2019, 10, 353–360. [Google Scholar] [CrossRef]
- Si, D.; Zhu, M.; You, R.; Li, Y.; Wu, T.; Gui, T.; Hu, N.; Kumakiri, I.; Chen, X.; Kita, H. Influences of alkali metal fluoride and Si/Al ratio on preparation aluminum-rich ZSM-5 zeolite membrane without organic template. Microporous Mesoporous Mater. 2021, 324, 111286. [Google Scholar] [CrossRef]
- Zhu, M.-H.; Lu, Z.-H.; Kumakiri, I.; Tanaka, K.; Chen, X.-S.; Kita, H. Preparation and characterization of high water perm-selectivity ZSM-5 membrane without organic template. J. Membr. Sci. 2012, 415, 57–65. [Google Scholar] [CrossRef]
- Noack, M.; Kölsch, P.; Caro, J.; Schneider, M.; Toussaint, P.; Sieber, I. MFI membranes of different Si/Al ratios for pervaporation and steam permeation. Microporous Mesoporous Mater. 2000, 35, 253–265. [Google Scholar] [CrossRef]
- Wang, B.; Wu, H.; Cui, L.; Gao, H.; Zhao, D.; Zhou, J.; Zhong, S.; Zhou, R.; Xing, W. Scalable synthesis and modular properties of tubular silicalite-1 membranes for industrial butane isomer separation. Sep. Purif. Technol. 2023, 313, 123496. [Google Scholar] [CrossRef]
- Li, G.; Kikuchi, E.; Matsukata, M. A study on the pervaporation of water–acetic acid mixtures through ZSM-5 zeolite membranes. J. Membr. Sci. 2003, 218, 185–194. [Google Scholar] [CrossRef]
- Li, Q.; Cong, W.; Xu, C.; Zhang, S.; Wang, F.; Han, D.; Wang, G.; Bing, L. New insight into the inductive effect of various seeds on the template-free synthesis of ZSM-5 zeolite. CrystEngComm 2021, 23, 8641–8649. [Google Scholar] [CrossRef]
- Nada, M.H.; Larsen, S.C.; Gillan, E.G. Mechanochemically-assisted solvent-free and template-free synthesis of zeolites ZSM-5 and mordenite. Nanoscale Adv. 2019, 1, 3918–3928. [Google Scholar] [CrossRef] [PubMed]
- Nazir, L.S.M.; Yeong, Y.F.; Chew, T.L. Study on the effect of seed particle size toward the formation of NaX zeolite membranes via vacuum-assisted seeding technique. J. Asian Ceram. Soc. 2021, 9, 586–597. [Google Scholar] [CrossRef]
- Wang, Q.; Guo, Y.; Xu, N.; Liu, Q.; Wang, B.; Fan, L.; Zhang, L.; Zhou, R. FAU zeolite membranes synthesized using nanoseeds—Separation mechanism and optimization for the pervaporation dehydration of various organic solvents. J. Membr. Sci. 2024, 696, 122522. [Google Scholar] [CrossRef]
- Zhang, G.; Fan, Y.; Huang, J.; Wang, L.; Yang, C.; Lyu, M.; Liu, H.; Ma, Y. Decoupling nucleation from crystal-growth for the synthesis of nanocrystalline zeolites. Dalton Trans. 2020, 49, 7258–7266. [Google Scholar] [CrossRef]
- Li, X.; Kita, H.; Zhu, H.; Zhang, Z.; Tanaka, K. Synthesis of long-term acid-stable zeolite membranes and their potential application to esterification reactions. J. Membr. Sci. 2009, 339, 224–232. [Google Scholar] [CrossRef]
- Zhang, X.; Liu, H.; Yeung, K.L. Influence of seed size on the formation and microstructure of zeolite silicalite-1 membranes by seeded growth. Mater. Chem. Phys. 2006, 96, 42–50. [Google Scholar] [CrossRef]
- Baker, R.W.; Wijmans, J.G.; Huang, Y. Permeability, permeance and selectivity: A preferred way of reporting pervaporation performance data. J. Membr. Sci. 2010, 348, 346–352. [Google Scholar] [CrossRef]
- Guo, W.F.; Chung, T.-S.; Matsuura, T. Pervaporation study on the dehydration of aqueous butanol solutions: A comparison of flux vs. permeance, separation factor vs. selectivity. J. Membr. Sci. 2004, 245, 199–210. [Google Scholar] [CrossRef]
- Nian, P.; Ma, C.; Liu, H.; Qiu, J.; Zhang, X. High-performance Co-based ZIF-67 tubular membrane achieved by ZnO-induced synthesis for highly efficient pervaporation separation of methanol/methyl tert-butyl ether mixture. Ind. Eng. Chem. Res. 2019, 58, 15297–15306. [Google Scholar] [CrossRef]
- Li, Y.; Ma, N.; Zhang, B. Reliable fabrication of thin and (h0l)-oriented zeolite Al-beta membranes for separation of methanol/methyl tert-butyl ether mixtures. Ind. Eng. Chem. Res. 2019, 58, 8271–8278. [Google Scholar] [CrossRef]
- Song, Y.; Pan, F.; Li, Y.; Quan, K.; Jiang, Z. Mass transport mechanisms within pervaporation membranes. Front. Chem. Sci. Eng. 2019, 13, 458–474. [Google Scholar] [CrossRef]
- Krishna, R.; van Baten, J.M. Mutual slowing-down effects in mixture diffusion in zeolites. J. Phys. Chem. C 2010, 114, 13154–13156. [Google Scholar] [CrossRef]
- Krishna, R.; van Baten, J.M. Hydrogen bonding effects in adsorption of water−alcohol mixtures in zeolites and the consequences for the characteristics of the Maxwell−Stefan diffusivities. Langmuir 2010, 26, 10854–10867. [Google Scholar] [CrossRef]
- Chen, P.Y.; Chiu, C.P.; Hong, C.W. Molecular analysis on methanol diffusion in a model nafion membrane. J. Electrochem. Soc. 2008, 155, B1255. [Google Scholar] [CrossRef]
- van Leeuwen, M.E. Derivation of Stockmayer potential parameters for polar fluids. Fluid Phase Equilibria 1994, 99, 1–18. [Google Scholar] [CrossRef]
- Burke, J. Solubility parameters-Theory and application. AIC Book Pap. Group Annu. 1984, 3, 13–58. [Google Scholar]
- Moriyama, N.; Nagasawa, H.; Kanezashi, M.; Tsuru, T. Pervaporation dehydration of aqueous solutions of various types of molecules via organosilica membranes: Effect of membrane pore sizes and molecular sizes. Sep. Purif. Technol. 2018, 207, 108–115. [Google Scholar] [CrossRef]
- Hu, N.; Li, Y.; Zhong, S.; Wang, B.; Zhang, F.; Wu, T.; Yang, Z.; Zhou, R.; Chen, X. Microwave synthesis of zeolite CHA (chabazite) membranes with high pervaporation performance in absence of organic structure directing agents. Microporous Mesoporous Mater. 2016, 228, 22–29. [Google Scholar] [CrossRef]
- Huang, Z.; Ru, X.-F.; Zhu, Y.-T.; Guo, Y.-H.; Teng, L.-J. Poly (vinyl alcohol)/ZSM-5 zeolite mixed matrix membranes for pervaporation dehydration of isopropanol/water solution through response surface methodology. Chem. Eng. Res. Des. 2019, 144, 19–34. [Google Scholar] [CrossRef]
- Adoor, S.G.; Prathab, B.; Manjeshwar, L.S.; Aminabhavi, T.M. Mixed matrix membranes of sodium alginate and poly (vinyl alcohol) for pervaporation dehydration of isopropanol at different temperatures. Polymer 2007, 48, 5417–5430. [Google Scholar] [CrossRef]
- Mosleh, S.; Khosravi, T.; Bakhtiari, O.; Mohammadi, T. Zeolite filled polyimide membranes for dehydration of isopropanol through pervaporation process. Chem. Eng. Res. Des. 2012, 90, 433–441. [Google Scholar] [CrossRef]
- Wang, Q.; Chen, H.; He, F.; Liu, Q.; Xu, N.; Fan, L.; Wang, C.; Zhang, L.; Zhou, R. High-Performance FAU Zeolite Membranes Derived from Nano-Seeds for Gas Separation. Membranes 2023, 13, 858. [Google Scholar] [CrossRef]
- Hirata, M.; Ohe, S.; Nagahama, K. Vapor-Liquid Equilibrium Data Calculated Using Electronic Computers; Kodansha Co.: Tokyo, Japan, 1975. [Google Scholar]









| Solvents | Molar Mass [g/mol] | Molecular Size [nm] | Molar Volume [cm3/mol] | HSPs (MPa1/2) | Polarity Index [-] | |||
|---|---|---|---|---|---|---|---|---|
| water | 18.02 | 0.2955 | 18.02 | 15.6 | 16.0 | 42.3 | 47.8 | 1.00 |
| methanol | 32.04 | 0.3803 | 40.49 | 15.1 | 12.3 | 22.3 | 29.6 | 0.77 |
| ethanol | 46.07 | 0.4299 | 58.4 | 15.8 | 8.8 | 19.4 | 26.5 | 0.55 |
| n-propanol | 60.10 | 0.4691 | 74.79 | 16.0 | 6.8 | 17.4 | 24.5 | 0.43 |
| isopropanol | 60.10 | 0.4699 | 76.55 | 15.8 | 6.1 | 16.4 | 23.5 | 0.38 |
Disclaimer/Publisher’s Note: The statements, opinions and data contained in all publications are solely those of the individual author(s) and contributor(s) and not of MDPI and/or the editor(s). MDPI and/or the editor(s) disclaim responsibility for any injury to people or property resulting from any ideas, methods, instructions or products referred to in the content. |
© 2024 by the authors. Licensee MDPI, Basel, Switzerland. This article is an open access article distributed under the terms and conditions of the Creative Commons Attribution (CC BY) license (https://creativecommons.org/licenses/by/4.0/).
Share and Cite
Wang, Q.; Qian, C.; Guo, C.; Xu, N.; Liu, Q.; Wang, B.; Fan, L.; Hu, K. Pervaporation Dehydration Mechanism and Performance of High-Aluminum ZSM-5 Zeolite Membranes for Organic Solvents. Int. J. Mol. Sci. 2024, 25, 7723. https://doi.org/10.3390/ijms25147723
Wang Q, Qian C, Guo C, Xu N, Liu Q, Wang B, Fan L, Hu K. Pervaporation Dehydration Mechanism and Performance of High-Aluminum ZSM-5 Zeolite Membranes for Organic Solvents. International Journal of Molecular Sciences. 2024; 25(14):7723. https://doi.org/10.3390/ijms25147723
Chicago/Turabian StyleWang, Qing, Cheng Qian, Changxu Guo, Nong Xu, Qiao Liu, Bin Wang, Long Fan, and Kunhong Hu. 2024. "Pervaporation Dehydration Mechanism and Performance of High-Aluminum ZSM-5 Zeolite Membranes for Organic Solvents" International Journal of Molecular Sciences 25, no. 14: 7723. https://doi.org/10.3390/ijms25147723
APA StyleWang, Q., Qian, C., Guo, C., Xu, N., Liu, Q., Wang, B., Fan, L., & Hu, K. (2024). Pervaporation Dehydration Mechanism and Performance of High-Aluminum ZSM-5 Zeolite Membranes for Organic Solvents. International Journal of Molecular Sciences, 25(14), 7723. https://doi.org/10.3390/ijms25147723

